Staatscourant van het Koninkrijk der Nederlanden
| Datum publicatie | Organisatie | Jaargang en nummer | Rubriek | Datum ondertekening |
|---|---|---|---|---|
| Immigratie- en Naturalisatiedienst (IND) | Staatscourant 2021, 14606 | Besluiten van algemene strekking |
Zoals vergunningen, bouwplannen en lokale regelgeving.
Adressen en contactpersonen van overheidsorganisaties.
U bent hier:
| Datum publicatie | Organisatie | Jaargang en nummer | Rubriek | Datum ondertekening |
|---|---|---|---|---|
| Immigratie- en Naturalisatiedienst (IND) | Staatscourant 2021, 14606 | Besluiten van algemene strekking |
De Staatssecretaris van Justitie en Veiligheid,
Gelet op de Rijkswet op het Nederlanderschap, het Besluit verkrijging en verlies Nederlanderschap, de Regeling verkrijging en verlies Nederlanderschap;
Besluit:
De Handleiding voor de toepassing van de Rijkswet op het Nederlanderschap 2003 toegespitst op het gebruik in de openbare lichamen Bonaire, Sint Eustatius en Saba wordt als volgt gewijzigd:
A
14-1 Paragraaf 2.4 Toelichting ad artikel 14, eerste lid RWN komt te luiden:
Hebben de frauduleuze handelingen betrekking op de kinderen die destijds hebben gedeeld in de verkrijging of verlening van het Nederlanderschap, dan kan ook hun Nederlanderschap worden ingetrokken. Met zorgvuldigheid zal moeten worden nagegaan of ook ten aanzien van deze kinderen tot intrekking moet worden overgegaan. Voor elk van de kinderen die door mede-optie of medeverlening Nederlander zijn geworden, moet worden afgewogen of de individuele belangen van het kind de handhaving van het Nederlanderschap vereisen. Een dergelijke afweging is, gelet op het Verdrag tot beperking der staatloosheid, het Verdrag van de rechten van het kind en het Europese Nationaliteitsverdrag, in het bijzonder dan vereist, als het kind door de intrekking staatloos zou worden. Staatloosheid van het kind zou een disproportioneel gevolg kunnen zijn van het handelen van de ouder en zich niet verhouden tot het recht van een kind op een nationaliteit.
Het besluit tot intrekking heeft voor de kinderen alleen gevolgen indien dat expliciet is vermeld in het intrekkingsbesluit. Is in het intrekkingsbesluit niet opgenomen dat de intrekking ook kinderen betreft, dan hebben zij het Nederlanderschap behouden, aangezien uit artikel 16 en 16A RWN geen verlies voor hen voortvloeit.
Van kinderen die nadat een ouder het Nederlanderschap verkregen heeft, geboren zijn en die op grond van artikel 3, eerste lid, van de Rijkswet hun Nederlanderschap aan hun bij de intrekking betrokken ouder ontlenen, zal steeds moeten worden nagegaan of zij door de intrekking van het Nederlanderschap van deze ouder het Nederlanderschap verliezen. Dit geldt ook voor kinderen die, nadat een ouder het Nederlanderschap verkregen heeft, het Nederlanderschap van rechtswege hebben verkregen op grond van artikel 4, eerste, tweede, derde of vierde lid, van de Rijkswet en het Nederlanderschap aan hun bij de intrekking betrokken ouder ontlenen. Aangezien het Nederlanderschap van deze ouder met terugwerkende kracht wordt ingetrokken, kan dit betekenen dat de ouder ten tijde van de geboorte, vaststelling vaderschap, erkenning of wettiging, van het kind geen Nederlander was en het kind geen Nederlander is geworden op grond van artikel 3, eerste lid, RWN of artikel 4, eerste, tweede, derde of vierde lid, RWN. In dat geval moet wel beoordeeld worden of het kind op andere verkrijgingsgronden een beroep kan doen, zoals bijvoorbeeld het geval zal zijn als het kind een beroep kan doen op artikel 3, derde lid, van de Rijkswet (toelichting bij het BVVN, Stb. 2002, 231).
