Staatscourant van het Koninkrijk der Nederlanden
| Datum publicatie | Organisatie | Jaargang en nummer | Rubriek |
|---|---|---|---|
| Ministerie van Volkshuisvesting en Ruimtelijke Ordening | Staatscourant 2025, 42332 | algemeen verbindend voorschrift (ministeriële regeling) |
Zoals vergunningen, bouwplannen en lokale regelgeving.
Adressen en contactpersonen van overheidsorganisaties.
U bent hier:
| Datum publicatie | Organisatie | Jaargang en nummer | Rubriek |
|---|---|---|---|
| Ministerie van Volkshuisvesting en Ruimtelijke Ordening | Staatscourant 2025, 42332 | algemeen verbindend voorschrift (ministeriële regeling) |
De Minister van Volkshuisvesting en Ruimtelijke Ordening,
Gelet op artikel 13.21 van de Omgevingswet;
Besluit:
De Omgevingsregeling wordt als volgt gewijzigd:
A
Artikel 13.2 wordt als volgt gewijzigd:
1. In het tweede lid wordt ‘complexiteitsfactor’ vervangen door ‘invloedsfactor’ en wordt ‘tabel 5’ vervangen door ‘tabel 4’.
2. Het derde lid komt te luiden:
3. Als in de bijlage wordt aangegeven dat meerdere invloedsfactoren van toepassing zijn op een product, een activiteit of een onderdeel daarvan, worden de kosten voor dat product, die activiteit of dat onderdeel verlaagd of verhoogd met de som van de percentages, bedoeld in bijlage XXXIV, tabel 4, en bijlage XXXIVa, tabel 4.
B
Artikel 13.3 wordt als volgt gewijzigd:
a. In onderdeel a wordt ‘complexiteitsfactor kostenverhaal’ vervangen door ‘som van de percentages, bedoeld in bijlage XXXIV, tabel 4, en bijlage XXXIVa, tabel 4,’.
b. In onderdeel b wordt ‘complexiteitsfactor kostenverhaal’ vervangen door ‘som van de percentages, bedoeld in bijlage XXXIV, tabel 4, en bijlage XXXIVa, tabel 4,’.
c. In onderdeel c wordt ‘complexiteitsfactor kostenverhaal’ vervangen door ‘som van de percentages, bedoeld in bijlage XXXIV, tabel 4, en bijlage XXXIVa, tabel 4,’.
C
In artikel 13.4 wordt ‘onder 1.2’ vervangen door ‘onder 1.1a’.
D
Artikel 13.5 wordt als volgt gewijzigd:
1. In het eerste lid, aanhef, wordt ‘onderdelen 2.6a tot en met 2.6d van bijlage XXXIV’ vervangen door ‘in bijlage XXXIV, tabel 1, onder 2.3a tot en met 2.3d,’ en wordt ‘2.6a tot en met 2.6c van bijlage XXXIV’ vervangen door ‘in bijlage XXXIV, tabel 1, onder 2.3a tot en met 2.3d’.
2. In het tweede lid, onder a, wordt ‘onder 2.6a tot en met 2.6c’ vervangen door ‘onder 2.3a tot en met 2.3d’.
3. In het tweede lid, onder b, wordt ‘onder 2.6a tot en met 2.6d’ vervangen door ‘onder 2.3a tot en met 2.3d’.
E
In artikel 13.8, tweede lid, onder b, wordt ‘onder 2.6a tot en met 2.6d’ vervangen door ‘onder 2.3a tot en met 2.3d’.
F
Artikel 13.9 wordt als volgt gewijzigd:
1. In het eerste lid worden ‘tabellen 1, 3 en 7’ vervangen door ‘tabellen, 1, 3 en 6’ en ‘collectieve arbeidsovereenkomst voor gemeenteambtenaren’ door ‘Cao Gemeenten’.
2. In het tweede lid wordt ‘Minister van Binnenlandse Zaken en Koninkrijksrelaties’ vervangen door ‘Minister van Volkshuisvesting en Ruimtelijke Ordening’.
G
In artikel 14.47a wordt ‘€ 11.826,–’ vervangen door ‘€ 12.963,–’.
H
In bijlage II wordt in de rij met ‘Voorwaarden en Normen Nationale Hypotheekgarantie’ in de derde kolom ‘2022-1’ vervangen door ‘2023-1’.
I
Bijlage XXXIV wordt vervangen door bijlage 1 bij deze regeling.
J
Bijlage XXXIVa wordt vervangen door bijlage 2 bij deze regeling.
Deze regeling zal met de toelichting in de Staatscourant worden geplaatst.
’s-Gravenhage, 16 december 2025
De Minister van Volkshuisvesting en Ruimtelijke Ordening, M.C.G. Keijzer
De Omgevingswet bevat een regeling voor kostenverhaal. Kostenverhaal houdt in dat initiatiefnemers van bouwactiviteiten bij gebiedsontwikkeling een bijdrage leveren aan de kosten die de overheid maakt om die gebiedsontwikkeling mogelijk te maken. Die kosten betreffen vooral het aanleggen van de publieke voorzieningen en de inrichting van de openbare ruimte in het gebied. Daarnaast betreffen die kosten ook de werkzaamheden van medewerkers van de overheid en externe adviseurs, bijvoorbeeld voor het voorbereiden van plannen, het aankopen van grond en voorbereiding en toezicht op de uitvoering van civieltechnische werken. Deze personele kosten worden meer algemeen als ‘plankosten’ aangeduid.
De Omgevingsregeling bevat regels waarmee een maximum wordt gesteld aan de plankosten die overheden bij initiatiefnemers van bouwactiviteiten kunnen verhalen. Het doel daarvan is dat overheden doelmatig gebruikmaken van de mogelijkheden om plankosten te verhalen. In beginsel zijn de regels over de plankosten bedoeld voor het publiekrechtelijke kostenverhaal. Dat wil zeggen kostenverhaal op basis van een omgevingsplan, een projectbesluit of een omgevingsvergunning voor een buitenplanse omgevingsplanactiviteit. De regeling rondom plankosten heeft echter ook indirect invloed op het privaatrechtelijke kostenverhaal, dus kostenverhaal op basis van een overeenkomst tussen een initiatiefnemer en de overheid.
Deze regeling voorziet in een aantal wijzigingen van het hoofdstuk kostenverhaal in de Omgevingsregeling en de bijbehorende bijlagen. Deze wijzigingen houden enerzijds verband met resultaten van de evaluatie van de Regeling plankosten exploitatieplan.1 Dat was de regeling van de plankosten onder de Wet ruimtelijke ordening. De wijzigingen zijn anderzijds een reactie op de eerste ervaringen met het hoofdstuk kostenverhaal van de Omgevingsregeling. Dat is de regeling van de plankosten onder de Omgevingswet.
De Regeling plankosten exploitatieplan is overeenkomstig de voorschriften van de Richtlijn periodiek evaluatieonderzoek in 2023 geëvalueerd. Bij deze evaluatie is gebruikgemaakt van een enquête onder 50 gemeenten en 12 verdiepende interviews met specialisten van gemeenten en projectontwikkelaars. De evaluatie is begeleid door een commissie met deelnemers van de Nederlandse Vereniging van Projectontwikkelingsmaatschappijen (hierna: NEPROM) en de Vereniging van Nederlandse Gemeenten (hierna: de VNG).
De conclusie van de evaluatie was dat de Regeling plankosten exploitatieplan een grote meerwaarde heeft voor de praktijk van het kostenverhaal. Het verdient volgens de onderzoekers aanbeveling om de regeling voort te zetten. Wel bleek dat het voor gemeenten steeds lastiger is om de werkelijke plankosten te verhalen. Dat komt doordat gebiedsontwikkeling ingewikkelder is geworden. De maatschappelijke opgaven voor mobiliteit, verduurzaming, de energietransitie, klimaatadaptatie en betaalbaarheid maken het noodzakelijk dat intensiever wordt samengewerkt tussen beleidsafdelingen van gemeenten. Daarnaast zijn participatie en communicatie belangrijker geworden, vooral ook op binnenstedelijke locaties. De onderzoekers bevelen aan om de regeling meer in overeenstemming te brengen met de praktijk en om meer rekening te houden met verschillen tussen projecten qua type en omvang.
De Regeling plankosten exploitatieplan is met ingang van 1 januari 2024 vervangen door het hoofdstuk kostenverhaal van de Omgevingsregeling. De Regeling plankosten exploitatieplan is grotendeels beleidsneutraal overgezet naar de Omgevingsregeling. Er is wel een aantal aanpassingen gedaan in verband met de komst van het kostenverhaal voor gebiedsontwikkeling zonder tijdvak. Dat is gebiedsontwikkeling op basis van een globaal omgevingsplan, waarbij de fasering, de looptijd en het bouwprogramma niet precies vaststaan.
De eerste ervaringen met de Omgevingsregeling zijn dat op sommige bouwlocaties minder plankosten kunnen worden verhaald dan onder de Regeling plankosten exploitatieplan het geval was. Vooral bij grote plannen met een omvang van meer dan 15 hectaren zijn de verschillen aanzienlijk. Uit een analyse van adviesbureau Metafoor blijkt dat dit verschillende oorzaken heeft. Een belangrijke oorzaak is dat de werkuren voor projectmanagement, planeconomie en communicatie onder de Omgevingsregeling niet langer apart, maar per product worden geraamd. Hierdoor worden er te weinig werkuren gerekend voor algemene werkzaamheden voor de financiële verantwoording en aansturing van het project. Daarbij gelden er bij een aantal plannen minder opslagen vanwege kostenverhogende omstandigheden, zoals de ligging in een binnenstedelijk gebied. Een oorzaak is ook dat de systematiek voor het berekenen van op- en afslagen voor kostenverhogende omstandigheden is vereenvoudigd. Hierdoor bieden de op- en afslagen niet in alle gevallen een voldoende correctie voor de omstandigheden in het plangebied. Tot slot speelt mogelijk een rol dat de plankosten van bijkomende diensten worden berekend als een percentage van de kosten van het primaire werkproces.
De plankosten worden berekend op basis van een min of meer vaste rekenmethodiek. In de bijlagen XXXIV en XXXIVa van de Omgevingsregeling is vastgelegd wat onder plankosten moet worden verstaan. Deze bijlagen bevatten een lijst van producten en activiteiten, zoals het opstellen van het omgevingsplan en voorbereiding en toezicht op de uitvoering van civieltechnische werken. De plankosten van deze producten en activiteiten worden in vrijwel alle gevallen berekend door het benodigde aantal werkuren te vermenigvuldigen met het uurtarief op basis van de cao voor gemeenteambtenaren, de Cao gemeenten (zie tabel 1).
|
Opgave in het plangebied: aantallen hectaren, woningen, taxaties, bestekken enz. |
|
X |
|
Standaard aantal werkuren per woning, hectare etc. (evt. staffel met werkuren per grootteklasse) |
|
= |
|
Totaal aantal werkuren |
|
X |
|
Prijs per werkuur o.b.v. Cao gemeenten |
|
= |
|
Plankosten op basis van het standaard aantal werkuren voor een uitleglocatie van 15 hectare |
|
X |
|
(Indien van toepassing) Op- of afslag met een complexiteitsfactor |
Bij het berekenen van het aantal werkuren dat een medewerker aan een product of activiteit besteedt, worden standaardcijfers gebruikt. Dat is een vast aantal werkuren per eenheid, bijvoorbeeld een aantal werkuren per hectare plangebied of per woning. In het geval van de Omgevingsregeling zijn dat de standaardcijfers voor een vrijwel onbebouwde locatie van 15 hectare buiten de bebouwde kom.
Vanwege schaalvoordelen zijn grote bouwlocaties in veel opzichten goedkoper dan kleine bouwlocaties. Daarom worden bij veel producten en activiteiten staffels toegepast. Dat wil zeggen dat locaties worden ingedeeld naar grootteklasse, bijvoorbeeld op basis van de omvang van het plangebied of het aantal woningen. Bij de kleinste plannen worden naar verhouding meer werkuren per eenheid (woning, hectare) gerekend dan bij grote plannen.
De tarieven per standaardwerkuur zijn ontleend aan de tarieven van de functieschalen van de Cao gemeenten. Dat is een geschikte standaard om bij aan te sluiten, omdat de Cao gemeenten in heel Nederland van toepassing is.
Locaties verschillen van elkaar qua ligging, bouwprogramma en dergelijke. De standaardwerkuren voor een uitleglocatie van 15 hectare mogen daarom niet zonder meer ook op andere typen locaties worden toegepast, bijvoorbeeld een herstructureringslocatie. Daarom worden bij veel producten en activiteiten correcties toegepast. De standaardwerkuren voor een uitleglocatie van 15 hectare worden verhoogd of verlaagd met een complexiteitsfactor. Die op- of afslag maakt het mogelijk de plankosten gebiedsspecifiek te ramen.
Deze regeling voorziet erin dat de bijlagen XXXIV en XXXIVa bij de Omgevingsregeling op de volgende punten worden aangepast. Ten eerste bevat de wijziging een verhoging van het aantal werkuren voor projectmanagement, planbegeleiding en coördinatie van werkzaamheden. Ten tweede houdt de wijziging in dat beter rekening wordt gehouden met kostenverschillen tussen kleine en grote plannen door toepassing van staffels. Ten derde introduceert de wijziging nauwkeurigere kostenramingen door aanpassing van meeteenheden. Ten vierde wordt door de wijziging beter rekening gehouden met de complexiteit van locaties door aanpassing van het systeem van op- en afslagen.
Gebiedsontwikkeling is ingewikkelder geworden. Dat leidt ertoe dat er meer werkuren nodig zijn voor projectmanagement, planbegeleiding en coördinatie. Tegelijkertijd biedt de huidige Omgevingsregeling onbedoeld minder werkuren voor algemene werkzaamheden dan de regeling die tot 1 januari 2024 van kracht was. Dat komt doordat het aantal werkuren voor projectmanagement en planeconomie in de Omgevingsregeling niet meer apart wordt geraamd, maar als onderdeel van de kosten van producten en activiteiten afzonderlijk. Daardoor zijn werkuren voor algemene werkzaamheden verloren gegaan. De Omgevingsregeling bevat thans weliswaar ter compensatie een post voor de algemene financiële aansturing en verantwoording van het project,2 maar die post is al bij plannen van meer dan 1 hectare onvoldoende.
Deze wijziging van de Omgevingsregeling voorziet erin dat het aantal werkuren voor de financiële verantwoording wordt aangepast (zie tabel 2). Het aantal werkuren voor financiële verantwoording wordt voor plannen van minder dan 0,5 hectare licht verkleind en voor alle overige plannen vergroot. Daarnaast worden voor alle plannen extra werkuren geraamd voor algemene aansturing. Deze wijzigingen zijn getest op een verzameling van 26 bestaande plannen, die zowel qua omvang als qua ligging van elkaar verschillen. Uit die test blijkt dat de plankosten door deze wijzigingen meer in lijn komen met de plankosten die vóór de invoering van de Omgevingsregeling werden gerekend. De wijzigingen komen aan vrijwel alle plannen ten goede, maar het meest aan grote plannen van enkele tientallen hectaren.
Tabel 2: Werkuren Algemene financiële verantwoording en aansturing
|
Werkuren voor financiële verantwoording |
Aantal werkuren per jaar gedurende de looptijd |
|
|---|---|---|
|
Was |
Wordt Minimum: plangebied < 1 hectare Maximum: plangebied > 100 hectare |
|
|
Projectmanager |
30 uur |
Minimaal 25 tot maximaal 150 uur |
|
Projectmanagementassistent |
50 uur |
Minimaal 12,5 tot maximaal 75 uur |
|
Planeconoom |
64 uur |
Minimaal 40 tot maximaal 140 uur |
|
Werkuren voor aansturing |
Aantal werkuren per week gedurende de looptijd |
|
|
Projectmanager |
– |
Minimaal 1 tot maximaal 2,25 uur |
|
Projectmanagement assistent |
– |
Minimaal 0,5 tot maximaal 1,125 uur |
|
Planeconoom |
– |
Minimaal 0,5 tot maximaal 1,125 uur |
|
Stedenbouwer |
– |
Minimaal 0,5 tot maximaal 1,125 uur |
|
Civiel-technisch projectleider |
– |
Minimaal 0,5 tot maximaal 1,125 uur |
De plankosten van een plan van enkele tientallen hectaren zijn naar verhouding lager dan de plankosten van een plan van enkele hectaren. Dat komt doordat zich schaalvoordelen voordoen. Die schaalvoordelen ontstaan doordat de vaste kosten van het plan over een groter gebied moeten worden verdeeld. Andersom doen zich bij plannen van enkele hectaren schaalnadelen voor. Bij een dergelijk plan moeten vaste kosten over een klein gebied worden verdeeld.
In de Omgevingsregeling wordt in drie gevallen geen rekening gehouden met deze positieve en negatieve schaaleffecten. Dat betreft het stedenbouwkundig plan, het beeldkwaliteitsplan en het bouw- en woonrijp maken. In deze drie gevallen stijgt het aantal werkuren volgens het oude rekenmodel recht evenredig met de omvang van het plan. Voor elke woning of hectare meer, wordt eenzelfde aantal werkuren toegevoegd. Het gevolg hiervan is dat gemeenten bij plannen van enkele hectaren te weinig werkuren ter beschikking hebben en bij plannen van enkele tientallen hectaren te veel werkuren.
