VTH-beleid Ridderkerk 2025-2028

Uitvoerings- en handhavingsstrategie fysieke leefomgeving 2025-2028

 

Burgemeester en wethouders van de gemeente Ridderkerk hebben op 15 juli 2025 het VTH-beleid 2025-2028 vastgesteld. Dit beleid treedt in werking vanaf 15 juli 2025. Het VTH-beleid regelt de uitvoerings- en handhavingsstrategie van de fysieke leefomgeving binnen de gemeente Ridderkerk.

 

1. Inleiding

Dit beleidsplan beschrijft de strategie voor vergunningverlening, toezicht en handhaving (hierna: VTH) op basis van de Omgevingswet. Conform artikel 13.5, eerste lid, van het Omgevingsbesluit stellen wij met dit document een uitvoerings- en handhavingsstrategie vast.

 

Dit beleid biedt handvatten voor de behandeling van vergunningsaanvragen en formuleert de strategieën en prioriteiten voor de uitvoering van toezicht en handhaving.

 

Dit document vervangt het Vergunningenbeleidsplan Wabo 2017-2021 en het Handhavingsbeleidsplan Wabo 2019-2023 van de gemeente Ridderkerk.

 

1.1 Reikwijdte VTH-beleid

Dit VTH-beleidsplan schetst in hoofdlijnen de gemeentelijke verantwoordelijkheden binnen de fysieke leefomgeving, zoals vastgelegd in de wet. Dit omvat taken op het gebied van het omgevingsrecht en andere relevante aspecten van het fysieke domein.

 

De focus van dit beleidsplan ligt niet op de regelgeving zelf, maar op de prioriteiten die de gemeente stelt voor zijn VTH-taken. Daarnaast wordt toegelicht hoe deze prioriteiten tot stand komen en op welke wijze wij hier uitvoering aan geven.

 

Milieutaken

Dit beleidsplan omvat niet de VTH-taken op het gebied van milieu. De gemeente heeft deze taken ondergebracht bij de DCMR Milieudienst Rijnmond (hierna: DCMR). In opdracht van de gemeente Ridderkerk werkt de DCMR aan een gezonde, veilige en duurzame leefomgeving. Voor de prioriteiten op het vakgebied van milieu verwijzen wij naar de beleidsnota’s en het werkplan dat jaarlijks wordt opgesteld in samenwerking met de DCMR.

 

Algemene Plaatselijke Verordening taken

Dit beleidsplan heeft betrekking op de regels vanuit de Algemene Plaatselijke Verordening (hierna: APV) die omgevingsvergunningplichtig zijn, zoals de kapvergunning. Voor de overige APV-taken wordt onder andere verwezen naar de volgende beleidsnota’s:

 

  • -

    Integraal veiligheidsbeleid Ridderkerk 2025-2028

  • -

    Handhavingsuitvoeringsplan 2025 OOV

1.2 Beleidscyclus

De beleidscyclus voor VTH is een essentieel instrument om kwaliteit en samenhang te waarborgen in de uitvoering van gemeentelijke taken binnen de fysieke leefomgeving. Het uitvoeren van deze taken vraagt om een duidelijke structuur en prioritering. Hiervoor maken we gebruik van een beleidscyclus die strategisch beleid en praktische uitvoering met elkaar verbindt. Deze aanpak zorgt ervoor dat onze gemeente niet alleen voldoet aan de wettelijke eisen uit de Omgevingswet en het Omgevingsbesluit, maar ook op een efficiënte en doelgerichte manier werkt aan de kwaliteit van de fysieke leefomgeving.

 

Het BIG-8-model

Binnen onze gemeente hanteren we het BIG-8-model als basis voor de VTH-beleids- en uitvoeringscyclus. Dit model biedt een gestructureerde werkwijze voor de VTH-taken. Het zorgt ervoor dat strategische doelen en operationele uitvoering cyclisch op elkaar worden afgestemd, met een continue focus op kwaliteitsborging.

 

Het model bestaat uit twee onderling verbonden cycli:

 

De beleidsvormende cyclus

In deze fase bepalen we de strategische kaders, zoals vastgelegd in het VTH-beleidsplan. Dit plan bepaalt de prioriteiten voor VTH. Binnen onze gemeente maken we hiervoor gebruik van een probleem- en risicomatrix: hoe hoger het risico, hoe hoger de prioriteit.

 

Deze aanpak zorgt ervoor dat capaciteit en middelen op een doelgerichte manier worden ingezet. Hieruit volgen dan ook onze doelstellingen.

 

De uitvoerende cyclus

Deze cyclus richt zich onder meer op de uitvoering van het beleid, onder andere via het VTH-uitvoeringsprogramma. Dit programma vertaalt de beleidsdoelen naar operationele taken en legt vast welke toezicht- en handhavingsactiviteiten plaatsvinden.

 

Om de effectiviteit van de uitvoering te borgen, hanteren we een gestructureerde monitoring- en evaluatieaanpak, gebaseerd op gangbare methoden:

 

  • -

    Kwantitatieve monitoring: bijvoorbeeld het aantal uitgevoerde controles, opgelegde sancties bij overtredingen of het aantal afgehandelde verzoeken.

  • -

    Kwalitatieve monitoring: analyse van termijnen, nalevingsgedrag en effectiviteit van interventies.

  • -

    Jaarlijks wordt geëvalueerd of de prioriteiten en interventies nog aansluiten bij de praktijk.

De effectiviteit van het BIG-8-model en de VTH-uitvoering wordt continu bewaakt via ons uitvoeringsprogramma, jaarverslag en toetsing aan de kwaliteitsvereisten (uitgebreid toegelicht in het hoofdstuk Borging van de kwaliteit). Dit voorkomt dat beleid slechts theoretisch blijft. In ons uitvoeringsprogramma wordt mogelijk afgeweken van het beleid om effectief en actueel te blijven. Een afwijking van het beleid wordt altijd voorzien van een toelichting.

 

1.3 Samenwerkingspartners

Naast interne organisatie en systematiek is externe samenwerking cruciaal voor een effectieve uitvoering. Zo werken we onder andere samen met de GGD, Omgevingsdiensten en de Veiligheidsregio Rotterdam-Rijnmond (hierna: VRR). Door samen te werken kunnen we kennis bundelen, sneller handelen en beter inspelen op complexe vraagstukken.

 

Wanneer een initiatiefnemer een vergunning aanvraagt of een verzoek om vooroverleg indient, kan deze aanvraag verschillende activiteiten omvatten waarbij diverse samenwerkingspartners betrokken zijn. Daarom is het noodzakelijk om gericht samen te werken. Dit vraagt om duidelijke werkafspraken en voldoende afstemming. Bij de behandeling van aanvragen communiceren wij bij voorkeur via een vast aanspreekpunt voor initiatiefnemers.

 

Voor de toezicht- en handhavingstaak heeft onze gemeente afspraken met diverse betrokken partners, zoals DCMR, VRR, GGD, het waterschap en de politie, over samenwerking en afstemming van de werkzaamheden. Hierover is meer te lezen in de bijlage Toezichtstrategie.

 

1.4 Leeswijzer

Dit VTH-beleidsplan bestaat uit vijf hoofdstukken. Na de inleiding wordt het beleid inhoudelijk verder uitgewerkt. In hoofdstuk 2 worden de missie en visie van onze gemeente beschreven. Hoofdstuk 3 bevat een omgevingsanalyse, gevolgd door een probleem- en risicoanalyse. Hieruit volgen de doelstellingen van het beleid. Hoofdstuk 4 gaat in op de prioriteiten en strategieën. Tot slot beschrijft hoofdstuk 5 de borging van de kwaliteit binnen het VTH-stelsel van de gemeente.

2. Missie en visie

In dit hoofdstuk worden de missie en visie binnen het VTH-domein uiteengezet. Binnen de gemeente Ridderkerk werken wij hiernaast met een organisatie- en teamplan. Dit heeft als leidraad gediend bij het formuleren van onze missie en visie.

