Kamerstuk
| Datum publicatie | Organisatie | Vergaderjaar | Dossier- en ondernummer | Datum indiening |
|---|---|---|---|---|
| Tweede Kamer der Staten-Generaal | 2001-2002 | 27587 nr. 5 |
Zoals vergunningen, bouwplannen en lokale regelgeving.
Adressen en contactpersonen van overheidsorganisaties.
U bent hier:
| Datum publicatie | Organisatie | Vergaderjaar | Dossier- en ondernummer | Datum indiening |
|---|---|---|---|---|
| Tweede Kamer der Staten-Generaal | 2001-2002 | 27587 nr. 5 |
Ontvangen 18 december 2001
Het verheugt mij dat de voorgestelde wijziging van de Advocatenwet ter aanpassing aan de vestigingsrichtlijn door de in het verslag aan het woord zijnde fracties wordt onderschreven. De vragen en opmerkingen hebben met name betrekking op een nadere uiteenzetting van de achtergronden van de richtlijn. Voorzover mogelijk wordt daarop ingegaan. Daarbij teken ik aan dat sommige bepalingen in de richtlijn het gevolg zijn van een compromis en om die reden niet nader kunnen worden beargumenteerd.
Hieronder zal ik ingaan op de vragen van de verschillende fracties.
De leden van de PvdA-fractie vragen of de advocaat uit een andere lidstaat op alle disciplines zijn of haar werkzaamheden mag verrichten of dat specifieke disciplines zijn uitgesloten.
Aan de vestigingsrichtlijn ligt de gedachte ten grondslag dat een advocaat uit een andere lidstaat, indien hij is toegelaten tot de Nederlandse advocatuur, op alle terreinen van het recht de advocatuur mag uitoefenen. Dit geldt niet alleen voor de advocaat die tot de Nederlandse balie is toegetreden, maar ook voor de advocaat die niet tot de balie is toegetreden, maar die zich wel in Nederland heeft gevestigd. Laatstgenoemde advocaat kan pas tot de Nederlandse balie toetreden na een driejarige praktijkervaring in Nederland.
Dezelfde leden willen weten of de termijn van drie jaar voldoende kwalitatieve waarborg biedt voor de vereiste bekwaamheid.
Deze termijn is in de richtlijn, en dus ook in het onderhavige wetsvoorstel, opgenomen juist met het oog op het waarborgen van de gewenste vakbekwaamheid. Deze driejarige praktijkervaring in Nederland in het Nederlands recht, wordt vereist voor toetreding van een advocaat uit een andere lidstaat tot de Nederlandse balie. Het gaat dus om personen die in het buitenland al advocaat zijn en om die reden het vak van advocaat niet meer als zodanig behoeven te leren. Deze buitenlandse advocaten moeten uitsluitend laten zien dat zij als advocaat ook in Nederland op een volwaardige wijze hun werkzaamheden kunnen uitoefenen. In drie jaar tijd wordt de buitenlandse advocaat geacht daarvoor voldoende kennis te hebben opgedaan.
De leden van de PvdA-fractie willen weten hoe de kwaliteit van de verleende diensten van de samenwerkende advocaat wordt beoordeeld en bewaakt.
Deze kwaliteit wordt in de praktijk beoordeeld en bewaakt door de advocaat uit een andere lidstaat die samenwerkt met de Nederlandse advocaat. Indien de kwaliteit van deze samenwerking te wensen over laat kan de EU-advocaat dit melden aan de raad van toezicht. Indien deze samenwerking als onvoldoende of onbetamelijk kan worden aangemerkt kan tegen de Nederlandse advocaat tuchtrechtelijk worden opgetreden.
Voorzover de vraag van deze leden betrekking heeft op de kwaliteit van de buitenlandse advocaat kan worden geantwoord dat deze wordt beoordeeld en bewaakt door de Nederlandse advocaat die samenwerkt met de advocaat uit de andere lidstaat. Ook de Nederlandse advocaat kan een gebrekkige samenwerking melden aan de raad van toezicht. Daarnaast kan uiteraard door de cliënt een tuchtrechtelijke klacht worden ingediend, als de verleende diensten beneden een verantwoord niveau liggen. Ook de deken kan van de hem toekomende bevoegdheden gebruik maken. De EU-advocaat is immers onderworpen aan de Nederlandse regelgeving en dus ook aan het Nederlandse tuchtrecht.
Deze leden informeren naar de praktische consequenties voor de rechtzoekende van het feit dat de advocaat uit een andere lidstaat die zich als zodanig in Nederland heeft laten inschrijven, niet mag functioneren als procureur.
De praktische consequentie is dat de buitenlandse advocaat in die gevallen waarin een procureur nodig is een Nederlandse procureur zal moeten inschakelen. Indien deze procureur tevens advocaat is, wat in de meeste gevallen zo zal zijn, kan deze persoon in de betreffende zaak ook als samenwerkende advocaat optreden.
De leden van de PvdA-fractie informeren naar de opmerkingen die de Nederlandse orde van advocaten bij dit wetsvoorstel heeft gemaakt.
Voordat het wetsvoorstel naar de Raad van State is gezonden heeft informeel overleg plaatsgevonden met de Orde, bestaande uit het bespreken van commentaar bij concepten van het wetsvoorstel. Deze besprekingen hadden met name betrekking op het verduidelijken van de voorgelegde concepten. Nadat de Raad van State advies heeft uitgebracht, heeft de Algemene Raad van de Orde aan ambtelijk justitie een notitie gezonden met nadere opmerkingen. Voorzover mogelijk zijn deze opmerkingen nog in het wetsvoorstel verwerkt. Dit houdt in dat voorstellen tot verbetering van de tekst van de artikelen 2a, 2b, 16j en 16k zijn overgenomen. Voorts is artikel 1 zodanig aangepast dat de inschrijving van de advocaat die tot de balie wil toetreden onvoorwaardelijk en niet langer voorwaardelijk is. De reden is dat de richtlijn geen voorwaardelijke inschrijving toelaat.
De voorstellen die niet overeenstemmen met de bedoeling van de richtlijn zijn niet overgenomen. Zo is niet overgenomen het voorstel dat de advocaat uit een andere lidstaat ook zonder dat hij de verplichte stage heeft gevolgd als advocaat in Nederland kan optreden. Voorstellen met betrekking tot de uitbreiding van de doorwerking van tuchtrechtelijke uitspraken in het buitenland dan wel Nederland zijn om dezelfde reden evenmin overgenomen.
De leden van de PvdA-fractie willen weten wanneer de raden van toezicht beleid ontwikkelen met betrekking tot de criteria die ten grondslag liggen aan het beoordelen van de bekwaamheid van de buitenlandse advocaat die nog niet ten minste drie jaar in Nederland als advocaat werkzaam is geweest.
Op dit moment is de Nederlandse orde van advocaten bezig op dit punt beleid te ontwikkelen, zodat alle raden van toezicht op dezelfde wijze oordelen over de toelatingseisen. Tot op heden is bij de Nederlandse orde van advocaten niet bekend hoeveel buitenlandse advocaten zich hebben aangemeld voor vestiging in Nederland. Om die reden is er nog weinig zicht op de problemen die zich bij de beoordeling van de toelatingscriteria kunnen voordoen.