Deze wijziging van de Omgevingsregeling voorziet erin dat bij stedenbouwkundig plan, het beeldkwaliteitsplan en het bouw- en woonrijp maken staffels worden toegepast. Dat wil zeggen dat plannen worden ingedeeld in grootteklassen. Het aantal werkuren per woning of per hectare neemt af naarmate het plan groter is.
Bij het stedenbouwkundig plan en het beeldkwaliteitsplan worden staffels toegepast om het aantal werkuren te bepalen dat de stedenbouwkundige aan woningbouw besteedt (zie tabel 3). Het aantal werkuren van de stedenbouwkundige voor andere bouwactiviteiten verandert niet. Daarvoor wordt onveranderd 0,5 uur per vierkante meter bruto vloeroppervlakte gerekend bij een stedenbouwkundig plan en 0,25 uur per vierkante meter bruto vloeroppervlakte bij een beeldkwaliteitsplan. Ook deze wijziging is getest op een verzameling van 26 plannen. Zoals de bedoeling was, komt deze wijziging vooral ten goede aan plannen met enkele honderden woningen. Dat is nodig, want met het opstellen van een stedenbouwkundig plan zijn al snel enkele tienduizenden euro’s gemoeid.
|
Grootteklassen |
Stedenbouwkundig plan |
Beeldkwaliteitsplan |
||
|---|---|---|---|---|
|
Was |
Wordt |
Was |
Wordt |
|
|
Tot 50 woningen |
1,5 uur |
5 uur |
0,5 uur |
2 |
|
50 tot 100 woningen |
Idem |
4,5 uur |
Idem |
1,8 |
|
100 tot 200 woningen |
Idem |
4 uur |
Idem |
1,6 |
|
200–300 woningen |
3,5 uur |
Idem |
1,4 |
|
|
300 tot 500 woningen |
Idem |
3 |
Idem |
1,2 |
|
500-750 woningen |
Idem |
2,5 |
Idem |
1 |
|
750-1.000 woningen |
Idem |
2,25 uur |
Idem |
0,9 |
|
1.000–2.000 woningen |
Idem |
2 uur |
Idem |
0.8 |
|
2.000–5.000 woningen |
Idem |
1,75 uur |
Idem |
0,7 |
|
> 5.000 woningen |
Idem |
1,5 uur |
Idem |
0,6 |
Bij het bouw- en woonrijp maken zit de berekening van het aantal werkuren ingewikkelder in elkaar dan bij het stedenbouwkundig plan en het beeldkwaliteitsplan. Hier wordt het aantal werkuren berekend op basis van het aantal bestekken dat nodig is. Dat aantal bestekken wordt op zijn beurt berekend op basis van het aantal deelgebieden (zie tabel 4). Daarvoor geldt een vaste norm: er is 1 deelgebied per 2,5 hectare plangebied.
|
Aantal deel- gebieden binnen het plangebied |
X |
Indien van toepassing: op- of slag voor plannen met meer of minder dan 40% openbaar gebied |
X |
2 bestekken per deelgebied bij uitleg- en uitbreiding gebieden en 1,5 bij overige gebieden |
X |
Aantal werkuren per bestek |
X |
Prijzen per werkuur o.b.v. Cao gemeenten |
X |
Op- of afslag met complexiteitsfactor |
= |
Plankosten |
Deze berekeningswijze leidt ertoe dat gemeenten bij plannen van minder dan 0,7 hectare niet over voldoende werkuren beschikken om een bestek op te stellen. Er is dan bijvoorbeeld maar een kwart deelgebied. Daardoor kunnen hooguit de kosten van een half bestek worden verhaald. Aan de andere kant zijn er bij locaties van meer dan 25 hectare meer dan 10 deelgebieden. Gemeenten mogen dan de werkuren van meer dan 15 of 20 bestekken doorberekenen. Dat is een te hoog aantal. Het is niet efficiënt om plangebieden in een zeer groot aantal deelgebieden op te delen. Dat leidt tot hoge uitvoeringskosten en een lange uitvoeringstijd.
Deze wijziging van de Omgevingsregeling voorziet erin dat het aantal deelgebieden op basis van een staffel wordt bepaald (zie tabel 5). Dat leidt ertoe dat bij kleine plannen met een groter aantal deelgebieden per hectare kostenverhaalsgebied wordt gerekend dan bij grote plannen. Daardoor kunnen de werkuren van een groter aantal bestekken worden doorberekend. Het aantal werkuren loopt daardoor meer in de pas met de praktijk.
|
Omvang gebied (in hectare) |
Aantal deelgebieden |
Aantal deelgebieden |
|---|---|---|
|
Was |
Wordt |
|
|
< 0,5 |
< 0,2 |
0,25 deelgebied |
|
Tussen 0,5 en 1 |
0,2 – 0,4 |
0,5 deelgebied |
|
Tussen 1 en 5 |
0,4 – 2 |
0,5 – 2,5 deelgebieden (deelgebied van 2 hectare) |
|
Tussen 5 en 15 |
2 – 6 |
2 – 6 deelgebieden (deelgebied van 2,5 hectare) |
|
Tussen 15 en 30 |
6 – 12 |
5 – 10 deelgebieden hectare (1 deelgebied van 3 hectare) |
|
... |
... |
… |
|
> 100 |
40 – Geen limiet |
20 deelgebieden of geen limiet (deelgebied van 5 hectare) |
Bij het veranderen van het aantal deelgebieden is opgevallen dat er nog twee mogelijkheden zijn om de berekening van de plankosten van het bouw- en woonrijp maken te verbeteren. Ten eerste worden bij uitleg- en uitbreidingslocaties de plankosten van 2 bestekken gerekend, maar bij herstructurerings- en transformatielocaties van maar 1,5 bestek. Er is geen aanleiding om dit onderscheid te maken. In beide gevallen gaat het om locaties waar de gemeente vrij hoge plankosten maakt, omdat de verkaveling en de inrichting van de openbare ruimte worden aangepast. Deze wijziging van de Omgevingsregeling voorziet er daarom in dat ook bij herstructurerings- en transformatielocaties met 2 bestekken wordt gerekend.
Ten tweede is opgevallen dat het aantal werkuren per bestek te laag is. Er lijkt geen rekening te zijn gehouden met verschillende werkzaamheden, waaronder de inventarisatie van de huidige staat van de locatie en coördinatie van het aanleggen van kabels en leidingen. Daarom wordt het aantal werkuren voor vrijwel alle werkzaamheden voor het bouw- en woonrijp maken verhoogd, met uitzondering van de kosten van het opstellen van een rioleringsplan, het toezicht en de begeleiding van het toezicht.
Deze wijziging van de Omgevingsregeling voorziet erin dat in drie gevallen met andere meeteenheden en andere kengetallen voor de aantallen werkuren of kosten per eenheid wordt gerekend:
– bij het omgevingsplan, het stedenbouwkundig plan, het beeldkwaliteitsplan en het inrichtingsplan openbare ruimte wordt de percentuele raming van het aantal werkuren voor projectmanagement, planeconomie, communicatie en landmeten vervangen door een raming op basis van het aantal werkweken dat nodig is om het betreffende product te maken;
– het aantal taxaties wordt niet langer geraamd op basis van het aantal percelen. In plaats daarvan bepalen gemeenten zelf hoeveel taxaties zij naar verwachting zullen uitvoeren;
– bij het inrichtingsplan openbare ruimte worden de kosten per 100 vierkante meter verharding verhoogd van € 1,5 naar € 2,–.
Deze wijzigingen zijn bedoeld om de betrouwbaarheid van de berekeningen te verbeteren.
De oude methode die werkt met een percentuele raming zoals hierboven omschreven wordt vervangen, omdat uit een test is gebleken dat deze sterk uiteenlopende resultaten oplevert. Een voorbeeld is dat een projectmanager bij een plan van enkele hectaren maar een paar uur ter beschikking heeft voor het stedenbouwkundig plan en bij een plan van meer dan 100 hectare meer dan een jaar. Er zijn te weinig gegevens om de percentages goed te ijken. Daarom is ervoor gekozen om de percentuele raming te vervangen door een raming van het aantal werkweken dat aan een product of activiteit wordt besteed. Deze methode is goed toepasbaar, omdat medewerkers van gemeenten in de meeste gevallen wel een ruwe schatting kunnen maken van het aantal werkuren dat zij aan bepaald product of een bepaalde activiteit besteden.
Het aantal taxaties wordt niet meer geschat op basis van het aantal percelen, omdat dit tot een overschatting kan leiden. In de praktijk worden taxaties per vastgoedobject gedaan. Een vastgoedobject is een functioneel samenhangend geheel, bijvoorbeeld een woning met bijgebouwen en een tuin. Eén vastgoedobject kan daardoor uit meerdere percelen bestaan.
Hierdoor zal het aantal percelen in veel gevallen groter zijn dan het aantal vastgoedobjecten. Daarom is ervoor gekozen om gemeenten zelf te laten bepalen hoeveel vastgoedobjecten in het plangebied moeten worden getaxeerd.
De plankosten van het inrichtingsplan openbare ruimte worden verhoogd, omdat het bedrag van € 1,50 per 100 vierkante meter verharding als te laag werd ervaren.
Bouwlocaties verschillen van elkaar. Daar wordt in de Omgevingsregeling rekening mee gehouden doordat het aantal werkuren of de vaste kosten van een product of activiteit worden verhoogd of verlaagd door ze te vermenigvuldigen met een complexiteitsfactor. Er zijn 2 complexiteitsfactoren: een algemene en een stedenbouwkundige complexiteitsfactor. Deze complexiteitsfactoren zijn het gemiddelde van een aantal factoren die van invloed zijn op de werkuren of kosten van het plan. In het kader van de regeling van de plankosten worden deze factoren invloedsfactoren genoemd (zie tabel 6). Daarnaast worden bij enkele producten en activiteiten apart opslagen in rekening gebracht, onder andere bij een stedenbouwkundig plan met veel maatschappelijke functies.
|
Algemene complexiteitsfactor |
Complexiteitsfactor Stedenbouw |
|---|---|
|
Ligging kostenverhaalsgebied (opslag 0-100%) |
Ligging kostenverhaalsgebied (opslag 0–100%) |
|
Type opgave (opslag 0% of 150%) |
Type opgave (opslag 0% of 150%) |
|
Verwervingssituatie (opslag 0%, 10% of 20%) |
Onderzoeken (opslag 0 – 50%) |
|
Bouwprogramma (op- of afslag -25% – 25%) |
Woon- en werkmilieu (0%, -100% of -150%) |
|
Onderzoeken (opslag 0 – 50%) |
Deze wijziging van de Omgevingsregeling voorziet in de volgende aanpassingen (zie tabel 7):
1. de op- of afslag met een algemene- of stedenbouwkundige complexiteitsfactor wordt vervangen door een op- of afslag waarin alleen de invloedsfactoren worden meegenomen die daadwerkelijk van invloed zijn op de werkuren voor de betreffende producten en activiteiten. Daarom worden bij het inrichtingsplan openbare ruimte grofweg dezelfde invloedsfactoren van toepassing als bij het stedenbouwkundig plan. Als de stedenbouwkundige opgave complex is, zal ook de inrichting van de openbare ruimte extra aandacht vragen. Bij sloopwerkzaamheden vervalt de invloed factor ‘verwervingskosten’. Het maakt voor de sloopkosten niet uit hoe de grond door de gemeente is of wordt verworven.
2. Bij het stedenbouwkundig plan en het beeldkwaliteitsplan wordt de invloedsfactor bouwprogramma van toepassing. Tegelijkertijd vervalt bij deze producten de opslag van 40 uur voor plannen met maatschappelijke functies. Dat zorgt er ook voor dat de opslag bij plannen voor maatschappelijke functies hoger is naarmate het bouwprogramma omvangrijker is. Er geldt op basis van het bouwprogramma een opslag van 5% bij plannen met zorg, onderwijs en detentie. Dat zorgt ook voor uniformiteit. Er zijn in de regeling geen andere op- of afslagen meer dan de op- of afslag op basis van invloedsfactoren.
|
Producten en activiteiten |
Omgevingsregeling 2024 |
Wijzigingen Omgevingsregeling |
|---|---|---|
|
1.1 Gedetailleerd Omgevingsplan, projectbesluit of bopa1 |
Ligging, type opgave, verwervingssituatie, bouwprogramma, onderzoeken |
Onveranderd |
|
1.2 Stedenbouwkundig plan |
Ligging, type opgave, onderzoeken, woon- en werkmilieu |
bouwprogramma toegevoegd |
|
1.3 Beeldkwaliteitsplan |
Geen invloedsfactoren |
bouwprogramma toegevoegd |
|
2.1/2.1a Taxatie inbrengwaarde |
Geen invloedsfactoren |
Onveranderd |
|
2.2/2.1b Taxatie en aankopen onroerende zaken |
Geen invloedsfactoren |
Onveranderd |
|
2.3/2.1c Onteigening van onroerende zaken |
Geen invloedsfactoren |
Onveranderd |
|
2.4/2.1d Vestigen voorkeursrecht |
Geen invloedsfactoren |
Onveranderd |
|
2.5/2.2 Inrichtingsplan openbare ruimte |
Geen invloedsfactoren |
Ligging, type opgave, bouwprogramma en onderzoeken toegevoegd |
|
2.6a/2.3a Slopen |
Ligging, type opgave, verwervingssituatie, bouwprogramma, onderzoeken |
Verwervingssituatie vervalt |
|
2.6b /2.3b Integraal ophogen en voorbelasten |
Geen |
Onveranderd |
|
2.6c/2.3c Partieel ophogen en voorbelasten |
Geen |
Onveranderd |
|
2.6d/2.3d Bouw en woonrijp maken |
Ligging, type opgave, verwervingssituatie, bouwprogramma, onderzoeken |
Onveranderd |
|
2.7/2.4 Algemene financiële aansturing en verantwoording |
Ligging, type opgave, verwervingssituatie, bouwprogramma, onderzoeken |
Onveranderd |
De op- of afslag vanwege de complexiteit van het project is niet langer het gemiddelde van de percentuele opslagen met invloedsfactoren, maar een optelsom daarvan. De percentuele opslagen zijn zo gekozen, dat de som van de percentages in beginsel hetzelfde is als het gemiddelde in huidige regeling, met twee uitzonderingen (zie tabel 8). Bij de invloedsfactoren type opgave (wel/geen herstructurering) en woon- en werkmilieu is voor staffels gekozen. Dat maakt het mogelijk de hoogte van de opslag veel nauwkeuriger te bepalen.
|
Invloedsfactor |
Omgevingsregeling voorafgaand aan de inwerkingtreding van dit besluit |
Wijziging |
|---|---|---|
|
I Ligging |
Historisch gebied 100% Binnenstedelijk 50% Inbreidingslocatie 25% Uitbreidingslocatie 0% Uitleglocatie 0% |
Historisch gebied 20% Binnenstedelijk 10% Inbreidingslocatie 5% Uitbreidingslocatie 0% Uitleglocatie 0% |
|
II Typeopgave |
Geen 0% Wel 150% |
Geen 0% t/m 25% herverkaveling 5% 25 t/m 50% herverkaveling 10% 50 t/m 75% herverkaveling 15% Vanaf 75% herverkaveling 25% |
|
III Verwervingssituatie |
0 procedures 0% 1 procedure 10% 2 of meer procedures 20% |
0 procedures 0% 1 procedure 2% 2 of meer procedures 5% |
|
IV Type Bouwprogramma |
Som van (max 50%) indien aanwezig: Woonfunctie 10% m² uitgeefbaar industrie 10% BVO Kantoor/winkel/sport 10% BVO zorg/onderwijs/detentie 25% |
Som van (max 10%) indien aanwezig: Woonfunctie 2% m² uitgeefbaar industrie 2% BVO Kantoor/winkel/sport 2% BVO zorg/onderwijs/detentie 5% |
|
V Onderzoeken |
Maximaal 50% MER 50% Luchtkwaliteitsonderzoek 40% Archeologisch 30% Bodemsanering 20% |
Maximaal 10% MER 8% Luchtkwaliteitsonderzoek 6% Archeologisch 5% Bodemsanering 4% |
|
VI Woon-werkmilieu |
Suburbaan 0% Stedelijk -100% Hoogstedelijk -150% |
Weq per hectare <30 0% Weq per hectare tussen 30 en 4 -2,5% Weq per hectare tussen 40 en 5 -5% Weq per hectare tussen 50 en 60 -10% Weq per hectare tussen 60 en 70 -15% Weq per hectare tussen 70 en 80 -20% Weq per hectare tussen 80 en 90 -25% Weq per hectare tussen 90 en 100 -30% Weq per hectare 100 of meer -35% |
Weq: woningequivalent
De wijzigingen van de Omgevingsregeling hebben geen invloed op de administratieve lasten voor bedrijven, instellingen en personen. Het hoofdstuk kostenverhaal van de Omgevingsregeling is van toepassing op het publiekrechtelijke kostenverhaal. Dat is het kostenverhaal op basis van een omgevingsplan, een omgevingsvergunning voor een buitenplanse omgevingsplanactiviteit of een projectbesluit. Het publiekrechtelijke kostenverhaal zal op dezelfde manier worden uitgevoerd als nu het geval is. Initiatiefnemers van bouwactiviteiten vragen een kostenverhaalsbeschikking aan bij het bestuursorgaan dat verantwoordelijk is voor het kostenverhaal. Het bestuursorgaan berekent vervolgens welk bedrag de initiatiefnemer verschuldigd is. Wat de plankosten betreft, maakt het bestuursorgaan gebruik van een digitaal rekenmodel dat door het Ministerie van Volkshuisvesting en Ruimtelijke ordening ter beschikking wordt gesteld.