 

2.1 Missie

Vanuit de wettelijke kaders werken wij aan een veilige en prettige woon- en leefomgeving. Daarbij streven wij naar optimale dienstverlening voor inwoners, ondernemers en maatschappelijke instellingen.

 

2.2 Visie

Wij werken samen met onze inwoners, ondernemers, maatschappelijke instellingen en het gemeentebestuur aan een veilige en prettige woon- en leefomgeving. Hierbij willen we dat onze dienstverlening wordt ervaren als betrouwbaar, betrokken, persoonlijk en modern.

 

We behandelen aanvragen en verzoeken binnen de wettelijke termijnen, denken actief mee met initiatieven en bieden rechtszekerheid aan alle betrokkenen.

 

Rekening houdend met de uitdagingen van de nieuwe Omgevingswet en capaciteit streven wij naar een balans tussen klantbeleving en de wettelijke kaders. Onze werkwijze sluit aan bij de behoeften van de samenleving en draagt bij aan een leefomgeving waarin inwoners, ondernemers en maatschappelijke instellingen zich gehoord, beschermd en gefaciliteerd voelen.

3. Ontwikkelingen

Om een goed beeld te geven van onze gemeente behandelen we eerst een omgevingsanalyse. Hierin delen we de belangrijkste kenmerken van onze gemeente. Vervolgens geven we inzicht in de probleem- en risicoanalyse. Op basis van deze analyse formuleren we onze doelstellingen.

 

3.1 Omgevingsanalyse

Ridderkerk is een middelgrote gemeente in Zuid-Holland, strategisch gelegen tussen Rotterdam en Dordrecht. Ridderkerk heeft in 2025 een bevolking van 48.011 inwoners. De gemeente bestrijkt een oppervlakte van ongeveer 2.526 hectare grond. De gemeente Ridderkerk bestaat uit verschillende soorten gebieden, zoals woonwijken, bedrijventerreinen, natuurgebieden, agrarische gronden en recreatieve gronden. Rondom het stedelijk gebied van Ridderkerk ligt een groenblauwe kraag. Deze groene en blauwe gebieden zijn belangrijk voor de flora en fauna en bieden recreatiemogelijkheden voor onze inwoners.

 

De gemeente stimuleert economische groei door ondernemers te ondersteunen en duurzame herontwikkeling van terreinen te bevorderen.

 

In de woonvisie is uitgewerkt hoe Ridderkerk streeft naar behoud van haar dorpse karakter, terwijl het inspeelt op de toenemende vraag naar woningen. De woonvisie richt zich onder andere op nieuwbouwprojecten, vergroenen en het bevorderen van de woonkwaliteit. Er wordt tevens gekeken naar leegstand als kans voor herontwikkeling.

 

Het buitengebied van Ridderkerk bestaat uit fragmenten van drie polders: de Crezéepolder en de polders Oud en Nieuw Reijerwaard. De oude poldergebieden zijn nog steeds te zien in de structuur van het buitengebied. Ons buitengebied is een waardevolle plek waar landbouw, natuur, recreatie en rust samenkomen. Hier kunnen we ontsnappen aan de drukte van het dagelijks leven.

 

3.2 Probleem- en risicoanalyse

Voor de uitvoering van de VTH-taken is het van belang om inzicht te hebben in de problemen en risico’s en kansen binnen de gemeente.

3.2.1 Vergunningverlening

Vergunningverlening richt zich op het beoordelen van aanvragen en initiatiefvoorstellen (waaronder conceptverzoeken) in het kader van de Omgevingswet. Het doel is om binnen de daarvoor geldende wettelijke termijnen tot een zorgvuldig, goed gemotiveerd besluit te komen. Daarmee draagt vergunningverlening bij aan een veilige, gezonde en duurzame fysieke leefomgeving.

 

De gemeente handelt conform de eisen uit afdeling 18.3 van de Omgevingswet en afdeling 13.2 van het Omgevingsbesluit. Deze regels vereisen dat voor VTH voldoende capaciteit, deskundigheid en kwaliteit aanwezig is. De uitvoering sluit aan bij de landelijke Kwaliteitscriteria VTH 3.0, die sinds 1 januari 2025 van kracht zijn.

 

De gemeente werkt met een risicogerichte werkwijze. Dit betekent dat aanvragen worden gewogen op basis van complexiteit, impact op de fysieke leefomgeving en potentiële risico’s. Hoog risico-aanvragen vereisen een uitgebreide beoordeling. Door onderscheid te maken in verschillende type aanvragen zorgen we voor een efficiënte inzet van mensen en middelen. Daarnaast waarborgen we hiermee dat besluitvorming plaatstvindt binnen de gestelde termijnen.

 

De gemeente legt jaarlijks verantwoording af over de inzet, prestaties en kwaliteit van de VTH-taken via de VTH-jaarstukken. Deze jaarstukken vormen tevens de basis voor bijsturing en voortgangsmonitoring.

 

Risico’s binnen het vergunningverleningsproces

Ondanks een efficiënte werkwijze en naleving van de geldende wet- en regelgeving zijn er factoren die het proces kunnen beïnvloeden:

 

  • toename van bezwaar- en beroepsprocedures;

  • strikte wettelijke beslistermijnen;

  • uitvoerbaarheid en handhaafbaarheid van vergunningsvoorschriften;

  • maatschappelijke weerstand tegen ruimtelijke besluiten.

Om deze risico’s te beperken, worden aanvragen beoordeeld op juridische houdbaarheid, uitvoerbaarheid en maatschappelijke consequenties. Elk besluit wordt zorgvuldig afgewogen, met oog voor rechtszekerheid en bestuurlijke legitimiteit.

 

3.2.2. Toezicht en handhaving

Toezicht en handhaving zijn cruciaal binnen de gemeente en richten zich op de naleving van wet- en regelgeving. Het doel is het bewaken en herstellen van een veilige, gezonde en leefbare omgeving door te controleren of vergunningen, voorschriften en algemene regels worden nageleefd. Waar nodig worden corrigerende maatregelen getroffen om overtredingen te beëindigen en herhaling te voorkomen.

 

Gemeenten hebben een beginselplicht tot handhaving, wat betekent dat zij bij de constatering van een overtreding handhaven, tenzij er zwaarwegende redenen zijn om dit niet te doen. Tegelijkertijd is het niet mogelijk om alle overtredingen te constateren. Daarom hanteren we een risicogerichte aanpak, waarbij toezicht en handhaving worden afgestemd op de aard en ernst van mogelijke overtredingen.

 

De manier van toezicht en handhaving is afhankelijk van verschillende factoren, waaronder:

 

  • -

    de medewerking en het naleefgedrag van de betrokken partijen;

  • -

    maatschappelijke en bestuurlijke relevantie;

  • -

    ernst en herhaling van overtredingen;

  • -

    handhaafbaarheid van regelgeving.

Om naleving te bevorderen, zetten we niet alleen in op handhaving, maar ook op preventie en gedragsbeïnvloeding zoals waarschuwingen of gesprekken. Wanneer handhaving nodig is, wordt stapsgewijs opgetreden: van waarschuwen, een last onder dwangsom tot bestuursdwang of een bestuurlijke boete.

 

Risico’s binnen toezicht en handhaving

Binnen toezicht en handhaving kunnen diverse risico’s optreden die van invloed zijn op het werk. In de bijlage is onze risicomatrix bijgevoegd. Door middel van een risico gestuurde aanpak, streven we naar een effectieve inzet van toezicht en handhaving, dit draagt bij aan een veilige en leefbare omgeving en zorgt ervoor dat de beschikbare capaciteit zo efficiënt mogelijk wordt ingezet.

