Kennisgeving voorkeursrechtbeschikking Nijverdal-Zuid van de gemeenteraad - gemeente Hellendoorn

Nijverdal, 7 maart 2025, kenmerk 2024-020213

 

Vestiging voorkeursrecht

Het college van burgemeester en wethouders van de gemeente Hellendoorn geeft op grond van artikel 16.32b van de Omgevingswet kennis dat de gemeenteraad van de gemeente Hellendoorn op 4 maart 2025 een voorkeursrechtbeschikking heeft genomen op grond van het bepaalde in artikel 9.1, eerste lid, sub c van de Omgevingswet, waardoor op diverse onroerende zaken een voorkeursrecht is gevestigd.

 

Door middel van het vestigen van voorkeursrecht verschaft de gemeente zich voorrang bij aankoop van onroerende zaken benodigd voor het realiseren van toekomstige planologische ontwikkelingen. Speculatie wordt daarmee voorkomen.

 

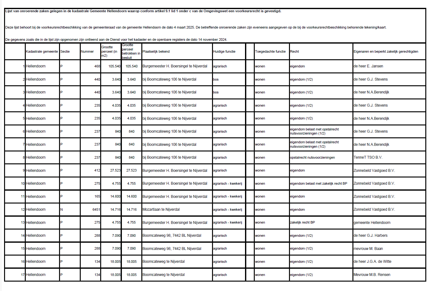
Het voorkeursrecht heeft betrekking op onroerende zaken in het gebied Nijverdal-Zuid. Er worden mogelijkheden gezien om deze locatie in de toekomst te transformeren naar een woongebied.

 

De eigenaren hebben afzonderlijk bericht ontvangen over de inhoud van het besluit en de gevolgen hiervan.

 

Inzien van de stukken

De voorkeursrechtbeschikking van de gemeenteraad van 4 maart 2025 ligt samen met de bijbehorende stukken met ingang van 7 maart 2025 gedurende 6 weken voor iedereen kosteloos ter inzage in het gemeentehuis van de gemeente Hellendoorn aan de Willem Alexanderstraat 7, 7442 MA te Nijverdal.

 

De bijbehorende stukken bestaan uit de kadastrale kaart en een lijst met daarop de kadastrale aanduiding van de in de voorkeursrechtbeschikking opgenomen onroerende zaken, de grootte, de naam van de eigenaar en/of beperkt gerechtigde en overige relevante gegevens. Wilt u de stukken komen inzien, dan kunt u tijdens kantooruren langskomen in het gemeentehuis aan bovenvermeld adres. U hoeft hiervoor geen afspraak te maken.

 

De kadastrale kaart en lijst zijn ook digitaal te raadplegen in het Gemeenteblad via de link ‘gerelateerd – externe bijlagen’ behorende bij deze publicatie.

 

Het college voornoemd,

de secretaris, de burgemeester,

Naar boven