Op de vraag van deze leden welke rol de Minister van Justitie in het ontwikkelen van het beleid met betrekking tot de beoordeling van de toelatingseisen heeft, kan ik antwoorden dat ik daarin geen andere dan een informatieve rol heb. De raden van toezicht moeten overeenkomstig de geïmplementeerde regelgeving oordelen. Tegen een beslissing van de raden kan de desbetreffende advocaat in bezwaar en uiteindelijk beroep gaan. Met deze bezwaar- en beroepsprocedure wordt een uniforme toepassing van de toetsingscriteria gegarandeerd. Hiermee is ook een antwoord gegeven op de vraag van de leden van de PvdA-fractie naar de wijze waarop de rechtsgelijkheid wordt gewaarborgd.
De leden van de PvdA en de VVD-fractie constateren dat de richtlijn op 14 maart 2000 geïmplementeerd had moeten zijn. Zij willen weten wat de reden is dat deze termijn niet is gehaald.
De reden dat deze termijn niet is gehaald heeft enerzijds te maken met wisselingen in het ambtelijk personeel en anderzijds met capaciteitsproblemen. Aangezien praktisch gezien al uitvoering aan de richtlijn kan worden gegeven levert de te late implementatie geen onoverkomelijke problemen op.
De leden van de VVD-fractie willen graag weten hoe wordt gegarandeerd dat de Nederlandse orde van advocaten uitvoering geeft aan die onderdelen van de richtlijn die door deze publiekrechtelijke beroepsorganisatie dienen te worden geïmplementeerd.
De Nederlandse orde van advocaten heeft als publiekrechtelijke beroepsorganisatie op dit punt een eigen verantwoordelijkheid. Gelet op het belang dat de Nederlandse orde hecht aan het uitgangspunt dat advocaten zich in de gehele EU moeten kunnen vestigen is het niet voorstelbaar dat de Nederlandse orde geen uitvoering geeft aan de richtlijn. De Nederlandse orde heeft voorstellen geformuleerd tot implementatie van de richtlijn in de verschillende verordeningen.
De leden van de VVD-fractie vragen welke wijzigingen in de verordeningen van de Nederlandse orde moeten worden opgenomen.
Op grond van artikel 6, eerste lid, van de richtlijn zijn de advocaten uit een andere lidstaat die zich uitsluitend in Nederland willen vestigen zonder tot de balie toe te treden gebonden aan de Nederlandse beroeps- en gedragsregels. In het voorgestelde artikel 16k is om die reden bepaald dat deze advocaat ook is gebonden aan alle beroeps- en gedragsregels en de verordeningen. Voorzover de richtlijn uitzonderingen mogelijk maakt, worden die in de verordeningen verwerkt. Dit betekent het volgende.
In de Verordening Permanente Opleiding wordt geregeld dat een advocaat per jaar een bepaald aantal opleidingspunten moet behalen. In dit kader wordt bekeken of opleidingspunten aan in het buitenland gevolgd onderwijs worden gegeven.
In de Verordening op de financiële bijdrage wordt bepaald dat ook de buitenlandse advocaat die niet tot de balie toetreedt een financiële bijdrage moet betalen.
In de Boekhoudverordening 1998, de Verordening op de praktijkrechtspersoon, de Verordening op de praktijkuitoefening in dienstbetrekking en de Verordening op de publiciteit behoeft uitsluitend te worden verwerkt dat de advocaat die zich overeenkomstig artikel 16h inschrijft aan de bepalingen in de verordeningen is gebonden.
Hetzelfde geldt voor de Samenwerkingsverordening 1993. Daarnaast moet overeenkomstig artikel 11, vierde lid, van de richtlijn uitvoering worden gegeven aan de bepaling dat de advocaat die in het land van herkomst tot een groep behoort, dit meldt aan de raad van toezicht. Voorts volgt uit de richtlijn dat deze buitenlandse advocaat de naam van zijn groep mag blijven gebruiken.
De Verordening op de beroepsaansprakelijkheid 1991 is van toepassing voorzover niet reeds in het buitenland een voorziening is getroffen.
De Verordening op de proeve van bekwaamheid is vanzelfsprekend niet van toepassing. Deze Verordening geeft uitvoering aan de zogenaamde diplomarichtlijn.
Voor de buitenlandse advocaat die tot de Nederlandse balie toetreedt biedt de richtlijn geen uitzondering op de toepasselijkheid van de bepalingen in de verordeningen. Deze advocaten oefenen immers als een volwaardig «Nederlands» advocaat de advocatuur uit.
Op een vraag van de leden van de VVD-fractie wanneer de Nederlandse orde van advocaten de Verordeningen gaat aanpassen kan geantwoord worden dat het college van afgevaardigden van de Orde een aanpassingsverordening heeft vastgesteld.
Dezelfde leden vragen of ik mijn opmerking, dat zich naar verwachting geen grote aantallen buitenlandse advocaten in Nederland zullen gaan vestigen, kan onderbouwen en specificeren.
Dit kan niet met cijfermateriaal worden onderbouwd. Deze verwachting is vooral gebaseerd op het feit dat een buitenlandse advocaat veelal niet de Nederlandse taal beheerst. Dat maakt het niet eenvoudig om in een proces op te treden. Tot op heden is bij de Nederlandse orde niet bekend of er al inschrijvingen van buitenlandse advocaten hebben plaatsgevonden. De verwachting is dat op jaarbasis voorlopig ongeveer vijf advocaten zullen verzoeken om te worden ingeschreven.
Het is niet mogelijk om, dit in antwoord op een vraag van de leden van de VVD-fractie, aan te geven hoeveel Nederlandse advocaten zich in andere Europese landen willen gaan vestigen. Wel is bekend dat er vanuit de Nederlandse advocatuur behoefte is aan vestiging in het buitenland. Dan kunnen de Nederlandse cliënten in het buitenland van hetzelfde advocatenkantoor rechtsbijstand ontvangen. Het blijkt dat Nederlandse bedrijven die internationaal handel drijven of in een andere lidstaat een vestiging hebben een vaste relatie met een bepaald advocatenkantoor op prijs stellen. Het komt nu ook al voor dat Nederlandse advocaten in het buitenland werkzaam zijn.
De leden van de VVD-fractie vragen aan te geven wat de toetredingseisen zijn in andere lidstaten om tot de balies in die landen te worden toegelaten.
De Duitse en de Oostenrijkse regelgeving alsmede de regelgeving van Engeland, Wales, Noord-Ierland en Schotland sluiten tekstueel nauw aan bij de toelatingseisen zoals die zijn verwoord in de richtlijn. Dit houdt in dat deze eisen ook nauw aansluiten bij de inschrijvings- en toelatingseisen zoals die in het onderhavige wetsvoorstel zijn verwoord. Hoe in de praktijk invulling aan deze regelgeving wordt gegeven is ook bij de Nederlandse orde van advocaten, niet bekend.
Behalve de bovengenoemde lidstaten hebben Denemarken, Finland, Noorwegen, Zweden, Griekenland en Italië de richtlijn geïmplementeerd.
De leden van de VVD-fractie zijn geïnteresseerd in de wijze waarop in de lidstaten wordt omgegaan met de stage- en education permanente verplichtingen.
Op dit terrein voorziet de richtlijn niet in een gelijkschakeling van regelgeving binnen de Europese Unie. Elke lidstaat blijft binnen de grenzen van het communautaire recht bevoegd de eigen gedrags- en beroepsregels vast te stellen. Voor Nederland is vooral van belang dat hier werkzame EU-advocaten onder de Nederlandse regels vallen en dat Nederlandse advocaten die in een andere lidstaat werkzaam zijn niet alleen aan de plaatselijke regels, maar ook aan de Nederlandse regels moeten voldoen.
