Herdruk Openstellingsbesluit Subsidieverordening Natuur- en landschapsbeheer provincie Utrecht begrotingsjaar 2016

Besluit van Gedeputeerde Staten van de provincie Utrecht van 22 september 2015, nr. 8161EFB0, tot vaststelling van de subsidieplafonds,aanvraagperioden en de tarieven voor het begrotingsjaar 2016 ten behoeve van: de Subsidieverordening Natuur- en Landschapsbeheer provincie Utrecht (SVNL) ende Subsidieregeling Kwaliteitsimpuls natuur en landschap Provincie Utrecht(SKNL). (Openstellingsbesluit SNL provincie Utrecht begrotingsjaar 2016)

 

Dit betreft een herdruk van https://zoek.officielebekendmakingen.nl/prb-2015-6633.html i.v.m. tekstuele aanpassingen in de aanhef en in art. 1.2 Collectief agrarisch natuur- en landschapsbeheer

 

Gedeputeerde Staten van de provincie Utrecht;

 

Gelet op artikel 1.3 van de Subsidieverordening Natuur- en Landschapsbeheer provincie Utrecht;

Gelet op artikel 2 van de Subsidieregeling Kwaliteitsimpuls natuur en landschap provincie Utrecht;

 

Besluiten:

 

ARTIKEL I

A. SUBSIDIEPLAFONDS

Voor de SVNL worden voor het begrotingsjaar 2016 de volgende subsidieplafonds vastgesteld:

1.1 Natuur- en landschapsbeheer

  • a.

    Continueringnatuur- en landschapsbeheer binnen natuurterreinen voor subsidies als bedoeld in:

    • artikel 3.1.1, eerste lid (natuurbeheer), ten behoeve van de natuurbeheertypen met de aanduiding N01.03 tot en met N17.04,

    • artikel 3.1.1, tweede lid (recreatiepakket),

    • artikel 3.1.8, tweede lid, onderdeel a (toeslag vaarland),

    • artikel 3.1.8, tweede lid, onderdeel b (toeslag schaapskuddes),

    • artikel 5.1.1.1, eerste lid, onderdeel a (landschapsbeheer binnen natuurterreinen), ten behoeve van landschapbeheertypen met de aanduiding L01.01 tot en met L01.15 en L02.01,

    • artikel 3.2.1 (monitoring van de kwaliteit van een op een natuurterrein aanwezig natuurbeheertype),

    • artikel 5.1.2a.1 (monitoring van de kwaliteit van de binnen een natuurterrein aanwezig landschapsbeheertype);

      Ten behoeve van:

      • i)

        het beheer op de terreinen waarvoor door of namens de provincie een subsidie is verstrekt voor beheer en waarbij deze subsidie afloopt in de periode tussen 30 december 2015 en 31 december 2016; of

      • ii)

        waarvan het beheer berust bij Staatsbosbeheer; of

      • iii)

        het beheer op de terreinen waarvoor door of namens de provincie een subsidie/vergoeding is verstrekt voor inrichting, verwerving of functieverandering.

    • € 200.000,–

  • b.

    Nieuw natuur- en landschapsbeheer binnen natuurterreinen voor subsidies als bedoeld in:

    • artikel 3.1.1, eerste lid (natuurbeheer) ten behoeve van de natuurbeheertypen met de aanduiding N01.03 tot en met N17.04,

    • artikel 3.1.1, tweede lid recreatiepakket),

    • artikel 3.1.8, tweede lid onderdeel a (toeslag vaarland),

    • artikel 3.1.8, tweede lid onderdeel b (toeslag schaapskuddes),

    • artikel 5.1.1.1, eerste lid, onderdeel a (landschapsbeheer binnen natuurterreinen) ten behoeve van landschapbeheertypen met de aanduiding L01.01 tot en met L01.15 en L02.01,

    • artikel 3.2.1 (monitoring van de kwaliteit van een op een natuurterrein aanwezig natuurbeheertype),

    • artikel 5.1.2a.1 (monitoring van de kwaliteit van de binnen een natuurterrein aanwezig landschapsbeheertype);

      Ten behoeve van:

      • i)

        Het beheer op de terreinen niet vallend onder artikel 1.1, onderdeel a:

    • € 200.000,– voor terreinen welke zijn gelegen binnen de Ecologische hoofdstructuur (EHS),

      0 euro voor terreinen welke zijn gelegen buiten de EHS.

