Bodemkwaliteitskaart 2024 gemeenten Almere, Dronten, Lelystad, Noordoostpolder, Urk en Zeewolde

Het college van burgemeester en wethouders maken bekend dat zij op 9 januari 2025 het volgende besluit hebben genomen:

 

De provincie-brede Bodemkwaliteitskaart 2024 voor het beheergebied van de gemeente Urk vast te stellen en voor de gemeenten Almere, Dronten, Lelystad, Noordoostpolder en Zeewolde te erkennen als geldig bewijsmiddel voor de kwaliteit van toe te passen grond bij gemeentegrensoverschrijdend grondverzet.

 

Een bodemkwaliteitskaart is een kaart waarop de feitelijke kwaliteit van de bodem is weergegeven in het gebied waarop de kaart betrekking heeft. Door het gezamenlijk vaststellen (iedere gemeente besluit dit voor het eigen grondgebied) van één provincie-brede Bodemkwaliteitskaart wordt uitwisseling van grond over gemeentegrenzen eenvoudiger. De noodzaak van afzonderlijke partijkeuringen is dan vaak niet meer nodig. Het opnieuw gebruiken van grond wordt daardoor makkelijker en voor initiatiefnemers goedkoper.

 

De bodemkwaliteitskaart moet dienen enerzijds als milieuverklaring bodemkwaliteit (bewijsmiddel) van een vrijkomende partij grond uit het beheergebied en anderzijds als verklaring van de bodemkwaliteit voor de kwaliteit van de ontvangende bodem.

 

Tegen deze Bodemkwaliteitskaart is geen bezwaar of beroep mogelijk

 

Bodemkwaliteitskaart 2024

GEMEENTEN ALMERE, DRONTEN, LELYSTAD, NOORDOOSTPOLDER, URK EN ZEEWOLDE

 

14 november 2024

 

 

1 Inleiding

1.1 Aanleiding

Het toepassen van grond en gerijpte baggerspecie valt onder de regelgeving van de Omgevingswet [1] en het Besluit bodemkwaliteit [2]. Hiervoor hebben de gemeenten Almere, Dronten, Lelystad, Noordoostpolder, Urk en Zeewolde (hierna “de gemeenten”) gemeentelijke bodemfunctieklassenkaarten (2019), een provincie-brede bodemkwaliteitskaart (2019) en een nota bodembeheer (2012) [3] opgesteld. Na inwerkingtreding van de Omgevingswet vervalt de nota bodembeheer niet. Een deel van de provincie-brede beleidsregels in de nota bodembeheer is van rechtswege (overgangsrecht) gelijkgesteld aan het tijdelijk deel van het gemeentelijke omgevingsplan. Dit betreft:

  • -

    De gemeentelijke bodemfunctieklassenkaarten.

  • -

    Het provincie-brede gebiedsspecifieke beleid van de gemeenten (maatwerkregels):

    • De in de nota bodembeheer gedefinieerde Lokale Maximale Waarden.

    • De toepassingskaarten (toepassingskaarten op basis van maatwerkregels; voorheen het gebiedsspecifiek kader Besluit bodemkwaliteit (oud)).

    • Het voor bepaalde gebieden stellen van strengere eisen aan de bijmenging van bodemvreemd materiaal (steenachtige materialen en onbewerkt hout).

    • De acceptatie van de geldige bodemkwaliteitskaarten van andere gemeenten als bewijsmiddel voor de chemische kwaliteit van de toe te passen grond; in combinatie met een historisch onderzoek waaruit blijkt dat de grond afkomstig is van een locatie die onderdeel uitmaakt van de kaart.

De afgelopen jaren hebben de gemeenten de regels van de nota bodembeheer omgezet naar beleidsregels die klaar staan om in de gemeentelijke omgevingsplannen te worden opgenomen.

 

Om meerdere redenen hebben de gemeenten de eerder opgestelde provincie-brede bodemkwaliteitskaart geactualiseerd:

  • -

    De in 2019 bestuurlijk vastgestelde provincie-brede bodemkwaliteitskaart verloopt in 2024. De kaart is daarna niet meer geldig en kan niet meer worden gebruikt als bewijsmiddel bij grondverzet (leidt tot extra onderzoekskosten en -tijd).

  • -

    In december 2019 hebben de gemeenten de provincie-brede bodemkwaliteitskaart aangevuld met PFAS-verbindingen. Sinds die tijd zijn veel gegevens over PFAS-verbindingen beschikbaar gekomen. Deze nieuw verkregen gegevens willen de gemeenten gebruiken om de provincie-brede bodemkwaliteitskaart voor PFAS-verbindingen te actualiseren.

  • -

    De gemeenten willen de geldigheidstermijn van beide bodemkwaliteitskaarten synchroniseren.

De eerder opgestelde gemeentelijke bodemfunctieklassenkaarten (2019) zijn meer dan 5 jaar geleden opgesteld. Om de bodemfuncties ‘Industrie’, ‘Wonen’ en ‘Landbouw/natuur’ meer in overeenstemming met de actuele situatie op de kaart weer te geven, hebben de gemeenten hun bodemfunctieklassenkaarten aangepast.

 

1.2 Doelstelling

Doel van het actualiseren van de provincie-brede bodemkwaliteitskaart (2019) is om een actueel en dekkend beeld te krijgen van de te verwachten diffuse chemische bodemkwaliteit in de gemeenten. Achterliggend doel is om gebruik te kunnen blijven maken van de mogelijkheden die het Besluit bodemkwaliteit (hierna ‘het Besluit’) en de Omgevingswet bieden:

  • -

    Als bewijsmiddel voor de chemische kwaliteit van te hergebruiken grond en van de ontvangende bodem dat bij de milieuverklaring bodemkwaliteit kan worden gevoegd (hierdoor hoeven minder partijkeuringen en bodemonderzoeken te worden uitgevoerd wat een kosten- en tijdbesparende factor is bij grondverzet).

  • -

    Als bewijsmiddel voor de chemische kwaliteit bij grondverzet dat bij de milieuverklaring bodemkwaliteit kan worden gevoegd (bijvoorbeeld bij het graven van sleuven of het aanbieden van grond aan een erkend verwerker).

  • -

    Bij het vaststellen van terugsaneerwaarden bij bodemsaneringen.

  • -

    Om onder de Omgevingswet te gebruiken bij de interpretatie van een eindonderzoek bodem na het beëindigen van een bodembedreigende activiteit als geen nulonderzoek bodem is uitgevoerd.

  • -

    Om onder voorwaarden onder de Omgevingswet vrijstelling van bodemonderzoek mogelijk te maken bij omgevingsvergunningsaanvragen (activiteit bouwen en/of activiteit ruimtelijke ontwikkeling). Als uit een vooronderzoek volgens de NEN5725 1 blijkt dat de betreffende locatie onderdeel uitmaakt van de bodemkwaliteitskaart (zie hoofdstuk 4 voor de voorwaarden), kan de bodemkwaliteitskaart worden gebruikt om de kwaliteit van de bodem aan te tonen in plaats van een bodemonderzoek.

Doel van het aanpassen van de gemeentelijke bodemfunctieklassenkaarten (2019) is dat de bodemfuncties ‘Industrie’, ‘Wonen’ en ‘Landbouw/natuur’ meer in overeenstemming met de huidige inrichting en toekomstige ontwikkelplannen op de kaart worden weergegeven.

 

1.3 Leeswijzer

In hoofdstuk 2 staat beschreven hoe de gemeentelijke bodemfunctieklassenkaarten (2019) zijn aangepast. Vervolgens worden in hoofdstuk 3 de werkwijze en resultaten weergegeven van de actualisatie van de provincie-brede bodemkwaliteitskaart (2019) en de provincie-brede gebiedsspecifieke toepassingskaarten (2019) (onder de Omgevingswet “toepassingskaart op basis van maatwerkregels” genoemd). Deze rapportage wordt afgesloten met een samenvatting en conclusies.

 

Een toelichting op de in dit rapport gebruikte begrippen is opgenomen in bijlage 1.

 

1.4 Gebruik bodemfunctieklassenkaarten, bodemkwaliteitskaarten en toepassingskaarten op basis van maatwerkregels (2024)

Met de geactualiseerde gemeentelijke bodemfunctieklassenkaarten, de provincie-brede ontgravingskaarten en toepassingskaarten op basis van algemene regels (voorheen de generieke kaarten) worden de eerder bestuurlijk vastgestelde gemeentelijke bodemfunctieklassenkaarten (2019), de generieke provincie-brede ontgravings- en toepassingskaarten (2019) vervangen (bijlage 4 en de kaartbijlagen 1, 3 en 4 van de bodemkwaliteitskaart 2019).

 

Met de geactualiseerde provincie-brede toepassingskaarten op basis van maatwerkregels (voorheen de gebiedsspecifieke kaarten) worden de provincie-brede gebiedsspecifieke toepassingskaarten (kaartbijlagen 5 van de bodemkwaliteitskaart 2019) vervangen.

2 Bodemfunctieklassenkaart

Op de gemeentelijke bodemfunctieklassenkaarten (zie kaartbijlage 1) worden in overeenstemming met artikel 5.89p Besluit kwaliteit leefomgeving [4] de ligging van gebieden met de (toekomstige) bodemfuncties 'Industrie', 'Wonen' en ‘Landbouw/natuur’ aangegeven.

 

De gemeentelijke bodemfunctieklassenkaarten worden ook gebruikt voor:

  • -

    Het mede bepalen van de eisen waaraan de toe te passen grond moet voldoen (zie ook § 3.7.4). De kwaliteitseis van de toe te passen grond wordt bepaald aan de hand van de vastgestelde bodemkwaliteitsklasse én de (toekomstige) functie van de bodem. Op basis van deze dubbele toets, waarbij de strengste toets doorslaggevend is, wordt voor elke bodemkwaliteitszone de toepassingseis vastgesteld (zie bijlage 1 onder het kopje ‘Toepassingseis kwaliteit toe te passen grond op of in de bodem op basis van algemene regels’).

  • -

    Het vaststellen van terugsaneerwaarden bij bodemsaneringen (artikel 4.1242 Besluit activiteiten leefomgeving [5]).

De eerder vastgestelde gemeentelijke bodemfunctieklassenkaarten (2019) zijn aangepast. Met de aanpassingen zijn de gebieden met de bodemfuncties ‘Industrie’, ‘Wonen’ en ‘Landbouw/natuur’ meer in overeenstemming met de huidige inrichting en toekomstige ontwikkelplannen weergegeven. In tabel 2.1 is de indeling van gebruiksvormen gegeven die in de bodemfunctieklassen ‘Industrie’, ‘Wonen’ en ‘Landbouw/natuur’ vallen. Opgemerkt wordt dat kleinere/ dynamische elementen zoals bijvoorbeeld bermen en individueel aangewezen percelen uit bestemmingsplannen niet volledig op de kaart zijn afgebeeld.

 

Tabel 2.1 Indeling gebruiksvormen in bodemfunctieklassen

Bodemfunctieklasse

Gebruiksvorm

Industrie

  • -

    Rijkswegen en provinciale wegen inclusief de onverharde bermen (tot maximaal 10 meter vanaf de rand van de verharding).

  • -

    Spoorwegen inclusief de onverharde bermen (tot maximaal 10 meter vanaf de rand van de rails).

  • -

    Aangewezen gemeentelijke wegen inclusief de onverharde bermen (tot maximaal 10 meter vanaf de rand van de verharding).

  • -

    (Toekomstige) industrie- en bedrijfsterreinen.

  • -

    Percelen in het buitengebied met de bestemming industrie/(landbouw)bedrijf.

  • -

    Rioolwaterzuiveringsinstallaties.

  • -

    Kassen in de gemeente Noordoostpolder.

Wonen

  • -

    Overig bebouwd gebied niet vallende onder functie industrie.

  • -

    Grondgebonden woningen gelegen op industrieterreinen of op een landbouwbedrijf (voor zover aangewezen in het bestemmingsplan).

  • -

    Alle wegen inclusief de onverharde bermen in de bebouwde kom niet vallende onder de functie industrie.

  • -

    Recreatiewoningen.

  • -

    Percelen in het buitengebied met de bestemming wonen.

  • -

    Begraafplaatsen.

  • -

    Sportvelden en openbaar groen, zoals parken.

Landbouw/natuur

  • -

    Agrarische gebieden.

  • -

    Volkstuin- en moestuincomplexen.

  • -

    Door de provincie en/of de gemeenten aangewezen natuurgebieden.

 

BERMEN

Onder de onverharde wegbermen wordt verstaan de strook grond naast de verharde (klinker- of asfalt)weg. De strook omvat de bodemlaag tot maximaal 0,5 meter diepte, en heeft gerekend vanuit de wegverharding een maximale breedte van 10 meter. De onverharde wegberm wordt begrensd door (zie ook figuur 2.1):

  • -

    de erfgrens of;

  • -

    de meest afgelegen insteek van een droge bermsloot of;

  • -

    de meest nabij gelegen insteek van een natte bermsloot of;

  • -

    als voorgaande niet aanwezig zijn, de overgang naar andere begroeiing (houtopstanden zoals hagen, struiken, bosschages, bos).

Voor wegbermen gelegen in gebieden van het Natuurnetwerk Nederland (NNN, de voormalige Ecologische Hoofdstructuur) geldt voor beide zijden van het wegvak een strook van maximaal 2 meter. Dit in verband met de ecologische functie van de wegbermen. Buiten de aangegeven strook mag in de wegbermen alleen schone grond worden toegepast.

 

Figuur 2.1 Begrenzing wegbermen (bron: brief van het voormalige Ministerie van Verkeer en Waterstaat, Dienst Verkeer en Scheepvaart, kenmerk RWS/DVS‐2009/2932, 19 november 2009).

3 Bodemkwaliteitskaart

De eerder vastgestelde provincie-brede bodemkwaliteitskaart (2019) is geactualiseerd volgens de Handreiking bodemkwaliteitskaarten [6]. Er is gewerkt volgens het in de Handreiking bodemkwaliteitskaarten opgenomen stappenplan. Hieronder zijn de verschillende stappen weergegeven, die in de volgende paragrafen nader worden toegelicht. In de Handreiking bodemkwaliteitskaarten is aangegeven dat de stappen niet chronologisch gevolgd hoeven te worden. Wel is het noodzakelijk dat alle stappen terugkomen in de werkwijze bij het vervaardigen van de bodemkwaliteitskaart.

 

Stap 1: Opstellen programma van eisen (§ 3.1).

Stap 2: Vaststellen onderscheidende gebiedskenmerken (§ 3.2).

Stap 3: Gegevensverzameling en gegevensbewerking (§ 3.3).

Stap 4: Indelen bodembeheergebied in deelgebieden (§ 3.2).

Stap 5: Controle indeling van het bodembeheergebied (§ 3.4).