De leden van de VVD-fractie vragen zich af of het stellen van de eis dat een buitenlandse advocaat gedurende drie jaar daadwerkelijk en regelmatig in Nederland en in het Nederlandse recht, met inbegrip van het gemeenschapsrecht, als advocaat werkzaam moet zijn geweest niet een onnodige, dan wel onrechtmatige belemmering vormt voor buitenlandse advocaten die zich in Nederland willen vestigen.
Het vereiste dat de advocaat gedurende drie jaar daadwerkelijk en regelmatig in Nederland en in het Nederlandse recht als advocaat werkzaam moet zijn geweest wordt gesteld aan de advocaat die tot de Nederlandse balie wil toetreden. Opdat deze advocaat als volwaardig «Nederlands» advocaat kan optreden is het van belang dat hij voldoende kennis heeft van niet alleen het Nederlandse recht, maar ook van de Nederlandse rechtscultuur. Daarmee wordt zoveel mogelijk gewaarborgd dat de buitenlandse advocaat rechtshulp biedt van voldoende kwalitatief niveau. De rechtzoekende mag er ook redelijkerwijs van uitgaan dat de advocaat, die zich presenteert als «Nederlands» advocaat, voldoende kennis heeft van het Nederlandse recht en van de normen die de Nederlandse rechtscultuur kenmerken. Het stellen van deze eisen is niet onnodig belemmerend. Dit vereiste is uitdrukkelijk opgenomen in de richtlijn en dient als zodanig ook geïmplementeerd te worden. Bovendien beoogt het vereiste een goede beroepsuitoefening te waarborgen. Eisen die daarop betrekking hebben mogen ook op grond van het Europese recht worden gesteld.
Op de vraag van dezelfde leden hoe een advocaat drie jaar in Nederland als advocaat werkzaamheden kan verrichten zonder als zodanig te zijn ingeschreven, kan worden geantwoord dat deze advocaten hetzij door het verlenen van diensten of het verrichten van advocatenwerkzaamheden op grond van de artikelen 16a en verder respectievelijk 16h en verder van de Advocatenwet, hetzij voor een Nederlands advocatenkantoor juridische werkzaamheden kunnen verrichten. In dat laatste geval mogen zij nog niet hun buitenlandse advocatentitel voeren. In alle voornoemde kaders kunnen zij kennis van het Nederlandse recht en voeling met de rechtscultuur opbouwen. Behoudens het daadwerkelijk procederen kunnen deze advocaten zelfstandig alle werkzaamheden verrichten die een «Nederlands» advocaat mag verrichten.
Dezelfde leden vragen hoe andere lidstaten aankijken tegen de eis dat de advocaat gedurende drie jaar daadwerkelijk en regelmatig in het gastland werkzaamheden als advocaat moet hebben verricht alvorens toe te mogen treden tot de balie aldaar. In Duitsland wordt dezelfde eis gesteld. In de Duitse regelgeving wordt de definitie van «daadwerkelijk en regelmatig werkzaam» uit de richtlijn ook overgenomen. Onder «daadwerkelijk en regelmatig werkzaam» wordt verstaan, de daadwerkelijke uitoefening van de werkzaamheden zonder andere dan de in het dagelijkse leven normale onderbrekingen. Vervolgens wordt bepaald dat onderbrekingen tot drie weken worden geacht te behoren tot de normale onderbrekingen. Bij onderbrekingen van langere duur bepalen de omstandigheden van het geval of sprake is van een normale onderbreking. De Oostenrijkste regelgeving haalt eveneens de definitie van «daadwerkelijk en regelmatig werkzaam» aan. Zonder dit nader te definiëren wordt tevens bepaald dat de beoordeling van deze onderbrekingen in het licht van de omstandigheden van het geval geschiedt. Daarbij wordt acht geslagen op de oorzaak, de duur en de frequentie van de onderbreking. In Groot-Brittannië is alleen de definitie van «daadwerkelijk en regelmatig werkzaam» in de regelgeving opgenomen.
Dezelfde leden willen weten hoe deze drie-jaars eis zich verhoudt met het recht van vrijheid van vestiging die in de zaak Klopp zodanig is uitgelegd dat advocaten in staat moeten worden gesteld om in meer dan één lidstaat hun beroep uit te oefenen.
Het Europees Parlement en de Raad van de Europese Unie hebben bij het opstellen van de richtlijn gekozen voor deze driejarige ervaringseis. Deze eis werd niet strijdig bevonden met het recht van vrijheid van vestiging.
De zaak Klopp betrof een Duitse advocaat die op grond van de Franse toelatingsregels toegang vroeg tot de Parijse balie. De Duitse advocaat beschikte over de vereiste Franse diploma's. De Duitse advocaat vroeg dus geen toelating tot de balie op grond van zijn Duitse diploma's. De kern van de zaak betrof de vraag of de Duitse advocaat zijn Duitse vestiging moest opgeven om in Parijs de advocatuur te mogen bedrijven. Het Hof van Justitie EG overwoog dat de wettelijke regeling van een lidstaat van een advocaat niet kan verlangen dat hij in de gehele Gemeenschap slechts op één plaats kantoor houdt. »Een dergelijke restrictieve uitlegging zou er immers toe leiden, dat een advocaat die zich eenmaal in een bepaalde lidstaat heeft gevestigd, van de hem door het Verdrag gewaarborgde vrijheid om zich in een andere lidstaat te vestigen, enkel maar gebruik kan maken indien hij zijn reeds bestaande vestiging opgeeft», aldus het Hof van Justitie EG in overweging 18. Uit het arrest blijkt verder dat er wel in het belang van een goede rechtsbedeling nadere eisen aan de inschrijving van de buitenlandse advocaat mogen worden gesteld. Daarbij wordt als voorbeeld genoemd de verplichting om de voor het beroep geldende gedragsregels na te leven. Het is hiermee in overeenstemming dat in de onderhavige richtlijn de eis wordt gesteld dat de buitenlandse advocaat een driejarige praktijkervaring in het gastland heeft opgebouwd.
De leden van de VVD-fractie merken op dat de raden van toezicht een closed-shop-benadering kunnen kiezen bij de beoordeling van de toelatingseisen van degenen die in Nederland nog geen drie jaar het Nederlandse recht hebben toegepast. Daardoor zou de concurrentie buiten de deur kunnen worden gehouden. Deze leden willen weten hoe dit wordt voorkomen.
Indien de raad van toezicht weigert een buitenlandse advocaat in te schrijven op het tableau kan de advocaat daartegen bezwaar en beroep aantekenen overeenkomstig de Algemene wet bestuursrecht. Op deze manier wordt de beoordeling van de raad van toezicht getoetst en wordt jurisprudentie opgebouwd met betrekking tot de beoordeling van de toelatingseisen.
