Staatscourant van het Koninkrijk der Nederlanden
| Datum publicatie | Organisatie | Jaargang en nummer | Rubriek |
|---|---|---|---|
| Ministerie van Landbouw, Visserij, Voedselzekerheid en Natuur | Staatscourant 2024, 41560 | algemeen verbindend voorschrift (ministeriële regeling) |
Zoals vergunningen, bouwplannen en lokale regelgeving.
Adressen en contactpersonen van overheidsorganisaties.
U bent hier:
| Datum publicatie | Organisatie | Jaargang en nummer | Rubriek |
|---|---|---|---|
| Ministerie van Landbouw, Visserij, Voedselzekerheid en Natuur | Staatscourant 2024, 41560 | algemeen verbindend voorschrift (ministeriële regeling) |
De Staatssecretaris van Landbouw, Visserij, Voedselzekerheid en Natuur,
Gelet op de artikelen 2, 4 en 5, 6, derde lid, 11, eerste lid, 15, 16, 19, 23, onderdeel b, 25, 34, eerste lid, 44 en 50, tweede en vierde lid van het Kaderbesluit nationale EZK- en LNV-subsidies;
Besluit:
De Regeling nationale EZK- en LNV-subsidies wordt als volgt gewijzigd:
A
Artikel 2.23.1 wordt als volgt gewijzigd:
1. De begripsbepalingen van de begrippen ‘binneninstallatie’, ‘onrendabele top’ en ‘overcapaciteit’ vervallen.
2. De begripsbepalingen van de begrippen ‘aansluiting’, ‘afleverset voor warmte’, ‘efficiënt warmtenet’, ‘koppelleiding’, ‘warmtebron’ en ‘warmteoverdrachtstation’ komen te luiden:
het deel van het warmtenet dat koppelt aan de afleverset;
de fysieke aansluiting op een warmtenetwerk of -cluster;
energie-efficiënte stadsverwarming of koeling als bedoeld in artikel 46, eerste lid, van de algemene groepsvrijstellingsverordening;
een warmteleiding met als voornaamste functie om warmte naar behoefte tussen twee warmtenetten te transporteren;
installaties voor warmte- of koudeopwekking als bedoeld in artikel 46, eerste lid, van de algemene groepsvrijstellingsverordening;
een fysieke locatie waarbinnen de overdracht van warmte plaatsvindt tussen twee efficiënte warmtenet, twee onderdelen van het efficiënte warmtenet of het efficiënte warmtenet en een ander warmtenet;.
3. In de alfabetische volgorde worden de volgende begripsbepalingen ingevoegd:
loonkosten, kosten derden, investeringen in gebouwen en gronden, investeringen in leidingdelen per DN-maat van het efficiënte warmtenet, de koppelleiding en de aansluiting, investeringen in warmteoverdrachtstations en overige investeringen;
de aanleg van een efficiënt warmtenet met een dimensionering gericht op een grotere capaciteit dan nodig is om in de vraag te voorzien bij realisatie van het project;
geografisch aaneengesloten gebied waarin het efficiënte warmtenet warmte kan leveren;
thermische opslagoplossingen als bedoeld in artikel 46, eerste lid, van de algemene groepsvrijstellingsverordening;.
B
Artikel 2.23.2 komt te luiden:
1. De minister verstrekt op aanvraag subsidie aan een onderneming voor de investering in een project gericht op:
a. de bouw van een efficiënt warmtenet ten behoeve van de levering van warmte aan één of meerdere glastuinbouwondernemingen in een projectgebied; of
b. de uitbreiding van een efficiënt warmtenet ten behoeve van de levering van warmte aan één of meerdere glastuinbouwondernemingen in een projectgebied.
2. Onverminderd het eerste lid, verstrekt de minister enkel subsidie voor de bouw of uitbreiding van een efficiënt warmtenet met de capaciteit die nodig is om in de verwachte warmtevraag van alle glastuinbouwondernemingen in het betreffende projectgebied in 2040 te voorzien door middel van overdimensionering, warmteopslag of de aanleg van een koppelleiding.
C
Artikel 2.23.3 wordt als volgt gewijzigd:
1. Het eerste lid komt te luiden:
1. De subsidie bedraagt 30 procent van de subsidiabele kosten.
2. In het tweede lid wordt ‘€ 12.500.000’ vervangen door ‘€ 30.000.000’.
D
Artikel 2.23.4 wordt als volgt gewijzigd:
1. Het tweede lid vervalt, onder vernummering van het derde tot het tweede lid.
2. Het tweede lid (nieuw) komt te luiden:
2. Voor zover een efficiënt warmtenet wordt aangelegd of uitgebreid ten behoeve van zowel de aansluiting van glastuinbouwondernemingen als andere aansluitingen worden de subsidiabele kosten per onderdeel van het efficiënte warmtenet bepaald door de kosten die niet ten behoeve van de aansluiting van de glastuinbouw zijn gemaakt in mindering te brengen op de totale kosten, bedoeld in het eerste lid, voor een onderdeel van het efficiënte warmtenet.
3. Onder vernummering van het vierde tot en met zesde lid tot het vijfde tot en met zevende lid worden na het tweede lid (nieuw) twee leden ingevoegd, luidende:
3. Het tweede lid geldt niet voor de berekening van de subsidiabele loonkosten, kosten derden en kosten voor gebouwen en gronden.
4. Voor zover het efficiënte warmtenet, bedoeld in het tweede lid, bestaat uit de aanleg van een koppelleiding of een warmteopslag bedragen de subsidiabele kosten 50 procent van de totale kosten, bedoeld in het eerste lid.
4. Het vijfde lid (nieuw) wordt als volgt gewijzigd:
a. Onderdeel a komt te luiden:
a. kosten ten behoeve van investeringen in:
1°. de warmtebron;
2°. de afleverset voor warmte; en
3°. warmteleidingen of installaties die tussen de afleverset voor warmte en de glastuinbouwonderneming liggen;
b. Onder vervanging van de punt aan het slot van onderdeel b door een puntkomma worden vier onderdelen toegevoegd, luidende:
c. kosten ten behoeve van investeringen in een warmteopslag, indien deze geen gebruik maakt van bewezen technieken of indien deze geen warmte opslaat afkomstig van een efficiënt warmtenet en warmte levert aan dit warmtenet;
d. een koppelleiding die niet twee efficiënte warmtenetten koppelt;
e. kosten, bedoeld in artikel 2.3.6; en
f. kosten voor onderdelen van het efficiënte warmtenet die uitsluitend ten behoeve van andere aansluitingen dan die van glastuinbouwondernemingen worden aangelegd.
5. Er wordt een lid toegevoegd, luidende:
8. De kosten voor het financieringsbesluit en het investeringsbesluit, bedoeld in artikel 2.23.8, zijn subsidiabel tot een opgeteld bedrag van twee procent van de totale subsidiabele kosten.
E
Artikel 2.23.6 wordt als volgt gewijzigd:
1. Onderdelen a en b vervallen, onder verlettering van onderdelen c tot en met f tot de onderdelen a tot en met d.
2. Onderdeel a (nieuw) komt te luiden:
a. de kwaliteit van het project onvoldoende is, gelet op:
1°. de uitwerking van:
– het projectplan;
– het voorlopig of definitief ontwerp;
– de mijlpalenbegroting of;
– de exploitatieberekening;
2°. de mate waarin projectrisico’s worden geadresseerd;
3°. de onderbouwing dat alle benodigde partijen die een essentiële rol spelen in de keten van de warmtelevering en stakeholders in het project vertegenwoordigd zijn;
4°. de mate waarin de beschikbare middelen effectief en efficiënt worden ingezet; of
5°. de juridische haalbaarheid.
3. Onderdeel c (nieuw) komt te luiden:
c. niet aannemelijk is gemaakt dat het project bij subsidievaststelling zal voldoen aan artikel 46, tweede lid van de algemene groepsvrijstellingsverordening;
4. Onderdeel d (nieuw) komt te luiden:
d. niet aannemelijk is gemaakt dat het aan te leggen efficiënte warmtenet of de uitbreiding van het efficiënte warmtenet bij subsidievaststelling in gebruik zal worden genomen;
5. Er wordt een onderdeel toegevoegd, luidende:
e. het niet aannemelijk wordt geacht dat kan worden voldaan aan de termijnen genoemd in artikel 2.23.8.
F
Artikel 2.23.7 wordt als volgt gewijzigd:
1. Het eerste lid vervalt, onder vernummering van het tweede tot en met het zesde lid tot het eerste tot en met het vijfde lid.
2. In het tweede lid (nieuw) wordt na ‘een voortgangsrapportage’ ingevoegd ‘met onder andere financiële gegevens’.
3. In het vierde lid wordt ‘het tweede en derde lid’ vervangen door ‘eerste en tweede lid’.
G
Artikel 2.23.8, derde lid, komt te luiden:
3. De subsidieontvanger neemt uiterlijk anderhalf jaar na de datum van subsidieverlening een investeringsbesluit en een financieringsbesluit en meldt dit onverwijld schriftelijk aan de minister.
H
Artikel 2.23.9 komt te luiden:
1. Een aanvraag voor subsidie op grond van artikel 2.23.2, eerste lid, bevat tenminste:
a. de gegevens bedoeld in artikel 6, tweede lid, aanhef en onderdelen a tot en met d, van de algemene groepsvrijstellingsverordening;
b. gegevens over de aanvrager, waaronder de naam van de organisatie, het nummer waarmee de onderneming is geregistreerd bij de Kamer van Koophandel, het post- en bezoekadres en het rekeningnummer; en
c. gegevens over de contactpersoon bij de aanvrager, waaronder de naam, het telefoonnummer en het e-mailadres.