Stap 6: Verzamelen aanvullende informatie (§ 3.5).

Stap 7: Vaststellen bodemkwaliteitszones. (§ 3.6).

Stap 8: Opstellen kaartlagen (§ 3.7).

 

3.1 Stap 1: Programma van eisen

Voor deze provincie-brede bodemkwaliteitskaart zijn de volgende definities vastgesteld:

  • -

    Het bodembeheergebied van de bodemkwaliteitskaart omvat het gehele grondgebied van de gemeenten Almere, Dronten, Lelystad, Noordoostpolder, Urk en Zeewolde.

  • -

    De bodemkwaliteitskaart wordt opgesteld voor de landbodem voor de bodemlaag vanaf het maaiveld tot en met 2 meter diepte.

  • -

    De volgende locaties en gebieden worden uitgesloten van de bodemkwaliteitskaart:

    Algemeen

    • Rijkswegen, spoorgebonden gronden inclusief de onverharde bermen (andere beheerorganisatie).

    • Provinciale wegen inclusief de onverharde wegbermen binnen de bebouwde kom (andere beheerorganisatie).

    • Wegen met teerhoudend asfalt granulaat (TAG).

    • Spoorgebonden gronden (inclusief de Hanzelijn): een zone van maximaal 11 meter vanuit het hart van het spoor en om emplacementen en grond vallend onder Rail Infra trust en NS Vastgoed.

    • Locaties met, of die verdacht zijn voor, een sterke bodemverontreiniging als gevolg van een lokale bron, zoals bijvoorbeeld:

      • -

        Locaties met een duidelijk aanwijsbare bron voor een eventuele bodemverontreiniging zoals bijvoorbeeld een ondergrondse tank voor de opslag van olie, een chemische wasserij, een ontvettingsbad, een afleverzuil voor brandstof(fen) etc..

      • -

        Locaties waar vanwege (bedrijfs)activiteiten PFAS-verbindingen2 in verhoogde gehalten in de bodem kunnen voorkomen (PFAS producerende3 en verwerkende bedrijven4 , inzet blusschuim5 en secundaire bronnen6 ).

      • -

        (Voormalige) stortplaatsen (alleen voor wat betreft de ontgravingskaart).

    • Gesaneerde locaties in het kader van de Wet bodembescherming (oud) of de Omgevingswet met uitzondering van de multifunctioneel gesaneerde locaties.

    • De bodemlaag dieper dan 2 meter onder het maaiveld.

    • Waterbodems in beheer van de gemeenten.

    • Overige waterbodems: ander bevoegd gezag

      • -

        Rijkswateren: Rijkswaterstaat, met uitzondering van de voormalige drogere oevergebieden7 die waren gedefinieerd en aangewezen in de Waterregeling [7].

      • -

        Overige wateren in beheer van het Waterschap Zuiderzeeland.

    • Het grondwater.

  • Gemeente Lelystad

    • De “Engie-Maxima-centrale” aan de IJsselmeerdijk.

    • Het voormalige werkeiland Lelystad-Haven (alleen voor wat betreft de ontgravingskaart).

    • De voormalige stortplaats aan de Bronsweg (alleen voor wat betreft de ontgravingskaart).

  • Gemeente Urk

    • Oud Urk (geen tot zeer weinig meetgegevens beschikbaar).

    • Natuurgebied Urkerweg (geen tot zeer weinig meetgegevens beschikbaar).

  • -

    De bodemkwaliteitskaart is geactualiseerd voor:

    • Het standaard NEN5740 stoffenpakket: barium (zie bijlage 1 kopje ‘Barium’), cadmium, kobalt, koper, kwik, molybdeen, lood, nikkel, zink, minerale olie en de stofgroepen polychloorbifenylen (PCB) en polycyclische aromatische koolwaterstoffen (PAK). Hierbij zijn de bodemlaag vanaf het maaiveld tot en met 0,5 meter diepte en de bodemlaag vanaf 0,5 tot en met 2 meter.

    • De PFAS-verbindingen8 (incl. GenX). Vanwege het Handelingskader hergebruik PFAS-houdende grond en baggerspecie [8] moet in de te hergebruiken grond of baggerspecie de kwaliteit voor PFAS-verbindingen bekend zijn. Voor de PFAS-verbindingen in de bodemkwaliteitskaart zijn de bodemlaag vanaf het maaiveld tot en met 0,5 meter diepte en de bodemlaag vanaf 0,5 tot en met 1 meter diepte onderscheiden. Deze bodemlagen zijn verdacht voor verhoogde gehalten aan PFAS-verbindingen als gevolg van atmosferische depositie, uitspoeling van PFAS uit de bovenlaag naar de onderliggende bodemlaag en grondroering.

  • -

    De bodemkwaliteitskaart wordt gebaseerd op basis van de beschikbare gegevens uit het bodeminformatiesysteem van de Omgevingsdienst Flevoland & Gooi en Vechtstreek waarin de gemeenten hun bodemgegevens registreren en beheren.

3.2 Stappen 2 en 4: Onderscheidende gebiedskenmerken en indelen bodembeheergebied in deelgebieden

De basis van deze provincie-brede bodemkwaliteitskaart is het identificeren van onderscheidende gebiedskenmerken. Binnen een deelgebied wordt de bodemkwaliteit homogeen verondersteld (vergelijkbare kwaliteit). Op basis van de bodemopbouw, de gebruikshistorie, de ontwikkeling van wijken of gebieden, de geomorfologie en het huidig gebruik wordt een deelgebiedenkaart gedefinieerd. Binnen een deelgebied wordt de bodemkwaliteit homogeen verondersteld (vergelijkbare kwaliteit). Voor deze bodemkwaliteitskaart is in overleg met de Omgevingsdienst Flevoland & Gooi en Vechtstreek (namens de gemeenten) een indeling gemaakt voor de bodemlaag vanaf het maaiveld tot en met 0,5 meter diepte (aangeduid met codering ‘B’), de alleen voor PFAS-verbindingen gedefinieerde tussenlaag (bodemlaag vanaf 0,5 meter tot en met 1 meter diepte; aangeduid met codering ‘T’) en de bodemlaag vanaf 0,5 meter diepte tot en met 2 meter diepte (aangeduid met codering ‘O’). Ook is uitgegaan van de deelgebieden van de eerder opgestelde provincie-brede bodemkwaliteitskaart (2019) [3] (zie ook de kaartbijlagen 2):

  • -

    B1. Overig bebouwd gebied en buitengebied provincie Flevoland.

  • -

    B2. Almere Poort.

  • -

    B3. Almere bedrijventerreinen.

  • -

    B4. Dronten – bebouwd gebied zandophoging.

  • -

    B5. Bermen gemeentelijke wegen NOP 1), bermen provinciale wegen 2) Oostelijk en Zuidelijk Flevoland.

  • -

    B6. Bermen provinciale wegen 2) NOP.

  • -

    B7. Bermen provinciale weg 2) Oostvaardersdijk.

  • -

    B. PFAS bovengrond.

  • -

    T. PFAS tussenlaag.

  • -

    O1. Ondergrond provincie Flevoland.

Codering ‘B’: bodemlaag vanaf het maaiveld tot en met 0,5 meter diepte.

Codering ‘T ’: bodemlaag vanaf 0,5 meter tot en met 1 meter diepte.

Codering ‘O’: bodemlaag vanaf 0,5 meter diepte tot en met 2 meter diepte.

B. PFAS bovengrond: gemeenten Almere, Dronten, Lelystad, Noordoostpolder, Urk en Zeewolde.

T. PFAS tussenlaag: gemeenten Almere, Dronten, Lelystad, Noordoostpolder, Urk en Zeewolde.

  • 1)

    Betreft de bodemlaag 0-0,3 m-mv. De bodemlaag 0,3-0,5 m-mv valt in het omliggende deelgebied: bodemkwaliteitszone B1.

  • 2)

    De grenzen van de provinciale wegen zijn voorzover mogelijk aangepast op basis van de kadastrale perceelsgrenzen.

3.3 Stap 3: Gegevensverzameling en gegevensbewerking

3.3.1 Selecteren beschikbare gegevens

De gegevens voor deze provincie-brede bodemkwaliteitskaart zijn afkomstig uit het bodeminformatiesysteem van de Omgevingsdienst Flevoland & Gooi en Vechtstreek waarin de gemeenten hun bodemgegevens registreren en beheren. De Omgevingsdienst Flevoland & Gooi en Vechtstreek heeft de voor de bodemkwaliteitskaart representatieve en nieuw beschikbaar gekomen bodemonderzoeken geselecteerd. In bijlage 2 staat een overzicht van de onderzoeken die voor de actualisatie van de provincie-brede bodemkwaliteitskaart (2019) zijn gebruikt.

3.3.2 Het samenvoegen van punt- en mengmonsters

De dataset voor deze provincie-brede bodemkwaliteitskaart bestaat uit meng- en puntmonsters met meetgegevens. De landelijke IPO Werkgroep Achtergrondgehalten heeft onderzocht wat de invloed is van het meenemen van zowel punt- als mengmonsters op de berekening van percentielwaarden van de meetgegevens [9]. De resultaten laten zien dat percentielwaarden die zijn gebaseerd op een bestand met meetgegevens van zowel punt- als mengmonsters, vrijwel identiek zijn aan percentielwaarden die zijn gebaseerd op een bestand met meetgegevens van alléén mengmonsters. Er bestaan daarom geen praktische bezwaren tegen het berekenen van de bodemkwaliteit uit een bestand met meetgegevens, afkomstig van zowel punt- als mengmonsters. In dit project zijn de meetgegevens van de mengmonsters éénmaal meegenomen.

3.3.3 Het vervangen van waarden beneden de detectielimiet

Bij analyses komt het vaak voor dat een bepaalde stof in het grond(meng)monster aanwezig is in een concentratie beneden de detectiegrens van de gangbare analyseapparatuur. Hoewel de werkelijke waarde onbekend is (de waarde kan variëren van nul tot de detectielimiet) leveren deze monsters wél waardevolle informatie voor de verwachte gemiddelde bodemkwaliteit in een gebied. Voor deze analyseresultaten is de methode van de Handreiking bodemkwaliteitskaarten gehanteerd. Deze methode houdt in dat de gerapporteerde detectielimieten worden vermenigvuldigd met een factor 0,7 om tot een rekenwaarde te komen.

 

De opgegeven detectielimiet van een bepaalde stof verschilt van rapport tot rapport. Verhoogde detectielimieten komen voor bij verstoringen in de grond(meng)monstermatrix. Daarnaast zijn de detectielimieten in de loop der jaren lager geworden doordat nauwkeuriger analyseapparatuur wordt gebruikt.

3.3.4 Het opsporen van uitbijters

Ondanks dat er representatieve meetgegevens zijn geselecteerd, kan er sprake zijn van uitschieters in de dataset: extreem hoge of lage gehalten als gevolg van bijvoorbeeld typefouten tijdens de invoer, onbetrouwbare analyses of lokale verontreinigingen door lokale bronnen die niet als zodanig in het bodeminformatiesysteem zijn aangegeven. Hierbij worden vaak bij meerdere stoffen in hetzelfde monster relatief hoge gehalten aangetroffen. Per deelgebied en per stof zijn met een visuele methode (scatterplots) extreme gehalten gemarkeerd.

 

Voor de extreme gehalten is nagegaan of deze tot een lokale bron, type- of meetfout zijn te herleiden. In die situaties zijn de analyseresultaten uit de dataset verwijderd of aangepast. In bijlage 3 staat een overzicht van de uiteindelijk verwijderde uitbijters.

 

3.4 Stap 5: Controle indeling van het bodembeheergebied

3.4.1 Aantal en spreiding meetgegevens

De Handreiking bodemkwaliteitskaarten stelt de volgende minimale eisen aan het aantal en de spreiding van meetgegevens per deelgebied:

  • -

    Per deelgebied zijn voor alle stoffen ten minste 20 meetgegevens beschikbaar.

  • -

    De meetgegevens liggen voldoende verspreid over het deelgebied:

    • Voor aaneengesloten deelgebieden bij een systematische indeling in 20 vakken zijn in tenminste 10 vakken één of meer meetgegevens beschikbaar.

    • Voor elk niet-aaneengesloten deel van een deelgebied zijn ten minste 3 meetgegevens beschikbaar.

  • -

    Per beheergebied (het gebied waar de bodemkwaliteitskaart voor wordt opgesteld) moeten minimaal 30 PFAS-meetgegevens beschikbaar zijn per bodemlaag. Hiermee wordt gebruik gemaakt van de systematiek van de Handreiking bodemkwaliteitskaarten voor het uitbreiden van een bodemkwaliteitskaart met de stoffen kobalt, molybdeen en PCB. Deze systematiek mag volgens het Model Beleid toepassen PFAS houdende grond [10] ook voor PFAS-verbindingen worden gebruikt.

Na het samenstellen van de dataset voor de bodemkwaliteitskaart (§ 3.3.1), de voorbewerkingen (§ 3.3.3 en § 3.3.4), blijkt dat de onderscheiden deelgebieden ‘B3. Almere bedrijventerreinen’ en ‘B4. Dronten – Bebouwd gebied zandophoging’ niet voldoen aan de minimumeis die de Handreiking bodemkwaliteitskaarten stelt aan het aantal meetgegevens per niet-aaneengesloten deelgebieden. Het betreft dan de aantal beschikbare meetgegeven voor kobalt, molybdeen en PCB. In de handreiking bodemkwaliteitskaarten zijn voor kobalt, molybdeen en PCB’s onder voorwaarden aparte regels opgenomen. Als deze stoffen niet kwaliteitsklasse bepalend zijn, mogen verschillende bodemkwaliteitszones voor deze stoffen worden samengevoegd. In § 3.4.3 is hier nader op ingegaan.

 

De onderscheiden andere (niet-aaneengesloten) deelgebieden voldoen aan de minimumeisen van de Handreiking bodemkwaliteitskaarten. De onderscheiden PFAS-deelgebieden voldoen aan het Model Beleid toepassen PFAS houdende grond.

3.4.2 Splitsen van deelgebieden

Op stofniveau is bekeken of er een ruimtelijke clustering aanwezig is van hoge of lage gehalten. Op basis van ervaringen van WSP bij andere bodemkwaliteitskaarten is de ruimtelijke clustering onderzocht wanneer zware metalen, minerale olie en PFAS-verbindingen een variatiecoëfficiënt hoger dan 1,5 hebben en de stofgroepen polycyclische aromatische koolwaterstoffen (PAK) en polychloorbifenylen (PCB) een variatiecoëfficiënt hoger dan 2. Een hoge variatiecoëfficiënt is een indicatie van een mogelijke ruimtelijke clustering met hogere of lagere gehalten.

