Gemeenteblad van Helmond
| Datum publicatie | Organisatie | Jaargang en nummer | Rubriek | Datum ondertekening |
|---|---|---|---|---|
| Helmond | Gemeenteblad 2025, 72000 | ruimtelijk plan of omgevingsdocument |
Zoals vergunningen, bouwplannen en lokale regelgeving.
Adressen en contactpersonen van overheidsorganisaties.
U bent hier:
| Datum publicatie | Organisatie | Jaargang en nummer | Rubriek | Datum ondertekening |
|---|---|---|---|---|
| Helmond | Gemeenteblad 2025, 72000 | ruimtelijk plan of omgevingsdocument |
Het college van burgemeester en wethouders van Gemeente Helmond
gelezen de tekstinhoud van ”Actieplan geluid 2024-2029” d.d. 10 september 2024
Besluit:
1. om bijgaand Actieplan Geluid vast te stellen.
2. in te stemmen met bijgaande brief 'reactie en nota van zienswijzen Actieplan Geluid'.
3. om bijgaande Raadsinformatiebrief 'Actieplan Geluid 2024-2029' vast te stellen en door te geleiden naar de gemeenteraad.
Het "Actieplan geluid 2024-2029" opgenomen in Bijlage A wordt vastgesteld.
Aldus vastgesteld door college van burgemeester en wethouders, 10 september 2024
Ondertekend door het college van burgemeester en wethouders van de Gemeente Helmond.
Voor u ligt het Algemene deel A van Actieplan geluid voor de gemeenten Best, Eindhoven, Geldrop‑Mierlo, Helmond, Nuenen c.a. Veldhoven, dat is opgesteld in het kader van de EU-Richtlijn Omgevingslawaai.
Geluidklimaat in heel Europa verbeteren
Het doel van de EU-richtlijn is het in kaart brengen en zoveel mogelijk verbeteren van het geluidklimaat in heel Europa. Om dit doel te bereiken worden elke vijf jaar END-geluidbelastingskaarten en een Actieplan geluid gemaakt.
Het Actieplan geluid wordt elke 5 jaar geactualiseerd en is een verplicht programma volgend uit de Europese regelgeving. Na de drie eerdere perioden (2008, 2013 en 2018) wordt er nu voor de vierde keer een Actieplan geluid opgesteld. Het komende Actieplan geluid moet uiterlijk 18 juli 2024 zijn vastgesteld.
In dit algemene deel A van het Actieplan geluid is eerst de wetgeving en opzet van het onderzoek beschreven. Deze elementen zijn voor alle gemeenten hetzelfde of vergelijkbaar. De verschillende landelijke, provinciale en de regionale kaders voor geluidbeleid zijn opgenomen. Daarnaast zijn er beschrijvingen opgenomen van algemene maatregelen die getroffen kunnen worden ter beperking van geluid.
Het omgevingslawaai voor het Actieplan geluid betreft vier geluidsoorten die (verplicht) opgenomen worden: wegverkeerslawaai, railverkeerslawaai, industrielawaai en luchtverkeerslawaai.
Voor iedere gemeente wordt in een eigen deel B de gemeentelijke situatie geschreven en dit deel kan maatwerk bevatten. Deel B zal in een later stadium per gemeente worden opgesteld en worden vastgesteld.
De term kartering wordt gehanteerd voor het opstellen van de END-geluidbelastingskaarten, tabellen en het bijbehorende Actieplan geluid.
Wettelijke basis/agglomeratie/plandrempel
De agglomeratie Eindhoven bestaat uit de gemeenten Best, Eindhoven, Helmond, Geldrop‑Mierlo, Nuenen c.a. en Veldhoven. De agglomeratie is specifiek aangewezen als agglomeratie in de Richtlijn omgevingslawaai. In de richtlijn staat ook dat gemeenten verantwoordelijk zijn voor de beheersing van geluid afkomstig van gemeentelijke wegen en bedrijven. Voor de zes gemeenten binnen de agglomeratie zijn daarom wettelijk verplichte END‑geluidbelastingskaarten en tabellen in 2022 vastgesteld. Het opstellen van het Actieplan geluid is ook een wettelijke verplichting voor de gemeenten binnen de agglomeratie Eindhoven.
Het voorliggende deel A van het Actieplan geluid is door de Omgevingsdienst Zuidoost Brabant (ODZOB) opgesteld voor de gemeenten Best, Eindhoven, Geldrop-Mierlo, Helmond, Nuenen c.a. en Veldhoven.
Andere actoren zoals Rijkswaterstaat, ProRail en de provincies stellen Actieplannen op voor hun ‘eigen’ geluidbronnen (respectievelijk rijkswegen, hoofdspoorwegen en provinciale wegen).
De gemeenten besloten gezamenlijk een Actieplan geluid deel A op te stellen en vrijwel dezelfde plandrempels voor de geluidbelastingen te hanteren als in de vorige tranches. Hierbij is wederom aangesloten bij de wettelijke kaders.
Concreet deel, situatie per gemeente/knelpunten en oplossingen
In deel B, per gemeente, komen de volgende vragen aan bod:
Wat hebben we gedaan? Hiervoor heeft er een evaluatie van het Actieplan uit 2018 plaatsgevonden.
Waar staan we nu? Hier is aangegeven waar we nu staan en welke knelpunten er binnen de gemeente aanwezig zijn. Deze knelpunten zijn bepaald op grond van de geluidkaarten en door de gemeenten zijn enkele “hotspots” aangewezen.
Wat gaan we doen? Voor een aantal knelpunten en “hotspots” is opgenomen wat de gemeente voor maatregelen in de planning heeft om het knelpunt/hotspots aan te pakken.
Algemeen
De Europese richtlijn omgevingslawaai richt zich op de evaluatie en beheersing van geluid waaraan mensen worden blootgesteld. Vooral de gezondheidsaspecten zijn hierbij van belang. Het toepassingsgebied beperkt zich tot een aantal gedefinieerde brontypen, te weten schadelijke en hinderlijke effecten door weg- en railverkeer en luchtvaart van een zekere omvang, alsmede specifieke vastgelegde industriële activiteiten. De Europese richtlijn is in 2004 ingevoerd in de Nederlandse wetgeving. De Europese richtlijn omgevingslawaai is ook geïmplementeerd in de in werking tredende Omgevingswet in 2024.
Elke vijf jaar moeten de aangewezen partijen in Nederland de geluidhinder bijhouden van de geluidbronnen. Hierbij worden de gemiddelde geluidniveaus van wegen, sporen, industrie en de luchtvaart op de kaart gezet middels het vervaardigen van geluidbelastingskaarten. De partijen stellen ook een Actieplan geluid op.
Er zijn agglomeraties aangewezen die uitvoering moeten geven aan dit specifieke onderwerp. Eén daarvan is de agglomeratie Eindhoven met de gemeenten Best, Eindhoven, Geldrop-Mierlo, Helmond, Nuenen c.a. en Veldhoven. De gemeenten binnen deze agglomeratie stellen elk een Actieplan geluid vast. Het Actieplan geluid wordt elke 5 jaar geactualiseerd en is een verplicht programma volgend uit de Europese regelgeving.
Het Rijk heeft (instructie-)regels opgesteld om te zorgen dat het Rijk, provincies en gemeenten binnen een agglomeratie (stedelijk gebied) een Actieplan geluid vaststellen.
De Omgevingsdienst Zuidoost-Brabant (ODZOB) geeft voor eerdergenoemde zes gemeenten uitvoering aan de EU-richtlijn Omgevingslawaai. Om de verplichte werkzaamheden op een zo efficiënt mogelijke manier uit te voeren, werken deze gemeenten wederom samen. Naast afstemming en overleg met betrokken afdelingen binnen gemeenten, voert de ODZOB ook overleg met InfoMil/ IPLO, Ministeries, Rijkswaterstaat, Provincie Noord-Brabant en ProRail.
Actieplan deel A: Algemeen
In voorliggend Actieplan geluid deel A worden meer algemene aspecten opgenomen en staat vanaf welke plandrempel (beleidsmatige grenswaarde), afhankelijk van het gebiedstype, het college van burgemeester en wethouders maatregelen wenst.
Actieplan deel B: Per gemeente
De Actieplannen geluid deel B zijn gebaseerd op de END-geluidbelastingkaarten en –tabellen van elke gemeente. De in 2022 vastgestelde END-geluidbelastingkaarten en tabellen (met peiljaar 2021) zijn momenteel te raadplegen op de website van de Omgevingsdienst Zuidoost-Brabant via www.odzob.nl/eu-geluidkaarten.
Daarnaast staan in het Actieplan geluid deel B, mogelijke maatregelen waarmee de geluidbelasting kan worden verlaagd.
De beslissing welke maatregelen al dan niet worden uitgevoerd is mede afhankelijk van de technische, economische, logistieke en esthetische haalbaarheid. Op basis van de Richtlijn omgevingslawaai zijn de gemeenten niet verplicht om maatregelen te treffen.
De Actieplannen deel A en B vormen samen het Actieplan Geluid voor de gemeenten.
Het ontwerp-Actieplan zal ter inzage komen bij de gemeenten Best, Eindhoven, Geldrop‑Mierlo, Helmond, Nuenen c.a. en Veldhoven. Hierop kan eenieder zienswijzen indienen bij de desbetreffende gemeente.
Opmerkingen:
Hoewel evenementen en feesten regelmatig kunnen leiden tot geluidoverlast zijn deze activiteiten niet betrokken in dit onderzoek. Door de gemeente kan daarvoor jaarlijks en per evenement ontheffing voor worden verleend in het kader van de Algemene Plaatselijke Verordening (APV).
In het voorliggende rapport wordt geregeld verwezen naar een besluit of onderzoek van bijvoorbeeld het Ministerie van VROM of het Ministerie Infrastructuur en Milieu. Sinds 26 oktober 2017 is dit het Ministerie van Infrastructuur en Waterstaat geworden.
Leeswijzer deel A
De EU-richtlijn wordt vaak aangeduid als “END” (Europian Noise Directive). Het opstellen van de geluidbelastingskaarten en Actieplannen geluid wordt ook wel aangeduid als (geluid-)kartering en de opgestelde geluidbelastingskaarten als END-kaarten. De verschillende tranches worden ook wel karteringsrondes genoemd, dit Actieplan geluid valt onder de 4e tranche of de 4e ronde. Wij hanteren in de agglomeratie Eindhoven ‘Actieplan geluid’, enkele andere partijen gebruiken hiervoor de termen ‘Actieplan omgevingslawaai’ of ‘Programma geluid’.
In hoofdstuk 2 staan de juridische achtergrond en de verplichtingen waaraan het Actieplan moet voldoen. In hoofdstuk 3 wordt de totstandkoming van het Actieplan geluid beschreven en in hoofdstuk 4 het geluidbeleid op grond waarvan de knelpunten en maatregelen per gemeente kunnen worden zijn bepaald. Hoofdstuk 5 bevat algemene maatregelen. In hoofdstuk 6 zijn de conclusies en aanbevelingen opgenomen.
In de bijlagen is achtergrondinformatie opgenomen.
Beheerders van belangrijke infrastructuur en gemeenten binnen agglomeraties stellen iedere 5 jaar een geluidbelastingkaart en een Actieplan op. Deze verplichting komt voort uit de Europese richtlijn omgevingslawaai en is geïmplementeerd in de Nederlandse wetgeving. De richtlijn omgevingslawaai heet “Richtlijn inzake de evaluatie en de beheersing van omgevingslawaai“.
Deze is vastgesteld in 25 juni 2002 door het Europese Parlement en de Raad [1] en in 2004 in de Nederlandse wetgeving geïmplementeerd. Eerst in de Wet geluidhinder, vanaf 2012 in de Wet milieubeheer.
De richtlijn vormt ook de basis voor het (waar nodig) ontwikkelen van EU-maatregelen om het lawaai van de belangrijkste geluidbronnen te verminderen. Hieronder valt het geluid van wegen spoorwegvoertuigen en -infrastructuur, vliegtuigen, materieel voor gebruik buitenshuis en in de industrie en verplaatsbare machines.
De EU-richtlijn wordt vaak aangeduid als “END” (Europian Noise Directive). De verschillende tranches worden ook als (geluid-) kartering aangeduid. De richtlijn omgevingslawaai is gericht op het vermijden, voorkomen of verminderen van schadelijke gevolgen van omgevingslawaai.
Dit wordt bereikt door:
het vaststellen van de blootstelling aan omgevingslawaai met geluidbelastingskaarten volgens voorgeschreven bepalingsmethoden;
het voorlichten van het publiek over het omgevingslawaai en de effecten daarvan;
het aannemen van Actieplannen om omgevingslawaai (waar nodig) te voorkomen en te beperken, en om een goede milieukwaliteit te handhaven.
Sinds de implementatie in 2004 zijn er diverse wijzingen in de regelgeving doorgevoerd.
In dit Actieplan geluid is opgenomen welke wijzigingen in deze 4e tranche van belang zijn.
De geluidbelastingen worden berekend in Lden en Lnight in de eenheid decibel. De Lden is een Europese maat om de geluidbelasting door omgevingslawaai over een heel etmaal uit te drukken (Level day-evening-night) en is een jaargemiddeld geluidniveau. Lnight is een geluidbelasting over alle nachtperioden van een jaar gemiddelde geluidniveau, dat wordt gehanteerd als een indicator voor slaapverstoring.
[1] https://eur-lex.europa.eu/LexUriServ/LexUriServ.do?uri=OJ:L:2002:189:0012:0025:NL:PDF
Algemeen
Bij de implementatie van de Europese Richtlijn is bepaald welke gebieden, wegen, spoorwegen en luchtvaartterreinen in kaart moeten worden gebracht en wie hiervoor verantwoordelijk zijn.
Geluidbronnen, bronbeheerders
Het omgevingslawaai voor het Actieplan geluid betreft vier geluidsoorten die (verplicht) opgenomen worden: wegverkeerslawaai, railverkeerslawaai, industrielawaai en luchtverkeerslawaai.
Dit is in eerste instantie voor de geluidbronnen waarvoor de gemeente bronbeheerder is zoals wegverkeerslawaai en industrielawaai. Dit zijn de bijvoorbeeld gemeentelijke wegen en industrie(terreinen) binnen de gemeentegrenzen.
In deze 4e tranche zijn de aangewezen partijen: 21 agglomeraties, de 12 provincies, het Rijk als beheerder van infrastructuur zoals Rijkswaterstaat (voor Rijkswegen), ProRail (voor hoofdspoorwegen) en luchthaven Schiphol en de overige burgerluchthavens van nationale betekenis met meer dan 50.000 vliegtuigbewegingen (luchtvaart).
Voor Vliegbasis Eindhoven zijn de vliegbewegingen minder dan 50.000 en is het Ministerie van Defensie verantwoordelijk, vanwege het feit dat Vliegbasis Eindhoven een militair vliegveld is, met Eindhoven Airport als civiele medegebruiker.
Dus niet alleen de gemeenten maar ook de bronbeheerders van autosnelwegen, provinciale wegen, landelijke spoorwegen en van de luchthaven Schiphol moeten geluidbelastingskaarten en Actieplannen maken. Mogelijke maatregelen op deze bronnen worden in het Actieplan van deze bronbeheerders (Rijkswaterstaat, provincies waaronder Provincie Noord- Brabant, Schiphol en ProRail) opgenomen.
Het komende Actieplan geluid voor de 4e tranche moet uiterlijk 18 juli 2024 zijn vastgesteld, dat is een jaar later dan de gebruikelijke cyclus van vijf jaar. Dat is geregeld via de Verordening (EU) 2019/1010 van het Europees Parlement en de Raad van 5 juni 2019 [2]. Voor de daaropvolgende tranches zal de periode van 5 jaar worden hervat.
De bestuursorganen stellen de Actieplannen geluid vast: college van burgemeester en wethouders, Gedeputeerde Staten of een minister.
Ook kan een bestuursorgaan vrijwillig (dus onverplicht) een programma of een Actieplan vaststellen.
[2] https://eur-lex.europa.eu/legal-content/NL/TXT/PDF/?uri=CELEX:32019R1010
Voor gemeenten Best, Eindhoven, Geldrop-Mierlo, Helmond, Nuenen c.a. en Veldhoven zijn END‑geluidbelastingskaarten opgesteld en vastgesteld. Ook de geluidbelasting van provinciale en rijkswegen, (hoofd)spoorwegen en van Eindhoven Airport zijn in het kader van de kartering opgenomen.
In 2022 voor deze 4e tranche zijn door de gemeenten de END-geluidbelastingskaarten en tabellen vastgesteld (peiljaar 2021 [3]). Deze kaarten en tabellen zijn in 2022 aan de minister toegezonden via de Centrale Voorziening Geluid Gegevens [4] ook wel afgekort met de cvvg.
Voor de gegevens met betrekking tot vastgestelde kaarten, tabellen voor de gemeenten wordt verwezen naar de volgende locatie: https://odzob.nl/geluidbelastingskaarten, waar per gemeente de gegevens zijn opgenomen. Voor de gemeenten Best, Eindhoven, Geldrop-Mierlo, Helmond Nuenen c.a. en Veldhoven, staat het Actieplan geluid van de 3e tranche daar ook opgenomen.
Aan de hand van de END-geluidbelastingskaarten maakt de gemeente vervolgens plannen om in de daaropvolgende jaren geluidoverlast tegen te gaan. Daarvoor is er een Actieplan Geluid, dat uiterlijk in 2024 wordt geactualiseerd voor de periode 2024-2029. Hierin worden de plannen van de gemeenten voor de aanpak van geluidoverlast de komende jaren vastgelegd.
[3] Het peiljaar conform de richtlijn is 2021. Het Ministerie van Infrastructuur en Waterstaat (IenW) en provincies gaan de verkeersintensiteiten van 2019 hanteren voor het peiljaar 2021. Voor een uniform landelijk beeld heeft de agglomeratie Eindhoven hierbij aangesloten voor de geluidbelastingkaarten. Dit in verband met Corona/ Covid- pandemie waardoor in 2020/2021 mogelijk geen representatief beeld geeft voor de verkeersintensiteiten.
Vanaf 1 januari 2024 is de Omgevingswet [5] in werking getreden. De Europese richtlijn omgevingslawaai is ook opgenomen in de Omgevingswet. Eén van de veranderingen is dat de Europese richtlijn omgevingslawaai onder de Omgevingswet als een programma is aangewezen.
Bij het informatiepunt Leefomgeving, afgekort als IPLO, is veel informatie te vinden. De informatie uit deze paraaf is grotendeels hiervan afkomstig.
Europese richtlijn omgevingslawaai onder de Omgevingswet
De Europese richtlijn omgevingslawaai verplicht lidstaten tot het opstellen van een geluidbelasting-kaart en een Actieplan geluid. Om hieraan te voldoen heeft het Rijk instructieregels opgesteld voor het uitvoeren van deze taak.
Een aantal bestuursorganen stelt een geluidbelastingkaart en Actieplan geluid vast. Dat zijn beheerders van belangrijke infrastructuur (het Rijk en provincies) en gemeenten binnen een aangewezen agglomeratie. Het Rijk wijst de agglomeraties aan die onder deze verplichting vallen via artikel 2.40 van de Omgevingsregeling.
De agglomeratie Eindhoven met de 6 gemeenten is aangewezen en valt onder deze verplichting.
Artikel 2.26 van de Omgevingswet verplicht het Rijk om instructieregels te stellen over het Actieplan geluid. Deze verplichting volgt uit de Europese richtlijn omgevingslawaai. Het Rijk informeert de Europese Commissie op basis van de Actieplannen geluid van de bestuursorganen.
Het doel van het Actieplan blijft vergelijkbaar:
het omgevingslawaai zo nodig te voorkomen en te beperken waar het schadelijke effecten kan hebben voor de gezondheid van de mens.
het handhaven van de milieukwaliteit van het omgevingslawaai als deze goed is.
Op de website van het Informatie Punt LeefOmgeving (IPLO) is ook opgenomen waar het Actieplan aan dient te voldoen en in welke wetgeving dit is opgenomen.
De Actieplannen geluid in deze tranche zullen worden vastgesteld onder de Omgevingswet. Onder de Omgevingswet zijn ten aanzien van geluid diverse wijzigingen doorgevoerd. De eerder opgestelde kaarten en tabellen zijn in 2022 onder de Wet milieubeheer vastgesteld.
Algemeen
In de Europese Richtlijn omgevingslawaai wordt het begrip geluidbelasting als volgt gedefinieerd. De geluidbelasting in de Europese definitie wordt aangeduid als Lden.
De formule voor Lden is:

Met:
Lday: Het A-gewogen gemiddelde geluidniveau over lange termijn, als gedefinieerd is ISO 1996 2:1987, vastgesteld over alle dagperioden van een jaar.
Levening: Het A-gewogen gemiddelde geluidniveau over lange termijn, als gedefinieerd is ISO 1996 2:1987, vastgesteld over alle avondperioden van een jaar.
Lnight: Het A-gewogen gemiddelde geluidniveau over lange termijn, als gedefinieerd is ISO 1996 2:1987, vastgesteld over alle nachtperioden van een jaar.
De dagperiode telt 12 uur (07.00 tot 19.00), de avondperiode 4 uur (19.00-23.00) en de nachtperiode 8 uur (23.00-07.00).
Opmerkingen:
In de Richtlijn is verder bepaald dat de kartering Lden en Lnight worden bepaald ter plaatse van de gevel en op vier meter hoogte, waarbij alleen het invallend geluid wordt meegerekend.
Voor wat betreft industrielawaai is uitgegaan van de veronderstelling Lden = Letmaal op grond van de Richtlijn omgevingslawaai.
Geluidgevoelige bestemmingen en objecten
De geluidbelastingskaarten zijn in 2022 opgesteld op basis van de Wet milieubeheer.
In de Wet milieubeheer artikel 11.1 is opgenomen dat geluidgevoelige objecten (aangewezen gebouwen en geluidgevoelige terreinen) moeten worden gerapporteerd. Deze zijn op de geluidbelastingkaarten opgenomen.
In de Wet milieubeheer zijn geluidgevoelige objecten aangewezen die vanwege de bestemming of het gebruik ervan bijzondere bescherming tegen geluid nodig hebben. Dit is een beperkt aantal typen objecten. Rijkswaterstaat en ProRail hebben een bestand met geluidgevoelige objecten, dat zij gebruiken bij het opstellen van hun geluidbelastingkaarten. Zij hebben dit bestand via Informatiepunt Leefomgeving beschikbaar gesteld aan gemeenten en provincies. Daarmee hanteert elke actor dezelfde uitgangspunten.
De “lagen” voor woningen en geluidgevoelige terreinen komen uit de Basisregistraties Adressen en Gebouwen (BAG). De gegevens in de “laag voor andere geluidgevoelige gebouwen” zijn ontleend aan de informatie over kwetsbare objecten van de risicokaart van het Interprovinciaal Overleg, Ministerie van Binnenlandse Zaken en Koninkrijksrelaties en het Ministerie van Infrastructuur en Waterstaat. Deze kaart bevat, volgens Informatiepunt Leefomgeving, voor deze objecten betere informatie dan de BAG.
Na het opstellen van de geluidbelastingskaarten is per 1 januari 2024 de Omgevingswet in werking getreden. Ook in het Besluit kwaliteit leefomgeving (artikel 3.21 Bkl ) zijn deze gebouwen als geluidgevoelig gebouw aangemerkt. Een geluidgevoelig gebouw is een gebouw met een woonfunctie, onderwijsfunctie, voor kinderopvang met bedden en voor gezondheidszorg met bedden.