De wijzigingen van de Omgevingsregeling zullen tot gevolg hebben dat projectontwikkelaars en ontwikkelende-bouwers een bijdrage aan het kostenverhaal betalen die recht doet aan de kosten die de gemeente maakt. De kostenverhaalsbijdrage zal in veel gevallen enigszins stijgen doordat plankosten wat hoger uitvallen. Dat is nodig om gemeenten weer in staat te stellen de daadwerkelijke plankosten te verhalen. De effecten voor het bedrijfsleven zullen beperkt zijn. De plankosten maken in de meeste gevallen maar een klein deel uit van de totale kostenverhaalsbijdrage. Het merendeel van de kostenverhaalsbijdrage betreft de kosten van het aanleggen van de publieke voorzieningen en de inrichting van de openbare ruimte in een gebied. Daarbij blijven de kosten met de voorliggende wijziging nog ruim onder het niveau dat tot en met 2023 gold. Tot slot stelt de Omgevingswet een bovengrens aan het kostenverhaal. De totale kosten die in een gebied of bij een eigenaar worden verhaald, mogen niet hoger zijn dan de opbrengsten van de grond in dat gebied of de betreffende percelen. Het kostenverhaal wordt betaald uit de waardestijging van de grond en niet uit de winst op de bouw- en vastgoedontwikkeling. De winst op de bouw- en vastgoedontwikkeling is in alle gevallen in zijn geheel voor de ontwikkelaars en bouwers. Dat zorgt er onder normale omstandigheden voor dat hogere plankosten voor bouwers en ontwikkelaars geen belemmering hoeven te zijn om hun bouwplannen te realiseren.
De wijzigingen van de Omgevingsregeling hebben geen gevolgen voor het milieu.
In het kader van de Internetconsultatie zijn zes reacties ontvangen. Vier daarvan zijn afkomstig van organisaties van gemeenten (de VNG), ontwikkelaars (de NEPROM), provincies (het Interprovinciaal overleg) en waterschappen (de Unie van Waterschappen). Twee daarvan zijn afkomstig van anonieme burgers of bedrijven.
Er is eensgezindheid dat de voorgestelde wijziging van de Omgevingsregeling tot een betere inschatting van de plankosten leidt. De VNG is verheugd dat de gezamenlijke inzet ertoe heeft geleid dat de Omgevingsregeling is verbeterd. De NEPROM heeft veel waardering voor de stappen die zijn genomen om de raming van de plankosten beter uitlegbaar te maken en beter te laten aansluiten bij de werkelijke kosten. De gedane aanpassingen zijn logisch en begrijpelijk. Volgens de anonieme reacties voorzien de aanpassingen er inderdaad in dat de plankosten realistischer worden ingeschat, maar zijn deze niet voldoende. Bij vergelijking met de regeling van de plankosten onder de Wet ruimtelijke ordening, valt op dat bij exact hetzelfde plan minder plankosten kunnen worden verhaald dan in 2023 en zelfs in 2021 het geval was. Ook worden de plankosten van kleine plannen nog steeds te laag ingeschat. De suggestie is om dat op te lossen door de staffels bij het omgevingsplan, het opstellen van kostenverhaalsregels en het stedenbouwkundig plan in een groter aantal groottecategorieën op te delen. Daarbij moeten dan hogere kosten worden gerekend bij plannen voor gebieden van minder dan 5 hectare. Ook wordt voorgesteld om staffels te gaan toepassen bij taxaties, het voorkeursrecht, onteigening en het inrichtingsplan openbare ruimte.
In de reacties van de ontwikkelaars, de provincies en de waterschappen worden daarnaast opmerkingen gemaakt die niet de Omgevingsregeling, maar andere onderdelen van de regeling van het kostenverhaal betreffen. De NEPROM vraagt om meer ruimte voor maatwerk bij het afsluiten van anterieure overeenkomsten. De Omgevingsregeling heeft een schaduwwerking op anterieure overeenkomsten. Dat moet niet verhinderen dat gemeenten en ontwikkelaars van geval tot geval afspraken maken over de inrichting van het planproces, de onderlinge taakverdeling en de verdeling van de plankosten. Het Interprovinciaal overleg (IPO) signaleert dat provincies onvoldoende mogelijkheden hebben om de plankosten te verhalen van provinciale projectbesluiten voor het aanleggen van energievoorzieningen en infrastructuur voor energietransport. Het IPO vraagt om de plankosten van projectbesluiten te verhogen.
Tot slot wordt in de reacties op een aantal onvolkomenheden of onduidelijkheden gewezen. Daarbij worden ook suggesties voor verbeteringen gedaan.
Deze reacties geven geen aanleiding om het voorstel tot wijziging van de Omgevingsregeling inhoudelijk aan te passen. Het doel van de wijziging van de Omgevingsregeling was niet om de plankosten weer op het niveau van vóór de inwerkingtreding van de Omgevingsregeling te brengen. Het doel was om gemeenten weer in staat te stellen de werkelijke plankosten te verhalen. Dat is goeddeels gelukt. Daarbij leiden voorstellen voor verdere verfijningen tot hogere uitvoeringslasten, maar leveren weinig meerwaarde op. Het voorstel om plannen van minder dan 5 hectare in een groter aantal groottecategorieën onder te verdelen wordt daarom niet overgenomen.
De NEPROM is bezorgd dat de Omgevingsregeling een te sterke stempel zet op de onderhandelingen over de plankosten bij anterieure overeenkomsten. In de praktijk gaat volgens de NEPROM te veel aandacht uit naar de uitkomst van de berekening van de plankosten. Daardoor lukt het soms niet om goede afspraken te maken over het proces van planvorming, de manier waarop diverse werkzaamheden worden uitgevoerd en de samenwerking tussen de gemeente en de ontwikkelaar. De ervaring leert namelijk dat een goede, gedeelde procesbeschrijving vooraf met heldere afspraken over wie wat doet, helpt om alle partijen scherp te houden op urenbesteding, doorlooptijden en te verwachten producten. De NEPROM vraagt om nader toe te lichten hoe de Omgevingsregeling bij anterieure overeenkomsten op dit punt moet worden toegepast.
Op deze plaats moet worden benadrukt dat de anterieure overeenkomst een zeer belangrijk instrument van het kostenverhaal is. Het voordeel van de anterieure overeenkomst is dat er maatwerk kan worden geleverd. Dat is mogelijk doordat de anterieure overeenkomst wordt afgesloten op een moment dat het omgevingsplan nog niet is vastgesteld. Er ligt dan nog weinig vast. Dat biedt volop kansen voor de gemeente en de ontwikkelaar om hun krachten te bundelen voor een snel en efficiënt planproces tegen een haalbare prijs.
De Omgevingsregeling kan daarbij als leidraad worden gebruikt, maar dekt niet alle afspraken die in de anterieure overeenkomst moeten worden gemaakt. De Omgevingsregeling stelt alleen een maximum aan de kosten van de inzet van het ambtelijk apparaat van de gemeente voor het opstellen van plannen en de uitvoering daarvan. Dat maximum is gebaseerd op een efficiënte en doelmatige uitvoeringspraktijk. De Omgevingsregeling stelt geen expliciete eisen aan het proces van planvorming, de kwaliteit van plannen, de projectorganisatie, het toezicht op de uitvoering van werken, de taakverdeling tussen de gemeente en de ontwikkelaar. Wat de Omgevingsregeling betreft kunnen over al deze onderwerpen vrijelijk afspraken worden gemaakt. Deze onderwerpen zouden daarom altijd op de agenda moeten staan bij besprekingen over het afsluiten van een anterieure overeenkomst.
Het IPO heeft gevraagd om de plankosten van het opstellen projectbesluiten te verhogen. Dat verzoek is vooralsnog niet gehonoreerd. Het is te vroeg om de Omgevingsregeling aan te passen. Het Ministerie van Klimaat en Groene Groen voert een verkenning uit naar de mogelijkheden om de administratieve kosten van projectbesluiten te verhalen. Daarbij liggen nog meerdere opties op tafel.
In de reacties werd overigens op enkele onvolkomenheden en onduidelijkheden in de tekst gewezen. Die onvolkomenheden zijn hersteld en er zijn nieuwe teksten gemaakt.
Deze wijzigingsregeling treedt in werking met ingang van 1 januari 2026. Er is geen overgangsrecht opgesteld aangezien de kostenverhaalberekening plaatsvindt bij beschikking en na vaststellen van een omgevingsplan, projectbesluit of een omgevingsvergunning voor een buitenplanse omgevingsplanactiviteit. Afhankelijk van wanneer het besluit is genomen, is slechts één plankostenregime van toepassing.
De inwerkingtreding wijkt af van de vaste minimuminvoeringstermijn. Voor deze inwerkingtredingsdatum is gekozen om te voorkomen dat gemeenten nog langer onnodig financiële verliezen lijden doordat zij niet in staat zijn alle plankosten te verhalen. De snellere inwerkingtreding van deze wijziging van de Omgevingsregeling heeft nagenoeg geen nadelige gevolgen voor bouwers en ontwikkelaars. Allereerst vindt in de praktijk in de meeste gevallen kostenverhaal plaats via anterieure overeenkomsten. De Omgevingsregeling heeft alleen een schaduwwerking op het kostenverhaal via een overeenkomst. Verder zal in geval toch publiekrechtelijk kostenverhaal plaatsvindt, de plankostenregeling pas in een later stadium gevolgen hebben voor bouwer en ontwikkelaars. Eerst zal een kostenverhaalbeschikking moeten worden genomen die gebaseerd is op een voorafgaand omgevingsplan, projectbesluit of omgevingsvergunning, waarin de regels over kostenverhaal zijn opgenomen. Pas dan krijgt de ontwikkelaar te maken met de gewijzigde plankostenregeling.
Artikelen 13.2 en 13.3 zijn gewijzigd, om de naamswijziging van complexiteitsfactoren naar invloedfactoren te reflecteren en om artikel 13.3 consistenter te maken met artikel 13.2. Ook is tabel 4 vervallen in zowel bijlage XXXIV als bijlage XXXIVa. In het algemeen deel van de toelichting, onder 4.4, wordt deze wijziging verder toegelicht. Vanwege het wegvallen van tabel 4 zijn de tabellen hernummerd en zijn verwijzingen naar tabel 5 veranderd naar verwijzingen naar tabel 4.
Artikel 13.2, derde lid, is gewijzigd om aan te geven dat de op- of afslag op de plankosten niet langer het gemiddelde is van de invloedsfactoren die bij een product of activiteit van toepassing zijn, maar een optelsom daarvan.
Artikelen 13.4, 13.5 en 13.8 zijn gewijzigd om de wijziging van de rijnamen in tabel 1 van bijlagen XXXIV en XXXIVa te reflecteren.
Artikel 13.9 is gewijzigd om de verwijzingen naar tabel 7 van bijlagen XXXIV en XXXIVa te wijzigen naar verwijzingen naar tabel 6. Dit vanwege de hernummering van de tabellen. De officiële naam van de Cao gemeenten is verder verwerkt in het artikel. Ook is verwerkt dat de Minister van Volkshuisvesting en Ruimtelijke Ordening verantwoordelijk is voor de indexatie vanwege de portefeuilleverdeling in het demissionaire kabinet-Schoof.
Sinds 1 april 2023 mogen alleen gecertificeerde installatiebedrijven werkzaamheden uitvoeren aan gasverbrandingsinstallaties, zoals cv-ketels, geisers, gashaarden of -kachels. De Toelatingsorganisatie Kwaliteitsborging Bouw (hierna: TloKB) houdt een openbaar register bij waarin te vinden is of een installatiebedrijf gecertificeerd is en dus mag werken aan gasverbrandingsinstallaties. De door de Minister aangewezen certificatie-instellingen kunnen installatiebedrijven certificeren en dit doorgeven aan de TloKB voor opname in het register. In artikel 14.47a van de Omgevingsregeling staat wat het tarief is voor de behandeling van een aanvraag tot aanwijzing als certificatie-instelling. Dit tarief is bijgesteld. Dit gebeurt jaarlijks vanwege stijgende ICT-kosten voor het beheer van het register en indexering gebaseerd op de Handleiding Overheidstarieven.
Voor de mogelijkheid van het stellen van regels over woningbouwcategorieën in het omgevingsplan van artikel 5.161c van het Besluit kwaliteit leefomgeving wordt voor de kostengrens voor de sociale koopwoning verwezen naar de kostengrens bedoeld in Voorwaarden en Normen Nationale Hypotheekgarantie. In bijlage II bij artikel 1.4 wordt bepaald welke uitgave van die voorwaarden van toepassing is. Hierbij wordt de uitgave van de NHG-voorwaarden en normen geactualiseerd van versie 2022-1 naar versie 2023-1. Daarmee gaat de kostengrens van € 355.000,– naar € 405.000,– van 2025. Hiermee wordt weer aangesloten bij de betaalbaarheidsgrens voor betaalbare koopwoningen. Er wordt niet geactualiseerd naar een recentere versie aangezien de koppeling tussen de betaalbaarheidsgrens van een betaalbare koopwoning en de NHG-grens sinds 2023 is losgelaten.3
De wijzigingen van de bijlagen XXXIV en XXXIVa worden in het algemeen deel van de toelichting besproken.