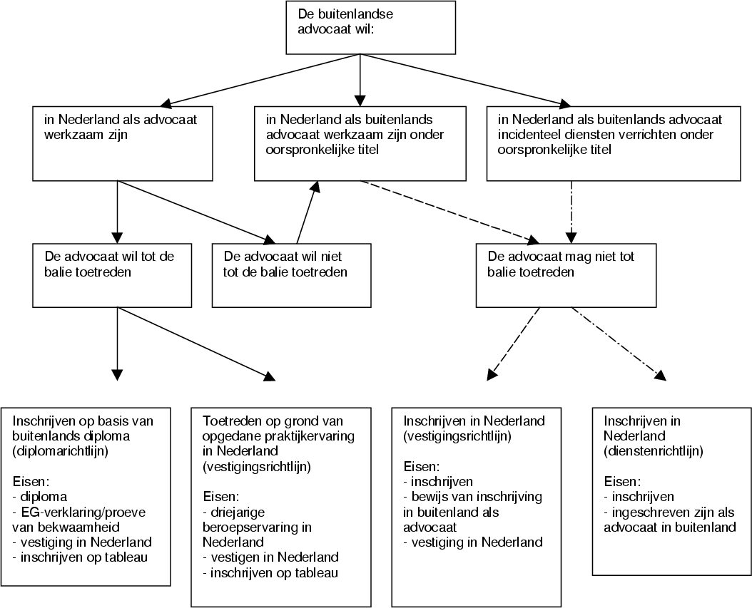
De leden van de VVD-fractie vragen in een stroomdiagram aan te geven welke
toelatingsmogelijkheden er zijn voor advocaten uit een andere lidstaat en
aan welke voorwaarden en kwalificaties de advocaat moet voldoen om voor de
onderscheiden toelatingsmogelijkheden in aanmerking te komen.
Met de leden van de VVD-fractie ben ik van mening dat een goede communicatie met de advocatuur omtrent de mogelijkheden die de richtlijn biedt van groot belang is. De Nederlandse orde van advocaten heeft tot taak zijn achterban goed te informeren. Deze informatie wordt onder andere gegeven door middel van publicaties in het Advocatenblad, het huisorgaan van de Nederlandse orde. Tevens draagt de Nederlandse orde zorg voor de coördinatie bij het opstellen van richtlijnen voor de beoordeling van de toelatingseisen. Het bureau van de Orde kan door binnen- en buitenlandse advocaten worden benaderd voor informatie over de richtlijn en het onderhavige wetsvoorstel.
Daarnaast biedt de Counsel of the bars and law societies of the European Union (CCBE) de overkoepelende Europese organisatie van advocatenbalies, via haar website en anderszins informatie over de regelgeving in de andere lidstaten.
De leden van de CDA-fractie zijn van mening dat niet duidelijk is hoe de raad van toezicht controle uitoefent op de beroepsbekwaamheid van buitenlandse advocaten die zich in Nederland willen vestigen.
Het uitgangspunt van de richtlijn is dat niet aan de kwaliteit van de advocaat uit een andere lidstaat wordt getwijfeld. Iemand die advocaat is in de ene lidstaat, kan in een andere lidstaat als advocaat zijn beroep uitoefenen onder zijn oorspronkelijke beroepstitel. Indien die advocaat echter ook werkzaam wil zijn onder de Nederlandse beroepstitel en wil toetreden tot de Nederlandse orde van advocaten, zal hij overeenkomstig artikel 10, eerste lid, van de richtlijn moeten aantonen dat hij kennis heeft van het Nederlandse recht. Daarmee is dan gegarandeerd dat die advocaat als volwaardig «Nederlands» advocaat de advocatuur kan uitoefenen.
Dit betekent, in antwoord op een vraag van dezelfde leden, dat de raad van toezicht met het oog op de beoordeling van de beroepsbekwaamheid van die advocaat niet meer mag eisen dan overlegging van een bewijs dat betrokkene advocaat is in een andere lidstaat. Voorts moet de betreffende advocaat bescheiden overleggen die inzicht geven in zijn kennis van het Nederlandse recht. Het stellen van meer eisen aan de beroepskwalificatie zou in strijd zijn met de richtlijn. Overigens laat dit onverlet dat de documenten bedoeld in artikel 2a, vijfde lid, juncto artikel 2, tweede lid, moeten worden overgelegd.
De leden van de CDA-fractie opperen om met het oog op het waarborgen van de kwaliteit van de advocatuur van buitenlandse advocaten die in Nederland werkzaam willen zijn, te eisen dat hun diploma's worden erkend.
Op grond van het Europese recht wordt juist heel bewust onderscheid gemaakt tussen de doelstelling van de vestigingsrichtlijn en die van de diplomarichtlijn. De vestigingsrichtlijn heeft tot doel om de vrijheid van vestiging te waarborgen. Daartoe worden in de richtlijn voor de Europese Staten uniforme richtlijnen opgesteld. Om te waarborgen dat de vrijheid van vestiging de kwaliteit van de beroepsuitoefening niet aantast is de eis gesteld dat de advocaat uit een andere lidstaat die in Nederland tot de balie wil toetreden, in beginsel moet aantonen dat hij drie jaar advocatenwerkzaamheden in Nederland heeft verricht. Hiermee wordt de kwaliteit in voldoende mate gewaarborgd. Om aan voornoemde eis te kunnen voldoen kan de buitenlandse advocaat zich bij voorbeeld op grond van artikel 16h laten inschrijven bij de raad van toezicht. Hij is dan bevoegd om in Nederland advocatenwerkzaamheden te verrichten waarbij hij in een procedure moet samenwerken met een Nederlandse advocaat. Na drie jaar kan deze advocaat ervoor kiezen om tot de balie toe te treden.
De diplomarichtlijn regelt de erkenning van de Europese diploma's. Opdat een buitenlandse advocaat in Nederland als volwaardig advocaat kan functioneren is als voorwaarde voor erkenning de eis gesteld dat hij een proeve van bekwaamheid aflegt. Deze proeve van bekwaamheid bestaat uit een aantal examens op het gebied van het Nederlandse recht. Praktisch gezien betekent dit dat het kennisniveau van degene die een proeve van bekwaamheid heeft afgelegd gelijk is aan die van degene die alhier gedurende drie jaar als advocaat werkervaring heeft opgedaan.
De leden van de CDA-fractie zijn erin geïnteresseerd of de overige lidstaten alsmede de verdragspartners van de Europese Economische Ruimte op vergelijkbare wijze omgaan met Nederlandse advocaten die zich in de bedoelde Europese landen vestigen.
Uit het feit dat is ingestemd met de richtlijn kan worden opgemaakt dat er een breed draagvlak voor de uitgangspunten van de richtlijn is. De eerder aangehaalde CCBE draagt het gedachtegoed van de richtlijn ook overtuigend uit. Er zijn geen aanwijzingen die erop duiden dat de uitvoering van de richtlijn op verschillende wijze zal plaatsvinden.
De leden van de CDA-fractie memoreren dat de mogelijkheid bestaat dat tegen een advocaat in zowel Nederland, als het buitenland tegelijkertijd een tuchtrechtelijke procedure wordt gevoerd. In een dergelijk geval zal één van beide procedures worden geschorst. Deze leden willen weten of het in principe mogelijk wordt om de geschorste procedure te heropenen wanneer de afgeronde procedure waarin uitspraak is gedaan voor één van de betrokken partijen een onbevredigend resultaat heeft opgeleverd.
Het is niet aan één van de partijen om te bepalen of de zaak weer wordt heropend. De tuchtrechter beslist tot heropening van de zaak. Daarbij zal een rol spelen op welke grond in het buitenland de rechter zijn uitspraak heeft gebaseerd. Indien de geschonden tuchtrechtnorm in het buitenland vergelijkbaar is met de norm in artikel 46 van de Advocatenwet, is het denkbaar dat de tuchtrechter met toepassing van de ne bis in idem regel de zaak beëindigt zonder oplegging van een maatregel. Niet uitgesloten is echter dat de buitenlandse tuchtrechtnorm zoveel verschilt van de Nederlandse norm dat de tuchtzaak in Nederland kan worden doorgezet. Het is aan de tuchtrechter daarover te oordelen. In zoverre zijn, in antwoord op een vraag van de leden van de CDA-fractie, buitenlandse uitspraken of uitspraken van de Nederlandse tuchtrechter niet zonder meer bindend voor een rechter uit een andere lidstaat.