2. De aanvraag gaat vergezeld van:
a. een projectplan, bestaande uit:
1°. een omschrijving van het project gericht op de bouw of uitbreiding van het efficiënte warmtenet;
2°. een overzicht met onderbouwing van:
– de capaciteit in MW, inclusief de benodigde DN-maten, van het efficiënte warmtenet bij realisatie van het project en beoogde afname van warmte in GJ van de aan te sluiten glastuinbouwondernemingen in het projectgebied bij realisatie van het project en in 2040;
– voor zover het project de aanleg van een koppelleiding of warmteopslag betreft, de capaciteit van deze onderdelen in respectievelijk MW of m3 bij realisatie van het project;
3°. indien het project de aanleg van een efficiënt warmtenet, bedoeld in artikel 2.23.4, tweede en derde lid, betreft, een onderbouwing van de grotere capaciteit in MW, inclusief de benodigde DN-maten, van het efficiënte warmtenet bij realisatie van het project ten opzichte van de capaciteit die benodigd is om enkel glastuinbouwondernemingen in het projectgebied aan te sluiten;
4°. een onderbouwing van de voor het project benodigde investeringen, waaronder een toelichting op het model exploitatieberekening, bedoeld in onderdeel d;
5°. een omschrijving van de planning van het project inclusief mijlpalen in overeenstemming met bijlage 2.23.1, onderdeel 4;
6°. een onderbouwing van de voor de bouw of uitbreiding van het efficiënte warmtenet benodigde gebiedsgebonden maatregelen en de effecten van de bouw of uitbreiding van het efficiënte warmtenet op het openbaar gebied;
7°. de resultaten van een risico-inventarisatie van de ondergrond waaruit, gescoord op kans en impact, blijkt welke risico’s zich kunnen voordoen bij het aanleggen van de leidingdelen en warmte overdrachtstations in het projectgebied van in ieder geval drukte in de ondergrond, complexe kruisingen, archeologie, explosieven, bomen en bodemverontreiniging;
8°. een beschrijving van juridische en andere risico’s die zich kunnen voordoen bij het aanleggen of uitbreiden en exploiteren van het efficiënte warmtenet, gescoord op de kans dat deze zich zullen voordoen en de impact hiervan op de haalbaarheid van het project, waarbij in ieder geval wordt ingegaan op de benodigde vergunningen voor het project;
b. een door de aanvrager in een door de minister beschikbaar gesteld model ingevulde mijlpalenbegroting met mijlpalen verdeeld naar kostencomponenten, gebaseerd op kostenramingen, offertes en kostencalculaties en bestaande uit de volgende onderdelen:
1°. per leidingdeel of ander onderdeel van het efficiënte warmtenet: investeringskosten, subsidiabele kosten en indien van toepassing de DN-maat en een onderbouwing van de grotere capaciteit van het leidingdeel ten opzichte van de situatie waarin enkel glastuinbouwondernemingen in het projectgebied zouden worden aangesloten;
2°. andere investeringskosten en subsidiabele kosten;
3°. de opbrengsten uit andere subsidies.
c. een financieringsplan, verdeeld naar eigen vermogen en vreemd vermogen, over de wijze waarop de subsidieontvanger het eigen aandeel in de investeringskosten gaat financieren;
d. een model exploitatieberekening met de kostencomponenten uit de mijlpalenbegroting en de opbrengsten met de vaste waarden zoals opgenomen in bijlage 2.23.1, onderdeel 1;
e. een voorlopig ontwerp of definitief ontwerp met daarop aangegeven de afbakening van het projectgebied met de warmteleidingen en het type afnemers die voldoet aan de eisen zoals opgenomen in bijlage 2.23.1, onderdeel 2;
f. een onderbouwing van het financieringsplan, bedoeld in onderdeel c;
g. een onderbouwing waarin aannemelijk is gemaakt dat het aan te leggen of uit te breiden efficiënte warmtenet en, indien van toepassing, het efficiënte warmtenet, bedoeld in artikel 2.23.4, derde lid, onderdelen c en d, zal voldoen aan artikel 46, tweede lid, van de algemene groepsvrijstellingsverordening.
I
Artikel 2.23.10 wordt als volgt gewijzigd:
1. Het eerste lid, onderdeel b, komt te luiden:
b. een ingevuld, gewaarmerkt en gedateerd kostenoverzicht in een door de minister beschikbaar gesteld model, opgesteld door een accountant, van de gemaakte en betaalde kosten, met ten minste dezelfde kostencomponenten als de mijlpalenbegroting; en.
2. Het tweede lid wordt als volgt gewijzigd:
a. in onderdeel a wordt na ‘efficiënte warmtenet’ ingevoegd ‘, met een onderbouwing van de capaciteit in MW en een onderbouwing waaruit blijkt welke aansluitingen in het projectgebied gerealiseerd zijn’.
b. onderdelen b tot en met f en i vervallen, onder verlettering van de onderdelen g en h tot de onderdelen b en c, onder vervanging van ‘; en’ aan het slot van onderdeel c (nieuw) door een punt en onder toevoeging van ‘ en’ aan het slot van onderdeel b (nieuw).
3. Het derde lid wordt als volgt gewijzigd:
a. In onderdeel a wordt ‘derde partij’ vervangen door ‘derde, deskundige partij’, en vervalt ‘en’ aan het slot.
b. Onderdeel b komt te luiden:
b. een document gecontroleerd door een derde, deskundige partij waarin aangetoond wordt dat het aangelegde of uitgebreide efficiënte warmtenet en, indien van toepassing, het efficiënte warmtenet, bedoeld in artikel 2.23.4, derde lid, onderdelen c en d, voldoet aan en kan blijven voldoen aan artikel 46, tweede lid van de algemene groepsvrijstellingsverordening;
c. Er worden twee onderdelen toegevoegd, luidende:
c. indien van toepassing, een overzicht van het voordeel dat is genoten op grond van artikel 3.42 van de Wet inkomstenbelasting; en
d. documenten waaruit blijkt dat glastuinbouwondernemingen die volgens het projectplan aangesloten zouden worden op het efficiënte warmtenet maar nog niet aangesloten zijn een aanbod hebben ontvangen om aangesloten te worden.
J
Bijlage 2.23.1 behorende bij artikel 2.23.6 van de Regeling nationale EZK- en LNV-subsidies wordt vervangen door de bijlage bij deze regeling.
Deze regeling zal met de toelichting in de Staatscourant worden geplaatst.
’s-Gravenhage, 18 december 2024
De Staatssecretaris van Landbouw, Visserij, Voedselzekerheid en Natuur, J.F. Rummenie
De subsidieaanvraag wordt beoordeeld op stimulerend effect en economische haalbaarheid (artikel 23, onderdeel c en e van het Kaderbesluit nationale EZK- en LNV-subsidies). Het exploitatiemodel geeft inzicht in de economische haalbaarheid van het project en is tegelijkertijd een indicatie voor het stimulerend effect. Het stimulerende effect wordt niet alleen op economische criteria beoordeeld. De exploitatieberekening berekent een aantal sleutelindicatoren om de economische haalbaarheid van het project te beoordelen. Dit zijn de netto contante waarde van het project, de terugverdientijd van de investering en de interne rentabiliteit.
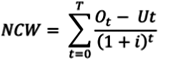
De netto contante waarde (NCW) wordt berekend met de volgende formule:

Waarbij
Ot = Opbrengsten vanuit glastuinbouwafnemers in jaar t
Ut = Uitgaven ten behoeve van glastuinbouwafnemers in jaar t
i = Discontovoet
T = Exploitatieduur
Voor de berekening worden, in lijn met het subsidiedoel genoemd in artikel 2.23.2, alleen de uitgaven ten behoeve van en opbrengsten vanuit de glastuinbouw in aanmerking genomen. Wanneer een warmtenet wordt aangelegd waarbij er zowel glastuinbouwafnemers als andere afnemers zijn, worden alleen de uitgaven ten behoeve van en opbrengsten vanuit de glastuinbouwafnemers beschouwd. Voor investeringen betekent dit dat enkel de investeringskosten worden meegenomen die uitsluitend ten behoeve van warmtelevering aan glastuinbouwondernemers worden gemaakt. Hiervoor geldt hetgeen vermeld in artikel 2.23.4, tweede lid.
Algemene uitgangspunten
T is 17 jaar vanaf de startdatum van het project.
i is 6,8% (WACC voor belasting).
Op de jaarlijkse uitgaven en opbrengsten wordt een indexatie toegepast van 2%.
Er wordt in de berekening geen rekening gehouden met de af te dragen vennootschapsbelasting.
Alle kosten en opbrengsten waarvoor geen specifieke uitgangspunten zijn vastgelegd, moeten worden onderbouwd in het projectplan.
De opbrengsten in het jaar t (Ot...) zijn gelijk aan:
Ot = (TTt x Pt) + (AVt x Nt) + OSt + (Ovar x Qt) + Ovast
Waarbij
TTt = Transporttarief in €/MW in jaar t, wanneer van toepassing;
Pt = Vermogen van de aansluitingen waarvoor het transporttarief betaald wordt in jaar t;
AVt = Aansluitvergoeding in jaar t, wanneer van toepassing;
Nt = Aantal aansluitingen waarvoor de aansluitvergoeding betaald wordt in jaar t;
OSt = Bijdragen van gemeenten, provincies, waterschappen en van openbare lichamen als bedoeld in artikel 8, eerste lid, van de Wet gemeenschappelijke regelingen;
Ovar = Variabele opbrengsten (marge inkoop – verkoop warmte glastuinbouw) in € / GJ geleverd in jaar t, wanneer van toepassing;
Qt = Hoeveelheid geleverde warmte in GJ in jaar t;
Ovast = Overige inkomsten in jaar t, wanneer van toepassing.