 

De overzichten van de variatiecoëfficiënten staan in bijlage 4A en bijlage 4B (kolom ‘VC’). Hieruit blijkt, dat in alle deelgebieden voor zware metalen, PCB, PAK, minerale olie en/of enkele PFAS-verbindingen sprake is van een hoge variatiecoëfficiënt. De locaties waar de relatief hoge waarden zijn vastgesteld vertonen binnen de deelgebieden zelf geen ruimtelijke clustering. Er zijn daarom geen redenen om deelgebieden te splitsen.

3.4.3 Kobalt, Molybdeen en PCB

Zoals in § 3.4.1 voldoen de deelgebieden ‘B3. Almere bedrijventerreinen’ en ‘B4. Dronten – Bebouwd gebied zandophoging’ niet aan de minimumeisen van de Handreiking bodemkwaliteitskaarten voor niet-aaneengesloten deelgebieden. Het betreft de stoffen kobalt, molybdeen en/of PCB. De Handreiking bodemkwaliteitskaarten stelt dat in geval van dergelijke tekorten, de meetgegevens van verschillende deelgebieden voor deze stoffen mogen worden gecombineerd, mits de stoffen niet bepalend zijn voor de kwaliteitsklasse van de deelgebieden. Voor PCB geldt dit enkel wanneer ook sprake is van een vergelijkbaar gehalte organisch stof (te onderscheiden organisch stof percentages 0-4%, >4-8% en >8%). Voor alle deelgebieden zijn kobalt, en molybdeen en PCB niet (alleen) kwaliteitsklasse bepalend. De meetgegevens voor kobalt, molybdeen en PCB zijn daarom voor de deelgebieden B1 t/m B4 (deelgebieden die niet enkel (weg)bermen bevatten) van de bodemlaag 0-0,5 m-mv gecombineerd.

 

3.5 Stap 6: Verzamelen aanvullende informatie en vaststellen definitieve deelgebieden en bodemkwaliteitszones

Stap 6 ‘Verzamelen aanvullende informatie’ is niet uitgevoerd. Na het combineren van de kobalt-, molybdeen- en PCB-gehalten van de deelgebieden B1 t/m B4 (zie § 3.4.3), voldoen alle onderscheiden deelgebieden aan de minimumeisen van de Handreiking bodemkwaliteitskaarten. Alle deelgebieden worden daarom definitief vastgesteld. De definitieve deelgebieden worden de bodemkwaliteitszones van de gemeenten. De gedefinieerde bodemkwaliteitszones zijn hieronder en op de kaartbijlagen 2 weergegeven:

  • -

    B1. Overig bebouwd gebied en buitengebied provincie Flevoland.

  • -

    B2. Almere Poort.

  • -

    B3. Almere bedrijventerreinen.

  • -

    B4. Dronten – bebouwd gebied zandophoging.

  • -

    B5. Bermen gemeentelijke wegen NOP 1), bermen provinciale wegen 2) Oostelijk en Zuidelijk Flevoland.

  • -

    B6. Bermen provinciale wegen 2) NOP.

  • -

    B7. Bermen provinciale weg 2) Oostvaardersdijk.

  • -

    B. PFAS bovengrond.

  • -

    T. PFAS tussenlaag.

  • -

    O1. Ondergrond provincie Flevoland.

Codering ‘B’: bodemlaag vanaf het maaiveld tot en met 0,5 meter diepte.

Codering ‘T ’: bodemlaag vanaf 0,5 meter tot en met 1 meter diepte.

Codering ‘O’: bodemlaag vanaf 0,5 meter diepte tot en met 2 meter diepte.

B. PFAS bovengrond: gemeenten Almere, Dronten, Lelystad, Noordoostpolder, Urk en Zeewolde.

T. PFAS tussenlaag: gemeenten Almere, Dronten, Lelystad, Noordoostpolder, Urk en Zeewolde.

  • 1)

    Betreft de bodemlaag 0-0,3 m-mv. De bodemlaag 0,3-0,5 m-mv valt in het omliggende deelgebied: bodemkwaliteitszone B1.

  • 2)

    De grenzen van de provinciale wegen zijn voorzover mogelijk aangepast op basis van de kadastrale perceelsgrenzen.

3.6 Stap 7: Karakteriseren bodemkwaliteitszones

De gemiddelde gehalten van de bodemkwaliteitszones (zie bijlage 4A en bijlage 4B, kolom 'Gem') zijn getoetst aan de normen uit de Regeling bodemkwaliteit 2022 [11] (hierna ‘de Regeling 2022’) en de normen uit het Handelingskader hergebruik PFAS-houdende grond en baggerspecie [8]. De bodemkwaliteitszones kunnen vallen in de bodemkwaliteitsklasse Landbouw/natuur, Wonen, Industrie, Matig verontreinigd of Sterk verontreinigd. De toetsingsmethodiek voor het bepalen van de bodemkwaliteitsklasse is opgenomen in bijlage 1 onder het kopje ‘Bodemkwaliteitsklasse’. De toetsingsmethodiek voor het bepalen van de kwaliteitsklasse ‘Wonen’ is voor de bodemkwaliteitsklasse minder streng dan de toetsingsmethodiek voor het bepalen van de ontgravingsklasse (zie ook § 3.7.3 en bijlage 1 onder het kopje ‘Ontgravingskaart op basis van algemene regels’). Met de minder strenge toets wordt voorkomen dat de bodemkwaliteit van een gebied op basis van één of twee stoffen wordt ingedeeld in de bodemkwaliteitsklasse ‘Industrie’. Dit zou in de praktijk de ongewenste situatie kunnen opleveren dat ook voor alle overige stoffen minder strenge regels gelden en de gehalten kunnen toenemen tot de maximale waarden voor de functie Industrie. Hierdoor verslechtert de kwaliteit van het gebied. Dit kan zich met name voordoen bij licht verontreinigde industriegebieden. In de gemeenten komt deze situatie niet voor.

 

In tabel 3.1 is aangegeven in welke bodemkwaliteitsklasse iedere bodemkwaliteitszone valt. In bijlage 4A en bijlage 4B zijn de gespecificeerde beoordelingen weergegeven. De bodemkwaliteitsklasse wordt samen met de bodemfunctieklasse gebruikt voor het bepalen van de toepassingseis (zie § 3.7.4).

 

CONTROLE SANERINGSCRITERIUM

In de Handreiking bodemkwaliteitskaarten staat vermeld, dat voor elke bodemkwaliteitszone met een 95-percentielwaarde boven de interventiewaarde bodemkwaliteit (zie bijlage IIa Besluit Activiteiten Leefomgeving) een controle op het saneringscriterium nodig is. Voor PFAS-verbindingen zijn geen interventiewaarden bodemkwaliteit beschikbaar maar zijn Indicatieve Niveaus voor Ernstige Verontreiniging (INEV’s) voor PFOS, PFOA en GenX gedefinieerd [12]9 . Bij een overschrijding van een interventiewaarde bodemkwaliteit is het niet verantwoord om zonder partijkeuring grondverzet vanuit de betreffende zone te laten plaatsvinden. In de gemeente Noordoostpolder komt deze situatie voor in de bodemkwaliteitszone “B6. Bermen provinciale wegen NOP” (zie tabel 3.2). De controle op het saneringscriterium is niet uitgevoerd. De 95-percentielwaarde die nu is vastgesteld is gelijk met die in 2019 (67 mg/kg ds). In de rapportage van de bodemkwaliteitskaart van de wegbermen provinciale wegen [13] is destijds volgens de Richtlijn bodemkwaliteitskaarten (oud) voor deze bodemkwaliteitszone een risicobeoordeling uitgevoerd (zie bijlage 5). Uit bijlage 5 blijkt dat er geen humane risico’s bestaan, de risico-indexen zijn lager dan 1. De berekende ecologische risico’s zijn niet relevant: het nastreven van een ecologisch beschermingsniveau in de bermen van provinciale wegen wordt niet zinvol geacht. Vanuit de ecologie zijn er daarom geen beperkingen om grond vanuit deze zone in de bermen van de provinciale wegen te hergebruiken. Uitzondering hierop vormen de provinciale wegen die onderdeel uitmaken van een natuurgebied. Daar geldt de gemeentelijke maatwerkregel: grond die voldoet aan de kwaliteitsklasse ‘Wonen’ mag daar worden toegepast.

 

HETEROGENITEIT

Naast de percentielwaarden en variatiecoëfficiënt is ook de heterogeniteit van de meetgegevens berekend, volgens de methodiek zoals beschreven onder het kopje ‘Heterogeniteit’ in bijlage 1. In de gemeenten zijn in meerdere bodemkwaliteitszones van de bodemlaag 0-0,5 m-mv sprake van sterke heterogeniteit voor PAK, minerale olie en/of PFOS (som) (zie tabel 3.1). De overzichten van de heterogeniteitsindex per stof en per bodemkwaliteitszone staan in bijlage 4A en bijlage 4B (kolom 'Heterogeniteit').

 

Wanneer de diffuse bodemkwaliteit in een bodemkwaliteitszone sterk heterogeen is verdeeld, is de betrouwbaarheid van het gemiddelde gehalte in de zone kleiner. Voor de bodemkwaliteitszone waar een sterke heterogeniteit voor één of meerdere stoffen is vastgesteld, zijn ruim voldoende meetgegevens aanwezig om het gemiddelde gehalte (en dus de kwaliteit) goed te beschrijven. Hierdoor is de heterogeniteit voor de gemeenten geen aanleiding om aanvullend onderzoek voorafgaand aan het grondverzet te eisen.

 

Tabel 3.1 Bodemkwaliteitsklasse en heterogeniteit per bodemkwaliteitszone en bodemlaag

Codering ‘B’: Bodemlaag vanaf het maaiveld tot en met 0,5 meter diepte.

Codering ‘T ’: Bodemlaag vanaf 0,5 meter tot en met 1 meter diepte.

Codering ‘O’: Bodemlaag vanaf 0,5 meter diepte tot en met 2 meter diepte.

B. PFAS bovengrond: gemeenten Almere, Dronten, Lelystad, Noordoostpolder, Urk en Zeewolde.

T. PFAS tussenlaag: gemeenten Almere, Dronten, Lelystad, Noordoostpolder, Urk en Zeewolde.

  • 1)

    Betreft de bodemlaag 0-0,3 m-mv. De bodemlaag 0,3-0,5 m-mv valt in het omliggende deelgebied: bodemkwaliteitszone B1.

3.7 Stap 8: Bodemkwaliteit

3.7.1 Inleiding

De bodemkwaliteitskaart bestaat uit drie hoofdkaarten:

  • 1.

    Een kaart met uitgesloten locaties en gebieden.

  • 2.

    De ontgravingskaart.

  • 3.

    De toepassingskaart.

In de volgende paragrafen wordt nader ingegaan op de hoofdkaarten.

3.7.2 Kaart met uitgesloten locaties en gebieden

De gemeenten hebben voor deze provincie-brede bodemkwaliteitskaart een aantal locaties en gebieden uitgesloten van de bodemkwaliteitskaart (zie hoofdstuk 4).

 

Om te achterhalen of een locatie of gebied onderdeel uitmaakt van de provincie-brede bodemkwaliteitskaart, moet een vooronderzoek volgens de NEN5725 10 worden uitgevoerd waaruit blijkt dat de betreffende locatie onderdeel uitmaakt van de bodemkwaliteitskaart. Bij het vooronderzoek kan bodeminformatie worden verzameld via de website van het Bodemloket (www.bodemloket.nl) en de provincie Flevoland (https://ofgv.nazca4u.nl/rapportage/). De website van het Bodemloket wordt op termijn vervangen door het loket van de Basisregistratie Ondergrond, het BROloket (https://www.broloket.nl/ondergrondgegevens). In de nota bodembeheer (§ 3.6 en bijlage 6) is hier nader op ingegaan (www.lelystad.nl/notabodembeheer). Deze informatie moet worden getoetst aan de criteria in hoofdstuk 4.

 

Deze bodemkwaliteitskaart mag op de uitgesloten locaties en gebieden niet worden gebruikt:

  • -

    Als bewijsmiddel bij een milieuverklaring bodemkwaliteit voor functioneel hergebruik van grond die wordt ontgraven uit deze gebieden.

  • -

    Als bewijsmiddel bij een milieuverklaring bodemkwaliteit om de toepassingseis te bepalen als grond op deze locaties/gebieden wordt toegepast.

  • -

    Ter onderbouwing van de veiligheidsklasse (Arbo).

  • -

    Voor het verkrijgen van vrijstelling van bodemonderzoek bij omgevingsvergunningsaanvragen (activiteit bouwen en/of activiteit ruimtelijke ontwikkeling).

  • -

    Bij de interpretatie van een eindsituatie onderzoek na het beëindigen van een bodembedreigende activiteit als geen nulonderzoek bodem is uitgevoerd.

3.7.3 Provincie-brede ontgravingskaart op basis van algemene regels

De provincie-brede ontgravingskaart geeft de te verwachten kwaliteit aan van de eventueel te ontgraven grond op een locatie/gebied die onderdeel uitmaakt van de provincie-brede bodemkwaliteitskaart. Deze kaart mag onder bepaalde voorwaarden worden gebruikt als bewijsmiddel voor de chemische kwaliteit van de te ontgraven grond. Voorafgaand aan het grondverzet moet altijd informatie worden achterhaald waaruit blijkt dat de locatie onderdeel uitmaakt van de bodemkwaliteitskaart. Deze informatie moet worden getoetst aan de criteria in hoofdstuk 4.

 

De ontgravingskwaliteit is net als de bodemkwaliteitsklasse gebaseerd op het gemiddelde gehalte van een bodemkwaliteitszone (zie bijlage 4A en bijlage 4B, kolom 'Gem') en getoetst aan de toetsingswaarden uit de Regeling 2022 en de normen uit het Handelingskader hergebruik PFAS-houdende grond en baggerspecie. De bodemkwaliteitszones kunnen vallen in de ontgravingsklasse Landbouw/natuur, Wonen, Industrie, Matig verontreinigd of Sterk verontreinigd. Om het standstill-principe voor de bodemkwaliteit op gebiedsniveau te kunnen waarborgen, is de toetsing voor de kwaliteitsklasse ‘Wonen’ voor het bepalen van de ontgravingskwaliteit strenger dan voor het bepalen van de bodemkwaliteit (zie ook § 3.6). De toetsingsmethodiek is opgenomen in bijlage 1 onder het kopje ‘Ontgravingskaart op basis van algemene regels’, ter vergelijking zie ook het kopje ‘Bodemkwaliteitsklasse’.

 

In tabel 3.2 is de te verwachten ontgravingsklasse per bodemkwaliteitszone aangegeven. De ontgravingskaart per bodemlaag is opgenomen in de kaartbijlagen 3. De kleuren in tabel 3.2 komen overeen met de gebruikte kleuren op de kaartbijlagen.