Voorbeeld
Kenny is op 19 juni 1995 genaturaliseerd. Zijn minderjarige kinderen Lloyd en Quito zijn meegenaturaliseerd. In 2003 wordt zoon Antoine geboren. Zoon Antoine verkrijgt bij geboorte het Nederlanderschap ingevolge artikel 3, eerste lid, RWN.
In 2004 wordt vastgesteld dat Kenny in het kader van de naturalisatieprocedure bedrog heeft gepleegd en dat de fraude hem kan worden toegerekend. Het bedrog heeft ook betrekking gehad op de meegenaturaliseerde kinderen Lloyd en Quito. Op 6 augustus 2004 wordt het aan Kenny, Lloyd en Quito verleende Nederlanderschap ingetrokken. De gevolgen van de intrekking zijn: Kenny, Lloyd en Quito hebben hun Nederlanderschap verloren. Zij moeten echter wel geacht worden van 19 juni 1995 tot 1 april 2003 Nederlander te zijn geweest, aangezien ingevolge artikel II RRWN de intrekking niet verder terugwerkt dan tot het tijdstip van inwerkingtreding van die wet, indien de naturalisatie vóór dat tijdstip tot stand is gekomen.
Kenny, Lloyd en Quito zijn dus wel oud-Nederlanders, maar ingevolge artikel II, tweede lid, RRWN kunnen zij geen optie uitbrengen op grond van artikel 6, eerste lid, aanhef en onder f, RWN en ook niet in aanmerking komen voor een versnelde naturalisatie als bedoeld in artikel 8, tweede lid, RWN, eerste zinsnede.
Voor E zal moeten worden nagegaan of hij door de intrekking van het Nederlanderschap van B het Nederlanderschap destijds op een andere rechtsgrond dan via B heeft verkregen, nu B geacht moet worden dit voor de periode na 1 april 2003 nooit verkregen te hebben. Bezien moet dus worden of E op andere gronden het Nederlanderschap mogelijk heeft verkregen.
B
14-6 Paragraaf 2 Toelichting ad artikel 14, zesde lid RWN komt te luiden:
Ingevolge overgangsbepaling artikel III RRWN 2000 heeft artikel 14, zesde lid, RWN, zoals die bepaling luidt sedert 1 april 2003, terugwerkende kracht tot 1 januari 1985. Dit is onder meer van belang in verband met het gestelde in de tweede en derde zin van het voormalige tweede lid (tot 2010, en daarna het vierde lid en vanaf 2017 het zesde lid van artikel 14 RWN). Daar is bepaald, dat geen verlies van het Nederlanderschap intreedt indien de andere ouder Nederlander is op het tijdstip van het vervallen van de familierechtelijke betrekking of dat was ten tijde van zijn overlijden en dat evenmin verlies intreedt indien het kind het Nederlanderschap ook ontleent aan artikel 3, derde lid, RWN of aan artikel 2, aanhef en onder a, WNI. Deze uitzonderingen op de hoofdregel van artikel 14, zesde lid, RWN zijn pas sedert 1 april 2003 in dat artikel van de RWN opgenomen. Echter, als gevolg van het bepaalde bij overgangsbepaling artikel III RRWN moet, wat betreft de toepassing van onderhavig artikellid ervan worden uitgegaan dat bedoelde uitzonderingen reeds gelden vanaf 1 januari 1985. Zou dus vóór 1 april 2003 ten aanzien van een minderjarige zijn geconcludeerd tot verlies van het Nederlanderschap door het vervallen van de familierechtelijke betrekking waaraan het werd ontleend (ingevolge bijvoorbeeld artikel 3, eerste lid, RWN), zulks ondanks bijvoorbeeld dat de minderjarige het Nederlanderschap tevens ontleende aan artikel 3, derde lid, RWN, dan moet die persoon thans geacht worden het Nederlanderschap nimmer te hebben verloren.