De Minister van Volkshuisvesting en Ruimtelijke Ordening, M.C.G. Keijzer
|
Product of activiteit |
Onderdeel |
Berekeningswijze (hoeveelheid x prijs) |
Nadere bepalingen |
Invloedsfactoren kostenverhaal van toepassing? (tabel 4) |
|||
|---|---|---|---|---|---|---|---|
|
Aantallen eenheden en werkuren per kostenverhaalsgebied |
Tariefgroep die van toepassing is (uurtarieven in tabel 3) of vaste prijs exclusief btw |
||||||
|
1. |
Omgevingsplan, projectbesluit of omgevingsvergunning voor het kostenverhaalsgebied |
||||||
|
1.1a |
Opstellen en vaststellen gedetailleerd omgevingsplan |
Opstellen en vaststellen omgevingsplan |
Uitwerken omgevingsplan, met inbegrip van digitalisering en kaartmateriaal |
100% van het aantal werkuren volgens tabel 2, tweede kolom |
Tariefgroep 3: Omgevingsrecht |
De plankosten zijn het resultaat van de vermenigvuldiging aantal x percentage x uurtarief. |
Ja, invloedsfactoren I t/m V |
|
Projectmanagement |
Het aantal weken volgens tabel 8, tweede kolom, maal het aantal werkuren per week volgens tabel 9, tweede kolom |
Tariefgroep 7a: Projectmanagement |
Ja, Invloedsfactoren I t/m V |
||||
|
Stedenbouw |
Het aantal weken volgens tabel 8, tweede kolom, maal het aantal werkuren per week volgens tabel 9, tweede kolom |
Tariefgroep 2: Stedenbouw |
Ja, invloedsfactoren I t/m V |
||||
|
Planeconomie |
Het aantal weken volgens tabel 8, tweede kolom, maal het aantal werkuren per week volgens tabel 9, tweede kolom |
Tariefgroep 8: Planeconomie |
Ja, invloedsfactoren I t/m V |
||||
|
Beleidsafdelingen |
Het aantal weken volgens tabel 8, tweede kolom, maal het aantal werkuren per week volgens tabel 9, tweede kolom |
Tariefgroep 4: Beleidsafdelingen |
Ja, invloedsfactoren I t/m V |
||||
|
Communicatie |
Het aantal weken volgens tabel 8, tweede kolom, maal het aantal werkuren per week volgens tabel 9, tweede kolom |
Tariefgroep 6: Communicatie |
Ja, invloedsfactoren I t/m V |
||||
|
Opstellen regels kostenverhaal |
Grondzaken en Planeconomie |
100% van het aantal werkuren volgens tabel 2, derde kolom |
Tariefgroepen 1 en 8: Grondzaken en Planeconomie |
De plankosten zijn het resultaat van de vermenigvuldiging aantal x percentage x uurtarief. |
Ja, invloedsfactoren I t/m V |
||
|
Projectmanagement |
10% van het aantal werkuren volgens tabel 2, derde kolom |
Tariefgroep 7a: Projectmanagement |
Ja, invloedsfactoren I t/m V |
||||
|
1.1b |
Opstellen en vaststellen projectbesluit of verlenen omgevingsvergunning voor een buitenplanse omgevingsplan-activiteit |
Opstellen en vaststellen projectbesluit of verlenen omgevingsvergunning voor een buitenplanse omgevingsplan-activiteit |
Uitwerken projectbesluit of omgevingsvergunning, met inbegrip van digitalisering en kaartmateriaal |
100% van het aantal werkuren volgens tabel 2, vierde kolom |
Tariefgroep 3: Omgevingsrecht |
De plankosten zijn het resultaat van de vermenigvuldiging aantal x percentage x uurtarief. |
Ja, invloedsfactoren I t/m V |
|
Projectmanagement |
Het aantal weken volgens tabel 8, tweede kolom, maal het aantal werkuren per week volgens tabel 9, tweede kolom |
Tariefgroep 7a: Projectmanagement |
Ja, invloedsfactoren I t/m V |
||||
|
Stedenbouw |
Het aantal weken volgens tabel 8, tweede kolom, maal het aantal werkuren per week volgens tabel 9, tweede kolom |
Tariefgroep 2: Stedenbouw |
Ja, invloedsfactoren I t/m V |
||||
|
Planeconomie |
Het aantal weken volgens tabel 8, tweede kolom, maal het aantal werkuren per week volgens tabel 10, tweede kolom |
Tariefgroep 8: Planeconomie |
Ja, invloedsfactoren I t/m V |
||||
|
Beleidsafdelingen |
Het aantal weken volgens tabel 8, tweede kolom, maal het aantal werkuren per week volgens tabel 9, tweede kolom |
Tariefgroep 4: Beleidsafdelingen |
Ja, invloedsfactoren I t/m V |
||||
|
Communicatie |
Het aantal weken volgens tabel 8, tweede kolom, maal het aantal werkuren per week volgens tabel 9, tweede kolom |
Tariefgroep 6: Communicatie |
Ja, invloedsfactoren I t/m V |
||||
|
Opstellen regels kostenverhaal |
Grondzaken en Planeconomie |
100% van het aantal werkuren volgens tabel 2, vijfde kolom |
Tariefgroepen 1 en 8: Grondzaken en Planeconomie |
De plankosten zijn het resultaat van de vermenigvuldiging aantal x percentage x uurtarief. |
Ja, invloedsfactoren I t/m V |
||
|
Projectmanagement |
10% van het aantal werkuren volgens tabel 2, vijfde kolom |
Tariefgroep 7a: Projectmanagement |
Ja, invloedsfactoren I t/m V |
||||
|
1.2 |
Stedenbouwkundig plan |
Opstellen stedenbouwkundig plan |
Per woonfunctie |
Het aantal werkuren volgens tabel 10, tweede kolom |
Tariefgroep 2: Stedenbouw |
Ja, invloedsfactoren I, II, IV, V en VI |
|
|
Per 100 m2 uitgeefbare grond voor bedrijven en per 100 m2 bruto vloeroppervlakte voor overige commerciële en niet-commerciële voorzieningen |
0,5 uur |
Tariefgroep 2: Stedenbouw |
Ja, invloedsfactoren I, II, IV, V en VI |
||||
|
Projectmanagement |
Het aantal weken volgens tabel 8, derde kolom, maal het aantal werkuren per week volgens tabel 9, derde kolom |
Tariefgroep 7a: Projectmanagement |
Ja, invloedsfactoren I, II, IV, V en VI |
||||
|
Planeconomie |
Het aantal weken volgens tabel 8, derde kolom, maal het aantal werkuren per week volgens tabel 9, derde kolom |
Tariefgroep 8: Planeconomie |
Ja, invloedsfactoren I, II, IV, V en VI |
||||
|
Communicatie |
Het aantal weken volgens tabel 8, derde kolom, maal het aantal werkuren per week volgens tabel 9, derde kolom |
Tariefgroep 6: Communicatie |
Ja, invloedsfactoren I, II, IV, V en VI |
||||
|
Civiele techniek |
Het aantal weken volgens tabel 8, derde kolom, maal het aantal werkuren per week volgens tabel 9, derde kolom |
Tariefgroep 9: Civieltechnisch projectleiden |
Ja, invloedsfactoren I, II, IV, V en VI |
||||
|
Landmeten en vastgoedinformatie |
Het aantal weken volgens tabel 8, derde kolom, maal het aantal werkuren per week volgens tabel 9, derde kolom |
Tariefgroep 5: Landmeten/vastgoedinformatie |
Ja, invloedsfactoren I, II, IV, V en VI |
||||
|
1.3 |
Beeldkwaliteitsplan |
Opstellen beeldkwaliteitsplan |
Per woonfunctie |
Het aantal werkuren volgens tabel 10, derde kolom |
Tariefgroep 2: Stedenbouw |
Ja, invloedsfactor IV |
|
|
Per 100 m2 uitgeefbare grond voor bedrijven en per 100 m2 bruto vloeropppervlak voor overige commerciële voorzieningen en niet-commerciële voorzieningen |
0,25 uur |
Tariefgroep 2: Stedenbouw |
Ja, invloedsfactor IV |
||||
|
Projectmanagement |
Het aantal weken volgens tabel 8, vierde kolom, maal het aantal werkuren per week volgens tabel 9, vierde kolom |
Tariefgroep 7a: Projectmanagement |
Ja, invloedsfactor IV |
||||
|
Planeconomie |
Het aantal weken volgens tabel 8, vierde kolom, maal het aantal werkuren per week volgens tabel 9, vierde kolom |
Tariefgroep 8: Planeconomie |
Ja, invloedsfactor IV |
||||
|
Landmeten en vastgoedinformatie |
Het aantal weken volgens tabel 8, vierde kolom, maal het aantal werkuren per week volgens tabel 9, vierde kolom |
Tariefgroep 5: Landmeten/vastgoedinformatie |
Ja, Invloedsfactor IV |
||||
|
2. |
Werkzaamheden ten behoeve van het uitvoeren van het omgevingsplan |
||||||
|
2.1a |
Taxatie inbrengwaarde percelen |
Eerste taxatie inbrengwaarde via onafhankelijke taxatie |
Per onbebouwd perceel |
1 uur |
Tariefgroep 1: Grondzaken |
Ambtelijke begeleiding altijd meetellen. In het totaal minimaal 20 uren. |
Nee |
|
Per bebouwd perceel, bij meer dan 4 percelen |
2 uur |
Tariefgroep 1: Grondzaken |
Nee |
||||
|
Begeleiding planeconoom |
16 uur |
Tariefgroep 8: Planeconomie |
Nee |
||||
|
Begeleiding projectmanager |
5% van het berekende aantal uren, met inbegrip van de uren van de planeconoom |
Tariefgroep 7a: Projectmanagement |
Nee |
||||
|
Landmeten en vastgoedinformatie |
1% van het berekende aantal uren, met inbegrip van de uren van de planeconoom |
Tariefgroep 5: Landmeten/vastgoedinformatie |
Nee |
||||
|
Eerste taxatie inbrengwaarde via Wet waardering onroerende zaken |
Per onbebouwd perceel |
0,25 uur |
Tariefgroepen 1 en 8: Grondzaken en Planeconomie |
Nee |
|||
|
Per bebouwd perceel |
0,25 uur |
Tariefgroepen 1 en 8: Grondzaken en Planeconomie |
Nee |
||||
|
Projectmanagement |
5% van het berekende aantal uren, met inbegrip van de uren van de planeconoom |
Tariefgroep 7a: Projectmanagement |
Nee |
||||
|
Landmeten en vastgoedinformatie |
1% van het totaal aantal uren, met inbegrip van de uren van de planeconoom |
Tariefgroep 5: Landmeten/vastgoedinformatie |
Nee |
||||
|
Hertaxatie inbrengwaarde |
100% van de werkuren van de eerste taxatie; bij onafhankelijke taxatie inclusief de ambtelijke begeleidingsuren, projectmanagement, planeconomie en landmeten/vastgoedinformatie |
n.v.t. |
Uitgangspunt is dat gedurende de looptijd éénmaal per 5 jaar een hertaxatie plaatsvindt. |
Nee |
|||
|
2.1b |
Taxatie en aankopen onroerende zaken |
Per onbebouwd perceel |
24 uur |
Tariefgroep 1: Grondzaken |
Nee |
||
|
Per gebouw met een woonfunctie |
48 uur |
Tariefgroep 1: Grondzaken |
Nee |
||||
|
Per te ontbinden huur of pachtovereenkomst |
48 uur |
Tariefgroep 1: Grondzaken |
Nee |
||||
|
Per gebouw met een industriefunctie, winkelfunctie of kantoorfunctie |
80 uur |
Tariefgroep 1: Grondzaken |
Nee |
||||
|
Per bijzonder object |
80 uur |
Tariefgroep 1: Grondzaken |
Nee |
||||
|
Per gebouw met een industriefunctie, winkelfunctie of kantoorfunctie of een bijzonder object in een herstructureringsgebied |
100 uur |
Tariefgroep 1: Grondzaken |
Nee |
||||
|
Begeleiding projectmanager |
10% van het totaal berekende aantal uren |
Tariefgroep 7a: Projectmanagement |
Nee |
||||
|
Begeleiding planeconoom |
5% van het totaal berekende aantal uren |
Tariefgroep 8: Planeconomie |
Nee |
||||
|
Landmeten en vastgoedinformatie |
1% van het totaal berekende aantal uren |
Tariefgroep 5: Landmeten/vastgoedinformatie |
Nee |
||||
|
2.1c |
Onteigening van onroerende zaken |
Onteigening |
Per administratieve procedure |
134 uur |
Tariefgroep 1: Grondzaken |
Nee |
|
|
Per gerechtelijke procedure |
50 uur |
Tariefgroep 1: Grondzaken |
Nee |
||||
|
Advocaatkosten |
Vaste prijs van € 40.258,– per gerechtelijke procedure |
Nee |
|||||
|
Begeleiding projectmanager |
10% van het berekende aantal werkuren voor de administratieve- en gerechtelijke procedure |
Tariefgroep 7a: Projectmanagement |
Nee |
||||
|
Begeleiding planeconoom |
5% van het berekende aantal werkuren voor de administratieve- en gerechtelijke procedure |
Tariefgroep 8: Planeconomie |
Nee |
||||
|
Landmeten en vastgoedinformatie |
1% van het berekende aantal werkuren voor de administratieve- en gerechtelijke procedure |
Tariefgroep 5: Landmeten/vastgoedinformatie |
Nee |
||||
|
2.1d |
Vestigen voorkeursrecht |
Vestigen voorkeursrecht |
Per kostenverhaalsgebied met één of meer voorkeursrechten |
60 uur |
Tariefgroep 1: Grondzaken |
Nee |
|
|
Begeleiding projectmanager |
10% van het totaal aantal berekende uren |
Tariefgroep 7a: Projectmanagement |
Nee |
||||
|
Begeleiding planeconoom |
5% van het totaal aantal berekende uren |
Tariefgroep 8: Planeconomie |
Nee |
||||
|
Landmeten en vastgoedinformatie |
1% van het totaal aantal berekende werkuren |
Tariefgroep 5: Landmeten/vastgoedinformatie |
Nee |
||||
|
2.2 |
Inrichtingsplan openbare ruimte |
Ontwerpen inrichtingsplan |
Per 100 m2verharding |
2 uur |
Tariefgroepen 2 en 9: Stedenbouw en Civieltechnisch projectleiden |
Ja, invloedsfactoren I, II, IV en V |
|
|
Per 100 m2 groenvoorzieningen of water |
1 uur |
Tariefgroepen 2 en 9: Stedenbouw en Civieltechnisch projectleiden |
Ja, invloedsfactoren I, II, IV en V |
||||
|
Begeleiding projectmanager |
Het aantal weken volgens tabel 8, vijfde kolom, maal het aantal werkuren per week volgens tabel 9, vijfde kolom |
Tariefgroep 7a: Projectmanagement |
Ja, invloedsfactoren I, II, IV en V |
||||
|
Begeleiding planeconoom |
Het aantal weken volgens tabel 8, vijfde kolom, maal het aantal werkuren per week volgens tabel 9, vijfde kolom |
Tariefgroep 8: Planeconomie |
Ja, invloedsfactoren I, II, IV en V |
||||
|
Landmeten en vastgoedinformatie |
Het aantal weken volgens tabel 8, vijfde kolom, maal het aantal werkuren per week volgens tabel 9, vijfde kolom |
Tariefgroep 5: Landmeten/vastgoedinformatie |
Ja, invloedsfactoren I, II, IV en V |
||||
|
Communicatie |
Het aantal weken volgens tabel 8, vijfde kolom, maal het aantal werkuren per week volgens tabel 9, vijfde kolom |
Tariefgroep 6: Communicatie |
Ja, invloedsfactoren I, II, IV en V |
||||
|
2.3 |
Voorbereiding, toezicht en directievoering bij civieltechnische werken |
||||||
|
2.3a |
Slopen |
Voorbereiding, aanbesteding en gunning |
Per bestek |
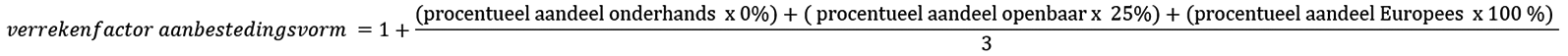
12 uur vermenigvuldigd met de verrekenfactor aanbestedings-vorm uit tabel 5 |
Tariefgroep 11: Bestek schrijven/calculeren |
Het bevoegd gezag bepaalt hoeveel bestekken nodig zijn. |
Ja invloedsfactoren I, II, IV en V |
|
Directievoeren |
Per week uitvoeringstijd |
1 uur vermenigvuldigd met de verrekenfactoren type te slopen onroerende zaak en aanwezigheid van asbest uit tabel 5 |
Tariefgroep 13: Directievoeren |
De uitvoeringstijd is 8 uur per 300 m3 te slopen vastgoed. Een werkweek heeft 40 uren. |
Ja, invloedsfactoren I, II, IV en V |
||
|
Toezichthouden |
Per week uitvoeringstijd |
4 uur vermenigvuldigd met de verrekenfactoren type te slopen onroerende zaak en aanwezigheid asbest uit tabel 5 |
Tariefgroep 14: Toezichthouden |
De uitvoeringstijd is 8 uur per 300 m3 te slopen vastgoed. Een werkweek heeft 40 uren. |
Ja, invloedsfactoren I, II, IV en V |
||
|
Projectleiding aanbesteding |
Per bestek |
4 uur vermenigvuldigd met de verrekenfactor aanbestedings-vorm uit tabel 5 |
Tariefgroep 9: Civieltechnisch projectleiden |
Het bevoegd gezag bepaalt hoeveel bestekken nodig zijn. |
Ja, invloedsfactoren I, II, IV en V |
||
|
Projectleiding van werkzaamheden tijdens de uitvoering |
Per week gedurende uitvoeringstijd |
0,25 uur vermenigvuldigd met de verrekenfactoren type te slopen onroerende zaak en aanwezigheid asbest uit tabel 5 |
Tariefgroep 9: Civieltechnisch projectleiden |
De uitvoeringstijd is 8 uur per 300 m3 te slopen vastgoed. |
Ja, invloedsfactoren I, II, IV en V |
||
|
2.3b |
Integraal ophogen en voorbelasten |
Bestek schrijven |
Zie tabel 6 |
Het minimumbedrag is vermeld in tabel 7. |
Ja, invloedsfactoren I, II, IV en V |
||
|
Rapportage |
Zie tabel 6 |
Het minimumbedrag is vermeld in tabel 7. |
Ja, invloedsfactoren I, II, IV en V |
||||
|
Veldonderzoek |
Per hectare |
€ 2.648,– |
Het minimumbedrag is € 5.368,– per omgevingsplan, projectbesluit of omgevingsvergunning voor een buitenplanse omgevingsplanactiviteit. |
Ja, invloedsfactoren I, II, IV en V |
|||
|
Inmeten |
Per hectare |
€ 671,– |
Het minimumbedrag is € 1.342,– per omgevingsplan, projectbesluit of omgevingsvergunning voor een buitenplanse omgevingsplanactiviteit. |
Ja, invloedsfactoren I, II, IV en V |
|||
|
Directievoeren |
Per week gedurende de aanbreng- en verwijdertijd |
4 uur |
Tariefgroep 13: Directievoeren |
Het aantal weken aanbrengen verwijdertijd bedraagt 1/5.000 van het aantal m3 grond dat wordt opgebracht of verwijderd. |