De totale uitgaven in het jaar t (Ut) zijn gelijk aan:
Ut = OKt + AKt + WVt + ALt + Kvast
Waarbij
OKt = Onderhoudskosten voor onderdelen van het efficiënte warmtenet in jaar t;
AKt = Administratiekosten in jaar t;
WVt = Kosten voor warmteverlies in jaar t, wanneer van toepassing;
ALt = Subsidiabele kosten zoals opgenomen in de mijlpalenbegroting als bedoeld in artikel 2.23.9, tweede lid, onderdeel b, subonderdeel 1°., in jaar t.
Kvast = Overige kosten in jaar t, wanneer van toepassing.
Waarbij
WVt = QDV x Qt x Pt;
Met
P = De inkoop- of productieprijs van warmte in jaar t;
QDV = het warmteverlies in % van de warmteafzet.
Uitgangspunt
OKt
Voor leidingen: maximaal 1% van de subsidiabele investeringskosten
Voor overdrachtsstations: maximaal 3% van de subsidiabele investeringskosten
Voor warmteopslag, maximaal 1,5% van de investering
De terugverdientijd is de kleinste waarde voor Ttvt waarin ![]()
De interne rentabiliteit is de jaarlijkse rentevergoeding over de contante waarde van de investeringen in het project, voor de opbrengsten Ot en kostenposten Ut zoals beschreven in dit onderdeel.
In dit onderdeel is uitgewerkt welke documenten van het voorlopig of definitief ontwerp, als bedoeld in artikel 2.23.9, tweede lid, onderdeel e, dienen te worden aangeleverd. Dit ontwerp moet minimaal bestaan uit de volgende onderdelen en dient aangeleverd te worden in PDF-format.
1. De afbakening van het projectgebied met een gedetailleerde weergave van de begrenzing van het aan te sluiten gebied. Geef hierin de demarcatie tussen de leidingen die behoren bij het aan te leggen warmtenet en de warmteafleversets en overdrachtstations. De bestaande bovengrondse infrastructuur van het gebied moet opgenomen worden in deze tekening.
2. De afbakening van het projectgebied met daarin de mogelijk aan te sluiten glastuinbouwondernemingen en andere aansluitingen in 2040 met indicatie van de ligging van de onderdelen van het efficiënte warmtenet die nodig gaan zijn om deze aansluitingen te kunnen realiseren.
3. Tekening met leidingligging en warmteoverdrachtstations in het x-y vlak, afgestemd op andere ondergrondse- en bovengrondse infrastructuur. De afstemming op andere boven- en ondergrondse infrastructuur moet blijken uit de ontwerptekening en/of uit een aparte toelichting op de ontwerptekening. Daarnaast dient u de aan te leggen koppelleidingen en opslag op te nemen.
4. De tekening bevat de onderdelen van het efficiëntie warmtenet ten behoeve van levering uitsluitend aan glastuinbouwondernemingen, uitsluitend aan overige aansluitingen en gecombineerde onderdelen die warmte leveren aan glastuinbouw en andere aansluitingen. Voor alle onderdelen dient een duidelijke nummering of labeling aangegeven te worden op de tekening die ook gehanteerd wordt in de uitsplitsing van de kosten zoals bedoeld in artikel 2.23.4, derde lid en in de begroting, zodat dit herleidbaar is.
5. Een tekening met de fasering van de bouw van het warmtenet, en het leidingverloop. De fases dienen overeen te komen met de fasering die in het projectplan is opgenomen voor de mijlpalen. Het leidingverloop wordt aangegeven met DN-maat per leidingdeel. De fasering en het leidingverloop mogen ook in een andere tekening verwerkt worden, mits dit duidelijk is aangegeven.
De totale subsidiabele investeringskosten moeten in het model exploitatieberekening worden uitgesplitst naar de kostencomponenten loonkosten, kosten derden, investeringen in gebouwen en gronden, investeringen in leidingdelen per DN-maat van het efficiënte warmtenet, de koppelleiding en de aansluiting, investeringen in warmteoverdrachtstations en overige investeringen. Deze kosten moeten op grond van artikel 2.3.9, lid 2, onderdeel a, subonderdeel 5, worden opgenomen in de mijlpalenbegroting. Hierbij zijn de volgende uitgangspunten van toepassing:
De mijlpalenbegroting bevat in ieder geval drie verplichte mijlpalen, namelijk:
○ Mijlpaal 1: investeringsbesluit
○ Mijlpaal 2: financieringsbesluit
○ Mijlpaal 3: opdrachtverstrekking
Indien het investerings- en het financieringsbesluit op hetzelfde moment worden genomen, mogen mijlpaal 1 en 2 worden samengevoegd. Na de verplichte mijlpalen worden de mijlpalen door de aanvrager bepaald overeenkomstig de fasering van het project, zoals opgenomen in het projectplan. Voor het gehele project kunnen maximaal 15 mijlpalen opgenomen worden.
Een mijlpaal vangt aan op het moment dat de aanvrager kosten begint te maken voor het behalen van een bepaald resultaat. Met het behalen van het resultaat, wordt ook de mijlpaal behaald. Een mijlpaal moet daarbij altijd aansluiten of overlappen met een volgende mijlpaal, zodat er geen fasen zijn waarin geen kosten worden opgevoerd. De concreet definieerbare startpunten en resultaten worden opgenomen in de mijlpalenbegroting en verder onderbouwd in het projectplan. Op de einddatum van een mijlpaal wordt het resultaat overgelegd aan RVO.
De eerste mijlpaal start op de startdatum van het project. Dit moment is van belang omdat het eerste voorschot ambtshalve binnen twee weken na aanvang van de activiteiten wordt verstrekt. De einddatum van het project is ook de einddatum van de laatste mijlpaal.
Iedere mijlpaal vertegenwoordigt een concreet definieerbaar resultaat. Dit kan naast de resultaten zoals genoemd in de eerste drie mijlpalen bijvoorbeeld ook zijn dat een deel van het project wordt opgeleverd. In de mijlpaal worden alle subsidiabele kosten opgenomen die gemaakt worden in aanloop naar het te behalen resultaat. Op de einddatum van een mijlpaal overlegt de aanvrager het ontwerp waarop staat aangegeven welke leidingen of leidingdelen, warmteoverdrachtstations en aansluitingen met deze mijlpaal zijn gerealiseerd.
Indien de aanvrager een mijlpaal niet haalt, langer doet over het te behalen resultaat of met de kosten afwijkt van hetgeen is opgegeven bij de aanvraag, dan doet hij hier binnen twee maanden melding van aan RVO. Dit kan gevolgen hebben voor de uitbetaling van de voorschotten.
Met de onderhavige regeling wordt binnen de Regeling nationale EZK- en LNV-subsidies (hierna: RNES) de subsidiemodule Warmte-infrastructuur glastuinbouw (titel 2.23, hierna: SWiG) gewijzigd.
In aanvulling op het instrumentarium gericht op energiebesparing en in samenhang met het belasten van het gebruik van aardgas zijn stimulansen nodig die de energietransitie in de glastuinbouw ondersteunen. Infrastructuur voor warmte is een randvoorwaarde voor het halen van de beoogde klimaatdoelen in de glastuinbouw; de bouw van warmte-infrastructuur draagt bij aan de noodzakelijke transitie naar een continue, betrouwbare en duurzame warmtevoorziening voor de glastuinbouwsector. Op grond van de SWiG kan subsidie worden verstrekt voor de bouw of uitbreiding van efficiënte warmtenetten met als doel om glastuinbouwondernemingen in staat te stellen hun bedrijfsvoering te verduurzamen.
De eerste openstelling van de SWiG vond plaats in de periode van 1 februari tot en met 30 augustus 2024. Er zijn negen subsidieaanvragen ingediend, waarvan er drie een subsidie verleend hebben gekregen. Tijdens de beoordeling van de aanvragen bleek dat de in november 2023 geïntroduceerde SWiG-regeling nog onduidelijkheden bevatte. Ook bleken er een aantal voorwaarden te stringent voor de complexiteit van de warmte-infrastructuur projecten. Om de effectiviteit en uitvoerbaarheid van SWiG te verbeteren wordt de SWiG aangepast. De belangrijkste uitgangspunten van de regeling blijven ongewijzigd omdat zij nog steeds passend en in lijn met het doel van de regeling zijn. De SWiG is met deze wijziging nog steeds vormgegeven als een investeringssubsidie waarbij een percentage van de investeringskosten, op basis van de Algemene Groepsvrijstellingsverordening (hierna: AGVV),11 wordt verstrekt aan een onderneming die investeert in een project gericht op de bouw of uitbreiding van een efficiënt warmtenet ten behoeve van warmtelevering aan glastuinbouwondernemers. Daarnaast zijn de afwijzingsgronden grotendeels gehandhaafd.
De belangrijkste aanpassingen van de SWiG worden hier toegelicht. Voor andere aanpassingen wordt verwezen naar het artikelsgewijze deel van de toelichting.
In de regelingstekst was in artikel 2.23.6, onderdeel b, opgenomen dat projecten met een onrendabele top onder de 25% worden afgewezen. Hiermee werd beoogd om te prikkelen tot overdimensioneren: het netwerk op een grotere (toekomstige) vraag inrichten met een grotere onrendabele top (hierna: ORT). Daarbij zijn subsidies niet bedoeld om rendabele projecten te financieren, waarvan het de verwachting is dat die toch op korte termijn gerealiseerd zullen worden. Subsidies moeten een stimulerend effect hebben.