De leden van de CDA-fractie vragen om verduidelijking van de betekenis die moet worden toegekend aan de toevoeging «met inbegrip van het gemeenschapsrecht» in artikel 2a, eerste lid.
Alvorens een advocaat uit een andere lidstaat tot de Nederlandse balie kan toetreden, moet hij aantonen dat hij over voldoende kennis van het Nederlandse recht beschikt. Dit biedt dan de garantie dat hij als volwaardig advocaat in Nederland werkzaam kan zijn. Onder het Nederlandse recht wordt in het algemeen verstaan de Nederlandse regelgeving. Aangezien Nederland behoort tot de EU vormt een onderdeel van de Nederlandse regelgeving de EU regelgeving. Kennis van de EU regelgeving mag om die reden een onderdeel zijn van de kennis op het gebied van het Nederlandse recht.
In het vijfde lid van zowel artikel 60b als van artikel 60aa wordt bepaald dat de raad van toezicht de inschrijving doorhaalt, indien de bevoegde autoriteit van de lidstaat van herkomst de uitoefening van het beroep van advocaat heeft ontzegd. De leden van de CDA-fractie vragen zich af of het niet beter is om in een dergelijk geval niet van doorhaling te spreken. Een doorhaling heeft, aldus deze leden, in beginsel tot gevolg dat de advocatuur niet meer mag worden uitgeoefend. Deze leden constateren dat in de onderhavige situatie de doorhaling niet dat rechtsgevolg heeft.
Anders dan de leden van de CDA-fractie, ben ik van mening, dat de term doorhaling niet noodzakelijkerwijs tot gevolg behoeft te hebben dat de betrokken advocaat zijn beroep niet meer mag uitoefenen. De term «doorhaling» wordt in de Advocatenwet niet als zodanig gebruikt. Wel wordt in die wet melding gemaakt van schrapping van het tableau. De doorhaling heeft als zodanig geen rechtsgevolg. Het rechtsgevolg vloeit direct voort uit het vijfde lid waarin is bepaald dat de buitenlandse uitspraak inhoudende de ontzegging van rechtswege met zich brengt dat de betrokken advocaat in Nederland zijn beroep onder zijn oorspronkelijke beroepstitel niet meer mag uitoefenen. De doorhaling is slechts een administratieve handeling. Aangezien aan de doorhaling als zodanig geen rechtsgevolg is verbonden is er naar mijn mening geen noodzaak tot gebruik van een andere terminologie.
Op de vraag van de leden van de CDA-fractie of de te late implementatie van de richtlijn er niet reeds toe heeft geleid dat advocaten gedupeerd zijn die zich hadden willen inschrijven, kan ontkennend worden geantwoord. Met toepassing van de toelatingseisen die de richtlijn stelt, kan een advocaat uit een andere lidstaat worden ingeschreven in Nederland. De raad van toezicht beslist daarover. Tegen een weigering om te worden ingeschreven staat bezwaar en beroep open op grond van de Awb. In de praktijk hebben zich op dit punt, voorzover bekend, geen problemen voorgedaan.
De leden van de CDA-fractie constateren dat de buitenlandse advocaat die tot de Nederlandse balie wil toetreden in ieder geval drie jaar in het Nederlandse rechtsbestel werkzaam moet zijn geweest. Op de vraag van deze leden waarom voor een drie-jaars termijn is gekozen, kan worden geantwoord dat deze termijn in artikel 10 van de richtlijn is voorgeschreven. Deze termijn werd voldoende geacht om een goede kennis van – in dit geval – het Nederlandse recht op te doen.
De leden van de CDA-fractie stellen naar aanleiding van de verplichting tot overlegging van documenten met het oog op de inschrijving de vraag of de betrokken advocaat een smetteloos verleden moet hebben en hoe daarmee wordt omgegaan.
Het is niet noodzakelijk dat de advocaat een smetteloos verleden moet hebben gehad alvorens hij wordt ingeschreven. Wel worden de tuchtrechtelijke veroordelingen op hun waarde geschat. Een ernstige veroordeling kan aan een inschrijving in de weg staan. In de jurisprudentie zijn geen uitspraken gevonden die aangeven hoe hiermee precies wordt omgegaan. Om deze reden moet ik ook het antwoord schuldig blijven op de vraag of er bepaalde verjaringstermijnen worden gehanteerd. Van geval tot geval kan het echter in de rede liggen rekening te houden met het tijdsverloop na de veroordeling.
Deze leden vragen voorts of de beoordeling van deelname aan cursussen en seminars geschiedt aan de hand van deelnamecertificaten of examens. De Nederlandse orde van advocaten zal dat bij verordening vaststellen. Beide opties behoren tot de mogelijkheden.
De leden van de CDA-fractie informeren naar de mogelijkheid dat op grond van het wetsvoorstel inzake de onbehoorlijke praktijkuitoefening (Kamerstukken II 1999/2000, 26 940, nr. 1–2) een advocaat zijn kantoor in Nederland moet sluiten, omdat hij in bijvoorbeeld Duitsland daartoe tuchtrechtelijk is veroordeeld.
Op dit punt is het wellicht goed om twee situaties te onderscheiden. De eerste situatie betreft die van de Nederlandse tuchtrechter die heeft geoordeeld over de Nederlandse advocaat of bijvoorbeeld de Duitse advocaat die zich in Nederland als advocaat heeft gevestigd. Volgt uit de Nederlandse uitspraak dat het Nederlands kantoor van de betreffende advocaat moet worden gesloten dan werkt deze uitspraak alleen dan door in het Duitse recht, indien in het Duitse recht daartoe een bepaling is opgenomen.
De tweede situatie betreft een Nederlandse advocaat die in Duitsland tot de advocatuur is toegetreden. Indien de bevoegde autoriteit in Duitsland of de tuchtrechter aldaar heeft geoordeeld dat de Nederlandse advocaat zijn beroep tijdelijk of blijvend niet mag uitoefenen, zou deze uitspraak in het Nederlandse recht op grond van artikel 9aa zonder meer doorwerken. Het gevolg kan zijn dat de betreffende advocaat zijn praktijk moet sluiten.
Ik ben echter na ampele overwegingen tot de conclusie gekomen dat een zo dwingende doorwerking onwenselijk is. Het van rechtswege laten doorwerken van een buitenlandse uitspraak met betrekking tot het tijdelijk of blijvend ontzeggen van de uitoefening van het beroep advocaat heeft verstrekkende gevolgen voor de advocaat. Het gevolg is immers dat de Nederlandse advocaat, die volgens een buitenlandse tuchtnorm is veroordeeld, niet alleen in de desbetreffende lidstaat maar ook in Nederland, niet meer de advocatuur mag uitoefenen. Dit gevolg is naar mijn mening alleen aanvaardbaar als het betreffende geval zo ernstig is dat de betrokken advocaat volgens Nederlandse maatstaven ook in Nederland niet meer de advocatuur zou mogen uitoefenen. Gelet op het verschil in beroeps- en gedragsregels alsmede van tuchtrechtelijke beoordelingen in de verschillende lidstaten kan een automatische doorwerking van een buitenlandse uitspraak in Nederland onwenselijk zijn. Te denken valt aan de situatie waarin de Nederlandse advocaat in een andere lidstaat als advocaat in loondienst werkt, terwijl dat in strijd is met het recht van het desbetreffende land. Indien de uitoefening van de advocatuur aan betrokkene wordt ontzegd, zou dit automatisch met zich brengen dat hij ook in Nederland de advocatuur niet meer mag uitoefenen, terwijl de advocaat in loondienst hier volledig is geaccepteerd.