Bij de bestaande woningen dient eerst de afweging gemaakt te worden of bronmaatregelen mogelijk zijn. Als dit niet mogelijk is dan dient onderzocht te worden of overdrachtsmaatregelen tot de mogelijkheden behoren. Als bron- en overdracht niet tot de mogelijkheden behoren dan dienen maatregelen aan de ontvanger bekeken te worden.
Op grond van het TNO-rapport “Correctie voor hinderverwachting bij gevelisolatie”, 2007-D-R0010/B is ervan uitgegaan dat in een woning met een hogere geluidisolatie dan gemiddeld, minder geluidhinder optreedt bij de bewoners. Om een hogere geluidisolatie te hebben/krijgen zijn er vier mogelijkheden:
Bij woningen van vòòr 1979 werden geen eisen gesteld aan de geluidisolatie. Als deze woningen langs drukke wegen zijn gesitueerd en op de A-lijst staan, zijn deze of al gesaneerd, of worden ze nog gesaneerd. Saneren betekent dat ze een betere geluidisolatie dan gemiddeld hebben gekregen of nog krijgen;
In 1979 trad de Wet geluidhinder in werking. Dit betekende dat de geluidbelasting op woningen langs drukke wegen moest worden bepaald. Boven een bepaalde waarde was ontheffing nodig en moest de geluidwering van de gevel aan bepaalde eisen voldoen (en is deze beter dan gemiddeld);
In de bestemmingsplannen die na 1982 vastgesteld zijn, is aandacht besteed aan geluid. Om een woning, een ander geluidgevoelig gebouw of een geluidgevoelig terrein als saneringssituatie te kunnen aanmerken, moeten uiteraard zowel het gebouw of terrein als de maatgevende weg of het maatgevende spoor in het peiljaar aanwezig zijn geweest. Daarnaast moeten de weg en de objecten niet geprojecteerd zijn in een bestemmingsplan dat na 1982 is vastgesteld.
Bij relatief nieuwe woningen (na 1986) voldoet de geluidisolatie aan het Bouwbesluit. Deze geluidisolatie is ook weer afhankelijk van de geluidbelasting op de gevels. Woningen met een hoge geluidbelasting hebben hierdoor ook een hogere geluidisolatie dan gemiddeld.
Op basis van het TNO-rapport wordt gesteld dat een gesaneerde woning en een nieuwe woning met een hogere grenswaarde voldoet aan de wettelijke grenswaarden voor de binnenniveaus en geen geluidgehinderden meer opleveren. Voor de woningen die nog op de saneringslijsten (A-, B- of eindmeldingslijst) staan, is er voor het Actieplan van uitgegaan dat deze op termijn ook voldoen aan de wettelijke grenswaarden. De wettelijke verplichting vanuit de Wet geluidhinder om deze woningen te saneren blijft bestaan. Vanaf 2014 verzorgt de uitvoeringsinstantie Bureau Sanering Verkeerslawaai, BSV, namens het Ministerie van Infrastructuur en Waterstaat, de financiering van deze woningen.
Opmerking:
Het uiteindelijke effect van geluidisolatie is afhankelijk van de hoogte van de geluidbelasting op de gevel en de mogelijkheid tot voldoende ventilatie in de woning met gesloten vensters. Indien de vensters vanwege een slechte of onvoldoende ventilatie worden geopend zullen de effecten van de geluidisolatie van de gehele gevel sterk verminderd worden.
De Europese Richtlijn omgevingslawaai is van toepassing op omgevingslawaai waaraan mensen worden blootgesteld. Het toepassingsgebied beperkt zich tot schadelijke en hinderlijke effecten door weg- en railverkeer en luchtvaart van een zekere omvang, alsmede specifieke vastgelegde industriële activiteiten. Om de schadelijke gevolgen van omgevingslawaai te bestrijden, moeten de Actieplannen vooral gericht zijn op plaatsen waar hoge blootstellingniveaus schadelijke effecten kunnen hebben op de gezondheid van de mens.
Om deze schadelijke effecten te bepalen moet een relatie worden gelegd tussen:
In de Regeling geluid milieubeheer (Rgm) is in bijlage 2 een rekenmethode opgenomen voor het berekenen van schadelijke effecten met betrekking tot dit Actieplan. De bijlage 2 bij de Rgm is grotendeels herzien [6]. In deze bijlage 2 zijn voor geluidactieplannen die moeten worden opgesteld in het kader van de richtlijn omgevingslawaai de dosis-effectrelaties vastgelegd tussen de hoeveelheid geluid en de statistische kans op gezondheidseffecten bij mensen die daar aan worden blootgesteld.
NB: Deze dosis-effect relatie is voor wegverkeerslawaai en spoorweglawaai anders omschreven en met andere waarden dan voor de eerdere tranches is gehanteerd. Hierdoor kunnen de resultaten van deze tranche niet vergeleken worden met de eerdere tranches.
Voor de bepaling van deze effecten worden in de 4e tranche de volgende aspecten beschouwd:
Bepaling schadelijke effecten
Voor de bepaling van deze effecten worden de volgende aspecten beschouwd:
A Ischemische hartziekten (IHD)** [7]
B Hoge mate van hinder (HA)
C Hoge mate van slaapverstoring (HSD)
Alleen voor de (geluid-)bron wegverkeer is in de regeling een werkwijze beschreven voor de berekening van het relatieve risico (RR) van ischemische hartziekten (IHD).
Voor de formules voor het bepalen van het aantal ernstig geluidgehinderden (HA), het aantal slaapverstoorden (HSD) ten gevolge van de verschillende geluidbronnen en het relatieve risico op ischemische hartziekten als gevolg van wegverkeer wordt verwezen naar bijlage 2 van de Regeling geluid milieubeheer.
In tabel 1 zijn de gewijzigde dosis-effect relaties opgenomen.
Tabel 1. Dosis-effectrelaties per 100 bewoners uit bijlage 2 van de Regeling Omgevingslawaai
Geluidbelasings-klasse Lden |
Ernstig gehinderden
| Geluidbelasings-klasse Lnight |
Slaapgestoorden
|
55- 60 dB | 13 | 50-55 dB | 5 |
60-65 dB | 18 | 55- 60 dB | 7 |
65-70 dB | 24 | 60-65 dB | 10 |
70-75 dB | 33 | 65-70 dB | 14 |
75 dB of hoger | 43 | 70 of hoger | 18 |
Geluidbelasings-klasse Lden |
Ernstig gehinderden
| Geluidbelasingsklasse Lnight |
Slaapgestoorden
|
55- 60 dB | 14 | 50-55 dB | 8 |
60-65 dB | 21 | 55- 60 dB | 14 |
65-70 dB | 29 | 60-65 dB | 21 |
70-75 dB | 39 | 65-70 dB | 31 |
75 dB of hoger | 50 | 70 of hoger | 42 |
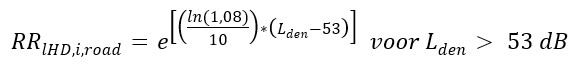
Relatieve toename ischemische hartziekten (IHD) [8]
Voor de berekening van het relatieve risico (RR) wat het schadelijke effect van ischemische hartziekten (IHD) betreft, wordt voor het gebied waarbinnen de incidentie bekend is (i) de volgende dosis/effectrelatie gebruikt:


Lden = 53 dB (waaronder geen sprake is van een verhoogd risico = 100%).
Geluidbelastingklasse | ARHAroad |
55-59 dB | 1,04 |
60-64 dB | 1,08 |
65-69 dB | 1,12 |
70-74 dB | 1,16 |
75 dB en hoger | 1,21 |
[6] ** De “dosis effect-relaties” zijn voor de gezondheidseffecten door geluid in de Europese richtlijn omgevingslawaai gewijzigd voor het bepalen van de gezondheidseffecten via de richtlijn (EU) 2020/367 van de Commissie van 4 maart 2020. De bijlage 2 van de Regeling geluid milieubeheer (eerder met de dosis effect-relaties) is daarop aangepast.
[7] ** Alleen voor de geluidbron wegverkeer is in de regeling een werkwijze beschreven voor de berekening van het relatieve risico (RR) van ischemische hartziekten (IHD).
[8] Regeling geluid milieubeheer
Alle (huidige) informatie over de geluidbelasting van inrichtingen en industrieterreinen is uitgedrukt in de ‘oude’ dosismaat, bijvoorbeeld de etmaalwaarde, Letmaal. Bij de kartering zijn de dosismaten Lden en Lnight (de nachtelijke geluidbelasting), voorgeschreven. Omdat de relatie tussen Letmaal, Lden en Lnight voor industrielawaai niet eenduidig is heeft de Regeling omgevingslawaai hiervoor de omrekeningsformule gegeven: Lden = Letmaal en Lnight = Lden – 10. Deze relatie ligt dus anders dan voor wegverkeer waar de Lden normaal gesproken te berekenen is uit Lday, Levening en Lnight.
De dosis-effectrelaties voor industrielawaai zijn niet opgenomen. Voor industrielawaai en luchtvaartlawaai zijn deze niet (opnieuw) vastgesteld, deze zijn daarom niet in de rapportage opgenomen.
Ke (Kosten eenheid) in plaats van Lden
Voor vliegtuiglawaai is de voor Eindhoven Airport bekende Ke-contour gehanteerd voor de opgestelde kaarten en tabellen. Het Ministerie van Defensie heeft voor de 4e tranche begin 2021 de Ke-contouren voor de agglomeratie Eindhoven beschikbaar gesteld. Vanwege het feit dat Eindhoven Airport een militair vliegveld is met burgermedegebruik is er officieel nog geen geschikte omrekening beschikbaar gesteld van Ke naar Lden.
De dosis-effectrelaties voor vliegverkeer in Ke zijn niet opgenomen. Voor luchtvaartlawaai voor Eindhoven Airport/ vliegbasis Eindhoven zijn deze in Ke of Lden niet vastgesteld, deze zijn daarom niet in de rapportages opgenomen.
In 2018 heeft de WHO (World Health Organization) nieuwe gezondheidskundige richtlijnen voor geluid gepubliceerd: Environmental Noise Guidelines for the European Region (2018). De richtlijn geeft aanbevelingen voor weg-, rail-, vliegverkeer, windturbines en recreatiegeluid en is gebaseerd op de nieuwste wetenschappelijke inzichten (tot en met 2014). De WHO heeft de advieswaarden gebaseerd op ‘evidence reviews’ voor verschillende gezondheidseffecten.
Voor de volgende gezondheidseffecten zijn reviews geschreven [10]:
hinder
effecten op slaap
effecten op hart- en vaatstelsel en metabole systeem
effecten op leerprestaties
effecten op mentale gezondheid
effecten op het ongeboren kind
effecten op gehoor
interventies.
De WHO volgt met de nieuwe richtlijnen een andere aanpak voor de onderbouwing van de advieswaarden dan voorheen. In plaats van een waarde waaronder geen gezondheidseffecten zijn te verwachten, geeft de WHO nu een advieswaarde gebaseerd op een bepaald percentage ernstige hinder en ernstige slaapverstoring, namelijk: 10% ernstige hinder en 3% ernstige slaapverstoring. De WHO maakt hierbij gebruik van de nieuwe blootstelling-effect relaties voor de verschillende bronnen voor hinder en slaapverstoring.
Voor de nachtelijke blootstelling aan vliegverkeer gaat de WHO uit van 11% ernstige slaapverstoring. De WHO geeft aan dat de betrouwbaarheid van het voorspellen van ernstige slaapverstoring bij geluidniveaus onder de 40 dB (decibel) Lnight te laag is om een betrouwbare advieswaarde af te leiden.
Bron geluid | Lden | Lnight |
Wegverkeer | 53 dB | 45 dB |
Railverkeer | 54 dB | 44 dB |
Vliegverkeer | 45 dB | 40 dB |
Reactie:
De richtlijnen van de WHO zijn de waarden voor geluid waarna gestreefd kan worden. In de praktijk zal dat een zeer grote uitdaging zijn om dit, zeker voor de stedelijke wegen waarbij andere opgaven dan geluid ook een rol spelen.
Het algemene advies is dan ook om bij nieuwbouwplannen of renovatie in te steken op geluidluwe gevels en/of geluidluw ventileren.
Opgemerkt wordt dat er binnen de gemeentegrenzen diverse locaties aanwezig zijn die getypeerd kunnen worden als rustig en waar nauwelijks hinder is ten gevolge van de onderzochte geluidsoorten. Tenslotte wordt opgemerkt dat de mogelijke hinder die mensen ervaren niet alleen objectief op basis van de geluidbelasting is vast te stellen maar ook persoonsgebonden (subjectief) is.
Met het Actieplan is het niet mogelijk om alle knelpunten op te lossen. Een Actieplan geluid heeft als doel om geluidbelaste locaties in kaart te brengen en te onderzoeken of maatregelen kunnen worden getroffen om de geluidbelasting te verminderen. Het is echter niet zo dat een Actieplan geluid direct leidt tot het oplossen van knelpunten. De reden hiervoor is dat een Actieplan geluid slechts een inventarisatie en analyse bevat, maar geen concrete maatregelen of budgetten om knelpunten op te lossen. Daarvoor zijn aanvullende stappen nodig, zoals het prioriteren van knelpunten, het ontwerpen van maatregelen en het vrijmaken van financiële middelen.
[9] Bron RIVM
[10] Omdat windturbines en recreatiegeluid buiten de scope van deze GGD (Gemeentelijke Gezondheidsdienst) richtlijn vallen, worden de aanbevelingen van de WHO voor deze bronnen verder niet besproken in de richtlijn.
Algemeen
De Actieplannen geluid in deze tranche zullen worden vastgesteld onder de Omgevingswet welke vanaf 1 januari 2024 in werking is getreden. De eerder opgestelde kaarten en tabellen zijn in 2022 onder de Wet milieubeheer vastgesteld.
De Europese richtlijn omgevingslawaai is ook opgenomen in de Omgevingswet. Artikel 2.26 lid 3 onder i van de Omgevingswet verplicht het Rijk om instructieregels te stellen over het Actieplan geluid. Deze verplichting volgt uit de Europese richtlijn omgevingslawaai. Het Rijk informeert de Europese Commissie op basis van de Actieplannen geluid van de bestuursorganen.
Op de website van het IPLO is ook opgenomen waar het Actieplan aan dient te voldoen en in welke wetgeving dit is opgenomen.
De inhoud van het Actieplan geluid onder de Omgevingswet is samengevat in tabel 4.
Het actieplan geluid bevat in ieder geval: |
In het besluit kwaliteit leefomgeving (Bkl) staan instructieregels over de inhoud van het Actieplan voor: |
Het Actieplan geluid voor de gemeenten binnen de agglomeratie zal dus onder de Omgevingswet vastgesteld worden. Onder de Omgevingswet zijn ten aanzien van geluid diverse wijzigingen doorgevoerd.
Hoe zijn de Actieplannen geluid tot stand gekomen?
Voor de vierde tranche zijn in 2022 net als voor de 1e, 2e en 3e tranche in 2007, 2012 en 2017 geluidkaarten en tabellen opgesteld. Daarnaast moet een Actieplan worden opgesteld. In figuur 1 wordt een overzicht gegeven van de acties uit de vier tranches.

Op de site van IPLO is het volgende stappenplan opgenomen.

Het Actieplan voor de Europese Richtlijn omgevingslawaai geeft een overzicht van maatregelen ten behoeve van de vermindering van omgevingslawaai in de zes gemeenten in agglomeratie Eindhoven. De maatregelen kunnen betrekking hebben op wegverkeer, railverkeer, vliegverkeer en industrielawaai. Hieronder wordt de aanpak van het Actieplan beknopt beschreven.
Met de zes gemeenten binnen de agglomeratie Eindhoven is besloten om gezamenlijk op te trekken voor het Actieplan in de 4e tranche.
Door de onduidelijkheid vanuit de landelijke overheid over de datum van de inwerkingtreding van de Omgevingswet is begin 2023 gestart met de Actieplannen geluid. Ook de noodzakelijke informatie en documentatie zijn in de loop van 2023 en begin 2024 door o.a. IPLO en het Rijksinstituut voor Volksgezondheid en Milieu (RIVM) beschikbaar gesteld.
Bij deze karteringstranche zijn diverse andere uitgangspunten gebruikt dan bij de eerdere karteringstranche. De consequentie is dat een vergelijking tussen 2021 en eerdere jaren niet direct te maken is. Er kan niet direct gezegd worden of een maatregel effecten heeft gehad. Om die reden heeft het RIVM een onderzoek laten uitvoeren naar de mate van het verschil met de eerdere karteringstranches. Het gebruik van een andere rekenmethode leidt tot andere rekenresultaten.
In dit RIVM-onderzoek is opgenomen welke rekenmethoden, rekenvoorschriften als ook peildata voor emissiekengetallen zijn gehanteerd. Een van de gewijzigde uitgangspunten is de Europese rekenmethode CNOSSOS.
Meer informatie is te vinden op de website van IPLO [11].
Doordat de geluidbelastingskaarten op andere uitgangspunten en berekeningsmethoden zijn gebaseerd zijn grote verschillen te zien. Voor gemeenten zijn over het algemeen hogere geluidbelastingen berekend door met name een andere verplichte Europese rekenmethode.
Stap 2: Onderzoek, Evaluatie inventarisatie nieuwe maatregelen
De kaarten en de maatregelen uit het Actieplan van de derde tranche zijn geëvalueerd. Als eerste is het vorige Actieplan van de derde tranche geëvalueerd. Gekeken is welke voorgenomen maatregelen wel en niet zijn uitgevoerd. Daarnaast is gekeken of nog andere maatregelen zijn getroffen die niet in het Actieplan waren opgenomen, maar wel effect hebben op de geluidbelastingen.
Onderzocht wordt of in de afgelopen jaren nieuwe overschrijdingen van de plandrempels zijn ontstaan en of bestaande overschrijdingen nog aanwezig, verminderd of mogelijk opgelost zijn. Middels Hotspots [12] zijn deze per gemeente in beeld gebracht. Voordat nieuwe maatregelen worden benoemd om de overschrijdingen van de plandrempels ongedaan te maken, wordt eerst gekeken in hoeverre bestaande ontwikkelingen of mogelijke maatregelen op andere beleidsterreinen zoals verkeer, invloed hebben op de geluidkwaliteit op de relevante locaties. Bij de inventarisatie van de maatregelen zijn andere disciplines en beleidsvelden betrokken.
[12] Op basis van de Omgevingsregeling (Or, eerder ook wel Aanvullingsregeling geluid (Areg) genoemd)
Het volgende is relevant bij de interpretatie van de berekende geluidbelasting:
In de 3e tranche waren de berekeningen gebaseerd op de Nederlandse rekenmethode SRM2.
Uit de berekeningen basis van o.a. CNOSSOS in de 4e tranche is naar voren gekomen dat de verschillen erg groot zijn door diverse andere uitgangspunten, met name door de rekenmethode.
Naast de andere rekenmethode zijn er ook andere wijzigingen die invloed hebben, de verschillen zijn minder groot, hiervoor wordt verwezen naar Bijlage A.
Met de nieuwe rekenmethode CNOSSOS geldt dat met name voor stedelijk wegverkeer er systematisch hoger wordt gerekend. Voor andere bronsoorten is het beeld divers.
Aanpak wegverkeerslawaai :
De resultaten op basis van Europese rekenmethode CNOSSOS zijn in deel B per gemeente opgenomen. Deze komen overeen met de vastgestelde geluidbelastingskaarten en tabellen.
Alleen voor wegverkeerslawaai: De toename van het aantal gevallen van ischemische hartziekten (IHD) in het etmaal zijn geteld.
Er zijn (extra) berekeningen uitgevoerd met de Nederlandse standaardrekenmethode SRM2. met de data uit 2021 Deze berekeningsresultaten zijn vergeleken met de berekeningsresultaten van de 3e tranche.
In de Omgevingswet is de rekenmethode SRM2 vervangen door de Omgevingsregeling (Or). Tussen de SRM2 en Or bestaan verschillen, maar wel beperkter dan met CNOSSOS. Met de Or zullen ook de ruimtelijke ontwikkelingen binnen de gemeente bekeken worden. Let op: De Or is eerder ook aangeduid als de rekenmethode Areg.
Er zijn aanvullende berekeningen uitgevoerd met de Or. Op basis hiervan zijn de hotspots in beeld gebracht.
Bij de hotspots op basis van Or is gekeken naar de (mogelijke) maatregelen die getroffen kunnen worden.
NB: Voor de geluidbelastingskaarten wegverkeer in een gemeente zijn alle wegen die geluid veroorzaken meegenomen, ook waarvan het Rijk of de provincie bronbeheerder zijn. Voor het Actieplan geluid zal alleen gekeken worden naar de wegen in beheer van de gemeente voor mogelijke maatregelen.
Aanpak hoofdspoorwegen:
In het document van het RIVM is naar de effecten van de implementatie CNOSSOS op geluidkartering en Actieplannen van het railverkeer/spoorverkeer gekeken. De verschillen tussen CNOSSOS met de SRM2 zijn zeer afhankelijk van de locatie. Voor het hoofdspoor is ProRail de bronbeheerder, in hun Actieplan geluid dan wel in eigen programma’s zal hier naar verwachting verder aandacht aan besteed worden. De hoofdspoorwegen in onze regio hebben al een geluidproductie plafond (gpp).
De berekende waarden op basis CNOSSOS worden opgenomen en zal op hoofdlijnen worden bekeken. Op sommige locaties zal het verschil negatief, positief of rond nul bedragen. Er zijn derhalve niet opnieuw berekeningen op basis van de SMR2 of de OR/Areg uitgevoerd.
Industrielawaai:
Dit is in het document van het RIVM niet behandeld.
De berekende waarden op basis CNOSSOS worden opgenomen en zal op hoofdlijnen worden bekeken. Op de kaarten zijn de vastgestelde geluidcontouren van de gezoneerde terreinen opgenomen.
Vlieglawaai:
Dit is in het document van het RIVM niet behandeld.
Stap 3: Beleid en voorgenomen maatregelen
Beleid
Als eerste is gestart met algemeen beleid en dus niet om beschouwingen op het niveau van individuele woningen. Er is een doorkijk tot het volgende Actieplan omschreven met lange termijn mogelijkheden zoals deze in verschillende (beleids-) stukken zijn opgenomen. Binnen de gemeentegrenzen van de agglomeratie liggen geen stilte gebieden.
Voorgenomen maatregelen
Er is per gemeente gekeken welke geluidreducerende maatregelen mogelijk zijn. De knelpunten, die op basis van de plandrempel naar boven zijn gekomen, zijn bekeken. Per knelpunt is bekeken welke maatregel van toepassing zou kunnen zijn. De maatregelen zijn besproken met onder andere de verkeerskundige van elke gemeente. Bij deze gesprekken bleek dat een aantal knelpunten al worden opgelost door op stapel staande verkeersmaatregelen, herinrichting van wegen of onderhoud van wegdekken. Hierbij is ook een overzicht gemaakt van de te bereiken reductie/effect en het aantal woningen dat hiermee een lagere geluidbelasting zal krijgen. Indien mogelijk is voor de komende 5 jaar de termijn en mogelijke financiële informatie opgenomen.
Bij het bepalen van de meest voor de hand liggende maatregelen is een afweging gemaakt van een aantal factoren, zoals:
Het aantal woningen met een te hoge geluidbelasting;
De geluidklasse waarin deze woningen zich bevinden;
De effectiviteit van de maatregel;
Een kostenindicatie van de maatregel;
De gewenste uiterlijke kenmerken van een gebied;
Technische haalbaarheid van een maatregel;
Eventuele logistieke problemen die een maatregel met zich meebrengt.
