Staatscourant van het Koninkrijk der Nederlanden
| Datum publicatie | Organisatie | Jaargang en nummer | Rubriek |
|---|---|---|---|
| Ministerie van Binnenlandse Zaken en Koninkrijksrelaties | Staatscourant 2025, 19331 | algemeen verbindend voorschrift (ministeriële regeling) |
Zoals vergunningen, bouwplannen en lokale regelgeving.
Adressen en contactpersonen van overheidsorganisaties.
U bent hier:
| Datum publicatie | Organisatie | Jaargang en nummer | Rubriek |
|---|---|---|---|
| Ministerie van Binnenlandse Zaken en Koninkrijksrelaties | Staatscourant 2025, 19331 | algemeen verbindend voorschrift (ministeriële regeling) |
De Minister van Binnenlandse Zaken en Koninkrijksrelaties,
Gelet op de artikelen Na 31, derde lid, O 7, derde lid, en O 20, derde lid van de Kieswet;
Besluit:
De Kiesregeling wordt als volgt gewijzigd:
A
Artikel 2a, alsmede bijlage 2 bij dat artikel, vervalt.
B
Bijlage 1 bij artikel 1 van de Kiesregeling wordt als volgt gewijzigd:
1. Model Na 31-1 wordt als volgt gewijzigd:
Het model wordt vervangen door het model dat is opgenomen in onderdeel A van de bijlage bij deze regeling.
2. Model Na 31-2 wordt als volgt gewijzigd:
Het model wordt vervangen door het model dat is opgenomen in onderdeel B van de bijlage bij deze regeling.
3. Model O 7 wordt als volgt gewijzigd:
Het model wordt vervangen door het model dat is opgenomen in onderdeel C van de bijlage bij deze regeling.
4. Model O 20 wordt als volgt gewijzigd:
Het model wordt vervangen door het model dat is opgenomen in onderdeel D van de bijlage bij deze regeling.
Deze regeling treedt in werking op het tijdstip waarop de Wet programmatuur verkiezingsuitslagen (Stb. 2024, 92) in werking treedt.
Deze regeling zal met de toelichting in de Staatscourant worden geplaatst.
De Minister van Binnenlandse Zaken en Koninkrijksrelaties, J.J.M. Uitermark
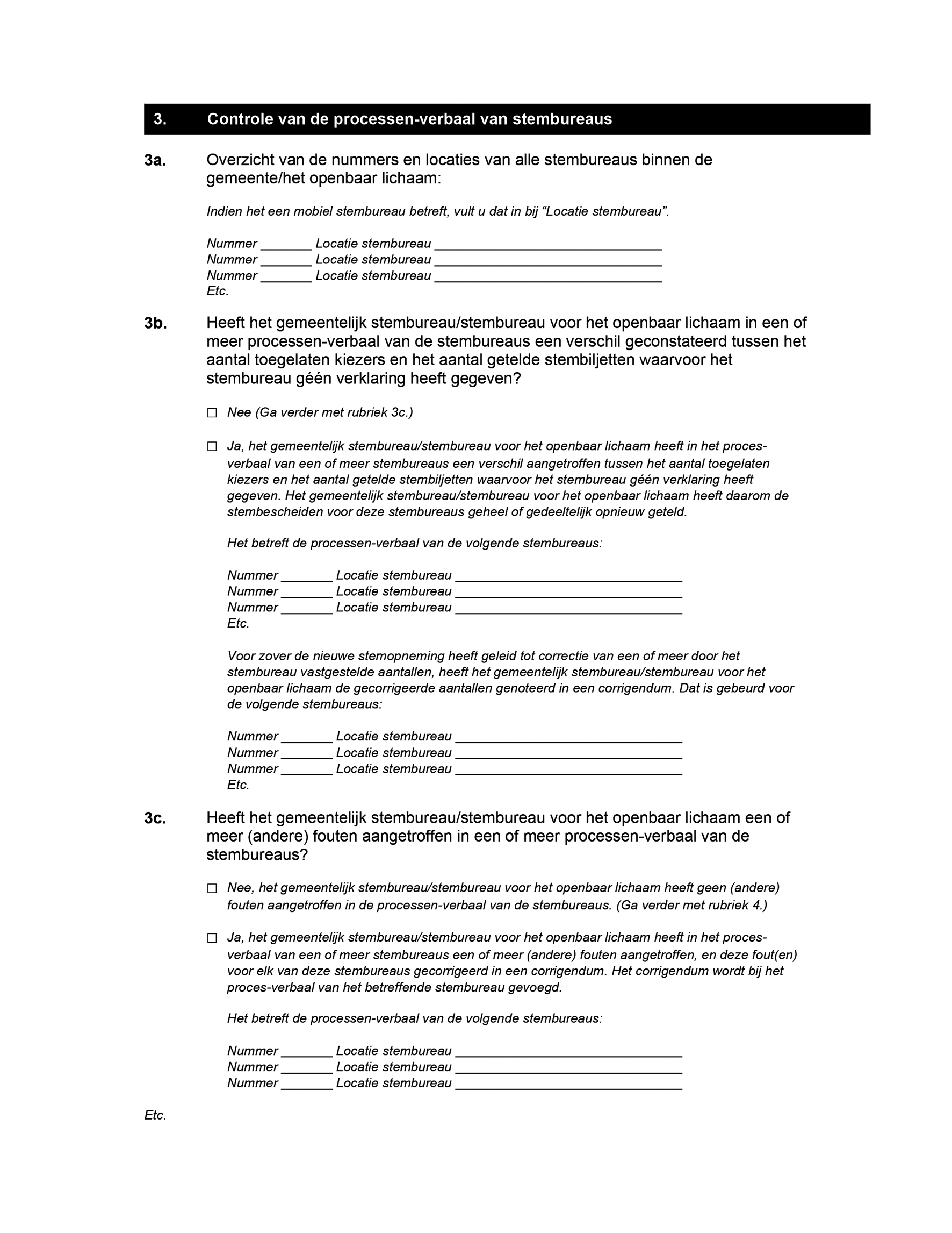
Met deze regeling worden in de Kiesregeling vier modellen gewijzigd. De aanleiding hiervoor is de recente wijziging van de Kieswet. Het gaat om de Wet programmatuur verkiezingsuitslagen (Stb. 2024, 92). Op grond van de hierdoor gewijzigde Kieswet (Na 27, tweede lid, Na 31, derde lid, O 6, tweede lid, O 7, derde lid, O 17, tweede lid, O 20, derde lid) moeten het gemeentelijk stembureau, het hoofdstembureau en het nationaal briefstembureau de met de programmatuur gegenereerde uitkomst controleren aan de hand van een controleprotocol. Het controleprotocol wordt opgesteld door de Kiesraad. De uitkomst van dit controleprotocol moet worden vastgelegd in het desbetreffende proces-verbaal. Met deze regeling worden de processen-verbaal (modellen) uitgebreid met een vak waarin de uitkomst van de controle wordt vermeld. Het gaat hierbij om model Na 31-1 voor het gemeentelijk stembureau waar gebruik wordt gemaakt van de decentrale stemopname (DSO), model Na 31-2 voor het gemeentelijk stembureau waar gebruik wordt gemaakt van de centrale stemopname (CSO), model O 7 voor het hoofdstembureau en model O 20 voor het nationaal briefstembureau.