Het toezicht op meldingen voor brandveilig gebruik van bouwwerken en gebruiksmeldingen vindt plaats door de VRR. De vastgestelde prioriteiten zijn opgenomen in de afspraken met de VRR en ons jaarlijkse uitvoeringsprogramma.

 

3.3 Doelstellingen

3.3.1 Vergunningverlening

Vergunningverlening streeft naar tijdige, correcte en integrale besluitvorming, met de volgende doelen als uitgangspunt:

 

  • -

    efficiënte en zorgvuldige besluitvorming binnen wettelijke termijnen;

  • -

    bescherming en verbetering van de fysieke leefomgeving;

  • -

    een servicegerichte mentaliteit;

  • -

    proactief meedenken.

3.3.2 Toezicht en handhaving

Met het handhaven van de wet- en regelgeving willen wij bereiken dat de regels worden nageleefd. Zo voorkomen we risico’s die voortkomen uit het niet-handhaven. Daarnaast zorgen we voor een veilige, leefbare, gezonde en duurzame leef-, woon- en werkomgeving voor burgers en bedrijven. Vanuit handhaving streven we de volgende doelen na:

 

  • -

    naleving van de wet- en regelgeving;

  • -

    inperken van (veiligheids) risico’s;

  • -

    een veilige, gezonden en aantrekkelijke fysieke leefomgeving.

4. VTH-prioriteiten en strategieën

Het stellen van prioriteiten is noodzakelijk om op een doelgerichte en transparante manier invulling te geven aan onze VTH-taken. De gemeente Ridderkerk maakt daarin bewuste keuzes voor vergunningverlening, toezicht en handhaving, op basis van risico’s, maatschappelijke impact en wettelijke kaders.

 

De prioriteiten voor toezicht en handhaving worden via een matrix vastgesteld, waarbij we ons baseren op inzichten uit het werkveld. Hierbij houden we rekening met relevante thema’s, risico’s van niet-naleving en de frequentie waarmee iets voorkomt. Dit beleidsplan maakt duidelijk welke afwegingen zijn gemaakt en hoe we onze capaciteit en financiële middelen zo effectief mogelijk inzetten om de gewenste resultaten te bereiken.

 

4.1 Prioriteiten

Wij hebben prioriteiten vastgesteld voor zowel toezicht, handhaving als vergunningverlening. Hierdoor pakken we onderwerpen met hoge prioriteit met voorrang op, terwijl onderwerpen met een lagere prioriteit beperkt of later worden behandeld.

 

Indien wordt afgeweken van de prioritering, wordt hierover gerapporteerd in het jaarverslag. Tevens kunnen in het uitvoeringsprogramma keuzes worden gemaakt om af te wijken van de prioritering voor het aankomende jaar.

4.1.1 Prioriteiten vergunningverlening

Binnen de vergunningverlening ligt de prioriteit bij het vroegtijdig in gesprek gaan met initiatiefnemers via een vooroverleg. Dit vooroverleg biedt de mogelijkheid om samen te verkennen wat binnen de geldende kaders mogelijk is, zodat al in een vroeg stadium helderheid ontstaat over het plan, de vereisten en het standpunt van de gemeente.

 

Deze aanpak draagt bij aan een efficiënter vergunningproces. Door vroegtijdige afstemming sluiten aanvragen beter aan op de regelgeving en kan de behandeltermijn vaker binnen de wettelijke kaders worden gewaarborgd. Daarnaast verbetert het de voorspelbaarheid en kwaliteit van besluitvorming en voorkomt het onnodige vertraging of aanpassing in een later stadium.

 

Voor eenvoudige aanvragen, zoals dakkapellen of aanbouwen, onderzoeken we mogelijkheden om procedures te versnellen of te vereenvoudigen, bijvoorbeeld via standaardregels of (deels) geautomatiseerde afhandeling. Ook bij deze aanvragen streven we naar duidelijke communicatie en een voorspelbaar proces.

 

Met deze werkwijze geven we invulling aan een servicegerichte en zorgvuldige vergunningverlening die aansluit op de behoeften van inwoners, ondernemers en maatschappelijke instellingen.

4.1.2 Prioriteiten handhaving

Prioriteiten worden gesteld op basis van de risicoanalyse in de bijlage. In deze risicoanalyse is onderscheid gemaakt tussen hoog-, midden- en laagrisico-overtredingen. Overtredingen worden op basis van kans en effect geclassificeerd en geprioriteerd als hoog, gemiddeld of laag risico.

 

Gelet op het algemeen belang dat gediend is met handhaving, zal bij een overtreding van een wettelijk voorschrift het bevoegd bestuursorgaan in beginsel gebruikmaken van zijn handhavingsbevoegdheid. Dit kan door het opleggen van een last onder bestuursdwang of een dwangsom. Alleen onder bijzondere omstandigheden mag het bestuursorgaan hiervan afzien. Dit kan het geval zijn als er concreet zicht is op legalisatie of wanneer handhavend optreden in een specifieke situatie onevenredig zwaar is in verhouding tot het belang dat daarmee wordt gediend.

 

Naast ons toezicht en handhavingsbeleid, biedt de gemeente Ridderkerk ook ruimte voor signalen van inwoners en bedrijven. Zij kunnen een formeel verzoek tot handhaving indienen op grond van de Algemene wet bestuursrecht. Deze verzoeken worden beoordeeld aan de hand van dezelfde uitgangspunten als genoemd in dit beleid.

 

 

4.2 Strategieën

In ons VTH-beleid maken wij onderscheid tussen verschillende strategieën.

4.2.1 Preventiestrategie

De preventiestrategie richt zich op het voorkomen van aantasting van de leefomgeving of het ontstaan van risico’s. Dit doen we door voorlichting te geven en helder te communiceren over de regels waaraan inwoners en bedrijven zich moeten houden.

 

Door heldere communicatie over geldende regels stimuleren wij naleving door inwoners en bedrijven. Via onze website en informatieavonden bij actuele onderwerpen geven wij op een informele en toegankelijke manier voorlichting aan inwoners en bedrijven.

4.2.2 Toezichtstrategie

In de bijlage is onze toezichtstrategie opgenomen. In onze toezichtstrategie worden de uitvoeringsvormen en bijbehorende werkwijze beschreven. Ook wordt hierin toegelicht hoe de afstemming tussen handhavingspartners is georganiseerd.

4.2.3 Sanctiestrategie

De sanctiestrategie in de bijlage bevat een stappenplan voor het optreden bij overtredingen waarvoor legalisatie niet meer mogelijk is. Hierin staat welke strategie kan worden toegepast bij een overtreding. Hierbij wordt ook gekeken of bestuursrechtelijk en/of strafrechtelijk gehandhaafd kan worden. De afweging wordt gemaakt op basis van de ernst en het effect van de overtreding.

 

In onze sanctiestrategie wordt zoveel mogelijk aansluiting gezocht bij de Landelijke Handhaving strategie Omgevingswet (LHSO). Deze landelijke strategie bevordert uniforme en proportionele handhaving door bestuursorganen. De LHSO is een beleidskader voor de handhaving op zowel bestuursrechtelijk als strafrechtelijk gebied. Het doel van deze strategie is de naleving van de beginselplicht tot handhaving te waarborgen, adequaat optreden bij overtredingen, het maken van vergelijkbare keuzes in vergelijkbare situaties en het op consistente wijze kiezen en toepassen van interventies.

4.2.4 Gedoogstrategie

De gemeente Ridderkerk voert in beginsel geen actief gedoogbeleid. Een gedoogbeschikking biedt immers geen formele rechtszekerheid aan belanghebbenden. Alleen in uitzonderlijke situaties kan worden overwogen om een gedoogbeschikking af te geven. In dat geval wordt deze voorzien van een duidelijke motivering en wordt gemotiveerd waarom wordt afgeweken van het vastgestelde beleid.

