Staatscourant van het Koninkrijk der Nederlanden
| Datum publicatie | Organisatie | Jaargang en nummer | Rubriek | Datum ondertekening |
|---|---|---|---|---|
| Immigratie- en Naturalisatiedienst (IND) | Staatscourant 2023, 26597 | ander besluit van algemene strekking |
Zoals vergunningen, bouwplannen en lokale regelgeving.
Adressen en contactpersonen van overheidsorganisaties.
U bent hier:
| Datum publicatie | Organisatie | Jaargang en nummer | Rubriek | Datum ondertekening |
|---|---|---|---|---|
| Immigratie- en Naturalisatiedienst (IND) | Staatscourant 2023, 26597 | ander besluit van algemene strekking |
De Staatssecretaris van Justitie en Veiligheid,
Gelet op de Wet Toelating en Uitzetting Bonaire, Sint Eustatius en Saba, het Besluit Toelating en Uitzetting Bonaire, Sint Eustatius en Saba en de Regeling Toelating en Uitzetting Bonaire, Sint Eustatius en Saba;
Besluit:
A
Paragraaf 2.3.1 van Hoofdstuk 1 CTU BES is gewijzigd en komt te luiden:
In artikel 2r, eerste lid, onder a, WTU-BES is bepaald dat de toegang aan een vreemdeling wordt geweigerd, als deze niet in het bezit is van een geldig document voor grensoverschrijding. Voor de nadere uitwerking van de voorwaarde om te beschikken over een geldig document voor grensoverschrijding wordt verwezen naar de artikelen 3.5 en 3.6 BTU-BES.
Het bezit van een geldig (nationaal) paspoort is een algemeen uitgangspunt. Het paspoortvereiste wordt onder meer gesteld als waarborg voor terugkeer.
Onder een paspoort wordt verstaan:
a. een mede in de Engelse of Franse taal gesteld document voor grensoverschrijding;
b. een document op grond waarvan de houder is toegestaan naar het buitenland te reizen; en
c. een document waarmee de houder kan terugkeren naar het land van afgifte.
Het grensoverschrijdingsdocument moet zijn afgegeven door de bevoegde autoriteiten van een door Nederland erkende staat. Een uitzondering hierop vormt Taiwan. Dit land wordt door Nederland niet erkend, terwijl het reisdocument van Taiwan wel wordt erkend als geldig document voor grensoverschrijding.
Het document voor grensoverschrijding moet zijn voorzien van een goedgelijkende pasfoto van de houder en moet door de houder zijn ondertekend. Daarnaast moet dit document in het algemeen de volgende gegevens bevatten:
a. de familienaam;
b. de voorna(a)m(en);
c. de nationaliteit;
d. de geboorteplaats en -datum van de houder.
De geldigheidsduur van het paspoort moet de duur van het voorgenomen verblijf overschrijden.
De door het Koninkrijk der Nederlanden uitgegeven documenten die worden aangemerkt als geldig document voor grensoverschrijding zijn opgenomen in de (Rijks)Paspoortwet.
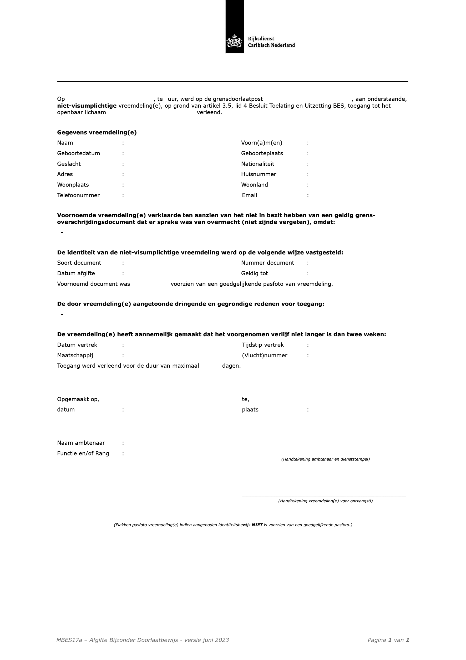
Afgifte van bijzondere doorlaatbewijzen aan de grens
Op grond van art 3.5, vierde lid, BTU-BES kan worden afgeweken van het vereiste bezit van een geldig document voor grensoverschrijding.
