Kamerstuk
| Datum publicatie | Organisatie | Vergaderjaar | Dossier- en ondernummer |
|---|---|---|---|
| Eerste Kamer der Staten-Generaal | 2021-2022 | 35927 nr. D |
Zoals vergunningen, bouwplannen en lokale regelgeving.
Adressen en contactpersonen van overheidsorganisaties.
U bent hier:
| Datum publicatie | Organisatie | Vergaderjaar | Dossier- en ondernummer |
|---|---|---|---|
| Eerste Kamer der Staten-Generaal | 2021-2022 | 35927 nr. D |
Ontvangen 26 november 2021
Inleiding
De leden van de fractie van VVD vragen naar de beoordeling van het doenvermogen bij de voorstellen uit het Belastingplan 2022. In dat kader verwijs ik graag naar de in de memorie van toelichting van het Belastingplan opgenomen paragraaf over het effect van de voorstellen op het doenvermogen van belastingplichtigen. Voor een deel van de maatregelen geldt dat deze betrekking hebben op grote ondernemingen, er geen acties van mensen worden gevraagd of dat het gaat om een aanpassing van wet- en regelgeving die technisch van aard is.
De leden van de fractie van D66 vragen of ik op alle punten wil reageren uit het aanvullend commentaar van de Nederlandse Orde van Belastingadviseurs (NOB) op het pakket Belastingplan 2022. In de memories van antwoord behorende bij de wetsvoorstellen Belastingplan 2022, Wet implementatie belastingplichtmaatregel uit de tweede EU-richtlijn antibelastingontwijking en Wet tegengaan mismatches bij toepassing zakelijkheidsbeginsel ben ik ingegaan op de vragen van de NOB. In dit kader wil ik echter graag wijzen op de discussie die heeft plaatsgevonden in de Tweede Kamer over het integraal beantwoorden van vragen van (fiscale) beroepsorganisaties en mijn antwoord op Kamervragen van de leden Idsinga en Inge van Dijk.1 Bij het opstellen van fiscale wetgeving gaat het kabinet veelvuldig in gesprek met beroeps- en belangenorganisaties, die over veel expertise beschikken. Deze expertise kan bijdragen aan de totstandkoming van beter beleid en wetgeving. Wanneer deze organisaties hun adviezen delen met het parlement, kunnen ook Kamerleden deze technische expertise benutten. Het kabinet hecht aan een evenwichtige dialoog en wil daarbij graag alle verschillende geluiden uit de samenleving betrekken. Ik vind het echter niet vanzelfsprekend om integraal alle vragen van bijvoorbeeld de NOB te beantwoorden.
De leden van de fractie van 50PLUS vragen of een plan van aanpak voorgelegd kan worden voor een betere spreiding van wetgeving bij het Belastingplan 2023. Ook vragen zij of de laatste wijzigingen wegens de gevolgen voor de koopkracht kunnen worden ondergebracht in een apart wetsvoorstel dat op Prinsjesdag wordt ingediend met de daarbij passende budgettaire gevolgen. In de Kamerbrief Betere werkwijze Belastingplan en het hierover gevoerde schriftelijk overleg is uitgebreid ingegaan op drie elkaar aanvullende wegen waarmee fiscale wetgeving meer over de volledige kabinetsperiode en het jaar kan worden gespreid, zodat zorgvuldiger bij de kwaliteit van de wetgeving stilgestaan kan worden.2
De eerste manier is om de beleidsmatig meest ingrijpende en voorzienbare wetsvoorstellen over de kabinetsperiode te spreiden en als zelfstandig wetsvoorstel met een eigen regulier wetgevingstraject in te dienen. Het voorstel voor het opstellen van een meerjarige fiscale kalender maakt de planning van fiscale wetsvoorstellen inzichtelijker. Daarnaast zouden beleidsmatig meer technische en kleinere fiscale wijzigingen ieder jaar opgenomen kunnen worden in een fiscale verzamelwet, die dan als zelfstandig wetsvoorstel met een eigen regulier wetgevingstraject wordt ingediend. Ten slotte zou in het voorjaar op hoofdlijnen over de lastenkant van de begroting besloten kunnen worden. Bij dit besluitvormingsmoment kunnen afspraken worden gemaakt om nieuwe, maatschappelijke problemen op te lossen. Bij wetsvoorstellen die dan geen budgettaire samenhang hebben of niet noodzakelijk met ingang van het opvolgende jaar in werking moeten treden, geldt dat zij als zelfstandig wetstraject met een eigen regulier wetgevingstraject kunnen worden ingediend. Bij wetsvoorstellen die wel budgettaire samenhang hebben met de lastenkant van de begroting voor het volgende jaar en/of het volgende jaar in werking moeten treden, geldt dat door het besluitvormingsmoment te vervroegen, gedurende het jaar meer ruimte ontstaat om deze wetgeving zorgvuldiger te behandelen. Tijdens de augustusbesluitvorming kan de precieze maatvoering van de wetsvoorstellen met budgettaire samenhang op basis van de meest recente economische cijfers vastgesteld worden.
De leden van de fractie van de fractie van 50PLUS vragen of de omvang van het pakket Belastingplan 2022 dit demissionaire kabinet niet te buiten gaat. Daarnaast vragen deze leden naar de rechtvaardiging van de nota’s van wijziging die zeer ingrijpend en verstrekkend zijn en een zorgvuldige wetgevende procedure niet ten goede komen. Het pakket Belastingplan 2022 heeft als focus maatregelen die met ingang van 1 januari 2022 in werking moeten treden. De reden daarvoor kan bijvoorbeeld een budgettaire zijn, of bijvoorbeeld liggen in Europeesrechtelijke verplichtingen. Zo moet het wetsvoorstel Belastingplan 2022 komend jaar in werking treden om gewenste uitgaven in het kader van het stimuleren van duurzaamheid te financieren. Voor het wetsvoorstel Implementatie belastingplichtmaatregel uit de tweede EU-richtlijn antibelastingontwijking geldt dat deze maatregel uiterlijk 1 januari 2022 geïmplementeerd dient te zijn. Tot slot bevat het wetsvoorstel Overige fiscale maatregelen 2022 het noodzakelijke technische onderhoud aan de fiscale wetgeving, bijvoorbeeld maatregelen die volgen uit jurisprudentie. Om die reden acht het demissionaire kabinet de omvang van het huidige pakket evenwichtig. Het pakket Belastingplan 2022 bevat aanzienlijk minder beleidsrijke maatregelen dan de voorgaande jaren, toen het kabinet missionair was.
De beleidsmatige wijzigingen die zijn opgenomen in de nota’s van wijziging op het pakket Belastingplan 2022 betreffen vooral de fiscale uitwerking van de moties aangenomen in de Tweede Kamer. Dit betreft bijvoorbeeld de moties Hermans3, Hijink-Bikker4, Heinen5 en Grinwis-Stoffer.6 In deze moties wordt het demissionaire kabinet door een brede meerderheid in de Tweede Kamer verzocht om onder meer fiscale maatregelen te treffen die zien op maatschappelijke problemen zoals de gestegen energieprijzen, de waardering voor zorgverleners en de woningmarkt. Het kabinet wil de wens van een brede meerderheid uit de Tweede Kamer uiteraard niet naast zich neerleggen. De overige nota’s van wijzigingen zijn technisch van aard.
Daarnaast is tijdens de Algemene Financiële Beschouwingen toegezegd om begin 2022 een Kamerbrief te sturen over verschillende varianten van het besluitvormingsproces voor de miljoenennota, waaronder het vervroegen van het moment van indienen van de begrotingen. Daarbij is richting de heer Van Rooijen tevens toegezegd om de variant voor het eerder indienen van fiscale wetsvoorstellen mee te nemen. De variant voor het indienen van een apart wetsvoorstel met de maatregelen die getroffen worden naar aanleiding van de lastenbesluitvorming zal ook behandeld worden in deze brief.
De leden van de fractie van D66 vragen om een uiteenzetting over de huidige belastingwetgeving in relatie tot een goed ondernemingsklimaat. Het kabinet vindt een goed ondernemingsklimaat van groot belang. Het belang van een goed ondernemingsklimaat is voor een open economie als Nederland namelijk cruciaal. Een aantrekkelijk ondernemingsklimaat in de brede zin behelst onder meer betrouwbare instituties, voorspelbare wet- en regelgeving, goede fysieke en digitale infrastructuur, een hoogopgeleide beroepsbevolking, toegang tot internationale markten, en een hoog innovatief vermogen. Nederland scoort consistent hoog in internationale vergelijkingen van innovatie- en concurrentiekracht. Nederland prijkt al jaren in de top-10 van de Global Competitiveness Index van het World Economic Forum, en de laatste jaren in de top-5. In 2019 stond Nederland genoteerd op de vierde plek, als hoogstgenoteerd EU-land.
Een aantrekkelijk fiscaal stelsel is ook onderdeel van een goed ondernemingsklimaat. Met name de vennootschapsbelasting kan een belangrijke factor zijn voor de investeringsbeslissing van een ondernemer. Het gewogen gemiddelde winstbelastingtarief in de EU is 25,7% in 2021, waarmee het hoge tarief in de Nederlandse vennootschapsbelasting rond het Europese gemiddelde ligt. Het lage tarief in de Nederlandse vennootschapsbelasting ligt zelfs aanzienlijk lager dan het EU-gemiddelde. Dit lage tarief ligt sinds 2021 op 15% en vanaf 2022 zal dit tarief gelden voor winsten tot en met € 395.000. Dat zorgt voor een extra impuls voor met name het midden- en kleinbedrijf. Nederland heeft zich daarnaast steeds voorstander getoond van internationale afspraken over een herziening van het internationale belastingsysteem en zich hier actief voor ingezet. Met een gezamenlijke aanpak in een zo robuust mogelijk internationaal verband wordt een zo groot mogelijk gelijk speelveld gewaarborgd. Daardoor kunnen dit soort internationale afspraken ook bijdragen aan de aantrekkelijkheid van het Nederlandse ondernemings- en vestigingsklimaat voor het reële bedrijfsleven. Het kabinet heeft tot slot naar aanleiding van de motie Lodders beleidsopties geïnventariseerd om investeringen aan te jagen en ondernemerschap en innovatie te versterken.7 Dit rapport bevat zowel fiscale als niet-fiscale voorstellen. Het is aan een volgend kabinet om deze voorstellen te wegen.
De leden van de fractie van D66 vragen of er situaties kunnen bestaan met dubbele heffing, en welke dat dan zijn. Ook vragen deze leden of de belastingwetgeving daarop nog wordt aangepast. In voorkomende gevallen kunnen bijvoorbeeld de regeling inzake voordelen uit hoofde van een gecontroleerd lichaam (aanvullende CFC-maatregel) en de voorgestelde maatregelen uit dit wetsvoorstel Wet tegengaan mismatches bij toepassing zakelijkheidsbeginsel gelijktijdig van toepassing zijn en daardoor tot dubbele heffing leiden. Het kabinet heeft ervoor gekozen om geen samenloopregeling op te nemen die deze (relatief beperkte) dubbele belasting moet wegnemen in een dergelijke situatie. De bedoeling is dat de aanvullende CFC-maatregel als stopbord werkt zodat dergelijke structuren met als doel belasting te ontwijken zich via Nederland niet meer voordoen. Hierbij passen volgens het kabinet geen regelingen ter voorkoming van dubbele belasting anders dan de regelingen waarin ATAD1 voorziet. De aanvullende CFC-maatregel krijgt hiermee in voorkomende gevallen een nog meer prohibitief karakter. Tot slot is voor de keuze van het kabinet om niet te voorzien in een samenloopregeling ook van belang dat het voorkomen van de genoemde cumulatie zou leiden tot een verdere toename van de complexiteit in een toch al zeer complexe belastingwet, evenals een verdere toename van complexiteit in de uitvoering.