 

Om de ontgravingskaarten te kunnen gebruiken voor het (indicatief) vaststellen van een veiligheidsklasse bij graafwerkzaamheden is in bijlage 4C een overzicht opgenomen van de statistische parameters voor zware metalen PCB, PAK en minerale olie die zijn gebaseerd op de gemeten gehalten in de dataset van de provincie-brede bodemkwaliteitskaart.

 

Tabel 3.2 Verwachte ontgravingsklasse per bodemkwaliteitszone

Codering ‘B’: Bodemlaag vanaf het maaiveld tot en met 0,5 meter diepte.

Codering ‘T ’: Bodemlaag vanaf 0,5 meter tot en met 1 meter diepte.

Codering ‘O’: Bodemlaag vanaf 0,5 meter diepte tot en met 2 meter diepte.

B. PFAS bovengrond: gemeenten Almere, Dronten, Lelystad, Noordoostpolder, Urk en Zeewolde.

T. PFAS tussenlaag: gemeenten Almere, Dronten, Lelystad, Noordoostpolder, Urk en Zeewolde.

  • 1)

    In de bodemlagen 0-0,5 m-mv en 0,5-1 m-mv zijn de gemiddelde waarden van de PFAS-verbindingen lager dan de landelijke achtergrondwaarden vastgesteld, maar voor een aantal PFAS-verbindingen boven de bepalingsgrens/detectiegrens. Dit leidt niet tot beperkingen bij het toepassen van grond.

  • 2)

    Betreft de bodemlaag 0-0,3 m-mv. De bodemlaag 0,3-0,5 m-mv valt in het omliggende deelgebied: bodemkwaliteitszone B1.

  • 3)

    De bodemlaag dieper dan 1 meter is niet verdacht voor verhoogde gehalten aan PFAS-verbindingen.

3.7.4 Provincie-brede toepassingskaart op basis van algemene regels

De provincie-brede toepassingskaart is opgesteld aan de hand van de vastgestelde bodemkwaliteitsklasse en de (toekomstige) functie van de bodem. Op basis van deze dubbele toets, waarbij de strengste toets doorslaggevend is, wordt voor elke bodemkwaliteitszone de toepassingseis vastgesteld (zie bijlage 1 onder het kopje ‘Toepassingseis kwaliteit toe te passen grond op of in de bodem op basis van algemene regels’). Voorafgaand aan het grondverzet moet altijd informatie worden achterhaald waaruit blijkt dat de locatie onderdeel uitmaakt van de bodemkwaliteitskaart. Deze informatie moet worden getoetst aan de criteria in hoofdstuk 4.

 

In tabel 3.3 is de toepassingseis op basis van de algemene regels onder de Omgevingswet per bodemkwaliteitszone aangegeven. Op de kaartbijlagen 4 staat per bodemlaag aangegeven welke toepassingseis er geldt. De kleuren in tabel 3.3 komen overeen met de gebruikte kleuren op kaartbijlage 1 (bodemfunctieklassenkaart) en de kaartbijlagen 4 (toepassingskaart op basis van algemene regels onder de Omgevingswet).

 

Tabel 3.3 Toepassingseisen per combinatie (voorkomende) bodemfunctie- en bodemkwaliteitsklasse (op basis van algemene regels en het Handelingskader hergebruik PFAS-houdende grond en baggerspecie).

Codering ‘B’: Bodemlaag vanaf het maaiveld tot en met 0,5 meter diepte.

Codering ‘T ’: Bodemlaag vanaf 0,5 meter tot en met 1 meter diepte.

Codering ‘O’: Bodemlaag vanaf 0,5 meter diepte tot en met 2 meter diepte.

B. PFAS bovengrond: gemeenten Almere, Dronten, Lelystad, Noordoostpolder, Urk en Zeewolde.

T. PFAS tussenlaag: gemeenten Almere, Dronten, Lelystad, Noordoostpolder, Urk en Zeewolde.

  • 1)

    De toepassingseisen voor PFAS-houdende grond zijn:

    • -

      Toepassingseis Landbouw/natuur: Landelijke achtergrondwaarden.

    • -

      Toepassingseis Industrie en Wonen: PFOA: 7,0 µg/kg ds , en andere PFAS-verbindingen: 3,0 µg/kg ds.

  • 2)

    Betreft de bodemlaag 0-0,3 m-mv. De bodemlaag 0,3-0,5 m-mv valt in het omliggende deelgebied: bodemkwaliteitszone B1.

3.7.5 Provincie-brede toepassingskaart op basis van maatwerkregels

De gemeenten hebben in de gezamenlijke nota bodembeheer [3] gebiedsspecifiek beleid vastgesteld. Het gebiedsspecifieke beleid omvat onder meer de gedefinieerde Lokale Maximale Waarden die zijn weergegeven op de gebiedsspecifieke toepassingskaarten (opgenomen in de kaartbijlagen 5 van de bodemkwaliteitskaart 2019 [3]). De Lokale Maximale Waarden zijn onderbouwd en beschreven in § 4.3 van de nota bodembeheer. In 2020 de gemeente Noordoostpolder een addendum op de nota bodembeheer met aanvullend gebiedsspecifiek beleid voor bermen provinciale wegen in de gemeente bestuurlijk vastgesteld [3]. Het gebiedsspecifieke beleid is van rechtswege (overgangsrecht) gelijkgesteld aan het tijdelijk deel van het gemeentelijke omgevingsplan.

 

Als gevolg van de geactualiseerde bodemfunctieklassenkaart, ontgravingskaarten en toepassingskaarten en het aanvullende gebiedsspecifieke beleid van de gemeente Noordoostpolder, zijn ook de gebiedsspecifieke toepassingskaarten (2019) geactualiseerd (onder de Omgevingswet “op basis van maatwerkregels” genoemd). De geactualiseerde toepassingskaarten op basis van maatwerkregels zijn als kaartbijlage 5 in deze rapportage opgenomen. De kleuren in tabel 4.1 komen overeen met de gebruikte kleuren op kaartbijlage 1 (bodemfunctieklassenkaart) en kaartbijlagen 5 (gebiedsspecifieke toepassingskaarten).

 

Met de actualisatie van de toepassingskaarten op basis van maatwerkregels zijn de kaarten weer in lijn met het gemeentelijke grondstromenbeleid (zie de nota bodembeheer en het addendum van de gemeente Noordoostpolder).

 

3.8 Evaluatie provincie-brede bodemkwaliteitskaart 2019

Als per bodemkwaliteitszone de bodem- en ontgravingskwaliteit en de toepassingseisen van deze bodemkwaliteitskaart wordt vergeleken met de bodemkwaliteitskaart 2019, kan worden gesteld dat bij de actualisatie geen verschillen zijn opgetreden. Uitzondering hierop vormen:

  • -

    De uitgesloten niet-aaneengesloten gebieden in de bodemkwaliteitszones ‘B3. Almere bedrijventerreinen’ en ‘B4. Dronten – Bebouwd gebied zandophoging’ die nu wel zijn gezoneerd.

  • -

    De maatwerkregels (gebiedsspecifieke beleid) van de gemeente Noordoostpolder voor de “Bermen provinciale wegen Noordoostpolder”.

3.9 Bijzondere omstandigheden

De bodemkwaliteitskaart doet geen uitspraak over de kwaliteit van de bodem ter plaatse van voor bodemverontreiniging verdachte locaties, locaties met lokale verontreinigingen, gesaneerde locaties of locaties met onvoorziene visuele waarnemingen (bodemvreemde materialen, kleur, geur). Op deze locaties wordt een afwijkende (slechtere) bodemkwaliteit dan in de omgeving verwacht. Daarom moet voorafgaand aan het grondverzet altijd informatie worden achterhaald waaruit blijkt of de locatie onderdeel uitmaakt van de bodemkwaliteitskaart. In § 3.7.2 en hoofdstuk 4 van deze rapportage wordt nader ingegaan op de informatiebronnen om de uitgesloten locaties van de bodemkwaliteitskaart te achterhalen.

 

Ook door de provincie of een gemeente aangewezen beschermingsgebieden vallen onder locaties met bijzondere omstandigheden voor grondverzet. Voorafgaand aan grondverzet moet zowel voor de ontgravingslocatie als op de toepassingslocatie worden nagegaan of er naar aanleiding van de ligging in één of meerdere beschermingsgebieden restricties zijn ten aanzien van het grond- en baggerverzet. Voorbeelden hiervan zijn gebieden met archeologische, cultuurhistorische, of aardkundige waarden, Natura2000-gebieden, gebieden die onderdeel uitmaken van het Natuurnetwerk Nederland (NNN, voormalige EHS), Ontplofbare Oorlogsresten of waterwin- en grondwaterbeschermingsgebieden. De ligging van door de provincie aangewezen beschermingsgebieden kan worden achterhaald via de provinciale website: https://kaart.flevoland.nl/bodematlas/; de provincie kan hier aanvullende eisen stellen. Voor de ligging van de gemeentelijk beschermde gebieden (archeologie) kunnen de onderstaande websites worden geraadpleegd. Een gemeente kan hier aanvullende eisen stellen door bijvoorbeeld aanvullend onderzoek te laten uitvoeren, afhankelijk van de beschermingswaarde en/of oppervlakte en diepte van de activiteit. Ook kunnen eisen gesteld worden op welke wijze onderzoek moet plaatsvinden.

 

Gemeente Almere

Gemeente Lelystad

Gemeenten Noordoostpolder

Gemeente Urk

Gemeente Zeewolde

  • -

    Archeologiebeleid (2016) is onderdeel van het bestemmingsplan Buitengebied 2016, te raadplegen via het Omgevingsloket.

Voorafgaand aan grondverzet moet zowel voor de ontgravingslocatie als op de toepassingslocatie worden nagegaan of er naar aanleiding van de ligging in één of meerdere beschermingsgebieden er restricties zijn ten aanzien van het grond- en/of baggerverzet.

4 Samenvatting en conclusies

Voor de gemeenten Almere, Dronten, Lelystad, Noordoostpolder, Urk en Zeewolde is de eerder opgestelde provincie-brede bodemkwaliteitskaart (2019) geactualiseerd. Ook de eerder vastgestelde gemeentelijke bodemfunctieklassenkaart (2019) is geactualiseerd. Met de geactualiseerde provincie-brede bodemkwaliteitskaart is een actueel en dekkend beeld verkregen van de te verwachten diffuse chemische bodemkwaliteit in de gemeenten. Met de aanpassingen zijn de gebieden met de bodemfuncties ‘Industrie’, ‘Wonen’ en ‘Landbouw/natuur’ meer in overeenstemming met de huidige inrichting en toekomstige ontwikkelplannen weergegeven.

 

De afgelopen jaren hebben de gemeenten de regels van de nota bodembeheer omgezet naar beleidsregels die klaar staan om in de gemeentelijke omgevingsplannen te worden opgenomen.

 

Met de geactualiseerde gemeentelijke bodemfunctieklassenkaarten, de provincie-brede ontgravingskaarten en toepassingskaarten op basis van algemene regels (voorheen de generieke kaarten) worden de eerder bestuurlijk vastgestelde gemeentelijke bodemfunctieklassenkaarten (2019), de generieke provincie-brede ontgravings- en toepassingskaarten (2019) vervangen (bijlage 4 en de kaartbijlagen 1, 3 en 4 van de bodemkwaliteitskaart 2019).

Met de geactualiseerde provincie-brede toepassingskaarten op basis van maatwerkregels (voorheen de gebiedsspecifieke kaarten) worden de provincie-brede gebiedsspecifieke toepassingskaarten (kaartbijlagen 5 van de bodemkwaliteitskaart 2019) vervangen.

 

In de provincie-brede bodemkwaliteitskaart zijn de gemeentelijke grondgebieden op basis van gebruik(shistorie), bodemfunctie en bodemkwaliteit onderverdeeld in:

  • -

    8 bodemkwaliteitszones voor het standaard stoffenpakket * (bodemlagen 0-0,5 m-mv en 0,5-2 m-mv).

  • -

    2 bodemkwaliteitszones voor de PFAS-verbindingen 11 incl. GenX (bodemlagen 0-0,5 m-mv en 0,5-1 m-mv **).

  • *:

    Barium (zie bijlage 1 kopje ‘Barium’), cadmium, kobalt, koper, kwik, molybdeen, lood, nikkel, zink, minerale olie en de stofgroepen polychloorbifenylen (PCB) en polycyclische aromatische koolwaterstoffen.

  • **:

    De bodemlaag vanaf 1 meter diepte is niet-verdacht op het voorkomen van verhoogde gehalten aan PFAS-verbindingen.

De bodemkwaliteitszones zijn weergegeven op de kaartbijlagen 2).

 

De volgende uitgesloten locaties en gebieden zijn afgebeeld op de kaartbijlagen:

Algemeen

  • -

    Rijkswegen gronden inclusief de onverharde bermen (andere beheerorganisatie).

  • -

    Spoorgebonden gronden (inclusief de Hanzelijn): een zone van maximaal 11 meter vanuit het hart van het spoor en om emplacementen en grond vallend onder Rail Infra trust en NS Vastgoed.

  • -

    Waterbodems in beheer van de gemeenten.

  • -

    Overige waterbodems: ander bevoegd gezag

    • Rijkswateren: Rijkswaterstaat, met uitzondering van de voormalige drogere oevergebieden 12 die waren gedefinieerd en aangewezen in de Waterregeling [7].

    • Overige wateren in beheer van het Waterschap Zuiderzeeland.

Gemeente Lelystad

  • -

    De “Engie-Maxima-centrale” aan de IJsselmeerdijk.

  • -

    Het voormalige werkeiland Lelystad-Haven (alleen voor wat betreft de ontgravingskaart).

  • -

    De voormalige stortplaats aan de Bronsweg (alleen voor wat betreft de ontgravingskaart).

Gemeente Urk

  • -

    Oud Urk (geen tot zeer weinig meetgegevens beschikbaar).

  • -

    Natuurgebied Urkerweg (geen tot zeer weinig meetgegevens beschikbaar).

De ligging van de volgende locaties en gebieden zijn, soms vanwege het dynamische karakter of het relatief kleine oppervlak, niet (volledig) op de kaarten aangegeven:

  • -

    Provinciale wegen inclusief de onverharde wegbermen binnen de bebouwde kom (andere beheerorganisatie).

  • -

    Wegen met teerhoudend asfalt granulaat (TAG).

  • -

    Locaties met, of die verdacht zijn voor, een sterke bodemverontreiniging als gevolg van een lokale bron, zoals bijvoorbeeld:

    • Locaties met een duidelijk aanwijsbare bron voor een eventuele bodemverontreiniging zoals bijvoorbeeld een ondergrondse tank voor de opslag van olie, een chemische wasserij, een ontvettingsbad, een afleverzuil voor brandstof(fen) etc..

