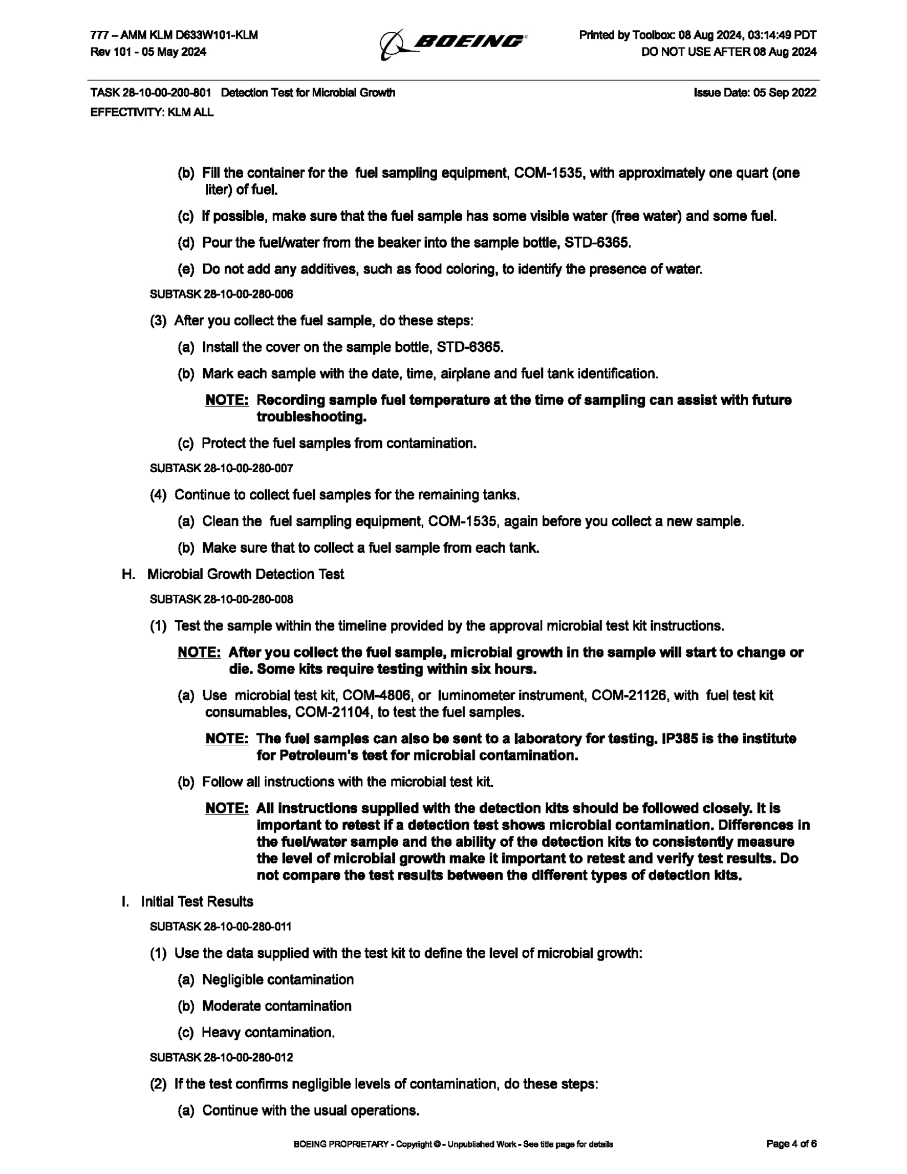
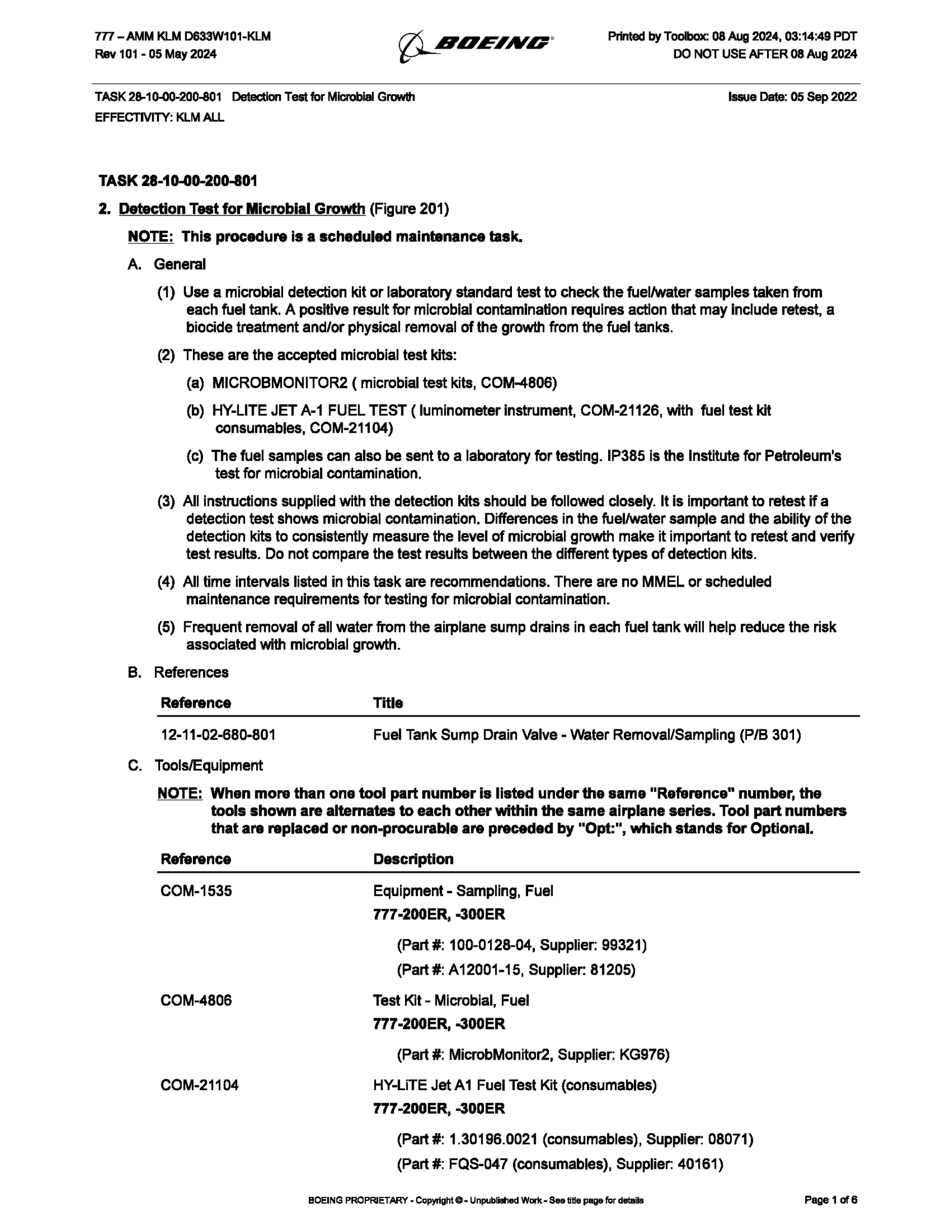
Staatscourant van het Koninkrijk der Nederlanden
| Datum publicatie | Organisatie | Jaargang en nummer | Rubriek |
|---|---|---|---|
| Ministerie van Infrastructuur en Waterstaat | Staatscourant 2024, 31360 | ander besluit van algemene strekking |
Zoals vergunningen, bouwplannen en lokale regelgeving.
Adressen en contactpersonen van overheidsorganisaties.
U bent hier:
| Datum publicatie | Organisatie | Jaargang en nummer | Rubriek |
|---|---|---|---|
| Ministerie van Infrastructuur en Waterstaat | Staatscourant 2024, 31360 | ander besluit van algemene strekking |
IENW/BSK-2024/215966
De Staatssecretaris van Infrastructuur en Waterstaat;
Handelende in overeenstemming met de Minister van Landbouw, Visserij, Voedselkwaliteit en Natuur;
Gelezen het verzoek van Koninklijke Luchtvaart Maatschappij op 27 mei 2024 tot vrijstelling van het verbod op het gebruik van de biocide Biobor JF in kerosine in vliegtuigen, ten behoeve van het voorkomen of het bestrijden van microbiologische verontreiniging in brandstoftanks en brandstofsystemen van vliegtuigen;
Gelet op artikel 46, eerste lid, van de Wet gewasbeschermingsmiddelen en biociden en artikel 55 van Verordening (EU) nr. 528/2012;
BESLUIT:
Ten behoeve van het voorkomen of het bestrijden van microbiologische verontreiniging in brandstoftanks en brandstofsystemen van vliegtuigen, wordt op grond van:
a) artikel 46, eerste lid, van de Wet gewasbeschermingsmiddelen en biociden vrijstelling verleend van het verbod, bedoeld in artikel 43, eerste lid, van de Wet gewasbeschermingsmiddelen en biociden, om in strijd te handelen met artikel 17, eerste lid, van Verordening (EU) nr. 528/2012, voor het onder voorwaarden op de Nederlandse markt aanbieden en gebruiken van de biocide Biobor JF, en
b) artikel 55 van Verordening (EU) nr. 528/2012 toegestaan dat de in het onderdeel a genoemde biocide op de Nederlandse markt wordt aangeboden en gebruikt.