 

Deze lijn is in overeenstemming met jurisprudentie van de Afdeling bestuursrechtspraak van de Raad van State (2019), waarin is vastgesteld dat een schriftelijke gedoogbeslissing in beginsel geen besluit is in de zin van de Algemene wet bestuursrecht. Dit betekent dat daartegen geen bezwaar of beroep kan worden ingesteld.

 

Het komt voor dat wij overtredingen met een lage prioriteit constateren. Wanneer directe handhaving niet passend is wordt een waarschuwingsbrief verstuurd. Daarin wijzen wij de overtreder op de geconstateerde overtreding en behouden wij ons het recht voor om in de toepkomst handhavend op te treden.

4.2.5 Overige strategieën

Wet Goed Verhuurderschap

In juli 2023 is de Wet goed Verhuurderschap in werking getreden. Deze wet bevat algemene regels over wat er onder goed verhuurderschap wordt verstaan. Verhuurders en verhuurbemiddelaars moeten goed verhuren en zich correct gedragen tegenover huurders. Zij mogen bijvoorbeeld niet discrimineren of huurders intimideren. Bovendien moet het voor een huurder duidelijk zijn welke servicekosten hij moet betalen en dat bedrag mag niet te hoog zijn. Als een verhuurder zich niet aan de regels houdt, kan een huurder dit melden via het meldpunt van de gemeente Ridderkerk.

 

Wet kwaliteitsborging

Per 1 januari 2024 is de Wet kwaliteitsborging voor het bouwen (Wkb) in werking getreden. Deze wet beoogt de bouwkwaliteit te verbeteren en wijzigt de gemeentelijke rol in het bouwproces. Voor bouwwerken in gevolgklasse 1, zoals grondgebonden woningen en kleine bedrijfspanden, is de preventieve bouwtechnische toetsing overgegaan naar private kwaliteitsborgers. Gemeenten zijn voortaan verantwoordelijk voor het toetsen van de bouw- en gereedmelding, en blijven toezichthouder op omgevingsveiligheid en naleving van de Omgevingswet.

 

Hoewel dit leidt tot een verandering in de werkzaamheden in de toetsingsfase, ontstaat er extra inzet bij toezicht en handhaving, onder andere door gebrekkige gereedmeldingen en signalen van kwaliteitsborgers. Deze taken vragen om heldere werkprocessen, gerichte monitoring en afstemming binnen de teams.

5. Borging van de kwaliteit

Sinds 2024 zijn de eisen voor VTH opgenomen in de Omgevingswet en het bijbehorende Omgevingsbesluit. Daarmee is de vroegere Wet VTH geïntegreerd in de nieuwe wetgevingsstructuur.

 

Deze regels stellen kwaliteitseisen aan de uitvoering van VTH-taken, zodat een professionele, betrouwbare en zorgvuldige werkwijze wordt geborgd. De kwaliteit van de uitvoering wordt geborgd door te voldoen aan de geldende landelijke kwaliteitscriteria VTH 3.0, die sinds 1 januari 2025 van kracht zijn. Deze criteria hebben betrekking op capaciteit, deskundigheid, werkprocessen en organisatorische inbedding.

 

Als gemeente stellen wij jaarlijks een uitvoeringsprogramma VTH op en brengen wij de resultaten in beeld via het VTH-jaarverslag. Hiermee geven wij invulling aan onze verantwoordingsplicht en kunnen wij gericht bijsturen op kwaliteit en effectiviteit.

 

5.1 Uitvoeringsprogramma

Het bevoegd gezag stelt jaarlijks een uitvoeringsprogramma vast. Dit programma maakt inzichtelijk welke werkzaamheden worden uitgevoerd op het gebied van VTH binnen het fysieke domein. Het uitvoeringsprogramma vertaalt de beleidsdoelstellingen en prioriteiten uit het VTH-beleidsplan naar acties voor het betreffende jaar. Daarbij wordt inzichtelijk gemaakt welke inzet en middelen nodig zijn om deze werkzaamheden uit te voeren.

 

5.2 Jaarverslag

Het bevoegd gezag stelt jaarlijks een jaarverslag vast. In het jaarverslag legt het college verantwoording af over de resultaten van het afgelopen jaar. Er wordt ingegaan op de uitgevoerde activiteiten en de mate waarin de actiepunten uit het uitvoeringsprogramma zijn gerealiseerd en hebben bijgedragen aan de beleidsdoelen. Het college biedt het jaarverslag ter kennisname aan de gemeenteraad aan via een raadsinformatiebrief.

 

5.3 Kwaliteitsvereiste

De landelijke kwaliteitscriteria voor VTH zijn op 1 januari 2025 vernieuwd. Deze criteria zijn essentieel voor een uniforme, transparante en kwalitatief goede uitvoering van de Omgevingswet.

 

In het jaarverslag geven wij aan of we voldoen aan de kwaliteitscriteria en, indien dat niet het geval is, geven wij een toelichting op de afwijking. In dit beleidsplan en het uitvoeringsprogramma stellen we kaders en ambities vast om aan de eisen uit de verordening te voldoen. Concreet betekent dit het volgende:

 

  • De gemeente beschikt over actueel VTH-beleid waarin haar uitvoeringstaken zijn beschreven;

  • De gemeente stelt jaarlijks een uitvoeringsprogramma vast waarin ambities en benodigde inzet worden afgestemd op het beleid;

  • De gemeente stelt jaarlijks een jaarverslag vast waarin wordt geëvalueerd of is voldaan aan de beleidsdoelen, inzet en kwaliteitsnormen;

  • De gemeente rapporteert over het tijdig vaststellen van deze documenten aan de provincie Zuid-Holland in het kader van het interbestuurlijk toezicht op het omgevingsrecht.

Bijlage toelichting risicomatrix

 

In dit hoofdstuk staat een toelichting op de risicomatrix in de bijlage. De matrix helpt om risico’s gestructureerd te beoordelen en onderbouwen en zo te bepalen welke handhavingstaken prioriteit krijgen binnen onze gemeente. Hiermee kunnen we onze capaciteit gericht inzetten en weloverwogen keuzes maken.

 

Opbouw van de matrix

De risicomatrix bestaat uit twee hoofdelementen:

 

  • 1.

    Impactscore per thema

  • 2.

    Kans op overtreding

Dit samen geeft een risicoscore, die bepaalt of een situatie laag, gemiddeld of hoog geprioriteerd wordt.

 

Impactscore

Bij ieder handhavingsthema wordt gekeken wat de mogelijke impact of schade is bij het niet naleven van de regels. We beoordelen de impact middels zes thema’s:

 

  • -

    Fysieke veiligheid: Denk aan instortingsgevaar, brandrisico’s of andere situaties die direct gevaar kunnen opleveren.

  • -

    Sociaal: De invloed op de leefomgeving, op belanghebbende of overlast van de openbare orde.

  • -

    Financieel: Mogelijke financiële schade voor de gemeente of derden, bijvoorbeeld door misgelopen leges of herstelkosten.

  • -

    Natuur en cultuur: Aantasting van waardevolle natuurgebieden, cultuurhistorische gebouwen of monumenten.

  • -

    Gezondheid: Risico’s voor de volksgezondheid, zoals brandveiligheidsproblemen of slechte luchtkwaliteit.

  • -

    Bestuurlijk: Imagoschade, politieke druk of aantasting van de geloofwaardigheid van de overheid.

Voor elk van deze aspecten wordt een score gegeven tussen 0 (geen impact) en 5 (zeer grote impact).Deze scores worden bij elkaar opgeteld en gedeeld door zes, wat leidt tot een gemiddelde impactscore.

 

Kans op overtreding

Naast de impact is het ook belangrijk om in te schatten hoe waarschijnlijk het is dat een overtreding voorkomt. Hiervoor gebruiken we een schaal van 1 (komt bijna nooit voor) tot 5 (komt regelmatig of structureel voor).