Aan niet-visumplichtige vreemdelingen (voor de visum wet- en regelgeving: zie de Rijksvisumwet) die bij binnenkomst niet beschikken over het vereiste document voor grensoverschrijding kan aan de grens, met het oog op kort verblijf, een bijzonder doorlaatbewijs worden afgegeven. Dit doorlaatbewijs is als model opgenomen in de RTU-BES. Dit doorlaatbewijs is als model MBES17a opgenomen in de CTU. Dit bijzonder doorlaatbewijs wordt na afgifte hiervan aangemerkt als een geldig document voor grensoverschrijding.
Voorwaarden afgifte
De ambtenaar belast met grensbewaking is bevoegd om zelfstandig een bijzonder doorlaatbewijs af te geven aan een niet-visumplichtige vreemdeling. Voor afgifte moet steeds aan elk van de volgende voorwaarden zijn voldaan:
a. er is sprake van een situatie van overmacht. Bij situaties van overmacht kan bijvoorbeeld worden gedacht aan passagierende zeelieden van wie het schip onaangekondigd is uitgevaren, drenkelingen en personen die het slachtoffer zijn geworden van diefstal. Als een vreemdeling zijn paspoort is vergeten, is geen sprake van een overmachtsituatie;
b. de vreemdeling kan aantonen dat er een dringende en gegronde reden voor verlening van toegang bestaat;
c. de vreemdeling kan aannemelijk maken dat de duur van het verblijf niet langer dan twee weken zal bedragen; en