De maatregelen en kosten die nog niet zijn verwerkt in bijvoorbeeld de verschillende onderhoudsprogramma’s of meerjarenbegroting van de gemeente moeten nog op de politieke agenda komen.
In Actieplan deel B is per gemeente omschreven welke knelpunten er zijn, wat de (mogelijke) maatregelen kunnen zijn, de verwachte planning en de mogelijk de kosten die eind 2023/begin 2024 bekend zijn. Bij de meerjarenbegrotingen zal een afweging moeten worden gemaakt welke maatregelen de gemeenteraad uit wil laten voeren. Als een gemeente een knelpunt wil oplossen en dit is niet mogelijk binnen de reguliere (onderhouds)budgetten of al geplande en begrootte projecten, zal in verband met het noodzakelijke budget hierover een besluit moeten worden genomen door de gemeenteraad. De gemeenteraad kan bij de volgende raadsbegrotingen een duidelijke afweging maken welke maatregelen zij willen toepassen om geluidknelpunten op te lossen in relatie tot de andere problemen die zich in de gemeente voordoen.
Daarnaast hebben gemeenten ook beleid en richtlijnen opgesteld die invloed kunnen hebben op de verkeersafwikkeling binnen een gemeente of in het kader van veiligheid. Ook deze zijn meegenomen in de Actieplan deel B van de gemeente.
Stap 4: Opstellen ontwerp Actieplan geluid
In het ontwerp Actieplan wordt het Actieplan deel A (algemeen) en deel B (per gemeente) opgesteld. Dit wordt aan de gemeente voorgelegd en kan nog verder worden aangevuld.
beschrijving van de gemeente en de op de geluidbelastingkaart aangegeven wegen en spoorwegen, industrie en vliegverkeer;
beschrijving van het wettelijk kader voor de geluidhinderbestrijding;
samenvatting van de belangrijkste gegevens uit de geluidbelastingkaarten voor de vorige tranche;
overzicht aantal inwoners dat door blootstelling aan lawaai wordt gehinderd of in hun slaap wordt gestoord;
overzicht van de maatregelen uit de vorige tranche en evaluatie van de invloed op geluidknelpunten van deze maatregelen;
overzicht belangrijkste infrastructurele werken in de eerstvolgende 5 jaar;
overzicht van de bekende, bestaande en in voorbereiding zijnde bron- en overdrachtmaatregelen;
benodigde financiële informatie over de voorgenomen maatregelen, als dit bekend is;
beschrijving over het verloop van het inspraakproces.
Bij het opstellen van het ontwerp-Actieplan wordt niet alleen naar de berekende waarden gekeken, ook worden subjectieve factoren (zoals voorspelbaarheid en beïnvloedbaarheid) betrokken bij de beoordeling van het geluid.
In het definitieve Actieplan worden de inhoudelijke reacties op de zienswijzen gegeven en de definitieve keuze van maatregelen en fasering.
Stap 5: Ter inzage leggen ontwerp Actieplan
Het college zal een besluit nemen over het ontwerp Actieplan. De gemeenteraad wordt geïnformeerd.
Bij het besluit over het ontwerpActieplan en de terinzagelegging, is invulling gegeven aan de motiveringsplicht. De gemeente legt het ontwerpActieplan 6 weken ter inzage. Dit gebeurt via de Landelijke voorziening bekendmaken en beschikbaar stellen (LVBB). Daarnaast zullen de Actieplannen tevens digitaal te raadplegen zijn.
Iedereen, ongeacht of men belanghebbende is, kan zienswijzen naar voren brengen. Dit kan schriftelijk of mondeling.
Vervolgens zullen eventuele zienswijzen afgewogen worden en mogelijk verwerkt worden in het Actieplan.
Stap 6: Vaststellen voor 18 juli 2024
De gemeenten stellen het Actieplan voor 18 juli 2024 vast. De eventuele reacties op de zienswijzen zijn in het Actieplan verwerkt.
Binnen 1 maand na de vaststelling van het Actieplan geven de burgemeester en wethouders kennis van deze vaststelling op de wijze die is voorgeschreven.
Stap 7: Verstrekken via Centrale Voorziening Geluidgegevens (cvvg)
Het Actieplan geluid dient via de cvvg aangeboden te worden middels e-Herkenning.
Nazorg: Na het traject zal een evaluatie worden uitgevoerd.
De stappen 5, 6 en 7 zullen na het ontwerpactieplan nog doorlopen dienen te worden.
Vanaf de inwerkingtreding van de start Europese richtlijn omgevingslawaai zijn diverse partijen aangewezen die verplicht uitvoering geven door een programma met geluidbelastingskaarten, tabellen en Actieplannen geluid op te stellen.
De 1e tranche betrof de periode 2006-2007 en de 2e tranche: 2011-2012 en de 3e tranche 2016-2017.
Voor de gegevens met betrekking tot de vorige 3e tranche eerder vastgestelde geluidbelastingskaarten, tabellen en Actieplan geluid voor de gemeenten wordt verwezen naar de volgende locatie: https://odzob.nl/geluidbelastingskaarten, waar per gemeente de gegevens zijn opgenomen.
De verschillen tussen 2021 en 2016 zijn over het algemeen divers:
Verschil in aantal inwoners en het aantal woningen in een gemeente.
Gebruikte data voor de modellering, over het algemeen zijn deze in 2021 nauwkeuriger en uitgebreider.
Het wegennet. Wijziging van de emissies: andere intensiteiten, wegdekken en snelheden en nieuwe wegen.
Wijziging van de geluidoverdracht: verandering in terrein, of de bouw van geluidschermen.
In bijlage 3 staan uitgangspunten met de Europese rekenmethode CNOSSOS toegelicht.
Door de methode rekenmethode CNOSSOS en een andere telmethode en dosis-effectrelatie.
Uit diverse vergelijkingen tussen CNOSSOS en SRM2 is gebleken dat tussen deze 2 rekenmethoden verschillen in geluidbelastingen kunnen optreden in de range tussen -4 dB tot +5 dB, voornamelijk veroorzaakt door de wijzigingen in de berekening van de bodemdemping. Dit kan daarmee ook leiden tot grote verschillen in het aantal blootgestelden. Met name binnenstedelijk worden hogere geluidbelastingen berekend met CNOSSOS.
De geluidbelastingkaarten van de 3e en 4e tranche zijn vastgesteld onder de Wet milieubeheer. Ook de actieplannen geluid/ programma‘s geluid van de 3e tranche zijn in 2018 opgesteld en vastgesteld onder de Wet milieubeheer.
Het opstellen van de actieplannen geluid zijn in 2023 gestart onder de Wet milieubeheer, met ingang van 1 januari 2024 is de Omgevingswet in werking getreden. De vaststelling vindt plaats onder de regels van de Omgevingswet.
Algemeen
Op grond van de vastgestelde geluidkaarten en subjectieve waarnemingen zijn knelpunten en maatregelen geformuleerd. Hierbij is een afweging gemaakt op grond van het geluidbeleid dat al eerder is geformuleerd op landelijk, provinciaal, regionaal en gemeentelijk niveau, maar ook op grond van wettelijke verplichtingen. In de subparagrafen 1.4.1, 1.4.2 en 1.4.3 wordt ingegaan op de bestaande beleidskaders die er voor het onderwerp geluid zijn.
Landelijk wettelijk kader
Met betrekking tot geluidbeleid zijn in het verleden het Nationaal Milieubeleidplan 4, de Nota Mobiliteit en de Nota Ruimte en natuurlijk de Wet geluidhinder en Wet milieubeheer, van belang geweest.
In de Nota Ruimte en in de nadere uitwerking daarvan voor verkeer in de Nota Mobiliteit (NoMO), is opgenomen dat het Rijk zich inspant om overschrijding van de grenswaarden in het bebouwd gebied als gevolg van de rijksinfrastructuur te verminderen. Ten aanzien van geluidhinder wil het Rijk de grote knelpunten aanpakken bij weg en spoor.
Voor de Rijks infrastructuur hebben Rijkswaterstaat en ProRail de aanpak van geluidoverlast woningen in de Meerjarenprogramma’s Geluidsanering (MJPG) opgenomen. In de Nota Mobiliteit is het instrument geluidproductieplafond (gpp) geïntroduceerd, waarmee nieuwe handhavingsgaten kunnen worden voorkomen. De hoogte van de geluidproductieplafonds worden per weg vastgelegd en deze waarden mogen niet worden overschreden. Gebeurt dit toch, dan kan handhavend worden opgetreden. De bronbeheerder moet vervolgens (bron)maatregelen treffen om overschrijding te voorkomen.
De Nationale Omgevingsvisie [13], NOVI, is opgesteld waarin het Rijk een langetermijnvisie geeft op de toekomstige ontwikkeling van de leefomgeving in Nederland. De NOVI stelt een nieuwe aanpak voor: integraal, samen met andere overheden en maatschappelijke organisaties, en met meer regie vanuit het Rijk. Met steeds een zorgvuldige afweging van belangen werken we aan onze prioriteiten: ruimte voor klimaatadaptatie en energietransitie, een duurzaam en (circulair) economisch groeipotentieel, sterke en gezonde steden en regio’s en een toekomstbestendige ontwikkeling van het landelijk gebied. Er wordt aan nieuwe Nota Ruimte gewerkt.
[13] Nationale Omgevingsvisie (NOVI) | De Nationale Omgevingsvisie
Het wettelijk kader voor geluid wordt nu bepaald door de Omgevingswet, daarin zijn veel van de eerdere wetten opgenomen, soms met aanpassingen.
Met de Omgevingswet en de aanvullingswet geluid zal de provincie het systeem van geluidproductieplafonds (gpp) gebruiken voor provinciale wegen. De provincie moet de geluidproductieplafonds vaststellen voor 2026. Zolang deze niet zijn vastgesteld, blijft de Wet geluidhinder van toepassing.
Met het invoeren van de Omgevingswet is de basisgeluidemissie (bge) geïntroduceerd. De basisgeluidemissie is het referentieniveau van het geluid door lokale (spoor)wegen. Het is een instrument om de geluidproductie van lokale bronnen te monitoren. Daarnaast wordt het ook gebruikt om het geluidaandachtsgebied te bepalen en de saneringsvoorraad te bepalen. Op het bepalen van de bge zijn regels uit de Omgevingsregeling van toepassing (artikel 3.27 lid 5 Bkl). Het bevoegd gezag mag bepalen over welk jaar, zolang dat uiterlijk 2026 is.
Voor de invulling van de bge in het kader van de Omgevingswet hebben de bronbeheerders meerdere jaren om het referentieniveau (nul-situatie) van het geluid door lokale (spoor)wegen te bepalen. De gemeente als bevoegd gezag legt de basisgeluidemissie vast in het geluidregister. Na vastleggen monitort het bevoegd gezag de ontwikkeling van het geluid. Bij een toename van 1,5 dB van de geluidemissie ten opzichte van de bge overweegt de gemeente of ze maatregelen moet nemen.
Voor dit Actieplan geluid is dit nog niet aan de orde. Zolang de bge niet is vastgesteld, blijft de Wet geluidhinder van toepassing.
De informatie voor de Brabantse Omgevingsvisie is te vinden op de website van de provincie
De Brabantse Omgevingsvisie is een samenhangende visie op de fysieke leefomgeving. De Omgevingsvisie bevat de belangrijkste ambities voor de fysieke leefomgeving voor de komende jaren. Dat gaat om ambities op het gebied van de energietransitie, een klimaatproof Brabant, Brabant als slimme netwerkstad en een concurrerende, duurzame economie. De Omgevingsvisie geeft ook aan op welke nieuwe manieren de provincie met betrokkenen wil samenwerken aan omgevingsvraagstukken en welke waarden daarbij centraal staan.
Stiltegebieden in Noord-Brabant en de agglomeratie Eindhoven
Binnen de agglomeratie Eindhoven zijn geen stilte gebieden [14] aangewezen
[14] Na onderzoek en in overleg met de gemeenten heeft de provincie 31 stiltegebieden geselecteerd. Deze gebieden zijn opgenomen in de Omgevingsverordening en ook te bekijken via de viewer Stiltegebieden op de website
Samen voor een duurzaam bereikbaar Zuidoost-Brabant. Dat is de kern van het Bereikbaarheidsakkoord Zuidoost-Brabant. Eind 2018 is deze samenwerkingsovereenkomst van start gegaan.
De regio zet in op slimme mobiliteit en co-modaliteit (het gebruik van verschillende vervoersmiddelen). Op de website [15] van smartwayz is meer informatie terug te vinden. Alle belangrijkste mijlpalen van SmartwayZ.NL onderverdeeld in 4 hoofdthema's: slim reisgedrag, slimme logistiek, slimme verkeersdiensten en slimme innovaties & ontwikkelingen [16].
In deel B zijn de projecten voor de gemeente opgenomen die invloed hebben op geluid.
[15] https://www.smartwayz.nl/nl/infrastructuur/bereikbaarheidsakkoord-zuidoost-brabant/
[16] https://www.smartwayz.nl/nl/smartwayznl-resultaten/resultaten/
Samenwerking is de sleutel tot het succes van de regio. Samen komen we verder. De 21 regiogemeenten hebben daarom hun krachten gebundeld in de Metropoolregio Eindhoven.
EEN STERKE REGIO
De ambitie: een sterke regio met behoud van het kenmerkende innovatieve Brainportprofiel en een stabiele sociale basis en vitale leefomgeving voor al onze inwoners.
De grote achterliggende opgave is het verbinden van de duurzame verstedelijking en de opgaven voor een vitaal landelijk gebied in onze regio.
De twee ontwikkellijnen daarin zijn:
Duurzame schaalsprong Brainport: we werken met extra aandacht en inzet aan oplossingen op het gebied van verstedelijking en mobiliteit.
Nieuwe balans in het landelijk gebied: we versterken de ruimtelijke en ecologische kwaliteiten in het landelijk gebied en de verbinding tussen landelijk en stedelijk gebied.
Brede welvaart is het kompas in de MRE-opgaven.
Om de regionale ambitie te realiseren, werkt de MRE ze aan deze 5 programma's: Economie, Mobiliteit, energietransitie, landelijk gebied en ruimte en wonen.
Zie voor meer informatie de website van Metropoolregio Eindhoven.
In het Actieplan deel B wordt per gemeente de opgaven verder meegenomen.
Algemeen
Het mobiliteitsprogramma SmartwayZ.NL houdt zich bezig met de vraagstukken verstedelijking en bereikbaarheid in verschillende infrastructurele opgaven in Noord-Brabant en Limburg. Deze liggen op de corridor Breda-Venlo (A58, A2, A67), de A2 Weert-Eindhoven, de N279 Veghel-Asten en het gebied Zuidoost-Brabant. De aanpak varieert van smart mobility-oplossingen tot het verbreden van snelwegen en het aanpakken van vervoersknooppunten. Alles om de bereikbaarheid en doorstroming te verbeteren [17].
Smart Mobility
In Zuid-Nederland bouwen ze het mobiliteitssysteem van de toekomst. Daarin staan de reizigers en vervoerders centraal. De mobiliteitsoplossingen die we ontwikkelen, maken het systeem slimmer, flexibeler, duurzamer en veiliger. En dan ook nog eens betaalbaar. Op de website staan projecten opgenomen [18].
Net als voorgaande jaren wordt in de regio Zuidoost-Brabant gewerkt aan de geluidsanering van bestaande woningen waar overlast wordt ondervonden van wegverkeerslawaai. De betreffende woningen zijn opgenomen op de zogeheten saneringslijsten A-lijst, B-lijst en eindmelding. Bij de geluidsaneringsprojecten worden, volgens een regionale prioriteitenlijst gevelmaatregelen aan woningen getroffen om zodoende het geluidniveau in de woningen terug te dringen. Een prioriteitenlijst is omdat de subsidie voor de maatregelen maar beperkt beschikbaar wordt gesteld door het rijk.
De Brabant Brede Model Aanpak (BBMA) is sinds 2015 de strategie voor de bouw en beheer van het provinciale verkeersmodel. De BBMA is een samenwerking tussen de provincie en gemeenten.
In de BBMA zijn regionale verkeersgegevens ondergebracht. Met de BBMA kan de geluidbelasting, veroorzaakt door het verkeer, in beeld worden gebracht. Deze gegevens worden jaarlijks geactualiseerd. Veel gemeenten gebruiken de BBMA als informatiebron bij planvorming. Daarnaast worden de gegevens gebruikt voor bijvoorbeeld het produceren van kaarten met daarop geluidcontouren.
Algemeen
Op grond van de Richtlijn omgevingslawaai moet een plandrempel worden vastgesteld. De hoogte van deze plandrempel kunnen de gemeenten, net als in de vorige tranche, zelf bepalen. In overleg met de agglomeratiegemeenten is ervoor gekozen om dezelfde plandrempels aan te houden als in de wetgeving zijn opgenomen, nu is dit de Omgevingswet. In de vorige tranche is gebiedsgericht geluidbeleid voor de bestaande situaties geformuleerd (zie tabel 6 onder 4.8.2).Het gebiedsgericht geluidbeleid voor de bestaande bebouwing is overgenomen in deze tranche en Actieplan.
Doelstelling
De hoofddoelstelling van het gebiedsgerichte geluidbeleid is (net als in eerste, tweede en derde tranche):
GELUID WAAR HET HOORT.
In principe wordt ervan uitgegaan dat geluid op de juiste plaats minder tot weinig overlast zal opleveren. In sommige gebieden wordt meer geluid geaccepteerd. De geluidbelasting op de gevel wordt getoetst aan de plandrempel.
Er zijn echter uitzonderingen:
Woningen die met de tuin naar de weg gericht liggen hebben een lage geluidbelasting , maar de hinder in de tuin kan groot zijn.
Klinkerstraten, waar weinig auto's doorheen rijden daar zal de geluidbelasting hoog zijn, maar is de hinderlijkheid over het algemeen laag.
Snelwegen geven relatief lage geluidbelastingen, maar door de contstante aanwezigheid van het geluid, kan de hinderlijkheid groot zijn.
Voor plaatsen waar het geluidniveau boven deze plandrempel uitkomt of de plandrempel benadert, is vervolgens gekeken of maatregelen mogelijk zijn. Of uiteindelijk actie zal worden ondernomen, is afhankelijk van de technische, logistieke, esthetische en economische haalbaarheid. Daarnaast speelt de politiek een belangrijke rol bij de afwegingen.
Algemeen
Zoals gezegd wordt voor elk gebiedstype een plandrempel vastgesteld (zie tabel 6 onder 4.8.2). Deze plandrempel geeft als beleidsuitgangspunt de ambitie van de gemeente aan; boven welk niveau wil men maatregelen gaan treffen. Van de plandrempel wordt, daar waar de doelmatigheid of kosteneffectiviteit in het geding komt, gemotiveerd afgeweken.
Met de plandrempel werd eerder aangesloten bij de maximale ontheffingswaarden uit de Wet geluidhinder, de Wet milieubeer en de Luchtvaartwet. Sinds 1979 is in Nederland de Wet geluidhinder van kracht en vanaf 1986 moeten bestaande en vanaf 1982 nieuwe situaties aan geluidnormen voldoen. In de gebieden die niet aan de plandrempel voldoen, wordt inzichtelijk gemaakt hoe de milieukwaliteit verbetert of kan verbeteren door maatregelen die aansluiten bij ruimtelijke ontwikkelingen en andere beleidsvelden.
De gemeenten dienen plandrempels op te stellen voor verschillende geluidbronnen. Een plandrempel, zijnde een geluidbelasting Lden en geluidbelasting Lnight op geluidgevoelige gebouwen (artikel 4.22, lid 1, Besluit kwaliteit leefomgeving (Bkl) ) worden hier opgenomen.
Geluidbronnen
De instructieregels uit afdeling 3.5 van het Besluit kwaliteit leefomgeving (Bkl) zijn van toepassing op de beheersing van geluid door een weg, spoorweg of industrieterrein (artikel 3.18 lid 1 Bkl). De wetgever maakt bij deze bronnen onderscheid tussen beheersen met een geluidproductieplafond als omgevingswaarde (gpp) en beheersen zonder een gpp.
Geluidbronnen met een geluidproductieplafond (gpp) als omgevingswaarde zijn:
wegen in beheer bij het Rijk (artikel 2.15 lid 3a, Omgevingswet)
hoofdspoorwegen (artikel 2.15 lid 3b, Omgevingswet)
wegen in beheer van de provincie (artikel 2.13a lid 1a, Omgevingswet)
aangewezen lokale spoorwegen (artikel 2.13a lid 1b, Omgevingswet en de provinciale omgevingsverordening)
industrieterreinen met aangewezen activiteiten (artikel 2.11a en 2.12a Omgevingswet)
Het gaat om wegen en hoofdspoorwegen in beheer van het Rijk die zijn aangewezen in de Omgevingsregeling (artikel 2.29a en 2.30a). De provincie wijst provinciale wegen met meer dan 1.000 motorvoertuigen per etmaal aan in haar omgevingsverordening (artikel 7.10a Bkl).
Lokale (spoor)wegen zonder een gpp zijn (artikel 3.26 Bkl):
gemeentewegen en waterschapswegen met een verkeersintensiteit van ten minste 2.500 [19] motorvoertuigen per etmaal
lokale spoorwegen
Noot:
Van de (gemeente)wegen waar de intensiteiten van beschikbaar zijn in de opgestelde END‑ geluidbelastingskaarten meegenomen, mogelijk dus ook met intensiteiten lager dan 1.000 motorvoertuigen per etmaal.
Gewijzigde normen en terminologie voor geluid onder de Omgevingswet
In de vorige Actieplannen is uitgegaan van eisen die gesteld werden onder de Wet geluidhinder, welke geldig was tot en met 31‑12‑2023. Ook de terminologie is anders:
Standaardwaarde (voorheen: voorkeurswaarde): een geaccepteerd geluidniveau waarvan gemotiveerd kan worden afgeweken.
Grenswaarde (voorheen: maximale ontheffingswaarde): een grens waarbij alleen bij uitzondering en met geluidbeperkende maatregelen (nieuwe) geluidgevoelige gebouwen kunnen worden toegestaan.
In het Bkl wordt niet meer gesproken van de eenheid dB, maar van de eenheid Lden. Inhoudelijk verandert er niks: dB=Lden.
[19] In Artikel 3.26 van het Besluit kwaliteit leefomgeving is nog 1000 mvt/etm opgenomen. Dit wordt 2.500 mvt/etm, hier dient nog een koninklijk besluit overgenomen te worden.
Waarden voor geluid onder de Omgevingwet
Voor het Actieplan geluid wordt door de gemeenten aangesloten bij de wettelijke standaardwaarden en grenswaarden voor geluid op een geluidgevoelig gebouw. Deze waarden voor geluid zijn afkomstig en overgenomen van artikel 3.34 en 3.35 van het Bkl. In tabel 5 zijn de waarden opgenomen.
Geluidbronsoort | Standaardwaarde (dB)O.b.v. Bkl tabel 3.34 | Grenswaarde (dB) O.b.v. Bkl tabel 3.35 | Opmerking |
Provinciale wegen, Rijkswegen | 50 Lden | 65 Lden | 1, 4 |
Gemeentewegen en Waterschapswegen | 53 Lden | 70 Lden | 1, 2 |
Lokale spoorwegen (3) en Hoofdspoorwegen | 55 Lden | 70 Lden | 1, 4 |
Industrieterreinen
| 50 Lden 40 Lden | 60 Lden 50 Lden | 1, 2, 4
|
Opmerkingen:
1. De standaardwaarden en de grenswaarden voor gevels van geluidgevoelige gebouwen in geluidaandachtsgebieden zijn bijna allemaal verhoogd ten opzichte van Wet geluidhinder voor bestaande situaties, dit heeft o.a. te maken met het komen te vervallen conform aftrek artikel 110g Wet geluidhinder.