 

De inschatting is gebaseerd op:

 

  • Eerdere handhavingsdata en ervaringscijfers;

  • Signalen vanuit toezicht;

  • Klachten en meldingen uit de omgeving.

Risicoscore en prioritering

De risicoscore wordt als volgt berekend:

Risicoscore = Gemiddelde impactscore × Kans op overtreding

Deze risicoscore leidt tot een indeling in een van de volgende prioriteitscategorieën:

 

  • Laag (0 – 3): Incidenteel toezicht, verzoeken om handhaving.

  • Gemiddeld (3 – 6): Gericht toezicht, afhankelijk van capaciteit en urgentie.

  • Hoog (>6): Proactief toezicht, actieve inzet van handhaving.

Door deze risico gestuurde aanpak kijken we binnen onze capaciteit welke keuzes we maken. De matrix zorgt ervoor dat handhaving en toezicht daar plaatsvindt waar de maatschappelijke of fysieke risico’s het grootst zijn.

Bijlagen risicomatrix

 

Handhavingstaak

Fysieke veilig-heid

Sociaal

Financieel

Natuur/Cultuur

Gezondheid

Bestuurlijk

Kans op overtreding

Risico score

Prioriteit

  • 1.

    het bouwen van een bouwwerk in afwijking van een omgevingsvergunning grote bouwwerken (constructieve eisen en brandveiligheid uit het BBL)

4

2

3

2

2

3

3

8

hoog

  • 2.

    het bouwen van een bouwwerk in afwijking van een omgevingsvergunning kleine bouwwerken (constructieve eisen en brandveiligheid uit het BBL)

2

1

1

0

0

2

4

4

gemiddeld

  • 3.

    het bouwen van een bouwwerk in afwijking van een omgevingsvergunning (gebruikseisen en energie-eisen uit het BBL)

1

1

1

0

1

1

2

2

laag

  • 4.

    het bouwen van een bouwwerk in afwijking van een omgevingsvergunning (strijd omgevingsplan, of de algemene regels en aanwijzingen van provincie of Rijk)

0

3

3

3

1

3

2

4,5

gemiddeld

  • 5.

    het bouwen van een bouwwerk in strijd met een omgevingsvergunning (strijd welstandseisen)

0

3

2

3

0

1

2

3

laag

  • 6.

    het bouwen van een bouwwerk zonder omgevingsvergunning; klein bouwwerk

1

2

1

0

0

2

2

2,5

laag

  • 7.

    het bouwen van een bouwwerk zonder omgevingsvergunning; groot bouwwerk

4

3

3

2

1

3

2

5,5

Gemiddeld

  • 8.

    het bouwen van een omgevingsvergunningsvrij bouwwerk met welstandsexces

0

2

2

0

0

2

2

1,8

laag

  • 8.

    het bouwen van een omgevingsvergunningsvrij bouwwerk in strijd met de eisen uit het BBL

2

1

2

0

2

2

3

4,9

gemiddeld

  • 10.

    het plaatsen van reclame-uitingen zonder omgevingsvergunning

0

2

1

0

0

2

3

1,9

laag

  • 11.

    het niet voldoen aan de eisen voor bestaande bouw uit het BBL (constructieve veiligheid en brandveiligheid)

4

3

3

0

3

3

2

6

hoog

  • 12.

    het gebruik in strijd met brandveiligheidsvoorschriften voor bouwwerken voor niet openbaar toegankelijke gebouwen

3

2

2

0

1

2

2

3,5

gemiddeld

  • 13.

    het gebruik in strijd met brandveiligheidsvoorschriften voorbouwwerken met omgevingsvergunning voor brandveilig

x

x

x

x

x

x

x

x

o.b.v. afspraken met de VRR & jaarlijks uitvoeringsprogramma

  • 14.

    het gebruik van gronden en bouwwerken in strijd met het omgevingsplan of voorbereidingsbesluit, zonder omgevingsvergunning

2

3

2

2

1

2

2

5

gemiddeld

  • 15.

    het slopen zonder of in afwijking van een omgevingsvergunning/ melding

3

2

3

3

3

3

2

6

hoog

  • 16.

    het niet op tijd verwijderen van een bouwwerk met tijdelijke omgevingsvergunning

0

2

2

1

1

2

2

2

laag

  • 17.

    het uitvoeren van werkzaamheden of een werk, geen bouwwerk zijnde, zonder omgevingsvergunning op basis van het omgevingsplan of voorbereidingsbesluit

0

2

3

3

0

2

2

3

laag

  • 18.

    het uitvoeren van werkzaamheden of een werk, geen bouwwerk zijnde, op basis van het omgevingsplan of voorbereidingsbesluit, in afwijking van een omgevingsvergunning

1

2

2

2

1

2

2

3

laag

  • 19.

    de staat van erven en terreinen

0

3

1

1

1

2

2

2,5

laag

  • 20.

    het veroorzaken van woonoverlast

0

3

0

0

2

2

3

3

laag

  • 21.

    de staat van een monument in strijd met de eisen van bestaande bouw uit het BBL

3

3

3

3

0

2

2

5

gemiddeld

  • 22.

    de staat van een monument in ernstige mate in strijd met redelijke eisen van welstand (welstandsexces)

0

4

3

3

0

3

2

5

gemiddeld

  • 23.

    het zonder vergunning of in strijd met de vergunning uitvoeren van een werk (omgevingsvergunning voor het aanleggen van een werk)

1

2

2

2

1

2

2

3

laag

  • 24.

    het in gebruik nemen van een bouwwerk zonder een daarvoor benodigde gereed melding en/of volledige verklaring van een daarvoor bevoegde kwaliteitsborger

3

2

3

1

1

3

3

6

hoog

Bijlage: Toezichtstrategie

 

Het college heeft op grond van de Omgevingswet een toezichthoudende taak op het gebied van de fysieke leefomgeving. Het college is hierdoor belast met het toezicht op de naleving en handhaving van de wet- en regelgeving van vergunningen, openbare ruimte en milieu.

 

Toezicht betekent controleren of regels worden nageleefd. De juridische maatregelen die mogelijk worden getroffen tegen geconstateerde overtredingen vallen onder handhaving.

 

In deze toezichtstrategie worden de vormen van uitvoering beschreven die het college heeft en de werkwijze die daarbij wordt toegepast. Ook geeft het aan hoe de afstemming tussen de verschillende handhavingspartijen geregeld is.

 

Er zijn vier vormen van toezicht:

 

  • 1.

    toezicht na het verlenen van een vergunning;

  • 2.

    ad hoc (incidenteel) toezicht na meldingen, klachten en calamiteiten;

  • 3.

    toezicht na een specifiek verzoek tot handhaving;

  • 4.

    projectmatig toezicht.

De Omgevingswet geeft relevante aspecten die een nieuwe invulling moeten geven aan de bovengenoemde strategieën. De toezichtstrategie is opgesteld volgens de nalevingstrategie en geeft invulling aan: (a) brede inzet van capaciteit, (b) integraal toezicht, (c) efficiënt en effectief toezicht en een (d) adequate rapportage.

 

A) Brede inzet van toezichtscapaciteit

 

In dit handhavingsbeleid komen verschillende toezichtstaken naar voren. Er zijn verschillende aanleidingen voor het houden van toezicht:

 

  • -

    Vergunningstoezicht – Controle na verlening van een vergunning.

  • -

    Incidentgericht toezicht – Naar aanleiding van meldingen, klachten of calamiteiten.

  • -

    Handhavingsverzoeken – Op verzoek van derden.

  • -

    Projectmatig toezicht – Gericht op specifieke thema’s (bijv. energielabels, monumenten, veiligheid).

De Omgevingswet en Wkb hebben toezicht verder gestructureerd en afgestemd op risicogericht en efficiënt werken.