1.2 Collectief agrarisch natuur- en landschapsbeheer

€ 200.000,– voor subsidies als bedoeld in:

  • Artikel 4.1.1.1. ten behoeve van de agrarische beheertypen met de aanduiding A01.01.01, A01.01.02, A01.01.03, onderdeel a tot en met d, A01.01.04, A01.01.05, A01.01.06, A02.01.01, A02.01.02, A02.01.03, T01, T02, T03, T04, T08, T09ut, T10ut, welke pakketten op grond van artikel 2.1, vierde lid, zijn aangewezen voor (collectief) agrarisch natuurbeheer, (agrarisch natuurbeheer in het kader van collectief agrarisch natuurbeheer);

  • Artikel 4.1.2.4, eerste lid (toeslag collectief agrarisch natuurbeheer);

  • Artikel 5.1.1.1, eerste lid, onderdeel b, ten behoeve van de beheerpakketten landschap met de aanduiding L01.01 t/m L01.09 en L01.13, welke pakketten op grond van artikel 2.1, vierde lid zijn aangewezen voor collectief landschapsbeheer (collectief landschapsbeheer buiten natuurterreinen);

Dit subsidieplafond is alleen beschikbaar voor het uitdienen van de in 2016 nog van kracht zijnde subsidiebeschikkingen op grond van Subsidieverordening Natuur- en Landschapsbeheer provincie Utrecht (SVNL) voor (collectief) agrarisch natuur- en landschapsbeheer. Voor aanvragen bedoeld in artikel 7.5 van de SVNL is geen budget beschikbaar.

1.3 Organisatiekosten agrarisch natuurbeheer

€ 0,– voor subsidies als bedoeld in artikel 6.1 (Organisatiekosten agrarisch natuurbeheer).

2 Voor de SKNL worden voor het begrotingsjaar 2016 de volgende subsidieplafonds vastgesteld:

2.1 Investeringssubsidie natuur en landschap

a) Aanvragen voor eenmalige investeringen en aanvragen voor een programma van eenmalige investeringen

€ 3.000.000, voor subsidies als bedoeld in:

  • artikel 8, eerste lid, onderdeel a (t.b.v. realisatie natuurbeheertypen op grond die functieverandering heeft ondergaan), voor zover het realisatie van de natuurbeheertypen N01.03 tot en met N17.04 betreft;

  • artikel 8, eerste lid, onderdeel b (realisatie landschapselementen op grond die functieverandering heeft ondergaan

  • artikel 8, vierde lid (investeringssubsidie voor programma van eenmalige investeringen), voor zover het realisatie van de natuurbeheertypen N01.03 tot en met N17.04 betreft en voor zover de percelen in het natuurbeheerplan begrensd zijn op de ambitiekaart met beheertype N00.01;

c) Aanvragen voor eenmalige investeringen

€ 200.000, voor subsidies als bedoeld in:

  • artikel 8,eerste lid, onderdeel e (omzetting naar een ander natuurbeheertype), voor zover het een verhoging van een natuurbeheertype is conform hoofdstuk 6 van het Natuurbeheerplan,

  • artikel 8, eerste lid, onderdeel c (kwaliteitsimpuls natuurbeheertype),

  • artikel 8, vierde lid (investeringssubsidie voor programma van eenmalige investeringen), voor zover het een verhoging van een natuurbeheertype is conform hoofdstuk 6 van het Natuurbeheerplan,

d) Aanvragen voor eenmalige investeringen

€ 500.000, voor subsidies als bedoeld in:

  • artikel 8, eerste lid, onderdeel f (verhoging natuurkwaliteit van een habitattype), voor zover gelegen binnen Natura2000 gebieden.

2.2 Subsidie functieverandering.

€ 6.500.000,– voor subsidies als bedoeld in:

  • artikel 15, onderdeel a (realisatie van een natuurbeheertype door de omzetting van landbouwgrond in natuurterrein), voor zover het de realisatie van de natuurbeheertypen N01.03 tot en met N17.04 betreft,

  • artikel 15, onderdeel b (realisatie van een landschapselement of beheerpakket landschap door de omzetting van landbouwgrond in landschap) voor zover het de realisatie van het landschapbeheertypen met de aanduiding L01.01 tot en met L01.15 betreft.

B. AANVRAAGPERIODEN EN LOKET VOOR INDIENING

  • 1.