Inkomensbeleid
De leden van de fracties van GroenLinks en de PvdA vragen naar een actueel overzicht van de marginale druk die werknemers ervaren bij uitbreiding van het aantal gewerkte uren. Deze leden vragen welke knelpunten het kabinet ziet en of deze eventuele knelpunten worden aangepakt. In september 2019 heeft het kabinet naar aanleiding van de motie Stoffer8 onderzoek gedaan naar de marginale druk en opties in beeld gebracht om deze te verlagen.9 In dit onderzoek is de marginale druk van meer – uren – werken in beeld gebracht. De marginale druk van een halve dag meer werken is vooral relevant voor tweeverdieners en alleenstaanden met kinderen. Uit onderstaande figuur blijkt dat het verloop van de marginale druk van een halve dag meer werken in grote mate overeenkomt met het verloop van de (gebruikelijke) marginale druk van een hoger uurloon. Het niveau van de marginale druk van meer uren werken is – als gevolg van de netto kosten van kinderopvang – wel hoger dan de marginale druk van een hoger loon.
Het onderzoek concludeert dat er geen makkelijke opties zijn om de marginale druk te verlagen. Marginale druk staat namelijk niet op zichzelf. Nederland kent een relatief hoog bestaansminimum. Dit is een belangrijk goed, maar om dit betaalbaar te houden, bouwt de inkomensondersteuning af. Door het afbouwen van inkomensondersteuning stijgt de marginale druk. De marginale druk kan niet worden verlaagd zonder dat meer geld beschikbaar wordt gesteld of zonder dat het leidt tot negatieve inkomenseffecten aan de onderkant van het inkomensgebouw. Dit vraagt fundamentele keuzes die aan het volgende kabinet zijn.
Figuur 1 – Marginale druk van 0,5 dag meer werk voor huishoudens die gebruik maken van kinderopvang (2021)

De leden van de fractie Nanninga vragen te reflecteren op de casuïstiek waarbij een vader van twee jonge kinderen promotie maakt, maar na kortingen en toeslagen slechts een beperkt bedrag overhoudt. De leden vragen of ik het ermee eens ben dat dit niet uitnodigt tot het nastreven van meer uren of het maken van promotie. De marginale druk hangt samen met de wens om inkomensondersteuning aan lage inkomens te geven en tegelijkertijd het systeem betaalbaar te houden. Dit betekent dat als iemand meer gaat verdienen, het recht op heffingskortingen en toeslagen kan dalen. Om de marginale druk te verlagen moet er of minder worden herverdeeld, of meer geld worden uitgegeven. Hierbinnen tracht het kabinet een zo goed mogelijke balans te vinden. In dit kader heeft het kabinet de marginale druk voor vooral middeninkomens verlaagd. Bijvoorbeeld via aanpassingen in de arbeidskorting en het kindgebonden budget, en het afschaffen van de harde inkomensgrens in de huurtoeslag. Tegelijkertijd blijft de marginale druk voor sommige groepen met een inkomen rond het minimumloon en een modaal inkomen hoog, zoals in het genoemde voorbeeld. Het onderzoek Marginale Druk10 laat ook zien dat er geen gemakkelijke manieren zijn om de marginale druk te verlagen. Elke variant daarin gaat of gepaard met extra budgettaire ruimte, of met negatieve inkomenseffecten voor vooral lage inkomens.
De leden van de fractie Nanninga stellen dat iemand met € 150.000 spaargeld geen recht heeft op zorgtoeslag, maar iemand met een spaargeld-bv met daarin enkel € 150.000 of € 150 miljoen spaargeld wel recht heeft op zorgtoeslag. Deze leden vragen wat het kabinet hiervan vindt en welke reperatiemogelijkheden het ziet. Inkomensondersteuning, zoals toeslagen, is bedoeld voor burgers die een extra financiële ondersteuning nodig hebben om te kunnen voorzien in hun primaire levensbehoeften (wonen en zorgkosten). De vermogensgrenzen die zijn bepaald voor de huurtoeslag, de zorgtoeslag en het kindgebonden budget zorgen ervoor dat burgers die een dergelijke grens overschrijden niet in aanmerking komen voor inkomensondersteuning. Daarom is het van belang dat burgers de dienst Toeslagen inzicht verschaffen in hun vermogen.
Een «spaargeld-bv» valt in box 2 (inkomen uit aanmerkelijk belang). In de vermogenstoets wordt het vermogen van box 2 buiten beschouwing gelaten, omdat het in box 2 net als in box 1 (inkomen uit werk en woning) veelal gaat om beclaimd vermogen dat de belanghebbende nodig heeft om zijn inkomen te verwerven. De in de boxen 1 en 2 voorkomende vermogensbestanddelen passen naar hun aard dan ook minder in de gedachte achter de vermogenstoets, namelijk dat vermogen extra draagkracht geeft. Aan deze keuze ligt de overweging ten grondslag dat het meetellen van ondernemings- en aanmerkelijkbelangvermogen slechts een beperkt belang heeft, omdat deze vermogensbestanddelen in de doelgroep van toeslaggerechtigden beperkt voorkomen.11 Daarom wordt niet het vermogen, maar het inkomen uit de boxen 1 en 2 meegewogen voor het bepalen van de hoogte op toeslagen.
De leden van de fractie van de SGP vragen of het kabinet inziet dat er extra maatregelen nodig zijn om de koopkracht van eenverdieners te verhogen. Het kabinet heeft met de Miljoenennota en dit Belastingplan de koopkracht van eenverdieners ondersteund door bijvoorbeeld de arbeidskorting langzamer af te bouwen. Hiermee is het kabinet van mening dat er voor de huidige kabinetsperiode een evenwichtig koopkrachtbeeld ligt. Voor de periode na de kabinetsperiode zal een volgend kabinet een nieuwe afweging moeten maken. Om deze afweging zoveel mogelijk te ondersteunen heeft het kabinet met de Commissie Draagkracht gezorgd dat zowel de analyse als mogelijke beleidsopties uitgewerkt zijn.
De leden van de fractie van SGP vragen om een tabel met de marginale druk voor tweeverdieners, waarbij dezelfde bedragen gehanteerd worden als bij de eerder gepubliceerde tabel voor de eenverdiener. Deze leden vragen hierbij specifiek naar de situatie waarin beide partners evenveel verdienen. De hierna opgenomen tabel geeft de marginale druk voor verschillende huishoudtypes met een huishoudinkomen tussen de € 15.000 en € 115.000. Hierbij is aangenomen dat de huishoudens in een huurwoning wonen met een maandelijkse huur van € 615. Verder is aangenomen dat er twee kinderen zijn tussen de 6 en 11 jaar. De alleenstaande en tweeverdiener maken gebruik van buitenschoolse opvang en ontvangen kinderopvangtoeslag. Bij de tweeverdiener is aangenomen dat de partners evenveel verdienen en is de marginale druk uitgerekend door een van de twee partners € 1.000 meer te laten verdienen. De tabel loopt op tot ongeveer 3x modaal om ook voor tweeverdieners het meest relevante inkomensgebied in beeld te brengen.
|
brutoloon |
alleenstaande 2022 |
alleenverdiener 2022 |
tweeverdiener 2022 |
|---|---|---|---|
|
€ 15.000 |
3% |
11% |
3% |
|
€ 19.000 |
3% |
13% |
34% |
|
€ 23.000 |
63% |
77% |
42% |
|
€ 27.000 |
89% |
81% |
48% |
|
€ 31.000 |
88% |
81% |
59% |
|
€ 35.000 |
74% |
78% |
49% |
|
€ 39.000 |
71% |
77% |
41% |
|
€ 43.000 |
61% |
59% |
28% |
|
€ 47.000 |
63% |
59% |
51% |
|
€ 51.000 |
62% |
59% |
56% |
|
€ 55.000 |
62% |
59% |
51% |
|
€ 59.000 |
64% |
59% |
51% |
|
€ 63.000 |
64% |
59% |
51% |
|
€ 67.000 |
63% |
59% |
51% |
|
€ 71.000 |
65% |
61% |
51% |
|
€ 75.000 |
70% |
65% |
74% |
|
€ 79.000 |
70% |
59% |
71% |
|
€ 83.000 |
70% |
59% |
53% |
|
€ 87.000 |
70% |
59% |
53% |
|
€ 91.000 |
74% |
59% |
53% |
|
€ 95.000 |
70% |
59% |
53% |
|
€ 99.000 |
69% |
59% |
53% |
|
€ 103.000 |
70% |
59% |
72% |
|
€ 107.000 |
70% |
59% |
71% |
|
€ 111.000 |
66% |
59% |
70% |
|
€ 115.000 |
57% |
53% |
53% |
De leden van de fractie van de SGP vragen of er andere dan politieke overwegingen zijn voor het wel of niet bevriezen van de overdraagbare heffingskorting. In de Commissie Draagkracht zijn de verschillende aspecten van het herinvoeren van de overdraagbaarheid van de algemene heffingskorting uitgewerkt. Naast een effect op de verdeling van de lastendruk zorgt dit ook voor een vermindering van de arbeidsparticipatie en economische zelfstandigheid. Ook zorgt een volledige afbouw voor vereenvoudiging in de uitvoering. Dit komt doordat er geen rekening hoeft te worden gehouden met de verschuldigde belasting van de fiscale partner en er minder communicatieve inspanningen nodig zijn. Tot slot gaat de maatregel ook gepaard met extra budgettaire middelen.
De leden van de fractie van 50PLUS vragen om een tabel en een grafiek van de maximale algemene heffingskorting en arbeidskorting voor niet AOW-gerechtigden en van de algemene heffingskorting en ouderenkorting voor AOW-gerechtigden vanaf 2001. In de hierna opgenomen tabel 2 en figuur 2 is de gevraagde informatie opgenomen.
|
Jaar |
Maximale arbeidskorting |
Maximale ouderenkorting |
Maximale algemene heffingskorting (AHK) |
Maximale AHK voor AOW-ers |
|---|---|---|---|---|
|
2001 |
€ – |
€ 236 |
€ 1.576 |
€ 704 |
|
2002 |
€ 949 |
€ 289 |
€ 1.647 |
€ 736 |
|
2003 |
€ 1.104 |
€ 346 |
€ 1.766 |
€ 813 |
|
2004 |
€ 1.213 |
€ 418 |
€ 1.825 |
€ 852 |
|
2005 |
€ 1.287 |
€ 454 |
€ 1.894 |
€ 909 |
|
2006 |
€ 1.357 |
€ 374 |
€ 1.990 |
€ 948 |
|
2007 |
€ 1.392 |
€ 380 |
€ 2.043 |
€ 957 |
|
2008 |
€ 1.443 |
€ 486 |
€ 2.074 |
€ 970 |
|
2009 |
€ 1.504 |
€ 661 |
€ 2.007 |
€ 935 |
|
2010 |
€ 1.489 |
€ 684 |
€ 1.987 |
€ 925 |
|
2011 |
€ 1.574 |
€ 739 |
€ 1.987 |
€ 910 |
|
2012 |
€ 1.611 |
€ 762 |
€ 2.033 |
€ 934 |
|
2013 |
€ 1.723 |
€ 1.032 |
€ 2.001 |
€ 1.034 |
|
2014 |
€ 2.097 |
€ 1.032 |
€ 2.103 |
€ 1.065 |
|
2015 |
€ 2.220 |
€ 1.042 |
€ 2.203 |
€ 1.123 |
|
2016 |
€ 3.103 |
€ 1.187 |
€ 2.242 |
€ 1.145 |
|
2017 |
€ 3.223 |
€ 1.292 |
€ 2.254 |
€ 1.151 |
|
2018 |
€ 3.249 |
€ 1.418 |
€ 2.265 |
€ 1.157 |
|
2019 |
€ 3.399 |
€ 1.596 |
€ 2.477 |
€ 1.268 |
|
2020 |
€ 3.819 |
€ 1.622 |
€ 2.711 |
€ 1.412 |
|
2021 |
€ 4.205 |
€ 1.703 |
€ 2.837 |
€ 1.469 |
|
2022 |
€ 4.260 |
€ 1.726 |
€ 2.888 |
€ 1.494 |
Figuur 2 – Maximumbedragen van verschillende heffingskortingen sinds 2001. De afkorting AHK staat voor algemene heffingskorting.