 

Voor de wijze waarop toezichtscapaciteit ingezet kan worden zal het college het volgende hanteren:

 

  • -

    Fysieke controles bij bouw-, sloop- en aanlegwerkzaamheden (met of zonder vergunning).

  • -

    Controle op meldingen (o.a. afwijkingen in private kwaliteitsborging onder de Wkb).

  • -

    Integrale controles op bouw en brandveiligheid.

  • -

    Afhandeling van klachten en handhavingsverzoeken.

  • -

    Opsporing van illegale situaties door actieve signalering.

  • -

    Projectmatig toezicht (bijv. monumenten, energielabels, veiligheidscontroles).

Reguliere controles zullen het grootste gedeelte van de capaciteit innemen. Afhankelijk van de aard en het risico van de betreffende activiteit, kan een afweging worden gemaakt hoe de capaciteit ingezet wordt. De keuzes worden gemotiveerd in ons uitvoeringsprogramma.

 

Naast capaciteit voor reguliere controles dient er capaciteit ingezet te worden voor het behandelen van meldingen, klachten en handhavingsverzoeken. Ook is het belangrijk dat er capaciteit wordt ingezet voor de opsporing van illegale situaties. De vierde vorm van het inzetten van toezichtscapaciteit is projectmatig. Per project kunnen de doelstellingen en prioriteiten bepaald worden. Hierdoor kan er efficiënter gewerkt worden.

 

Toezichtsgebieden

Verschillende toezichtsgebieden vragen om verschillende vormen van toezicht. Het controleren van een verleende vergunning voor een woning (bouwen) is heel wat anders dan het toezicht houden op een nieuwe bedrijfshal. Aan de hand van de prioriteitenlijst van het handhavingsbeleid is er onderscheid gemaakt tussen de volgende 8 toezichtsgebieden:

 

  • 1.

    toezicht op verleende omgevingsvergunningen voor de omgevingsplanactivteit (OPA) of buitenplanse omgevingsplanactiviteit (BOPA);

  • 2.

    toezicht op verleende omgevingsvergunningen voor de activiteit bouwen; of controle n.a.v. afwijkingen bij meldingen private kwaliteitsborging onder de Wkb;

  • 3.

    toezicht op constructieve veiligheid en brandveiligheid in de gebruiksfase;

  • 4.

    toezicht op monumenten;

  • 5.

    toezicht op slopen, kappen, inritten en reclame;

  • 6.

    incidenteel toezicht (o.a. bij vergunningsvrij bouwen);

  • 7.

    toezicht op technische onderdelen voortkomend uit de APV, m.n. constructieve veiligheid bij evenementen;

  • 8.

    preventief toezicht op milieubelastende activiteiten.

Toezicht op verleende omgevingsvergunningen voor de binnenplanse omgevingsplanactivteit (OPA) of buitenplanse omgevingsplanactiviteit (BOPA)

Een binnenplanse omgevingsplanactiviteit is een activiteit die voldoet aan de regels in het omgevingsplan, maar waar toch een vergunningplicht voor geldt. Denk hierbij aan de activiteit bouwen (ruimtelijk), het kappen van een boom of het aanpassen van een monument. Een buitenplanse omgevingsplanactiviteit is een activiteit die niet voldoet aan de regels van het omgevingsplan en ook niet vergunningvrij is.

 

Toezicht op verleende omgevingsvergunning voor de activiteit bouwen

Het gaat hier om toezicht op het naleven van de voorschriften van een verleende omgevingsvergunning voor de activiteit bouwen. Hierbij wordt onder andere gecontroleerd op voorschriften uit het besluit bouwwerken leefomgeving en voorschriften in de omgevingsvergunning die daarop gebaseerd zijn.

 

Het is van belang dat er voorafgaand aan en tijdens het bouwen gecontroleerd wordt of gebouwd wordt volgens de omgevingsvergunning. Tijdens de uitvoeringsfase wordt op locatie gecontroleerd op de vereiste technische voorschriften. De controlefrequentie wordt bepaald door de aard van het bouwwerk, de beschikbare capaciteit en de prioriteit die aan de controle wordt gegeven.

 

Controle n.a.v. afwijkingen bij meldingen private kwaliteitsborging onder de Wkb

De Wkb betekent een groot aantal veranderingen in het toezicht en de handhaving bij bouwactiviteiten. De gemeente blijft verantwoordelijk voor het toezicht op de bestaande bouw, bouw- en sloopveiligheid en blijft het bevoegd gezag voor het bouwdomein. Bouwtoezicht voor gevolgklasse 1 bouwwerken wordt echter primair belegd bij private kwaliteitsborgers.

 

De gemeente toetst niet meer inhoudelijk aan bouwtechnische voorschriften, maar controleert of de opdrachtgever werkt met een toegelaten, bij de bouwactiviteit passend instrument en een onafhankelijke kwaliteitsborger. Ook controleert de gemeente of alle specifieke risico’s voor dat bouwwerk in de risicobeoordeling in kaart zijn gebracht en in het borgingsplan zijn vastgelegd. Mocht toezicht en handhaving noodzakelijk zijn, dan biedt de Wkb in aanvulling op de Algemene wet bestuursrecht verschillende handvatten om te kunnen beschikken over de noodzakelijke informatie.

 

Bij een onvolledige bouwmelding is juridisch geen sprake van een melding. De gemeente geeft aan de melder aan dat hij geen melding heeft gedaan, dat er gegevens ontbreken en ook welke. Als de melding vervolgens compleet wordt ingediend, is de melding op dat moment gedaan en gaat de termijn van vier weken lopen. Datzelfde geldt bij een onvolledige gereedmelding. Als die onvolledig is, is hij niet gedaan. Als de gereedmelding vervolgens compleet wordt ingediend, is de melding alsnog op dat moment gedaan. Een mededeling dat een melding niet aan de eisen voldoet (en dus onvolledig is), moet uiteraard wel binnen de termijn van vier weken worden gedaan.

 

Toezicht op brandveiligheid en constructieve veiligheid in de gebruiksfase

Het gaat hier om periodiek toezicht op algemene voorschriften van brandveiligheid van bestaande bouwwerken. Hier wordt samen met de VRR op de locatie gecontroleerd op de kwaliteit en veiligheid van de bouwwerken voor brandgevaar. Onder toezicht op brandveiligheid valt ook controle op de constructieve veiligheid bij bijvoorbeeld interne verbouwingen bij bestaande bouw. Ook kan op projectmatige basis toezicht worden gehouden op de constructieve veiligheid van bijvoorbeeld panden op een bedrijventerrein (bestaande bouw). Het doel van dit toezicht is voorkomen dat schade wordt geleden door onveilige situaties.

 

Toezicht op gemeentelijke monumenten

Hier wordt voornamelijk gecontroleerd op het naleven van de voorschriften van een omgevingsvergunning voor het wijzigen van een monument. Door hierop toezicht te houden wordt geprobeerd verloedering of verandering van monumentale waarden te voorkomen.

 

Toezicht op slopen

Het gaat hier om het naleven van de voorschriften voor sloopactiviteiten zonder asbestcomponent. Tijdens de sloopfase wordt op de locatie gecontroleerd of echt volgens de voorschriften wordt gesloopt. Daarnaast wordt gecontroleerd op het slopen zonder de benodigde melding vooraf. Na melding van sloopwerkzaamheden kunnen vanuit de gemeente voorwaarden worden verbonden aan de sloop, bijvoorbeeld met betrekking tot afvalscheiding, veiligheid en beperking van hinder.

 

Incidenteel toezicht (o.a. bij vergunningsvrij bouwen)

Het gaat hier om controles naar aanleiding van klachten (signalen) en meldingen door toezichtpartners of anderen. Het college neemt naar aanleiding van een klacht of melding actie om het voorval, de overlast of overtreding te onderzoeken en indien nodig op te lossen. De mate waarin actie wordt ondernomen hangt af van de aard en de gestelde prioriteit van de betreffende activiteit, klacht of melding.