    Aanvragen voor subsidies SVNL kunnen in de periode van 15 november 2015 tot en met 31 december 2015 worden ingediend bij de Rijksdienst voor Ondernemend Nederland, Postbus 40225, 8004 DE te Zwolle.

  • 2.

    Aanvragen voor subsidies SKNL kunnen in de periode vanaf 1 januari 2016 tot en met 31 oktober 2016, ingediend worden bij de Rijksdienst voor Ondernemend Nederland, Postbus 40225, 8004 DE te Zwolle.

C. TARIEVEN BEGROTINGSJAAR 2016

  • 1.

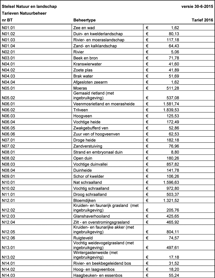
    De jaarvergoeding voor de natuurbeheertypen, opgenomen in bijlage 1 van de SVNL, worden voor dit begrotingsjaar conform de bij dit besluit gevoegde bijlage 1, in euro’s per eenheid vastgesteld.

  • 2.

    De jaarvergoeding voor de agrarische beheerpakketten, opgenomen in bijlage 3, onderdelen B.1 en B.2, van de SVNL, worden voor dit begrotingsjaar conform de bij dit besluit gevoegde bijlage 2, in euro’s per eenheid vastgesteld.

  • 3.

    De jaarvergoeding voor de landschapselementen binnen natuurterreinen, opgenomen in bijlage 6, onderdelen A.1 en A.2 van de SVNL, worden voor dit begrotingsjaar conform de bij dit besluit gevoegde bijlage 3, in euro’s per eenheid vastgesteld.

  • 4.

    De jaarvergoeding voor de beheerpakketten landschap buiten natuurterreinen, opgenomen in bijlage 6, onderdelen B.1 en B.2 van de SVNL, worden voor dit begrotingsjaar conform de bij dit besluit gevoegde bijlage 4, in euro’s per eenheid vastgesteld.

  • 5.

    De jaarvergoeding voor de toeslagen, bedoeld in artikel I, onder A, onderdeel 1.1, van dit besluit, worden voor dit begrotingsjaar conform de bij dit besluit gevoegde bijlage 5, in euro’s per eenheid vastgesteld.

  • 6.

    De jaarvergoeding voor de toeslag, bedoeld in artikel I, onder A, onderdeel 1.2, van dit besluit, worden voor dit begrotingsjaar conform de bij dit besluit gevoegde bijlage 6, in euro’s per eenheid vastgesteld.

  • 7.

    De tarieven voor de monitoring van de kwaliteit van de verschillende natuurbeheertypen, bedoeld in artikel 3.1.8, eerste lid onder c, van de SVNL worden voor dit begrotingsjaar conform de bij dit besluit gevoegde bijlage 7, in euro’s per eenheid vastgesteld.

ARTIKEL II

De subsidies, bedoeld in dit besluit, worden uitsluitend verleend voor die onderdelen welke ook door de Europese Commissie en de Minister van Economische zaken zijn of worden goedgekeurd.

ARTIKEL III
  • 1.

    De subsidies, bedoeld in dit besluit, onder artikel I, onderdelen 1.1, 2.1 en 2.2, worden uitsluitend verstrekt voor zover het perceel/terrein als subsidiabel is aangemerkt in het Natuurbeheerplan 2016.

  • 2.

    Voor de subsidies, bedoeld in dit besluit, onder artikel I, onderdeel 1.2 (agrarisch natuurbeheer) geldt dat deze uitsluitend worden verstrekt voor zover het perceel/terrein als subsidiabel is aangemerkt in het Natuurbeheerplan 2015.

ARTIKEL IV

Dit besluit wordt geplaatst in het Provinciaal blad en treedt in werking met ingang van de eerste dag na de datum van uitgifte van het Provinciaal Blad waarin het wordt geplaatst.

Artikel V (citeertitel)

Dit besluit wordt aangehaald als: Openstellingsbesluit SNL provincie Utrecht begrotingsjaar 2016.

 

Aldus vastgesteld in de vergadering van Gedeputeerde Staten van Utrecht van 22 september 2015,

Gedeputeerde Staten,

Voorzitter,

Secretaris,

BIJLAGE 1

 

 

BIJLAGE 2

 

 

 

BIJLAGE 3

 

BIJLAGE 4

 

 

BIJLAGE 5

 

BIJLAGE 6

 

BIJLAGE 7

Naar boven