Bij het model voor het gemeentelijk stembureau waar gebruik wordt gemaakt van DSO (31-1) of CSO (31-2) zijn in respectievelijk rubriek 7 en 8 vakken toegevoegd voor de uitkomst van de controle. Er moet hier worden aangekruist of er wel of geen verschillen zijn geconstateerd na het uitvoeren van de controle. Indien er verschillen zijn geconstateerd moet er contact worden opgenomen met de Kiesraad. De uitkomst van het contact met de Kiesraad moet worden genoteerd in het proces-verbaal.
Bij het model voor het hoofdstembureau is bij rubriek 4 het vak voor de uitkomst van de controle toegevoegd. Er moet hier worden aangekruist of er wel of geen verschillen zijn geconstateerd na het uitvoeren van de controle. Indien er verschillen zijn geconstateerd moet er contact worden opgenomen met de Kiesraad. De uitkomst van het contact met de Kiesraad moet worden genoteerd op het proces-verbaal. Hierna moet worden aangekruist of er voor de invoer van de uitslagen van de gemeentelijk stembureaus gebruik is gemaakt van bestanden die zijn uitgewisseld via het platform ‘Teluitslagen’. Indien hier geen gebruik van is gemaakt moet worden genoteerd voor welke gemeenten de resultaten van de papieren processen-verbaal twee keer handmatig zijn ingevoerd in de uitslagensoftware. Vervolgens moet worden genoteerd of gemeentelijk stembureaus verschillen hebben geconstateerd bij de uitvoering van de controle, in welke gemeenten dit geconstateerd is en wat de gemeentelijk stembureaus hierover hebben opgeschreven.
Bij het model voor het nationaal briefstembureau is bij rubriek 7 het vak voor de uitkomst van de controle toegevoegd. Er moet hier worden aangekruist of er wel of geen verschillen zijn geconstateerd na het uitvoeren van de controle. Indien er verschillen zijn geconstateerd moet er contact worden opgenomen met de Kiesraad. De uitkomst van het contact met de Kiesraad moet worden genoteerd op het proces-verbaal.
Daarnaast vervalt artikel 2a en de bijbehorende bijlage, omdat de daarin geregelde vereisten aan de uitslagprogrammatuur niet langer op het niveau van de Kiesregeling worden vastgelegd, maar op het niveau van het Kiesbesluit.
Omdat de Wet programmatuur verkiezingsuitslagen de grondslag voor deze ministeriële regeling biedt, treedt deze ministeriële regeling in werking op het moment dat deze wet in werking treedt.
De Minister van Binnenlandse Zaken en Koninkrijksrelaties, J.J.M. Uitermark
Kopieer de link naar uw clipboard
https://zoek.officielebekendmakingen.nl/stcrt-2025-19331.html
De hier aangeboden pdf-bestanden van het Staatsblad, Staatscourant, Tractatenblad, provinciaal blad, gemeenteblad, waterschapsblad en blad gemeenschappelijke regeling vormen de formele bekendmakingen in de zin van de Bekendmakingswet en de Rijkswet goedkeuring en bekendmaking verdragen voor zover ze na 1 juli 2009 zijn uitgegeven. Voor pdf-publicaties van vóór deze datum geldt dat alleen de in papieren vorm uitgegeven bladen formele status hebben; de hier aangeboden elektronische versies daarvan worden bij wijze van service aangeboden.