De leden van de fractie van 50PLUS vragen of het afbouwpercentage van de ouderenkorting kan worden verlaagd, zoals ook is gebeurd met de arbeidskorting. Het kabinet heeft in dit Belastingplan voorgesteld om het afbouwpercentage van de arbeidskorting te verlagen om te zorgen voor meer evenwicht in het koopkrachtbeeld tussen eenverdieners en tweeverdieners. Daarmee is het kabinet van mening dat er een voldoende evenwichtige koopkrachtvoorspelling voor 2022 ligt.
De leden van de fractie van 50PLUS vragen wat het koopkrachteffect is van de verhoging van de (halve) algemene heffingskorting voor AOW’ers met € 200 respectievelijk € 300. Het apart verhogen van de algemene heffingskorting voor alleen AOW-ers is niet mogelijk binnen de huidige structuur, waarbij er één algemene heffingskorting is die naar rato wordt toegepast voor AOW-ers. Dit kan daarom ook niet worden doorgerekend.
Als zo’n verhoging voor alleen AOW-ers wel mogelijk zou zijn geweest, dan zou het overigens negatief uitpakken voor AOW-ers zonder aanvullend pensioen. Vanwege de netto-nettokoppeling zou de netto AOW gelijk blijven. De verhoogde korting zorgt ervoor dat de bruto AOW-uitkering daalt. AOW-ers zonder aanvullend pensioen kunnen deze extra korting echter niet verzilveren, omdat zij ook (alleenstaande)ouderenkorting ontvangen. Een lagere bruto AOW met net zo veel verzilverde kortingen, betekent dat AOW-ers zonder aanvullend pensioen erop achteruit zouden gaan. Voor AOW-ers met aanvullend pensioen die geen last hebben van verzilveringsproblematiek wordt de extra korting deels gecompenseerd door een lagere bruto AOW, waardoor zij slechts gedeeltelijk profiteren.
De leden van de fractie van 50PLUS vragen met welke percentages de tariefschijven kunnen worden verlaagd als de arbeidskorting wordt afgeschaft voor alle belastingplichtigen. Met het geld dat vrijkomt na afschaffen van de arbeidskorting kan het tarief eerste schijf met 6,21 procentpunt worden verlaagd tot 30,86%. In deze berekening is niet meegenomen dat afschaffen van de arbeidskorting een negatief effect heeft op het arbeidsaanbod en de daaruit voortvloeiende belastinginkomsten.
De leden van de fractie van 50PLUS vragen of de algemene heffingskorting ook voor de AOW-ers met € 14 kan worden verhoogd, omdat de maatregel bedoeld is om de koopkracht voor de lagere inkomens te verbeteren. Zij stellen dat AOW-ers slechts € 7 krijgen, terwijl voor AOW- ers en niet AOW-ers de koopkracht in gelijke mate daalt. Het klopt dat het maximumbedrag van de algemene heffingskorting is verhoogd met € 14. Deze verhoging is bedoeld als compensatie voor de stijgende zorgpremies als gevolg van de verhoging van de zorgsalarissen. Dit alles is geregeld tijdens de Algemene Politieke Beschouwingen middels de motie Hermans.
In het netto referentieminimumloon voor de AOW betekent dit een verhoging van € 28, omdat de algemene heffingskorting hier tweemaal in zit. Vanwege de netto-nettokoppeling, betekent dit dat de netto AOW-uitkering omhoog gaat met 70% x € 28 = € 19,60 voor een alleenstaande AOW-er en met 50% x € 28 = € 14 voor een AOW-er met partner. Het is dus niet juist dat AOW-ers er slechts € 7 op vooruit zouden gaan door deze maatregel; zij krijgen het gehele voordeel van € 14 of zelfs meer. Daarmee constateert het kabinet dat ook AOW-ers voldoende worden gecompenseerd voor de stijgende zorgpremies en dat aanvullende maatregelen niet nodig zijn. Overigens is het apart verhogen van de algemene heffingskorting voor alleen AOW-ers niet mogelijk binnen de huidige structuur, waarbij er één algemene heffingskorting is die naar rato wordt toegepast voor AOW-ers.
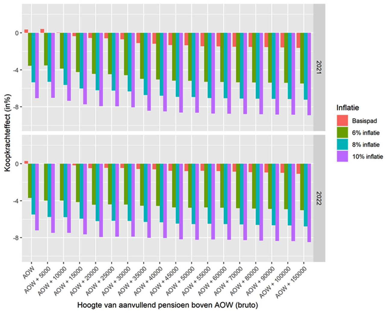
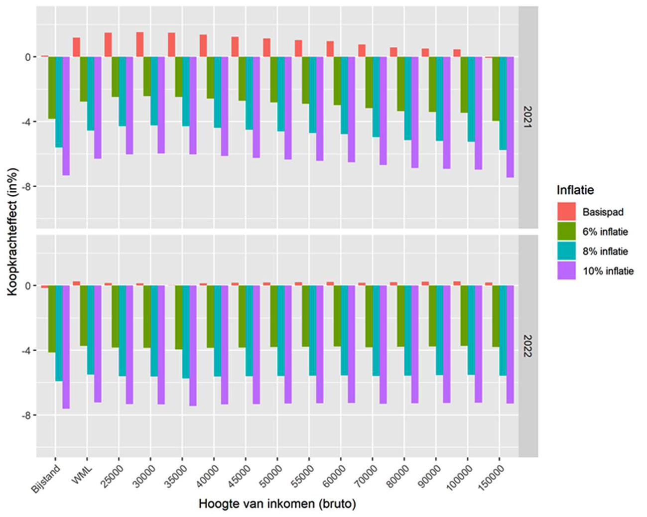
De leden van de fractie van 50PLUS vragen om een overzicht van de koopkrachtontwikkeling voor AOW-gerechtigden en niet-AOW-gerechtigden voor de jaren 2021 en 2022 uitgaande van een totale inflatie van 6–8% en 10% voor verschillende inkomensgroepen. Deze leden vragen ook naar de koopkrachtontwikkeling van een AOW-gerechtigde met AOW en een niet-geïndexeerd pensioen van € 18.000 in 2021 en 2022 op basis van inflatie van 5% in 2021 en 4% in 2022. In de hierna opgenomen figuren is de koopkrachtontwikkeling van AOW-gerechtigden en niet-AOW-gerechtigden in de jaren 2021 en 2022 opgenomen onder verschillende inflatiehoogtes: basispad, 6% inflatie, 8% inflatie en 10% inflatie. De prognoses van de koopkrachtontwikkeling voor 2021 en 2022 zijn gebaseerd op de Macro Economische Verkenning (MEV)-raming van het Centraal Planbureau (CPB), deze is afgelopen september uitgebracht. In de raming, het basispad, wordt het inflatiecijfer voor 2021 geraamd op 1,9 procent en voor 2022 op 1,8 procent.
De figuren gaan uit van een alleenstaand persoon. Bij de AOW-gerechtigden is de AOW-uitkering als basis genomen, hierdoor kan bij de gevraagde bedragen het effect van de indexatie van de AOW worden meegenomen.
Om een vergelijking te kunnen maken met niet-AOW-gerechtigden zijn de koopkrachteffecten voor een werkende weergegeven vanaf het inkomen op bijstandsniveau en wettelijk minimumloon (WML).
In de hierna opgenomen tabel is de koopkrachtontwikkeling in de jaren 2021 en 2022 voor een alleenstaande AOW-gerechtigde met een aanvullend pensioen van € 18.000 per jaar opgenomen. In het basispad van de MEV-raming uit september bedraagt de indexatie van het aanvullend pensioen 0,01 procent in 2021 en 0,4 procent in 2022. In de gevraagde berekening wordt het aanvullend pensioen niet geïndexeerd en bedraagt de inflatie 5% in 2021 (t.o.v. 1,9% in het basispad) en 4% in 2022 (t.o.v. 1,8 procent in het basispad).
In deze ramingen zijn de contractloonontwikkeling (waaraan de AOW-hoogte indirect gekoppeld is) en indexatie van het aanvullend pensioen constant gehouden. Bij de gevraagde inflatiescenario’s is het zeer aannemelijk dat deze factoren wijzigen, waardoor het effect van de hogere inflatie op de koopkracht voor huishoudens mogelijk gedempt wordt.
|
Jaar |
Basispad |
Met hogere inflatie, zonder indexatie |
|---|---|---|
|
2021 |
– 0,49% |
– 3,47% |
|
2022 |
– 0,44% |
– 2,74% |
Figuur 3 – Koopkrachtontwikkeling voor alleenstaande AOW-gerechtigden onder verschillende inflatiehoogtes

Figuur 4 – Koopkrachtontwikkeling voor werkende alleenstaande onder verschillende inflatiehoogtes

De leden van de fractie van 50PLUS vragen wat het koopkrachteffect zou zijn van een verhoging van de ouderenkorting met € 200 in 2021 en € 300 in 2022. Een verhoging van de ouderenkorting heeft een positief inkomenseffect voor gepensioneerden met een aanvullend pensioen. De hierna opgenomen tabel toont een aantal gestileerde voorbeelden uit de gebruikelijke voorbeeldhuishoudens. De meest recente CPB-raming (MEV) vormt de basis voor de berekeningen. De kolommen tonen de cumulatieve koopkrachtontwikkeling in 2021 en 2022 voor AOW-gerechtigden zonder (aanvullende) verhoging van de ouderenkorting (basis) en met verhoging van de ouderenkorting. De rechter kolom toont het cumulatieve effect van de verhoging van de ouderenkorting in 2021 en 2022.
|
Koopkrachtcijfers – cum. 2021 en 2022 |
|||
|---|---|---|---|
|
AOW (alleenstaand) |
Basis |
Ouderenk. |
Verschil |
|
(alleen) AOW |
0,7% |
0,7% |
+ 0,0% |
|
AOW +10000 |
0,0% |
2,2% |
+ 2,2% |
|
AOW (paar) |
|||
|
(alleen) AOW |
0,5% |
0,5% |
+ 0,0% |
|
AOW +10000 |
0,1% |
1,9% |
+ 1,8% |
|
AOW +30000 |
– 1,0% |
0,3% |
+ 1,3% |
De leden van de fractie van 50PLUS vragen met hoeveel de AOW-uitkering zal stijgen in 2022. Vanaf 1 juli 2021 is een volledige AOW-uitkering voor een alleenstaande bruto € 1.266,46 per maand (exclusief vakantietoeslag en de tegemoetkoming aan AOW-gerechtigden). Per 1 januari 2022 stijgt de bruto AOW-uitkering naar € 1.290,39. Het AOW-bedrag vanaf 1 juli 2022 staat nog niet vast, omdat deze wordt bepaald op basis van het wettelijk minimumloon per 1 juli 2022. Hiervoor wordt de CEP-raming van het CPB gebruikt, die in maart verschijnt. Op basis van de meest recente raming (MEV-raming van Prinsjesdag) zou het bedrag uitkomen op € 1.301,97.