Verder is sedert 1 april 2003 in onderhavig artikellid tot uitdrukking gebracht dat de betreffende verliesbepaling alleen van toepassing is op minderjarigen. Ook dat moet ingevolge overgangsbepaling artikel III RRWN geacht worden te gelden sedert 1 januari 1985. Zou dus vóór 1 april 2003 ten aanzien van een meerderjarige, op grond van het toen geldende artikel 14, eerste lid, RWN, zijn geconcludeerd tot verlies van het Nederlanderschap door het als gevolg van bijvoorbeeld herroeping van adoptie vervallen van de familierechtelijke betrekking waaraan het werd ontleend, dan moet die persoon thans geacht worden het Nederlanderschap nimmer te hebben verloren.
N.B. Tot 1 april 2003 gold een verliesgrond, in hoofdlijnen overeenkomend met het huidige artikel 14, zesde lid, RWN. Die verliesgrond was opgenomen in het eerste lid van het oude artikel 14 RWN en tevens van toepassing op meerderjarigen. Voorwaarde was dat het Nederlanderschap moest worden ontleend aan artikel 3, 4 of 5 RWN. De vraag die zich bij de toepassing van die bepaling voordeed was: wat rechtens indien de familierechtelijke betrekking is komen te vervallen en het Nederlanderschap wordt ontleend aan de Wet op het Nederlanderschap en het ingezetenschap van 1892? Uit de uitspraak van de Rechtbank ‘s-Gravenhage van 16 april 1999, nr. 98 637, blijkt dat het oude artikel 14, eerste lid, RWN naar de letter dient te worden toegepast. Dit heeft tot gevolg dat in die gevallen waarin de familierechtelijke betrekking is komen te vervallen en het Nederlanderschap wordt ontleend aan de WNI, betrokkene niet geacht wordt het Nederlanderschap door het vervallen van de betrekking te hebben verloren.
Voorbeeld 1
A, geboren in 1990, is het kind van een Nederlandse man en een Franse vrouw. A ontleent het Nederlanderschap aan uitsluitend artikel 3, eerste lid, RWN en is tevens van Franse nationaliteit.
Bij beschikking van de Rechtbank Rotterdam van 7 januari 2004 wordt de gegrondverklaring uitgesproken tot ontkenning van het vaderschap ten aanzien van de minderjarige A. Tegen de uitspraak wordt geen hoger beroep ingesteld. Ingevolge artikel 1:202, eerste lid, BW vervalt de familierechtelijke betrekking tussen de Nederlandse man en A op het moment dat de beschikking van 7 januari 2004 in kracht van gewijsde is gegaan.
Derhalve verliest de minderjarige A op 8 april 2004 het Nederlanderschap op grond van het toen geldende artikel 14, tweede lid RWN, (dit artikellid, is in 2010 vernummerd tot het vierde lid RWN en vervolgens in 2017 tot het zesde lid RWN). Het verlies kan niet worden voorkomen; immers, de moeder is niet van Nederlandse nationaliteit, A ontleent het Nederlanderschap niet tevens aan artikel 3, derde lid, RWN, en hij zal door het verlies van het Nederlanderschap ook niet staatloos worden.
Voorbeeld 2
B, minderjarig kind van Belgische ouders, ontleent het Nederlanderschap via de vader aan artikel 3, derde lid, RWN en is tevens van Belgische nationaliteit.
Bij beschikking van de Rechtbank ’s-Gravenhage van 5 maart 2011 wordt de gegrondverklaring uitgesproken tot ontkenning van het vaderschap ten aanzien van B. Tegen de uitspraak wordt hoger beroep ingesteld. De uitspraak in dat beroep volgt op 9 juli 2011 en bij die uitspraak wordt de beschikking van de rechtbank bevestigd. Beroep in cassatie wordt niet ingesteld.