Bij de uitvoering van deze regeling bleek dit vereiste niet werkbaar. Het moet namelijk niet alleen bij de besluitvorming op een aanvraag worden getoetst maar ook wanneer een projectplan na de subsidieverlening wordt gewijzigd. Wanneer zich wijzigingen in een project voordoen, toetst RVO of nog voldaan wordt aan de voorwaarden van de regeling. Als een aanvrager tijdens de looptijd van een project toch meer aansluitingen kan realiseren dan aanvankelijk verwacht kan de onrendabele top (ruim) onder de eerder vereiste 25% terecht komen. Dit is een risico omdat dit betekent dat de projecten (een deel van) de subsidie terug moeten betalen. Hierdoor worden aanvragers van de SWiG gestimuleerd te wachten met het aansluiten van de totale capaciteit tot na de einddatum van het project, zodat ze zeker zijn van de onrendabele top. Dit staat haaks op de doelstelling van de regeling.
Daarnaast signaleert de RVO dat projecten in de praktijk niet met een onrendabele top rekenen. Warmtenetten voor de glastuinbouw opereren in een vrije markt en warmtebedrijven geven daarom aan alle kosten bij warmteprojecten door te berekenen naar de afnemers. Subsidie is volgens de aanvragers nodig om een aantrekkelijk bod aan ondernemers te kunnen doen, voor wie het anders niet aantrekkelijk genoeg is om hun eigen productie-installatie, gedeeltelijk en op termijn helemaal, in te wisselen voor een warmtenetaansluiting.
Met deze wijzigingsregeling wordt bereikt dat het stimulerend effect van de regeling beter wordt geborgd doordat alleen projecten in aanmerking komen voor subsidie als het efficiënte warmtenet wordt aangelegd in combinatie met één of meer toekomstgerichte onrendabele onderdelen. Deze onrendabele onderdelen zijn:
• Overdimensionering; het efficiënte warmtenet moet worden gedimensioneerd op het in de toekomst (2040) verwachte warmtetransport, dat groter is dan het warmtetransport dat is voorzien bij vaststelling van het project;
• Een warmteopslag; en
• Een koppelleiding.
Een warmteopslag en een koppelleiding zijn toekomstgericht onrendabele onderdelen omdat ze nodig zijn om te voorzien in de toekomstige warmtevraag, hoewel er bij realisatie over het algemeen nog niet aan wordt verdiend. Het is niet langer nodig om gebruik te maken van een ORT-berekening om het stimulerend effect aan te tonen. Om te bepalen of de leidingen daadwerkelijk toekomstgericht overgedimensioneerd worden, moeten aanvragers aannemelijk maken hoeveel capaciteit er gedurende de looptijd van het project wordt aangesloten en wat de toekomstige warmtevraag in het projectgebied naar verwachting zal zijn. Onrendabele onderdelen komen niet voor subsidie in aanmerking als niet aannemelijk is gemaakt dat ze nodig zijn om in de toekomstige warmtevraag te voorzien.
In bijlage 2.23.1 bij de SWiG (bijlage 2.23.1 van de RNES) was opgenomen dat bij de berekening van de onrendabele top uitgegaan wordt van een aansluitcapaciteit van 0,3 MW/ha. Deze eis kwam voort uit de aanbevelingen van Berenschot en had als doel om de doelmatige besteding van overheidsmiddelen te waarborgen.2 Doelmatig in relatie tot het beleidsdoel wil hier zeggen dat de inzet van de middelen die beschikbaar worden gesteld via de SWiG ertoe zouden moeten leiden dat in een belangrijk deel van de warmtevraag van de glastuinbouwbedrijven kan worden voorzien. Het was de bedoeling dat de projecten na een volloop van 7 jaar, dus een aantal jaar na het afronden van het subsidieproject, aan de eis van 0,3 MW/ha zouden moeten voldoen. Dit is echter niet goed werkbaar gebleken omdat er geen eisen gesteld kunnen worden aan onderdelen die pas na vaststelling van de subsidie worden gerealiseerd.
Om de doelmatigheid op een alternatieve manier te borgen is daarom in artikel 2.23.9, tweede lid, onderdeel a, subonderdeel 2°, van de SWiG gevraagd aan de aanvrager van de subsidie om inzichtelijk te maken hoeveel capaciteit op het efficiënte warmtenet noodzakelijk is voor de toekomstige warmtevraag binnen het geografische projectgebied. Het warmtenet moet minimaal in de huidige en de verwachtte toekomstige basiswarmtevraag in 2040 van de glastuinbouwondernemingen in het geografische projectgebied kunnen voorzien.
Omdat het inefficiënt is om derden niet aan te sluiten als er vanuit de glastuinbouw een efficiënt warmtenet wordt aangelegd, werd in de SWiG toegestaan dat een deel van het aan te leggen net, inclusief de overcapaciteit, gebruikt kan worden voor warmtelevering aan derden (andere afnemers dan de glastuinbouw). Dit deel van de investering werd echter niet gesubsidieerd. De investeringskosten voor de gebouwde omgeving worden reeds gesubsidieerd in de WIS-subsidieregeling (titel 4.10 van de RNES).
De overcapaciteit hing samen met de verdeelsleutel voor het verdelen van de subsidiabele investeringskosten tussen glastuinbouwondernemingen en andere aansluitingen. Doordat de SWIG enkel de verdeling tussen glastuinbouw en niet-glastuinbouw bij aanvang van het project aanhield, werkte dit nadelig uit op de subsidiabele investeringskosten. Er zijn bij aanvang namelijk nog relatief weinig toezeggingen van glastuinbouwers.
Met deze wijzigingsregeling is dit ondervangen door de aanvrager voortaan te laten verklaren of er extra investeringskosten ten behoeve van de gebouwde omgeving zijn of dat de overcapaciteit al in de leiding zit door de stap in de leidingmaten. In de leidingmaten zitten namelijk grote stappen van de ene DN-maat naar de volgende en de overcapaciteit van een leiding is niet 1-op-1 te relateren aan de verdeling tussen de glastuinbouw en de gebouwde omgeving. Wanneer er extra investeringskosten worden gemaakt (een hogere DN-maat nodig is) ten behoeve van de gebouwde omgeving worden die investeringskosten in mindering gebracht op de subsidiabele kosten.
Het maximale subsidiebedrag per project was 12,5 miljoen euro (artikel 2.23.3, tweede lid). Dit maximum kwam voort uit het budget dat aanvankelijk voor de eerste openstelling beschikbaar was. Uit de subsidieaanvragen voor projecten tijdens de eerste openstelling bleek dat dit bedrag voor een aantal projecten te laag is. Om ervaringen met de SWIG uit de praktijk op te halen is in het kader van een marktconsultatie uitgevraagd wat de omvang van de voorgenomen projecten is en welke subsidie hiervoor volgens de markt nodig is. Hierbij is aangegeven dat het maximumbedrag tussen de 20 en 50 miljoen euro moet liggen. Met deze wijzigingsregeling wordt het subsidiebedrag op 30 miljoen euro gemaximeerd zodat projecten enerzijds voldoende subsidie kunnen krijgen en anderzijds het budget voor deze subsidieregeling niet te snel wordt opgebruikt. De openstellingsbudgetten per aanvraagperiode zouden voldoende ruimte moeten bieden om naast grote ook kleine(re) projecten te honoreren. Dit is van belang omdat kleine gebieden met glastuinbouwondernemingen ook aangesloten moeten kunnen worden.
In de SWiG was opgenomen dat projecten die 100% hernieuwbare bronnen gebruiken, aanspraak kunnen maken op een hoger subsidiepercentage van 45% om het gebruik maken van 100% hernieuwbare bronnen te stimuleren (artikel 2.23.3, eerste lid).
Praktisch blijkt het op de korte maar ook op middellange termijn niet realistisch om warmtenetten te kunnen voeden met 100% hernieuwbare warmte conform de AGVV. RVO heeft alleen bij vaststelling van de subsidie de mogelijkheid om de 100% hernieuwbare warmtebronnen te controleren. Hiervoor moet de aanvrager meetgegevens aanleveren over welke warmtebronnen op het efficiënte warmtenet invoeden. Dit kan een staatssteunrisico opleveren omdat de kans groot is dat niet-duurzame warmtebronnen op het efficiënte warmtenet zijn of worden ingevoed. Ook bestaat het risico dat voorschotten niet kunnen worden teruggevorderd. In de afgelopen openstelling is geen gebruik gemaakt van de mogelijkheid om 45% subsidie te ontvangen. Met deze wijzigingsregeling wordt de mogelijkheid van 45% subsidie voor warmtenetten met uitsluitend hernieuwbare warmtebronnen uit de regeling geschrapt. Het subsidiepercentage komt daarmee voor alle projecten op 30%.
Het deel van het efficiënte warmtenet dat (ook) in aanmerking komt voor subsidie onder de SDE++-regeling (Besluit stimulering duurzame energieproductie en klimaattransitie) of de EG-regeling (titel 2.3 van de RNES) was op grond van artikel 2.23.2, tweede lid, uitgesloten van subsidie onder de SWiG om oversubsidiëring te voorkomen. Deze ‘fysieke’ afbakening is echter lastig om toe te passen. In de SDE++-regeling moet namelijk duidelijk staan welk deel van het efficiënte warmtenet subsidiabel is, zodat dit in de SWiG buiten beschouwing kan worden gelaten. Dit is echter niet duidelijk genoeg gedefinieerd.