Voorgesteld wordt om de buitenlandse uitspraak niet langer automatisch te laten doorwerken, maar de raad van toezicht te laten beoordelen of ook in Nederland de buitenlandse uitspraak moet leiden tot schrapping van het tableau. Daarbij wordt aangesloten bij de reeds bestaande procedure betreffende het doen van verzet door de raad van toezicht tegen de inschrijving van een advocaat op grond van het bestaan van de gegronde vrees dat de betrokkene als advocaat inbreuk zal maken op de voor de advocaten geldende wetten, verordeningen en besluiten of zich anderszins zal schuldig maken aan enig handelen of nalaten dat een behoorlijk advocaat niet betaamt (artikelen 4). Het voordeel van deze toetsingsgrond is dat deze niet alleen bekend is bij de raad van toezicht maar tevens aansluit bij de bedoeling van een mogelijk gevolg van de buitenlandse uitspraak. Het gaat er immers om dat wordt beoordeeld of het uitoefenen van het beroep van advocaat in Nederland, nadat de inschrijving van de betrokkene in het buitenland is doorgehaald, gelet op de situatie, een zodanige inbreuk is op de Nederlandse rechtsorde dat ook in Nederland de betrokken advocaat van het tableau moet worden geschrapt. Met het nieuwe voorstel wordt overigens nog beter aangesloten bij de tekst van artikel 7, vierde lid, van de richtlijn. In artikel 7, vierde lid wordt immers bepaald dat de bevoegde autoriteit van de lidstaat van herkomst besluit over het gevolg dat overeenkomstig de eigen regels van materieel en formeel recht moet worden gegeven aan de door de bevoegde autoriteit van de lidstaat van ontvangst jegens de onder zijn oorspronkelijke beroepstitel werkzame advocaat gegeven beslissing.
Bij nota van wijziging wordt voorgesteld artikel 9aa in voornoemde zin te wijzigen.
Het is de leden van de CDA-fractie niet duidelijk wat precies de inhoud is van de samenwerking tussen de Nederlandse advocaat en de advocaat uit een andere lidstaat die zich op grond van artikel 16h in Nederland heeft gevestigd. Het doel van de samenwerking is dat de buitenlandse advocaat door de Nederlandse advocaat wegwijs wordt gemaakt in de wijze waarop in Nederland wordt geprocedeerd. De Nederlandse advocaat is immers meer vertrouwd met de Nederlandse rechtscultuur dan de buitenlandse advocaat. De samenwerking is meer gericht op de procedurele kant van de zaak dan op de vakinhoudelijke kant van de zaak. De buitenlandse advocaat is bevoegd de zaak te bepleiten voor de rechter. Nadat de buitenlandse advocaat bekend is met de wijze van procederen bij de betreffende rechtbank zal de samenwerking tot een minimum zijn beperkt.
In artikel 2a, eerste lid, wordt bepaald dat de buitenlandse advocaat die tot de Nederlandse balie wil toetreden moet aantonen dat hij daadwerkelijk en regelmatig in Nederland in het Nederlandse recht als advocaat werkzaam is geweest. De leden van de CDA-fractie verzoeken om een nadere objectivering van het begrippenpaar «daadwerkelijk en regelmatig».
Een nadere objectivering is niet mogelijk. In de richtlijn wordt een definitie gegeven van «daadwerkelijk en regelmatig». Deze definitie is in het eerste lid van artikel 2a overgenomen. Onder «daadwerkelijk en regelmatig werkzaam» wordt verstaan de daadwerkelijke uitoefening van de werkzaamheid zonder andere dan de in het dagelijks leven normale onderbrekingen. Het is evident dat in de nationale wetgeving niet van deze definitie kan worden afgeweken. Een nadere verduidelijking kan om die reden niet worden gegeven.
Anders dan de leden van de CDA-fractie aangeven, ben ik niet van mening dat in artikel 2b, eerste lid, in de zinsnede «werkzaam is geweest» de woorden «als advocaat» ontbreken. Artikel 2b bouwt voort op artikel 2a in die zin dat in het eerste lid van artikel 2b een uitzondering wordt geregeld in het geval de buitenlandse advocaat niet voldoet aan de zogenaamde drie-jaars termijn. Aangezien sprake is van een voortbouwend artikel wordt niet meer de gehele tekst van het eerste lid van artikel 2a herhaald. Maar om verwarring geheel uit te sluiten zal bij nota van wijziging het voorstel van voornoemde leden worden overgenomen.
Op de vraag van de leden van de CDA-fractie of de advocaat uit een andere lidstaat die tot de Nederlandse balie is toegetreden, ervoor kan kiezen om alleen zijn buitenlandse titel te voeren, moet ontkennend worden geantwoord. Dit is uitdrukkelijk bepaald in artikel 10, zesde lid, van de richtlijn.
De buitenlandse advocaat voert altijd de Nederlandse advocatentitel. Hij is immers als Nederlands advocaat ingeschreven. Daarnaast mag de advocaat zijn buitenlandse titel voeren.
De leden van de GroenLinks-fractie vragen of de uitleg van het criterium «daadwerkelijk en regelmatig werkzaam zijn» wel ruimte laat voor de uitleg van de richtlijn dat de advocaat in staat moet worden gesteld om in meer dan één lidstaat zijn beroep uit te oefenen. Daarbij wijzen deze leden op de verhouding tussen de zaken Klopp en Van de Bijl.
In de zaak Klopp is bepaald dat een lidstaat met het oog op de vrijheid van vestiging niet mag verlangen dat een advocaat in de gehele Europese Unie slechts op één plaats kantoor houdt. In de zaak Van de Bijl wordt ditzelfde uitgangspunt herhaald. Daarbij wordt aangegeven dat daadwerkelijke uitoefening van de betrokken werkzaamheid in een andere lidstaat niet betekent dat de werkzaamheden niet in meer vestigingen in andere lidstaten kunnen worden uitgeoefend. Een advocaat uit een andere lidstaat kan dus ook in Nederland onder zijn oorspronkelijke beroepstitel werkzaam zijn. Om in aanmerking te komen voor de Nederlandse titel advocaat is in beginsel vereist dat betrokkene gedurende drie jaar daadwerkelijk en regelmatig in Nederland al advocaat werkzaam is geweest. Om niet uit te sluiten dat de advocaat in verschillende lidstaten vestigingen kan hebben is in de richtlijn bewust gekozen voor het vereiste van daadwerkelijke en regelmatige beroepsuitoefening.
Met de leden van de GroenLinks-fractie ben ik van mening dat het van belang is dat de raad van toezicht beleid ontwikkelt voor de beoordeling van de verzoeken om toetreding tot de balie. Deze leden stellen een aantal vragen met betrekking tot het te voeren beleid op dit punt.