De leden van de fractie van 50PLUS vragen met hoeveel de AOW op 1 januari 2022, 1 juli 2022 en 1 januari 2023 zou moeten stijgen bij een inflatie van 5% in 2021 en 4% in 2022. In maart verschijnt de eerste economische raming van het CPB voor 2023. Daarom is het niet mogelijk om een berekening van de koopkracht of van het effect van een hogere AOW te maken voor 2023.
De vraag wordt daarom als volgt beantwoord: met hoeveel moet de AOW in 2022 stijgen om de cumulatieve koopkrachtontwikkeling gelijk aan het huidige beeld te houden, bij een inflatie van 5% in 2021 en 4% in 2022. Merk op dat in deze berekening alleen de inflatie is aangepast. Alle andere variabelen zijn constant gehouden.
De cumulatieve koopkrachtontwikkeling (2021 en 2022) van een alleenstaande met alleen AOW is 0,7%. Bij een inflatie van 5% in 2021 en 4% in 2022 zou dat – 4,4% zijn. In dit scenario van hoge inflatie kan een cumulatieve koopkrachtontwikkeling van 0,7% bereikt worden door AOW te verhogen naar circa € 1.363 vanaf januari 2022 en circa € 1.375 vanaf 1 juli 2022. Een stijging per 1 januari 2023 heeft geen effect meer op de koopkrachtontwikkeling van AOW-gerechtigden in 2022.
De leden van de fractie van 50PLUS vragen om een overzicht waarbij voor AOW-gerechtigden de inkomensafhankelijke bijdrage Zvw (IAB) in aftrek wordt gebracht op de algemene heffingskorting en ouderenkorting. Om niet de suggestie te wekken dat de heffingskortingen de af te dragen IAB kunnen verminderen zijn – net als bij de schriftelijke antwoorden die zijn gegeven in het kader van de Algemene Financiële Beschouwingen – de algemene heffingskorting en ouderenkorting enerzijds en de IAB anderzijds in twee aparte tabellen opgenomen.12 Het is dus niet zinvol om de heffingskortingen en IAB op te tellen. Het IAB-percentage voor 2022 is inmiddels vastgesteld op 5,50%. Overigens zit het effect van tarieven, heffingskortingen, verzilvering en IAB verwerkt in gemiddeldedrukberekeningen en koopkrachtplaatjes die jaarlijks gemaakt worden. Dit soort plaatjes geven een goed beeld van de belastingdruk en de verandering daarin. Heffingskortingen en IAB geven slechts een partieel beeld van de belastingdruk van AOW-gerechtigden.
|
Inkomen |
AHK |
Ouderenkorting |
|---|---|---|
|
€ 10.000 |
€ 1.494 |
€ 1.726 |
|
€ 15.000 |
€ 1.494 |
€ 1.726 |
|
€ 20.000 |
€ 1.494 |
€ 1.726 |
|
€ 25.000 |
€ 1.379 |
€ 1.726 |
|
€ 30.000 |
€ 1.224 |
€ 1.726 |
|
€ 35.000 |
€ 1.068 |
€ 1.726 |
|
€ 40.000 |
€ 913 |
€ 1.496 |
|
€ 45.000 |
€ 758 |
€ 746 |
|
€ 50.000 |
€ 603 |
€ 0 |
|
€ 60.000 |
€ 292 |
€ 0 |
|
€ 70.000 |
€ 0 |
€ 0 |
|
€ 80.000 |
€ 0 |
€ 0 |
|
€ 90.000 |
€ 0 |
€ 0 |
|
€ 100.000 |
€ 0 |
€ 0 |
|
Inkomen |
IAB |
|---|---|
|
€ 10.000 |
€ 550 |
|
€ 15.000 |
€ 825 |
|
€ 20.000 |
€ 1.100 |
|
€ 25.000 |
€ 1.375 |
|
€ 30.000 |
€ 1.650 |
|
€ 35.000 |
€ 1.925 |
|
€ 40.000 |
€ 2.200 |
|
€ 45.000 |
€ 2.475 |
|
€ 50.000 |
€ 2.750 |
|
€ 60.000 |
€ 3.283 |
|
€ 70.000 |
€ 3.283 |
|
€ 80.000 |
€ 3.283 |
|
€ 90.000 |
€ 3.283 |
|
€ 100.000 |
€ 3.283 |
De leden van de fractie van 50PLUS vragen om een overzicht van het totaal van het voordeel van de algemene heffingskorting, de arbeidskorting en het voordeel van onbelast loon doordat werkgevers de zorgpremie betalen voor werknemers. Voor invoering van de Wet uniformering loonbegrip (WUL) betaalden werkgevers een vergoeding aan de werknemer, waarna de inkomensafhankelijke bijdrage werd ingehouden op het loon van de werknemer. Met de WUL werd de inkomensafhankelijke bijdrage vervangen door een werkgeversheffing, die niet tot het loon behoort. Door deze aanpassing werd de grondslag voor de loon- en inkomstenbelasting versmald. Zonder verdere maatregelen zou dit leiden tot een groot positief inkomenseffect voor werknemers. Met de invoering van de WUL is ter compensatie een pakket aan lastenverzwarende maatregelen genomen. De compenserende maatregelen zijn zo vormgegeven dat de inkomenseffecten voor verschillende groepen zo klein mogelijk waren. Hierbij is ook rekening gehouden met de inkomenseffecten van AOW-gerechtigden.
De WUL heeft dan ook per saldo niet geleid tot een belastingvoordeel voor werknemers noch tot een nadeel voor gepensioneerden. Het is dan ook niet relevant om nu nog te spreken over een voordeel vanwege onbelast loon voor werkenden, omdat dat voordeel bij de omzetting al gecompenseerd is. Om die reden en vanwege het feit dat de AOW-premie niet te laag is, is het ook niet zinvol om een optelling te maken van de veronderstelde voordelen van hogere heffingskortingen, te lage AOW-premies en onbelast loon bij zorgpremies. Bovendien zou bij een dergelijke vergelijking het gehele stelsel van belastingen toeslagen meegenomen moeten worden, zoals ook gedaan is door de Commissie Draagkracht.13
De leden van de fractie van 50PLUS vragen om een overzicht van de totaal verzilverde algemene heffingskorting, arbeidskorting en ouderenkorting voor gepensioneerden en niet-gepensioneerden in 2003 en 2021. Deze leden vragen of hierbij ook het aantal gepensioneerde en niet-gepensioneerde belastingplichtigen kan worden gegeven.
|
Totaal verzilverd (miljard euro) |
2003 |
2021 |
2021 vs. 2003 |
|---|---|---|---|
|
Algemene heffingskorting niet-gepensioneerden |
17,9 |
20,5 |
|
|
Arbeidskorting niet-gepensioneerden |
7,1 |
24,2 |
|
|
Algemene heffingskorting + arbeidskorting niet-gepensioneerden |
25,0 |
44,7 |
+ 79% |
|
Algemene heffingskorting gepensioneerden |
1,8 |
4,1 |
|
|
Arbeidskorting gepensioneerden |
0,0 |
0,3 |
|
|
Ouderenkorting gepensioneerden |
0,7 |
4,1 |
|
|
Algemene heffingskorting + arbeidskorting + ouderenkorting gepensioneerden |
2,5 |
8,5 |
+ 240% |
|
Aantal niet-gepensioneerden met inkomen (mln) |
9,69 |
10,82 |
+ 12% |
|
Aantal gepensioneerden met inkomen (mln) |
2,17 |
3,25 |
+ 50% |
De leden van de fractie van 50PLUS vragen om een overzicht van de niet-verzilverde heffingskorting voor gepensioneerden en niet-gepensioneerden. In 2021 hebben niet-gepensioneerden voor ongeveer € 50,4 miljard recht op heffingskortingen. Van dit bedrag kunnen zij € 46,7 miljard verzilveren (92,7%), al dan niet tegen partnerinkomen. Gepensioneerden hebben in 2021 voor ongeveer € 9,8 miljard recht op heffingskortingen. Van dit bedrag kunnen zij € 8,9 miljard verzilveren (90,4%), al dan niet tegen partnerinkomen.
Uitzondering fiscaal partnerbegrip voor toepassing inkomensafhankelijke combinatiekorting
De leden van de fractie van de VVD vragen wat de gevolgen zijn voor de handhaafbaarheid, de fraudebestendigheid en de benodigde incidentele uitgaven bij een langere voorbereidingstijd/implementatietijd van de voorgestelde maatregel. De voorgestelde maatregel leidt ertoe dat de uitzondering op het fiscaal partnerbegrip voor toepassing van de inkomensafhankelijke combinatiekorting (IACK) niet geldt voor de persoon die geen inwoner is van Nederland en geen kwalificerende buitenlandse belastingplichtige is. Hierdoor geldt ook voor de persoon die geen inwoner is van Nederland en geen kwalificerende buitenlandse belastingplichtige voor toepassing van de IACK de voorwaarde dat deze persoon geen partner heeft, dan wel een partner heeft met een hoger arbeidsinkomen. De handhaafbaarheid van deze extra voorwaarde is vanwege het gebrek aan gegevens uit het buitenland complexer dan in binnenlandse situaties. Het toezicht vraagt hierdoor meer capaciteit van medewerkers van de Belastingdienst, aangezien (steekproefsgewijs) bewijsmiddelen bij de belastingplichtige worden opgevraagd. Een langere voorbereidingstijd/implementatietijd heeft bij deze maatregel derhalve geen gevolgen voor de handhaafbaarheid en de fraudebestendigheid aangezien het gebrek aan gegevens uit het buitenland niet gerelateerd is aan de voorbereidingstijd/implementatietijd. Een langere voorbereidingstijd/implementatietijd heeft bij deze maatregel wel beperkte gevolgen voor de benodigde incidentele uitgaven. De maatregel kon vanwege de kortere voorbereidingstijd niet op de reguliere wijze worden geïmplementeerd in het voorlopige aanslagenproces 2022. Om te bereiken dat de voorlopige aanslagen niet tot een onjuist bedrag worden vastgesteld wordt voor de doelgroep extra, gerichte communicatie ingezet. Hieraan zijn beperkt incidentele kosten verbonden. Deze kosten zijn in de uitvoeringstoets niet afzonderlijk begroot.