 

Toezicht op de Algemene Plaatselijke Verordening (APV)

Voor een aantal regels in de APV geldt een omgevingsvergunningplicht. Bij toezicht op onderwerpen van de APV die raakvlakken hebben met ruimtelijke ordening en constructieve veiligheid ligt de nadruk bij controle op de zaken waarbij risico’s aanwezig kunnen zijn voor de veiligheid van burgers en/of de leefbaarheid van de omgeving. Toezicht vindt plaats naar aanleiding van verleende omgevingsvergunningen of meldingen door anderen.

 

Toezicht op milieubelastende activiteiten

Het college heeft het toezicht op milieu uitbesteed aan DCMR Milieudienst Rijnmond (DCMR). Voor de toezicht strategieën van de DCMR verwijzen wij naar de daarvoor relevante beleidsstukken.

 

B) Integraal toezicht

 

Afstemming handhavingspartners

Uitgangspunt van de Omgevingswet is integraal toezicht. De wet verplicht het college het toezicht af te stemmen met andere betrokken handhavingspartners. Bij het afstemmen van toezicht gaat het om wanneer, wat en waar gecontroleerd moet worden.

 

Toezicht vindt hier plaats door de faseringsketen. De faseringsketen beschrijft de verschillende fasen van een activiteit. De keten kent de volgende fasen: de planfase, realisatiefase, gebruiksfase en sloopfase. De bedoeling is dat per fase toezicht wordt gehouden door een toezichthouder. De overgangen tussen de fasen vormen belangrijke momenten voor afstemming. Deze afstemming kan belangrijk zijn voor zaken die in een andere fase aan de orde komen.

 

Het college hanteert voor de uitvoering van integrale controles twee modellen:

 

  • -

    controleren met elkaar: vooral in situaties die complexer zijn of een hogere bestuurlijke prioriteit hebben, zal vanuit bouw, milieu, (brand)veiligheid en andere beleidsvelden gezamenlijk een integrale controle worden uitgevoerd. Een voorbeeld hiervan is het toezicht op constructieve veiligheid en brandveiligheid;

  • -

    signaleren voor elkaar: de toezichthouder neemt tijdens de inspectie punten van andere beleidsvelden mee. Een toezichthouder milieu kan bijvoorbeeld in een buitengebied ook letten op situaties op het gebied van ruimtelijke ordening, bouwen etc.

Periodiek vindt er integraal handhavingsoverleg plaats. Bij dit overleg zijn vertegenwoordigers van onze gemeente, de DCMR, de VRR en, indien gewenst, andere partners (politie, Waterschap) aanwezig. Tijdens dit overleg worden bepaalde handhavingszaken besproken en wordt een gezamenlijke aanpak afgestemd.

 

Onafhankelijkheid van eigen organisatie

Goed handhaven vraagt om een functionele scheiding tussen vergunningverlening en handhaving. Op die manier kan niet dezelfde persoon een vergunning verlenen en deze controleren op regelnaleving. In onze gemeente is deze functionele scheiding volledig gerealiseerd.

 

De inspecteur heeft, binnen de door het bestuur en leidinggevende gegeven werkinstructies, een onafhankelijke rol in het aanpakken van overtredingen van de eigen organisatie (bijvoorbeeld gemeentelijke bouw- en sloopprojecten). Hierin wordt niet anders opgetreden dan als de overtreding door een externe partij wordt begaan.

 

Borging processen

De handhavingsprocessen moeten worden geborgd. De processen voor een last onder dwangsom of een last onder bestuursdwang zijn opgenomen en beschreven in dit handhavingsbeleidsplan. Daarnaast zijn de verschillende werkprocessen voor handhaving beschreven. Het toezichtprotocol is gebruikt om het proces voor toezicht te borgen in Rx-mission. Afstemming met de handhavingspartners is opgenomen in de processen. Hierdoor wordt integraal toezicht geborgd.

 

C) Efficiënt en effectief toezicht

 

Door de juiste toezichtsmiddelen in te zetten om de gestelde doelen te bereiken, probeert de gemeente te zorgen voor minder overlast van toezicht bij de burgers en bedrijven. Voor het houden van toezicht zal de controlefrequentie afgestemd worden op het risico van de activiteit, de aard van de inrichting of van het bouwwerk. Ook zal het tijdstip van de controles afgewogen worden om het doel te bereiken.

 

Toezichtsprotocol

Het “integraal Toezicht Protocol (iTP)” wordt toegepast. Het integraal Toezicht Protocol is een gezamenlijk product van de Vereniging Bouw- en Woningtoezicht Nederland, Platform milieuhandhaving grote gemeenten en Brandweer Nederland (voorheen de Nederlandse vereniging voor Brandweerzorg en Rampenbestrijding). Het integraal Toezichtprotocol wordt door de Rijksoverheid ondersteund en geaccepteerd als landelijk standaard hulpmiddel bij de uitvoering van het omgevingstoezicht.

 

De inspecteurs moeten inhoudelijk goed op de hoogte zijn van die diepgang en daarnaar handelen. Ook het minimaal aantal vereiste bezoeken en in welk stadium van het bouwproces deze kunnen plaatsvinden, liggen per categorie bouwwerk vast.

 

Het toezichtsprotocol bevat:

 

  • -

    een categorie-indeling waarbij de bouwprojecten worden onderverdeeld in verschillende categorieën op basis van soort en omvang;

  • -

    een toezichtmatrix waarin tijdstip en diepgang van de controle per bouwfase worden aangegeven;

  • -

    een werkinstructie met een checklist waarin de te controleren onderdelen worden aangegeven;

  • -

    een richtlijn waarin gedetailleerd de technische eisen worden vermeld waaraan een onderdeel moet voldoen.

In het systeem kunnen gegevens die door toezicht en bij handhaving worden verkregen, worden geregistreerd en kan de voortgang van de handhavingszaken worden bewaakt. Hierdoor kan managementinformatie worden verkregen en kunnen de resultaten en de voortgang van het uitvoeringsprogramma worden bewaakt.

 

D) Adequate rapportage

 

De rapportage geeft inzicht in de bevindingen van de toezichthouders. Ook staat in het rapport wat wordt gedaan nadat een overtreding is geconstateerd. De toezichthouders zullen periodiek rapportages opstellen over de voorgenomen activiteit, de uitvoering en de naleving daarvan. Dit draagt bij aan dossiervorming voor de bestuursrechtelijke vervolgprocedure.

 

Voor het maken van de rapportage kan gebruik worden gemaakt van een standaarddocument. Dit document is opgenomen in het geautomatiseerde systeem waarmee bij toezicht en handhaving wordt gewerkt. Hoe uitgebreid er gerapporteerd wordt, is afhankelijk van de aard van het inspectiebezoek en de geconstateerde overtreding(en). De rapportage kan variëren van een aantekening in het systeem tot een uitgebreide schriftelijke rapportage met fotomateriaal.

 

De rapportage omvat informatie zoals in de Wet open overheid (Woo) wordt bedoeld. Een rapportage moet in elk geval de volgende onderdelen bevatten: algemene gegevens van het toezichtbezoek, de (contact)persoon waarmee gesproken is, de bevindingen, advies over handhaving, de gemaakte afspraken en eventueel of er een vervolgbezoek nodig is.

 

Alleen als er overtredingen geconstateerd zijn, zal dit per brief aan de betrokkene bekend worden gemaakt. Worden er geen overtredingen geconstateerd, dan wordt dit mondeling meegedeeld aan de contactpersoon of -personen. Het kan zijn dat niet altijd direct kan worden opgetreden tegen overtredingen. Als dat het geval is, kan de toezichthouder een zogenaamde waarschuwingsbrief sturen. In deze brief wordt aan de overtreder meegedeeld dat er een overtreding is geconstateerd en aangegeven dat een handhavingstraject zal worden opgestart.