    • Locaties waar vanwege (bedrijfs)activiteiten PFAS-verbindingen 13 in verhoogde gehalten in de bodem kunnen voorkomen (PFAS producerende 14 en verwerkende bedrijven 15 , inzet blusschuim 16 en secundaire bronnen 17 ).

    • (Voormalige) stortplaatsen (alleen voor wat betreft de ontgravingskaart).

  • -

    Gesaneerde locaties in het kader van de Wet bodembescherming (oud) of de Omgevingswet met uitzondering van de multifunctioneel gesaneerde locaties.

  • -

    De bodemlaag dieper dan 2 meter onder het maaiveld.

  • -

    Het grondwater.

Om te achterhalen of een locatie of gebied onderdeel uitmaakt van de provincie-brede bodemkwaliteitskaart, moet een vooronderzoek volgens de NEN5725 18 worden uitgevoerd waaruit blijkt dat de betreffende locatie onderdeel uitmaakt van de bodemkwaliteitskaart. Bij het vooronderzoek kan bodeminformatie worden verzameld via de website van het Bodemloket (www.bodemloket.nl) en de provincie Flevoland (https://ofgv.nazca4u.nl/rapportage/). De website van het Bodemloket wordt op termijn vervangen door het loket van de Basisregistratie Ondergrond, het BROloket (https://www.broloket.nl/ondergrondgegevens). In de nota bodembeheer (§ 3.6 en bijlage 6) is hier nader op ingegaan (www.lelystad.nl/notabodembeheer). Deze bodemkwaliteitskaart doet alleen een uitspraak over welke kwaliteit in het algemeen verwacht mag worden.

 

Deze bodemkwaliteitskaart mag alleen worden gebruikt als bijlage van of via een verwijzing in een rapportage van een vooronderzoek dat is uitgevoerd volgens de NEN5725. Resultaat van het vooronderzoek moet zijn dat de locatie onderdeel uitmaakt van de bodemkwaliteitskaart. Het vooronderzoek moet bij de milieuverklaring bodemkwaliteit worden gevoegd. De voorschriften voor de milieuverklaring bodemkwaliteit zijn opgenomen in het Besluit bodemkwaliteit (hoofdstuk 2A) en de Regeling bodemkwaliteit 2022 (paragraaf 5.3).

 

Deze bodemkwaliteitskaart mag op de uitgesloten locaties en gebieden niet worden gebruikt:

  • -

    Als bewijsmiddel bij een milieuverklaring bodemkwaliteit voor functioneel hergebruik van grond die wordt ontgraven uit deze gebieden.

  • -

    Als bewijsmiddel bij een milieuverklaring bodemkwaliteit om de toepassingseis te bepalen als grond op deze locaties/gebieden wordt toegepast.

  • -

    Ter onderbouwing van de veiligheidsklasse (Arbo).

  • -

    Voor het verkrijgen van vrijstelling van bodemonderzoek bij omgevingsvergunningsaanvragen (activiteit bouwen en/of activiteit ruimtelijke ontwikkeling).

  • -

    Bij de interpretatie van een eindsituatie onderzoek na het beëindigen van een bodembedreigende activiteit als geen nulonderzoek bodem is uitgevoerd.

In tabel 4.1 staat voor de onderscheiden bodemkwaliteitszones en dieptetrajecten een totaaloverzicht van de voorkomende bodemfunctieklassen, verwachte ontgravingsklassen en toepassingseisen.

 

Op de ontgravingskaarten op basis van algemene regels (zie de kaartbijlagen 3) zijn de te verwachten kwaliteitsklassen weergegeven van de onderscheiden bodemkwaliteitszones. Op de kaartbijlagen 4 zijn de toepassingseisen weergegeven voor de toe te passen grond als gebruik wordt gemaakt van de algemene regels van de Omgevingswet en het Handelingskader hergebruik PFAS-houdende grond en baggerspecie. Op de kaartbijlagen 5 zijn de toepassingseisen weergegeven voor de toe te passen grond als gebruik wordt gemaakt van de maatwerkregels van de gemeente(n) en het Handelingskader hergebruik PFAS-houdende grond en baggerspecie.

 

In tabel 4.2 is de grondstromenmatrix weergegeven waarin de mogelijkheden voor vrij grondverzet inzichtelijk zijn gemaakt op basis van de maatwerkregels van de gemeente(n).

 

Om de ontgravingskaarten te kunnen gebruiken voor het (indicatief) vaststellen van een veiligheidsklasse bij graafwerkzaamheden is in bijlage 4C een overzicht opgenomen van de statistische parameters voor zware metalen PCB, PAK en minerale olie die zijn gebaseerd op de gemeten gehalten in de dataset van de bodemkwaliteitskaart.

 

EVALUATIE EERDER VASTGESTELDE PROVINCIE-BREDE BODEMKWALITEITSKAART (2019)

Als per bodemkwaliteitszone de bodem- en ontgravingskwaliteit en de toepassingseisen van deze bodemkwaliteitskaart wordt vergeleken met de bodemkwaliteitskaart 2019, kan worden gesteld dat bij de actualisatie geen verschillen zijn opgetreden. Uitzondering hierop vormen:

  • -

    De uitgesloten niet-aaneengesloten gebieden in de bodemkwaliteitszones ‘B3. Almere bedrijventerreinen’ en ‘B4. Dronten – Bebouwd gebied zandophoging’ die nu wel zijn gezoneerd.

  • -

    De maatwerkregels (gebiedsspecifieke beleid) van de gemeente Noordoostpolder voor de “Bermen provinciale wegen Noordoostpolder”.

VASTSTELLEN GEACTUALISEERDE PROVINCIE-BREDE BODEMKWALITEITSKAART EN GEMEENTELIJKE BODEMFUNCTIEKLASSENKAARTEN

Een gemeente is voor haar eigen gemeentelijke grondgebied het bevoegd gezag voor het hergebruik van grond en gerijpte baggerspecie op de landbodem.

 

Met de provincie-brede bodemkwaliteitskaart en de gemeentelijke bodemfunctieklassenkaarten hebben de gemeenten Almere, Dronten, Lelystad, Noordoostpolder, Urk en Zeewolde goede instrumenten in handen voor het functioneel hergebruik van grond.

 

De geactualiseerde bodemfunctieklassenkaart en ontgravings- en toepassingskaarten op basis van algemene regels én de toepassingskaart op basis van maatwerkregels moeten bestuurlijk worden vastgesteld door de gemeenteraad. De gemeenteraden van de gemeenten Dronten, Lelystad, Noordoostpolder, Urk en Zeewolde hebben in 2019 hun colleges van burgemeester en wethouders al gemandateerd om een geactualiseerde of een gewijzigde bodemkwaliteitskaart dan wel bodemfunctieklassenkaart bestuurlijk vast te stellen [3]. De gemeenteraad van Almere heeft in 2014 haar college van burgemeester en wethouders gedelegeerd om een geactualiseerde bodemkwaliteitskaart (incl. bodemfunctieklassenkaart) bestuurlijk vast te stellen. Het college van burgemeester en wethouders van de gemeente Almere heeft de afdelingsmanager van de Afdeling Vergunningen, Toezicht & Handhaving gemandateerd om een geactualiseerde bodemkwaliteitskaart (incl. bodemfunctieklassenkaart) bestuurlijk vast te stellen.

 

Tabel 4.1 Totaaloverzicht bodemkwaliteitszones, verwachte ontgravingsklassen, toepassingseisen (op basis van algemene regels Omgevingswet, gemeentelijke maatwerkregels én het Handelingskader hergebruik PFAS-houdende grond en baggerspecie).

Codering ‘B’: Bodemlaag vanaf het maaiveld tot en met 0,5 meter diepte.

Codering ‘O’: Bodemlaag vanaf 0,5 meter diepte tot en met 2 meter diepte.

B. PFAS bovengrond: gemeenten Almere, Dronten, Lelystad, Noordoostpolder, Urk en Zeewolde.

T. PFAS tussenlaag: gemeenten Almere, Dronten, Lelystad, Noordoostpolder, Urk en Zeewolde.

  • 1)

    De toepassingseisen voor PFAS-houdende grond zijn:

    • -

      Toepassingseis Landbouw/natuur: Landelijke achtergrondwaarden.

    • -

      Toepassingseis Industrie en Wonen: PFOA: 7,0 µg/kg ds , en andere PFAS-verbindingen: 3,0 µg/kg ds.

  • 2)

    In de bodemlagen 0-0,5 m-mv en 0,5-1 m-mv zijn de gemiddelde waarden van de PFAS-verbindingen lager dan de landelijke achtergrondwaarden vastgesteld, maar voor een aantal PFAS-verbindingen boven de bepalingsgrens/detectiegrens. Dit leidt niet tot beperkingen bij het toepassen van grond.

  • 3)

    Het betreft de bermen van de dreven die aangeduid worden met ‘de hoofdruit’, te weten de Houtribdreef, Oostranddreef, Larserdreef , Westerdreef. De bermen van de aansluitingen van de hoofdruit naar Dronterweg , Larserdreef en Markerwaarddijk.

  • 4)

    Maatwerkregels (zie § 4.3 van de nota bodembeheer; voorheen: gebiedsspecifiek beleid). In de volgende gebieden geldt de toepassingseis ‘wonen’:

    • -

      Bermen van gemeentelijke en provinciale wegen buiten de bebouwde kom, met uitzondering van bermen die deel uitmaken van een natuurgebied.

    • -

      De industrieterreinen Vaart I, II en III in Almere.

  • 5)

    Betreft de bodemlaag 0-0,3 m-mv. De bodemlaag 0,3-0,5 m-mv valt in het omliggende deelgebied: bodemkwaliteitszone B1.

  • 6)

    De 95-percentielwaarde van PAK overschrijdt de interventiewaarde bodemkwaliteit.

  • 7)

    Addendum: Bermen provinciale wegen Noordoostpolder: in de gemeente Noordoostpolder in bermen van provinciale wegen buiten de bebouwde kom, met uitzondering van bermen die deel uitmaken van een natuurgebied, grond met een kwaliteitsklasse ‘industrie’ worden toegepast. In de delen van de berm die binnen een natuurgebied vallen geldt de toepassingseis ‘wonen’.

  • 8)

    De bodemlaag dieper dan 1 meter is niet verdacht voor verhoogde gehalten aan PFAS-verbindingen.

Tabel 4.2 Mogelijkheden vrij grondverzet gemeenten Almere, Dronten, Lelystad, Noordoostpolder, Urk en Zeewolde op basis van algemene Omgevingswet, gemeentelijke maatwerkregels én het Handelingskader hergebruik PFAS-houdende grond en baggerspecie.

Codering ‘B’: Bodemlaag vanaf het maaiveld tot en met 0,5 meter diepte.

Codering ‘O’: Bodemlaag vanaf 0,5 meter diepte tot en met 2 meter diepte.

B. PFAS bovengrond: gemeenten Almere, Dronten, Lelystad, Noordoostpolder, Urk en Zeewolde.

T. PFAS tussenlaag: gemeenten Almere, Dronten, Lelystad, Noordoostpolder, Urk en Zeewolde.

  • 1)

    De toepassingseisen voor PFAS-houdende grond zijn:

    • -

      Toepassingseis Landbouw/natuur: Landelijke achtergrondwaarden.

    • -

      Toepassingseis Industrie en Wonen: PFOA: 7,0 µg/kg ds , en andere PFAS-verbindingen: 3,0 µg/kg ds.

  • 2)

    In de bodemlagen 0-0,5 m-mv en 0,5-1 m-mv zijn de gemiddelde waarden van de PFAS-verbindingen lager dan de landelijke achtergrondwaarden vastgesteld, maar voor een aantal PFAS-verbindingen boven de bepalingsgrens/detectiegrens. Dit leidt niet tot beperkingen bij het toepassen van grond.

  • 3)

    Het betreft de bermen van de dreven die aangeduid worden met ‘de hoofdruit’, te weten de Houtribdreef, Oostranddreef, Larserdreef , Westerdreef. De bermen van de aansluitingen van de hoofdruit naar Dronterweg , Larserdreef en Markerwaarddijk.

  • 4)

    Maatwerkregels (zie § 4.3 van de nota bodembeheer; voorheen: gebiedsspecifiek beleid). In de volgende gebieden geldt de toepassingseis ‘wonen’:

    • -

      Bermen van gemeentelijke en provinciale wegen buiten de bebouwde kom, met uitzondering van bermen die deel uitmaken van een natuurgebied.

    • -

      De industrieterreinen Vaart I, II en III in Almere.

  • 5)

    Betreft de bodemlaag 0-0,3 m-mv. De bodemlaag 0,3-0,5 m-mv valt in het omliggende deelgebied: bodemkwaliteitszone B1.

  • 6)

    De 95-percentielwaarde van PAK overschrijdt de interventiewaarde bodemkwaliteit.

  • 7)

    Addendum: Bermen provinciale wegen Noordoostpolder: in de gemeente Noordoostpolder in bermen van provinciale wegen buiten de bebouwde kom, met uitzondering van bermen die deel uitmaken van een natuurgebied, grond met een kwaliteitsklasse ‘industrie’ worden toegepast. In de delen van de berm die binnen een natuurgebied vallen geldt de toepassingseis ‘wonen’.

  • 8)

    De bodemlaag dieper dan 1 meter is niet verdacht voor verhoogde gehalten aan PFAS-verbindingen.

BELANGRIJK: Voorafgaand aan het grondverzet moet een vooronderzoek volgens de NEN5725 worden uitgevoerd of bijlage 6 van de nota bodembeheer volledig worden ingevuld.

 

Bronvermeldingen

  • [1]

    Wet van 23 maart 2016, houdende regels over het beschermen en benutten van de fysieke leefomgeving (Omgevingswet), publicatie Staatsblad 2016, nr. 156, 26 april 2016. 19 20

  • [2]

    Besluit bodemkwaliteit, publicatie Staatsblad 2023, nr. 298, 15 september 2023.

  • [3]

    Bodemfunctieklassenkaart gemeenten Almere, Dronten, Lelystad, Noordoostpolder, Urk en Zeewolde; opgenomen als kaartbijlage 1 van de bodemkwaliteitskaart.

    Bodemkwaliteitskaart gemeenten Almere, Dronten, Lelystad, Noordoostpolder, Urk en Zeewolde, documentcode: 17M1182.RAP001, status: herzien definitief versie 2, LievenseCSO Milieu B.V., 13 december 2019.

    Nota bodembeheer provincie-brede samenwerking bodembeleid Flevoland, gemeenten Almere, Dronten, Lelystad, Noordoostpolder, Urk en Zeewolde, 7 maart 2012.