2. De gemeente is het bevoegd gezag uitsluitend voor gemeentewegen en de meeste (gezoneerde) industrieterreinen. Voor de overige geluidbronsoorten zijn andere partijen het bevoegd gezag, bijvoorbeeld RWS, ProRail en de provincie. Voor Eindhoven Airport is dit het Ministerie van Defensie.
3. Binnen de agglomeratie Eindhoven zijn er geen lokale spoorwegen waarmee rekening gehouden dient te worden. Voor de hoofdspoorwegen in de agglomeratie gelden de vastgestelde gpp’s.
4. Voor het toelaten van nieuwe geluidgevoelige gebouwen (in een geluidaansdachtsgebied) gelden andere waarden en eisen voor het beoordelen van geluid. Deze standaardwaarden en grenswaarden zijn in tabel 5.78 t en 5.78u van het besluit kwaliteit leefomgeving opgenomen en over deels strenger.
De waarden voor de plandrempels per gebiedstype en geluidbron voor bestaande situaties (geen gpp zijnde) voor gemeenten zijn opgenomen in de onderstaande tabel (6). Dit is op basis van de Omgevingswet en de rekenregels uit de Omgevingsregeling.
Let op voor het toelaten van nieuwe geluidgevoelige gebouwen zijn enkele grenswaarden aangescherpt. Dat is hier niet aan de orde omdat in het Actieplan uitgegaan wordt van bestaande situaties.
De plandrempels uit het vorige Actieplan zijn in de tabel 6 in blauw [Lden] opgenomen op basis van de Wet geluidhinder en zijn inclusief aftrek Artikel 110g Wet geluidhinder. Deze kunnen niet zondermeer met elkaar vergeleken worden door andere uitgangspunten.
Ook nu kunnen gemeenten meer ambitie hebben en streefwaarden hanteren die lager zijn dan de opgenomen grenswaarden voor geluid.
WHO advieswaarden: In dit Actieplan worden de WHO advieswaarden voor omgevingsgeluid niet overgenomen als doel, maar kunnen als streefwaarden worden gesteld.
* De wettelijk vergunde waarden zijn maatgevend. Dit zullen veelal nog LAeq in dB(A) zijn.
** Met betrekking tot de plandrempel voor wegverkeerslawaai: deze is voor de eerste lijnsbebouwing 70 dB (in tabellen aangegeven als eb) te noemen. De overige genoemde waarden van 65 of 60 dB is voor de andere woningen in de buurt (tweedelijnsbebouwing en verder weg gelegen) en gaat over het gebiedstype waar de woningen zijn geleden. Dit zal niet als plandrempel worden omschreven maar als de streefwaarde. Het blijkt dat deze waarden voor wegverkeerslawaai niet of beperkt overschreden wordt voor de woningen zijnde niet eerste lijnsbebouwing.
*** Artikel 110g Wet geluidhinder is komen te vervallen met de inwerkingtreding van de Omgevingswet. Artikel 110g Wgh voorzag in een aftrek op de berekende geluidsbelasting, waardoor de werkelijke geluidbelasting hoger was dan de wettelijke grenswaarden. Deze aftrek was bedoeld als tijdelijke maatregel, maar is uiteindelijk jarenlang blijven bestaan. Met de komst van de Omgevingswet en het nieuwe normenstelsel in het Besluit kwaliteit leefomgeving is besloten om deze aftrek te laten vervallen. Hiermee wordt voorkomen dat de werkelijke geluidsbelasting hoger is dan de wettelijke grenswaarden. De grenswaarden worden nu direct toegepast zonder aftrek. Verder was in het Reken- en meetvoorschrift geluid 2012 volgens artikel 3.5 voor wegverkeer een correctie opgenomen vanwege de verwachting dat het geluid van banden in de toekomst zou verminderen. Met de omgevingswet is de keuze gemaakt om de aftrek te laten vervallen en de emissiekentallen op basis van de recente metingen te actualiseren.
(1) Een aantal rijkswegen, hoofdspoorwegen en provinciale wegen vallen onder de systematiek van de geluidproductieplafonds (gpp).
(2) In de regio zijn geen lokale spoorwegen en valt het railverkeer onder de gpp systematiek.
In de Actieplannen deel B is voor de afzonderlijke gemeenten de plandrempel gebruikt om de knelpunten te bepalen. De gemeenten hebben aangegeven dat ze aansluiten bij plandrempel/ grenswaarde voor geluid onder de Omgevingswet. Enkele gemeenten hebben aangegeven om zoveel mogelijk beleidsneutraal te willen overgaan.
In principe is langs vrijwel alle doorgaande wegen op de voorgevels van woningen de plandrempel voor de eerstelijns bebouwing aangehouden. Voor wegverkeerslawaai is dit 70 dB. In gebieden waar duidelijk geen eerstelijnsbebouwing aanwezig is, of woningen met de tuinen naar de weg zijn gericht , kan de plandrempel voor het betreffende gebiedstype de streefwaarde worden aangehouden.
Het lokaal beleid van een gemeente wordt in Actieplan deel B verder uitgewerkt. Het betreft een uitwerking van het te voeren beleid voor de ontwikkeling, het gebruik, het beheer, de bescherming of het behoud van de fysieke leefomgeving (artikel 3.5, Omgevingswet).
In actieplan deel B worden de mogelijke algemene maatregelen om aan een of meer andere doelstellingen voor de fysieke leefomgeving te bereiken (artikel 3.5, Omgevingswet) opgenomen.
Actieplan deel B bevat de maatregelen die worden overwogen of in uitvoering zijn om overschrijdingen van de plandrempel te voorkomen of ongedaan te maken (artikel 4.22, lid 3, Bkl) benoemd.
Een Actieplan geluid heeft als doel om geluidbelaste locaties in kaart te brengen en te onderzoeken of maatregelen kunnen worden getroffen om de geluidbelasting te verminderen. Het is echter niet zo dat een Actieplan geluid direct leidt tot het oplossen van knelpunten. De reden hiervoor is dat een Actieplan geluid slechts een inventarisatie en analyse bevat, maar geen concrete maatregelen of budgetten om knelpunten op te lossen, ook redenen van stedenbouwkundige, verkeerstechnische of financiële aard kunnen hieraan ten grondslag liggen. Daarvoor zijn aanvullende stappen nodig, zoals het prioriteren van knelpunten, het ontwerpen van maatregelen en het vrijmaken van financiële middelen. Actieplan Daarnaast kunnen maatregelen nodig zijn die buiten de invloedsfeer van de gemeenten vallen, zeker bij vliegverkeer, railverkeer en rijkswegen.
Het bestuursorgaan stelt een actieplan geluid vast. Voor gemeenten binnen de agglomeratie is dit in artikel 3.6 van de Omgevingswet opgenomen. Voor het actualiseren, opstellen en vaststellen van het actieplan geluid is een stappenplan, die is in 3.3 onder stappen 1 t/m 7 beschreven.
Het Actieplan geluid wordt elke 5 jaar geactualiseerd (artikel 10.17, Omgevingsbesluit). Gemeenten en provincies sturen het Ministerie van Infrastructuur en Waterstaat de benodigde gegevens over een Actieplan geluid (artikel 10.9, Omgevingsbesluit).
Algemeen
In dit hoofdstuk wordt een overzicht gegeven van mogelijke maatregelen om geluid te reduceren en de eventuele kosten van deze maatregelen. De maatregelen zijn van algemene aard en zijn dus niet specifiek bedoeld voor een gebied of gemeente. In principe zijn ze overal toepasbaar.
In de Actieplannen deel B is per gemeente en per knelpunt gekeken, welke maatregelen het beste kunnen worden toegepast. Bij die afweging is rekening gehouden met de kosten, technische uitvoerbaarheid, verkeersveiligheid en logistieke en esthetische haalbaarheid.
Bronmaatregelen: maatregelen aan voertuigen of wegdek of verkeersmaatregelen
Onder bronmaatregelen vallen maatregelen die kunnen worden getroffen aan de bron, het verkeer zelf. Onderdelen die bij wegverkeerslawaai geluid produceren zijn: rolweerstand (bandengeluid), verbranding (motoren en uitlaten) en luchtweerstand (windgeluid). Afhankelijk van de snelheid is één van deze deelbronnen maatgevend. Door maatregelen aan het wegdek wordt het bandengeluid gereduceerd. Aan de banden, motoren en uitlaten van auto’s kunnen gemeenten niet veel doen. Met verkeersmaatregelen kan het aantal auto’s of de snelheid van de auto’s worden gereduceerd, waardoor minder geluid wordt geproduceerd. In dit hoofdstuk wordt uitgebreid ingegaan op mogelijke verkeersmaatregelen.
Stille wegdekken
In het Actieplan wordt gesproken van stille wegdekken als er een vermindering van het geluid is ten opzichte van een wegdektype wat er aanwezig was of is. Veelal wordt in de meeste gevallen uitgegaan van een verbetering ten opzichte van een normaal of standaard referentiewegdek, Dicht Asfalt Beton (DAB) of ook wel aangeduid als referentiewegdek. Voor de bestaande situaties met klinkers kan gekozen worden om klinkers in een ander verband te leggen zoals keperverband, de toepassing van stille klinkers of vervangen met asfalt.
De Omgevingswet is op 1 januari 2024 in werking getreden. Ook na de invoering zijn op sommige procedures de Wet milieubeheer (Wm) en de Wet geluidhinder nog van toepassing. En daarmee het Reken- en meetvoorschrift geluid 2012. Het overgangsrecht geluid regelt voor welke procedures dit geldt. Meer informatie daarover vindt u op de IPLO-website.
Onder de Omgevingswet is de stille banden aftrek (art. 110g Wet geluidhinder en art. 3.5 RMG2012) komen te vervallen. Dit kan alleen wel -2 dB of +3 dB verschil geven in berekeningen van geluidbelastingen tussen het RMG2012 en de nieuwe rekenmethode in de Omgevingsregeling.
Verder zijn er onder de rekenmethode onder de Omgevingswet 17 standaard wegdekcategorieën. Ieder wegdek zal onder één van deze 17 wegdekken geschaard moeten worden.
Stille wegdektypes
De kosten zijn een indicatie voor situaties waar sprake is van (groot) onderhoud van een weg. Daarom is voor de bepaling van de kosten als uitgangspunt genomen de werkwijze waarbij de bovenlaag van het wegdek afgefreesd wordt en een nieuwe (geluidreducerende) bovenlaag wordt aangebracht. Om dezelfde reden is in de kostenberekeningen ook geen rekening gehouden met indirecte kosten zoals de kosten van wegafzettingen, omleidingroutes, etc.
Bij toepassing van dunne deklagen kan het nodig zijn aanvullende, constructieve voorzieningen te treffen. Er worden aanvullende eisen gesteld aan de kwaliteit van de onder deze mengsels liggende asfaltverharding ten aanzien van afwatering en waterdichtheid. Het aanbrengen van geluidreducerende deklagen moet een duurzaam karakter hebben, enerzijds vanuit het perspectief van de aanwonenden en anderzijds, vanuit het perspectief van de weggebruiker, die niet voortdurend gehinderd willen worden door wegwerkzaamheden.
Daarom wordt bij een dunne deklaag vaak een extra asfaltonderlaag aangebracht. De stille wegdekken zijn gevoeliger voor schade dan conventionele mengsels, wat kostenverhogend werkt. De levensduur van een dunne deklaag wordt geschat op circa 8 tot 10 jaar. Er moet in elk geval een goede, draagkrachtige onderlaag aanwezig zijn.
Vanwege de grote kwetsbaarheid van geluidreducerende deklagen bij wringkrachten moet de toepassing ervan worden voorkomen op kruisingsvlakken, opstelstroken bij kruispunten en rotondes.
Dunne deklagen zijn meer geluidreducerend en we gaan ervan uit dat de geluidreducerende eigenschappen ondanks slijtage in de toekomst zich ook behouden.
Bij het bepalen van het type wegdek moet verder rekening worden gehouden dat de geluidreductie afhankelijk is van de gereden snelheid en de verkeerscategorie (mix van auto’s en vrachtverkeer). Niet ieder asfalt is geschikt voor bijvoorbeeld intensief gebruik door vrachtverkeer.
In (30 km/uur) gebieden met klinkerbestratingen (of gewoon asfalt) met hoge verkeersintensiteiten kan eventueel gekozen worden voor stille betonklinkers. Dit levert een reductie van ca. 1 dB t.o.v. gewoon asfalt (DAB) en zelfs 5 dB t.o.v. gewone straatklinkerverharding. In veel rustige straten met klinkerverharding is ondanks een hoge geluidbelasting geen overlast. Bij het overgaan tot vervanging van gewone straatklinkers door stille betonklinkers moet ook de beleving in ogenschouw worden genomen.
Langs snelwegen of drukke doorgaande wegen zijn geluidschermen of geluidwallen (overdrachtsmaatregelen) een optie om de geluidbelasting bij woningen te verlagen. Vanuit stedenbouwkundig oogpunt zijn niet overal schermen en wallen gewenst. Op bepaalde locaties waar woningen ondanks de geluidschermen toch nog een hoge geluidbelasting hebben, is het mogelijk om de huidige schermen te verhogen door er bijvoorbeeld een transparant scherm bovenop te plaatsen. Op andere plaatsen kan mogelijk een (extra) scherm worden geplaatst op een wal.
Of uiteindelijk een scherm of wal geplaatst kan worden, is afhankelijk van de technische, logistieke, esthetische en economische haalbaarheid. Daarnaast speelt de politiek een belangrijke rol bij de afwegingen.
Nb: Voor de gemeenten Eindhoven, Helmond, Geldrop-Mierlo en Nuenen c.a. zijn schermen ten behoeve van railverkeerlawaai aangevraagd voor bestaande woningen. Door ProRail zijn deze opnieuw bekeken en in het MJPG meegenomen. Op een aantal locaties zijn deze schermen afgelopen ronden reeds geplaatst. Hiermee is rekening gehouden in dit Actieplan.
Hieronder volgt een overzicht van algemene maatregelen waar vanuit wordt gegaan in het Actieplan die overwogen dienen te worden.
Voor een wal zijn zowel veel grond als ruimte nodig.
Schermen (met een te bereiken afscherming tot 5 dB) moeten een gewicht hebben van minimaal 10 kg/m2 en aaneengesloten (geen gaten) zijn. Boven 5 dB afscherming moet rekening worden gehouden met een gewicht van minimaal 20 kg/m2.
De kosten voor wallen en geluidschermen zijn eveneens afhankelijk van de afmetingen van het scherm, absorberend of reflecterend uitgevoerd dient te worden, de uitstraling van een geluidscherm, type ondergrond, funderingssysteem en afwateringsvoorziening, plaatsing in talud, beplanting, of er aanvullende voorzieningen noodzakelijk zijn zoals vluchtdeuren, kabels en leidingen, kosten grondverwerving en overige kosten.
Het (geluid)saneren van woningen middels geluidwerende maatregelen aan gevels en daken is zeer effectief. Een betere isolatie zorgt voor een lager binnenniveau. Bewoners zullen minder hinder ondervinden van verkeerslawaai waardoor hun welzijn zal verbeteren. Het saneren van woningen op de A-lijst was opgenomen in het regionale saneringsprogramma en werd betaald vanuit het Investeringsfonds Stedelijke Vernieuwing (ISV). De maatregelen zijn alleen gericht op de geluidbelaste woon- en slaapkamers (geluidgevoelige ruimten) in een woning en niet voor andere ruimten of tuinen. In de regio hebben vrijwel alle A-lijst woningen de mogelijkheid gehad om deel te nemen.
Per gemeente wordt aangegeven welke woningen op de lijsten staan, welke projecten op dit moment actief zijn en welke projecten nog uitgevoerd gaan worden en wanneer. Voor het Actieplan wordt er vanuit gegaan dat dit vastgestelde maatregelen betreffen. Daarnaast was het tot 31 december 2023 mogelijk om subsidie aan te vragen bij het Ministerie van Infrastructuur en Waterstaat voor de overige saneringswoningen (woningen op de B of eindmeldingslijsten). De aanvragen zijn door diverse gemeenten gedaan, waarvan er enkele in uitvoering zijn. Een aantal gemeenten is vrijwel gereed met de uitvoering van de geluidsaneringsopgave.
Overige maatregelen:
Het is de aanbeveling om van lagere grenswaarden uit te gaan dan de opgenomen grenswaarden. Daarnaast zijn er diverse mogelijkheden om te kiezen voor een gunstige woningindeling in gebouwen, het realiseren van geluidluwe gevels en buitenruimten en voorzieningen om geluidluw te spuien/ventileren.
De gemeenten zullen dit, voor bijvoorbeeld bij herbestemming of renovatie, in hun gemeentelijk beleid opnemen.
In het kader van de Richtlijn omgevingslawaai zijn voor de gemeenten Best, Eindhoven, Geldrop-Mierlo Helmond, Nuenen c.a. en Veldhoven, END-geluidbelastingskaarten en tabellen met peiljaar 2021 vastgesteld. In de vorige tranche zijn door de gemeenten Actieplannen geluid/ programma geluid (2018) vastgesteld door de colleges van de zes gemeenten.
Het opstellen van een Actieplan is een wettelijke verplichting op grond van de Richtlijn omgevingslawaai.
In dit Actieplan geluid deel A worden meer algemene aspecten opgenomen en staat vanaf welke plandrempel (beleidsmatige grenswaarde), afhankelijk van het gebiedstype, het college van burgemeester en wethouders maatregelen wenst.
Het is de aanbeveling om van lagere grenswaarden uit te gaan dan de opgenomen grenswaarden. Daarnaast zijn er diverse mogelijkheden in woningindeling van gebouwen, het realiseren van geluidluwe gevels en buitenruimten en ook geluidluw spuien / ventileren
In de Actieplannen deel B zijn voor de gemeenten Best, Eindhoven, Geldrop-Mierlo, Helmond, Nuenen c.a. en Veldhoven de maatregelen uit het vorige Actieplan geëvalueerd. Daarnaast zijn (nieuwe) maatregelen voor de komende periode benoemd. Ook hierbij is gekeken naar knelpunten op grond van de plandrempel.
In deze tranche zijn diverse wijzigen doorgevoerd waardoor het vergelijken met de huidige en de vorige tranche niet zondermeer gemaakt kan worden. Met name de Europese rekenmethode CNOSSOS is anders dan de eerder gehanteerde SRM2-rekenmethode uit de eerdere karteringstranches.
Het gebruik van een andere rekenmethode leidt tot andere rekenresultaten.
Ook het effect van de eerder getroffen maatregelen is daardoor niet te maken. Om beter inzicht te krijgen zijn extra berekeningen uitgevoerd met andere rekenmethoden zoals met SRM2 voor wegverkeerslawaai.
De vastgestelde geluidbelastingkaarten en de aanvullende berekeningen zijn een richtlijn geweest bij het opsporen van knelpunten en het formuleren van maatregelen.
Belangrijk is dat het hier gaat om een model dat is opgesteld op basis van de Richtlijn omgevingslawaai en is bedoeld om (beleidsmatig) verschillende situaties te kunnen vergelijken.
Het model is slechts een benadering van de werkelijkheid. Daarom is bij het opstellen van het Actieplan niet alleen gekeken naar de berekende geluidbelastingen (en mogelijke afwijkingen in data). Ook de subjectieve waarneming (de manier waarop burgers het geluid ervaren) is in ogenschouw genomen.
Ondanks de zorgvuldigheid waarmee de geluidkaarten zijn samengesteld, gaan we ervan uit dat er nog (enkele) afwijkingen zijn tussen de werkelijke gegevens en bijvoorbeeld de gebruikte verkeersintensiteit en voertuigverdeling. Ook is het mogelijk dat tussen begin 2021 (op grond van deze gegevens moesten de kaarten worden opgesteld) en het moment van het opstellen van het Actieplan nog verkeerstechnische of inrichtingstechnische zaken gewijzigd zijn. Ondanks het feit dat de vastgestelde kaarten worden gebruikt als richtlijn voor de Actieplannen is met deze afwijkingen (indien bekend) wel rekening gehouden bij het opstellen van de Actieplannen.
Voor de Regeling omgevingslawaai zijn alleen de brontypen weg- en railverkeer, industrie en vliegverkeer in kaart gebracht. Andere geluidbronnen zoals brommers, geluidoverlast van buren, evenementen zijn niet gekarteerd. Dit zijn echter wel geluidbronnen waar burgers meer last van kunnen hebben dan de vier bronnen uit de Regeling omgevingslawaai. Ook niet geluidgerelateerde overlast, zoals slechte luchtkwaliteit, zwerfafval en (tekort aan) parkeervoorzieningen zijn zaken die niet in het Actieplan zijn betrokken.
Na vaststelling van het ontwerp-Actieplan door de colleges van burgemeester en wethouders, wordt het ontwerp-Actieplan ter inzage worden gelegd, voor de gemeenteraad en burgers.
Samenvatting
Voor u ligt Deel Bvan Actieplan geluid voor uitsluitend de gemeente Helmond, dat is opgesteld in het kader van de EU-Richtlijn Omgevingslawaai. In dit deel B wordt uitsluitend de specifieke situatie van de (agglomeratie) gemeente Helmond beschreven.
De agglomeratie Eindhoven bestaat uit de gemeenten Best, Eindhoven, Helmond, Geldrop‑Mierlo, Nuenen c.a. en Veldhoven. De agglomeratie is specifiek aangewezen als agglomeratie in de Richtlijn omgevingslawaai. In de richtlijn staat tevens dat gemeenten verantwoordelijk zijn voor de beheersing van geluid afkomstig van gemeentelijke wegen en bedrijven. Voor de zes gemeenten binnen de agglomeratie zijn daarom wettelijk verplichte END‑geluidbelastingskaarten en tabellen in 2022 vastgesteld. Het opstellen van het Actieplan geluid, ook wel programma Geluid genaamd, is ook een wettelijke verplichting voor de gemeenten binnen de agglomeratie Eindhoven.
In het bijbehorende algemene deel Avan het Actieplan geluid is eerst de wetgeving en opzet van het onderzoek beschreven voor de zes gemeenten binnen de agglomeratie Eindhoven. Deze elementen zijn voor alle agglomeratiegemeenten hetzelfde of vergelijkbaar. De verschillende landelijke, provinciale en de regionale kaders voor geluidbeleid zijn opgenomen. Tevens zijn er beschrijvingen opgenomen van algemene maatregelen die getroffen kunnen worden ter beperking van geluid. De gemeenten besloten gezamenlijk een Actieplan geluid deel A op te stellen en dezelfde plandrempels voor de geluidbelastingen te hanteren als in de vorige tranches. Hierbij is wederom aangesloten bij de wettelijke kaders.
Het voorliggende deel B van het Actieplan geluid is opgesteld voor de gemeente Helmond. Andere actoren zoals Rijkswaterstaat, Prorail en de provincies stellen actieplannen op voor hun ‘eigen’ geluidbronnen (respectievelijk rijkswegen, spoorwegen en provinciale wegen).
Het omgevingslawaai voor het Actieplan geluid betreft vier geluidsoorten die (verplicht) opgenomen worden: wegverkeerslawaai, railverkeerslawaai, industrielawaai en luchtverkeerslawaai.
Het Actieplan geluid wordt elke 5 jaar geactualiseerd en is een verplicht programma volgend uit de Europese regelgeving. Na de drie eerdere perioden (2008, 2013 en 2018) wordt er nu voor de vierde keer een Actieplan geluid opgesteld. Het komende Actieplan geluid moet uiterlijk 18 juli 2024 zijn vastgesteld.