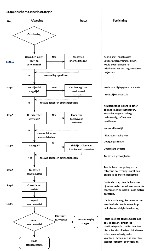
Bijlage: Sanctiestrategie

 

Onder de handhavingsstrategie valt ook de sanctiestrategie. In de sanctiestrategie staat een stappenplan dat aangeeft hoe wordt opgetreden tegen een geconstateerde overtreding waarbij legalisatie niet meer mogelijk is. Dit betekent dat met de sanctiestrategie wordt bepaald welke maatregel of straf wordt opgelegd als er een overtreding is geconstateerd. Hierbij wordt ook gekeken of bestuursrechtelijk en/of strafrechtelijk gehandhaafd kan worden. De afweging wordt gedaan op basis van de ernst en het effect van de overtreding.

 

De wet zegt dat van de overheid verwacht mag worden dat zij handhavend optreedt tegen geconstateerde overtredingen. Het is echter niet mogelijk tegen alle overtredingen handhavend op te treden. Handhavend optreden kan bijvoorbeeld onevenredig zijn. Hiervoor is deze strategie opgesteld. De strategie helpt om effectief te handhaven en daarbij rekening te houden met de beperkingen en prioriteiten van de gemeente en de omstandigheden van het geval.

 

In de sanctiestrategie wordt bij elke omstandigheid het volgende getoetst:

 

  • -

    de bevoegdheid van het bestuursorgaan om handhavend op te treden;

  • -

    of er na een belangenafweging afgezien kan/mag worden van handhaving;

  • -

    of handhavend optreden in verhouding staat tot het belang om de regels na te leven (onevenredigheid);

  • -

    of er redenen zijn om de overtreding voor een bepaalde termijn toe te staan (te gedogen).

Transparantie

Vooraf is moeilijk vast te stellen welke termijnen en sancties worden aangehouden bij overtredingen. Voor de hoogte van een geldelijke sanctie wordt gekeken naar de (mogelijke) gevolgen van de overtreding voor het milieu, de veiligheid, gezondheid, precedentwerking etc. Ook wordt gekeken naar wat de kosten van het herstellen van de overtreding zouden zijn. De hoogte van een dwangsom ligt over het algemeen hoger dan de herstelkosten om de overtreder te bewegen zelf de overtreding op te heffen.

Om het voor de overtreder zo transparant mogelijk te maken is het noodzakelijk om zowel in de vooraankondiging als in het besluit een duidelijke belangafweging te maken. Ook is het noodzakelijk om duidelijk te motiveren waarom bepaalde termijnen worden aangehouden en waarom bepaalde sancties worden opgelegd.

 

 

Stap 1

Hierbij wordt gekeken naar de overtreding en de doelen en prioriteiten zoals die gesteld zijn in het handhavingsbeleidsplan en het jaarlijks vast te stellen uitvoeringsprogramma. Afhankelijk van de ernst van de overtreding en de gestelde doelen en prioriteiten wordt doorgegaan naar stap 2 of wordt gewacht met het oppakken van de overtreding. Wordt er gewacht, dan gebeurt dat wel met het doel om deze in de toekomst op te pakken.

 

Stap 2

Bij de tweede stap wordt gekeken of het bestuursorgaan wel mag handhaven. Er zijn situaties waaruit blijkt dat het college niet het bestuursorgaan is dat mag handhaven. Ook kan het zijn dat er geen strijd is met de wet. Kortom, mag het bestuursorgaan handhaven?

 

Stap 3

Als het bestuursorgaan bevoegd is te handhaven, moet worden afgewogen of er redenen zijn om van handhavend optreden af te zien. Hierbij wordt een afweging gemaakt tussen het algemeen belang en de belangen van betrokkenen en derden. Bij deze afweging wordt ook gekeken of handhavend optreden in verhouding staat met het belang om wetten en regels na te leven.

 

Stap 4

Hierbij is het uitgangspunt dat er sprake is van een overtreding waar feitelijk en juridisch tegen gehandhaafd kan worden. In deze stap wordt bepaald of er feiten en omstandigheden zijn die dwingen om te handhaven of om van handhaving af te zien of alleen een waarschuwingsbrief te versturen.

 

Stap 5

Stap 5 geeft de formele vormen van interventie aan die volgen op het constateren van een overtreding. Aan de hand van de ernst van de overtreding wordt bepaald in welk “vak” van onderstaande tabel de overtreding het beste geplaatst kan worden. Het vak waar de overtreding in geplaatst kan worden geeft de maatregel aan die opgelegd kan worden.

 

Stap 6 (optioneel)

Het college kan er voor kiezen om voor één of meerdere activiteiten een correctiestap toe te passen. In deze stap wordt bepaald of er verzwarende of verzachtende omstandigheden zijn. Zijn deze aanwezig dan wordt een hokje naar linksonder, linksboven, rechtsboven of rechtsonder opgeschoven.

 

Stap 7

Als alle voorgaande stappen zijn doorlopen kan uit de tabel worden gelezen welke sanctie opgelegd kan worden. Ook kan worden bepaald of strafrechtelijk optreden nodig is. De doorlopen stappen worden transparant vastgelegd. Als de uitkomst van de matrix is dat een bestuurlijke sanctie wordt opgelegd, wordt vervolgens bepaald welke specifieke maatregel wordt ingezet. In de meeste gevallen zal het gaan om het opleggen van een last onder dwangsom, een last onder bestuursdwang of een besluit tot (gedeeltelijke) intrekking van de vergunning.

 

De volgende stap

Wanneer alle stappen zijn doorlopen, wordt bepaald of de sanctie ook echt wordt opgelegd.

 

Afhankelijk van de aard van de overtreding heeft het opleggen van het sanctiemiddel het doel om verdere of een nieuwe overtreding te voorkomen, of om de overtreding ongedaan te maken. Als het ingezette sanctiemiddel niet tot een van deze resultaten leidt, moet een ander/zwaarder sanctiemiddel ingezet worden om voldoende prikkel te geven. Bovendien kunnen er tijdens het handhavingstraject nieuwe feiten en omstandigheden naar voren komen (bijvoorbeeld zienswijzen) die een reden kunnen geven om bepaalde stappen uit de sanctiestrategie opnieuw te doorlopen.

 

Sanctiematrix:

 

 

Uitleg

De handhaver bepaalt in welk segment van de in figuur 1 opgenomen matrix (de basisinterventiematrix) hij zijn bevindingen positioneert door (1) het beoordelen van de gevolgen van de overtreding voor de fysieke leefomgeving, zoals milieu, erfgoed, natuur, water, ruimtelijke ordening, veiligheid, gezondheid e.d., en (2) het typeren van de (vermeende) overtreder. Het stappenplan wordt hieronder per stap toegelicht. Het begrip ‘handhaver’ ziet op iedere functionaris – toezichthouder, opsporingsambtenaar, handhavingsjurist – die binnen de betrokken organisatie (een of meer onderdelen van) het stappenplan doorloopt.

 

Mogelijke gevolgen (1 t/m 4)

De ernst van de overtreding wordt bepaald met een risicoanalyse. Het college heeft hierbij een overzicht gemaakt van categorie 1 tot 4 gevallen.

 

Houding overtreding (a t/m d)

Als het gedrag van de overtreder – om wat voor een reden dan ook – niet goed bepaald kan worden, wordt hiervoor categorie B (onverschillig) gekozen. Als een overtreding bestaat uit meerdere activiteiten en er wordt gekozen één integrale reactie, wordt het hokje gekozen van de activiteit waarbij de ernst van de overtreding het hoogst is.

 

Uitwerking sanctiematrix: Interventiematrix LHSO

Als uitwerking van de sanctiematrix houden we onderstaande interventiematrix aan uit het LHSO. In de matrix worden mogelijke bestuursrechtelijke en strafrechtelijke maatregelen genoemd.

 

Naar boven