    Addendum nota bodembeheer: Bermen openbare provinciale wegen Noordoostpolder, bestuurlijk vastgesteld door de gemeenteraad Noordoostpolder 27 januari 2020.

  • [4]

    Besluit van 3 juli 2018, houdende regels over de kwaliteit van de fysieke leefomgeving en de uitoefening van taken en bevoegdheden (Besluit kwaliteit leefomgeving), publicatie Staatsblad 2018, nr. 292, 31 augustus 2018. 15

  • [5]

    Besluit van 3 juli 2018, houdende regels over activiteiten in de fysieke leefomgeving (Besluit activiteiten leefomgeving), publicatie Staatsblad 2018, nr. 293, 31 augustus 2018. 15

  • [6]

    Handreiking bodemkwaliteitskaarten, definitief, 1 november 2022, versie 1.

  • [7]

    Waterregeling (oud), publicatie Staatscourant nr. 19353, 17 december 2009 en latere wijzigingen.

  • [8]

    Handelingskader voor hergebruik van PFAS-houdende grond en baggerspecie, Ministerie van Infrastructuur en Waterstaat, versie december 2023

  • [9]

    Handreiking Achtergrondgehalten. Begeleidingscommissie actief bodembeheer, TNO MEP-R98/283.IPO/TNO, 1998.

  • [10]

    Model Beleid toepassen PFAS-houdende grond, opgesteld in opdracht van het ministerie van Infrastructuur en Waterstaat, kenmerk: 1248710-044 C04, TAUW, 10 januari 2020.

  • [11]

    Regeling bodemkwaliteit 2022, publicatie Staatscourant 2023, nr. 1338, 19 januari 2023.

  • [12]

    Memo Risicogrenzen ten behoeve van de vaststelling van Interventiewaarden voor PFOS, PFOA en GenX, RIVM, 20 juli 2021.

  • [13]

    Wegbermen provinciale wegen buitengebied provincie Flevoland, projectnummer 329883, Sweco Nederland B.V., 23 juni 2016.

Overzicht bijlagen

Bijlage 1

  • -

    Begrippenlijst

Bijlage 2

  • -

    Dataset bodemkwaliteits-kaart

Bijlage 3

  • -

    Specificatie uitbijter

Bijlage 4A

  • -

    Statistische parameters NEN5740 bodemkwaliteitszones (waarden standaardbodem)

Bijlage 4B

  • -

    Statistische parameters PFAS-verbindingen bodemkwaliteitszones (gemeten waarden)

Bijlage 4C

  • -

    Statistische parameters NEN5740 bodemkwaliteitszones (gemeten waarden)

Bijlage 5

  • -

    Risicobeoordeling BKK-zone ‘B6 Bermen provinciale wegen NOP’

Bijlage 1 Begrippenlijst

 

Begrippenlijst

 

Bagger(specie)

Materiaal dat is vrijgekomen uit de bodem of oever van een oppervlaktewaterlichaam en dat bestaat uit minerale delen met een maximale korrelgrootte van 2 millimeter en organische stof in een verhouding en met een structuur zoals deze in de bodem van nature worden aangetroffen, en ook van nature in de bodem voorkomende schelpen en grind met een korrelgrootte van 2 tot 63 millimeter. Dit staat in artikel 1 van het Besluit bodemkwaliteit.

 

Barium

Voor barium bestaat op dit moment geen norm. De destijds voor deze stof geldende normen zijn per 4 april 2009 (Staatscourant nr. 67, publicatie 7 april 2009) ingetrokken omdat de interventiewaarde bodemkwaliteit lager was dan het gehalte dat van nature in de bodem voorkomt. Dit blijft gehandhaafd. De onderzoeksgegevens over barium moeten wel in de bodemkwaliteitskaarten worden meegenomen, aangezien barium onderdeel uitmaakt van het stoffenpakket, met dien verstande dat geen eisen worden gesteld aan het aantal waarnemingen. Deze gegevens kunnen namelijk een indicatie zijn voor de aanwezigheid van antropogene bronnen die ook andere verontreinigingen met zich mee kunnen brengen.

Als verhoogde bariumgehalten ten opzichte van de natuurlijke achtergrondwaarden worden aangetroffen als gevolg van een menselijke activiteit, kan dit gehalte worden beoordeeld op basis van de voormalige interventiewaarde bodemkwaliteit voor barium: 920 mg/kg ds (bij standaardbodem lutum 25%, organisch stof 10%).

 

Bodem

In de bijlage bij artikel 1.1 van de Omgevingswet is het begrip bodem als volgt gedefinieerd:

“Vaste deel van de aarde met de zich daarin bevindende vloeibare en gasvormige bestanddelen en organismen.”

Tot de bodem behoort ten eerste het buitenste vaste deel van de aarde. Daarbij moet zo diep worden gegaan als de beïnvloeding van menselijke activiteiten in die bodem. Dit omvat zowel de organische als de minerale bestanddelen.

Ten tweede behoren ook de vloeibare delen tot de bodem. De vloeibare delen van de bodem zijn het water en de zich daarin bevindende stoffen.

In de zone waarin bodem door water is verzadigd, wordt gesproken van grondwater. Grondwater maakt dus ook onderdeel uit van de bodem.

Tot slot bestaat de bodem uit gasvormige bestanddelen. Deze gasvormige bestanddelen bestaan uit verschillende bodemgassen, zoals zuurstof, stikstof en methaan.

 

Bodembeheergebied

Gebied dat is aangewezen bij ministeriële regeling in het omgevingsplan of in de waterschapsverordening op grond van artikel 5.89o of 6.3 van het Besluit kwaliteit leefomgeving. De aanwijzing van een bodembeheergebied is nodig als de gemeente of de waterkwaliteitsbeheerder via maatwerk soepelere kwaliteitseisen wil opnemen in het omgevingsplan of de waterschapsverordening. Zie: aanwijzing bodembeheergebied (instructieregel omgevingsplan).

Voor deze bodemkwaliteitskaart is het bodembeheergebied gedefinieerd als het grondgebied van de gemeenten Almere, Dronten, Lelystad, Noordoostpolder, Urk en Zeewolde.

 

Bodemfunctieklassenkaart

Kaart waarop de verschillende bodemfuncties zijn aangegeven, waarbij het bodemgebruik is ingedeeld in de klassen ‘Industrie’, ‘Wonen’ en ‘Landbouw/natuur’ (artikel 5.89p van het Besluit bodemkwaliteit leefomgeving (artikel 1 Besluit bodemkwaliteit)). Zie: Indeling van de landbodem in de bodemfunctieklassenkaart. Onder het Besluit bodemkwaliteit (oud) is de functieklasse ‘Landbouw/natuur’ soms aangegeven als ‘Overig’.

De bodemfunctie bepaalt samen met de bodemkwaliteitsklasse van de ontvangende landbodem de kwaliteitseis voor het toepassen van grond of baggerspecie op de landbodem. Zie: Kwaliteitseisen toepassen grond of baggerspecie op de landbodem.

De bodemfunctieklasse bepaalt ook de terugsaneerwaarde bij de saneringsaanpak verwijderen van een verontreiniging bij saneren van de bodem (artikel 4.1242 van het Besluit activiteiten leefomgeving).

 

Bodemkwaliteitskaart

Kaart als bedoeld in artikel 25c, derde lid van het Besluit bodemkwaliteit (artikel 1). De bodemkwaliteitskaart vormt de basis voor het vastleggen van de kwaliteitseisen die gelden op een locatie. In sommige gevallen kan de bodemkwaliteitskaart ook gebruikt worden als milieuverklaring bodemkwaliteit. Zie: Milieuverklaring op grond van een (water)bodemkwaliteitskaart.

 

Bodemkwaliteitsklasse

In de Handreiking bodemkwaliteitskaarten is aangegeven dat bodemkwaliteitszones afhankelijk van de gemiddelde kwaliteit worden ingedeeld in één van de vijf onderscheiden bodemkwaliteitsklassen:

  • -

    Klasse Landbouw/natuur.

  • -

    Klasse Wonen.

  • -

    Klasse Industrie.

  • -

    Klasse Matig verontreinigd.

  • -

    Klasse Sterk verontreinigd.

Bij de toetsingsmethodiek voor de kwaliteitsklasse ‘Landbouw/natuur’ wordt uitgegaan van een staffel voor het aantal toegestane overschrijdingen (zie onderstaand). Voor de bodemkwaliteitskaart van de gemeente is het basispakket van toepassing.

 

De toetsingsmethodiek voor het bepalen van de bodemkwaliteitsklasse ‘Wonen’ is minder streng dan de toetsingsmethodiek voor het bepalen van de ontgravingsklasse (zie het kopje ‘Ontgravingskaart’ in deze bijlage). Met de minder strenge toets wordt voorkomen dat de bodemkwaliteit van een gebied op basis van één stof wordt ingedeeld in de bodemkwaliteitsklasse Industrie. Dit zou in de praktijk de ongewenste situatie kunnen opleveren dat ook voor alle overige stoffen minder strenge regels gelden en de concentraties kunnen toenemen tot de maximale waarden voor de functie Industrie. Hierdoor verslechtert de kwaliteit van het gebied.

 

Tabel B1 Staffel toegestane aantal overschrijdingen.

Aantal gemeten stoffen

Aantal toegestane overschrijdingen

1-6

0

Basispakket (7-15)

2

16-26

3

27-36

4

37-48

5

 

Klasse Landbouw/natuur:

  • -

    Alle gehalten voldoen aan de norm voor de klassegrens Landbouw/natuur, met uitzondering van een aantal overschrijdingen, zie staffel tabel B1.

  • -

    De overschrijding mag maximaal tweemaal de norm voor de klassegrens Landbouw/natuur bedragen.

  • -

    De overschrijding is lager dan de norm voor klassegrens Wonen (exclusief nikkel, zie tabel B3 bij 'Toetsingswaarden Regeling bodemkwaliteit 2022').

Klasse Wonen:

  • -

    Alle gehalten voldoen aan de klassegrens Wonen, met uitzondering van een aantal overschrijdingen, zie staffel tabel B1.

  • -

    De overschrijding mag maximaal de norm voor de klassegrens Wonen plus de norm voor de klassegrens Landbouw/natuur bedragen.

  • -

    De overschrijding mag maximaal de norm voor de klassegrens Industrie bedragen.

Klasse Industrie:

  • -

    De norm voor klassegrens Wonen wordt overschreden.

  • -

    De norm voor klassegrens Industrie wordt niet overschreden.

Klasse Matig verontreinigd:

  • -

    De norm voor klassegrens Industrie wordt overschreden.

  • -

    De interventiewaarde bodemkwaliteit wordt niet overschreden.

Klasse Sterk verontreinigd:

  • -

    De interventiewaarde bodemkwaliteit wordt overschreden.

Voor het effect van gehalten aan PFAS-verbindingen op de indeling in kwaliteitsklassen, zie het kopje ‘PFAS-gehalten en effect op de kwaliteitsklassen’.

 

Bodemkwaliteitszone

Een deel van een bodembeheergebied waarvoor geldt dat er sprake is van eenzelfde gebiedseigen bodemkwaliteit, waarbij zowel de verwachtingswaarde als de mate van variabiliteit van belang zijn. De spreiding van gehalten binnen een bodemkwaliteitszone is relatief laag. Een bodemkwaliteitszone is begrensd in het horizontale vlak én het verticale vlak (diepte). Wanneer een bodemkwaliteitszone uit meerdere gebieden bestaat die niet aan elkaar grenzen, worden de individuele gebieden aangeduid als ‘niet-aaneengesloten bodemkwaliteitszone’.

 

Bodemlagen

Onder de Omgevingswet is geen sprake (meer) van boven – en ondergrond zoals gebruikt is onder de Wet bodembescherming (oud) en het Besluit bodemkwaliteit (oud). Onder de Omgevingswet wordt gesproken over bodemlagen; bijvoorbeeld:

  • -

    Bodemlaag 0-0,5 m-mv (werd omschreven als bovengrond).

  • -

    Bodemlaag 0,5-2,0 m-mv (werd omschreven als ondergrond).

Bijzondere omstandigheden

Voor een binnen een bodemkwaliteitszone liggend gebied geldt dat er sprake is van bijzondere omstandigheden, als er voor dat gebied een afwijkende verwachtingswaarde geldt ten opzichte van de verwachtingswaarde van de betreffende bodemkwaliteitszone. Te denken valt aan voor bodemverontreiniging verdachte locaties, onderzochte locaties, locaties waar een sanering heeft plaatsgevonden of locaties met onvoorziene visuele waarnemingen (bodemvreemde materialen, kleur, geur). Ook beschermde gebieden zoals bijvoorbeeld voor de ecologie, archeologie, aardkundige waarden en cultuurhistorie vallen onder de bijzondere omstandigheden. In gebieden met bijzondere omstandigheden kunnen vanuit andere wet- en regelgeving aanvullende eisen worden gesteld.

 

Deelgebied

Deel van een bodembeheergebied waarvoor geldt dat dit op eenduidige wijze kan worden gekarakteriseerd door middel van de voor het bodembeheergebied geldende onderscheidende gebiedskenmerken. In tegenstelling tot de bodemkwaliteitszone is er voor het deelgebied nog geen toetsing uitgevoerd of het daadwerkelijk een bodemkwaliteitszone is. Wanneer een deelgebied uit meerdere terreinen bestaat die niet aan elkaar grenzen, worden de individuele gebieden aangeduid als ‘niet-aaneengesloten deelgebieden’.

 

Diffuse chemische bodemkwaliteit

De diffuse chemische bodemkwaliteit in een bepaald gebied is de verdeling van gehalten van stoffen in dat gebied waarvoor de bodemkwaliteitskaart is vastgesteld. Deze verdeling kan worden gekwantificeerd door statistische parameters (gemiddelde, percentielwaarden waaronder de 95-percentielwaarde).

 

Grond

Vast materiaal dat bestaat uit minerale delen met een maximale korrelgrootte van 2 mm. Het organische stof moet in een verhouding en met een structuur zijn zoals deze in de bodem van nature wordt aangetroffen. Dit geldt ook voor van nature in de bodem voorkomende schelpen en grind met een korrelgrootte van 2 tot 63 mm, met uitzondering van baggerspecie (artikel 1 van het Besluit bodemkwaliteit).