d. de vreemdeling is in het bezit van een document waaruit zijn identiteit blijkt, bij voorkeur voorzien van een pasfoto, afgegeven door een officiële instelling (dit laatste vereiste geldt niet voor kinderen beneden de leeftijd van zestien jaar die reizen in gezelschap van hun ouder(s), grootouder(s) of voogd). Als de vreemdeling wel beschikt over een document waaruit zijn identiteit blijkt maar dat niet is voorzien van een foto, moet op het bijzonder doorlaatbewijs een foto van de vreemdeling worden bevestigd.
Voor de afgifte van bijzondere doorlaatbewijzen zijn geen leges verschuldigd.
B
De lijst met modellen CTU-BES is gewijzigd en komt te luiden als aangegeven in bijlage 1.
C
MBES01 wordt (opnieuw) gepubliceerd zoals aangegeven in bijlage 2.
D
MBES02 wordt (opnieuw) gepubliceerd zoals aangegeven in bijlage 3.
E
MBES03 wordt (opnieuw) gepubliceerd zoals aangegeven in bijlage 4.
F
MBES04 wordt (opnieuw) gepubliceerd als aangegeven in bijlage 5.
G
MBES05 wordt (opnieuw) gepubliceerd als aangegeven in bijlage 6.
H
MBES06 wordt (opnieuw) gepubliceerd als aangegeven in bijlage 7.
I
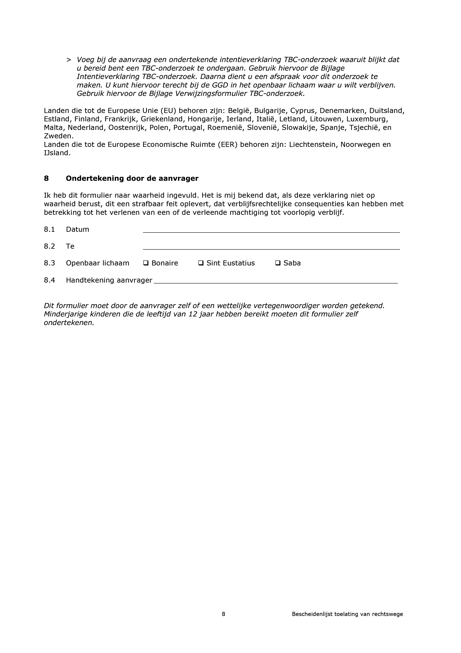
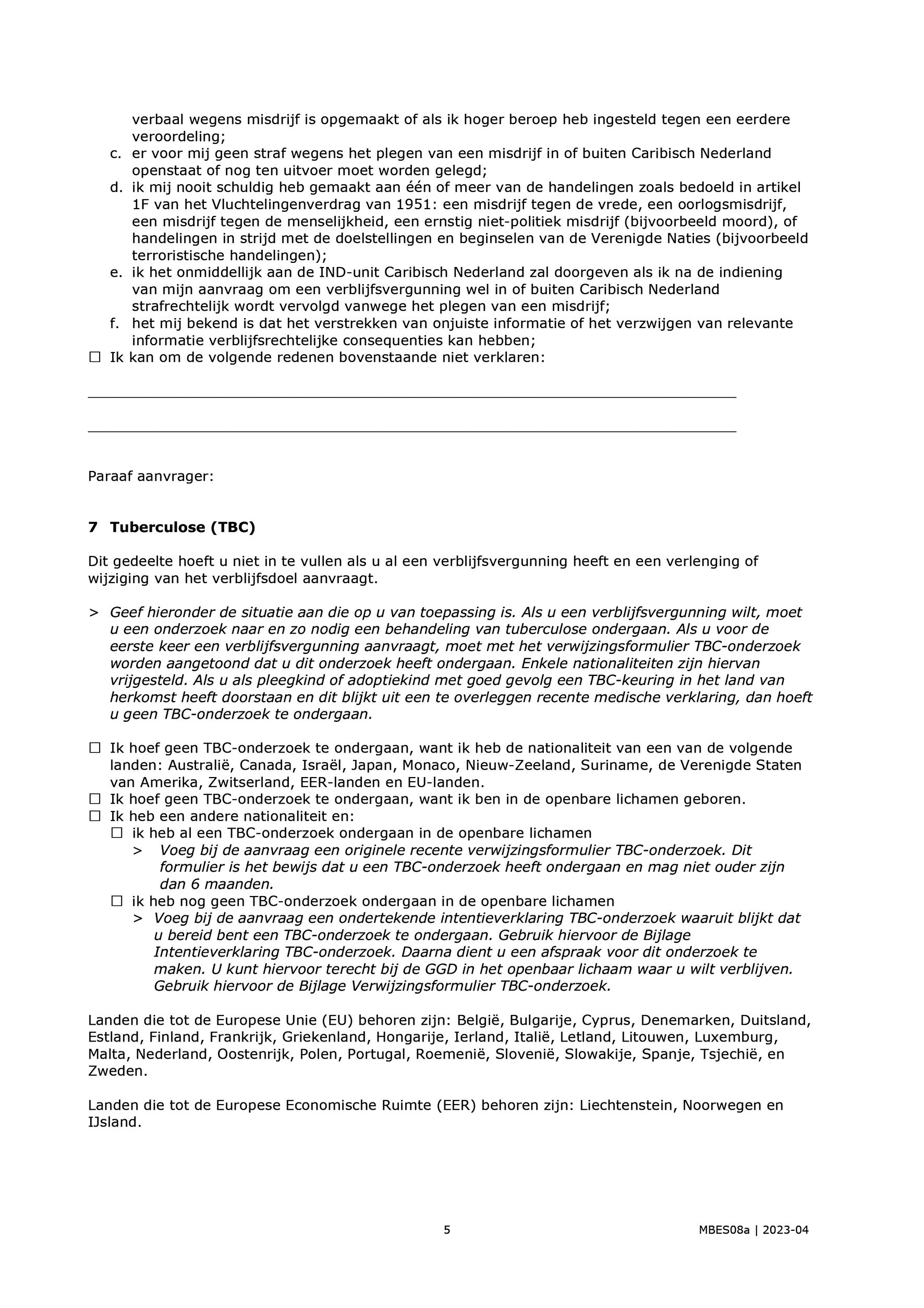
MBES08 wordt (opnieuw) gepubliceerd als aangegeven in bijlage 8.
J
MBES08A wordt (opnieuw) gepubliceerd als aangegeven in bijlage 9.
K
MBES09 wordt (opnieuw) gepubliceerd als aangegeven in bijlage 10.
L
MBES10 wordt (opnieuw) gepubliceerd als aangegeven in bijlage 11.
M
MBES13 wordt (opnieuw) gepubliceerd als aangegeven in bijlage 12.
N
MBES14 wordt (opnieuw) gepubliceerd als aangegeven in bijlage 13.
O
MBES15 wordt (opnieuw) gepubliceerd als aangegeven in bijlage 14.
P
MBES16 wordt (opnieuw) gepubliceerd als aangegeven in bijlage 15.