Aan de vrijstelling en toestemming, bedoeld in artikel 1, onderdelen a onderscheidenlijk b, zijn de in de bijlage bij dit besluit opgenomen beperkingen en voorschriften verbonden.
Bezwaar
Op grond van de Algemene wet bestuursrecht kunnen belanghebbenden een bezwaarschrift indienen tegen dit besluit binnen zes weken na de dag waarop dit is bekendgemaakt. Het bezwaarschrift moet worden gericht aan de Staatssecretaris van Infrastructuur en Waterstaat, ter attentie van Hoofddirectie Bestuurlijke en Juridische Zaken, afdeling Algemeen Bestuurlijk-Juridische Zaken, postbus 20901, 2500 EX Den Haag.
Het bezwaarschrift dient te zijn ondertekend en ten minste te bevatten:
a. naam en adres van de indiener;
b. de dagtekening;
c. een omschrijving van het besluit waartegen het bezwaarschrift zich richt (datum en nummer of kenmerk);
d. een opgave van de redenen waarom men zich met het besluit niet kan verenigen;
e. zo mogelijk een afschrift van het besluit waartegen het bezwaarschrift zich richt.
Het niet voldoen aan deze eisen kan leiden tot niet-ontvankelijkheid van het bezwaarschrift.
Een bezwaarschrift kan uitsluitend per gewone post en niet per e-mail worden ingediend. Machtigt u iemand om namens u bezwaar te maken? Stuur dan ook een kopie van de machtiging mee. Bij indiening van een bezwaarschrift namens een rechtspersoon, dient u documenten mee te sturen (origineel uittreksel uit het handelsregister en/of een kopie van de statuten van de rechtspersoon) waaruit blijkt dat u bevoegd bent namens de rechtspersoon op te treden.
Het biocide Biobor JF kan in Nederland gebruikt worden als toevoeging aan brandstof van vliegtuigen als er middelmatige of hoge microbiologische verontreiniging wordt vastgesteld zoals beschreven in de procedure van de Original Equipment Manufacturer (zie bijlage), onder de volgende voorwaarden:
• Uitsluitend professioneel gebruik
• Draag beschermende handschoenen en kleding en oogbescherming.
• Om de blootstelling zoveel mogelijk te reduceren wordt Biobor JF met voorkeur toegevoegd met behulp van een (automatisch) doseersysteem.
• Bij handmatige toevoeging van Biobor JF moet naftaleen in de ademzone van de operator gemeten worden (i.v.m. publieke grenswaarde van 50 mg/m3 8h TGG) om te kunnen bepalen of er voldoende ventilatie is.
• Adembescherming (EN 149) moet gebruikt worden.
De directie Luchtvaart van het Ministerie van Infrastructuur en Waterstaat heeft in 2020 twee keer een aanvraag ingediend voor het gebruik van de biocide Biobor JF. Deze biocide is niet door het College voor de toelating van gewasbeschermingsmiddelen en biociden toegelaten tot de Nederlandse markt en mag daarom -tenzij de staatssecretaris een zogenoemde vrijstelling verleent- niet worden gebruikt. De aanvraag betrof dan ook een verzoek om een vrijstelling te verlenen.
Een vierde vrijstellingsbesluit, aangevraagd door de Koninklijke Luchtvaart Maatschappij, gold van 3 maart 2023 tot en met 3 september 2024. Thans verzoekt KLM om een nieuwe vrijstelling voor het gebruik van de biocide Biobor JF.
Volgens artikel 55, eerste lid van de Biocidenverordening kan ‘een bevoegde autoriteit voor een periode van ten hoogste 180 dagen toestaan dat een biocide dat niet aan de in deze verordening vastgelegde voorwaarden voor toelating voldoet, op de markt wordt aangeboden of gebruikt voor een beperkt en gecontroleerd gebruik, onder toezicht van de bevoegde autoriteit, indien die maatregel noodzakelijk is wegens een niet op andere wijze te bestrijden gevaar voor de volksgezondheid, de gezondheid van dieren of het milieu.’ De hierboven genoemde periode kan na toestemming van de Europese Commissie worden verlengd, voor een periode van ten hoogste 550 dagen. Met deze maatregel voor zogenoemde noodsituaties wordt afgeweken van de hoofdregel (artikel 17, eerste lid Biocdenverordening) dat alleen biociden mogen worden gebruikt, die door het College voor de toelating van gewasbeschermingsmiddelen en biociden (verder: Ctgb) zijn toegelaten tot de Nederlandse markt.
Artikel 46, eerste lid van de Wet gewasbeschermingsmiddelen en biociden bepaalt dat ‘Onze Minister’, in dit geval de Staatssecretaris van Infrastructuur en Waterstaat, de gevraagde ‘vrijstelling’ van het verbod kan verlenen.