De leden van de fractie van de VVD vragen naar de concrete adviezen die de Belastingdienst heeft gegeven teneinde de maatregel beter uitvoerbaar te maken. De Belastingdienst is nauw betrokken geweest bij de totstandkoming van de maatregel en de gevolgen van de implementatie van de maatregel op de processen van de Belastingdienst. De Belastingdienst heeft geen concrete adviezen gegeven om de maatregel beter uitvoerbaar te maken. Wel is vanuit de uitvoering het signaal afgegeven dat de beperkte gegevenspositie van de Belastingdienst effecten heeft op de handhaafbaarheid.
De leden van de fractie van 50PLUS vragen wat de gevolgen zijn van gehele of gedeeltelijke afschaffing van de IACK voor de arbeidsmarkt en op welke wijze de gevolgen van afschaffing deels kunnen worden gecompenseerd. De IACK stimuleert de minstverdienende partners en alleenstaanden met jonge kinderen om meer uren per week te gaan werken. Deze groep is relatief gevoelig voor financiële prikkels. Een potentieel nadeel van de IACK is wel dat de uitbetaling niet zo zichtbaar is (deze wordt jaarlijks uitbetaald bij de belastingaanslag). Het is daardoor de vraag in hoeverre huishoudens dit meenemen in de arbeidsparticipatiebeslissing. Mocht er de wens zijn om de inkomensgevolgen te compenseren, dan kan er bijvoorbeeld worden gekeken naar de arbeidskorting. Dit is een korting voor alle werkenden, en niet alleen voor de minstverdienende partners en alleenstaanden met kinderen. Dit betekent wel dat de inkomensgevolgen niet volledig kunnen worden gecompenseerd, of dat er extra budgettaire middelen moeten worden uitgetrokken.
Verhogen steunpercentages in de milieu-investeringsaftrek
De leden van de fractie van het CDA stellen enkele vragen over de effectiviteit van de milieu-investeringsaftrek (MIA), de energie-investeringsaftrek (EIA) en de willekeurige afschrijving milieu-investeringen (Vamil). Zij vragen welk percentage van de ondernemers die in beginsel aanmerking komen voor de MIA, Vamil en EIA verlieslijdend zijn. Verder vragen zij welke gevolgen dit heeft voor de effectiviteit van de regeling en of hier in het licht van de klimaatdoelstellingen naar een oplossing moet worden gezocht.
De MIA, EIA en Vamil zijn fiscale ondernemingsregelingen die zorgen voor een vermindering van de te belasten winst. Uit de meest recente evaluaties14 blijkt dat de MIA, Vamil en EIA kosteneffectieve regelingen zijn om investeringen in respectievelijk milieuvriendelijke en energiebesparende bedrijfsmiddelen te stimuleren. Het beschikbare budget van deze regelingen wordt doorgaans jaarlijks volledig uitgeput. Een verliessituatie betekent niet dat het fiscale voordeel van de MIA, Vamil en EIA verdampt. Door de regels met betrekking tot de verliesverrekening (carry back en carry forward) kan een ondernemer die belastingplichtig voor de inkomstenbelasting (IB-ondernemer) of een lichaam dat belastingplichtig is voor de vennootschapsbelasting een verlies verrekenen met de winst uit een ander jaar. Het voordeel van bijvoorbeeld een MIA, EIA of Vamil kan er in resulteren dat het desbetreffende jaar een verlies ontstaat, waardoor over de winst van dat jaar geen belasting verschuldigd is. Het overige voordeel wordt geëffectueerd door middel van de verliesverrekening. Overigens geldt met betrekking tot de Vamil dat er willekeurig kan worden afgeschreven. Dat betekent niet dat in het eerste jaar direct het maximale percentage van 75% van de aanschaf moet worden afgeschreven. Er kan door belastingplichtige voor worden gekozen om in het eerste jaar bijvoorbeeld 20% af te schrijven en in het tweede jaar 50%. Op die manier kan een belastingplichtige voorkomen dat hij in een verliessituatie terechtkomt. Uit de aangiftegegevens van de Belastingdienst over het jaar 2018 blijkt dat 13% van de belastingplichtigen die de EIA of MIA in de aangifte verwerkten, niet het (volledige) belastingvoordeel heeft verzilverd in het desbetreffende jaar. Onder deze 13% (dit zijn circa 3.000 belastingplichtigen) zitten ook belastingplichtigen die de Vamil hebben opgevoerd, omdat Vamil in veel gevallen gecombineerd wordt met de MIA. Bij de berekening van het budgettaire belang wordt ervan uitgegaan dat uiteindelijk 95% van de EIA, MIA en Vamil verzilverd wordt. De verzilverbaarheid van het financiële voordeel van de MIA en Vamil zal worden betrokken bij de volgende beleidsevaluatie die in 2023 met uw Kamer gedeeld zal worden. Vooralsnog ziet het kabinet echter geen aanleiding om de MIA en Vamil op dit punt aan te passen.
De leden van de fractie van D66 vragen om een onderbouwing waarom de MIA-steunpercentages niet hoger zijn gekozen teneinde milieuverbeterende investeringen meer te stimuleren. Uit analyses van de Rijksdienst voor Ondernemend Nederland (RVO), samen met de Belastingdienst verantwoordelijk voor de uitvoering van de regeling, blijkt dat de meerkosten van milieuvriendelijkere technieken ten opzichte van gangbare technieken zijn gestegen. Hierdoor is het huidige maximale steunpercentage van 36% MIA vaker onvoldoende om aan de meerkosten tegemoet te komen. Tegelijkertijd levert het huidige laagste steunpercentage van 13,5% MIA slechts een beperkt nettovoordeel op, waardoor het maar voor een beperkt aantal bedrijfsmiddelen een effectieve prikkel blijkt. Op basis van de analyses van RVO heeft het kabinet daarom besloten om de steunpercentages te verhogen naar 27% (momenteel 13,5%), 36% (momenteel 27%) en 45% (momenteel 36%). Met de verhoogde steunpercentages wordt de prijsprikkel voor ondernemers om te investeren in het milieuvriendelijke alternatief vergroot, terwijl tegelijkertijd binnen de staatssteungrenzen wordt gebleven.
Gerichte vrijstelling thuiswerkkosten
De leden van de fractie van de VVD vragen of er een kosten-batenafweging is gemaakt ten aanzien van de invoering van de gerichte vrijstelling voor thuiswerkkosten, en zo ja, of deze kosten-batenanalyse leidt tot een onderbouwing van de structurele extra inzet aan personeel. Waar mogelijk thuiswerken is op dit moment weer de regel, maar zelfs als dat anders zou zijn geweest, zal het werken vanuit huis ook in de toekomst steeds meer gebruikelijk zijn. In dat kader hebben werkgevers- en werknemersorganisaties gepleit voor de introductie van een gerichte vrijstelling voor de loonheffingen voor een thuiswerkkostenvergoeding. Het kabinet heeft tegemoet willen komen aan deze maatschappelijk breed gedragen wens. Het kabinet heeft daarbij gekozen voor de introductie van een gerichte vrijstelling in plaats van een verhoging van de vrije ruimte in de werkkostenregeling, hoewel deze laatste optie voor de Belastingdienst vanwege de eenvoud minder uitvoeringslasten tot gevolg zouden hebben. Aan de keuze van een gerichte vrijstelling liggen twee redenen ten grondslag. Ten eerste geeft een gerichte vrijstelling met een duidelijk maximaal vrijgesteld bedrag van – in dit geval – € 2 per dag, houvast voor zowel de werkgever als de werknemer. Een tweede reden is van budgettaire aard. De kosten van invoering van een gerichte vrijstelling voor thuiswerkkosten in de werkkostenregeling zijn geraamd op € 221 miljoen. Een generieke verhoging van de vrije ruimte zou een aanzienlijk hoger budgettair beslag met zich brengen, omdat de vrije ruimte voor alle werkgevers wordt verhoogd, ook in de gevallen waar thuiswerken als gevolg van de aard van de werkzaamheden niet aan de orde is. De uitvoeringskosten voor de Belastingdienst van de introductie van een gerichte vrijstelling (€ 2,96 miljoen structureel en € 2,48 miljoen incidenteel) zijn hoger dan die van het verhogen van de vrije ruimte. Gelet op het vorenstaande geeft het kabinet desalniettemin de voorkeur aan een gerichte vrijstelling in plaats van een verhoging van de vrije ruimte.
De leden van de fractie van de VVD vragen welke concrete adviezen de Belastingdienst heeft gegeven om de maatregel beter uitvoerbaar te maken. De Belastingdienst heeft voor de maatregel middels de uitvoeringstoets de uitvoeringsgevolgen in beeld gebracht. Daarbij is ook aandacht gegeven aan mogelijke verduidelijkingen die voor zowel werkgevers als de Belastingdienst de uitvoering zouden vereenvoudigen. Concreet heeft de Belastingdienst geadviseerd om de antisamenloopbepaling te laten vervallen. De antisamenloopbepaling heeft namelijk tot gevolg dat onderscheid moet worden gemaakt tussen reizen naar de vaste plaats van werkzaamheden en overige reizen, waar dat in de huidige regeling niet het geval is. Het loslaten van de antisamenloopbepaling heeft een groot budgettair beslag van de gerichte vrijstelling tot gevolg. Naast dit budgettaire aspect acht het kabinet het ook niet gewenst (en niet logisch) om voor een en dezelfde dag zowel een gericht vrijgestelde thuiswerkkostenvergoeding als een gericht vrijgestelde reiskostenvergoeding voor het woon-werkverkeer te kunnen ontvangen. De Belastingdienst heeft verder voorgesteld om het begrip «vaste plaats van werkzaamheden» expliciet nader toe te lichten. Tot slot heeft de Belastingdienst een verruiming van de vrije ruimte als alternatief voorgelegd. Door de vrije ruimte te verruimen hebben werkgevers meer mogelijkheden om in overleg met werknemers gerichter en eenvoudiger tegemoet te komen aan de kosten van thuiswerken. Een generieke verhoging van de vrije ruimte zou een aanzienlijk hoger budgettair beslag met zich brengen, omdat de vrije ruimte voor alle werkgevers wordt verhoogd, ook in de gevallen waar thuiswerken als gevolg van de aard van de werkzaamheden niet aan de orde is.
Verhoging tarief van de vennootschapsbelasting
De leden van de fractie van 50PLUS stellen enkele vragen over de verhoging van het vennootschapsbelastingtarief in combinatie met de afschaffing van de BIK. Hierbij vragen deze leden aandacht voor de lastenverzwaring voor het bedrijfsleven. Op 16 september 2021 heeft de Tweede Kamer de motie van de leden Hijink en Bikker om extra middelen voor zorgsalarissen vrij te maken aangenomen.15 Deze motie roept het kabinet – kort gezegd – op om voldoende extra financiële middelen voor zorgsalarissen vrij te maken en de budgettaire dekking te vinden in verhoging van de vennootschapsbelasting. Met de voorgestelde verhoging van het hoge vennootschapsbelastingtarief van 25% naar 25,8% met ingang van 1 januari 2022 wordt uitvoering gegeven aan deze aangenomen motie. Vooral in deze moeilijke economische omstandigheden wil het kabinet ondernemers steunen. Daarom heeft het kabinet gekeken hoe het BIK-budget in 2021 op andere wijze zo snel mogelijk ten goede kon komen aan het bedrijfsleven, waarbij tevens zo dicht mogelijk bij het beleidsdoel van de BIK wordt gebleven. Het kabinet heeft daarom de AWf-premie voor werkgevers nog in 2021 verlaagt. De gevolgen voor bedrijven van het met terugwerkende kracht intrekken van de BIK blijft hiermee zoveel mogelijk beperkt. Het verlagen van de AWf-premie verlaagd de loonkosten en verbetert de liquiditeit en solvabiliteit van bedrijven en vergroot daarmee de ruimte om te investeren of externe financiering daarvoor te vinden conform het beleidsdoel van het kabinet.