Om deze onduidelijkheid te verhelderen is geregeld dat de SDE++- subsidie kan samengaan met een bijdrage uit de SWiG. Het aanvragen van SDE++- subsidie heeft geen gevolgen voor de hoogte van de SWiG. De SWiG kan in sommige gevallen wel gevolgen hebben voor de SDE++- subsidie. Een jaar na ingebruikname van de installatie wordt in het kader van de SDE++- beschikking een zogenoemde MSK-toets uitgevoerd. Daarmee wordt nagegaan hoeveel steunruimte er is, dat wil zeggen: hoeveel steun het project op basis van Europese regelgeving maximaal mag ontvangen. Wordt er te veel steun verleend dan zal de SDE++ dat verrekenen door dit in mindering te brengen op het bedrag dat de subsidieaanvrager op grond van de SDE++ heeft aangevraagd of toegekend heeft gekregen. Dit is geregeld in de Beleidsregel toets passende stimulering en cumulatietoets onder het Besluit duurzame energieproductie en klimaattransitie.
De Swig wordt uitgevoerd door de Rijksdienst voor Ondernemend Nederland (RVO). De verwachting is dat in de tweede openstelling aan twintig projecten subsidie wordt verleend. Naar verwachting heeft RVO 1,4% van het totale budget nodig voor de uitvoeringskosten, zowel voor personele capaciteit als voor ondersteunende diensten. Om de voortgang van de projecten te bewaken moeten van het investeringsbesluit en het financieringsbesluit meldingen door de aanvrager aan RVO worden gedaan. Daarnaast moet aan RVO een afschrift worden overlegd van de opdracht voor de bouw van het warmtenet. Ook dient de aanvrager jaarlijks een voortgangsrapportage aan te leveren en zal elk project gedurende de looptijd circa twee keer door RVO worden bezocht. De aanpassingen in deze regeling worden door RVO uitvoerbaar en handhaafbaar geacht.
De aanvraag voor deze subsidie wordt elektronisch ingediend. Daarvoor wordt gebruik gemaakt van het aanvraagformulier dat beschikbaar wordt gesteld via de website van RVO.
Bij de inrichting van de SWiG is nadrukkelijk gezocht naar een eenvoudige en simpele vormgeving, zowel voor RVO als voor de aanvragers. Bij de doorgevoerde wijzigingen is dit ook een leidend principe. Tegelijk blijft met deze criteria en standaardwaarden de lat hoog om in aanmerking te komen voor subsidie. Dit gaat naar verwachting leiden tot zelfselectie bij aanvragers. De gestelde voorwaarden selecteren dusdanig op ver uitgewerkte projecten dat minder uitgewerkte projecten niet aan de voorwaarden voor subsidieverlening kunnen voldoen. Om die reden wordt verwacht dat er tijdens de resterende looptijd van de regeling 70 complete aanvragen worden ingediend. De volgende activiteiten zullen gevraagd worden in het kader van de aanvraag. Hierbij wordt gerekend met een standaardtarief van € 54 per uur.
|
Activiteit tijdens de aanvraag |
Uren |
Regeldrukkosten |
|---|---|---|
|
Kennisname |
3 |
€ 162 |
|
Aanvraagformulier indienen |
1,5 |
€ 81 |
|
Opstellen projectplan |
20 |
€ 1.080 |
|
Invullen model exploitatieberekening |
2 |
€ 108 |
|
Aanleveren onderbouwing financiering eigen aandeel in investering |
0,5 |
€ 27 |
|
Totaal regeldrukkosten aanvraagfase per aanvrager |
€ 1.458 |
|
|
Totaal regeldrukkosten aanvraagfase |
€ 102.060 |
|
Afgaande op de bekende gemiddelde omvang van investeringsprojecten in warmtenetten en de verhoogde begrenzing van de subsidiebijdrage per project in deze subsidiemodule wordt verwacht dat 20 daarvan een beschikking tot subsidieverlening zullen ontvangen. Tot het moment van subsidievaststelling worden van de subsidieontvangers van deze projecten de volgende activiteiten verwacht.
|
Activiteit tijdens de uitvoering |
Uren |
Regeldrukkosten |
|---|---|---|
|
Kick-off bijeenkomst |
2 |
€ 108 |
|
Voortgangsrapportage (4 uur per jaar; maximale looptijd van een project is 5 jaar) |
28 |
€ 1.512 |
|
Projectbezoek RVO adviseur (max. 2 keer gedurende de looptijd van het project, 2 uur per bezoek) |
4 |
€ 216 |
|
Eindverslag |
20 |
€ 1.080 |
|
(Vrijwillige) deelname aan evaluatie regeling |
2 |
€ 108 |
|
Accountantsverklaring bij vaststelling |
€ 2.500 – € 3.500 |
|
|
Aanleveren documenten o.b.v. de verplichtingen (investeringsbesluit, financieringsbesluit en opdrachtverstrekking) |
0,5 |
€ 27 |
|
Een document waarmee het efficiënte net wordt aangetoond. |
€ 2.000 |
|
|
Totaal regeldrukkosten uitvoeringsfase per project |
€ 7.551 – € 8.551 |
|
|
Totaal regeldrukkosten uitvoeringsfase voor 20 projecten |
€ 151.020 – € 171.020 |
|
Hiermee komen de totale regeldrukkosten van deze subsidiemodule op € 253.080 tot € 273.080. Uitgaande van een totaal resterend subsidiebudget van 285 miljoen euro is het regeldrukpercentage daarmee 0,09%.
De SWiG is eerder aan de Autoriteit Toetsing Regeldruk (ATR) voorgelegd. De ATR heeft toen geen formele regeldruktoets uitgevoerd omdat de regeldrukkosten minder dan 0,5 procent van het subsidiebudget bedragen. Deze wijzigingsregeling heeft tot gevolg dat de regeldrukkosten dalen van 0,1 naar 0,09 procent. Om deze reden is de ATR niet gevraagd om een formele regeldruktoets uit te voeren voor deze regeling.
Er is geen internetconsultatie gedaan van deze regeling. In plaats daarvan zijn er marktconsultaties uitgevoerd. Op vrijdag 28 juni 2024 is een marktconsultatie gedaan van de ongewijzigde regeling. Voor deze consultatie zijn vertegenwoordigers van de ingediende aanvragen tijdens de eerste openstelling uitgenodigd. Een punt van aandacht was dat het onder de ongewijzigde regeling niet mogelijk was om subsidie te krijgen voor restwarmte met daarbij inbegrepen een transportleiding gesubsidieerd onder de SDE++. Daarnaast werd tijdens de consultatie opgemerkt dat de onrendabele top berekening niet werkbaar is vanwege de verscheidenheid aan projecten.
Een ander punt van aandacht was dat het maximale subsidiebedrag niet hoog genoeg werd gevonden, gezien de grootte van de projecten.
Er werd ook op gewezen dat de scheiding tussen de glastuinbouw en de gebouwde omgeving bij de berekening van de subsidiabele kosten te beperkt is vormgegeven. Ten slotte werd opgemerkt dat het uitgangspunt uit de bijlage bij de SWiG van 0,3 MW per hectare warmteafname lastig hanteerbaar is in de praktijk.
Er is ook een marktconsultatie gedaan van de in deze regeling opgenomen aanpassingen van de SWIG op dinsdag 29 oktober 2024. Hieruit bleek dat de deelnemers aan de marktconsultatie zeer tevreden waren over de ophoging van het maximale subsidiebedrag per project. Daarnaast hadden de deelnemers enkele verduidelijkende vragen.
Deze wijzigingsregeling is getoetst op mogelijke staatssteun. Geconcludeerd is dat er sprake is van staatssteun in de zin van artikel 107, eerste lid, van het Verdrag betreffende de werking van de Europese Unie (hierna: VWEU). De subsidiemodule is nog steeds in overeenstemming met artikel 46 van de AGVV. Voor een uitgebreidere toelichting hierop wordt verwezen naar de algemene toelichting bij de oorspronkelijke publicatie van deze regeling.33 Hieronder zal worden besproken wat de gevolgen van deze wijzigingsregeling zijn voor de verenigbaarheid met de AGVV.
In de eerste plaats hoeven aanvragers niet meer aan te tonen dat het project een onrendabele top heeft. De subsidie heeft nog steeds een stimulerend effect, dat vereist is in artikel 6 van de AGVV, omdat deze leidt tot een wezenlijke toename van de reikwijdte, de uitgaven en de snelheid van het project als bedoeld in lid 3 van dit artikel. Een voorwaarde voor subsidieverlening is immers dat het net voorziet in de warmtevraag in 2040, wat een versnelling inhoudt, door overdimensionering of de aanleg van een koppelleiding, wat leidt tot een grotere reikwijdte van het project en hogere uitgaven.
Ten tweede is het maximale subsidiebedrag verhoogd van 12,5 miljoen naar 30 miljoen euro. Dit is nog steeds minder dan het maximale bedrag dat op grond van de AGVV per project per ondernemer kan worden verstrekt (50 miljoen euro).
Van de gewijzigde steunmaatregel zal kennisgeving aan de Europese Commissie worden gedaan, conform artikel 11, eerste lid, onder a, van de AGVV. Daarnaast zal jaarlijks verslag aan de Europese Commissie worden uitgebracht, conform artikel 11, eerste lid, onder b, van de AGVV. De in bijlage III van de AGVV bedoelde gegevens worden gepubliceerd, zoals vereist op grond van artikel 9, eerste lid, onder c, van de AGVV, tenzij er steun wordt verleend van minder dan € 100.000,–.