De minderjarige B verliest met ingang van 10 oktober 2011 het Nederlanderschap op grond van artikel 14, vierde lid RWN. B wordt daardoor niet staatloos, omdat hij de Belgische nationaliteit bezit. Weliswaar kan verlies van het Nederlanderschap niet intreden indien betrokkene het Nederlanderschap tevens ontleent aan artikel 3, derde lid, RWN, maar B ontleent het Nederlanderschap niet óók aan artikel 3, derde lid, RWN. Hij bezat het via de vader uitsluitend op grond van die bepaling.
Zou B het Nederlanderschap tevens via de moeder aan artikel 3, derde lid, RWN ontlenen, dan zou voor hem geen verlies intreden. De familierechtelijke betrekking met de moeder is immers niet vervallen.
Voorbeeld 3
C is in 1999 geboren in Australië als dochter van een Australische vrouw. In 2000 is C erkend door een Nederlander, waardoor zij het Nederlanderschap verkreeg op grond van het toen geldende artikel 4 RWN. Sindsdien is C van Nederlandse en Australische nationaliteit. Het Nederlanderschap ontleent zij uitsluitend aan het toen geldende artikel 4 RWN. In 2001 verkrijgt de moeder van C het Nederlanderschap door naturalisatie. Na het overlijden van de Nederlandse moeder wordt bij beschikking van de Rechtbank Amsterdam van 7 april 2004 de erkenning van C vernietigd. Tegen de uitspraak wordt geen hoger beroep ingesteld.
In principe zou dit voor de minderjarige C verlies van het Nederlanderschap meebrengen, en wel met ingang van 8 juli 2004. Echter, in dit geval treedt geen verlies in, omdat de andere ouder ten tijde van haar overlijden Nederlander was.
Voorbeeld 4
D ontleent bij haar geboorte in 2006 de Dominicaanse nationaliteit aan haar ongehuwde moeder. Op 11 maart 2012 wordt zij erkend door een Nederlandse man. Zij verkrijgt daardoor het Nederlanderschap op grond van artikel 4 lid 2 RWN en behoudt de Dominicaanse nationaliteit. Haar moeder vestigt zich kort daarna met D in Nederland en dient op 20 oktober 2017, na vijf jaar toelating en hoofdverblijf, een verzoek om naturalisatie in. In april 2018 wordt aan haar het Nederlanderschap verleend. De Nederlandse man verzoekt de rechtbank in mei 2018 zijn erkenning van D te vernietigen. De rechtbank gaat daartoe over bij beschikking van 30 september 2018. Daartegen wordt geen hoger beroep ingesteld, zodat de beschikking op 31 december 2018 in kracht van gewijsde gaat. Hoewel uit artikel 1:206 lid 1 BW volgt dat de erkenning wordt geacht nimmer rechts gevolg te hebben gehad, verliest D het Nederlanderschap niet omdat haar moeder op 31 december 2018 Nederlander was. Dat de moeder op 11 maart 2012 nog geen Nederlander was, is niet van belang.
C
Model 1.14-1a HRWN-BES wordt toegevoegd en komt te luiden als aangegeven in bijlage 1.
D
Model 1.30 HRWN-BES is gewijzigd en komt te luiden als aangegeven in bijlage 2.
E
Model 2.3 HRWN-BES is gewijzigd en komt te luiden als aangegeven in bijlage 3.
Dit besluit zal (met de toelichting) in de Staatscourant worden geplaatst.