Actieplan Deel B, situatie per gemeente/knelpunten en oplossingen
In dit deel B komen voor de gemeente Helmond de volgende vragen aan bod:
Wat hebben we gedaan? Hiervoor heeft er een evaluatie van het vorige actieplan of programma geluid uit 2018 plaatsgevonden.
Waar staan we nu? Hier is aangegeven waar we nu staan en welke knelpunten er binnen de gemeente aanwezig zijn. Deze knelpunten zijn bepaald op grond van de geluidbelastingkaarten en door de gemeenten zijn enkele “hotspots” aangewezen.
Wat gaan we doen? Voor een aantal knelpunten en “hotspots” is opgenomen wat de gemeente voor maatregelen in de planning heeft om het knelpunt/hotspots aan te pakken.
Uit de eerdere opgestelde END-geluidbelastingskaarten blijkt dat bij de gemeentelijke wegen de hogere geluidbelastingen ten gevolge van het wegverkeerlawaai vrijwel uitsluitend voorkomt op de eerste lijnsbebouwing langs de (doorgaande) wegen. Bij woningen die verder van de weg zijn gelegen van deze wegen sluit de geluidbelasting aan bij het gebiedstype.
Opgemerkt wordt dat er binnen de gemeentegrenzen diverse locaties aanwezig zijn die getypeerd kunnen worden als rustig en waar nauwelijks hinder is ten gevolge van de onderzochte geluidsoorten. Tenslotte wordt opgemerkt dat de mogelijke hinder die mensen ervaren niet alleen objectief op basis van de geluidbelasting is vast te stellen maar ook persoonsgebonden (subjectief) is.
Overige maatregelen
Naast de knelpunten en mogelijke maatregelen in het actieplan worden ook andere maatregelen getroffen ter verbetering van het geluidklimaat. Zo is de sanering van rijkswege van de woningen die in het verleden een hoge geluidbelasting kenden nog in volle gang, en is met het in werking treden van nieuwe geluidregelgeving (SWUNG 1 en OW) de toename van de geluidbelastingen door groei van het verkeer op de rijksinfrastructuur (snelwegen en spoorwegen) beperkt. Bij Ruimtelijke- en Infrastructurele Ontwikkelingen worden afwegingen gemaakt in het kader van de Omgevingswet en wordt bij de aanvang reeds aandacht besteed aan het onderwerp geluid.
Programma Geluid en Lucht
De gemeente Helmond werkt het Actieplan Geluid en de Koersnota Geluid (2.4.2.1) uit in een programma Geluid en Lucht (2.1.5). Met dit programma wil de gemeente concrete maatregelen benoemen die moeten leiden tot het oplossen van knelpunten. Dit is een logisch vervolg op het Actieplan Geluid, omdat de reikwijdte van het Actieplan geluid voor Helmond zich beperkt tot een inventarisatie en analyse en geen concrete maatregelen bevat om knelpunten op te lossen en de bijbehorende budgetten.
Leeswijzer
Hoofdstuk 1 (2.1) beschrijft het voor Helmond relevante kader, de positie van het Actieplan deel B ten opzicht van deel A en beschrijft de reikwijdte van het Actieplan Geluid voor Helmond gelet op de geluidsbronnen en het bronbeheer.
Hoofdstuk 2 (2.2) de geluidbelastingskaarten en een beoordeling van de blootstelling van de betrokken geluidbronnen.
Hoofdstuk 3 (2.3) bevat de Evaluatie vorige planperiode. Het actieplan voor de gemeente voor de 4e tranche is opgenomen in hoofdstuk 4 (2.4).
De status van het Actieplan Geluid en de inspraakprocedure is in hoofdstuk 5 (2.5) omschreven.
Aanleiding
Er zijn agglomeraties aangewezen die uitvoering moeten geven aan dit specifieke onderwerp. Eén daarvan is de agglomeratie Eindhoven met de gemeenten Best, Eindhoven, Geldrop-Mierlo, Helmond, Nuenen c.a. en Veldhoven. De gemeenten binnen deze agglomeratie stellen elk een Actieplan geluid vast. Het Actieplan geluid wordt elke 5 jaar geactualiseerd en is een verplicht programma volgend uit de Europese regelgeving. Deze verplichting komt voort uit de Europese richtlijn omgevingslawaai. Deze richtlijn is in 2004 in de Wet geluidhinder verwerkt en in 2012 omgezet naar de Wet milieubeheer in hoofdstuk 11. De Europese richtlijn omgevingslawaai is ook geïmplementeerd in de Omgevingswet in 2024.
Elke vijf jaar moeten de aangewezen partijen in Nederland de geluidbelasting bijhouden van de geluidbronnen. Hierbij worden de gemiddelde geluidniveaus van wegen, sporen, industrie en de luchtvaart op de kaart gezet.
De EU-richtlijn wordt vaak aangeduid als “END” (European Noise Directive). Het opstellen van de geluidbelastingskaarten en actieplannen geluid wordt ook wel aangeduid als (geluid-)kartering en de opgestelde kaarten als END-kaarten. De verschillende tranches worden ook wel karteringsrondes genoemd. Dit Actieplan geluid valt onder de 4e tranche of de 4e ronde.
Het Rijk heeft (instructie-)regels opgesteld om te zorgen dat het Rijk, provincies en gemeenten binnen een agglomeratie (stedelijk gebied) een Actieplan geluid vaststellen. Een Actieplan geluid is een verplicht programma.
De Omgevingsdienst Zuidoost-Brabant (ODZOB) geeft voor eerdergenoemde zes gemeenten uitvoering aan de EU-richtlijn Omgevingslawaai. Om de verplichte werkzaamheden op een zo efficiënt mogelijke manier uit te voeren, werken deze gemeenten wederom samen. Naast afstemming en overleg met betrokken afdelingen binnen gemeenten, voert ODZOB ook overleg met Infomil/ IPLO, Ministeries, Rijkswaterstaat, Provincie Noord-Brabant en ProRail.
Voor de gemeente Helmond bestaat het Actieplan geluid uit een algemeen Actieplan geluid deel A, opgesteld voor de zes agglomeratiegemeenten en een deel B voor de gemeente Helmond. In dit Actieplan deel B wordt uitsluitend de specifieke situatie van de (agglomeratie) gemeente Helmond beschreven. Delen A en B vormen samen het Actieplan geluid voor de gemeente Helmond in deze 4e tranche.
In het bijbehorende algemene deel Avan het Actieplan geluid is eerst de wetgeving en opzet van het onderzoek beschreven voor de zes gemeenten binnen de agglomeratie Eindhoven. Deze elementen zijn voor alle agglomeratiegemeenten hetzelfde of vergelijkbaar. De verschillende landelijke, provinciale en de regionale kaders voor geluidbeleid zijn opgenomen. Tevens zijn er beschrijvingen opgenomen van algemene maatregelen die getroffen kunnen worden ter beperking van geluid. De gemeenten besloten gezamenlijk een Actieplan geluid deel A op te stellen en dezelfde plandrempels voor de geluidbelastingen te hanteren als in de vorige tranches. Hierbij is wederom aangesloten bij de wettelijke kaders.
Algemeen
Het omgevingslawaai voor het Actieplan geluid betreft vier geluidsoorten die (verplicht) opgenomen worden: wegverkeerslawaai, railverkeerslawaai, industrielawaai en luchtverkeerslawaai en een beschrijving van de instanties bij wie de geluidbronnen in beheer zijn.
De gemeente Helmond is beheerder van de gemeentelijke wegen en de industrie(terreinen) binnen de gemeentegrenzen en gaat over het wegverkeerslawaai en industrielawaai van deze geluidbronnen.
In de gemeente Helmond liggen drie gezoneerde bedrijventerreinen: Hoogeind, Bedrijventerrein Zuidoost‐Brabant (BZOB) en het terrein rond de firma Vlisco. Op deze terreinen zelf is de nieuwbouw van woningen niet toegestaan. Bedrijfswoningen die al op het industrieterrein aanwezig zijn, worden vanuit de wetgeving minder goed beschermd tegen geluid. Binnen de zone van de bedrijventerreinen is de nieuwbouw van woningen niet wenselijk, maar in sommige gevallen wordt het toch toegestaan. De voorkeursgrenswaarde voor de realisatie van nieuwbouwwoningen binnen de zone is 50 dB(A). Industrielawaai leidt op een 741-tal woningen tot een waarde tussen de 55-60 dB(A). Alleen met een Ontheffingsprocedure (zie paragraaf 3.4.2) kan een waarde tot 55 dB(A) worden toegestaan.
De gemeente heeft alleen invloed op wegen waarvoor de gemeente Helmond wegbeheerder is, de gemeentelijke wegen. Daar is dit Actieplan geluid in de 4e tranche dan ook met name op gericht.
Geluidbronnen van andere beheerders
De gemeente Helmond heeft een (landelijke) hoofdspoorweg binnen de gemeentegrenzen. In geval van het spoorwegen is ProRail bronbeheerder. De hoofdspoorweg is meegenomen als geluidbron in dit Actieplan Geluid. Binnen de gemeente Helmond zijn geen rijkswegen wegen aanwezig en er liggen geen contouren van vlieglawaai van luchthavens.
Naast gemeenten in een agglomeratie moeten ook de bronbeheerders van autosnelwegen, provinciale wegen, landelijke spoorwegen en van de luchthaven Schiphol geluidbelastingskaarten en actieplannen maken. Mogelijke maatregelen op deze bronnen worden in het actieplan van deze bronbeheerders (Rijkswaterstaat, Provincies waaronder Provincie Noord- Brabant, Schiphol en ProRail) opgenomen.
In het voorliggende rapport wordt geregeld verwezen naar een besluit of onderzoek van bijvoorbeeld het Ministerie van Infrastructuur en Waterstaat.
Hoewel dit regelmatig kan leiden tot geluidoverlast, zijn evenementen en feesten zijn in dit onderzoek niet betrokken. Daarvoor kan door een gemeente jaarlijks en per evenement ontheffing voor verleend in het kader van de Algemene Plaatselijke Verordening (APV). De gemeente Helmond werkt aan een actualisatie van het evenementenbeleid en aan de vernieuwing van profielen voor evenementenlocaties.
Geluid van vliegverkeer Eindhoven Airport en Vliegbasis de Peel is niet betrokken in dit onderzoek, omdat er geen geluidcontouren van deze luchthavens over de gemeente Helmond liggen.
Eindhoven Airport
Voor Eindhoven Airport is het Ministerie van Defensie verantwoordelijk vanwege het feit dat Vliegbasis Eindhoven een militair vliegveld is, met Eindhoven Airport als civiele medegebruiker. Boven de gemeente Helmond zijn vliegroutes gelegen voor vertrekkende en landende vliegtuigen van Eindhoven Airport. De gemeente Helmond neemt deel aan het platform Samenopdehoogte, van waaruit actief wordt gestuurd op minder geluidbelasting. Het doel is 30% minder geluidbelasting in 2030 ten opzichte van 2019 voor de burgerluchtvaart. Samenopdehoogte heeft tevens de functie van COVM voor de militaire luchthaven.
Vliegbasis de Peel
Voor Vliegbasis de Peel is het Ministerie van Defensie verantwoordelijk. Vliegbasis de Peel is momenteel niet actief. In het kader van Nationaal Programma Ruimte voor Defensie en overweegt Defensie heropening van Vliegbasis de Peel, waarbij de basis gebruikt wordt door straalvliegtuigen, helikopters of vrachtvliegtuigen die overlast kunnen veroorzaken. De gemeente Helmond is om die redenen aangesloten bij de Regionale Samenwerking Vliegbasis de Peel en vertegenwoordigd in het COVM de Peel en volgt de ontwikkelingen rondom een eventuele heropening.
In de Omgevingsverordening van de Provincie Noord Brabant zijn geen gebieden aangewezen in Helmond als stilte gebied. Stilte gebieden zijn daarom niet meegenomen.
De reikwijdte van het Actieplan Geluid is beperkt en de focus ligt met name op wegverkeer. Om toch recht te doen aan het aspect van de bescherming van inwoners zijn informatiebladen toegevoegd aan het Actieplan. Deze zijn terug te vinden in ‘Bijlage 5: Informatiebladen geluid Helmond’. Hier wordt voor de verschillende geluidbronnen op hoofdlijnen de bescherming van inwoners inzichtelijk gemaakt, waarbij de handhavingsmogelijkheden zijn meegenomen gelet op de geluidnormen specifiek voor wegverkeer, spoorwegverkeer, industrie en bedrijven, horeca, evenementen en luchtverkeer.
De gemeente Helmond werkt in aanvulling op het Actieplan Geluid aan een programma Geluid en Lucht. Met dit programma wil de gemeente concrete maatregelen benoemen die moeten leiden tot het oplossen van knelpunten. Dit als logisch vervolg op het Actieplan Geluid, omdat de reikwijdte van het Actieplan geluid beperkt is.
Een Actieplan geluid heeft als doel om geluidbelaste locaties in kaart te brengen en te onderzoeken of maatregelen kunnen worden getroffen om de geluidbelasting te verminderen. Het is echter niet zo dat een Actieplan geluid direct leidt tot het oplossen van knelpunten. Daarvoor zijn aanvullende stappen nodig, zoals het prioriteren van knelpunten, het ontwerpen van maatregelen en het vrijmaken van financiële middelen die in de begroting van de gemeente gereserveerd moeten worden.
Met de vaststelling van het (ontwerp) Actieplan Geluid is het voornemen kenbaar gemaakt om de maatregelen te concretiseren vanuit een programma Geluid en Lucht.
Op 9 januari 2024 is het Beleidskader participatie vastgesteld door de gemeenteraad van Helmond. Het beleidskader geeft kaders en hulpmiddelen voor participatie.
Het Actieplan Geluid is gebonden aan de Europese Richtlijn Omgevingslawaai en de Omgevingswet en daaruit voorvloeiende instructieregels. De inhoud en invulling van het Actieplan Geluid ligt daarmee vast in wettelijke voorschriften. Het Actieplan Geluid bevat verder alleen beleidsvoornemens en maatregelen en beperkt zich tot een inventarisatie en analyse. Het plan leidt daarmee niet tot concrete maatregelen. Het belang van participatie, de beïnvloedingsruimte en impact is voor wat betreft dit Actieplan betrekkelijk. Helmond wil gezien de ambities uit de Koersnota Geluid (2.4.2.1) verder gaan en hecht echter veel waarde aan de ontwikkel- en meedenkkracht van inwoners. Om die redenen beoogd is de gemeente een vervolguitwerking in een programma Geluid en Lucht (2.1.5) en is daarover in gesprek met de Stichting Gezond Leefbaar Helmond en stichting Aireas. Bij het tot stand komen van het programma Geluid en Lucht wil Helmond in dit kader participatie meenemen.
In geval van dit Actieplan Geluid is de overweging gemaakt om de participatie in te vullen door burgers, bedrijven, maatschappelijke organisaties en bestuursorganen te informeren over het ontwerp Actieplan en daarnaast een ieder gedurende 6 weken in de gelegenheid te stellen om wensen en aanbevelingen kenbaar te maken. Conform het ontwerp Actieplan worden vervolgens de resultaten van de inbreng van Burgers, bedrijven, maatschappelijke organisaties en bestuursorganen betrokken bij het tot stand komen van het definitieve Actieplan Geluid.
Op het ontwerp Actieplan is door Stichting Gezond Leefmilieu Helmond op 1 juli 2024 een zienswijze ingediend. Met een nota van Zienswijze en begeleidende brief heeft het college van burgemeester en wethouders haar reactie gegeven. De zienswijze en brief met nota van zienswijze zijn toegevoegd als bijlagen aan het Actieplan Geluid. Omdat de nadruk en de inbreng volgens de zienswijzen ligt op de bovenwettelijke opgave worden deze meegenomen met het programma Geluid en Lucht in overeenstemming met programma Geluid en Lucht (2.1.5). Het leidt niet tot een aanpassing van het Actieplan Geluid.
Zie ook Hoofdstuk 5 ‘Wat is de status van dit Actieplan?’ (2.5). Daarmee is invulling gegeven aan artikel 10.8 Omgevingsbesluit en het participatiebeleid.
Op de in het kader van de Richtlijn omgevingslawaai opgestelde geluidbelastingskaart kan de geluidbelasting per geluidbelastingsklasse per pand worden afgelezen. De gegevens op grond waarvan de berekeningen voor de geluidbelastingskaarten zijn uitgevoerd, hebben betrekking op het jaar 2021. Het gebruik van gegevens uit het jaar 2021 [1] is een wettelijke verplichting op grond van de Richtlijn omgevingslawaai. In bijlage 1, en in dit hoofdstuk zijn de overzicht met aantallen bewoners, ernstig gehinderden (HA) en slaapgestoorden (HSD) opgenomen, afgeleid uit de geluidbelastingskaarten. Voor meer informatie over de gebruikte gegevens voor de kaarten, wordt verwezen naar de toelichting kaarten en tabellen https://www.odzob.nl/geluidbelastingskaarten. De geluidbelastingskaarten zijn per gemeente in te zien.
Om een beeld te krijgen bij geluid en uitleg is informatie te vinden in Bijlage 5: Informatiebladen.
END-Geluidbelastingskaarten (peiljaar 2021) 4e tranche
Voor gemeente Helmond zijn eerder de END-geluidbelastingskaarten opgesteld en vastgesteld. Ook de geluidbelasting van provinciale en rijkswegen en (hoofd)spoorwegen zijn in het kader van de kartering opgenomen.
In 2022 voor deze 4e tranche of 4e ronde zijn door de gemeenten de END-geluidbelastingskaarten en tabellen vastgesteld (peiljaar 2021 [2]).Deze kaarten en tabellen zijn in 2022 aan de Minister toegezonden via de Centrale VoorzieningGeluidGegevens ook wel afgekort met de cvgg.
Voor de gegevens met betrekking tot vastgestelde kaarten en tabellen voor alle agglomeratiegemeenten wordt verwezen naar de volgende locatie: https://odzob.nl/geluidbelastingskaarten, waar per gemeente de gegevens zijn opgenomen.
Aan de hand van de END-geluidbelastingskaarten maakt de gemeente vervolgens plannen om in de daaropvolgende jaren de geluidkwaliteit te behouden en waar mogelijk te verbeteren. Daarvoor is dit Actieplan Geluid vastgesteld, waaronder de voorgenomen plannen die om de geluidbelasting zo mogelijk te verlagen.
[1] Zie ook eerdere voetnoot 1 in Hoofdstuk 1.3 van Deel A. In de agglomeratie zijn de verkeersintensiteiten van 2019 gehanteerd. Dit in verband met Corona/ Covid- pandemie waardoor in 2020/2021 mogelijk geen representatief beeld geeft voor de verkeersintensiteiten.
[2] Het peiljaar conform de richtlijn is 2021. Het Ministerie van Infrastructuur en Waterstaat (IenW) en provincies hebben de verkeersintensiteiten van 2019 gehanteerd voor het peiljaar 2021. Voor een uniform landelijk beeld heeft de agglomeratie Eindhoven hierbij aangesloten voor de geluidsbelastingkaarten. Dit in verband met Corona/ Covid- pandemie waardoor in 2020/2021 mogelijk geen representatief beeld geeft voor de verkeersintensiteiten.
Algemeen
Bij de in 2022 vastgestelde END-geluidbelastingskaarten en tabellen is een rapportage opgesteld welke op de website van de ODZOB is weergegeven. In bijlage 1 is deze rapportage opgenomen.
In deze ronde of tranche is (verplicht) de Europese rekenmethode CNOSSOS-EU gebruikt. De resultaten van de berekeningen met deze rekenmodule kunnen NIET vergeleken worden met de eerder gehanteerde rekenmethode SRM2. Hiervoor wordt tevens verwezen naar Deel A, paragraaf 3.5 en bijlage 3.
Door diverse grote wijzigingen in deze 4e tranche kunnen de resultaten niet zondermeer vergeleken worden met die uit vorige tranches.
In paragraaf 2.2.2.6 ‘Wegverkeerslawaai berekend met SRM2’ zijn, met dezelfde invoergegevens voor wegen en de omgeving, tevens met de rekenmethode SRM2 berekeningen uitgevoerd. Deze kunnen voor de evaluatie gehanteerd worden.
Wegverkeerslawaai berekend met CNOSSOS
Wegverkeer is de belangrijkste geluidbron waaraan inwoners van Helmond worden blootgesteld. Binnen de gemeente Helmond rijdt het meeste verkeer over de doorgaande wegen zoals Kasteel-Traverse , Kanaaldijk N.W., Kanaaldijk Z.O., Europaweg/N270, Deurneseweg en Wolfsputterbaan/ N279, Engelseweg, Heeklaan, Geldropseweg, Jan van Brabantlaan, Julianalaan en President Rooseveltlaan. Deze wegen hebben meer dan 10.000 motorvoertuigen per etmaal.
In tabel 1 en 2 wordt per geluidbelastingklasse het aantal woningen, bewoners [3], ernstig gehinderden (HA), slaapgestoorden (HSD) en andere geluidgevoelige bebouwing weergegeven voor zowel de etmaal- als de nachtperiode met de rekenmethode CNOSSOS-EU.
In de etmaalperiode worden 39.100 (43 %) bewoners blootgesteld aan een geluidbelasting boven 55 dB Lden ten gevolge van wegverkeerslawaai, 7.290 (7,9 %) van de inwoners betreft ernstig gehinderden (HA).
[3] Hier is uitgegaan van een gemiddelde 2,14 bewoners per woning. Hierdoor kan het totaal aantal berekende inwoners wat afwijken ten opzichte van het aantal inwoners dat werkelijk in Helmond is ingeschreven.

Geluidbelastingsklasse in dB (excl. aftrek) | <55 | 55-60 | 60-65 | 65-70 | 70-74 | ≥ 75 | Totaal >55 |
woningen |
| 7.082 | 5.969 | 3.412 | 1.796 | 0 | 18.259 |
bewoners (2,14 per woning) in honderdtallen* | 52.600 | 15.200 | 12.800 | 7.300 | 3.800 | 0 | 39.100 |
ernstig gehinderden (HA)* |
| 1.970 | 2.299 | 1.752 | 1.268 | 0 | 7.290 |
andere geluidgevoelige gebouwen/terreinen |
| 17+22 | 20+3 | 5+1 | 4+0 | 0 | 72 |
* Met nieuwe dosis effectrelatie voor wegverkeerslawaai





In figuur 7 en tabel 2 is de situatie voor de nachtperiode (Lnight) opgenomen. Dit is ook met de rekenmethode CNOSSOS bepaald.

Geluidbelastingsklasse (excl. aftrek) in dB | <50 | 50-55 | 55-60 | 60-65 | 65-70 | ≥ 70 | Totaal |
woningen |
| 5.585 | 3.284 | 2.083 | 58 | 0 | 11.010 |
bewoners (2,14 per woning) in honderdtallen |
| 12.000 | 7.000 | 4.500 | 100 | 0 | 23.600 |
aantal slaapverstoorden (HSA) |
| 598 | 492 | 446 | 17 | 0 | 1.553 |
andere geluidgevoelige gebouwen/terreinen |
| 2+3 | 1+1 | 1+0 | 0 | 0 | 4+4 |
In figuur 8 is per geluidbelastingsklasse (nachtperiode), het percentage en aantal slaapverstoorde bewoners inzichtelijk gemaakt.

Op basis van CNOSSOS is voor de gemeente Helmond het aantal gevallen IHD toe te schrijven aan geluid ten gevolge van wegverkeer bepaald. Het aantal is hieronder opgenomen.