Ja, invloedsfactoren I, II, IV en V |
||
|
Toezichthouden |
Per week aanbrengen verwijdertijd |
4 uur |
Tariefgroep 14: Toezichthouden |
Het aantal weken aanbreng- en verwijdertijd bedraagt 1/5.000 van het aantal m3 grond dat wordt opgebracht of verwijderd. |
Ja, invloedsfactoren I, II, IV en V |
||
|
Monitoren |
Per jaar zettingstijd per hectare |
€ 1.678,– |
Het minimumbedrag is € 3.356,– per omgevingsplan, projectbesluit of omgevingsvergunning. |
Ja, invloedsfactoren I, II, IV en V |
|||
|
2.3c |
Partieel ophogen en voorbelasten |
Bestek schriiven |
150% van de kosten van bestek bij integraal ophogen en voorbelasten |
Het minimumbedrag is 150% van het minimum dat is vermeld in tabel 6. |
Ja, invloedsfactoren I, II, IV en V |
||
|
Rapportage |
100% van de kosten van rapportage bij integraal ophogen en voorbelasten |
Het minimumbedrag is 100% van het minimum dat is vermeld in tabel 6. |
Ja, invloedsfactoren I, II, IV en V |
||||
|
Veldonderzoek |
35% van de kosten van veldonderzoek bij integraal ophogen en voorbelasten |
Het minimumbedrag is 35% van het minimum bij integraal ophogen en voorbelasten. |
Ja, invloedsfactoren I, II, IV en V |
||||
|
Inmeten |
35% van de kosten bij directievoeren en integraal ophogen |
Het minimumbedrag is 35% van het minimum bij integraal ophogen en voorbelasten. |
Ja, invloedsfactoren I, II, IV en V |
||||
|
Directievoeren |
35% van de kosten van directievoeren bij integraal ophogen |
Het minimumbedrag is 35% van het minimum bij integraal ophogen en voorbelasten. |
Ja, invloedsfactoren I, II, IV en V |
||||
|
Toezichthouden |
35% van de kosten van toezichthouden bij integraal ophogen en voorbelasten |
Het minimumbedrag is 35% van het minimum bij integraal ophogen en voorbelasten. |
Ja, invloedsfactoren I, II, IV en V |
||||
|
Monitoren |
35% van de kosten van monitoren bij integraal ophogen en voorbelasten |
Het minimumbedrag is 35% van het minimum bij integraal ophogen en voorbelasten. |
Ja, invloedsfactoren I, II, IV en V |
||||
|
Bouw- en woonrijp maken |
Opstellen voorlopig en definitief ontwerp (VO en DO) |
Per ontwerp voor een kostenverhaalsdeelgebied |
200 uur per deelgebied volgens de norm zie tabel 11 |
Tariefgroep 10: Civieltechnisch ontwerpen |
Het VO en DO zijn samen één ontwerp. Het aantal kostenverhaalsdeelgebieden is opgebouwd volgens de norm, zie tabel 11. In een kostenverhaalsgebied met meer dan 40% openbaar gebied wordt het aantal kostenverhaalsdeelgebieden vermenigvuldigd met de verrekenfactor die is aangegeven in tabel 7. |
Ja, invloedsfactoren I, II, IV en V |
|
|
Opstellen rioleringsplan |
Per hectare kostenverhaalsgebied |
7,5 uur |
Tariefgroep 10: Civieltechnisch ontwerpen |
Ja, invloedsfactoren I, II, IV en V |
|||
|
Aanbesteden en gunnen |
Per bestek |
100 uur bestek schrijven/calculeren, vermenigvuldigd met de verrekenfactor aanbestedings-vorm uit tabel 5 |
Tariefgroepen 11 en 12: Bestek schrijven/calculeren en tekenen |
Bij uitleg- en uitbreidingslocaties of bij kostenverhaalsgebieden met een herstructurering/transformatieopgave 2 bestekken per kostenverhaalsdeelgebied en bij overige gebieden 1,5 bestek. Het aantal kostenverhaalsdeelgebieden wordt berekend zoals aangegeven in tabel 7. |
Ja, invloedsfactoren I, II, IV en V |
||
|
Tekenen |
Per bestek |
80 uur vermenigvuldigd met de verrekenfactor aanbestedings-vorm uit tabel 5 |
Tariefgroep 12: Tekenen |
Er zijn 2 bestekken per kostenverhaalsdeelgebied openbaar gebied op uitleg- en uitbreidingslocaties of bij kostenverhaalsgebieden met een herstructurering/transformatieopgave en 1,5 bestek per kostenverhaalsdeelgebied openbaar gebied in overige gebieden. Het aantal kostenverhaalsdeelgebieden per ha openbaar gebied wordt berekend zoals aangegeven in tabel 7. |
Ja invloedsfactoren I, II, IV en V |
||
|
Directievoeren |
Per week uitvoeringstijd |
8 uur |
Tariefgroep 13: Directievoeren |
De uitvoeringstijd is het aantal maanden zoals aangegeven in tabel 15. Het aantal bestekken is 2 bij uitleg- en uitbreidingslocaties of bij kostenverhaalsgebieden met een herstructurering/transformatieopgave en 1,5 bestek bij de overige locaties. |
Ja, invloedsfactoren I, II, IV en V |
||
|
Toezichthouden |
Per week uitvoeringstijd |
10 uur |
Tariefgroep 14: Toezichthouden |
De uitvoeringstijd is het aantal maanden zoals aangegeven in tabel 15. Het aantal bestekken is 2 bij uitleg- en uitbreidingslocaties of bij kostenverhaalsgebieden met een herstructurering/transformatieopgave en 1,5 bestek bij de overige locaties. |
Ja, invloedsfactoren I, II, IV en V |
||
|
Projectleiding: begeleiding ontwerpwerkzaamheden |
Per ontwerp voor een kostenverhaalsdeelgebied |
32 uur |
Tariefgroep 9: Civieltechnisch projectleiden |
Het VO en DO zijn samen een ontwerp. Het aantal kostenverhaalsdeelgebieden wordt berekend zoals is aangegeven in tabel 7. |
Ja, invloedsfactoren I, II, IV en V |
||
|
Projectleiding: begeleiding aanbesteding |
Per bestek |
20 uur vermenigvuldigd met de verrekeningsfactor aanbestedingsvorm uit tabel 5 |
Tariefgroep 9: Civieltechnisch projectleiden |
Bij uitbreiding en uitlegslocaties of bij kostenverhaalsgebieden met een herstructurering/transformatieopgave 2 bestekken per kostenverhaalsdeelgebied en bij overige gebieden 1,5 bestek. Het aantal kostenverhaalsdeelgebieden wordt berekend zoals is aangegeven in tabel 7. |
Ja, invloedsfactoren I, II, IV en V |
||
|
Projectleiding: begeleiding uitvoeringswerkzaamheden |
Per week uitvoeringstijd |
1 uur |
Tariefgroep 9: Civieltechnisch projectleiden |
De uitvoeringstijd is het aantal maanden zoals aangegeven in tabel 15. Het aantal bestekken is 2 bij uitleg- en uitbreidingslocaties of bij kostenverhaalsgebieden met een herstructurering/transformatieopgave, en 1,5 bij de overige locaties. |
Ja, invloedsfactoren I, II, IV en V |
||
|
2.4 |
Algemene financiële verantwoording en aansturing van het project, inclusief bestuurlijke besluitvorming |
Projectmanagement (verantwoording) |
Per jaar gedurende de looptijd van het project t.b.v. verantwoording |
Het aantal uur volgens de tweede kolom van tabel 12 |
Tariefgroep 7a: Projectmanagement |
De looptijd is het aantal jaren vanaf de vaststelling van het besluit door het bevoegd gezag plus de historische looptijd. De historische looptijd is afhankelijk van de opslag met invloedsfactoren, minimaal 2 jaar en maximaal 4 jaar. |
Ja, invloedsfactoren I t/m V |
|
Projectmanagement-assistentie (verantwoording) |
Per jaar gedurende de looptijd van het project t.b.v. verantwoording |
Het aantal uur volgens de derde kolom van tabel 12 |
Tariefgroep 7b: Projectmanagement-assistentie |
De werkuren voor de projectmanagement-assistent zijn alleen van toepassing als de opslag met invloedsfactoren hoger is dan 130%. De looptijd is het aantal jaren vanaf de vaststelling van het besluit door het bevoegd gezag plus de historische looptijd. De historische looptijd is afhankelijk van de opslag met invloedfactoren minimaal 2 jaar en maximaal 4 jaar. |
Ja, invloedsfactoren I t/m V |
||
|
Planeconoom (verantwoording) |
Per jaar gedurende de looptijd van het project t.b.v. verantwoording |
Het aantal uur volgens de tweede kolom van tabel 13 |
Tariefgroep 8: Planeconomie |
De looptijd is het aantal jaren vanaf de vaststelling van het besluit door het bevoegd gezag plus de historische looptijd. De historische looptijd is afhankelijk van de opslag met invloedsfactoren, minimaal 2 jaar en maximaal 4 jaar. |
Ja, Invloedsfactoren I t/m V |
||
|
Projectmanager (aansturing) |
Per jaar gedurende de looptijd van het project t.b.v. aansturing |
Het aantal uur volgens de tweede kolom van tabel 14 |
Tariefgroep 7a: Projectmanagement |
De looptijd is het aantal jaren vanaf de vaststelling van het besluit door het bevoegd gezag |
Ja, invloedsfactoren I t/m V |
||
|
Projectmanagement-assistent (aansturing) |
Per jaar gedurende de looptijd van het project t.b.v. aansturing |
Het aantal uur volgens de derde kolom van tabel 14 |
Tariefgroep 7b: Projectmanagement-assistent |
De looptijd is het aantal jaren vanaf de vaststelling van het besluit door het bevoegd gezag |
Ja, Invloedsfactoren I t/m V |
||
|
Planeconoom (aansturing) |
Per jaar gedurende de looptijd van het project t.b.v. aansturing |
Het aantal uur volgens de vierde kolom van tabel 14 |
Tariefgroep 8: Planeconomie |
De looptijd is het aantal jaren vanaf de vaststelling van het besluit door het bevoegd gezag |
Ja, Invloedsfactoren I t/m V |
||
|
Stedenbouw (aansturing) |
Per jaar gedurende de looptijd van het project t.b.v. aansturing |
Het aantal uur volgens de vijfde kolom van tabel 14 |
Tariefgroep 2: Stedenbouw |
De looptijd is het aantal jaren vanaf de vaststelling van het besluit door het bevoegd gezag |
Ja, invloedsfactoren I t/m V |
||
|
Civiele techniek (aansturing) |
Per jaar gedurende de looptijd van het project t.b.v. aansturing |
Het aantal uur volgens de zesde kolom van tabel 14 |
Tariefgroep 9: Civieltechnisch projectleiden |
De looptijd is het aantal jaren vanaf de vaststelling van het besluit door het bevoegd gezag |
Ja, invloedsfactoren I t/m V |
||
|
Oppervlakte kostenverhaalsgebied |
Aantal werkuren omgevingsplan voor omgevingsrecht, inclusief digitalisering en kaartmateriaal |
Aantal werkuren regels kostenverhaal omgevingsplan voor grondzaken en planeconomie |
Aantal werkuren projectbesluit en omgevingsvergunning voor omgevingsrecht, inclusief digitaliseringen kaartmateriaal |
Aantal werkuren regels kostenverhaal omgevingsplan voor planeconoom en grondzaken bij projectbesluit en omgevingsvergunning voor een buitenplanse omgevingsplanactiviteit |
|---|---|---|---|---|
|
< 0,5 hectare |
100 uur |
38 uur |
60 uur |
25 uur |
|
Van 0,5 tot 1 hectare |
200 uur |
75 uur |
120 uur |
50 uur |
|
Van 1 tot 3 hectare |
300 uur |
113 uur |
200 uur |
75 uur |
|
Van 3 tot 5 hectare |
400 uur |
150 uur |
300 uur |
100 uur |
|
Van 5 tot 10 hectare |
450 uur |
173 uur |
350 uur |
115 uur |
|
Van 10 tot 15 hectare |
500 uur |
188 uur |
400 uur |
125 uur |
|
Van 15 tot 20 hectare |
550 uur |
300 uur |
450 uur |
200 uur |
|
Van 20 tot 50 hectare |
600 uur |
375 uur |
500 uur |
250 uur |
|
≥ 50 hectare |
700 uur |
450 uur |
550 uur |
300 uur |
|
Tariefgroep |
Deskundigheid |
€ per uur |
Salarisschaal Cao Gemeenten |
|---|---|---|---|
|
1 |
Grondzaken |
158 |
11 |
|
2 |
Stedenbouw |
158 |
11 |
|
3 |
Omgevingsrecht |
158 |
11 |
|
4 |
Beleidsafdelingen |
158 |
11 |
|
5 |
Landmeten/vastgoedinformatie |
124 |
9 |
|
6 |
Communicatie |
138 |
10 |
|
7a |
Projectmanagement |
179 |
12 |
|
7b |
Projectmanagementassistentie |
124 |
9 |
|
8 |
Planeconomie |
158 |
11 |
|
9 |
Civieltechnisch projectleiden |
158 |
11 |
|
10 |
Civieltechnisch ontwerpen |
158 |
11 |
|
11 |
Bestek schrijven/calculeren |
124 |
9 |
|
12 |
Tekenen |
112 |
8 |
|
13 |
Directievoeren |
138 |
10 |
|
14 |
Toezichthouden |
112 |
8 |
|
Invloedsfactor en categorieën |
Opslagpercentage |
|---|---|
|
I. Ligging kostenverhaalsgebied |
|
|
Uitleglocatie (locatie buiten de bebouwde kom, waar ten minste 70% van de grondoppervlakte onbebouwd is, waarbij kassen als onbebouwd gebied worden beschouwd)1 |
0% |
|
Uitbreidingslocatie (locatie buiten de bebouwde kom, waar minder dan 70% van de grondoppervlakte onbebouwd is, waarbij kassen als onbebouwd gebied worden beschouwd)1 |
0% |
|
Inbreidingslocatie (locatie binnen de bebouwde kom, waar ten minste 70% van de grondoppervlakte onbebouwd is)1 |
5% |
|
Binnenstedelijke locatie (locatie binnen de bebouwde kom, waar minder dan 70% van de grondoppervlakte onbebouwd is)1 |
10% |
|
Historische locatie waarvan: a. meer dan 10% van de grondoppervlakte behoort tot monumenten of archeologische monumenten, of b. de grondoppervlakte die ander cultureel erfgoed betreft, voor zover dat is beschermd op grond van artikel 4.2 of artikel 2.34, vierde lid, van de Omgevingswet, tezamen met de grondoppervlakte die behoort tot monumenten of archeologische monumenten, meer dan 50% van de totale grondoppervlakte omvat. |
20% |
|
II. Type opgave |
|
|
Geen herstructureringsgebied. Het bestaand openbaar gebied wordt alleen geherprofileerd. |
0% |
|
Herstructurerings- of transformatiegebied waar tot 25% van de oppervlakte van het bestaand openbaar gebied wordt herverkaveld |
10% |
|
Herstructurerings- of transformatiegebied waar 25% tot 50% van de oppervlakte van het bestaand openbaar gebied wordt herverkaveld |
15% |
|
Herstructurerings- of transformatiegebied waar 50% tot 75% van de oppervlakte van het bestaand openbaar gebied wordt herverkaveld. |
20% |
|
Herstructurerings- of transformatiegebied waar 75% of meer van de oppervlakte van het bestaand openbaar gebied wordt herverkaveld. |
25% |
|
III. Verwervingssituatie |
0% |
|
Geen bekrachtigingsprocedure onteigeningsbeschikking |
0% |
|
Eén bekrachtigingsprocedure onteigeningsbeschikking |
2% |
|
Twee of meer bekrachtigingsprocedures onteigeningsbeschikking |
5% |
|
IV. Ruimtelijk Programma |
|
|
Alleen woningbouw, bedrijvigheid, commerciële voorzieningen2, of niet-commerciële voorzieningen2 |
0% |
|
De percentages die bij de hieronder vermelde functiecombinaties van toepassing zijn, met een maximum van 10% |
|
|
a. Woningbouw in combinatie met andere functies |
2% |
|
b. Bedrijvigheid in combinatie met andere functies |
2% |
|
c. Commerciële voorzieningen in combinatie met andere functies2 |
2% |
|
d. Niet-commerciële voorzieningen in combinatie met andere functies3 |
5% |
|
V. Onderzoeken |
|
|
Geen van de hierna genoemde onderzoeken |
0% |
|
De som van de percentages die bij de onderstaande onderzoeken van toepassing zijn, met een maximum van 10% |
|
|
a. Milieueffectrapportage |
8% |
|
b. Nader onderzoek luchtkwaliteit |
6% |
|
c. Nader archeologisch onderzoek |
5% |
|
d. Bodemsanering |
4% |
|
VI. Woon-werkmilieu4 |
|
|
0 tot 30 woningequivalenten per hectare (suburbaan woon-werkmilieu) |
0% |
|
30 tot 40 woningequivalenten per hectare (suburbaan woon-werkmilieu) |
-2,5% |
|
40 tot 50 woningequivalenten per hectare (stedelijk woon-werkmilieu) |
-5% |
|
50 tot 60 woningequivalenten per hectare (stedelijk woon-werkmilieu) |
-10% |
|
60 tot 70 woningequivalenten per hectare (stedelijk woon-werkmilieu) |
-15% |
|
70 tot 80 woningequivalenten per hectare (stedelijk woon-werkmilieu) |
-20% |
|
80 tot 90 woningequivalenten per hectare (stedelijk woon-werkmilieu) |
-25% |
|
90 tot 100 woningequivalenten per hectare (stedelijk woon- en werkmilieu) |
-30% |
|
> 100 woningequivalenten per hectare (hoogstedelijk) |
-35% |
Commerciële voorzieningen zijn een bijeenkomstfunctie, kantoorfunctie, logiesfunctie, sportfunctie of winkelfunctie
Niet-commerciële voorzieningen zijn een celfunctie, gezondheidszorgfunctie of een onderwijsfunctie
In kostenverhaalsgebieden waar ook andere functies dan wonen voorkomen, wordt het bruto-vloeroppervlak daarvan omgerekend in woningequivalenten. Daarbij geldt dat 1 woningequivalent (weq) gelijk staat aan 100 m2 bruto-vloeroppervlakte of 100 m2 uitgeefbare grond.