’s-Gravenhage, 22 maart 2021
De Staatssecretaris van Justitie en Veiligheid, namens deze, J.W.H.M. Beaujean directeur-generaal Migratie
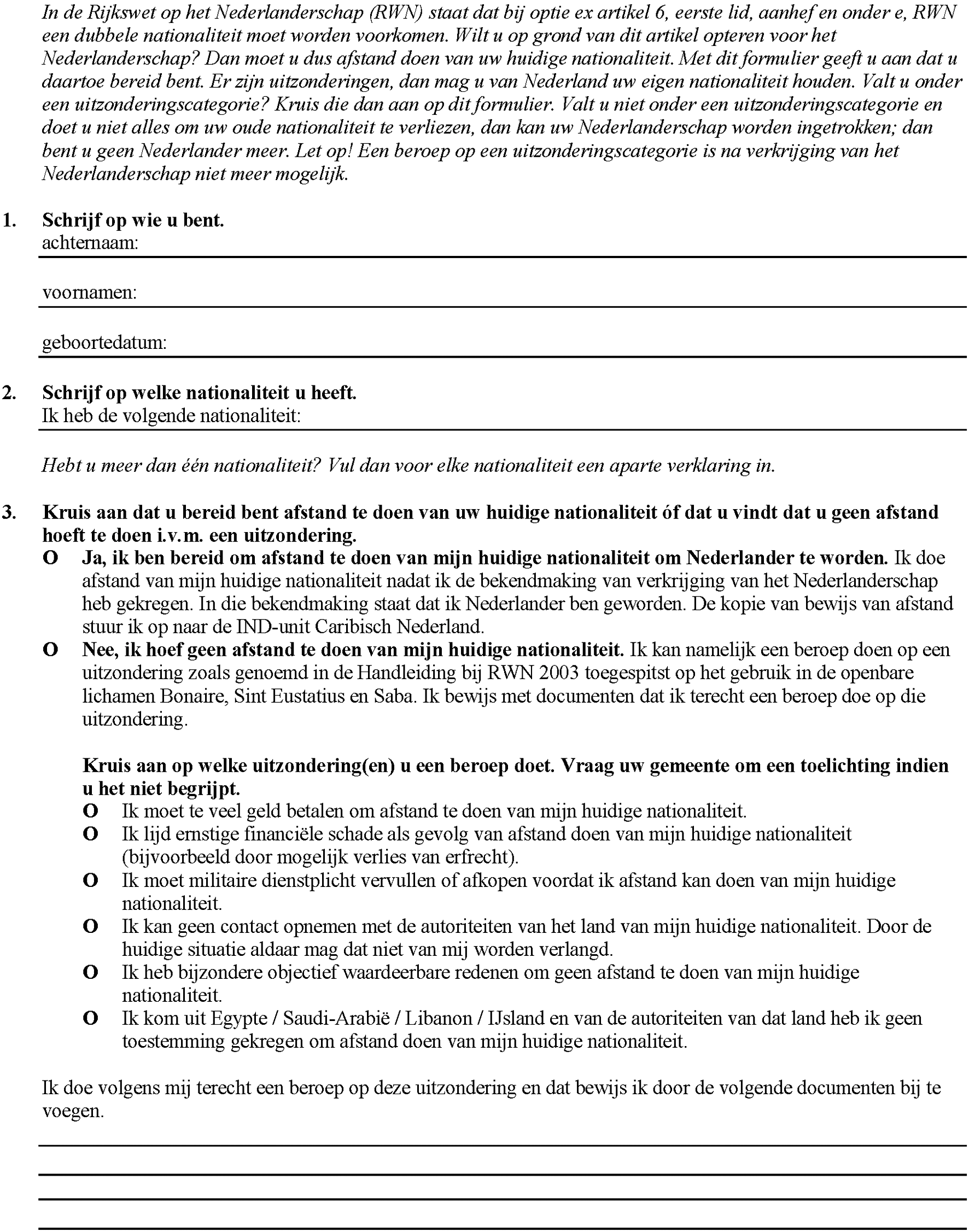
Model 1.14-1a HRWN-BES:
Bereidheidsverklaring tot afstand huidige nationaliteit bij het verzoek tot verkrijging
van het Nederlanderschap door optie ex artikel 6, eerste lid, aanhef en onder e, RWN

Model 2.3 HRWN-BES: Verklaring verblijf en gedrag
(invullen (mede)verzoekers 16 jaar en ouder)

Bij intrekking van het Nederlanderschap op grond van artikel 14 lid 1 RWN wordt beoordeeld of eventuele kinderen hierdoor ook het Nederlanderschap verliezen. De handleiding specificeert op dit moment dat deze beoordeling plaatsvindt voor kinderen die het Nederlanderschap van rechtswege hebben verkregen door geboorte. Dit is echter van overeenkomstige toepassing op kinderen die het Nederlanderschap van rechtswege hebben verkregen door erkenning of wettiging.