Deze regeling treedt in werking met ingang van de dag na de datum van uitgifte van de Staatscourant waarin zij wordt geplaatst. Daarmee wordt afgeweken van het vaste kabinetsbeleid inzake vaste verandermomenten waarbij ministeriële regelingen in werking treden met ingang van 1 januari, 1 april, 1 juli of 1 oktober. Uitgangspunt daarbij is dat bekendmaking uiterlijk twee maanden voor inwerkingtreding geschiedt. Met publicatie voor 1 januari wordt afgeweken van de vaste verandermomenten en wordt tevens een kortere invoeringstermijn dan twee maanden aangehouden. Dit is op grond van Aanwijzing 4.17, vijfde lid, onderdeel a, gerechtvaardigd omdat uitstel tot aanmerkelijke ongewenste nadelen voor de doelgroep zal leiden. Uitstel betekent namelijk dat gereserveerde gelden voor deze regeling niet meer beschikbaar zijn. Bovendien is de komst van deze regeling reeds langer bekend was binnen de doelgroep. Daarnaast zijn de desbetreffende sector en uitvoeringsinstantie betrokken geweest bij de voorbereiding en nadere invulling van deze regeling.
In dit onderdeel zijn enkele begripsomschrijvingen aangepast vanwege wijzigingen in andere artikelen uit deze regeling.
De omschrijving van het begrip ‘aansluiting’ is aangepast omdat hierin verwezen werd naar een ‘centrale aansluiting’. Dit is niet relevant voor warmtelevering aan de glastuinbouw.
De begripsbepaling van het begrip ‘afleverset voor warmte’ is aangepast om beter aan te sluiten bij de context van warmtelevering aan de glastuinbouw.
De definitie van het begrip ‘efficiënt warmtenet’ is tevens gewijzigd. Er wordt nu verwezen naar artikel 46, eerste lid, van de AGVV, terwijl eerder verwezen werd naar artikel 2, punt 124, van deze verordening. De verwijzing is enkel aangepast om te verduidelijken dat warmteopslag ook subsidiabel kan zijn. De eisen ten aanzien van de efficiëntie van het efficiënte warmtenet blijven onverkort gelden. Daarnaast is aan de definitie toegevoegd dat het efficiënte warmtenet extra capaciteit moet aanleggen om te kunnen voorzien in de verwachte warmtevraag in 2040. Dit kan door het efficiënte warmtenet te overdimensioneren of door het aanleggen van een koppelleiding of warmteopslag. Op deze manier wordt gewaarborgd dat het efficiënte warmtenet toekomstbestendig is.
Voor het begrip overdimensionering wordt verwezen naar het algemene deel van de toelichting.
Voor het begrip ‘koppelleiding’ is een nieuwe begripsbepaling opgenomen. Met de nieuwe begripsbepaling wordt duidelijk gemaakt dat koppelleidingen niet dienen voor het uitkoppelen van een warmtebron voor het warmtenet of het anderszins structureel warmte leveren aan een warmtenet. Het naar behoefte transporteren van warmte is in de basis een onrendabele activiteit, in tegenstelling tot het structureel leveren van warmte, zoals in de oude begripsbepaling was opgenomen. Hiermee is het duidelijk dat een koppelleiding een onrendabel onderdeel is, zoals bedoeld in paragraaf 2.1.van deze toelichting.
Er is tevens een begripsomschrijving voor ‘kostencomponenten’ toegevoegd. Eerder stond in artikel 2.23.9 van de regeling welke kostencomponenten er zijn. In deze begripsomschrijving zijn enkele kostencomponenten toegevoegd aan de eerder beschreven kostencomponenten. Zo kunnende koppelleiding, aansluiting, en overige investeringen (bijvoorbeeld warmteopslag) in een apart onderdeel van de begroting worden opgenomen. Daarnaast is aan de kostencomponent ‘investeringen in leidingdelen’ toegevoegd dat deze per DN-maat van het efficiënte warmtenet inzichtelijk gemaakt moeten worden.
De omschrijving van het begrip ‘warmteoverdrachtsstation’ is aangepast door aan te geven dat hiermee ook warmte kan worden vervoerd tussen het efficiënte warmtenet en een warmtebron en dat deze overdracht van warmte niet grootschalig hoeft te zijn. Het is op deze manier verduidelijkt welke kosten subsidiabel zijn.
Aan het eerste lid van artikel 2.23.2 is toegevoegd dat subsidie wordt verstrekt ten behoeve van de levering van warmte in een projectgebied. Dit is het gebied waarin het efficiënte warmtenet warmte zou kunnen leveren. Uit het tweede lid blijkt dat het warmtenet moet worden aangelegd met de capaciteit die nodig is om in de warmtevraag van alle glastuinbouwondernemingen in het projectgebied rond 2040 te voorzien. Dit is verder toegelicht in het algemene deel. In het projectplan moet een afbakening gegeven worden van het projectgebied.
Het is mogelijk dat een project bestaat uit de aanleg van een efficiënt warmtenet ten behoeve van de levering van warmte aan zowel de glastuinbouw als aan andere aansluitingen, zoals de gebouwde omgeving. De onderdelen van het efficiënte warmtenet die enkel voor de gebouwde omgeving worden aangelegd komen niet in aanmerking voor subsidie op basis van artikel 2.23.2 omdat ze niet gericht zijn op levering van warmte aan de glastuinbouw. De onderdelen die voor zowel de glastuinbouw als de gebouwde omgeving worden aangelegd kunnen gesubsidieerd worden, maar de kosten die uitsluitend voor andere afnemers zijn gemaakt (meerkosten) worden wel in mindering gebracht op de subsidiabele kosten van deze onderdelen. Dit is geformuleerd in het nieuwe tweede, derde en vierde lid van artikel 2.23.4. Om deze reden is het oude tweede lid, die betrekking had op deze gecombineerde onderdelen, geschrapt. Loonkosten, kosten derden en kosten gebouwen en gronden zijn vrijwel niet afhankelijk van de DN maat die wordt aangelegd. Bovendien moeten deze kosten voor de aanleg van een warmtenet dat enkel warmte levert aan de glastuinbouw ook gemaakt worden. Daarom worden deze kosten niet als meerkosten gezien en daarom niet in mindering gebracht op het subsidiebedrag. Als het project bestaat uit de aanleg van een koppelleiding of een warmteopslag dan zijn de subsidiabele kosten 50 procent van de kosten die op grond van het eerste lid gesubsidieerd worden. Dit geldt alleen voor zover het deze onderdelen van het warmtenet betreft. Er wordt niet gekeken naar de meerkosten omdat de administratieve last voor de aanvrager dan onevenredig hoog is.
In het nieuwe vierde lid, onderdeel a, is aangegeven dat investeringen in installaties voor warmte- of koudeopwekking niet voor subsidie in aanmerking komen. Met deze omschrijving van een warmtebron is aangesloten op de terminologie in artikel 46 van de AGVV. De binneninstallatie van de glastuinbouwonderneming is ook niet subsidiabel. Dit volgt uit de definitie van een efficiënt warmtenet, waar de binneninstallatie van een glastuinbouwonderneming niet toe behoort. Het doel van de subsidie is immers om de aanleg of uitbreiding van een efficiënt warmtenet te subsidiëren. Ten slotte is warmteleiding van de warmtebron naar het eerste warmteoverdrachtsstation niet opgenomen als kosten die niet-subsidiabel zijn, waardoor deze kosten wel voor subsidie in aanmerking komen. De kosten die voor deze warmteleiding worden gemaakt worden mogelijk wel betrokken bij de msk-toets die onder de SDE++-regeling wordt uitgevoerd.
Aan het nieuwe vierde lid zijn enkele nieuwe onderdelen toegevoegd. In onderdeel c is bepaald dat een thermische opslagoplossing (warmteopslag) niet subsidiabel is indien deze niet warmte opslaat van het efficiënte warmtenet en warmte levert aan het efficiënte warmtenet. Deze voorwaarde is nodig vanwege het vereiste dat het warmtenet efficiënt moet zijn en dat de opslag ten dienste staat aan het warmtenet, niet aan de warmtebron of de glastuinbouwonderneming. Daarnaast moet de warmteopslag worden aangelegd met bewezen technieken. Dit wil zeggen dat het gaat om systemen of technieken waarvan de werking bewezen is en breed wordt toegepast in Nederland.
Op grond van het nieuwe onderdeel d is een koppelleiding alleen subsidiabel indien deze twee efficiënte warmtenetten koppelt. Anders is de koppelleiding namelijk niet efficiënt, zoals vereist door artikel 46 van de AGVV.
In het nieuwe onderdeel e van het derde lid is opgenomen dat de kosten die onder de EG-regeling (titel 2.3. van de RNES ‘Energie-efficiëntie glastuinbouw’) subsidiabel zijn niet voor subsidie in aanmerking komen onder de SWiG. Door het schrappen van artikel 2.23.2 lid 2 wordt de SWiG niet meer afgebakend tot de EG-regeling door te kijken of een project voor subsidie in aanmerking komt onder de EG-regeling, maar door te bezien of de kosten subsidiabel zijn onder de EG-regeling.
In het nieuwe onderdeel f is verduidelijkt dat onderdelen van het efficiënte warmtenet die uitsluitend warmte leveren aan andere aansluitingen dan de glastuinbouw niet voor subsidie in aanmerking komen, zelfs indien zij onderdeel zijn van een project waarin wel warmte wordt geleverd aan de glastuinbouw. Het subsidiëren van deze aansluitingen past immers niet binnen het onderwerp van subsidieverlening, zoals geformuleerd in artikel 2.23.2, eerste lid, om subsidie te verlenen ten behoeve van de levering van warmte aan de glastuinbouw.