|
|
|
Verrekenfactor type te slopen onroerende zaak = 100% – (0,5 x percentage agrarische bedrijfsgebouwen en kassen) |
|
Verrekenfactor aanwezigheid asbest = 100% + het percentage asbestvervuiling |
|
Grootte van het op te hogen of voor te belasten gebied1 |
Bestek |
Rapportage |
||||||
|---|---|---|---|---|---|---|---|---|
|
Ten minste opp. in hectare |
Ten hoogste opp. in hectare |
Percentage |
Ten minste |
Ten hoogste |
Per hectare |
Ten minste |
Ten hoogste |
Per hectare |
|
Groter dan 0 |
10 |
100 |
€ 13.419,– |
€ 13.419,– |
€ 1.350,– |
€ 6.710,– |
€ 6.710,– |
€ 675,– |
|
Groter dan 10 |
15 |
90 |
€ 13.419,– |
€ 18.225- |
€ 1.225,– |
€ 6.710,– |
€ 9.113,– |
€ 625,– |
|
Groter dan 15 |
50 |
75 |
€ 18.225,– |
€ 50.625,– |
€ 1.025,– |
€ 9.113,– |
€ 25.322,– |
€ 525,– |
|
Groter dan 50 |
100 |
50 |
€ 50.625,– |
€ 67.500,– |
€ 679,– |
€ 25.322,– |
€ 33.750,– |
€ 350,– |
|
Groter dan 100 |
Geen limiet |
Vast bedrag |
€ 67.500,– |
€ 67.500,– |
n.v.t. (vast bedrag) |
€ 33.750,– |
€ 33.750,– |
n.v.t. vast bedrag) |
Als sprake is van kostenverhaalsdeelgebieden, wordt onder de grootte verstaan de gemiddelde grootte van de kostenverhaalsdeelgebieden. Deze wordt berekend door de totale oppervlakte van het kostenverhaalsgebied te delen door het feitelijke aantal kostenverhaalsdeelgebieden.
|
Norm: 1 deelgebied per 2,5 hectare kostenverhaalsgebied Als het openbaar gebied meer dan 40% van het oppervlak van het kostenverhaalsgebied omvat: 1 procentpunt meer openbaar gebied = 1% meer deelgebieden |
|
|---|---|
|
Percentage openbaar gebied |
Verrekenfactor aantal kostenverhaalsdeelgebieden |
|
< 50% |
0,80 |
|
Van 50% tot 62,5% |
0,85 |
|
Van 62,5% tot 75% |
0,90 |
|
Van 75% tot 87,5% |
0,95 |
|
Van 87,5% tot 100% |
1,0 |
|
Van 100% tot 112,5% |
1,05 |
|
Van 112,5% tot 125% |
1,10 |
|
Van 125% tot 137,5% |
1,15 |
|
Van 137,5% tot 150% |
1,20 |
|
≥ 150% |
1,20 |
|
Omvang programma (aantal woningequivalenten) |
Weken t.b.v. 1.1 Omgevingsplan |
Weken t.b.v. 1.2 Stedenbouwkundig plan |
Weken t.b.v. 1.3 Beeldkwaliteitsplan |
Weken t.b.v. 2.2 Inrichtingsplan |
|---|---|---|---|---|
|
Van 0 tot 25 |
12 |
8 |
8 |
6 |
|
Van 25 tot 50 |
13 |
10 |
10 |
8 |
|
Van 50 tot 100 |
14 |
12 |
12 |
10 |
|
Van 100 tot 250 |
15 |
14 |
14 |
12 |
|
Van 250 tot 500 |
16 |
16 |
15 |
14 |
|
Van 500 tot 750 |
17 |
18 |
16 |
16 |
|
Van 750 tot 1.000 |
18 |
20 |
17 |
18 |
|
Van 1.000 tot 1.250 |
19 |
22 |
18 |
19 |
|
Van 1.250 tot 1.500 |
20 |
24 |
19 |
20 |
|
Van 1.500 tot 1.750 |
21 |
26 |
20 |
21 |
|
Van 1.750 tot 2.000 |
22 |
28 |
21 |
22 |
|
Van 2.000 tot 2.500 |
23 |
30 |
22 |
23 |
|
Van 2.500 tot 3.000 |
24 |
32 |
23 |
24 |
|
Van 3.000 tot 4.000 |
25 |
34 |
24 |
25 |
|
Van 4.000 tot 5.000 |
26 |
36 |
25 |
26 |
|
≥ 5.000 |
27 |
38 |
26 |
27 |
|
Discipline |
1.1 Omgevingsplan |
1.2 Stedenbouwkundig plan |
1.3 Beeldkwaliteitsplan |
2.2 Inrichtingsplan openbare ruimte |
|---|---|---|---|---|
|
Projectmanagement |
1,5 |
6 |
2,5 |
2,5 |
|
Stedenbouw |
2 |
n.v.t. |
n.v.t. |
n.v.t. |
|
Planeconomie |
0,25 |
4 |
0,75 |
1,25 |
|
Beleidsafdelingen |
2 |
n.v.t. |
n.v.t. |
n.v.t. |
|
Communicatie |
1 |
2 |
n.v.t. |
2,5 |
|
Civiele techniek |
n.v.t. |
4 |
n.v.t. |
n.v.t. |
|
Landmeten/GIS |
n.v.t. |
0,5 |
0,1 |
0,25 |
|
Aantal woonfuncties |
Uur per gebouw met een woonfunctie (aantal woningen) voor het stedenbouwkundig plan |
Uur per gebouw met een woonfunctie (aantal woningen) voor het beeldkwaliteitsplan |
|---|---|---|
|
< 50 |
5 |
2 |
|
Van 50 tot 100 |
4,5 |
1,8 |
|
Van 100 tot 200 |
4 |
1,6 |
|
Van 200 tot 300 |
3,5 |
1,4 |
|
Van 300 tot 500 |
3 |
1,2 |
|
Van 500 tot 750 |
2,5 |
1 |
|
Van 750 tot 1.000 |
2,25 |
0,9 |
|
Van 1.000 tot 2.000 |
2 |
0,8 |
|
Van 2.000 tot 5.000 |
1,75 |
0,7 |
|
≥ 5.000 |
1,5 |
0,6 |
|
Omvang kostenverhaalsgebied (in hectare) |
Aantal deelgebieden |
|---|---|
|
< 0,5 |
0,25 deelgebieden |
|
Van 0,5 tot 1 |
0,5 deelgebieden |
|
Van 1 tot 5 |
2 hectare per deelgebied |
|
Van 5 tot 15 |
2,5 hectare per deelgebied |
|
Van 15 tot 30 |
3 hectare per deelgebied |
|
Van 30 tot 50 |
3,5 hectare per deelgebied |
|
Van 50 tot 75 |
4 hectare per deelgebied |
|
Van 75 tot 100 |
4,5 hectare per deelgebied |
|
≥ 100 |
5 hectare per deelgebied |
|
Omvang kostenverhaalsgebied (in hectare) |
Uren projectmanagement per jaar |
Uren projectmanagementassistentie per jaar |
|---|---|---|
|
< 1 |
25 |
12,5 |
|
Van 1 tot 5 |
50 |
25 |
|
Van 5 tot 15 |
75 |
37,5 |
|
Van 15 tot 50 |
100 |
50 |
|
Van 50 tot 100 |
125 |
62,6 |
|
≥ 100 |
150 |
75 |
|
Omvang kostenverhaalsgebied (in hectare) |
Uren planeconomie per jaar gedurende de looptijd |
|---|---|
|
< 1 |
40 |
|
Van 1 tot 5 |
60 |
|
Van 5 tot 15 |
80 |
|
Van 15 tot 50 |
100 |
|
Van 50 tot 120 |
120 |
|
≥ 120 |
140 |
|
Omvang kostenverhaalsgebied (in hectare) |
Uren projectmanagement per jaar |
Uren projectmanagement assistentie per jaar |
Uren planeconomie per jaar |
Uren stedenbouw per jaar |
Uren civieltechnisch projectleiden per jaar |
|---|---|---|---|---|---|
|
< 1 |
42 |
21 |
21 |
21 |
21 |
|
Van 1 tot 5 |
52,5 |
26,25 |
26,25 |
26,25 |
26,25 |
|
Van 5 tot 15 |
63 |
31,5 |
31,5 |
31,5 |
31,5 |
|
Van 15 tot 50 |
73,5 |
36,75 |
36,75 |
36,75 |
36,75 |
|
Van 50 tot 100 |
84 |
42 |
42 |
42 |
42 |
|
≥ 100 |
94,5 |
47,25 |
47,25 |
47,25 |
47,25 |
|
Omvang kostenverhaalsgebied (in hectare) |
Uitvoeringstijd (in maanden) |
|---|---|
|
< 3 |
12 |
|
Van 3 tot 5 |
15 |
|
≥ 5 |
18 |
|
Product of activiteit |
Onderdeel |
Berekeningswijze (hoeveelheid x prijs) |
Nadere bepalingen |
Invloedsfactoren kostenverhaal van toepassing? (tabel 4) |
|||
|---|---|---|---|---|---|---|---|
|
Aantallen eenheden en werkuren per kostenverhaalsgebied |
Tariefgroep die van toepassing is (uurtarieven in tabel 3) of vaste prijs exclusief btw |
||||||
|
1. |
Omgevingsplan |
||||||
|
1.1 |
Scenario ten behoeve van opstellen omgevingsplan |
Opstellen scenario |
Kostenverhaals-gebied <5 hectare |
56 uur als een stedenbouwkundig plan beschikbaar is, 132 uur zonder stedenbouwkundig plan |
Tariefgroepen 2,3 en 9: Stedenbouw, omgevingsrecht en Civieltechnisch projectleiden |
Ja, invloedsfactoren I t/m IV |
|
|
Kostenverhaalsgebied 5 – 20 hectare |
84 uur als een stedenbouwkundig plan beschikbaar is, 160 uur zonder stedenbouwkundig plan |
||||||
|
Kostenverhaalsgebied > 20 hectare |
100 uur als een stedenbouwkundig plan beschikbaar is, 192 uur zonder stedenbouwkundig plan |
||||||
|
Projectmanagement |
10% van het geraamde aantal werkuren voor Stedenbouw, Omgevingsrecht en Civieltechnisch projectleiden |
Tariefgroep 7a: Projectmanagement |
|||||
|
Landmeten en vastgoedinformatie |
1% van het geraamde aantal werkuren voor Stedenbouw, Omgevingsrecht en Civieltechnisch projectleiden |
Tariefgroep 5: Landmeten/vastgoedinformatie |
|||||
|
1.1a |
Opstellen en vaststellen omgevingsplan |
Opstellen en vaststellen omgevingsplan |
Uitwerken omgevingsplan, met inbegrip van digitalisering en kaartmateriaal |
100% van het aantal werkuren volgens tabel 2, tweede kolom |
Tariefgroep 3: Omgevingsrecht |
De plankosten zijn het resultaat van de vermenigvuldiging aantal x percentage x uurtarief. |
Ja, invloedsfactoren I t/m V |
|
Projectmanagement |
Het aantal weken volgens tabel 8, tweede kolom, maal het aantal werkuren per week volgens tabel 9, tweede kolom |
Tariefgroep 7a: Projectmanagement |
Ja, invloedsfactoren I t/m V |
||||
|
Stedenbouw |
Het aantal weken volgens tabel 8, tweede kolom, maal het aantal werkuren per week volgens tabel 9, tweede kolom |
Tariefgroep 2: Stedenbouw |
Ja, invloedsfactoren I t/m V |
||||
|
Planeconomie |
Het aantal weken volgens tabel 8, tweede kolom, maal het aantal werkuren per week volgens tabel 9, tweede kolom |
Tariefgroep 8: Planeconomie |
Ja, invloedsfactoren I t/m V |
||||
|
Beleidsafdelingen |
Het aantal weken volgens tabel 8, tweede kolom, maal het aantal werkuren per week, volgens tabel 9 tweede kolom |
Tariefgroep 4: Beleidsafdelingen |
Ja, invloedsfactoren I t/m V |
||||
|
Communicatie |
Het aantal weken, volgens tabel 8, tweede kolom, maal het aantal werkuren per week volgens tabel 9, tweede kolom |
Tariefgroep 6: Communicatie |
Ja, invloedsfactoren I t/m V |
||||
|
Opstellen regels kostenverhaal |
Grondzaken en Planeconomie |
100% van het aantal werkuren volgens tabel 2, derde kolom |
Tariefgroepen 1 en 8: Grondzaken en Planeconomie |
De plankosten zijn het resultaat van de vermenigvuldiging aantal x percentage x uurtarief. |
Ja, invloedsfactoren I t/m V |
||
|
Projectmanagement |
10% van het aantal werkuren volgens tabel 2, derde kolom |
Tariefgroep 7a: Projectmanagement |
Ja, invloedsfactoren I t/m V |
||||
|
1.2 |
Stedenbouwkundig plan |
Opstellen stedenbouwkundig plan |
Per woonfunctie |
Het aantal werkuren volgens tabel 10, tweede kolom |
Tariefgroep 2: Stedenbouw |
Ja, invloedsfactoren I, II, IV, V en VI |
|
|
Per 100 m2 uitgeefbare grond voor bedrijven en per 100 m2 bruto vloeroppervlakte voor overige commerciële en niet-commerciële voorzieningen |
0,25 uur |
Tariefgroep 2: Stedenbouw |
Ja, invloedsfactoren I, II, IV, V en VI |
||||
|
Projectmanagement |
Het aantal weken volgens tabel 8, derde kolom, maal het aantal werkuren per week volgens tabel 9, derde kolom |
Tariefgroep 7a: Projectmanagement |
Ja, invloedsfactoren I, II, IV, V en VI |
||||
|
Planeconomie |
Het aantal weken volgens tabel 8, derde kolom, maal het aantal werkuren per week volgens tabel 9, derde kolom |
Tariefgroep 8: Planeconomie |
Ja, invloedsfactoren I, II, IV, V en VI |
||||
|
Communicatie |
Het aantal weken volgens tabel 8, derde kolom, maal het aantal werkuren per week volgens tabel 9, derde kolom |
Tariefgroep 6: Communicatie |
Ja, invloedsfactoren I, II, IV, V en VI |
||||
|
Civiele techniek |
Het aantal weken volgens tabel 8, derde kolom, maal het aantal werkuren per week volgens tabel 9, derde kolom |
Tariefgroep 9: Civieltechnisch projectleiden |
Ja, invloedsfactoren I, II, IV, V en VI |
||||
|
Landmeten en vastgoedinformatie |
Het aantal weken volgens tabel 8, derde kolom, maal het aantal werkuren per week volgens tabel 9, derde kolom |
Tariefgroep 5: Landmeten/vastgoedinformatie |
Ja, invloedsfactoren I, II, IV, V en VI |
||||
|
1.3 |
Beeldkwaliteitsplan |
Opstellen beeldkwaliteitsplan |
Per woonfunctie |
Het aantal werkuren volgens tabel 10, derde kolom |
Tariefgroep 2: Stedenbouw |
Ja, invloedsfactor IV |
|
|
Per 100 m2 uitgeefbare grond voor bedrijven en per 100 m2 bruto vloeroppervlak voor overige commerciële voorzieningen en niet- commerciële voorzieningen |
0,25 uur |
Ja, invloedsfactor IV |
|||||
|
Projectmanagement |
Het aantal weken volgens tabel 8, vierde kolom, maal het aantal werkuren per week volgens tabel 9, vierde kolom |
Tariefgroep 7a: Projectmanagement |
Ja, invloedsfactor IV |
||||
|
Planeconomie |
Het aantal weken volgens tabel 8, vierde kolom, maal het aantal werkuren per week volgens tabel 9, vierde kolom |
Tariefgroep 8: Planeconomie |
Ja, invloedsfactor IV |
||||
|
Landmeten en vastgoedinformatie |
Het aantal weken volgens tabel 8, vierde kolom, maal het aantal werkuren per week volgens tabel 9, vierde kolom |
Tariefgroep 5: Landmeten/vastgoedinformatie |
Ja, invloedsfactor IV |
||||
|
2. |
Werkzaamheden ten behoeve van het uitvoeren van het omgevingsplan |
||||||
|
2.1a |
Taxatie inbrengwaarde percelen |
Eerste taxatie inbrengwaarde via onafhankelijke taxatie |
Per onbebouwd perceel |
1 uur |
Tariefgroep 1: Grondzaken |
Ambtelijke begeleiding altijd meetellen. In het totaal minimaal 20 uren. |
Nee |
|
Per bebouwd perceel, bij meer dan 4 percelen |
2 uur |
Tariefgroep 1: Grondzaken |
Nee |
||||
|
Begeleiding planeconoom |
16 uur |
Tariefgroep 8: Planeconomie |
Nee |
||||
|
Begeleiding projectmanager |
5% van het berekende aantal uren, met inbegrip van de uren van de planeconoom |
Tariefgroep 7a: Projectmanagement |
Nee |
||||
|
Landmeten en vastgoedinformatie |
1% van het berekende aantal uren, met inbegrip van de uren van de planeconoom |
Tariefgroep 5: Landmeten/vastgoedinformatie |
Nee |
||||
|
Eerste taxatie inbrengwaarde via Wet waardering onroerende zaken |
Per onbebouwd perceel |
0,25 uur |
Tariefgroepen 1 en 8: Grondzaken en Planeconomie |
Nee |
|||
|
Per bebouwd perceel |
0,25 uur |
Tariefgroepen 1 en 8: Grondzaken en Planeconomie |
Nee |
||||
|
Projectmanagement |
5% van het berekende aantal uren, met inbegrip van de uren van de planeconoom |
Tariefgroep 7a: Projectmanagement |
Nee |
||||
|
Landmeten en vastgoedinformatie |
1% van het totaal aantal uren, met inbegrip van de uren van de planeconoom |
Tariefgroep 5: Landmeten/vastgoedinformatie |
Nee |
||||
|
Hertaxatie inbrengwaarde |
100% van de werkuren van de eerste taxatie; bij onafhankelijke taxatie inclusief de ambtelijke begeleidingsuren, projectmanagement, planeconomie en landmeten/vastgoedinformatie |
n.v.t. |
Uitgangspunt is dat gedurende de looptijd één maal per 5 jaar een hertaxatie plaatsvindt |