 

Heterogeniteit

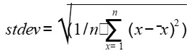
Wanneer de diffuse bodemverontreiniging in een zone zeer heterogeen is verdeeld, is de betrouwbaarheid van het gemiddelde gehalte in de zone ook kleiner. Bij zones met een hoge heterogeniteit kan de gemeente besluiten dat de bodemkwaliteitskaart in bepaalde situaties niet gebruikt mag worden als milieuverklaring bodemkwaliteit. Het vastgestelde gemiddelde gehalte heeft naar mening van de gemeente dan een te lage betrouwbaarheid. Een zekere heterogeniteit op zich hoeft overigens geen probleem te zijn zolang er geen sprake is van een gebruiksrisico. De heterogeniteit van een stof in een zone wordt bepaald door een index die volgt uit de volgende formule:

 

 

De beoordeling van de heterogeniteitsindex is als volgt:

Index < 0,2 : weinig heterogeniteit

0,2 < Index < 0,5 : beperkte heterogeniteit

0,5 < Index < 0,7 : er is sprake van heterogeniteit

Index > 0,7 : sterke heterogeniteit

 

Interventiewaarde bodemkwaliteit

Waarde die aangeeft dat bij overschrijding sprake is van significante risico's voor mens, plant of dier (bijlage I van het Besluit activiteiten leefomgeving (Bal)). De interventiewaarden bodemkwaliteit staan in bijlage IIa van het Bal. Deze waarden bepalen onder andere het onderscheid tussen de activiteiten graven in de bodem met een kwaliteit onder of gelijk aan de interventiewaarden bodemkwaliteit en graven in de bodem met een kwaliteit boven de interventiewaarden bodemkwaliteit.

 

Kwaliteitsklasse

Klasse waarin grond, baggerspecie, landbodem of waterbodem op grond van artikel 25d van het Besluit bodemkwaliteit ingedeeld kan worden op basis van milieuhygiënische kwaliteitseisen. De kwaliteitsklassen komen bij diverse milieubelastende activiteiten uit het Besluit activiteiten leefomgeving voor, waaronder bij het toepassen van grond of baggerspecie.

De kwaliteitseisen die de bovengrens vormen voor een kwaliteitsklasse staan in bijlage B van de Regeling bodemkwaliteit 2022. Zie: Kwaliteits- en bodemfunctieklassen bij activiteiten op of in de bodem.

 

Kwaliteitsklassen voor landbodem en grond

De normen van de kwaliteitseisen staan in tabel 1 van bijlage B van de Regeling bodemkwaliteit 2022. Deze kwaliteitseisen bepalen in welke kwaliteitsklasse de landbodem of de grond valt. Voor sommige stoffen zijn de kwaliteitseisen soms getalsmatig hetzelfde. Bijvoorbeeld voor de meeste metalen is de kwaliteitseis 'Industrie' gelijk aan de Interventiewaarde bodemkwaliteit. Dan is er geen kwaliteitsklasse ‘matig verontreinigd’ mogelijk op basis van deze metalen. Hetzelfde geldt voor minerale olie, waarbij de kwaliteitseis 'Landbouw/natuur' en de kwaliteitseis 'Wonen' hetzelfde zijn. Er is dan geen kwaliteitsklasse 'Wonen' op basis van minerale olie mogelijk.

 

Kwaliteitsklassen voor landbodem en grond

 

Lokale bron (puntbron)

Duidelijk aanwijsbare bron voor een eventuele bodemverontreiniging zoals bijvoorbeeld een ondergrondse tank voor de opslag van olie, een chemische wasserij, een brandweeroefenplaats, een ontvettingsbad of een afleverzuil voor brandstof(fen).

 

Milieubelastende activiteit

Onder de Wet milieubeheer en het Activiteitenbesluit werd dit aangeduid als ‘bodembedreigende activiteiten’.

Een milieubelastende activiteit is een activiteit die nadelige gevolgen voor het milieu kan veroorzaken. Een wateronttrekkingsactiviteit en een lozingsactiviteit op een oppervlaktewaterlichaam of zuiveringtechnisch werk zijn geen milieubelastende activiteiten in de zin van de Omgevingswet.

Lees meer over het begrip milieubelastende activiteit.

 

Milieuverklaring bodemkwaliteit en afleverbon

Schriftelijke verklaring over de milieuhygiënische kwaliteit van een partij bouwstof, grond, baggerspecie, mijnsteen of vermengde mijnsteen of de (water)bodem, die is afgegeven op grond van het Besluit bodemkwaliteit (Bbk). De verklaring is bedoeld om als wettig bewijsmiddel te dienen dat aan de kwaliteitseisen is voldaan, behalve als sprake is van bewijs van onjuistheid of onvolledigheid. In het Bbk staan in hoofdstuk 2A regels voor de afgifte van milieuverklaringen bodemkwaliteit. De milieuverklaring bodemkwaliteit koppelt de informatie over de kwaliteit van de partij aan de onderzoeken en informatie die daaraan ten grondslag liggen. Dit kunnen een partijkeuring, (water)bodemonderzoek, (water)bodemkwaliteitskaart, productcertificaat of fabrikant-eigen-verklaring zijn. De uitwerking van deze regels staat in de Regeling bodemkwaliteit 2022. Zie: Milieuverklaring bodemkwaliteit.

 

Niet gezoneerd gebied

Gebieden kunnen worden gezoneerd wanneer er voldoende meetgegevens beschikbaar zijn om te voldoen aan de eisen uit de Handreiking bodemkwaliteitskaarten. Wanneer er onvoldoende meetgegevens beschikbaar zijn, kan de actuele diffuse chemische bodemkwaliteit van het gebied niet met een voldoende onderbouwing en betrouwbaarheid worden bepaald en wordt het deelgebied niet gezoneerd. Een gebied kan ook niet worden gezoneerd als niet wordt voldaan aan de eisen voor de spreiding van de meetgegevens uit de Handreiking bodemkwaliteitskaarten. Een niet gezoneerd gebied kan ook ontstaan als de gemeente er bewust voor kiest een gebied niet op te nemen in de bodemkwaliteitskaart (zie ook: Uitgesloten locaties en gebieden).

 

Niet-verdachte locatie voor bodemverontreiniging

Een locatie waar geen lokale bron, zoals bijvoorbeeld een ondergrondse huisbrandolietank of een chemische wasserij, een brandweeroefenplaats, een ontvettingsbad, een afleverzuil voor brandstof(fen)of een geval van ernstige bodemverontreiniging aanwezig is (geweest).

 

Onderscheidende gebiedskenmerken

Kenmerken in een gebied waarvan verwacht wordt dat deze een verband vertonen met de bodemkwaliteit. Bijvoorbeeld: bodemtype, geomorfologie, landgebruik, historie, gebiedsontwikkeling en huidig gebruik.

 

Ontgravingskaart op basis van algemene regels

De ontgravingskaart geeft de te verwachten kwaliteit aan van de eventueel te ontgraven grond. Deze kaart mag onder bepaalde voorwaarden worden gebruikt als milieuverklaring bodemkwaliteit voor de chemische kwaliteit van de te ontgraven grond, als deze grond functioneel wordt toegepast. De ontgravingskwaliteit is gebaseerd op de te verwachten gemiddelde gehalten van een zone en getoetst aan de toetsingswaarden uit Regeling bodemkwaliteit 2022. De kaart doet dus alleen een uitspraak over welke kwaliteit in het algemeen verwacht mag worden. De kwaliteit van een individuele partij kan daarvan afwijken.

In de Handreiking bodemkwaliteitskaarten is aangegeven dat bodemkwaliteitszones afhankelijk van de gemiddelde kwaliteit worden ingedeeld in één van de vijf onderscheiden bodemkwaliteitsklassen:

  • -

    Klasse Landbouw/natuur.

  • -

    Klasse Wonen.

  • -

    Klasse Industrie.

  • -

    Klasse Matig verontreinigd.

  • -

    Klasse Stek verontreinigd.

Bij de toetsingsmethodiek voor Landbouw/natuur wordt uitgegaan van een staffel (zie tabel B1 bij 'Bodemkwaliteitsklasse') voor het aantal toegestane overschrijdingen.

 

Klasse Landbouw/natuur:

  • -

    Alle gehalten voldoen aan de norm voor de klassegrens Landbouw/natuur, met uitzondering van een aantal overschrijdingen, zie staffel tabel B1.

  • -

    De overschrijding mag maximaal tweemaal de norm voor de klassegrens Landbouw/natuur bedragen.

  • -

    De overschrijding is lager dan de norm voor klassegrens Wonen (exclusief nikkel, zie tabel B3 bij 'Toetsingswaarden regeling bodemkwaliteit 2022').

Klasse Wonen:

  • -

    De gehalten voldoen niet aan de klasse Landbouw/natuur en de norm voor klassegrens Wonen wordt niet overschreden.

Klasse Industrie:

  • -

    De norm voor klassegrens Wonen wordt overschreden.

  • -

    De norm voor klassegrens Industrie wordt niet overschreden.

Klasse Matig verontreinigd:

  • -

    De norm voor klassegrens Industrie wordt overschreden.

  • -

    De interventiewaarde bodemkwaliteit wordt niet overschreden.

Klasse Sterk verontreinigd:

  • -

    De interventiewaarde bodemkwaliteit wordt overschreden.

Voor het effect van gehalten aan PFAS-verbindingen op de indeling in kwaliteitsklassen, zie het kopje ‘PFAS-gehalten en effect op de kwaliteitsklassen’.

 

Percentiel/percentielwaarde

Waarde waar beneden een bepaald percentage van de analyseresultaten gelegen is. Bijvoorbeeld 80-percentiel: 80% van de analyseresultaten ligt beneden deze waarde.

 

PFAS-gehalten en effect op de kwaliteitsklassen

(Bron: https://iplo.nl/thema/bodem/regelgeving/hergebruik-bouwstoffen-grond-baggerspecie/kwaliteitseisen-toepassen-grond-baggerspecie/handelingskader-pfas/veldwerk-analyse-toetsing/)

Tot het moment dat de toepassingswaarden voor PFAS in de Regeling bodemkwaliteit 2022 zijn opgenomen is de toetsing aan de PFAS-verbindingen een aanvullende (losse) toets ten opzichte van de toetsing op de reguliere parameters en indeling in kwaliteitsklassen. Dat betekent dat eerst de toetsing plaatsvindt op basis van de reguliere parameters en op basis daarvan een indeling in kwaliteitsklasse plaatsvindt.

 

Vervolgens vindt de toetsing aan de toepassingswaarden uit het handelingskader voor de PFAS-verbindingen plaats. Aan de hand van de aanvullende toetsing stelt u vervolgens vast in hoeverre beperkingen aan de toepassing gelden, bijvoorbeeld een verbod op het toepassen in oppervlaktewater. Voor PFAS zijn de bijzondere toetsregels voor het toetsen aan de bodemkwaliteitsklasse landbouw/natuur of maximale waarde wonen niet van toepassing, omdat nog geen toepassingswaarden zijn opgenomen in bijlage B van de Regeling bodemkwaliteit 2022. Ook tellen de gemeten PFAS niet mee als gemeten stoffen bij de bijzondere toetsregels voor het toetsen aan de bodemkwaliteitsklasse landbouw/natuur of maximale waarde wonen.

 

Bij de inbouw van het handelingskader in de Regeling bodemkwaliteit 2022 wordt de wijze van toetsen aan toepassingswaarden nader ingevuld. De toetsingsprogramma’s en BoToVa zijn nog niet ingericht op het toetsen op PFAS-analyses. Dat betekent dat tijdelijk de uitslagen uit toetsingsprogramma’s en BoToVa handmatig moeten worden geverifieerd voor PFAS.

 

Hieronder zijn 2 voorbeelden uitgewerkt

 

Voorbeeld 1

Als een partij grond op basis van de overige stoffen is gekwalificeerd in de bodemkwaliteitsklasse Wonen, dan moet aanvullend de PFAS-gehalten worden getoetst aan de toepassingswaarden uit het handelingskader. Dit kan leiden tot de volgende drie situaties:

  • Als alle PFAS-gehalten zijn aangetoond beneden de rapportagegrens, dan blijft de indeling in kwaliteitsklasse Wonen staan en gelden geen aanvullende toepassingsvoorwaarden. De partij kan als bodemkwaliteit Wonen worden toegepast zonder aanvullende voorwaarden.

  • Als één of meerdere PFAS-gehalten zijn aangetoond boven de rapportagegrens maar alle PFAS-gehalten voldoen aan de toepassingswaarden voor de bodemkwaliteitsklasse Wonen (7 µg/kg d.s. voor PFOA en 3 µg/kg d.s voor de overige PFAS), blijft de indeling in kwaliteitsklasse Wonen staan, maar gelden wel beperkingen aan de toepassing: in grondwaterbeschermingsgebieden.

  • Als één of meerdere PFAS-gehalten zijn aangetoond boven de toepassingswaarden van 7 µg/kg d.s. voor PFOA en 3 µg/kg d.s voor de overige PFAS is deze niet toepasbaar onder de algemene regels van de Omgevingswet. Toepassing van de partij kan alleen plaatsvinden als voor dat gebied maatwerkregels in het gemeentelijke omgevingplan zijn opgenomen, of dat sprake is van overgangsrecht (voorheen gebiedsspecifieke beleid; er zijn voor 2024 in een nota bodembeheer Lokale Maximale Waarden door het bevoegd gezag zijn gedefinieerd en bestuurlijk vastgesteld).

Voorbeeld 2

Als een partij grond op basis van de overige stoffen is gekwalificeerd in de bodemkwaliteitsklasse Landbouw/Natuur, dan moet aanvullend de PFAS-gehalten worden getoetst aan de landelijke achtergrondwaarden (1,9 µg/kg d.s voor PFOA en 1,4 µg/kg d.s voor de andere PFAS) en bij overschrijding daarvan ook toetsen aan de toepassingswaarden voor 7 µg/kg d.s. voor PFOA en 3 µg/kg d.s. voor de overige PFAS). Dit kan leiden tot de volgende vier situaties:

  • Als alle PFAS-gehalten kleiner zijn dan de bepalingsgrens, blijft de indeling in kwaliteitsklasse Landbouw/Natuur staan en gelden geen toepassingsvoorwaarden. Kortom alle toepassingen zijn toegestaan.

  • Als een PFAS-gehalte aangetoond wordt boven de rapportagegrens (0,1 µg/kg d.s) maar beneden de landelijke achtergrondwaarden (van 1,9 µg/kg d.s. voor PFOA en 1,4 µg/kg d.s voor de andere PFAS), dan blijft de indeling in kwaliteitsklasse Landbouw/Natuur staan, maar gelden wel toepassingsvoorwaarden: toepassing van grond op de landbodem in grondwaterbeschermingsgebieden is niet toegestaan, tenzij er sprake is van gebiedseigen grond.

  • Als een PFAS-gehalte aangetoond wordt boven de landelijke achtergrondwaarde (van 1,9 µg/kg d.s voor PFOA en 1,4 µg/kg d.s voor de andere PFAS) en onder de toepassingswaarden van 7 ug/kg d.s. voor PFOA en 3 µg/kg d.s voor de overige PFAS, dan blijft de indeling in kwaliteitsklasse Landbouw/Natuur staan, maar kan de partij uitsluitend toegepast in gebieden met de kwaliteitsklassen Wonen of Industrie als toepassingseis of in gebieden waarvoor verhoogde lokale achtergrondwaarden zijn vastgesteld.