Temporele beperking verrekening voorheffingen met de vennootschapsbelasting (Sofina)
De leden van de fractie van het CDA vragen of het beperken van de verrekening van voorheffingen door binnenlandse aandeelhouders op gespannen voet staat met het uitgangspunt van het Sofina-arrest. Ze vragen daarbij of het fair is om binnenlandse beleggers zwaarder te belasten vanwege een beslissing van het HvJ EU in de zaak Sofina die er volgens deze leden op gericht is om de verrekening van voorheffingen internationaal zo soepel mogelijk te laten verlopen met het oog op de EU-verdragsvrijheden en de interne markt. Ten slotte vragen zij of er niet ten onrechte de indruk wordt gewekt dat deze lastenverzwaring te wijten is aan Europa.
Het kabinet ziet de gekozen maatregel als de meest geschikte optie om de strijdigheid van de Nederlandse wetgeving met het EU-recht op basis van het Sofina-arrest weg te nemen. In het Sofina-arrest heeft het Hof van Justitie van de Europese Unie (HvJ EU) geoordeeld dat de Franse dividendbelastingwetgeving in strijd is met het EU-recht doordat verlieslatende buitenlandse vennootschappen die portfoliodividend ontvangen uit een Franse vennootschap hierover dividendbelasting moeten betalen, terwijl verlieslatende Franse vennootschappen geen of pas later belasting betalen over het ontvangen dividend. Het HvJ EU beperkt zich tot het doen van een uitspraak over de vraag of een bepaalde (belasting)maatregel van een lidstaat in strijd is met het EU-recht. Het doet geen uitspraak over de wijze waarop een systeem dat strijdig is met het EU-recht dient te worden aangepast. Hoewel het Franse systeem afwijkt van het Nederlandse systeem komen beide systemen in economisch opzicht op hetzelfde neer. In Nederland kunnen verlieslatende belastingplichtigen in de vennootschapsbelasting de ingehouden dividendbelasting en kansspelbelasting volledig terugkrijgen. Voor verlieslatende buitenlandse (portfolio-)aandeelhouders (niet belastingplichtig in de vennootschapsbelasting) geldt daarentegen in het algemeen dat geen recht bestaat op teruggave. Dividendbelasting en kansspelbelasting zijn immers alleen voorheffingen voor belastingplichtigen in de vennootschapsbelasting. Voorheffingen zijn daarmee een «voorschot» op het te betalen bedrag aan vennootschapsbelasting, de eindheffing. Voor buitenlandse aandeelhouders zijn de dividendbelasting en kansspelbelasting eindheffingen (met eventuele verrekeningsmogelijkheden in het woonland) omdat zij geen Nederlandse vennootschapsbelasting zijn verschuldigd.
Om de strijdigheid met het EU-recht weg te nemen zijn er twee alternatieven overwogen, te weten: 1) de introductie van een (voorwaardelijke) teruggave voor verlieslatende buitenlandse aandeelhouders of 2) de introductie van een temporele beperking van de verrekeningsmogelijkheden voor belastingplichtigen in de vennootschapsbelasting op basis waarvan – de facto – geen teruggave meer kan plaatsvinden (Sofina-maatregel).
Er is gekozen voor het tweede alternatief vanwege budgettaire aspecten en uitvoeringsaspecten.
De leden van de fractie van de VVD vragen welke concrete gevolgen de geschetste verdringing van modernisering en vernieuwing van het IV-portfolio heeft. Voor de vennootschapsbelasting wordt deels gebruikgemaakt van een van de systemen voor de inkomstenbelasting. Dit systeem is gebouwd op een platform dat uiterlijk 31 december 2026 vervangen moet zijn. Deze tijdshorizon vereist jaarlijks moderniseringswerkzaamheden. De beschikbare capaciteit voor veranderingen in de ICT worden in beslag genomen door benodigde modernisering en al eerder aangenomen wetsvoorstellen. Het is aannemelijk dat ook de komende jaren – mede vanwege internationale ontwikkelingen – beleid en wetgeving komt op het terrein van de vennootschapsbelasting met impact op de ICT-capaciteit. Zonder aanvullende maatregelen is de kans groot dat dit niet opgelost kan worden binnen de nog resterende capaciteit.
De Belastingdienst werkt daarom aan het vergroten van het inzicht in hoeveel ruimte beschikbaar is en de daarin te maken keuzes voor nieuw beleid en andere prioriteiten. Hierin wil de Belastingdienst de komende jaren verbeteren. Om de ICT-capaciteit op peil te houden zet de Belastingdienst al geruime tijd in op de werving van eigen personeel binnen de financiële kaders. Daarnaast wordt geïnvesteerd in een effectievere IV-organisatie. Dit om het rendement te verhogen en zo meer ruimte te creëren voor onder andere het implementeren van beleid. Naarmate de tijd vordert zou er op die manier per jaar meer ruimte moeten komen. Bij de uitwerking in nationale regelgeving van EU-voorstellen zal uiteraard rekening worden gehouden met de daaraan verbonden deadlines. Of en in hoeverre de uitwerking van voorstellen in de tijd moet of kan worden verschoven zal telkens opnieuw worden bezien.
De leden van de fractie van de VVD vragen op basis van welk besluitvormingskader voorrang is gegeven aan het invoeren van deze maatregel met ingang van 1 januari 2022. De maatregel in dit Belastingplan betreft een beperking voor belastingplichtigen in de vennootschapsbelasting die (indirect) volgt uit een arrest van het HvJ EU in de zaak Sofina16 en komt niet voort uit een specifieke beleidswens van het kabinet anders dan het in overeenstemming brengen van de vennootschapsbelasting met het EU-recht. Het kabinet erkent dat de maatregel complex is en een beslag legt op de uitvoering. Overigens is het aantal belastingplichtigen dat met de maatregel wordt geconfronteerd naar verwachting beperkt. Verder is voor de inrichting van het toezicht en handhaving relevant dat meer dan de helft van de opbrengst van de maatregel afkomstig is van een kleine groep grote bedrijven die actief is in de financiële sector. In dat licht ziet het kabinet de gekozen maatregel als de meeste geschikte optie om de strijdigheid van de Nederlandse wetgeving met het EU-recht op basis van het Sofina-arrest weg te nemen. Naast de gekozen maatregel is er nog één andere mogelijkheid denkbaar. Deze mogelijkheid laat de huidige behandeling van belastingplichtigen in de vennootschapsbelasting ongewijzigd en introduceert een (voorwaardelijke) teruggave voor verlieslatende buitenlandse aandeelhouders. Voor dit alternatief is uiteindelijk niet gekozen vanwege budgettaire aspecten en uitvoeringsaspecten. Dit alternatief zou weliswaar ten opzichte van de gekozen tegenmaatregel een verlichting van het beslag op de IV-capaciteit kunnen betekenen, maar geeft extra druk op het toezicht en de handhaving. Deze omslag wordt niet minder complex geacht voor de uitvoering.
De leden van de fractie van de VVD vragen welke adviezen de Belastingdienst heeft gegeven ten aanzien van de mogelijke reductie van de complexiteitsgevolgen van de Sofina-maatregel. Bij de voorbereiding van wet- en regelgeving is er vanzelfsprekend ook afstemming met de uitvoering over de vormgeving van een maatregel. Omwille van de uitvoerbaarheid, in het bijzonder ingegeven vanuit de capaciteit van de ICT-mogelijkheden van de Belastingdienst, is er bijvoorbeeld voor gekozen te werken met één beschikking bij de voortwenteling van voorheffingen.17
Vrijstelling van overdrachtsbelasting bij terugkoop woning met verkoopregulerend beding
De leden van de fracties van D66, het CDA en de VVD vragen in te gaan op het nader NOB-commentaar van 19 november 2021 over de «eerdere verkrijging» en over de vraag van wie moet worden terug verkregen. Allereerst vragen zij wat kwalificeert als een «eerdere verkrijging» terzake van een verkoopregulerend beding. Met name indien in het kader van het einde huwelijk/samenleving bij verdeling van de (huwelijks)gemeenschap de woning wordt toebedeeld aan de andere partner. Verder vragen deze leden het begrip «eerdere verkrijging» te verduidelijken met een voorbeeld. Tenslotte vragen zij of het klopt dat het niet relevant is dat de woning wordt terugverkregen van «een» dan wel van «dezelfde» natuurlijk persoon maar dat enkel van belang is dat de woning destijds is overgedragen aan een natuurlijk persoon. De verkrijging door een VoV-aanbieder die onder de vrijstelling kan vallen, dient voort te vloeien uit een verkoopregulerend beding dat door de VoV-aanbieder aan een natuurlijk persoon is opgelegd bij de eerdere verkrijging door die natuurlijk persoon. Een voorbeeld van een «eerdere verkrijging» is de situatie dat een natuurlijk persoon een woning van een woningcorporatie koopt, waarbij de woningcorporatie de woning vervolgens weer terugkoopt. De verkrijging van de natuurlijk persoon kwalificeert dan als «eerdere verkrijging». De VoV-aanbieder, in dit geval de woningcorporatie, kan de woning – indien aan de overige voorwaarden wordt voldaan – ook terugkopen met toepassing van de vrijstelling indien het verkoopregulerend beding ingeval van (echt)scheiding of overlijden met de woning is overgegaan op een ander natuurlijk persoon. De formulering van de voorgestelde tekst van de wet vormt hiervoor geen beletsel. Met «eerdere verkrijging» wordt namelijk niet gedoeld op een eventuele18 verkrijging die voortvloeit uit een scheiding, beëindiging van samenleving of overlijden.
Een wettelijke voorwaarde is dat de VoV-aanbieder de VoV-woning dient te verkrijgen van een natuurlijk persoon. Het is derhalve niet mogelijk – en ook niet in lijn met de doelstelling van de maatregel – dat bijvoorbeeld een rechtspersoon de woning overdraagt aan de VoV-aanbieder waarbij die laatste de vrijstelling kan toepassen. Dat wordt nader uitgewerkt in de aanvullende voorwaarde die wordt opgenomen in Uitvoeringsbesluit belastingen van rechtsverkeer. Daarin komt te staan dat het verkoopregulerend beding een zelfbewoningsplicht moet bevatten. Hier kunnen rechtspersonen nimmer aan voldoen.