Bij het opstellen van de normen zie ik geen directe rol voor de regering weggelegd. De Nederlandse orde van advocaten is een publiekrechtelijke beroepsorganisatie met een eigen verantwoordelijkheid voor de naleving van de richtlijn. De Orde heeft reeds aangegeven mede met het oog op de handhaving van de uniformiteit bij de toepassing van de toetredingseisen, een coördinerende rol te willen vervullen. Bij het opstellen van het beleid is de Orde gehouden binnen de normen van de richtlijn te blijven. Daarbij kan de Orde gebruik maken van de kennis van de Counsel of the bars and law societies of the European Union. Deze overkoepelende Europese advocatenorde heeft globale richtlijnen opgesteld voor de toepassing van de richtlijn. Daar komt bij dat een vertegenwoordiger van de Nederlandse orde van advocaten aanwezig is geweest bij het opstellen van de richtlijn met als gevolg dat ook van die kennis gebruik kan worden gemaakt bij de interpretatie van de richtlijn.
De leden van de GroenLinks-fractie vragen welke criteria er zijn voor de beoordeling van de weigeringgrond «strijd met de openbare orde». Daarbij wordt gevraagd of vereist is dat een disciplinaire straf is opgelegd.
Op grond van artikel 10, vierde lid, van de richtlijn is de lidstaat van ontvangst bevoegd om te bepalen dat een advocaat uit een andere lidstaat niet tot de balie mag toetreden, indien dit in strijd is met de openbare orde, met name op grond van disciplinaire vervolging, klachten of incidenten van allerlei aard. Artikel 4 van de Advocatenwet voorziet hier in. Verdergaande mogelijkheden dan die in artikel 4 zijn genoemd, om verzet tegen de beëdiging van de advocaat te creëren acht ik niet nodig. Daarbij is met name van belang artikel 4, tweede lid, onder b, waar wordt bepaald dat de beëdiging kan worden geblokkeerd, indien gegronde vrees bestaat dat de verzoeker als advocaat inbreuk zal maken op de voor de advocaten geldende wetten, verordeningen en besluiten of zich anderszins zal schuldig maken aan enig handelen of nalaten dat een behoorlijk advocaat niet betaamt. Voor de toepassing van dit criterium is niet zonder meer vereist dat een disciplinaire straf is opgelegd. Wel kan een disciplinaire straf een aanwijzing zijn dat betrokkene als advocaat zich onbetamelijk zal gedragen. Het is aan de raden van toezicht om beleid te ontwikkelen met betrekking tot de wijze waarop met klachten, vervolgingen of incidenten rekening wordt gehouden bij het doen van verzet. Het beleid op dit punt zal zich met name in de loop van de tijd op basis van ervaringen ontwikkelen, aangezien op dit moment niet te overzien is welke problemen zich kunnen gaan voordoen. Op de vraag of een ingetrokken klacht ook wordt betrokken bij de vraag of verzet wordt gedaan tegen de inschrijving, kan niet eenduidig worden geantwoord. Van een dergelijke ingetrokken klacht kan kennis worden genomen voorzover deze klacht bekend is. Niet ondenkbaar is dat dit mee wordt gewogen ter kleuring van een reeds op andere duidelijke feiten gebaseerd oordeel. Het kan wenselijk zijn om met het oog op het beoordelen van een ingetrokken klacht contact op te nemen met de bevoegde autoriteit in het buitenland.
Meer in het algemeen vragen de leden van de GroenLinks-fractie waarop de gegronde vrees dat de advocaat zich niet behoorlijk zal gedragen moet zijn gebaseerd.
Ik moge verwijzen naar mijn antwoord hierboven.
De leden van de CDA-fractie willen weten in hoeverre de buitenlandse autoriteiten verplicht zijn om de raad van toezicht en overige Nederlandse autoriteiten te assisteren wanneer er een tuchtrechtelijk onderzoek loopt tegen een buitenlandse advocaat die zich permanent in Nederland heeft gevestigd. De algemene basis waarin de samenwerking tussen de lidstaten is geregeld, is artikel 13 van de richtlijn. In dit artikel wordt bepaald dat de bevoegde autoriteiten van de lidstaat van ontvangst en die van de lidstaat van herkomst nauw samenwerken en dat zij elkaar bijstand verlenen teneinde de toepassing van de richtlijn te vergemakkelijken en te voorkomen dat deze in voorkomende gevallen uitsluitend wordt gebruikt om aan de in de lidstaat van ontvangst toepasselijke voorschriften te ontsnappen. Alhoewel in artikel 7, derde lid, van de richtlijn alleen ingeval van een tuchtrechtelijke procedure tegen een advocaat uit een andere lidstaat die niet tot de balie is toegetreden, is geregeld dat lidstaten die het aangaat met elkaar moeten samenwerken, is het vanzelfsprekend dat dit ook de bedoeling is ingeval een tuchtrechtelijke procedure wordt aangevangen jegens een buitenlandse advocaat die wel tot de balie is toegetreden. Het hiervoor aangehaalde artikel 13 biedt daarvoor de basis.
De leden van de CDA-fractie vragen wat er gebeurt wanneer een buitenlandse advocaat zich in Nederland heeft gevestigd en er wordt tegen hem in het land van zijn herkomst een tuchtrechtelijke procedure aangespannen op grond van een aanklacht die in Nederland, had het voorval zich hier voorgedaan, niet tot een tuchtrechtelijke procedure zou hebben geleid.
Deze buitenlandse advocaat blijft onderworpen aan het tuchtrecht in zijn land van herkomst. Dit geldt zowel voor de advocaat die niet als die wel tot de balie is toegetreden. In het eerste geval is in artikel 60b (60aa), vijfde lid, geregeld welk gevolg de buitenlandse uitspraak in Nederland heeft. Met betrekking tot de advocaat die niet tot de balie is toegetreden geldt dan het volgende. Voorzover de buitenlandse rechter de uitoefening van het beroep van advocaat van degene die zich ook in Nederland als buitenlands advocaat heeft laten inschrijven tijdelijk of blijvend heeft ontzegd, is de betrokken advocaat van rechtswege niet meer bevoegd om in Nederland zijn beroep onder zijn oorspronkelijke beroepstitel uit te oefenen. Deze regel vloeit direct voort uit artikel 7, vijfde lid, van de richtlijn. Bij de toepassing van deze regel is niet van belang of het voorval ook in Nederland tot een tuchtrechtelijke procedure zou hebben geleid. Overigens werken uitspraken die geen tijdelijke of blijvende ontzegging inhouden niet van rechtswege door in het Nederlandse rechtsstelsel. Dit laat de richtlijn niet toe. Stel dat in het voorbeeld door de leden van de CDA-fractie gegeven, de betrokken buitenlandse advocaat een waarschuwing zou hebben gekregen dan heeft dit in ieder geval geen directe invloed op zijn werkzaamheden in Nederland. Wel is de raad van toezicht op de hoogte van deze maatregel.
In het geval de buitenlandse advocaat tot de balie is toegetreden vloeit uit artikel 2c voort dat deze advocaat in Nederland niet bevoegd is om zijn buitenlandse titel te voeren indien deze hem op grond van een buitenlandse uitspraak is ontnomen. De bepaling kan echter ook zo worden uitgelegd dat de betrokken advocaat de beroepstitel die hij ooit heeft gehad mag blijven gebruiken. De term «oorspronkelijke beroepstitel» zou op die manier uitgelegd kunnen worden. Om dit te voorkomen wordt voorgesteld in een tweede lid bij artikel 2c deze onduidelijkheid weg te nemen.