Ten slotte is lid 8 toegevoegd aan artikel 2.23.4. In dit lid is bepaald dat de kosten voor het investeringsbesluit en financieringsbesluit bij elkaar opgeteld niet meer dan twee procent van de totale subsidiabele kosten mogen bedragen. In de praktijk is gebleken dat deze kosten meer dan twee procent kunnen bedragen, terwijl het juist de bedoeling is, gelet op het doel van deze regeling, dat een groot deel van de subsidie wordt uitgegeven aan de aanleg van een efficiënt warmtenet.
Artikel 2.23.6 is op enkele punten aangepast. Op grond van het geschrapte onderdeel a werd een aanvraag afgewezen als de aanvraag een project betreft dat eerder onder de SWiG is aangevraagd. Het komt echter niet vaak voor dat een aanvraag wordt ingediend dat ziet op exact hetzelfde project. Daarom is deze afwijzingsgrond geschrapt.
Onderdeel b is geschrapt omdat de onrendabele top geen afwijzingsgrond meer is. Dit is toegelicht in het algemene deel van de toelichting. De andere onderdelen zijn als gevolg hiervan verletterd. Het nieuwe onderdeel a is inhoudelijk niet aangepast, maar enkel in een opsomming gezet ter bevordering van de leesbaarheid.
In het nieuwe onderdeel c is ten opzichte van het oude onderdeel e aangepast dat er geen model meer ingevuld hoeft te worden maar dat aannemelijk gemaakt moet worden dat het efficiënte warmtenet zal voldoen aan artikel 46, tweede lid, van de AGVV. Het model kan namelijk niet goed gebruikt worden om dit aan te tonen aangezien dit model gericht is op de gebouwde omgeving. Aannemelijk maken betekent dat de aanvrager zoveel mogelijk onderbouwt dat het efficiënte warmtenet bij vaststelling aan artikel 46, tweede lid, van de AGVV zal voldoen. Om dezelfde reden is ook het nieuwe artikel 2.23.9, onderdeel g, aangepast.
De afwijzingsgrond in het oude onderdeel f dat ten minste 60% van de totale capaciteit aangesloten moet zijn gedurende de looptijd van het project is geschrapt. Voorkomen moet worden dat een aanvraag wordt afgewezen omdat iets minder dan 60% is aangesloten. Daarom is de afwijzingsgrond opgenomen dat het efficiënte warmtenet bij realisatie in gebruik genomen moet zijn.
Tenslotte is in het nieuwe onderdeel e opgenomen dat een project kan worden afgewezen als niet aannemelijk is dat wordt voldaan aan de termijnen in artikel 2.23.8. Het gaat dan niet alleen om de termijn waarbinnen het project gerealiseerd moet zijn, maar ook om de andere termijnen die in dit artikel genoemd worden.
Het eerste lid van artikel 2.23.7 vervalt in verband met het schrappen van de mogelijkheid om 45% subsidie te ontvangen als voldaan is aan de voorwaarden uit artikel 46, achtste lid van de AGVV. In het nieuwe tweede lid is verduidelijkt dat de voortgangsrapportage in ieder geval financiële gegevens moet bevatten. Het gaat hierbij om de werkelijke kosten per mijlpaal.
In artikel 2.23.8 is het derde lid aangepast dat gaat over het investeringsbesluit. De termijn om dit besluit te nemen is verlengd van één jaar naar anderhalf jaar omdat in de praktijk is gebleken dat het vaak niet lukt om dit besluit binnen één jaar te nemen. Een andere aanpassing is de schrapping van het woord ‘finaal’ voor ‘investeringsbesluit’. Uit de definitie van het begrip investeringsbesluit blijkt namelijk al dat het een definitief besluit moet zijn. Het besluit moet gaan over een substantieel deel van de subsidiabele kosten. Als het besluit niet over alle subsidiabele kosten gaat moet de subsidieontvanger de minister schriftelijk op de hoogte stellen van het nemen van een investeringsbesluit voor de overige kosten.
Tenslotte is in het derde lid de term ‘afschrift’ vervangen door ‘melding’. Met deze wijziging wordt tegemoetgekomen aan de praktijk dat een investeringsbesluit en een financieringsbesluit niet altijd in een daartoe bestemd schriftelijk besluit worden vastgelegd. Door afschrift te vervangen door melding wordt de vorm meer opengelaten. Wat wel van belang blijft is dat de melding van het investeringsbesluit en het financieringsbesluit schriftelijk worden gedaan middels een door een bevoegd persoon getekend en gedateerd document waaruit blijkt dat het investeringsbesluit en het financieringsbesluit tot de aanleg van een efficiënt warmtenet is genomen. Zowel het investeringsbesluit als het financieringsbesluit worden geacht definitief en onherroepelijk te zijn. Verder moeten beide besluiten zien op de projectkosten zoals opgenomen in de mijlpalenbegroting. Dit bedrag dient ook opgenomen te worden in de melding. Uit het financieringsbesluit moet tenslotte ook blijken op welke wijze de financiering van het eigen aandeel van het investeringsproject wordt gefinancierd. Indien sprake is van aanvullende, uitsluitende of ontbindende voorwaarden ten aanzien van één van deze besluiten dan moet dit blijken uit het hiervoor genoemde document waarmee gemeld wordt dat een investeringsbesluit en een financieringsbesluit is genomen. RVO zal in dat geval beoordelen of het investeringsbesluit en het financieringsbesluit nog steeds zijn aan te merken als definitief en onherroepelijk en of de voorwaarden toelaatbaar zijn in het licht van de SWiG. RVO kan indien nodig onderliggende documenten opvragen van het investeringsbesluit en het financieringsbesluit en ook het afschrift zelf opvragen.
De aanpassingen in artikel 2.23.9 en het volgende artikel, die gaan over de informatie die bij verlening en vaststelling moet worden aangeleverd, vloeien grotendeels voort uit aanpassingen die in eerdere artikelen zijn gedaan. Hierna wordt per onderdeel ingegaan op de wijzigingen van artikel 2.23.9.
In het tweede lid, onderdeel a, subonderdeel 2, is gewijzigd dat de capaciteit van het efficiënte warmtenet en de afname van warmte onderbouwd moet worden zoals deze naar verwachting is bij realisatie van het project en in ongeveer 2040. De capaciteit van het efficiënte warmtenet moet worden onderbouwd aan de hand van de DN-maat van de aan te leggen warmteleiding. Met deze gegevens kan inzichtelijk worden gemaakt welke capaciteit nodig is om het efficiënte warmtenet toekomstbestendig te maken. Daarnaast is verduidelijkt dat de afname van warmte niet onderbouwd hoeft te worden als het project niet bestaat uit het aanleggen van een distributienet, maar bijvoorbeeld enkel de aanleg van een warmteopslag betreft. In dat geval wordt er namelijk geen warmte afgenomen van het aangelegde onderdeel van het efficiënte warmtenet.
Subonderdeel 3 van hetzelfde onderdeel is aangepast omdat de hoogte van de subsidie nu niet meer afhankelijk is van welk deel van het vermogen wordt gebruikt voor warmtelevering aan de glastuinbouw, maar of er extra capaciteit wordt aangelegd om andere ondernemingen aan te sluiten dan glastuinbouwondernemingen. In subonderdeel 5 is verduidelijkt wat er bedoeld wordt met de mijlpalen die in de planning opgenomen moeten worden door de verwijzing naar het nieuwe onderdeel 4 van bijlage 2.23.1.
Het is niet meer nodig om aan te geven wat de opschalingsmogelijkheden van het efficiënte warmtenet zijn omdat het efficiënte warmtenet al moet voorzien in de warmtevraag in 2040. Op grond van het nieuwe subonderdeel 7° moeten de risico’s voor de ondergrond in beeld worden gebracht. De in dit subonderdeel beschreven risico’s zijn van grote invloed op de eventuele meerkosten van het project en daarmee op de waarschijnlijkheid dat het project als geheel conform de aanvraag wordt uitgevoerd. De risico’s die zich kunnen aandienen moeten worden gescoord op kans en impact. De resultaten van uitgevoerde onderzoeken naar deze risico’s, bijvoorbeeld in de vorm van rapporten en kaarten, kunnen daarbij als aparte bijlage worden aangeleverd. In de eerste openstelling werden een aantal specifieke risico’s concreet uitgevraagd door middel van het aanleveren van scans, maar omdat de risico’s sterk projectafhankelijk zijn, sluit deze werkwijze beter aan op de praktijk.
In de tweede plaats is in subonderdeel 8° de plicht opgenomen om een beschrijving in het projectplan op te nemen van de juridische risico’s. Ook deze risico’s dienen gescoord te worden op kans en impact. De wijze waarop de risico’s in subonderdelen 7° en 8° worden uitgewerkt en hoe hiermee wordt omgegaan zal ook van invloed zijn op de beoordeling van de kwaliteit van het project zoals benoemd in de afwijzingsgronden van artikel 23 van het Kaderbesluit nationale EZK- en LNV- subsidies (hierna: Kaderbesluit).
In het tweede lid, onderdeel b, is verder uitgewerkt uit welke onderdelen een mijlpalenbegroting moet bestaan. Deze begroting moet nog steeds uitgesplitst worden naar kostencomponenten. De kostencomponenten zijn niet meer in dit onderdeel genoemd maar in de definitiebepalingen van artikel 2.23.1. De kostencomponenten moeten worden onderbouwd op basis van kostenramingen, offertes en kostencalculaties.
Een voorbeeld is een project dat bestaat uit een gecombineerd leidingdeel voor zowel glastuinbouwondernemingen als een woonwijk (niet glastuinbouw).