Nee |
|||
|
2.1b |
Taxatie en aankopen onroerende zaken |
Per onbebouwd perceel |
24 uur |
Tariefgroep 1: Grondzaken |
Nee |
||
|
Per gebouw met een woonfunctie |
48 uur |
Tariefgroep 1: Grondzaken |
Nee |
||||
|
Per te ontbinden huur of pachtovereenkomst |
48 uur |
Tariefgroep 1: Grondzaken |
Nee |
||||
|
Per gebouw met een industriefunctie, winkelfunctie of kantoorfunctie |
80 uur |
Tariefgroep 1: Grondzaken |
Nee |
||||
|
Per bijzonder object |
80 uur |
Tariefgroep 1: Grondzaken |
Nee |
||||
|
Per gebouw met een industriefunctie, winkelfunctie of kantoorfunctie of een bijzonder object in een herstructureringsgebied |
100 uur |
Tariefgroep 1: Grondzaken |
Nee |
||||
|
Begeleiding projectmanager |
10% van het totaal berekende aantal uren |
Tariefgroep 7a: Projectmanagement |
Nee |
||||
|
Begeleiding planeconoom |
5% van het totaal berekende aantal uren |
Tariefgroep 8: Planeconomie |
Nee |
||||
|
Landmeten en vastgoedinformatie |
1% van het totaal berekende aantal uren |
Tariefgroep 5: Landmeten/vastgoedinformatie |
Nee |
||||
|
2.1c |
Onteigening van onroerende zaken |
Onteigening |
Per administratieve procedure |
134 uur |
Tariefgroep 1: Grondzaken |
Nee |
|
|
Per gerechtelijke procedure |
50 uur |
Tariefgroep 1: Grondzaken |
Nee |
||||
|
Advocaatkosten |
Vaste prijs van € 40.258,– per gerechtelijke procedure |
Nee |
|||||
|
Begeleiding projectmanager |
10% van het berekende aantal werkuren voor de administratieve- en gerechtelijke procedure |
Tariefgroep 7a: Projectmanagement |
Nee |
||||
|
Begeleiding planeconoom |
5% van het berekende aantal werkuren voor de administratieve- en gerechtelijke procedure |
Tariefgroep 8: Planeconomie |
Nee |
||||
|
Landmeten en vastgoedinformatie |
1% van het berekende aantal werkuren voor de administratieve- en gerechtelijke procedure |
Tariefgroep 5: Landmeten/vastgoedinformatie |
Nee |
||||
|
2.1d |
Vestigen voorkeursrecht |
Vestigen voorkeursrecht |
Per kostenverhaals-gebied met één of meer voorkeursrechten |
60 uur |
Tariefgroep 1: Grondzaken |
Nee |
|
|
Begeleiding projectmanager |
10% van het totaal aantal berekende uren |
Tariefgroep 7a: Projectmanagement |
Nee |
||||
|
Begeleiding planeconoom |
5% van het totaal aantal berekende uren |
Tariefgroep 8: Planeconomie |
Nee |
||||
|
Landmeten en vastgoedinformatie |
1% van het totaal aantal berekende werkuren |
Tariefgroep 5: Landmeten/vastgoedinformatie |
Nee |
||||
|
2.2 |
Inrichtingsplan openbare ruimte |
Ontwerpen inrichtingsplan |
Per 100 m2 verharding |
2 uur |
Tariefgroepen 2 en 9: Stedenbouw en Civieltechnisch projectleiden |
Ja, invloedsfactoren I, II, IV en V |
|
|
Per 100 m2 groenvoorzieningen of water |
1 uur |
Tariefgroepen 2 en 9: Stedenbouw en Civieltechnisch projectleiden |
Ja, invloedsfactoren I, II, IV en V |
||||
|
Begeleiding projectmanager |
Het aantal weken volgens tabel 8, vijfde kolom, maal het aantal werkuren per week volgens tabel 9, vijfde kolom |
Tariefgroep 7a: Projectmanagement |
Ja, invloedsfactoren I, II, IV en V |
||||
|
Begeleiding planeconoom |
Het aantal weken volgens tabel 8, vijfde kolom, maal het aantal werkuren per week volgens tabel 9, vijfde kolom |
Tariefgroep 8: Planeconomie |
Ja, invloedsfactoren I, II, IV en V |
||||
|
Landmeten en vastgoedinformatie |
Het aantal weken volgens tabel 8, vijfde kolom, maal het aantal werkuren per week volgens tabel 9, vijfde kolom |
Tariefgroep 5: Landmeten/vastgoedinformatie |
Ja, invloedsfactoren I, II, IV en V |
||||
|
Communicatie |
Het aantal weken volgens tabel 8, vijfde kolom, maal het aantal werkuren per week volgens tabel 9, vijfde kolom |
Tariefgroep 6: Communicatie |
Ja, invloedsfactoren I, II, IV en V |
||||
|
2.3 |
Voorbereiding, toezicht en directievoering bij civieltechnische werken |
||||||
|
2.3a |
Slopen |
Voorbereiding, aanbesteding en gunning |
Per bestek |
12 uur vermenigvuldigd met de verrekenfactor aanbestedingsvorm uit tabel 5 |
Tariefgroep 11: Bestek schrijven/calculeren |
Het bevoegd gezag bepaalt hoeveel bestekken nodig zijn |
Ja, invloedsfactoren I, II, IV en V |
|
Directievoeren |
Per week uitvoeringstijd |
1 uur vermenigvuldigd met de verrekenfactoren type te slopen onroerende zaak en aanwezigheid van asbest uit tabel 5 |
Tariefgroep 13: Directievoeren |
De uitvoeringstijd is 8 uur per 300 m3 te slopen vastgoed. Een werkweek heeft 40 uren. |
Ja, invloedsfactoren I, II, IV en V |
||
|
Toezichthouden |
Per week uitvoeringstijd |
4 uur vermenigvuldigd met de verrekenfactoren type te slopen onroerende zaak en aanwezigheid asbest uit tabel 5 |
Tariefgroep 14: Toezichthouden |
De uitvoeringstijd is 8 uur per 300 m3 te slopen vastgoed. Een werkweek heeft 40 uren. |
Ja, invloedsfactoren I, II, IV en V |
||
|
Projectleiding aanbesteding |
Per bestek |
4 uur vermenigvuldigd met de verrekenfactor aanbestedingsvorm uit tabel 5 |
Tariefgroep 9: Civieltechnisch projectleiden |
Het bevoegd gezag bepaalt hoeveel bestekken nodig zijn. |
Ja, invloedsfactoren I, II, IV en V |
||
|
Projectleiding van werkzaamheden tijdens de uitvoering |
Per week gedurende uitvoeringstijd |
0,25 uur vermenigvuldigd met de verrekenfactoren type te slopen onroerende zaak en aanwezigheid asbest uit tabel 5 |
Tariefgroep 9: Civieltechnisch projectleiden |
De uitvoeringstijd is 8 uur per 300 m3 te slopen vastgoed. |
Ja, invloedsfactoren I, II, IV en V |
||
|
2.3b |
Ophogen en voorbelasten |
Bestek schrijven |
Zie tabel 6 |
Het minimumbedrag is vermeld in tabel 7. |
Ja, invloedsfactoren I, II, IV en V |
||
|
Rapportage |
Zie tabel 6 |
Het minimumbedrag is vermeld in tabel 7. |
Ja, invloedsfactoren I, II, IV en V |
||||
|
Veldonderzoek |
Per hectare |
€ 2.648,– |
Het minimumbedrag is € 5.368,– per omgevingsplan, projectbesluit of omgevingsvergunning voor een buitenplanse omgevingsplanactiviteit. |
Ja, invloedsfactoren I, II, IV en V |
|||
|
Inmeten |
Per hectare |
€ 671,– |
Het minimumbedrag is € 1.342,–per omgevingsplan, projectbesluit of omgevingsvergunning voor een buitenplanse omgevingsplanactiviteit. |
Ja, invloedsfactoren I, II, IV en V |
|||
|
Directievoeren |
Per week gedurende de aanbreng- en verwijdertijd |
4 uur |
Tariefgroep 13: Directievoeren |
Het aantal weken aanbreng- en verwijdertijd bedraagt 1/5.000 van het aantal m3 grond dat wordt opgebracht of verwijderd. |
Ja, invloedsfactoren I, II, IV en V |
||
|
Toezichthouden |
Per week aanbreng- en verwijdertijd |
4 uur |
Tariefgroep 14: Toezichthouden |
Het aantal weken aanbreng- en verwijdertijd bedraagt 1/5.000 van het aantal m3 grond dat wordt opgebracht of verwijderd. |
Ja, invloedsfactoren I, II, IV en V |
||
|
Monitoren |
Per jaar zettingstijd per hectare |
€ 1.678,– |
Het minimumbedrag is € 3.356,– per omgevingsplan, projectbesluit of omgevingsvergunning. |
Ja, invloedsfactoren I, II, IV en V |
|||
|
2.3c |
Bouw- en woonrijp maken |
Opstellen voorlopig en definitief ontwerp (VO en DO) |
Per ontwerp voor een kostenverhaals-deelgebied |
200 uur per deelgebied volgens de norm zie tabel 11 |
Tariefgroep 10: Civieltechnisch ontwerpen |
Het VO en DO zijn samen één ontwerp. Het aantal kostenverhaalsdeelgebieden is opgebouwd volgens de norm, zie tabel 11. In een kostenverhaalsgebied met meer dan 40% openbaar gebied wordt het aantal kostenverhaalsdeelgebieden vermenigvuldigd met de verrekenfactor die is aangegeven in tabel 7. |
Ja, invloedsfactoren I, II, IV en V |
|
Opstellen rioleringsplan |
Per hectare kostenverhaals-gebied |
7,5 uur |
Tariefgroep 10: Civieltechnisch ontwerpen |
Ja, invloedsfactoren I, II, IV en V |
|||
|
Aanbesteden en gunnen |
Per bestek |
100 uur bestek schrijven/calculeren, vermenigvuldigd met de verrekenfactor aanbestedingsvorm uit tabel 5 |
Tariefgroepen 11 en 12: Bestek schrijven/calculeren en tekenen |
Bij uitleg- en uitbreidingslocaties of bij kostenverhaalsgebieden met een herstructurering/transformatie opgave 2 bestekken per kostenverhaals-deelgebied en bij overige gebieden 1,5 bestek. Het aantal kostenverhaalsdeelgebieden wordt berekend zoals aangegeven in tabel 7. |
Ja, invloedsfactoren I, II, IV en V |
||
|
Tekenen |
Per bestek |
80 uur vermenigvuldigd met de verrekenfactor aanbestedingsvorm uit tabel 5 |
Tariefgroep 12: Tekenen |
Er zijn 2 bestekken per kostenverhaals-deelgebied openbaar gebied op uitleg- en uitbreidingslocaties of bij kostenverhaalsgebieden met een herstructurering/transformatie opgave en 1,5 bestek per kostenverhaalsdeelgebied openbaar gebied in overige gebieden. Het aantal kostenverhaalsdeelgebieden per hectare openbaar gebied wordt berekend zoals aangegeven in tabel 7. |
Ja invloedsfactoren I, II, IV en V |
||
|
Directievoeren |
Per week uitvoeringstijd |
8 uur |
Tariefgroep 13: Directievoeren |
De uitvoeringstijd is het aantal maanden zoals aangegeven in tabel 15. Het aantal bestekken is 2 bij uitleg- en uitbreidingslocaties of bij kostenverhaalsgebieden met een herstructurering/transformatieopgave en 1,5 bestek bij de overige locaties. |
Ja, invloedsfactoren I, II, IV en V |
||
|
Toezichthouden |
Per week uitvoeringstijd |
10 uur |
Tariefgroep 14: Toezichthouden |
De uitvoeringstijd is het aantal maanden zoals aangegeven in tabel 15. Het aantal bestekken is 2 bij uitleg- en uitbreidingslocaties en 1,5 bestek bij de overige locaties. |
Ja, invloedsfactoren I, II, IV en V |
||
|
Projectleiding: begeleiding ontwerpwerkzaamheden |
Per ontwerp voor een kostenverhaalsdeelgebied |
32 uur |
Tariefgroep 9: Civieltechnisch projectleiden |
Het VO en DO zijn samen een ontwerp. Het aantal kostenverhaalsdeelgebieden wordt berekend zoals is aangegeven in tabel 7. |
Ja, invloedsfactoren I, II, IV en V |
||
|
Projectleiding: begeleiding aanbesteding |
Per bestek |
20 uur vermenigvuldigd met de verrekeningsfactor aanbestedingsvorm uit tabel 6 |
Tariefgroep 9: Civieltechnisch projectleiden |
Bij uitbreiding en uitlegslocaties of bij kostenverhaalsgebieden met een herstructurering/transformatieopgave 2 bestekken per kostenverhaalsdeelgebied en bij overige gebieden 1,5 bestek. Het aantal kostenverhaalsdeelgebieden wordt berekend zoals is aangegeven in tabel 7. |
Ja, invloedsfactoren I, II, IV en V |
||
|
Projectleiding: begeleiding uitvoeringswerkzaamheden |
Per week uitvoeringstijd |
1 uur |
Tariefgroep 9: Civieltechnisch projectleiden |
De uitvoeringstijd is het aantal maanden zoals aangegeven in tabel 15. Het aantal bestekken is 2 bij uitleg- en uitbreidingslocaties of bij kostenverhaalsgebieden met een herstructurering/transformatieopgave, en 1,5 bij de overige locaties. |
Ja, invloedsfactoren I, II, IV en V |
||
|
2.4 |
Algemene financiële verantwoording en aansturing van het project, inclusief bestuurlijke besluitvorming |
Projectmanage-ment (t.b.v. verantwoording) |
Per jaar gedurende de looptijd van het project (t.b.v. verantwoording) |
Het aantal uur volgens de tweede kolom van tabel 12 |
Tariefgroep 7a: Projectmanagement |
De looptijd is het aantal jaren vanaf de vaststelling van het besluit door het bevoegd gezag plus de historische looptijd. De historische looptijd is afhankelijk van de opslag met invloedsfactoren minimaal 2 jaar en maximaal 4 jaar. |
Ja, invloedsfactoren I t/m V |
|
Projectmanagement-assistentie (t.b.v. verantwoording) |
Per jaar gedurende de looptijd van het project (t.b.v. verantwoording) |
Het aantal uur volgens de derde kolom van tabel 12 |
Tariefgroep 7b: Projectmanagement-assistentie |
De werkuren voor de projectmanagement-assistent zijn alleen van toepassing als de opslag met invloedsfactoren hoger is dan 130%. De looptijd is het aantal jaren vanaf de vaststelling van het besluit door het bevoegd gezag plus de historische looptijd. De historische looptijd is afhankelijk van de opslag met invloedfactoren minimaal 2 jaar en maximaal 4 jaar. |
Ja, invloedsfactoren I t/m V |
||
|
Planeconoom (t.b.v. verantwoording) |
Per jaar gedurende de looptijd van het project (t.b.v. verantwoording) |
Het aantal uur volgens de tweede kolom van tabel 13 |
Tariefgroep 8: Planeconomie |
De looptijd is het aantal jaren vanaf de vaststelling van het besluit door het bevoegd gezag plus de historische looptijd. De historische looptijd is afhankelijk van de opslag met invloedsfactoren, minimaal 2 jaar en maximaal 4 jaar. |
Ja, invloedsfactoren I t/m V |
||
|
Projectmanager (aansturing) |
Per jaar gedurende de looptijd van het project t.b.v. aansturing |
Het aantal uur volgens de tweede kolom van tabel 14 |
Tariefgroep 7a: Projectmanagement |
De looptijd is het aantal jaren vanaf de vaststelling van het besluit door het bevoegd gezag. |
Ja, invloedsfactoren I t/m V |
||
|
Projectmanagement-assistent (aansturing) |
Per jaar gedurende de looptijd van het project t.b.v. aansturing |
Het aantal uur volgens de derde kolom van tabel 14 |
Tariefgroep 7b: Projectmanagement-assistent |
De looptijd is het aantal jaren vanaf de vaststelling van het besluit door het bevoegd gezag. |
Ja, invloedsfactoren I t/m V |
||
|