Biobor JF is een biocide die wordt gebruikt voor het voorkomen en bestrijden van microbiologische verontreiniging van brandstoftanks en brandstofsystemen van vliegtuigen. Microbiologische groei kan zich ontwikkelen in brandstoftanks van vliegtuigen, vooral in de water-brandstofinterface omdat micro-organismen water kunnen gebruiken voor zuurstof en brandstof kunnen gebruiken voor voeding. Microbiologische verontreiniging kan leiden tot storingen van de vliegtuigmotor, als gevolg waarvan de veiligheid van passagiers en bemanning in gevaar komt. Indien vliegtuigen niet worden gebruikt (‘tijdelijk zijn geparkeerd’), is de kans op microbiologische verontreiniging groter dan wanneer de vliegtuigen veel worden gebruikt. Jaarlijks wordt elk vliegtuig een of meerdere keren gecontroleerd op microbiologische groei. Als blijkt dat er sprake is van middelmatige (of hoge) verontreiniging dan moet, volgens het voorschrift van de Original Equipment Manufacturer (OEM), binnen 10 dagen Biobor JF worden gedoseerd aan alle brandstoftanks van het betreffende vliegtuig.
Voor het voorkomen of bestrijden van microbiologische verontreiniging zijn volgens vliegtuigfabrikanten twee mogelijke additieven aanvaardbaar. Het additief Kathon FP 1,5% is inmiddels door de Europese luchtvaartautoriteit EASA verboden en door de producent van de markt gehaald. Het nog wel voorhanden en als alternatief voorgeschreven additief Biobor JF beschikt niet over de juiste ‘toelating’ binnen Nederland. De thans aangevraagde vrijstelling dient daarom als overbrugging tot het moment dat het Ctgb de biocide Biobor JF heeft toegelaten tot de Nederlandse markt.
Ter voorbereiding van een beslissing over de vrijstelling is advies gevraagd aan het Ctgb en aan de Inspectie Leefomgeving en Transport.
Het Ctgb heeft de risico’s van het gebruik van Biobor JF beoordeeld en geconcludeerd dat vanuit humaantoxicologisch en milieutechnisch oogpunt er geen bezwaren zijn tegen het verlenen van deze vrijstelling, mits aan bepaalde beperkingen en voorschriften wordt voldaan.
− Om blootstelling aan Biobor JF te minimaliseren, wordt Biobor JF bij voorkeur toegevoegd met behulp van een (automatisch) doseersysteem.
− Om te bepalen of voldoende ventilatie aanwezig is, moet (als Biobor JF handmatig wordt toegevoegd) continu naftaleen in de ademzone van de operator worden gemeten.
− Indien geen toereikende ventilatie aanwezig is -de publieke grenswaarde van 50 mg/m3 voor 8 uur durende blootstelling wordt overschreden-, moet adembescherming worden gebruikt.
− Het Ctgb is het eens met het Europees Agentschap voor chemische stoffen dat voor veilig (professioneel) gebruik de toepasser als bescherming beschermende handschoenen en kleding en oogbescherming moet gebruiken.
De beschermende maatregelen in de bijlage bij dit besluit worden uit voorzorg opgenomen, om blootstelling van de toepasser aan de Biobor JF zoveel mogelijk te reduceren. Biobor JF vormt namelijk in combinatie met water boorzuur (uit de lucht of water aanwezig in brandstof). Boorzuur is geclassificeerd voor effecten op de vruchtbaarheid en het ongeboren kind (Repro 1B; H360FD: Kan de vruchtbaarheid schaden. Kan het ongeboren kind schaden.).
De Boeing procedure schrijft voor dat water uit de tanks wordt verwijderd. Voor dit afvalwater zijn EURAL voorwaarden van toepassing en dit moet op een milieu veilige manier worden verwerkt. De afvalbehandeling moet de concentratie borium verder reduceren voor lozing naar het oppervlaktewater.
Het advies is zorgvuldig tot stand gekomen; de voorgestelde voorschriften zijn in de bijlage overgenomen.
Het advies van de Inspectie Leefomgeving en Transport, over de handhaafbaarheid en uitvoerbaarheid van de voorschriften, is in het besluit verwerkt.
Kopieer de link naar uw clipboard
https://zoek.officielebekendmakingen.nl/stcrt-2024-31360.html
De hier aangeboden pdf-bestanden van het Staatsblad, Staatscourant, Tractatenblad, provinciaal blad, gemeenteblad, waterschapsblad en blad gemeenschappelijke regeling vormen de formele bekendmakingen in de zin van de Bekendmakingswet en de Rijkswet goedkeuring en bekendmaking verdragen voor zover ze na 1 juli 2009 zijn uitgegeven. Voor pdf-publicaties van vóór deze datum geldt dat alleen de in papieren vorm uitgegeven bladen formele status hebben; de hier aangeboden elektronische versies daarvan worden bij wijze van service aangeboden.