Q
MBES17 wordt (opnieuw) gepubliceerd als aangegeven in bijlage 16.
R
MBES17A is nieuw toegevoegd en komt te luiden als aangegeven in bijlage 17.
S
MBES18 wordt (opnieuw) gepubliceerd als aangegeven in bijlage 18.
T
MBES19 wordt (opnieuw) gepubliceerd als aangegeven in bijlage 19.
U
MBES20 wordt (opnieuw) gepubliceerd als aangegeven in bijlage 20.
V
MBES 21 wordt (opnieuw) gepubliceerd als aangegeven in bijlage 21.
W
MBES37 wordt (opnieuw) gepubliceerd als aangegeven in bijlage 22.
X
MBES40 wordt (opnieuw) gepubliceerd als aangegeven in bijlage 23.
Y
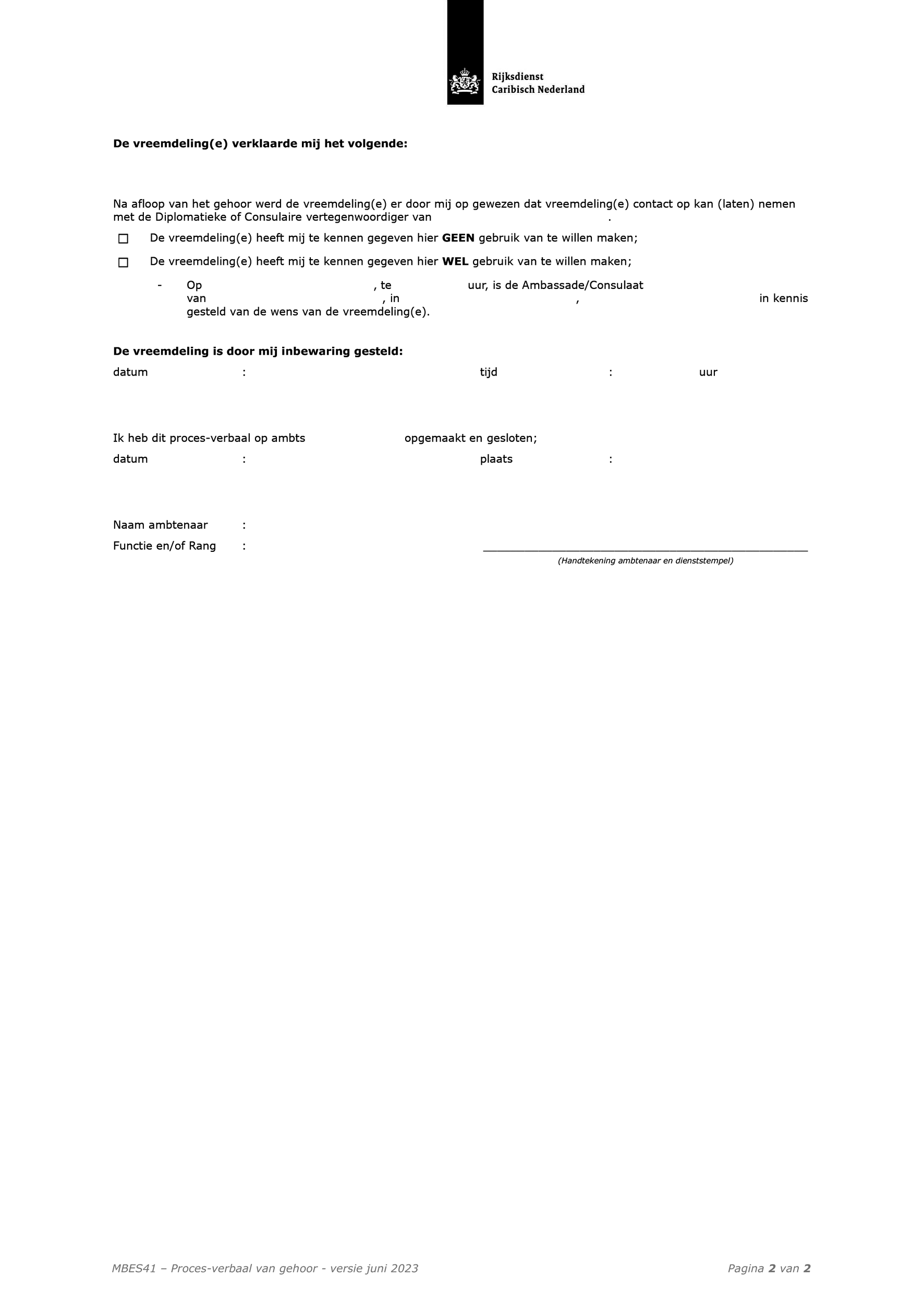
MBES41 wordt (opnieuw) gepubliceerd als aangegeven in bijlage 24.