Algemeen
Binnen de gemeente Helmond lopen spoorlijnen. In de onderstaande tabel is dit opgenomen.
Geluidbelastingsklasse in dB | <55 | 55-60 | 60-65 | 65-70 | 70-74 | ≥ 75 | Totaal > 55 |
woningen |
| 372 | 161 | 22 | 2 | 4 | 561 |
bewoners (2,14 per woning) in honderdtallen* |
| 800 | 300 | 0 | 0 | 0 | 1.100 |
ernstig gehinderden (HA)* |
| 111 | 72 | 14 | 2 | 4 | 203 |
andere geluidgevoelige gebouwen/terreinen |
| 4+0 | 1+0 | 1+0 | 0 | 0 | 6+0 |
Nachtperiode
In tabel 4 is de situatie voor de nachtperiode (Lnight) opgenomen. Dit is ook met de rekenmethode CNOSSOS bepaald.
Geluidbelastingsklasse in dB | <50 | 50-55 | 55-60 | 60-65 | 65-70 | ≥ 70 | Totaal >50 |
woningen |
| 336 | 99 | 4 | 2 | 3 | 444 |
bewoners (2,14 per woning) in honderdtallen |
| 700 | 200 | 0 | 0 | 0 | 900 |
aantal slaapverstoorden (HSA) |
| 58 | 30 | 2 | 1 | 3 | 93 |
andere geluidgevoelige gebouwen/terreinen |
| 1+0 | 1+0 | 0+0 | 0+0 | 0+0 | 2+0 |
Binnen de gemeente Helmond zijn 741 woningen die, wettelijk vergund, ten gevolge van industrie of bedrijven een geluidbelasting op de gevel van meer dan 55 dB(A) hebben. bepaald met de rekenmodule CNOSSOS. Deze (bedrijf-)woningen zijn gelegen in de klasse van 55-60 dB. Voor de geluidbelasting veroorzaakt door bedrijven zijn de drie gezoneerde bedrijventerreinen Hoogeind, Vlisco en BZOB meegenomen alsmede het horecaconcentratiegebied.
Voor de nachtperiode Lnight zijn er geen woningen met een geluidbelasting van 50 dB hoger.
De contouren vlieglawaai ten gevolge van Eindhoven Airport en Vliegbasis de Peel liggen niet binnen de gemeentegrens van Helmond, waardoor vlieglawaai niet meegenomen is. Voorts zijn er geen resultaten met de rekenmethode CNOSSOS mogelijk, omdat deze voor vlieglawaai niet beschikbaar is gesteld.
In de voorgaande 3e tranche zijn de berekeningen uitgevoerd met de (Nederlandse) Standaard Rekenmethode SRM2.
Met dezelfde dataset als invoer zijn voor deze 4e tranche ook berekeningen uitgevoerd met de SMR2 rekenmethode. Zoals uit de onderstaande tabellen en figuren is op te maken blijkt met dezelfde dataset als invoer maar een andere rekenmethode er grote verschillen zijn. Met rekenmethode CNOSSOS worden binnenstedelijk hogere geluidbelastingen berekend dan met de SRM2.
Voor de evaluatie van de vorige 3e tranche zijn tevens in deze 4e tranche extra berekeningen uitgevoerd met de SRM2 rekenmethode. De resultaten voor Lden en Lnight zijn in de onderstaande tabellen en figuren opgenomen.
Geluidbelastingsklasse in dB (excl. aftrek) | <55 | 55-60 | 60-65 | 65-70 | 70-74 | ≥ 75 | Totaal >55 |
woningen |
| 5.841 | 3.871 | 2.411 | 199 | 0 | 12.322 |
bewoners (2,14 per woning) in honderdtallen* | 65.300 | 12.500 | 8.300 | 5.200 | 400 | 0 | 26.400 |
ernstig gehinderden (HA)* |
| 1.625 | 1.491 | 1.238 | 141 | 0 | 4.495 |
* Met nieuwe dosis effectrelatie voor wegverkeerslawaai, deze wijken af van de vorige.
Geluidbelastingsklasse in dB (excl. aftrek) | <50 | 50-55 | 55-60 | 60-65 | 65-70 | ≥ 70 | Totaal > 55 |
woningen |
| 3.585 | 2.544 | 433 | 0 | 0 | 6.562 |
bewoners (2,14 per woning) in honderdtallen |
| 7.700 | 5.400 | 900 | 0 | 0 | 14.000 |
aantal slaapverstoorden (HSD) * |
| 384 | 381 | 93 | 0 | 0 | 857 |
* Met nieuwe dosis effectrelatie voor wegverkeerslawaai, deze wijken af van de vorige.






2.3.1.1.1 Wegverkeerslawaai totaal
Algemeen
Het complete actieplan van de derde en vorige tranches zijn in te zien op de website van de gemeente Helmond via https://www.helmond.nl/geluid. In dit hoofdstuk geven we aan wat de gemeente Helmond voor wat betreft de verschillende geluidsoorten in de afgelopen periode heeft gedaan.
De tabellen van de vorige tranche zijn in bijlage 2 van dit actieplan Helmond opgenomen.
De verschillen tussen de rekenmethodes CNOSSOS en SRM2 zijn opgenomen in bijlage 3. De data invoer voor beide rekenmethodes zijn hetzelfde.
Nr | Bestaande knelpunten aanpakken | Maatregel bron/overdracht | Getroffen maatregel | Opmerkingen |
1. | Uitvoeringsprogramma Geluidsanering 2016 ‑ 2020 | Realisatie geluidschermen Engelseweg en Churchilllaan/ Molenstraat, raildempers Engelseweg | Opgeleverd in 2019 |
|
2. | Uitvoeringsprogramma Geluidsanering 2016 ‑ 2020 | Sanering B-lijstwoningen wegverkeer Awb procedure | Geheel uitgevoerd in 2019 |
|
Nr | Gezondheid | Maatregel bron/overdracht | Getroffen maatregel | Opmerkingen |
3. | Fietsagenda Helmond 2016 - 2025 | Uitvoeren | Loopt nog steeds | De uitvoering van de Fietsagenda Helmond loopt naar volle tevredenheid |
4. | Omgevingswet | Onderzoek naar Gebiedsgericht geluidbeleid | Niet uitgevoerd. | Wordt meegenomen in het programma Geluid en Lucht. |
5. | Vergroening | Meer natuur realiseren | Onderdeel van natuur -en landschapsvisie, onderdeel hiervan is straks ook een uitvoeringsprogramma | Start vergroening Varenschut, Bundertjes en Groot Goor en herijking aanpak Kloostereind/ Brouwhuissche Heide |
Nr | Bouwen en wonen | Maatregel bron/overdracht | Getroffen maatregel | Opmerkingen |
6. | Nieuwbouwprojecten | Toetsen en toepassen Ontheffingenbeleid bij ruimtelijke en infrastructurele projecten | In de periode 2018‑2023 zijn 50 procedures hogere grenswaarde doorlopen. | De procedure wijzigt in het kader van de Omgevingswet. |
7. | Herbestemmen van gebouwen tot woningbouw | Inventarisatie mogelijke locaties en onderzoek naar het creëren van een aantrekkelijk woonmilieu, met aandacht voor geluid | Inwoners kunnen via de meldingservice van rijksoverheid op de hoogte worden gesteld over besluiten hogere waarden. | Wijzigt in het kader van de Omgevingswet |
8. | Sensorenproject Brainport Smart District | Resultaten sensorenproject meenemen in ontwikkeling woningbouw | In geval van BSD wordt het stedenbouwkundig plan herzien. Geluid en luchtkwaliteit worden meegenomen
|
|
Nr | Mobiliteit | Maatregel bron/overdracht | Getroffen maatregel | Opmerkingen |
9. | Regionale verkeersmilieukaart | Updaten en opstellen geluidkaarten 2021 en actieplan (Omgevingswet) | Wordt elk jaar geactualiseerd en uitgevoerd. |
|
10. | Uitvoeringsprogramma Helmond Verbonden Bereikbaarheid en parkeren centrum | Studie bereikbaarheid en parkeren centrum. Aspect geluid en lucht nadrukkelijk meenemen | Centrumperspectief wordt op gericht op onderdelen uitgewerkt, dus is er geen specifiek scenario uit deze studie gekozen | Helmond Verbonden is vervallen met Mobiliteitsvisie |
11. | Helmond: Aanpassing N279 (SmartwayZ.nl) (Bereikbaarheidsakkoord Zuidoost) | (Onderzoek naar) de inzet van extra geluidreducerende maatregelen | Vorige PIP (Provinciaal InpassingsPlan) N279 is vernietigd door RvS | In 2024 start Provincie NBr. met een nieuw PIP. De gemeente Helmond maakt zich hard voor passende geluidmaatregelen op/aan de N279 |
Nr | Mobiliteit | Maatregel bron/overdracht | Getroffen maatregel | Opmerkingen |
12. | Bereikbaarheidsagenda Zuidoost-Brabant Bundelroute | Studie Bundelroute | Bundelroute maatregelen voor Helmond zijn op gebied van leefbaarheid uitgesplitst in (uitwerking van) verkeersmanagement maatregelen bij VRI’s en toepassen van geluidarm asfalt op de Traverse (ihkv POW) | Geluidarm asfalt tussen Zuidende en Brandweerkazerne. Verkeersmanagement maatregelen bij VRI’s centrumdeel (vanaf Eikendreef t/m Smalstraat) meer prioriteit voor langzaam verkeer in de noord/zuid relatie en vv. Verkeersmanagement maatregelen bij VRI’s Europaweg (Boerhaavelaan tot Neervoortse Dreef) voor betere doorstroming N270. |
13. | Landelijk verbeterprogramma overwegen: Kanaaldijk/Heeklaan | Onderzoek naar infrastructurele aanpassing Kanaaldijk/Heeklaan | Hangt samen met uitwerking Houtsdonk(tracé) | In 2024 vindt voorbereiding/uitwerking plaats van het Houtsdonk(tracé). Met het Houtsdonktracé komt een knip in de Kanaaldijk thv Cacaofabriek. Daardoor wordt ook de overweg overzichtelijker en minder druk. |
Nr | Luchtkwaliteit | Maatregel bron/overdracht | Getroffen maatregel | Opmerkingen |
14. | Monitoren fijn stof en stikstofdioxide | Jaarlijkse monitoring | Het ILM meetnet is sinds 2020 in gebruik. Een viertal luchtkwaliteitsmeters zijn opgesteld in Helmond. Locaties: Kasteel-Traverse /Zuid Koninginnewal, Kanaaldijk/ Eikendreef/N279. | Met het programma Geluid en Lucht wordt een herijking en evaluatie van het plan van aanpak Luchtkwaliteit Helmond meegenomen
|
Nr | Bedrijven | Maatregel bron/overdracht | Getroffen maatregel | Opmerkingen |
15. | Bewaken geluidzone/ bewaken geluidbelasting door bedrijven | Maatwerkvoorschriften voor bedrijven opstellen en toezicht op voorschriften | In de periode 2018-2023 is een procedure hogere grenswaarde doorlopen-herontwikkeling Annawijk. | In het kader van de Omgevingswet wordt de systematiek herzien. De herziening en actualisatie wordt door de OBZOB uitgevoerd en loopt tot 2029.
|
16. | Onderzoek leefbaarheid wijk Brouwhuis | Onderzoek naar gezonde leefomgeving Brouwhuis in relatie tot uitbreiding industrieterreinen Hoogeind en BZOB | In 2019 zijn geluidreducerende maatregelen getroffen aan de N279 In 2023 heeft het college een beleidsregel voor geur vastgesteld.
| De beleidsregel wordt in 2024 vertaald in het kader van de Omgevingswet. |
Nr | Horeca en evenementen | Maatregel bron/overdracht | Getroffen maatregel | Opmerkingen |
17. | Gehoorschade bij horeca- en evenementen | Bewustmaken van de gevaren en de consequenties van gehoorschade | Campagne gevoerd. Geluidbeschermende maatregelen worden verstrekt bij evenementen. | Komt terug bij de uitvoering van het evenementen beleid. |
Nr | Beheer en onderhoud wegen | Maatregel bron/overdracht | Getroffen maatregel | Opmerkingen |
18. | Opstellen onderhoudsprogramma wegen | Inzet afhankelijk van beheer en onderhoud asfalttypen | Met IBOR is een leidraad opgesteld die ondersteuning geeft bij het maken van keuzes voor stiller asfalt (SMA 0/5, SMA NL8G+ en ZSA). | Als gevolg van de Omgevingswet moet de leidraad moet worden geactualiseerd. |
19. | Jaarlijkse evaluatie Programma Geluid | Acties Programma Geluid monitoren |
|
|
Wegverkeerslawaai totaal
In de 3e tranche waren in totaal 12.409 woningen met geluidbelastingen tussen de 55 en 75 dB voor Lden en 5.795 woningen in de klasse 55-60 dB voor Lnight op basis van de SRM2 rekenmethode.
In de 4e tranche waren in totaal 12.322 woningen met geluidbelastingen tussen de 55 en 75 dB voor Lden en 6.562 woningen in de klasse 55-60 dB voor Lnight op basis van de SRM2 rekenmethode.
Voor de Lden betekent dit een afname van 1 % het aantal woningen met 87 woningen, met name in de hogere klassen van 65-75 dB.
Voor de Lnight betekent dit een toename van 13 % het aantal woningen met 767 woningen, met name in de hogere klassen van 65-75 dB.
En de gemeente Helmond is, (rekentechnisch gezien) sinds het vorige actieplan in gegroeid van 41.947 naar 42.857 woningen, een toename van 910 woningen of te wel 2,2 %. Deze woningen zijn ook langs wegen met een hogere geluidbelasting gelegen dan 55 dB en dienen een betere geluidwering te bezitten.

Er kunnen wel verschillen zijn in de berekende geluidbelastingen. Dit heeft o.a. te maken met gewijzigde uitgangspunten tussen de 3e en de 4e tranche, waaronder de locatie van de toetspunten. Voor meer informatie zie bijlage in deel A.
Door Helmond lopen 2 belangrijke verkeersaders van west naar oost (Eindhoven-Deurne) en van noord naar zuid (Kanaaldijk) die in de gemeente Helmond hoge geluidbelastingen veroorzaken. Verder is er in Helmond nog een aantal smalle straten waar de geluidbelasting op woningen hoog is.
De meeste geluidbelaste woningen zijn gelegen langs de stedelijke wegen gesitueerd. De meeste woningen vallen in de geluidbelastingsklassen Lden 55-64 dB en Lnight 50-59 dB.
Bij vervanging van het asfalt wordt standaard SMA 0/5 overwogen en zo mogelijk toegepast. Afhankelijk van de situatie en de haalbaarheid wordt ook SMA-NL8G+ dan wel ZSA-SD overwogen.
Daarnaast heeft de gemeente plannen om veel wegen in de wijken 30km/uur in te gaan stellen volgens de Mobiliteitsvisie 2040 (2.4.2.2).
2.3.1.1.2 Wegverkeer en geluidsaneringsopgave
Binnen de gemeente Helmond zijn diverse (geluid) saneringswoningen bekend. De woningen die op de zogenaamde A-lijst staan opgenomen hebben allemaal éénmaal de mogelijk gehad om deel te nemen aan een saneringsproject. Op de saneringslijst staan eveneens woningen op de B- en eindmeldingslijst opgenomen. Via het Uitvoeringsprogramma Geluidsanering is gewerkt aan het oplossen van de geïnventariseerde knelpuntsituaties waarbij de gemeente gebruik heeft gemaakt van een rijkssubsidie. Met behulp van deze subsidie zijn gevelmaatregelen getroffen zoals het aanbrengen van geluidisolerende beglazing of geluiddempende ventilatie. Het gaat om een omvangrijk en daardoor langlopend proces (in totaal ca. 2.500 woningen bij de start van de sanering).
In 2017-2020 zijn de laatste woningen op de A-lijst, B-lijst en de Eindmeldingenwoningen gesaneerd. In 2019 zijn de laatste bron- en overdrachtsmaatregelen bij woningen op de Raillijst aangebracht. Concreet gaat het om de realisering van een geluidscherm en raildempers ter hoogte van de Engelseweg en het plaatsen van een geluidscherm ter hoogte van de Churchill-laan/Molenstraat. In 2020 is de geluidsanering in Helmond afgerond.
Algemeen
In het document van het RIVM naar de effecten implementatie CNOSSOS op geluidkartering en actieplannen is gekeken naar het railverkeer/ spoorverkeer. De verschillen bij hoofspoorwegen tussen CNOSSOS met de SRM2 zijn zeer afhankelijk van de locatie. Voor het hoofdspoor is ProRail de bronbeheerder, in hun Actieplan geluid dan wel in eigen programma’s zal hier naar verwachting verder aandacht aan besteed worden. De hoofdspoorwegen in onze regio hebben al een GPP-systematiek.
De berekende waarden op basis CNOSSOS worden opgenomen en zal op hoofdlijnen worden bekeken. Op sommige locaties zal het verschil negatief, positief of rond nul bedragen. Er zijn derhalve niet opnieuw berekenen op basis van de SMR2 of de OR/ Areg uitgevoerd.
De dosis-effect relatie voor railverkeer ten gevolge van de hoofspoor wegen zijn aanzienlijk gewijzigd, waardoor een vergelijk niet mogelijk is.
Situatie Helmond
Binnen de gemeente Helmond loopt de spoorlijn van Eindhoven naar Venlo. Het railverkeer zorgt voor hoge geluidbelastingen op woningen aan het spoor. Om de geluidbelasting op deze woningen (de meeste staan op de Raillijst) te verminderen is subsidie aangevraagd. In november 2006 is subsidie toegekend voor de voorbereidende werkzaamheden voor het realiseren van geluidschermen. Resultaat van de voorbereidende werkzaamheden is dat destijds een saneringsprogramma is ingediend en gehonoreerd.
Maatregelen: In 2011 zijn de raildempers geplaatst en tussen 2012-2019 zijn de geluidschermen en grondwallen gerealiseerd.
4e tranche: 2021: Voor de Lden waarde zijn in de 4e tranche totaal 561 woningen in de klasse 55-70 dB met CNOSSOS bepaald. Voor de Lnight zijn dit 444 woningen in de klasse 50-70 dB.
3e tranche 2016: In de vorige 3e tranche waren voor Lden dit 1.565 woningen en voor Lnigtht 1.199 woningen in deze klassen.
Er zijn tevens verschuivingen in het aantal woningen in de verschillende klassen te zien.
Hoewel vergelijking niet goed mogelijk is door verschil in rekenmethode kan grofweg kan gesteld worden dat er behoorlijk minder woningen zijn voor zowel Lden en voor de Lnight .
Het verschil is groot, naast de rekenmethode ook door de diverse getroffen maatregelen van de afgelopen jaren.
Binnen de gemeente Helmond zijn 741 woningen die, wettelijk vergund, ten gevolge van industrie of bedrijven een geluidbelasting op de gevel van meer dan 55 dB(A) hebben. Dat is hetzelfde gebleven.
Geluid van vliegverkeer Eindhoven Airport en Vliegbasis de Peel is niet betrokken in dit onderzoek, omdat er geen geluidcontouren van deze luchthavens over de gemeente Helmond liggen. Dat wil niet zeggen dat er geen mogelijke overlast wordt ervaren. De gemeente Helmond is om die redenen aangesloten bij Samenopdehoogte en COVM de Peel. Zie paragraaf 2.1.3.2.2 Vlieglawaai.
Algemeen
In dit hoofdstuk wordt overzicht van belangrijke infrastructurele werken gegeven die in de komende 5 jaar zijn voorgenomen en andere belangrijke ruimtelijke ontwikkelingen die van invloed zijn op de geluidhindersituatie. Vervolgens wordt ingegaan op het beleidsvoornemens om de geluidbelasting beperkt kan worden. Tot slot is een overzicht toegevoegd met een aanpak hotspots, waarmee inzichtelijk wordt welke hotspots mogelijk worden aangepakt en aansluitend worden generieke maatregelen beschreven.
Ruimtelijke ontwikkelingen - Schaalsprong
Kenmerkend voor de gemeente Helmond is een verleden van metaal- en textielindustrie. De straatnamen die op -wal eindigen duiden op de voormalige omwalling van de vestingstad, waar het veertiende-eeuwse kasteel onderdeel van was.
De gemeente Helmond heeft vier kernen: De stad Helmond, onderverdeeld in een aantal wijken en de voormalige dorpen Stiphout, Mierlo-Hout en Brouwhuis. De laatste drie hebben het dorpse karakter weten te behouden. Helmond is de afgelopen 30 jaren flink gegroeid met name op het gebied van woningbouw met de wijken Brouwhuis, Dierdonk en Brandevoort. Helmond telt momenteel circa 96.000 inwoners en een kleine 9.300 bedrijven, waarvan een groot aantal op de bedrijventerreinen Hoogeind en B.Z.O.B.
Om haar rol als slimme regio te kunnen blijven spelen, moet de Brainport-regio ervoor zorgen dat de bedrijven voldoende kenniswerkers kunnen aantrekken. Die kenniswerkers moeten samen met hun gezinnen ook in de regio kunnen wonen, boodschappen kunnen doen, leren, sporten, recreëren etc. Daarmee ontstaat een enorme verstedelijkingsopgave. Met het Rijk en de Provincie zijn inmiddels afspraken gemaakt over hoe de opgave tot 2040 eruit ziet en hoe deze over de regio verdeeld wordt. Helmond als tweede stad in de Brainport-regio krijgt een flink deel van de verstedelijkingsopgave toebedeeld: de schaalsprong.
De schaalsprong is niet alleen een stedelijke bouwopgave. Ook moet er een aantal maatschappelijke doelen worden verwezenlijkt, zoals meer kansengelijkheid en verbetering van de gezondheid van de inwoners. Ook de verdere verduurzaming van buurten en wijken komt aan de orde. Zo wordt de sociale basis onder de stad versterkt. Na afronding van de schaalsprong is het aantal inwoners van Helmond gegroeid naar 115.000 en zijn circa 15.000 woningen aan de bestaande voorraad toegevoegd.
Volgens de woonvisie zijn 2.000 woningen voorzien in de uitbreidingslocatie Brainport Smart District, 10.000 woningen in/rond het centrum door stedelijke verdichting en met het Stationskwartier en Houtsdonk. Voor bestaande wijken is dit 3.000 woningen, met een mogelijk voor een aanvullende uitbreiding met 1.000 woningen.
Ook wordt in de stad extra werkgelegenheid gecreëerd. Hierbij wordt uitgegaan van minimaal 15.000 extra arbeidsplaatsen. De extra inwoners en arbeidsplaatsen leiden tot meer dan 100.000 extra vervoersbewegingen per dag. Het beleid in Helmond zet in op de zogenaamde schaalsprong.
De schaalsprong gaat invloed hebben op de woningen, verkeersbewegingen en daarmee de geluidhindersituatie.
Met de Koersnota Geluid heeft de gemeente Helmond ambities voor geluid vastgelegd.
Volgens de Koersnota Geluid wil de Helmond in geval van wegverkeer stapsgewijs toewerken naar de advieswaarde van 53 dB van de World Heath Organisation (WHO) als 'de stip op de horizon' voor 2040 Om dit doel te bereiken wordt uitvoering gegeven langs een viertal beleidslijnen: meer prioriteit voor gezondheid, focus op wegverkeerslawaai, aanpak andere geluidbronnen en geluidbeleving, luchtkwaliteit en integrale leefomgevingskwaliteit. Volgens de Koersnota kiest Helmond bij het beheer en onderhoud aan hoofdwegen standaard voor geluidreducerend asfalt (tenminste SMA-NL 0/5, met uitzondering van kruisingsvlakken, opstelstroken bij kruispunten en rotondes). Er wordt bewust omgegaan met de toepassing van klinkerbestrating en maken daarover afspraken om de geluidbelasting te beperken.