Planeconoom (aansturing) |
Per jaar gedurende de looptijd van het project t.b.v. aansturing |
Het aantal uur volgens de vierde kolom van tabel 14 |
Tariefgroep 8: Planeconomie |
De looptijd is het aantal jaren vanaf de vaststelling van het besluit door het bevoegd gezag. |
Ja, invloedsfactoren I t/m V |
||
|
Stedenbouw (aansturing) |
Per jaar gedurende de looptijd van het project t.b.v. aansturing |
Het aantal uur volgens de vijfde kolom van tabel 14 |
Tariefgroep 2: Stedenbouw |
De looptijd is het aantal jaren vanaf de vaststelling van het besluit door het bevoegd gezag. |
Ja, invloedsfactoren I t/m V |
||
|
Civiele techniek (aansturing) |
Per jaar gedurende de looptijd van het project t.b.v. aansturing |
Het aantal uur volgens de zesde kolom van tabel 14 |
Tariefgroep 9: Civieltechnisch projectleiden |
De looptijd is het aantal jaren vanaf de vaststelling van het besluit door het bevoegd gezag. |
Ja, invloedsfactoren I t/m V |
||
|
Oppervlakte kostenverhaalsgebied |
Aantal werkuren omgevingsplan voor omgevingsrecht, inclusief digitalisering en kaartmateriaal |
Aantal werkuren regels kostenverhaal omgevingsplan voor grondzaken en planeconomie |
Aantal werkuren projectbesluit en omgevingsvergunning voor omgevingsrecht, inclusief digitaliseringen kaartmateriaal |
Aantal werkuren regels kostenverhaal omgevingsplan voor planeconoom en grondzaken bij projectbesluit en omgevingsvergunning voor een buitenplanse omgevingsplanactiviteit |
|---|---|---|---|---|
|
< 0,5 hectare |
100 uur |
38 uur |
60 uur |
25 uur |
|
Van 0,5 tot 1 hectare |
200 uur |
75 uur |
120 uur |
50 uur |
|
Van 1 tot 3 hectare |
300 uur |
113 uur |
200 uur |
75 uur |
|
Van 3 tot 5 hectare |
400 uur |
150 uur |
300 uur |
100 uur |
|
Van 5 tot 10 hectare |
450 uur |
173 uur |
350 uur |
115 uur |
|
Van 10 tot 15 hectare |
500 uur |
188 uur |
400 uur |
125 uur |
|
Van 15 tot 20 hectare |
550 uur |
300 uur |
450 uur |
200 uur |
|
Van 20 tot 50 hectare |
600 uur |
375 uur |
500 uur |
250 uur |
|
≥ 50 hectare |
700 uur |
450 uur |
550 uur |
300 uur |
|
Tariefgroep |
Deskundigheid |
€ per uur |
Salarisschaal Cao Gemeenten |
|---|---|---|---|
|
1 |
Grondzaken |
158 |
11 |
|
2 |
Stedenbouw |
158 |
11 |
|
3 |
Omgevingsrecht |
158 |
11 |
|
4 |
Beleidsafdelingen |
158 |
11 |
|
5 |
Landmeten/vastgoedinformatie |
124 |
9 |
|
6 |
Communicatie |
138 |
10 |
|
7a |
Projectmanagement |
179 |
12 |
|
7b |
Projectmanagementassistentie |
124 |
9 |
|
8 |
Planeconomie |
158 |
11 |
|
9 |
Civieltechnisch projectleiden |
158 |
11 |
|
10 |
Civieltechnisch ontwerpen |
158 |
11 |
|
11 |
Bestek schrijven/calculeren |
124 |
9 |
|
12 |
Tekenen |
112 |
8 |
|
13 |
Directievoeren |
138 |
10 |
|
14 |
Toezichthouden |
112 |
8 |
|
Invloedsfactor en categorieën |
Opslagpercentage |
|---|---|
|
I. Ligging kostenverhaalsgebied |
|
|
Uitleglocatie (locatie buiten de bebouwde kom, waar ten minste 70% van de grondoppervlakte onbebouwd is, waarbij kassen als onbebouwd gebied worden beschouwd)1 |
0% |
|
Uitbreidingslocatie (locatie buiten de bebouwde kom, waar minder dan 70% van de grondoppervlakte onbebouwd is, waarbij kassen als onbebouwd gebied worden beschouwd)1 |
0% |
|
Inbreidingslocatie (locatie binnen de bebouwde kom, waar ten minste 70% van de grondoppervlakte onbebouwd is)1 |
5% |
|
Binnenstedelijke locatie (locatie binnen de bebouwde kom, waar minder dan 70% van de grondoppervlakte onbebouwd is)1 |
10% |
|
Historische locatie waarvan: a. meer dan 10% van de grondoppervlakte behoort tot monumenten of archeologische monumenten, of b. de grondoppervlakte die ander cultureel erfgoed betreft, voor zover dat is beschermd op grond van artikel 4.2 of artikel 2.34, vierde lid, van de Omgevingswet, tezamen met de grondoppervlakte die behoort tot monumenten of archeologische monumenten, meer dan 50% van de totale grondoppervlakte omvat. |
20% |
|
II. Type opgave |
|
|
Geen herstructureringsgebied. Het bestaand openbaar gebied wordt alleen geherprofileerd. |
0% |
|
Herstructurerings- of transformatiegebied waar tot 25% van de oppervlakte van het bestaand openbaar gebied wordt herverkaveld |
10% |
|
Herstructurerings- of transformatiegebied waar 25% tot 50% van de oppervlakte van het bestaand openbaar gebied wordt herverkaveld |
15% |
|
Herstructurerings- of transformatiegebied waar 50% tot 75% van de oppervlakte van het bestaand openbaar gebied wordt herverkaveld. |
20% |
|
Herstructurerings- of transformatiegebied waar 75% of meer van de oppervlakte van het bestaand openbaar gebied wordt herverkaveld. |
25% |
|
III. Verwervingssituatie |
|
|
Geen bekrachtigingsprocedure onteigeningsbeschikking |
0% |
|
Eén bekrachtigingsprocedure onteigeningsbeschikking |
2% |
|
IV. Ruimtelijk programma |
|
|
Alleen woningbouw, bedrijvigheid, commerciële voorzieningen2, of niet commerciële voorzieningen2 |
0% |
|
De som van de percentages die bij de hieronder vermelde functiecombinaties van toepassing zijn, met een maximum van 10% |
|
|
a. Woningbouw in combinatie met andere functies |
2% |
|
b. Bedrijvigheid in combinatie met andere functies |
2% |
|
c. Commerciële voorzieningen in combinatie met andere functies2 |
2% |
|
d. Niet commerciële voorzieningen in combinatie met andere functies3 |
5% |
|
V. Onderzoeken |
|
|
Geen van de hierna genoemde onderzoeken |
0% |
|
De som van de percentages die bij de onderstaande onderzoeken van toepassing zijn, met een maximum van 10% |
|
|
a. Milieueffectrapportage |
8% |
|
b. Nader archeologisch onderzoek |
6% |
|
c. Nader onderzoek luchtkwaliteit |
5% |
|
d. Bodemsanering |
4% |
|
VI. Woon-werkmilieu4 |
|
|
0 tot 30 woningequivalenten per hectare (suburbaan) |
0% |
|
30 tot 40 woningequivalenten per hectare (stedelijk woon-werkmilieu) |
-2,5% |
|
40 tot 50 woningequivalenten per hectare (stedelijk woon-werkmilieu) |
-5% |
|
50 tot 60 woningequivalenten per hectare (stedelijk woon-werkmilieu) |
-10% |
|
60 tot 70 woningequivalenten per hectare (stedelijk woon-werkmilieu) |
-15% |
|
70 tot 80 woningequivalenten per hectare (stedelijk woon-werkmilieu) |
-20% |
|
80 tot 90 woningequivalenten per hectare (stedelijk woon-werkmilieu) |
-25% |
|
90 tot 100 woningequivalenten per hectare (stedelijk woon-werkmilieu) |
-30% |
|
> 100 woningequivalenten per hectare (hoogstedelijk woon-werkmilieu) |
-35% |
Commerciële voorzieningen zijn een bijeenkomstfunctie, kantoorfunctie, logiesfunctie, sportfunctie of winkelfunctie.
Niet-commerciële voorzieningen zijn een celfunctie, gezondheidszorgfunctie of een onderwijsfunctie.
In kostenverhaalsgebieden waar ook andere functies dan wonen voorkomen, wordt het bruto-vloeroppervlak daarvan omgerekend in woningequivalenten. Daarbij geldt dat 1 woningequivalent (weq) gelijk staat aan 100 m2 bruto-vloeroppervlakte of 100 m2 uitgeefbare grond.
|
|
|
Verrekenfactor type te slopen onroerende zaak = 100% – (0,5 x percentage agrarische bedrijfsgebouwen en kassen) |
|
Verrekenfactor aanwezigheid asbest = 100% + het percentage asbestvervuiling |
|
Grootte van het op te hogen of voor te belasten gebied1 |
Bestek |
Rapportage |
||||||
|---|---|---|---|---|---|---|---|---|
|
Ten minste opp. in hectare |
Ten hoogste opp. in hectare |
Percentage |
Ten minste |
Ten hoogste |
Per hectare |
Ten minste |
Ten hoogste |
Per hectare |
|
Groter dan 0 |
10 |
100 |
€ 13.419- |
€ 13.419,– |
€ 1.350,– |
€ 6.710,– |
€ 6.710,– |
€ 675,– |
|
Groter dan 10 |
15 |
90 |
€ 13.419,– |
€ 18.225- |
€ 1.225,– |
€ 6.710,– |
€ 9.113,– |
€ 625,– |
|
Groter dan 15 |
50 |
75 |
€ 18.225,– |
€ 50.625,– |
€ 1.025,– |
€ 9.113,– |
€ 25.322,– |
€ 525,– |
|
Groter dan 50 |
100 |
50 |
€ 50.625,– |
€ 67.500,– |
€ 679,– |
€ 25.322,– |
€ 33.750,– |
€ 350,– |
|
Groter dan 100 |
Geen limiet |
Vast bedrag |
€ 67.500,– |
€ 67.500,– |
n.v.t. (vast bedrag) |
€ 33.750,– |
€ 33.750,– |
n.v.t. (vast bedrag) |
Als sprake is van kostenverhaalsdeelgebieden, wordt onder de grootte verstaan de gemiddelde grootte van de kostenverhaalsdeelgebieden. Deze wordt berekend door de totale oppervlakte van het kostenverhaalsgebied te delen door het feitelijke aantal kostenverhaalsdeelgebieden.
|
Norm: 1 deelgebied per 2,5 hectare kostenverhaalsgebied Als het openbaar gebied meer dan 40% van het oppervlak van het kostenverhaalsgebied omvat: 1 procentpunt meer openbaar gebied = 1% meer deelgebieden |
|
|---|---|
|
Percentage openbaar gebied |
Verrekenfactor aantal kostenverhaalsdeelgebieden |
|
< 50% |
0,80 |
|
Van 50% tot 62,5% |
0,85 |
|
Van 62,5% tot 75% |
0,90 |
|
Van 75% tot 87,5% |
0,95 |
|
Van 87,5% tot 100% |
1,0 |
|
Van 100% tot 112,5% |
1,05 |
|
Van 112,5% tot 125% |
1,10 |
|
Van 125% tot 137,5% |
1,15 |
|
Van 137,5% tot 150% |
1,20 |
|
≥ 150% |
1,20 |
|
Omvang programma (aantal woningequivalenten) |
Weken t.b.v. 1.1 Omgevingsplan |
Weken t.b.v. 1.2 Stedenbouwkundig plan |
Weken t.b.v. 1.3 Beeldkwaliteitsplan |
Weken t.b.v. 2.2 Inrichtingsplan |
|---|---|---|---|---|
|
Van 0 tot 25 |
12 |
8 |
8 |
6 |
|
Van 25 tot 50 |
13 |
10 |
10 |
8 |
|
Van 50 tot 100 |
14 |
12 |
12 |
10 |
|
Van 100 tot 250 |
15 |
14 |
14 |
12 |
|
Van 250 tot 500 |
16 |
16 |
15 |
14 |
|
Van 500 tot 750 |
17 |
18 |
16 |
16 |
|
Van 750 tot 1.000 |
18 |
20 |
17 |
18 |
|
Van 1.000 tot 1.250 |
19 |
22 |
18 |
19 |
|
Van 1.250 tot 1.500 |
20 |
24 |
19 |
20 |
|
Van 1.500 tot 1.750 |
21 |
26 |
20 |
21 |
|
Van 1.750 tot 2.000 |
22 |
28 |
21 |
22 |
|
Van 2.000 tot 2.500 |
23 |
30 |
22 |
23 |
|
Van 2.500 tot 3.000 |
24 |
32 |
23 |
24 |
|
Van 3.000 tot 4.000 |
25 |
34 |
24 |
25 |
|
Van 4.000 tot 5.000 |
26 |
36 |
25 |
26 |
|
≥ 5.000 |
27 |
38 |
26 |
27 |
|
Discipline |
1.1 Omgevingsplan |
1.2 Stedenbouwkundig plan |
1.3 Beeldkwaliteitsplan |
2.2 Inrichtingsplan openbare ruimte |
|---|---|---|---|---|
|
Projectmanagement |
1,5 |
6 |
2,5 |
2,5 |
|
Stedenbouw |
2 |
n.v.t. |
n.v.t. |
n.v.t. |
|
Planeconomie |
0,25 |
4 |
0,75 |
1,25 |
|
Beleidsafdelingen |
2 |
n.v.t. |
n.v.t. |
n.v.t. |
|
Communicatie |
1 |
2 |
n.v.t. |
2,5 |
|
Civiele techniek |
n.v.t. |
4 |
n.v.t. |
n.v.t. |
|
Landmeten/GIS |
n.v.t. |
0,5 |
0,1 |
0,25 |
|
Aantal woonfuncties |
Uur per gebouw met een woonfunctie (aantal woningen) voor het stedenbouwkundig plan |
Uur per gebouw met een woonfunctie (aantal woningen) voor het beeldkwaliteitsplan |
|---|---|---|
|
< 50 |
3 |
1 |
|
Tussen 50 en 100 |
2,7 |
0,9 |
|
Tussen 100 en 200 |
2,4 |
0,8 |
|
Tussen 200 en 300 |
2,1 |
0,7 |
|
Tussen 300 en 500 |
1,8 |
0,6 |
|
Tussen 500 en 750 |
1,5 |
0,5 |
|
Tussen 750 en 1.000 |
1,35 |
0,45 |
|
Tussen 1.000 en 2.000 |
1,2 |
0,4 |
|
Tussen 2.000 en 5.000 |
1,05 |
0,35 |
|
≥ 5.000 |
0,9 |
0,3 |
|
Omvang kostenverhaalsgebied (in hectare) |
Aantal deelgebieden |
|---|---|
|
< 0,5 |
0,25 deelgebieden |
|
Van 0,5 tot 1 |
0,5 deelgebieden |
|
Van 1 tot 5 |
2 hectare per deelgebied |
|
Van 5 tot 15 |
2,5 hectare per deelgebied |
|
Van 15 tot 30 |
3 hectare per deelgebied |
|
Van 30 tot 50 |
3,5 hectare per deelgebied |
|
Van 50 tot 75 |
4 hectare per deelgebied |
|
Van 75 tot 100 |
4,5 hectare per deelgebied |
|
≥ 100 |
5 hectare per deelgebied |
|
Omvang kostenverhaalsgebied (in hectare) |
Uren projectmanagement per jaar gedurende de looptijd |
Uren projectmanagementassistentie per jaar gedurende de looptijd |
|---|---|---|
|
< 1 |
25 |
12,5 |
|
Van 1 tot 5 |
50 |
25 |
|
Van 5 tot 15 |
75 |
37,5 |
|
Van 15 tot 50 |
100 |
50 |
|
Van 50 tot 100 |
125 |
62,6 |
|
≥ 100 |
150 |
75 |
|
Omvang kostenverhaalsgebied (in hectare) |
Uren planeconomie per jaar gedurende de looptijd |
|---|---|
|
< 1 |
40 |
|
Van 1 tot 5 |
60 |
|
Van 5 tot 15 |
80 |
|
Van 15 tot 50 |
100 |
|
Van 50 tot 120 |
120 |
|
≥ 120 |
140 |
|
Omvang kostenverhaalsgebied (in hectare) |
Uren projectmanagement per jaar |
Uren projectmanagement assistentie per jaar |
Uren planeconomie per jaar |
Uren stedenbouw per jaar |
Uren civieltechnisch projectleiden per jaar |
|---|---|---|---|---|---|
|
< 1 |
42 |
21 |
21 |
21 |
21 |
|
Van 1 tot 5 |
52,5 |
26,25 |
26,25 |
26,25 |
26,25 |
|
Van 5 tot 15 |
63 |
31,5 |
31,5 |
31,5 |
31,5 |
|
Van 15 tot 50 |
73,5 |
36,75 |
36,75 |
36,75 |
36,75 |
|
Van 50 tot 100 |
84 |
42 |
42 |
42 |
42 |
|
≥ 100 |
94,5 |
47,25 |
47,25 |
47,25 |
47,25 |
|
Omvang kostenverhaalsgebied (in hectare) |
Uitvoeringstijd (in maanden) |
|---|---|
|
< 3 |
12 |
|
Van 3 tot 5 |
15 |
|
≥ 5 |
18 |
Kopieer de link naar uw clipboard
https://zoek.officielebekendmakingen.nl/stcrt-2025-42332.html
De hier aangeboden pdf-bestanden van het Staatsblad, Staatscourant, Tractatenblad, provinciaal blad, gemeenteblad, waterschapsblad en blad gemeenschappelijke regeling vormen de formele bekendmakingen in de zin van de Bekendmakingswet en de Rijkswet goedkeuring en bekendmaking verdragen voor zover ze na 1 juli 2009 zijn uitgegeven. Voor pdf-publicaties van vóór deze datum geldt dat alleen de in papieren vorm uitgegeven bladen formele status hebben; de hier aangeboden elektronische versies daarvan worden bij wijze van service aangeboden.