In de praktijk bestaat onduidelijkheid over de vraag hoe de woorden ‘op het tijdstip van het vervallen van die betrekking’ in art 14 lid 6 RWN zich verhouden tot het tijdstip waarop van belang is of de moeder Nederlander is. Gaat het om het moment waarop met terugwerkende kracht de familierechtelijke betrekking wordt geacht nooit te hebben bestaan of het moment waarop de beschikking tot vernietiging van de erkenning in kracht van gewijsde gaat? Hoewel dat uit voorbeeld 1 (betreft ontkenning vaderschap) kan worden afgeleid, kan elke onduidelijkheid hierover (ook t.a.v. de vernietiging van een erkenning) met bovenstaand voorbeeld worden weggenomen.
Dit model 1.14-1a HRWN-BES betreft de bereidheidsverklaring tot het doen van afstand van de huidige nationaliteit bij het verzoek tot verkrijging van het Nederlanderschap door optie ex artikel 6, eerste lid, aanhef en onder e, RWN. Abusievelijk is dit modelformulier nimmer opgenomen in de Handleiding Rijkswet op het Nederlanderschap 2003 toegespitst op het gebruik in de openbare lichamen Bonaire, Sint Eustatius en Saba. Middels dit WBN-BES wordt het modelformulier 1.14-1a HRWN-BES toegevoegd.
In model 1.30 HRWN-BES staat nog Justitiële Documentatiedienst. Dit moet Justitiële Informatiedienst zijn. Middels dit WBN-BES is het modelformulier hierop aangepast. Voorts zijn tekstuele wijzigingen aangebracht.
In de toelichting bij artikel 9, lid 1 aanhef en onder a, RWN, paragraaf 5 is onder meer opgenomen dat een aanvraag wordt afgewezen als de aanvrager een bijkomende straf zoals bedoeld in artikel 9, eerste lid, onder b, Wetboek van Strafrecht opgelegd heeft gekregen en/of heeft uitgevoerd.
In formulier 2.3 HRWN-BES wordt limitatief opgesomd onder welke omstandigheden iemand niet in aanmerking komt voor verlening of verkrijging van het Nederlanderschap. De bijkomende straffen zoals bedoeld in artikel 9, eerste lid, onder b, Wetboek van Strafrecht is niet opgenomen in deze limitatieve opsomming. Middels dit WBN-BES is formulier 2.3 HRWN-BES hierop aangepast.
De Staatssecretaris van Justitie en Veiligheid, namens deze, J.W.H.M. Beaujean directeur-generaal Migratie
Kopieer de link naar uw clipboard
https://zoek.officielebekendmakingen.nl/stcrt-2021-14606.html
De hier aangeboden pdf-bestanden van het Staatsblad, Staatscourant, Tractatenblad, provinciaal blad, gemeenteblad, waterschapsblad en blad gemeenschappelijke regeling vormen de formele bekendmakingen in de zin van de Bekendmakingswet en de Rijkswet goedkeuring en bekendmaking verdragen voor zover ze na 1 juli 2009 zijn uitgegeven. Voor pdf-publicaties van vóór deze datum geldt dat alleen de in papieren vorm uitgegeven bladen formele status hebben; de hier aangeboden elektronische versies daarvan worden bij wijze van service aangeboden.