De mobiliteitsvisie gaat over hoe we ons in de toekomst verplaatsen en zorgen voor het bereikbaar maar tegelijkertijd ook leefbaar houden van Helmond. Er zijn maatschappelijke ontwikkelingen die nu een visie op mobiliteit nodig maken. In de vorm van een Mobiliteitsvisie Helmond 2040 heeft de gemeente Helmond ambities voor de mobiliteit in de gemeente vastgelegd. Deze zijn te raadplegen op: https://www.helmond.nl/1/stad/alle-onderwerpen/mobiliteitsvisie.
Het gaat dan om de verplaatsingen te voet, met de fiets, met het openbaar vervoer, met deelmobiliteit, met de auto en met goederen. Volgens de Mobiliteitsvisie moeten stapsgewijs de oude patronen en gebruiken in ons verplaatsingsgedrag ingewisseld worden voor nieuwe: de mobiliteitstransitie. Dus een verandering in de modalsplit: minder autoverkeer en meer fiets, voetganger en OV. Deze mobiliteitstransitie vereist een grote inspanning.

In de Mobiliteitsvisie is een belangrijke plaats opgenomen voor het vergroten van de kwaliteit van leven. Het verkleinen van de hinder door autoverkeer hoort daar bij. De mobiliteitsvisie is richtinggevend in de keuzes die in toekomstige ruimtelijke en sociale projecten op het gebied van mobiliteit worden gemaakt. In de visie zijn de vervoerswijzen nader uitgewerkt en bevat maatregelen voor de korte termijn (5 jaar), middellange termijn (tot 2030) en lange termijn (10 jaar of meer)
De positie van de auto in het Helmondse verkeer moet minder prominent worden, om zo letterlijk meer ruimte te creëren voor verbetering van de leefkwaliteit. In de visie worden per verplaatsingen in diverse figuren inzichtelijk gemaakt. Maatregelen van directe invloed op geluid zijn GOW30, werken aan een autoluw centrum en het vraagstuk Kasteel Traverse worden hierna kort belicht.
Daar waar mogelijk zijn de maatregelen meegenomen in paragraaf 2.4.3 Knelpunten en aanpak hotspots, in tabel 9 ‘Aanpak hotspots 2024-2027 Helmond’.
Op basis van de mobiliteitsvisie 2040 wordt voor de genoemde wegen geleidelijk en rekening houdend met de doorstroming van het verkeer 30km/uur ingesteld.

2.4.2.2.3 Werken aan een autoluw centrum
Aan de westzijde van het centrum wordt de Kanaaldijk NW heringericht. Uitgangspunt is dat doorgaand autoverkeer via deze route niet langer wordt gefaciliteerd en dat de openbare ruimte ten goede komt aan verblijven en actieve mobiliteit. De consequenties van deze ingreep worden deze periode onderzocht. Centrum Koninginnewal Midden in het centrum wordt de route via de Zuid en Noord-Koninginnewal en het Ameidewal grotendeels ontmanteld. De openbare ruimte wordt heringericht tot verblijfsruimte.
De Kasteel-Traverse zorgt voor de afwikkeling van het grootste deel van het oostwest verkeer door de stad, met een intensiteit tussen 25.000 en meer dan 40.000 motorvoertuigen per dag. Het extra verkeer als gevolg van de schaalsprong maakt de problematiek rond de Kasteel-Traverse waarschijnlijk alleen maar groter: de bouwopgave levert tenminste 100.000 nieuwe verplaatsingen per dag extra op. Rondom de Kasteel-Traverse en langs de aanverwante verkeersstructuur liggen de meeste knelpunten. Beperken van verkeer op de Kasteel-Traverse levert elders weer meer verkeersbewegingen en daarmee hinder op. De Kasteel-Traverse is daarmee een van de meest complexe vraagstukken als het gaat om geluid.
Het voornemen is om de Kasteel-Traverse uiteindelijk af te schalen of zelfs te ontmantelen. Komende Actieplanperiode wordt gezocht naar mogelijkheden rekening houdend met de bijwerkingen. Verkeerskundige ingrepen kunnen namelijk leiden tot het verleggen van problemen en nieuwe knelpunten. Om het autoverkeer zoveel mogelijk om de stad heen te leiden wordt gewerkt aan de zogenaamde Robuuste Rand aan de oost- en zuidzijde en alternatieve routering in afstemming met de Bundelroutes. Onderzoeken lopen nu in het kader van MIRT studie Zuidelijke Ontsluiting Helmond.
2.4.2.3.1 Omgevingsvisie Noord-Brabant
Algemeen
In Nederland wordt gewerkt aan nieuwe ruimtelijke opgaven en de vertaling naar de Omgevingsvisie. Het Rijk, de Provincies en gemeenten hebben hiervoor ook Omgevingsvisies opgesteld. De Nationale Omgevingsvisie (NOVI) kent vier prioriteiten en 21 ‘Nationale Belangen’ waarmee het Rijk de kwaliteit van de fysieke leefomgeving wil behouden en versterken.
Omgevingsvisie Noord-Brabant
De Brabantse Omgevingsvisie is een samenhangende visie op de fysieke leefomgeving. De Omgevingsvisie bevat de belangrijkste ambities voor de fysieke leefomgeving voor de komende jaren. Meer hierover is in hoofdstuk 4 van deel A te lezen of op de website van de provincie.
2.4.2.3.2 Omgevingsvisie Helmond
In februari 2024 heeft de raad de Omgevingsvisie Helmond 2040 vastgesteld. De omgevingsvisie is een beleidsinstrument voor de gemeente, voortkomend uit de omgevingswet. In de Omgevingsvisie staat hoe we de komende 20 jaar in Helmond om willen gaan met verkeer, wonen en werken, natuur, energie, milieu, klimaat, water en cultuurhistorie. Ook de fysieke aspecten van gezondheid zijn opgenomen in de Omgevingsvisie.
De gehele omgevingsvisie van Helmond is te downladen via de website van de gemeente https://www.helmond.nl/omgevingsvisie.
Helmond is in 2040
een inclusieve stad
een vitale en levendige stad
natuurlijk en stad aan het water
duurzaam bereikbaar
klimaatneutraal en in 2050 klimaatbestendig
een gezonde en veilige stad.
Hierin is hoofdstuk 6 in gebiedsgerichte uitwerking opgenomen voor o.a. het centrum, de werkgebieden, woonwijken en het buitengebied.
In deze paragraaf is aangegeven waar we nu staan en welke knelpunten er binnen de gemeente aanwezig zijn. Deze knelpunten zijn bepaald op grond van de geluidbelastingskaarten en door de gemeente Helmond zijn enkele “hotspots” aangewezen. Voor een aantal knelpunten en “hotspots” is opgenomen wat de gemeente voor maatregelen in de planning heeft om het knelpunt/hotspots aan te pakken.
In het actieplan deel A is onder 3.3 opgenomen hoe de hotspots voor de aanpak van wegverkeer tot stand zijn gekomen.
Er zijn aanvullende berekeningen uitgevoerd met de Omgevingsregeling (Or [4]) die vanaf de inwerkingtreding van de omgevingswet geldig is. In de Omgevingswet is de Standaard rekenmethode SRM2 vervangen door de Omgevingsregeling (Or). Ook zijn tussen de Or en de SRM2 diverse verschillen, wel beperkter dan CNOSSOS. Omdat de resultaten met de CNOSSOS niet vergeleken kunnen worden met de vorige tranche en ook niet met de Or is gekozen om aan te sluiten bij de Nederlandse wet- en regelgeving. Met de omgevingsregeling zullen ook de toekomstige ruimtelijke ontwikkelingen bekeken worden.
[4] Let op: De Or is eerder ook aangeduid als de rekenmethode Areg, hiermee wordt dezelfde rekenmethode aangeven.
De gemeente heeft voor wegverkeerslawaai alle hotspots vanaf 63 dB in beeld laten brengen. Om beleidsneutraal over te gaan is zo mogelijk uitgegaan van de plandrempel van de vorige tranche, zie hiervoor tabel 6 opgenomen in paragraaf 4.8.2 van deel A.
De maatregelen die opgenomen zijn voor de hotspots zijn gekoppeld aan de Mobiliteitsvisie Helmond 2040 (2.4.2.2). De gemeente zal afhankelijk van andere ontwikkelingen en de beschikbaarheid van budgetten binnen de gemeente en regio keuzes maken met programma Geluid en Lucht (2.1.5) aangezien daarin uiteindelijk concrete maatregelen komen om knelpunten op te lossen.

Hotspots Helmond |
|
|
| |
Nummer | Locatie | klasse (Lden) | Mogelijke maatregelen/ opmerkingen | Effect |
1 | Gerwenseweg/ Dorpsstraat | 63 – 68 dB/ 68 dB of meer | 30 km (GOW30 Mobiliteitsvisie) | Snelheidsverlaging circa 2 à 3 dB |
2 | Hortsedijk | 63 – 68 dB | Geen maatregelen voorzien. 30 km of stille klinkers overwegen in programma Geluid en Lucht. | -Verlaging geluidbelasting circa 2 à 3 dB -Stille klinkers circa 1 dB |
3 | N270/Europalaan | 63 – 68 dB | Geen maatregelen voorzien. SMA 0/5 of SMA NL8G+, ZSA-SD / schermen / snelheid overwegen in programma Geluid en Lucht. | -SMA 0/5 geluidreductie circa 1 dB -SMA-NL8G+ geluidreductie circa 2,5 dB -ZSA-SD geluidreductie 4 dB - Snelheidsverlaging circa 1 à 2 dB |
4 | Kasteel-Traverse | 63 – 68 dB/ 68 dB of meer | Rehabilitatie in 2025. De mogelijkheden om SMA 0/5 of SMA NL8G+ toe te passen worden onderzocht op haalbaarheid ihkv de uitvoering project | - SMA 0/5 geluidreductie circa 1 dB - SMA-NL8G+ geluidreductie circa 2,5 dB |
5 | Deurneseweg | 63 – 68 dB/ 68 dB of meer | Voornemen in 2026 levensduurverlengend onderhoud. Vervangen van tussen- en deklaag. SMA 0/5 of SMA NL8G+, schermen / snelheid overwegen met programma Geluid en Lucht. | -SMA 0/5 geluidreductie circa 1 dB -SMA-NL8G+ geluidreductie circa 2,5 dB -ZSA-SD geluidreductie 4 dB - Snelheidsverlaging circa 1 à 2 dB |
6 | Mierloseweg/ Hoofdstraat | 63 – 68 dB/ 68 dB of meer | 30 km (GOW30 Mobiliteitsvisie) | Snelheidsverlaging circa 3 dB |
7 | Jan van Brabantlaan | 63 – 68 dB | Onbekend. Maatregelen volgen op herinrichting Kanaaldijk N.W. (Mobiliteitsvisie) | N.t.b. |
8 | Cortenbachstraat | 63 - 68 dB | Onbekend. Maatregelen volgen op plan Houtsdonktracé. | N.t.b. |
9 | Eikendreef | 63 - 68 dB | Onbekend. Maatregelen volgen op plan Houtsdonktracé. | N.t.b. |
10 | Julianalaan | 63 - 68 dB | Onbekend. Maatregelen volgen op herinrichting Kanaaldijk N.W. (Mobiliteitsvisie). | N.t.b. |
11 | Kanaaldijk NW (nabij Kasteel-Traverse ) | 63 - 68 dB | Herinrichting Kanaaldijk NW. Onderzoek loopt nog. | N.t.b. |
11a | Kanaaldijk NW (Zoete kers - gemeente grens) | 63 - 68 dB | Geen maatregelen voorzien | N.t.b. |
12 | Kanaaldijk ZW | 63 - 68 dB | Houtsdonk tracé gaat voor ontlasting zorgen. Onderzoek loopt. | N.t.b. |
13 | Engelseweg | 63 - 68 dB | Onbekend. Maatregelen volgen op plan Houtsdonktracé. | N.t.b. |
14 | Stationsstraat | 63 - 68 dB | Herinrichting. Plan moet nog nader worden uitgewerkt. | N.t.b. |
15 | Zuidende | 63 - 68 dB | Herinrichting, ontmoediging interwijkverkeer noord en oostzijde. | N.t.b. |
16 | Oostende | 63 - 68 dB | Onbekend. Maatregelen volgen op herinrichting Kanaaldijk N.W. (Mobiliteitsvisie). | N.t.b. |
17 | Uiverlaan | 63 - 68 dB | Onbekend. Maatregelen volgen op herinrichting Kanaaldijk N.W. (Mobiliteitsvisie). | N.t.b. |
18 | Wethouder Ebbenlaan | 63 - 68 dB | Geen maatregelen voorzien. SMA 0/5 of SMA NL8G+, ZSA schermen / snelheid overwegen in programma Geluid en Lucht. | - SMA 0/5 geluidreductie circa 1 dB -SMA-NL8G+ geluidreductie circa 2,5 dB -ZSA-SD geluidreductie 4 dB - Snelheidsverlaging circa 2 à 3 dB |
19 | Bakelsedijk (Burg. Van Houtstraat - Wethouder Ebbenlaan) | 63 - 68 dB | 30 km (GOW30 Mobiliteitsvisie) | -Snelheidsverlaging circa 3 dB |
20 | Wethouder van Wellaan | 63 - 68 dB | Geen maatregelen voorzien. SMA 0/5 of SMA NL8G+, ZSA schermen / snelheid overwegen in programma Geluid en Lucht. | - SMA 0/5 geluidreductie circa 1 dB -SMA-NL8G+ geluidreductie circa 2,5 dB -ZSA-SD geluidreductie 4 dB - Snelheidsverlaging circa 2 à 3 dB |
2.4.4.1.1 Fietsverbinding Helmond – Eindhoven
Algemeen
In deze paragraaf worden belangrijke infrastructurele werken en ruimtelijke ordeningsplannen opgesomd, die een impact hebben op de afwikkeling van het verkeer (langzaam en snel) en daarmee ook op de door het verkeer veroorzaakte geluidbelastingen. Dit zijn zowel gemeentelijk, in de regio, provinciaal en landelijk. Het zijn maatregelen met een generieke werking en een indirect effect hebben in het beperken van de geluidsbelasting. Deze oplossingen komen niet terug in Tabel 8: Aanpak hotspots 2024-2027 Helmond.
Fietsverbindingen
De gemeente Helmond zoekt naar een goede, snelle en veilige verbinding voor fietsverkeer. De gemeente vindt goede fietsverbindingen belangrijk. Dit stimuleert fietsgebruik, wat gezond en duurzaam is.
Fietsverbinding Helmond – Eindhoven
Tussen Eindhoven en Helmond zijn vele dagelijkse verplaatsingen. Die vinden vooral plaats per auto, gebruik makend van de A270. Ook vanuit Nuenen is er veel dagelijks autoverkeer van en naar Eindhoven en Helmond. De afstand is met 10 tot 15 kilometer echter zodanig dat de fiets en de e-bike een uitstekend alternatief vervoersmiddel is.
De bestaande fietsroute tussen Helmond en Nuenen wordt opgewaardeerd tot snelle fietsroute. Ontbrekende delen worden gerealiseerd.
2.4.4.1.2 Fietsverbinding Helmond – Someren
Om het gebruik van de fiets in het daily urban system te bevorderen moet het fietsnetwerk compleet zijn en van goede kwaliteit. Dat is op nog niet alle relaties in de regio het geval. Zo wordt een fietsvoorziening gerealiseerd op Lungendonk/Eindje.
2.4.4.1.3 Fietsverbinding Helmond – Asten
Een goede fietsverbinding tussen Asten en Helmond kan, ook gelet op de afstand, concurreren met de auto. Voor mensen die dagelijks met de auto pendelen op deze relatie wordt het aantrekkelijker daarvoor de fiets te gebruiken indien de fietsverbinding op orde is. De druk op de autoverbindingen neemt daardoor af.
De ontbrekende schakels in de fietsroute tussen Asten en Helmond worden aangevuld.
2.4.4.1.4 Snel fietsroute Helmond – Deurne
Een uitmuntende fietsverbinding tussen Eindhoven, Helmond en Deurne kan, ook gelet op de afstand, concurreren met de auto. Veel mensen pendelen dagelijks met de auto over de N270 tussen Deurne en Helmond en A270 tussen Helmond en Eindhoven. Door het aanbieden van goede en veilige fietsvoorzieningen kan de druk op de A270/N270 verminderen. Vooral in de ochtend- en avondspits loopt deze weg tegen de grenzen van de capaciteit aan. Dit leidt tot dagelijkse files en vertragingen.
Het doortrekken van het fietspad ten noorden van de spoorlijn tussen de Kanaaldijk ZW en Verlengde Stationsstraat in Helmond. Het aanleggen van de ontbrekende schakel in het fietspad ter hoogte van de Deurneseweg/Deltaweg in Helmond.
Inmiddels zijn afgerond:
Het tracé is inmiddels aangemerkt als Snelfietsroute (SFR).
2.4.4.1.5 Fietsroute Helmond – Beek en Donk
Om het gebruik van de fiets in het daily urban system te bevorderen moet het fietsnetwerk compleet zijn en van goede kwaliteit. Dat is op nog niet alle relaties in de regio het geval.
Tussen Beek en Donk en Helmond wordt de bestaande fietsroute geoptimaliseerd.
2.4.4.1.6 Snelfietsroute Helmond – Gemert
De afstand tussen Gemert en Helmond (oa centrum, station en de regionale zuidelijke bedrijventerreinen Helmond) is met 10 tot 15 km zeer geschikt voor het gebruik door fietsers en e-bikers. Daarom wordt een kwalitatief hoogwaardige en directe verbinding tussen Gemert en de noordzijde van Helmond (Dierdonk) gerealiseerd. Via Dierdonk wordt de route aangesloten op de stedelijke fietsroutes in Helmond.
2.4.4.1.7 Fietsroute Helmond – Geldrop – Eindhoven
Tussen Eindhoven en Helmond zijn vele dagelijkse verplaatsingen. Die vinden vooral plaats per auto, gebruik makend van de A270. Ook vanuit Geldrop-Mierlo is er veel dagelijks autoverkeer van en naar Eindhoven en Helmond. De afstand is met 10 tot 15 kilometer echter zodanig dat de fiets en de e-bike een uitstekend alternatief vervoersmiddel is.
Om het fietsen tussen Eindhoven en Helmond zo aantrekkelijk mogelijk te maken wordt de bestaande fietsroute tussen Eindhoven en Helmond via Geldrop-Mierlo opgewaardeerd en waar nodig gecompleteerd. Dit projectonderdeel betreft het wegvak in Helmond.
Op de Automotivecampus Helmond en de zuidelijke bedrijventerreinen in Helmond ontbreekt goed voor- en natransport (last mile) rondom het openbaar vervoer. Door de invoering van fietsdeelsystemen wil de gemeente Helmond hierin verbetering aanbrengen en het gecombineerd gebruik fiets & OV bevorderen.
Daarnaast zijn er ontwikkelingen rondom innovatieve vervoersconcepten. Een voorbeeld hiervan zijn verschillende auto- en fietsdeelsystemen. Het is aan de vervoersmarkt om dit soort concept door te ontwikkelen en die is hier al volop mee bezig. Vanuit deze regio worden deze initiatieven omarmd en gestimuleerd. De gemeente Helmond werkt hierin samen met de B5 steden in Brabant.
De Bereikbaarheidsagenda ZO-Brabant gaat uit van het naar buiten brengen van doorgaand autoverkeer naar de robuuste randen: N279-A67-A2-A58-A50. In het Middengebied/Rijk van Dommel en Aa blijven diffuse stromen rijden over wegen die hiervoor niet geschikt zijn en daarbij voor leefbaarheidsproblemen zorgen in kernen en het buitengebied. De bundelroutes zou deze diffuse stromen moeten opvangen en de overlast verminderen. Het resultaat is een breed pakket aan maatregelen om de doorstroming en leefbaarheid te verbeteren.
De N270/Europaweg in Helmond wordt geoptimaliseerd voor wat betreft doorstroming en capaciteit. Een goede leefbaarheid voor de bewoners van de stad is hierbij van groot belang. Er worden maatregelen genomen om de leefbaarheid langs de Kasteel-Traverse in het centrumdeel van Helmond te verbeteren. Aandachtspunten zijn geluid, lucht en oversteekbaarheid.
2.4.4.3.1 N612 – Kanaaldijk ZW
De N612 en Kanaaldijk ZW vormen een belangrijke verbinding tussen de A67 en Helmond en tussen Someren en Helmond. De route draagt bij aan de ontsluiting van de economische kerngebieden Helmond-centrum, Automotive Campus en de zuidelijke bedrijventerreinen van Helmond. Uit een wegscan van de provincie NB uit 2015 blijkt dat er zich op het wegvak meerdere problemen op het gebied van doorstroming en veiligheid voordoen.
Capaciteit van het wegvak Kanaaldijk ZW Helmond wordt uitgebreid.
De N270 heeft een belangrijke stroomfunctie voor het oostelijk deel van de regio. Voor Deurne is het een van de twee verbindingen met de westzijde van de regio. Het westelijk deel van N270 vormt de inprikker naar de N279. Voor het goed functioneren van de gemeenten is het belangrijk dat een goede doorstroming op de N270 gewaarborgd is. Momenteel doet zich bijna dagelijks congestie voor. Mede daarom is een reconstructie nodig op het wegvak Deurne-Limburgse grens. Daardoor verbeteren de doorstroming en leefbaarheid (geluid) langs de route.
2.4.4.4.1 Snelle busverbinding (OV)
De gemeente Eindhoven, gemeente Veldhoven en provincie Noord-Brabant onderzoeken een nieuwe snelle busverbinding - hoogwaardig openbaar vervoer (HOV) - van Eindhoven Centrum naar De Run. De precieze route van deze busverbinding is nog niet bepaald. Het onderzoek gaat hier duidelijkheid over geven. Grofweg gaat de buslijn vanuit het station en het centrum van Eindhoven via de Karel de Grotelaan en Kempenbaan naar het terrein van ASML, met een aftakking naar de High Tech Campus.
2.4.4.4.2 OV doorstroomas Geldrop-Helmond
Verbetering van de doorstroming van het openbaar vervoer leidt tot een hogere kwaliteit, grotere betrouwbaarheid en minder reistijd. Dit alles draagt bij aan toename van het gebruik. Voor de route Geldrop-Helmond worden enkele verbetering gerealiseerd. Het betreft het realiseren van bus beïnvloeding op de geregelde kruispunten op de Engelseweg en de Heeklaan, beide in Helmond.
2.4.4.4.3 Bushaltes BZOB en Automotive Campus Helmond
Om het gebruik van het openbaar vervoer in het daily urban system te bevorderen wordt de kwaliteit van enkele bestaande buslijnen zoveel mogelijk verbeterd. Zo worden op het bedrijventerrein BZOB en de Automotive Campus twee bushaltes Helmond opgewaardeerd tot multimodaal knooppunt, onder andere door toevoeging van een deelfietssysteem. Goede overstapmogelijkheden dragen bij aan een co-modaal vervoerssysteem.