Voor de warmtelevering aan alleen glastuinbouw is een DN500 ad € 19.000.000 nodig en voor de warmtelevering aan glastuinbouw en niet-glastuinbouw (de gecombineerde leiding) is een DN600 ad € 21.000.000 nodig. De verleende subsidie voor de DN500 is € 19.000.000 * 30%. De kostencomponenten van zowel de DN500 als de DN600-leiding moeten dan worden onderbouwd met kostenramingen, offertes en kostencalculaties.
In onderdeel d van het tweede lid is uitgewerkt waar het model exploitatieberekening aan moet voldoen. De wijziging is dat het model exploitatieberekening moet worden opgesteld in overeenstemming met de uitgangspunten die in onderdeel 1 van de bijlage bij deze regeling zijn opgenomen. Een andere wijziging is dat er meer ruimte is voor de in te vullen waarde in de exploitatieberekening. Voor een aantal onderdelen is wel een maximale waarde opgenomen.
In de regeling staan een aantal uitgangspunten beschreven (onderdeel 1 in bijlage 2.23.1 bij de regeling). Deze uitgangspunten zijn opgenomen in het model exploitatieberekening. Soms worden er geen uitgangspunt gegeven. In dat geval moet de opgegeven waarde onderbouwd worden in de toelichting bij het model.
Op grond van onderdeel g moet aannemelijk worden gemaakt dat het aan te leggen of uit te breiden efficiënte warmtenet zal voldoen aan de duurzaamheidseisen uit artikel 46, tweede lid, van de algemene groepsvrijstellingsverordening. Indien een warmteopslag wordt aangelegd moet dit ook aannemelijk worden gemaakt voor het efficiënte warmtenet waar de opslag warmte van opslaat of warmte aan levert. Als een koppelleiding wordt aangelegd moet hetzelfde aannemelijk worden gemaakt voor de efficiënte warmtenetten die de koppelleiding koppelt.
In artikel 2.23.10 zijn een aantal onderdelen die overbodig zijn geworden komen te vervallen. Daarnaast is er gepoogd om de stukken die aangeleverd moeten worden voor de aanvraag van de subsidievaststelling te vereenvoudigen.
Aan het eerste lid, onderdeel b, is toegevoegd dat het kostenoverzicht door een accountant moet worden opgesteld. Daarnaast moet het gewaarmerkt en gedateerd zijn. Dit is wenselijk omdat uit de praktijk is gebleken dat het de kwaliteit van het kostenoverzicht te goede komt. Daarnaast is verduidelijkt dat in het kostenoverzicht betaalde en gemaakte kosten moeten staan.
Om de regeling eenvoudiger en leesbaarder te maken zijn de onderdelen b, d en e samengevoegd in onderdeel b. Onderdeel c is vervallen omdat reeds uit de gerealiseerde aansluitingen en de planning uit het projectplan blijkt wat er in de toekomst nog aangelegd gaat worden. Onderdeel f is vervallen omdat er voor gecombineerde projecten niet meer gerekend wordt met het percentage van de capaciteit dat geleverd wordt aan de glastuinbouw. Ten slotte komt onderdeel i te vervallen omdat opschalingsmogelijkheden geen eis zijn voor het verlenen of vaststellen van de subsidie.
In onderdeel a is verduidelijkt dat het document van een derde partij waaruit blijkt dat het efficiënte warmtenet in gebruik is genomen opgesteld moet worden door een derde partij die ter zake deskundig is.
Er hoeft geen gebruik meer te worden gemaakt van een voorgeschreven model om aan te tonen dat het warmtenet voldoet aan artikel 46, tweede lid van de AGVV, maar de aanvrager kan hiervoor zelf een verklaring opstellen en laten controleren door een derde, deskundige partij (onderdeel b).
Op grond van het nieuwe onderdeel c moet worden opgegeven welk voordeel is genoten op basis van de Energie-investeringsaftrek (artikel 3.42 van de Wet inkomstenbelasting). Het is van belang om dit te weten omdat dit voordeel de subsidiabele investeringskosten verlaagd.
Ten slotte is onderdeel d toegevoegd aan het derde lid. Er wordt subsidie verstrekt voor de levering van warmte aan glastuinbouwondernemingen in een bepaald gebied, het projectgebied. Dit gebied is opgenomen in het projectplan. Als bij vaststelling blijkt dat niet al deze glastuinbouwondernemingen zijn aangesloten, dan voldoet het project op dat moment nog niet aan het projectplan. Om aan te tonen dat de subsidieontvanger wel het voornemen had om al deze ondernemingen aan te sluiten is het van belang om te weten dat hij ten minste een aanbod heeft gedaan aan deze ondernemingen om aangesloten te worden.
In bijlage 2.23.1 zijn enkele aanpassingen gedaan in onderdelen 1 en 2. Daarnaast is er een onderdeel aan deze bijlage toegevoegd. Deze wijzigingen worden hieronder toegelicht.
De eis dat een project een onrendabele top van 25% heeft is vervallen, maar artikel 23 onderdeel c van Kaderbesluit schrijft nog steeds voor dat aannemelijk wordt gemaakt dat een project zonder subsidie niet of met belangrijke vertraging zou worden uitgevoerd. Tegelijk schrijft onderdeel e van dit artikel voor dat een project economisch haalbaar moet zijn. De inleiding van onderdeel 1 beschrijft dit nieuwe doel van de exploitatieberekening en maakt tegelijk duidelijk dat geen van de gepresenteerde indicatoren op zichzelf een grond voor afwijzing zijn.
Naast de netto contante waarde, die eerder ook al onderdeel was van de exploitatieberekening, wordt er nu ook naar de terugverdientijd en de interne rentabiliteit van het project gevraagd. Deze extra indicatoren zijn nodig omdat de economische haalbaarheid van een project niet op slechts een enkele indicator beoordeeld kan worden. Deze drie indicatoren zijn gangbare indicatoren voor een business case en geven samen een goed beeld van de haalbaarheid van het project.
De rekenmethode van de netto contante waarde is gelijk gebleven, met slechts het verschil dat de investeringen voor gecombineerde onderdelen in de nieuwe methode moeten worden toegepast conform artikel 2.23.4, tweede lid. De exploitatieduur is aangepast van 15 jaar vanaf de startdatum naar 17 jaar vanaf de startdatum. Het streven was om de businesscase te berekenen met 15 jaar exploitatie van het warmtenet. In de praktijk begint de exploitatie meestal 2 jaar na de startdatum van het project. Om die reden is er 2 jaar aan de exploitatieduur toegevoegd. Daarnaast worden de uitgangspunten voor de inkomstenvariabelen niet langer door de regeling voorgeschreven. Het is aan de aanvrager om aan te geven of een variabele van toepassing is op het voorliggende project en wat de waarde van die variabele is. Deze mogelijkheid is ook toegevoegd aan de beschrijving van de variabelen.
Bij de uitgavevariabelen zijn beschrijvingen van de variabelen toegevoegd. De berekening voor kosten ten gevolge van warmteverlies is vereenvoudigd en sluit nu beter aan op de manier waarop warmtebedrijven hun warmteverlies communiceren. Ten slotte zijn de beschrijving van de berekening van de terugverdientijd en de interne rentabiliteit van het project toegevoegd.
De beschrijving van de aan te leveren afbakening is aangepast om aan te sluiten bij de begrippen zoals gebruikt in de Regeling. De vereisten aan de tekening bij punt 3 zijn aangepast in aansluiting op artikel 2.23.4, derde lid, zodat de uitsplitsing van de kosten van gecombineerde onderdelen herleidbaar is. Punt 5 is toegevoegd als onderdeel van de vereiste onderbouwing dat het te realiseren project toekomstbestendig is voor warmtelevering in 2040.
Het ontwerp van de aansluitingen van afnemers is niet langer vereist. Uit aanvragen in de vorige openstelling bleek dat het realiseren van de aansluiting geen risico vormt voor de realiseerbaarheid van het warmtenet. Voor de risico-inventarisatie wordt niet langer een apart document gevraagd, maar dit wordt nu gevraagd in artikel 2.23.9, tweede lid, onderdeel a, onder 8.
Dit onderdeel is nieuw toegevoegd. In dit onderdeel wordt gespecificeerd op welke wijze de subsidiabele investeringskosten dienen te worden aangeleverd door de aanvrager en wordt verduidelijkt op welke wijze deze kosten in mijlpalen dienen te worden onderverdeeld.
De Staatssecretaris van Landbouw, Visserij, Voedselzekerheid en Natuur, J.F. Rummenie
Verordening (EU) nr. 651/2014 van de Commissie van 17 juni 2014 waarbij bepaalde categorieën steun op grond van de artikelen 107 en 108 van het Verdrag met de interne markt verenigbaar worden verklaard (PbEU 2014, L 187).
Berenschot heeft in maart 2023 het rapport ‘Subsidie-instrumenten warmtenetten glastuinbouw’ opgeleverd. Dit rapport is gebruikt voor de berekening van de onrendabele top van warmtenetten gericht op de glastuinbouw en bij het bepalen van parameters van de onderhavige regeling.
Kopieer de link naar uw clipboard
https://zoek.officielebekendmakingen.nl/stcrt-2024-41560.html
De hier aangeboden pdf-bestanden van het Staatsblad, Staatscourant, Tractatenblad, provinciaal blad, gemeenteblad, waterschapsblad en blad gemeenschappelijke regeling vormen de formele bekendmakingen in de zin van de Bekendmakingswet en de Rijkswet goedkeuring en bekendmaking verdragen voor zover ze na 1 juli 2009 zijn uitgegeven. Voor pdf-publicaties van vóór deze datum geldt dat alleen de in papieren vorm uitgegeven bladen formele status hebben; de hier aangeboden elektronische versies daarvan worden bij wijze van service aangeboden.