Verduidelijkingen en technische wijzigingen overdrachtsbelasting
De leden van de fractie van 50PLUS vragen naar aanleiding van een analyse van De Nederlandsche Bank (DNB), waarin wordt gesteld dat de startersvrijstelling een prijsopdrijvend effect heeft, wat de voors en tegens zouden zijn van afschaffing van de startersvrijstelling. Daarbij willen deze leden weten of de voordelen van de startersvrijstelling wel opwegen tegen het prijsopdrijvend aspect van de vrijstelling en tegen de extra belasting van de Wet differentiatie overdrachtsbelasting voor de Belastingdienst. Bij de beantwoording van deze vraag is ervan uitgegaan dat de leden van de fractie van 50PPLUS refereren aan het op 21 oktober 2021 verschenen rapport van DNB genaamd «Vier ingrediënten voor een evenwichtigere woningmarkt». De vraag van de leden van de fractie van 50PLUS gaat uit van de veronderstelling dat de startersvrijstelling een prijsopdrijvend effect heeft. De startersvrijstelling kan echter niet los gezien worden van de gelijktijdige verhoging van de overdrachtsbelasting voor beleggers, welke mogelijk juist een prijsdrukkend effect heeft. Het is op dit moment te vroeg om definitieve uitspraken te doen over het prijseffect van de Wet differentiatie van de overdrachtsbelasting. Deze wet is immers pas kortgeleden in werking getreden. Op die inwerkingtreding is door de verschillende marktpartijen geanticipeerd door aankopen uit te stellen of juist eerder te laten plaatsvinden. De beschikbare cijfers geven derhalve nog geen betrouwbaar en volledig beeld. Ook is het niet goed te zeggen in hoeverre de overdrachtsbelasting en de stijging van de huidige woningprijzen aan elkaar gerelateerd zijn. In dit verband verwijs ik naar mijn eerdere beantwoording van de vragen van het lid Van Haga over dit onderwerp.19 Wel kan ik in algemene zin opmerken dat de Wet differentiatie overdrachtsbelasting tot gevolg lijkt te hebben dat de positie van starters op de woningmarkt ten opzichte van beleggers is verstevigd. Zo blijkt uit recente cijfers van het Kadaster20 dat het aandeel beleggers bij woningverkrijgingen in 2021 is gehalveerd ten opzichte van 2020. Ook uit deze cijfers van het Kadaster kunnen overigens niet automatisch conclusies worden getrokken over de effectiviteit van de doorgevoerde differentiatie. Ook deze cijfers bevatten mogelijk anticipatie-effecten. Bij de evaluatie van de Wet differentiatie overdrachtsbelasting, die in 2024 zal plaatsvinden en waarvan de resultaten in 2025 verwacht worden, zal vanzelfsprekend niet alleen de doeltreffendheid worden beoordeeld. Ook de doelmatigheid zal worden onderzocht. Dat raakt aan de impact op de Belastingdienst en het notariaat. De verwachte impact van de doorgevoerde differentiatie in de overdrachtsbelasting zelf, en ook het amendement waarmee de woningwaardegrens is geïntroduceerd en de in dit wetsvoorstel opgenomen maatregelen zijn eerder met verschillende uitvoeringstoetsen door de Belastingdienst in kaart gebracht.21 Zowel de doeltreffendheid als de doelmatigheid zijn aspecten die naar aanleiding van de evaluatie door het volgende kabinet beleidsmatig opnieuw kunnen worden gewogen.
De leden van de fractie van het CDA vragen om in te gaan op vraag 3 van het nader NOB- commentaar van 19 november 2021. De NOB vraagt mijn visie over de noodzaak om artikel 42 van de Invorderingswet 1990 (IW 1990) te wijzigen naar aanleiding van de voorgestelde wijzigingen van artikel 9, lid 7, van de Wet op belastingen van rechtsverkeer (WBR). Ik ben van mening dat artikel 42 IW 1990 niet hoeft te worden gewijzigd. Hetgeen in de memorie van toelichting bij het Belastingplan 202222 is opgemerkt over de relatie tussen artikel 9, lid 7, WBR en de artikelen 42 IW 1990 en 21 Uitvoeringsregeling AWR volgt namelijk reeds uit de huidige formulering van deze bepalingen. De aansprakelijkheid van artikel 42 IW 1990 wordt materieel niet anders naar aanleiding van de voorgestelde wijziging.
2e nota van wijziging op wetsvoorstel Belastingplan 2022
De leden van de fractie van 50PLUS vragen of de aanscherping van de earningsstrippingmaatregel is ingegeven door de noodzaak om budgettaire dekking te vinden. Hierbij refereren deze leden aan het feit dat de earningsstrippingmaatregel afkomstig is uit de eerste EU-richtlijn antibelastingontwijking.23 De earningsstrippingmaatregel is een renteaftrekbeperking die er onder meer op is gericht om belastingontwijking – dat wil zeggen winstverschuiving en grondslaguitholling door middel van rentebetalingen – te voorkomen. Door de robuuste vormgeving waar het kabinet eerder voor heeft gekozen wordt met deze maatregel echter met name een meer gelijke fiscale behandeling van eigen vermogen en vreemd vermogen nagestreefd. Met de tweede nota van wijziging24 op het Belastingplan 2022 wordt het aftrekbare percentage in de earningsstrippingmaatregel in de vennootschapsbelasting verlaagd van 30% naar 20%. De aanscherping van de earningsstrippingmaatregel is een budgettaire dekkingsmaatregel voor de maatregelen uit het aanvullende pakket van de motie van het lid van de Tweede Kamer Hermans.25
De leden van de fracties van GroenLinks, de PvdA en 50PLUS stellen enkele vragen over de arbitragemogelijkheden als gevolg van het bestaande tariefverschil tussen het lage en het hoge vennootschapsbelastingtarief en de bij het Belastingplan 2021 reeds in wet vervatte verhoging van de schijfgrens van € 245.000 in 2021 naar € 395.000 per 2022. Een groter verschil tussen het hoge (25% in 2021 en 25,8% in 2022) en het lage tarief (15%) en een hogere schijfgrens leiden tot een sterkere prikkel om bedrijven op te splitsen. Er spelen echter ook niet-fiscale overwegingen een rol bij de afweging om de activiteiten van een bedrijf over verschillende vennootschappen te verspreiden, zoals bedrijfseconomische overwegingen ten aanzien van aansprakelijkheden of het aantrekken van financiering van een bank. Een dergelijke verspreiding van activiteiten kan ook nadelen hebben. Als activiteiten in verschillende vennootschappen (en dus verschillende belastingplichtigen) worden ondergebracht zullen bijvoorbeeld transacties tussen de verschillende lichamen tot winstneming leiden, waarbij winst en verlies in verschillende lichamen niet met elkaar kunnen worden verrekend. In welke mate het tariefverschil en de schijfgrens van invloed zijn, is op dit moment niet goed aan te geven en sterk afhankelijk van de feiten en omstandigheden van het concrete geval. Conform de motie van de leden van de Tweede Kamer Hammelburg en Grinwis26 zal worden gemonitord of en op welke schaal en wijze bedrijven opsplitsen teneinde gebruik te maken van het lage tarief van de vennootschapsbelasting en, zo de monitoring hiertoe aanleiding geeft, worden bezien of er aanleiding is om wettelijke maatregelen te nemen die ongewenste fragmentatie bestrijden. Het verkrijgen van een goed inzicht in bovenstaande problematiek kost tijd. De conclusies zullen naar verwachting in de loop van volgend jaar kunnen worden gedeeld.
Ten aanzien van een herziening van het box 2-systeem en de conclusies uit het (ambtelijk) rapport «Bouwstenen voor een beter belastingstelsel»27 geldt dat het aan een volgend kabinet is om daarover een besluit te nemen.
3e nota van wijziging op wetsvoorstel Belastingplan 2022
De leden van de fractie van 50PLUS vragen of er aanleiding is de tijdelijke lastenvermindering als demping van de stijging van de gasprijzen te heroverwegen als de ontwikkeling van de gasprijzen daartoe aanleiding geeft. Voorts vragen de leden van de fractie van 50PLUS per wanneer een eventuele aanpassing uitvoerbaar zal zijn. Ter compensatie voor de stijgende energierekening heeft het kabinet ervoor gekozen incidenteel en alleen voor 2022 de energiebelastingen te verlagen via een verhoging van de belastingvermindering en verlaging van de tarieven 1e, 2e en 3e schijf elektriciteit. Deze tijdelijke verlaging geldt voor heel 2022, ongeacht de ontwikkeling van de energieprijzen. Een tussentijdse aanpassing gedurende het jaar, mochten de gasprijzen daartoe aanleiding geven, is in de uitvoering niet mogelijk. Per 1 januari 2023 vervalt de compensatieregeling.
Overig
De leden van de fractie van het CDA vragen om een reflectie op het door deze leden voorgestelde plan van aanpak inzake het zogenoemde globale evenwicht tussen de belastingheffing van de IB-ondernemer en van de dga en zijn bv.
Een grote herziening van het belastingstelsel is niet per se nodig om het verschil in belastingdruk tussen IB-ondernemers, resultaatgenieters, werknemers en dga’s met hun bv te verminderen en daarmee meer neutraliteit in de inkomstenbelasting en vennootschapsbelasting te bewerkstelligen. In de Kamerbrief in reactie op de motie van de leden Essers (CDA) en Geerdink (VVD) c.s.28 wordt hier nader op ingegaan. Daarin zijn verschillende beleidsopties in kaart gebracht op basis van de rapporten Brede Maatschappelijke Heroverwegingen29, Bouwstenen voor een beter belastingstelsel30 en Commissie Regulering van Werk (Commissie-Borstlap).31 Om recht te doen aan met name de investeringsfunctie van winstinkomen, kan tegenover de beleidsopties waarin bepaalde faciliteiten worden geschrapt of beperkt, worden gewezen op de beleidsopties in het rapport naar aanleiding van de aangenomen motie Lodders c.s.32 waarin het kabinet wordt verzocht onderzoek te doen naar concrete beleidsvoorstellen (fiches) om, zowel fiscaal als niet-fiscaal, investeringen aan te jagen en ondernemerschap en innovatie te versterken. Met het oog op de demissionaire status van het huidige kabinet en de formatie, is het aan een volgend kabinet om keuzes te maken.
De leden van de fractie van het CDA vragen hoeveel Nederlandse bedrijven naar schatting zullen worden geconfronteerd met de wereldwijde minimumwinstbelasting van 15% (Pijler 2). Dezelfde vraag stellen deze leden over Pijler 1. Uit de beschikbare country-by-country-rapportages blijkt dat er ruim 160 Nederlandse multinationals (dat wil zeggen multinationals waarvan het hoofdkantoor in Nederland is gevestigd) zijn met een omzet hoger dan € 750 miljoen. Zij zullen moeten voldoen aan de wereldwijde minimumwinstbelasting van 15% vanuit Pijler 2. Naar verwachting zullen enkele van deze Nederlandse multinationals onder de reikwijdte van Pijler 1 vallen.
De leden van de fractie van het CDA vragen in hoeverre de wereldwijde minimumwinstbelasting van 15% (Pijler 2) de keuze voor een ideale belastingmix van landen hindert, bijvoorbeeld bij de keuze voor meer milieuheffingen en minder vennootschapsbelasting. Het wereldwijde akkoord zorgt voor een minimale heffing van winstbelasting van 15%. Het doel daarvan is het tegengaan van belastingontwijking en het kabinet vindt dat een goede ontwikkeling. We spreken daarmee internationaal een ondergrens af, maar ieder land heeft nog steeds de vrijheid om zijn eigen tarieven te bepalen. Het akkoord ziet op de winstbelasting, en daarmee houden de deelnemende landen – rekening houdend met andere internationale afspraken – ruimte in de vormgeving van (de tariefstelling van) andere belastingmiddelen (niet-winstbelastingen), waaronder milieubelastingen. Ook zorgt een minimumtarief voor de vennootschapsbelasting ervoor dat er voor alle deelnemende landen minder druk bestaat om een laag tarief te hanteren. Daarmee ontstaat meer ruimte om de eigen belastingmix te bepalen.