2.4.4.4.4 OV knooppunten stations Helmond
Helmond heeft vier stations, die van cruciaal belang zijn voor de openbaar vervoer bereikbaarheid van de stad en de omliggende gemeenten. Goede overstapmogelijkheden dragen bij aan een co-modaal vervoerssysteem . Om de bereikbaarheid en aantrekkelijkheid van de stations verder te verbeteren worden ze uitgebreid met extra voorzieningen voor de fiets, deelmobiliteitssystemen (fiets en/of nieuwe mobiliteitsvormen) en P+R-voorzieningen. Tevens worden de locaties zelf aantrekkelijker gemaakt door bijvoorbeeld het realiseren, comfortabele wacht-mogelijkheden, extra verlichting, flexibele werkplekken, ophaalpunten van goederen en horeca. Daarmee krijgen de NS-stations steeds meer de functie van mobiliteitshub voor Helmond en de regio.
Ook de werkgevers hebben een werkgeversaanpak: Brainport Bereikbaar. Op hun website staan tal van initiatieven opgenomen om de regio en ook Helmond bereikbaar te houden. Op deze locatie kan meer informatie gevonden worden https://www.brainportbereikbaar.nl/.
SmartwayZ.NL is het innovatieve mobiliteitsprogramma in Zuid-Nederland. Binnen het programma realiseren ze de belangrijke schakels in de verstedelijking en het mobiliteitssysteem van de toekomst. De aanpak varieert van het ontwikkelen van slimme oplossingen en het stimuleren van duurzaam reisgedrag tot het verbreden van snelwegen en het verbeteren van vervoersknooppunten. Meer dan 200 partners werken binnen het programma samen, waaronder het Ministerie van Infrastructuur en Waterstaat, Rijkswaterstaat, de provincies Noord-Brabant en Limburg, diverse gemeenten, bedrijven en kennisinstellingen. Samen werken aan een slim, veilig en duurzaam mobiliteitssysteem in Zuid-Nederland. Op de website https://www.smartwayz.nl/nl/ staan tal van initiatieven opgenomen, waarvan een aantal invloed hebben op geluidhinder in de gemeente Helmond:
De N279 verbindt woon- en werklocaties tussen Veghel en Asten en is een belangrijke verkeersader in het oosten van Brabant. Om de krachtige positie van deze regio te behouden, is het belangrijk om de bereikbaarheid, leefbaarheid en verkeersveiligheid op en rondom de N279 tussen Veghel en Asten te verbeteren.
De provincie, de gemeenten Meierijstad, Helmond, Laarbeek, Gemert-Bakel, Asten en Deurne, Waterschap Aa en Maas en Rijkswaterstaat werken samen aan een nieuw plan voor een robuuste oplossing daarvoor. Dat nieuwe plan is nodig, nadat de Raad van State het Provinciaal Inpassingsplan (PIP) Veghel – Asten in december 2021 vernietigde. Maar ook gezien de snelle groei van verkeer in deze regio, dat vraagt om een duidelijke koers voor deze weg.
Tempo, zorgvuldigheid en betrokkenheid zijn belangrijk bij dit project, maar het moet ook haalbaar, duurzaam en toekomstbestendig zijn. In 2022 is een start gemaakt met het inventariseren van de belangen en opgaven in het gebied. Het resultaat is eind 2022 vastgelegd in een plan van aanpak en vastgesteld door de Stuurgroep N279. Dat plan vormt de basis voor de verdere verkenning, waarin met input van partijen uit de omgeving de opgave en de oplossingsrichtingen een verdiepingsslag moeten krijgen.
Onderdeel van de verkenning is ook een nieuw verkeersonderzoek om op basis van actuele cijfers en berekeningen inzicht te verkrijgen in de toekomstige verkeersdrukte en de gevolgen daarvan (in 2030-2040). Dit onderzoek vormt de feitelijke basis voor de nog te nemen besluiten. Bij de uitwerking van oplossingen zal nadrukkelijk gekeken worden naar de mogelijkheden van brede mobiliteit, zoals beoogd in het Beleidskader Mobiliteit.
Parallel aan de verkenning naar oplossingsrichtingen voor de gehele gebiedsopgave, kijken de partijen of er maatregelen zijn die al vooruitlopend op een onherroepelijk totaalplan uitgevoerd kunnen worden. Het gaat om maatregelen die de verkeersveiligheid direct verbeteren en waarvan de uitvoering mogelijk is zonder dat dit later nog te maken keuzes in de weg zit. Denk bijvoorbeeld aan het verbeteren van gevaarlijke oversteken en onveilige uitritten. www.brabant.nl/n279
2.4.4.6.3 MIRT-Onderzoek Verstedelijking en Mobiliteit Brainport 2030-2040
De bereikbaarheid van de Brainport-regio komt onder druk te staan door de economische groei en de invulling van de woningbouwopgave. Het MIRT [5]-onderzoek Bereikbaarheid en Verstedelijking Brainport Eindhoven moet inzichtelijk maken welke grote opgaven de regio te wachten staan. Het integraal MIRT-onderzoek Verstedelijking en Bereikbaarheid Brainport is afgerond. Rijk en regio zijn eensgezind over de koers en zullen gezamenlijk inzet plegen om de Brainportregio richting 2040 verder te ontwikkelen. https://www.smartwayz.nl/nl/infrastructuur/mobiliteit-en-verstedelijking-brainportregio/.
Bij het uitwerken van de woningbouwplannen zal er volop aandacht zijn voor de klimaatopgave en het leefmilieu. Er komt daarnaast een verdiepende studie naar de concurrentiekracht van de economische toplocaties en campussen op lange termijn. Ook zal er worden gekeken hoe het centrum van Helmond en het centrale station Helmond toekomstvast kunnen worden ontwikkeld.
SGE: afsprakenkader en verstedelijkingsakkoord
Helmond werkt samen met de gemeenten Best, Eindhoven, Geldrop-Mierlo, Helmond, Nuenen c.a., Oirschot, Son en Breugel, Veldhoven en Waalre op de thema’s Wonen, Economie, Voorzieningen en Ruimte in het Stedelijk Gebied Eindhoven, kortweg SGE. Ook de provincie is bij deze samenwerking betrokken. In het SGE is afgesproken dat gemeenten op het gebied van woningbouw handelen ‘als ware we één gemeente’.
[5] MIRT staat voor Meerjarenprogramma Infrastructuur, Ruimte en Transport
Zoals uit het actieplan blijkt is de gemeente en regio volop bezig om de bereikbaarheid te verbeteren. Dit wordt in een breder kader bekeken en uitgevoerd.
Het effect van de maatregelen uit hoofdstuk 4 laat zich lastig vertalen in aanpassingen van de geluidbelastingen als ook in kosten. Helder is dat er volop aandacht is om de situatie niet te laten verslechteren, maar juist te verbeteren.
Met de concretisering van maatregelen in het programma Geluid en Lucht (2.1.5) moet duidelijk worden in hoeverre aanvullend budgetten beschikbaar wordt gesteld voor de uitvoering van maatregelen of dat als het gaat om maatregelen aansluiting wordt gezocht bij de programma’s vanuit de Mobiliteitsvisie Helmond 2040 (2.4.2.2) in geval van ontwikkelingen met de schaalsprong.
Het document betreft het definitieve Actieplan Geluid.
Het definitieve Actieplan Geluid is op 10 september 2024 door het college van burgemeester en wethouder van de gemeente Helmond vastgesteld. De ingediende zienswijze (bijlage VI) heeft niet geleid tot een aanpassing van het Actieplan Geluid.
Vervolgens heeft in het Gemeenteblad en op de website van de gemeente Helmond publicatie van deze vaststelling plaatsgevonden.
Europese richtlijn omgevingslawaai (nr. 2002/49/EG inzake de evaluatie en de beheersing van omgevingslawaai).
Wet milieubeheer, staatsblad 266 van 20 juni 2012 en Wm in algemeen
Besluit geluid milieubeheer, staatsblad 163 van 19 april 2012
Regeling geluid milieubeheer, Staatscourant 11812 van 27 juni 2012
Informatiepunt IPLO: informatie met betrekking tot de Omgevingswet
Kenniscentrum Infomil
Website van de gemeenten Best, Eindhoven, Geldrop-Mierlo, Helmond, Nuenen c.a. en Veldhoven
Website van de provincie Noord-Brabant
RIVM, website en rapporten
Rapporten van dBvision en dgmr
Websites Smartwayz en Metropool Regio Eindhoven
Websites, rijksoverheid voor de Nationale Omgevingsvisie en Nota Ruimte
Afkorting | Uitleg |
Bal | Besluit activiteiten leefomgeving |
Bbl | Besluit bouwwerken leefomgeving |
BBMA: | BrabantBrede ModelAanpak verkeersmodel |
bge: | BasisGeluidEmissie |
Bkl | Besluit kwaliteit leefomgeving |
cvvg: | Centrale Voorziening Geluidgegevens |
END | Environmental Noise Directive |
EU | Europese Unie |
gpp: | GeluidProductiePlafond |
InfoMil | Kenniscentrum InfoMil biedt praktische ondersteuning bij uitvoering van omgevingsbeleid),tot 31‑12‑2023 van toepassing waaronder de geluidbelastingskaarten |
IPLO | Informatiepunt Leefomgeving (bundelt informatie over bodem, bouwen, water, milieu en de Omgevingswet), vanaf 1‑1‑2024 van toepassing. |
LAeq in dB(A) | Equivalent betekent gelijk. Betreft een A-gewogen Equivalent Geluidniveau: het lange termijn gemiddelde van het wisselende geluidniveau, voorzien van de A-weging (gehoorcorrectie voor lage en gemiddelde geluidniveaus). |
Lden in dB | Level Day-Evening-Night. De gemiddelde geluidbelasting in decibel (dB) per etmaal (24 uur). |
Lnight in dB | Level Night. De gemiddelde geluidbelasting in decibel (dB) in de nachtperiode (van 23:00-07:00 uur). |
NVOI | Nationale Omgevingsvisie |
ODZOB: | Omgevingsdienst Zuidoost-Brabant |
Or | Omgevingsregeling |
Ow: | Omgevingswet |
RVMK: | Regionale Verkeers- en Milieukaart |
Rgm | Regeling geluid milieubeheer |
Wgh: | Wet geluidhinder |
Wm: | Wet milieubeheer |
Voor de zes gemeenten in de agglomeratie Eindhoven zijn voor de peiljaren 2006 (1e), 2011 (2e), 2016 (3e) en 2021 (4e) in het kader van de kartering END geluidbelastingskaarten opgesteld. Deze zijn opgesteld voor de 1e, 2e, 3e en 4e tranche van de EU-richtlijn Omgevingslawaai. Het opstellen van de END geluidbelastingskaarten is een wettelijke verplichting voor deze agglomeratie gemeenten.
Tussen deze kaarten bestaat een aantal opvallende verschillen. Deze verschillen hebben een aantal oorzaken, zoals de te hanteren rekenmethode, de opzet van het verkeersmodel, de manier van bepalen van de verkeersintensiteiten, voertuigverdeling, pandenbestanden en adrespunten. Deze belangrijkste verschillen worden hieronder toegelicht. Vervolgens wordt aangegeven wat de consequenties hiervan zijn. In deze 4e tranche worden de geluidbelastingskaarten ook als END geluidkaarten aangeduid waarbij END staat voor = Environmental Noise Directive.
De regelgeving over de geluidbelastingkaart is op een aantal punten in deze 4e tranche kartering ingrijpend veranderd. Dat heeft grote consequenties voor de END-geluidbelastingskaart.
Voor de 4e tranche zijn de gemeenten van 3e tranche wederom aangewezen, de gemeenten zijn in de 4e tranche allen in of als agglomeratie aangewezen. Voor de gemeenten binnen de agglomeratie Eindhoven zijn geen wijzingen geweest.
Ook de 12 provincies en de het Ministerie van Infrastructuur en Waterstaat namens de rijksoverheid (voor de hoofdspoorwegen, rijkswegen en Schiphol) zijn aangewezen overheden voor de geluidbelastingskaarten en Actieplannen.
Berekeningen en uitgangspunten in de 4e tranche
Door diverse grote wijzigingen in deze 4e tranche kunnen de resultaten niet zondermeer vergeleken worden met die uit vorige tranches. Een aantal van deze wijzigingen staan hieronder opgenomen.
Europese rekenmethode: CNOSSOS
In de 4e tranche zijn de berekeningen van de geluidbelasting Lden en Lnight uitgevoerd moeten worden volgens de rekenmethode “CNOSSOS”. De Europees gestandaardiseerde “gemeenschappelijke rekenmethode” uit de Europese richtlijn 2015/996 van 19 mei 2015 is opgenomen in de Nederlandse wetgeving. Vanaf 2022 rekent heel Europa met CNOSSOS, de nieuwe rekenmethode geluid.
De rekenmethode CNOSSOS is begin 2022 beschikbaar gekomen en wijkt op diverse punten af van de eerder gehanteerde rekenmethoden. Het Rijksinstituut voor Volksgezondheid en Milieu (RIVM) heeft een handreiking modelleren volgens CNOSSOS_EU beschikbaar gesteld.
Deze Europese rekenmethode CNOSSOS is anders dan de eerder gehanteerde SRM2-rekenmethode uit de eerdere karteringstranches.
Het gebruik van een andere rekenmethode leidt tot andere rekenresultaten. De consequentie is dat een vergelijking tussen 2021 en eerdere jaren niet direct te maken is. Om die reden heeft het RIVM een onderzoek laten uitvoeren naar de mate van het verschil met de eerdere karteringstranches.
Op de website van het IPLO zijn in februari 2024 een notitie en 2 rapporten beschikbaar gesteld. De notitie en rapporten zijn vinden op: https://iplo.nl/thema/geluid/regels-geluid-handig-toepassen/uitvoering-Actieplan-geluid/onderzoek-rekenmethode-cnossos/
Er zijn verschillen bij het berekenen van:
de overdracht;
en de emissies van voertuigen;
er is ook en verschil in de wijze waarop aantallen blootgestelden geteld moet worden.
Net als de rekenmethodes SRM2 voor weg- en railverkeer en methode II uit de HMRI is het een (empirische) rekenmethode. De gehanteerde formules voor schermwerking, bodemdemping en dergelijke zijn wel anders in CNOSSOS. Hierdoor kan een kaart geproduceerd met CNOSSOS niet direct vergeleken worden met een kaart geproduceerd met SRM2 of SKM2, zoals in de vorige tranches zijn opgesteld.
Naast de overdracht zijn er ook verschillen ten aanzien van de bepaalde emissiekentallen van voertuigen en de benodigde databehoefte.
Aantal bewoners per huishouden
Het aantal bewoners van woningen wordt berekend met het gemiddelde huishoudensgrootte volgens de meest recente publicatie van het Centraal Bureau voor de Statistiek (artikel 6 Rmg). Begin 2021 wonen gemiddeld 2,14 mensen in een Nederlands huishouden. Bij de 3e tranche was dit 2,2 mensen in een Nederlands huishouden. De bepaling van het aantal blootgestelden is fundamenteel anders vergeleken met eerdere tranches. In de Handreiking modelleren volgens CNOSSOS-EU is dit opgenomen. Met name bij meerdere adressen per BAG-pand dient op een andere wijze dan bij vorige tranches dit bepaald te worden.
Gezondheidseffecten door geluid
Uiteindelijk is er ook een verschil in de wijze waarop aantallen blootgestelden geteld moet worden. De Europese richtlijn omgevingslawaai is gewijzigd voor het bepalen van de gezondheidseffecten via de richtlijn (EU) 2020/367 van de Commissie van 4 maart 2020. De bijlage 2 van de Regeling geluid milieubeheer (eerder met de dosiseffectrelaties) is daarop aangepast. Deze zijn verwerkt in bijlage XIX van de Omgevingsregeling (dosis-effectrelaties voor Actieplannen geluid).
De gezondheidseffecten door geluid worden nu beschreven in het Actieplan geluid van de 4e tranche en niet meer bij de END-geluidbelastingkaart.
Ligging contouren
Het Europees Agentschap heeft geconstateerd dat landen op een verschillende wijze hiermee omgaan en heeft hierover een advies uitgebracht. In de 4e tranche liggen de contouren als volgt:
Of te wel, een 55 dB-contour ligt op 55,0 dB.
In de vorige tranches is afgerond naar het dichtstbijzijnde gehele getal in dB.
Bekendmakingswet
De publicatie van de geluidbelastingkaart gaat volgens de Bekendmakingswet. Deze is via de Wet elektronische publicaties gewijzigd. Volgens deze wet worden alle wettelijk voorgeschreven bekendmakingen, mededelingen en kennisgevingen gedaan in de officiële elektronische publicatiebladen. Voor gemeenten is dat een gemeenteblad en voor provincies een provinciaal blad. De toegankelijkheid en de kenbaarheid van deze publicaties wordt hiermee vergroot.
Centrale Voorziening GeluidGegevens
Gemeenten, provincies en het Rijk leverden de geluidbelastingkaart aan de Centrale voorziening geluidgegevens (cvgg). De geluidbelastingkaarten worden dus niet naar InfoMil verstuurd. De cvvg is per 1 juli 2022 opengesteld voor aanlevering van de END geluidbelasingskaarten.
Ook voor de Actieplannen geluid zullen aan de cvvg aangeleverd dienen te worden in een format dat in maart 2024 beschikbaar is gesteld.
GeoPackage
De datastroom die wordt aangeleverd aan de cvgg moet voldoen aan het nieuwe datamodel dat is opgesteld door het Europees Milieuagentschap (EEA) (artikel 5 Rgm). De datastroom dient aangeleverd te worden in het GIS-formaat GeoPackage.
Deze wijziging volgt uit de Europese Verordening 2019/1010 van het Europees Parlement en de Raad van 5 juni 2019. Het regelt de onderlinge afstemming van de verslagleggingsverplichtingen op het gebied van de milieuwetgeving. Op grond hiervan ontwikkelt de EU een verplicht digitaal informatie uitwisselingsmechanisme.
Deadline Actieplan een jaar verplaatst
Het Actieplan geluid van de 4e tranche moet uiterlijk 18 juli 2024 zijn vastgesteld. Dat is geregeld via de Verordening (EU) 2019/1010 van het Europees Parlement en de Raad van 5 juni 2019. Voor de daaropvolgende tranches zal de periode van 5 jaar worden hervat.
Omgevingswet: inwerkingtreden vanaf 1 januari 2024
De Europese richtlijn is ook geïmplementeerd in de Omgevingswet. De Omgevingswet is op 1 januari 2024 in werking getreden. Bij de inwerkingtreding van de Omgevingswet zullen de verwijzingen naar de wetgeving als ook enkele gehanteerde terminologieën deels anders zijn.
In de Regeling geluid milieubeheer is in bijlage 2 een rekenmethode opgenomen voor het berekenen van schadelijke effecten. Voor de bepaling van deze effecten worden de volgende aspecten beschouwd:
a ischemische hartziekten (IHD)
b hoge mate van hinder (HA)
c hoge mate van slaapverstoring (HSD)
Alleen voor de geluidbron wegverkeer is in de regeling een werkwijze beschreven voor de berekening van het relatieve risico (RR) van ischemische hartziekten (IHD).
Wat de kans is dat iemand in hoge mate gehinderd wordt (HA) en slaapverstoord (HSD) is vastgesteld in zogenaamde dosis-effectrelaties. Deze relaties verschillen per geluidsoort. In de tabellen hieronder zijn deze relaties voor wegverkeerslawaai en spoorweglawaai weergegeven.
Voor industrielawaai zijn geen dosis-effectrelaties gepubliceerd.
Voor de formules voor het bepalen van het aantal ernstig geluidgehinderden (HA), het aantal slaapverstoorden (HSD) ten gevolge van de verschillende geluidbronnen en het relatieve risico op ischemische hartziekten (RRIHD) als gevolg van wegverkeer verwijzen we naar bijlage 2 van de Regeling geluid milieubeheer.
Dosis-effectrelaties voor wegverkeerslawaai | |||
Geluidsbelastingsklasse Lden | Ernstig gehinderden per 100 bewoners (HA) | Geluidsbelastingsklasse Lnight | Slaapgestoorden per 100 bewoners (HSD) |
55-60 dB | 13 | 55-60 dB | 5 |
60-65-dB | 18 | 60-65-dB | 7 |
65-70 dB | 24 | 65-70 dB | 10 |
70-75 dB | 33 | 70-75 dB | 14 |
75 dB of hoger | 43 | 75 dB of hoger | 18 |
Dosis-effectrelaties voor spoorweglawaai (niet gewijzigd) | |||
Geluidsbelastingsklasse Lden | Ernstig gehinderden per 100 bewoners (HA) | Geluidsbelastingsklasse Lnight | Slaapgestoorden per 100 bewoners (HSD) |
55-60 dB | 14 | 55-60 dB | 8 |
60-65-dB | 21 | 60-65-dB | 14 |
65-70 dB | 29 | 65-70 dB | 21 |
70-75 dB | 39 | 70-75 dB | 31 |
75 dB of hoger | 50 | 75 dB of hoger | 42 |
Dosis-effectrelaties voor industrielawaai (niet gewijzigd) | |||
Geluidsbelastingsklasse Lden | Ernstig gehinderden per 100 bewoners (HA) | Geluidsbelastingsklasse Lnight | Slaapgestoorden per 100 bewoners (HSD) |
55-60 dB | 3 | 55-60 dB | 3 |
60-65-dB | 6 | 60-65-dB | 5 |
65-70 dB | 11 | 65-70 dB | 6 |
70-75 dB | 18 | 70-75 dB | 8 |
75 dB of hoger | 23 | 75 dB of hoger | 10 |
Dosis-effectrelaties voor luchtvaartlawaai (niet gewijzigd) | |||
Geluidsbelastingsklasse Lden | Ernstig gehinderden per 100 bewoners (HA) | Geluidsbelastingsklasse Lnight | Slaapgestoorden per 100 bewoners (HSD) |
55-60 dB | 3 | 55-60 dB | 3 |
60-65-dB | 6 | 60-65-dB | 5 |
65-70 dB | 11 | 65-70 dB | 6 |
70-75 dB | 18 | 70-75 dB | 8 |
75 dB of hoger | 23 | 75 dB of hoger | 10 |
/join/id/regdata/gm0794/2024/e80f696f5648431cb9c180bbfe28f421/nld@2025‑02‑18;09583397
/join/id/regdata/gm0794/2024/a8c0a3f6a3f247eca42c456f0d3278da/nld@2025‑02‑18;09583397
/join/id/regdata/gm0794/2024/0a5ffede6ef943e1941b97bfe085f0b5/nld@2025‑02‑18;09583397
/join/id/regdata/gm0794/2024/f8b936279068451186b53c73d46cfa55/nld@2025‑02‑18;09583397
/join/id/regdata/gm0794/2024/2a84f5b827c5439fbfb7bcecd8c74bdf/nld@2025‑02‑18;09583397
/join/id/regdata/gm0794/2024/8e7bb7f7bdf643eda7438ff7da99504f/nld@2025‑02‑18;09583397
/join/id/regdata/gm0794/2024/fe65de483c444fd1a920deab71d6e4b3/nld@2025‑02‑18;09583397
/join/id/regdata/gm0794/2025/6118d22be11047c69dc5a7e26c6a6510/nld@2025‑02‑18;09583397
Kopieer de link naar uw clipboard
https://zoek.officielebekendmakingen.nl/gmb-2025-72000.html
De hier aangeboden pdf-bestanden van het Staatsblad, Staatscourant, Tractatenblad, provinciaal blad, gemeenteblad, waterschapsblad en blad gemeenschappelijke regeling vormen de formele bekendmakingen in de zin van de Bekendmakingswet en de Rijkswet goedkeuring en bekendmaking verdragen voor zover ze na 1 juli 2009 zijn uitgegeven. Voor pdf-publicaties van vóór deze datum geldt dat alleen de in papieren vorm uitgegeven bladen formele status hebben; de hier aangeboden elektronische versies daarvan worden bij wijze van service aangeboden.