De leden van de CDA-fractie opperen om een bepaling op te nemen over hoe met situaties voortkomend uit conflicterend recht zal worden omgegaan. Naar mijn mening kan uit hetgeen hierboven is vermeld worden opgemaakt dat een dergelijke bepaling niet nodig is. Voorzover zich de situatie voordoet dat in twee lidstaten een tuchtrechtelijke procedure wordt gevoerd, ligt het voor de hand dat het onderlinge contact tussen de bevoegde autoriteiten ertoe leidt dat een van beide procedures wordt geschorst.
De vraag van de leden van de GroenLinks-fractie of de beslissing tot ontzegging van de uitoefening van het beroep advocaat die van rechtswege wordt overgenomen, slechts geldt indien de periode dat de advocaat zijn beroep niet mag uitoefenen nog niet is verstreken, is – gelet op het hierboven aangehaald voorstel tot wijziging – niet meer van belang nu wordt voorgesteld artikel 9aa te wijzigen. Dit artikel heeft betrekking op de Nederlandse advocaat die zich in een andere lidstaat heeft laten inschrijven overeenkomstig de richtlijn. Indien de uitoefening van het beroep van advocaat in die andere lidstaat blijvend of tijdelijk is ontzegd, was volgens het oude voorstel de betrokken advocaat ook niet meer bevoegd om in Nederland de advocatuur blijvend respectievelijk tijdelijk uit te oefenen. Op grond van het nieuwe voorstel werkt de buitenlandse beslissing niet langer automatisch door. De raad van toezicht beslist ambtshalve of de advocaat blijvend of tijdelijk van het tableau moet worden geschrapt.
De leden van de CDA-fractie constateren terecht dat alleen een door de buitenlandse tuchtrechter opgelegde ontzegging om het beroep van advocaat te mogen uitoefenen doorwerkt in het Nederlandse recht. Dezelfde leden willen weten hoe met lichtere sancties wordt omgegaan.
Lichtere sancties werken niet door in het Nederlandse recht. Ook op andere wijze wordt geen rekening gehouden met deze sancties, aangezien dit in lang niet alle gevallen goed uitvoerbaar is. Bovendien noodzaakt de richtlijn daartoe ook niet. Zo zullen waarschuwingen en berispingen uitsluitend gelden in de lidstaat waar de tuchtrechter deze uitspraak heeft gedaan. Gelet op de verplichting van de bevoegde autoriteiten om elkaar te informeren over de tuchtrechtelijke procedure, zal de raad van toezicht op de hoogte zijn van de uitspraken in een dergelijke zaak. Dit wil niet zeggen dat deze uitspraken, dit in antwoord op een vraag van deze leden op dit punt, zullen worden gepubliceerd. De uitspraak geldt slechts in de lidstaat waar de uitspraak is gedaan. Een bredere werking heeft de uitspraak niet. Publicatie in Nederland is om die reden niet zinvol.
De leden van de CDA-fractie vragen of sancties die door de Nederlandse tuchtrechter aan een buitenlandse advocaat die zich in Nederland heeft gevestigd, zijn opgelegd alleen in Nederland bekend worden gemaakt of ook in het land van herkomst. De zittingen van de Nederlandse tuchtrechter zijn openbaar. Voorzover de uitspraken van belang zijn voor de jurisprudentie worden ze geanonimiseerd gepubliceerd. Het is dus niet zo dat alle uitspraken worden gepubliceerd. Voorzover in Nederland een advocaat uit een andere lidstaat aan het tuchtrecht is onderworpen, wordt met het oog op de verplichte samenwerking de uitspraak van de Nederlandse tuchtrechter bekend gemaakt aan de bevoegde autoriteit van die andere lidstaat. De regelgeving in die lidstaat bepaalt of tot publicatie wordt overgegaan. Indien een Nederlandse advocaat in een andere lidstaat een tuchtrechtelijke maatregel krijgt opgelegd, wordt deze maatregel aan de raad van toezicht alhier gemeld. De uitspraak wordt volgens dezelfde regels gepubliceerd als de Nederlandse tuchtrechtelijke uitspraken. Dus geanonimiseerd en voorzover noodzakelijk voor de jurisprudentievorming.
De leden van de CDA-fractie refereren aan de verplichte samenwerking van de advocaat die op grond van artikel 16j voor de uitoefening van de werkzaamheden die met de verdediging van de cliënt verband houden, met een advocaat die overeenkomstig artikel 1 in Nederland is ingeschreven. Op de vraag van deze leden of deze bepaling in het buitenland als een vorm van wantrouwen jegens de buitenlandse advocaat kan worden opgevat, wordt ontkennend geantwoord. De richtlijn laat uitdrukkelijk toe dat dit vereiste wordt gesteld. Ook in andere landen, zoals Oostenrijk en Groot-Brittannië, is deze samenwerkingseis gesteld.
Dezelfde leden verifiëren of de samenwerkingsbepaling zich verdraagt met het vrij verkeer van personen en goederen.
De bedoeling van deze bepaling is niet om het de advocaat uit een andere lidstaat onmogelijk te maken om zelfstandig te procederen. Wel is het van belang dat een Nederlandse advocaat de buitenlandse advocaat wegwijs maakt in de procedurele gebruiken in Nederland. Daarmee wordt de kwaliteit van de verdediging in rechte bevorderd.
De leden van de CDA-fractie vragen waarom artikel 37 van het Wetboek van strafvordering niet zodanig is geformuleerd dat dit artikel aanvangt met «Als raadslieden worden toegelaten in Nederland ingeschreven advocaten en personen bedoeld in artikel 16b en 16h van de Advocatenwet, indien die personen enz.» Met de in het wetsvoorstel voorgestelde formulering wordt beoogd om zoveel mogelijk aan te sluiten bij de huidige tekst van artikel 37 van het Wetboek van strafvordering. Bovendien wordt ermee beoogd om duidelijk tot uitdrukking te laten komen dat het samenwerkingsvereiste uitsluitend geldt voor de buitenlandse advocaat.
Dezelfde leden geven als hun mening dat het woord «slechts» in artikel 37 zich moeilijk verdraagt met het woord «Eveneens» in datzelfde artikel. Het woord «slechts» beoogt tot uitdrukking te brengen dat geen anderen dan advocaten als raadslieden mogen opereren in een strafproces. Daarmee wordt duidelijk dat bijvoorbeeld geen deurwaarders raadslieden in een strafproces kunnen zijn. Met de implementatie van destijds de dienstenrichtlijn en thans de vestigingsrichtlijn worden ook bepaalde buitenlandse advocaten als raadslieden toegelaten. Uit de woordkeus blijkt nog steeds duidelijk dat uitsluitend advocaten en geen andere hoedanigheden raadslieden kunnen zijn.
Kopieer de link naar uw clipboard
https://zoek.officielebekendmakingen.nl/kst-27587-5.html
De hier aangeboden pdf-bestanden van het Staatsblad, Staatscourant, Tractatenblad, provinciaal blad, gemeenteblad, waterschapsblad en blad gemeenschappelijke regeling vormen de formele bekendmakingen in de zin van de Bekendmakingswet en de Rijkswet goedkeuring en bekendmaking verdragen voor zover ze na 1 juli 2009 zijn uitgegeven. Voor pdf-publicaties van vóór deze datum geldt dat alleen de in papieren vorm uitgegeven bladen formele status hebben; de hier aangeboden elektronische versies daarvan worden bij wijze van service aangeboden.