De leden van de fractie van het CDA vragen of Pijler 2 invloed heeft op de toepassing van onder andere de innovatiebox, de herinvesteringsregeling en de mogelijkheid van vervroegde afschrijvingen voor milieu-investeringen. Deze leden vragen of deze regelingen na aanvaarding van het minimumtarief worden gecontinueerd. In Pijler 2 wordt geen uitzondering gemaakt voor deze regelingen. Dat betekent dat deze regelingen ook van invloed zijn bij de berekening van het effectieve belastingtarief van een bedrijf in het betreffende land. Afhankelijk van de concrete omstandigheden van het geval, kunnen de genoemde regelingen er mede toe leiden dat het effectieve tarief in Nederland minder dan 15% bedraagt, als gevolg waarvan de maatregelen uit Pijler 2 toepassing zouden kunnen vinden. Dat zou betekenen dat andere landen kunnen bijheffen. Ten aanzien van de innovatiebox verwacht ik dat belastingplichtigen in algemene zin niet tegen bijheffing in het buitenland zullen aanlopen, omdat zij slechts een deel van hun winst onder het bereik van de innovatiebox kunnen brengen (namelijk dat deel dat samenhangt met specifiek bepaald zelfontwikkeld intellectueel eigendom). Overigens wordt op dit moment nog gewerkt aan de verdere vormgeving van Pijler 2. Naarmate de regels verder vorm krijgen zal duidelijker worden wat in concrete omstandigheden de gevolgen kunnen zijn voor (de effectiviteit van) de genoemde regelingen in Nederland.
De leden van de fractie van 50PLUS vragen hoe groot het opbrengstverlies bij de dividendbelasting is als gevolg van de voorgenomen verplaatsing van het hoofdkantoor van Koninklijke Shell naar Londen. De structurele netto-opbrengst van de dividendbelasting wordt geraamd op circa € 2 miljard per jaar. De verwachting is dat het vertrek van Shell uit Nederland een zeer aanzienlijke impact heeft op deze opbrengst. Er kan verder geen inzicht worden gegeven in de belastingpositie van een specifiek bedrijf vanwege de fiscale geheimhoudingsplicht (artikel 67 Algemene wet inzake rijksbelastingen).
De leden van de fractie van Nanninga vragen wat er sinds de Eindrapportage Alternatieven voor het Toeslagenstelsel op dit onderwerp gebeurd is. En of de Minister en/of Staatssecretaris kan aangeven wat er in het kader van de overgang naar een nieuw kabinet op dit punt in het overdrachtsdossier komt. Het kabinet heeft vorig jaar de Eindrapportage naar de Kamer gestuurd zodat de formatie beschikt over uitgewerkte varianten en opties om het toeslagenstelsel te hervormen en te vereenvoudigen. De varianten laten zien dat er geen makkelijke oplossingen zijn, en een eenvoudiger stelsel stevige politieke keuzes vraagt die ook samenhangen met de achterliggende stelsels. Dit vergt dus ook besluitvorming die in de formatie van een nieuw kabinet zal moeten plaatsvinden. Er hebben sinds de afronding van de Eindrapportage derhalve ook geen ontwikkelingen op dit vlak plaatsgevonden, anders dan dat dit een van de urgente uitdagingen voor de formatie is die door informateur Hamer is genoemd in haar verslag van 22 juni. Het overdrachtsdossier zal openbaar worden gemaakt.
Met de motie Lodders/Van Weyenberg33 zijn wel maatregelen uitgewerkt die op de korte termijn kunnen zorgen voor meer helderheid en zekerheid aan de voorkant voor alle toeslaggerechtigden. In het Belastingplan 2022 zijn twee maatregelen opgenomen die knelpunten in de huurtoeslag oplossen. Zo wordt de leeftijd waarop de verblijfsstatus van de medebewoner relevant is, verhoogd naar achttien jaar. Ook vervalt de eis dat in de maand voorafgaand aan overschrijding van de maximum huurgrens recht op huurtoeslag moet bestaan om aanspraak te maken op de regeling verworven recht. Huurtoeslag kan herleven indien op enig moment voor de huurgrensoverschrijding voor dezelfde persoon en op hetzelfde adres recht is geweest op huurtoeslag.
De leden van de fractie Nanninga vragen of sprake is van dubbele heffing van IAB in geval van partneralimentatie. Het systeem van de IAB is bewust opgesteld als een mix van een werkgeversheffing en van een bijdrage die de verzekeringsplichtige zelf is verschuldigd. De IAB bestaat dus uit twee componenten, de werkgeversheffing en de door de verzekeringsplichtige zelf verschuldigde bijdrage. Het systeem is zo ontworpen dat de werkgever IAB betaalt voor zijn werknemers die op dat moment bij hem in dienstbetrekking zijn en voor bepaalde vormen van loon uit vroegere arbeid (artikel 42 Zvw). Over al het andere box 1-inkomen (zoals alimentatie, pensioen en winst uit een onderneming) is de verzekeringsplichtige zelf een bijdrage verschuldigd (artikel 43 Zvw). Individuele aftrekposten (zoals giften, hypotheekrente en alimentatie) passen niet bij een werkgeversheffing. Met dit systeem is inderdaad beoogd dat al het box 1-inkomen (zonder aftrekposten) onder de grondslag van de IAB valt, dit is dus zowel het gehele inkomen van de betalende ex-partner, als de alimentatie die de andere ex-partner ontvangt. Hierin is alimentatie niet uniek. Dit systeem geldt namelijk voor iedere betaling die door iemand wordt gedaan uit inkomen waarover inkomensafhankelijke bijdrage is verschuldigd en welke betaling vervolgens weer tot inkomen leidt voor degene aan wie de betaling plaatsvindt, zoals bijvoorbeeld het bedrag dat iemand betaalt aan een schilder of tuinman. Zoals eerder genoemd past het niet bij een werkgeversheffing om individuele aftrekposten toe te passen, bovendien zou dit de complexiteit van het systeem doen toenemen en de uitvoerbaarheid onder druk zetten.
Tevens vragen de leden van de fractie Nanninga of IAB kan worden ontweken door, in plaats van partneralimentatie te betalen, aan de ex-partner te schenken. Men moet zich dan wel realiseren dat een wezenlijk element van schenken is dat daar geen (rechtens afdwingbare) verplichting aan ten grondslag ligt en dus ook geen afdwingbaar recht.
De leden van de fractie Nanninga vragen naar de toepassing van heffingskortingen op ziektewetuitkeringen en uitkeringen in het kader van levensloopsregelingen. Een uitkering ingevolge de Ziektewet wordt aangemerkt als arbeidsinkomen als de werknemer een dienstbetrekking heeft. Voor belastingplichtigen die bij het UWV een vrijwillige Ziektewetverzekering hebben afgesloten wordt een eventuele uitkering op grond van die verzekering altijd aangemerkt als arbeidsinkomen. Zzp’ers kunnen zo’n vrijwillige verzekering afsluiten. Een dergelijke zzp’er is dan vergelijkbaar met een werknemer die ziek wordt in een bestaande dienstbetrekking, omdat hij – net als de werknemer die een werkgever heeft – het werk terstond zal hervatten als hij hersteld is. Daarmee worden beide situaties voor de arbeidskorting gelijkwaardig behandeld. Bij loondoorbetaling tijdens verlof, zoals zich voordoet bij uitkeringen in het kader van levensloopregelingen, is sprake van loon uit tegenwoordige arbeid en daarmee van arbeidsinkomen. Tot 2012 werd bepaald dat de bedragen die werknemers boven de 61 jaar ontvangen uit een levensloopregeling niet tot het arbeidsinkomen worden gerekend. Met deze bepaling werd een samenloop tussen levensloopverlof en de doorwerkbonus voorkomen voor werknemers die ouder zijn dan 61 jaar.
Voor bestaande gevallen blijft deze bepaling nog tot 1 november 2021, de datum waarop eventueel resterende levenslooptegoed uiterlijk (fictief) tot uitkering komt (het einde van het overgangsrecht van de levensloopregeling), van toepassing. Het verschil tussen werknemers ouder en jonger dan 61 jaar bij levensloopuitkeringen is daarmee per 2022 verdwenen.
De Staatssecretaris van Financiën – Fiscaliteit en Belastingdienst, J.A. Vijlbrief
Kamerstukken II 2018/19, 35 026, nr. 51, Kamerstukken I 2020/21, 35 572, T en Kamerstukken I 2020/21, 35 873, Z.
Bij verdeling van een huwelijksgemeenschap of nalatenschap, waarin de verkrijger was gerechtigd als rechtverkrijgende onder algemene titel, is op grond van artikel 3, eerste lid, onderdeel b Wet op belastingen van rechtsverkeer, géén sprake van een verkrijging voor de overdrachtsbelasting.
Kamerstukken II 2020/21, 3885, Aanhangsel, pagina 1, beantwoording van de vragen 2, 9 en 10.
Het Kadaster gaat voor de definitie «investeerders» uit van: De woning is in het bezit van een natuurlijk persoon (particulier) die 3 of meer woningen bezit en niet in die woning staat ingeschreven, of een niet-natuurlijk persoon (bedrijfsmatig) met woningbezit. Particulieren die een tweede woning bezitten, worden niet meegeteld, terwijl de verkrijging van deze woning wel wordt belast tegen 8% overdrachtsbelasting.
Kamerstukken II, vergaderjaar 2020–21, 35 576, nr. 3, bijlage; Kamerstukken II, vergaderjaar 2020–21, 35 576, nr. 84, bijlage; Kamerstukken II, vergaderjaar 2021–22, 35 927, nr. 3, bijlage.
Zie artikelsgewijze toelichting op artikel X, onderdeel B, Kamerstukken II, vergaderjaar 2021–22, 35 927, nr. 3.
Richtlijn (EU) 2016/1164 van de Raad van 12 juli 2016 tot vaststelling van regels ter bestrijding van belastingontwijkingspraktijken welke rechtstreeks van invloed zijn op de werking van de interne markt (PbEU 2016, L 193/1).
https://www.rijksoverheid.nl/documenten/kamerstukken/2020/05/18/fichebundel-beleidsopties-bouwstenen-voor-een-beter belastingstelsel.
https://www.rijksoverheid.nl/documenten/rapporten/2020/01/23/rapport-in-wat-voor-land-willen-wij-werken. Beleidsopties Borstlap zijn concreter gemaakt in een ambtelijke technische uitwerking, zie https://www.rijksoverheid.nl/documenten/kamerstukken/2020/11/23/technische-uitwerking-van-het-advies-van-de-commissie regulering-van-werk.
Kopieer de link naar uw clipboard
https://zoek.officielebekendmakingen.nl/kst-35927-D.html
De hier aangeboden pdf-bestanden van het Staatsblad, Staatscourant, Tractatenblad, provinciaal blad, gemeenteblad, waterschapsblad en blad gemeenschappelijke regeling vormen de formele bekendmakingen in de zin van de Bekendmakingswet en de Rijkswet goedkeuring en bekendmaking verdragen voor zover ze na 1 juli 2009 zijn uitgegeven. Voor pdf-publicaties van vóór deze datum geldt dat alleen de in papieren vorm uitgegeven bladen formele status hebben; de hier aangeboden elektronische versies daarvan worden bij wijze van service aangeboden.