Z
MBES42 wordt (opnieuw) gepubliceerd als aangegeven in bijlage 25.
AA
MBES43 wordt (opnieuw) gepubliceerd als aangegeven in bijlage 26.
AB
MBES44 wordt (opnieuw) gepubliceerd als aangegeven in bijlage 27.
Dit besluit zal (met de toelichting) in de Staatscourant worden geplaatst.
’s-Gravenhage, 26 september 2023
De Staatssecretaris van Justitie en Veiligheid, namens deze, A.W.H. Bertram directeur-generaal Migratie





























In paragraaf 2.3.1 van Hoofdstuk 1 CTU BES is een verwijzing gemaakt naar het nieuw toegevoegde model MBES17a, waarmee de mogelijkheid tot het afgeven van een Bijzonder Doorlaatbewijs is geregeld. Het nieuwe model MBES17a is ook toegevoegd aan de lijst met modellen in de CTU BES.
De modellen van de CTU BES worden (opnieuw) gepubliceerd zodat de gepubliceerde versies van deze modellen overeenkomen met de versies die in de praktijk worden gebruikt.
De modellen BES 13-21, 37 en 40-41 zijn lay-outtechnisch aangepast, zodat ze ook beter digitaal te gebruiken zijn.
In de modellen MBES 13 en 14 zijn de mogelijkheid van het invullen van een telefoonnummer, mailadres en gegevens van documenten van de vreemdeling toegevoegd.
In MBES 14 zijn daarnaast de volgende gegevens toegevoegd: de relatie tussen garantsteller en vreemdeling, de datum van toegang en gepland vertrek, gegevens over documenten van de partner van de garantstelling, informatie of de partner van de garantsteller de vreemdeling persoonlijk wel of niet kent en informatie dat de partner van de garantsteller ook instemt met de garantstelling en dat de partner weet wat de garantstelling betekent.
In de modellen MBES 16-20, 37, 40 en 44 is de mogelijkheid toegevoegd dat de vreemdeling een handtekening kan zetten voor ontvangst.
In model MBES 16 is verder toegevoegd een opsplitsing welke maatregel daadwerkelijk toegepast wordt, zodat direct helder is dat er een vrijheidsbeperkende maatregel (artikel 2o, eerste lid) of vrijheidsontnemende maatregel (artikel 2o eerste en tweede lid) toegepast wordt.
In MBES 42 is onder nummer 7 het kopje ‘Consulaire bijstand’ toegevoegd. De volgende onderdelen zijn vervolgens doorgenummerd.
In model MBES 42 is ook toegevoegd:
Onder 2a de mogelijkheid om aan te kruisen of aan vreemdelingen tijdens het strafrechtelijke onderzoek een MBES44 is uitgereikt.
Onder 2b de mogelijkheid om aan te kruisen of aan vreemdelingen tijdens het strafrechtelijke onderzoek een MBES44 is uitgereikt.
De Staatssecretaris van Justitie en Veiligheid, namens deze, A.W.H. Bertram directeur-generaal Migratie
Kopieer de link naar uw clipboard
https://zoek.officielebekendmakingen.nl/stcrt-2023-26597.html
De hier aangeboden pdf-bestanden van het Staatsblad, Staatscourant, Tractatenblad, provinciaal blad, gemeenteblad, waterschapsblad en blad gemeenschappelijke regeling vormen de formele bekendmakingen in de zin van de Bekendmakingswet en de Rijkswet goedkeuring en bekendmaking verdragen voor zover ze na 1 juli 2009 zijn uitgegeven. Voor pdf-publicaties van vóór deze datum geldt dat alleen de in papieren vorm uitgegeven bladen formele status hebben; de hier aangeboden elektronische versies daarvan worden bij wijze van service aangeboden.