  • Als één of meerdere PFAS-gehalten zijn aangetoond boven de toepassingswaarden van 7 ug/kg d.s. voor PFOA en 3 µg/kg d.s voor de overige PFAS, dan valt de partij grond in de kwaliteitsklasse Matig verontreinigd of Sterk verontreinigd. Toepassing van de partij kan alleen plaatsvinden als voor dat gebied maatwerkregels in het gemeentelijke omgevingsplan zijn opgenomen, of dat sprake is van overgangsrecht (voorheen gebiedsspecifieke beleid; er zijn voor 2024 in een nota bodembeheer Lokale Maximale Waarden door het bevoegd gezag zijn gedefinieerd en bestuurlijk vastgesteld).

Standaarddeviatie

Ook wel ‘standaardafwijking’ genoemd. Het geeft de mate aan voor de spreiding van meetgegevens in een dataset. De berekening hiervan is als volgt:

 

 

Hierbij is n het aantal analyseresultaten, x een individueel analyseresultaat en ¯x het gemiddelde van de analyseresultaten.

 

Toepassingseis toe te passen grond op of in de bodem op basis van algemene regels

Deze kaart geeft de maximale kwaliteitseisen weer waaraan de toe te passen grond moet voldoen. Bij de toepassingskaart op basis van algemene regels wordt gekeken naar de vastgestelde bodemkwaliteit en de (toekomstige) functie van de bodem. Op basis van deze dubbele toets, waarbij de strengste toets doorslaggevend is, wordt voor elke bodemkwaliteitszone de toepassingseis vastgesteld.

 

  • 1

    De gehalten aan PFAS-verbindingen moeten voldoen aan de landelijke achtergrondwaarden.

  • 2

    Het gehalte aan PFOA moet voldoen aan 7 μg/kg ds en de gehalten aan de andere PFAS-verbindingen moeten voldoen aan 3 μg/kg ds.

Toetsing toepassen grond

Om te beoordelen of het toepassen van grond is toegestaan wordt de kwaliteit van de toe te passen grond vergeleken met de toepassingseis die geldt voor de ontvangende bodem. De kwaliteit van de toe te passen grond kan worden bepaald op basis van een bodemkwaliteitskaart, partijkeuring of een ander erkend milieuverklaring bodemkwaliteit. De toepassingseis kan worden bepaald op basis van de bodemkwaliteitskaart (gezoneerde gebieden) of bodemonderzoek van de ontvangende bodem (niet gezoneerde gebieden).

 

 

Toetsingswaarden Regeling bodemkwaliteit 2022 en Handelingskader hergebruik PFAS-houdende grond en baggerspecie

Om een zone te karakteriseren moet een toetsing plaatsvinden aan de gestelde normen uit de Regeling bodemkwaliteit 2022 en het Handelingskader hergebruik PFAS-houdende grond en baggerspecie. Deze toetsingsnormen zijn in de onderstaande tabel weergegeven.

 

Tabel B3 Toetsingsnormen (in mg/kg ds voor standaardbodem -lutum 25%, org.stof 10%-, uitgezonderd PFAS-verbindingen -gemeten waarden-).

Stof

Maximale waarden Landbouw/natuur

Maximale waarden wonen

Maximale Waarden Industrie

Barium *

n.v.t.

Cadmium

0,60

1,2

4,3

Kobalt

15

35

190

Koper

40

54

190

Kwik

0,15

0,83

4,8

Lood

50

210

530

Molybdeen

1,5

88

190

Nikkel *

35

39

100

Zink

140

200

720

Som PAK

1,5

6,8

40

Som PCB

0,02

0,04

0,5

Minerale olie

190

190

500

PFOA21 zonder vastgestelde achtergrondwaarde

0,0019

Andere PFAS-verbindingen zonder vastgestelde achtergrondwaarde

0,0014

PFOA

0,0019

0,007

Andere PFAS-verbindingen

0,0014

0,003

  • *

    De normstelling in de Regeling bodemkwaliteit voor barium en nikkel zijn door het voormalige Ministerie van VROM sinds 1 april 2009 gewijzigd (Staatscourant, 7 april 2009). Voor nikkel vindt voor schone grond (klasse Landbouw/natuur) geen toetsing meer plaats aan de maximale waarde voor de bodemkwaliteitsklasse wonen. Voor barium is besloten alle toetsingsnormen tijdelijk in te trekken als aangetoond kan worden dat er geen sprake is van een verontreiniging veroorzaakt door activiteiten van de mens. Als een verhoogd gehalte van barium is veroorzaakt door een activiteit door de mens, kan dit gehalte door het bevoegd gezag worden beoordeeld op basis van de voormalige interventiewaarde bodemkwaliteit voor barium: 920 mg/kg ds.

Uitbijters

Een uitbijter is een gehalte in het gegevensbestand dat niet representatief is voor de diffuse chemische bodemkwaliteit in een deelgebied. De (potentiële) uitbijters worden met een visuele methode (scatterplots) inzichtelijk gemaakt. Het niet representatieve gehalte is het gevolg van duidelijk aantoonbare menselijke activiteiten: puntverontreinigingen, verdachte locaties, typfouten tijdens invoer.

 

Uitgesloten locaties en gebieden

Uitgesloten locaties en gebieden zijn terreinen die op beleidsmatige grond niet kunnen worden opgenomen in de bodemkwaliteitskaart of niet voldoen aan de minimumeisen voor het aantal en de spreiding van de meetgegevens uit de Handreiking bodemkwaliteitskaarten. Voorbeelden zijn onder andere terreinen waar sprake is van een sanering of verontreiniging door een lokale activiteit. Ook terreinen die in het beheer zijn van andere organisaties zoals Rijkswaterstaat (rijkswegen), de provincie (provinciale wegen), ProRail/NS Vastgoed (spoorgebonden gronden) worden soms uitgesloten van de bodemkwaliteitskaart.

 

Variabiliteit

Mate waarin de gehalten binnen een bodemkwaliteitszone variëren.

 

Variatiecoëfficiënt

Maat voor de spreiding in gehalten (standaarddeviatie gedeeld door het gemiddelde).

 

Vrij grondverzet

Van vrij grondverzet is sprake als voorafgaand aan het grondverzet de kwaliteit van de grond niet hoeft te worden vastgesteld.

 

Wegberm

Onder de onverharde wegbermen wordt verstaan de strook grond naast de verharde (klinker- of asfalt)weg. De strook omvat de bodemlaag tot maximaal 0,5 meter diepte, en heeft gerekend vanuit de wegverharding een maximale breedte van 10 meter. De onverharde wegberm wordt begrensd door (zie ook figuur B1.1):

  • -

    de erfgrens of;

  • -

    de meest afgelegen insteek van een droge bermsloot of;

  • -

    de meest nabij gelegen insteek van een natte bermsloot of;

  • -

    als voorgaande niet aanwezig zijn, de overgang naar andere begroeiing (houtopstanden zoals hagen, struiken, bosschages, bos).

Voor wegbermen langs dijkwegen en voor wegbermen gelegen in gebieden van het Natuurnetwerk Nederland (NNN, de voormalige Ecologische Hoofdstructuur) geldt voor beide zijden van het wegvak een strook van maximaal 2 meter. Dit in verband met de ecologische functie van de wegbermen. Buiten de aangegeven strook mag in de wegbermen alleen schone grond worden toegepast.

 

Figuur B1.1 Begrenzing wegbermen (bron: brief van het voormalige Ministerie van Verkeer en Waterstaat, Dienst Verkeer en Scheepvaart, kenmerk RWS/DVS‐2009/2932, 19 november 2009).

Bijlage 2 Dataset bodemkwaliteits-kaart

 

Dataset bodemkwaliteitskaart

 

INLEIDING

De Handreiking bodemkwaliteitskaarten stelt dat de meetgegevens niet ouder mogen zijn dan 5 jaar. Omdat naar verwachting de beschikbaar gekomen meetgegevens in de afgelopen 5 jaar niet afwijken van de meetresultaten die meer dan 5 jaar geleden beschikbaar zijn gekomen, is de dataset van de bodemkwaliteitskaart (2019) aangevuld met de meetgegevens die sindsdien beschikbaar zijn gekomen. Dit geeft een nog betere onderbouwing van de te verwachten diffuse chemische bodemkwaliteit.

 

De Omgevingsdienst Flevoland & Gooi en Vechtstreek heeft de voor de bodemkwaliteitskaart representatieve en nieuw beschikbaar gekomen bodemonderzoeken geselecteerd. Hieronder staat een overzicht van de onderzoeken die voor de actualisatie van de provincie-brede bodemkwaliteitskaart (2019) zijn gebruikt.

 

GESELECTEERDE ONDERZOEKEN

 

Onder-zoek ID

Locatie ID

Locatie-code

Locatienaam en Onderzoeksnaam

Rapport-nummer

Rapport-datum

813797

598644

NZ008800041

Houtwijk 20, Dronten

M20B0282_BVKK_246907

7-7-2021

813816

598663

NZ008800060

Oud Emmeloorderweg 16, Nagele

19260-AvA

6-8-2019

813827

598674

NZ008800071

Industrieterrein de Munt Locatie D, Emmeloord

201717

23-12-2020

813826

598673

NZ008800070

Baan 36, Ens

20-333

6-10-2020

813832

598679

NZ008800076

De Paal 14, Almere

AM21135

813828

598675

NZ008800072

Percelen Westgat, Urk

BO20200124

3-11-2020

813829

598676

NZ008800073

Wittevrouwen, Almere

21014501A

31-3-2021

813758

598605

NZ008800002

Trojestraat 70, Almere

420.299.104

9-4-2020

813825

598672

NZ008800069

Rister, Biddinghuizen

BO205091/TB

16-12-2020

813813

598660

NZ008800057

Betonstraat 8, Lelystad

181385

17-7-2018

813815

598662

NZ008800059

Onderduikersweg 3, Emmeloord

190064

22-2-2019

813831

598678

NZ008800075

Dronterweg 27, Dronten

m19b0138.r01

18-6-2019

813833

598680

NZ008800077

Emmelhage fase 3, Emmeloord

21-M9883

11-6-2021

813814

598661

NZ008800058

Homerusplein ong, Almere

19046601A

19-7-2019

813835

598682

NZ008800079

Steenstraat 9, Lelystad

20012.eva

8-6-2020

813824

598671

NZ008800068

Loofklapper, Biddinghuizen

BO205089/TB

16-12-2020

813812

598659

NZ008800056

Productieweg tussen 13 en 15, Emmeloord

B020180112

28-8-2018

813817

598664

NZ008800061

Espelerpad 6, Espel

EN05198

22-8-2019

813836

598683

NZ008800080

Zuiderkade 14A, Emmeloord

BO223439/JJS

4-4-2022

813834

598681

NZ008800078

Fort Ruigerhoek kavel 4021, Almere

21027801A

30-6-2021

813807

598654

NZ008800051

Koornmarktpoort, Dronten

BO213049/TB

25-1-2020

813804

598651

NZ008800048

Bumalaan, Emmeloord

21-M9684

3-2-2021

813779

598626

NZ008800023

Horsterweg 25, Zeewolde

20033001A

18-6-2020

813802

598649

NZ008800046

Bolderweg 34b, Almere

190775/dh/sh

25-2-2020

813838

598685

NZ008800082

Noordermiddenweg 19 en 21, Creil

200472

15-1-2021

813811

598658

NZ008800055

Schokkerhoek, Urk

190319

10-10-2019

813806

598653

NZ008800050

Sassenpoort, Dronten

BO205086/TB

18-12-2020

813819

598666

NZ008800063

Blokzijlerdwarsweg 12, Marknesse

BO20190146

1-11-2019

813759

598606

NZ008800003

Rhijnauwen/Fort de Gagel (sectie D, percelen 387 en 443),Almere

18099301A

14-2-2019

813764

598611

NZ008800008

Bedrijventerrein Ens, Ens

202082

17-2-2021

813823

598670

NZ008800067

Klein Brandt Sportpark (ong.), Almere

02P013696-ADV-01-RBH

5-7-2019

813761

598608

NZ008800005

Rode Klif, Lelystad

18289.eva

6-3-2019

813776

598623

NZ008800020

Sluisstraat 11, Lelystad

BO20180131

22-10-2018

813846

598693

NZ008800090

Oslolaan 4, Urk

BO20180110

30-8-2018

813798

598645

NZ008800042

Lisdoddeweg / Larserringweg, Lelystad

22107

21-6-2022

813830

598677

NZ008800074

Hospitaalpromenade (ong.), Almere

21024201A

21-4-2021

813808

598655

NZ008800052

Korenmaaier, Biddinghuizen

BO213420/TB

25-3-2021

813849

598696

NZ008800093

WERKTUIGENWERK 5 TE EMMELOORD

31857

13-10-2019

813763

598610

NZ008800007

Kreekbos Zuid (Hofje 3 en 4), Almere

20073401A

10-12-2020

813784

598631

NZ008800028

Oosterringweg 65I ,Bant

21115

29-3-2021

813786

598633

NZ008800030

Venelaan 1 te Rutten

20-M9345

15-6-2020

813805

598652

NZ008800049

Bouwweg 19, Lelystad

BO20180029

6-4-2018

813845

598692

NZ008800089

Westermeerweg 3, Tollebeek

1.224.195

10-1-2019

813775

598622

NZ008800019

Narcisstraat 14, Swifterbant

32067

4-12-2019

813847

598694

NZ008800091

Vlonderweg (naast nummer 6,) Almere

21027601A

3-6-2021

813768

598615

NZ008800012

Koningsbeltweg ten zuiden van nr. 31, Almere

21010701A

12-3-2021

813796

598643

NZ008800040

Oostvaardersdiep 16, Almere

480.423.100

23-12-2023

813787

598634

NZ008800031

Grietenij (ong.), Lelystad

210047

1-3-2021

813765

598612

NZ008800009

Kuilweg 12, Biddinghuizen

2027017

7-4-2020

813767

598614

NZ008800011

Koningsbeltweg (ten noorden van 72), Almere

21010601A

11-3-2021

813778

598625

NZ008800022

Oosterringweg 34, Luttelgeest

BO20200091

22-7-2020

813780

598627

NZ008800024

Nabij Larserdreef, Lelystad

14P003115-ADV01

29-5-2020

813782

598629

NZ008800026

Oogstveld 8, Ens

20260

26-10-2020

813789

598636

NZ008800033

Vollenhoverweg 25, Marknesse

21247-AvA

15-6-2021

813762

598609

NZ008800006

De Striptekenaar, Almere

20055902A

4-3-2021

813766

598613

NZ008800010

Meerveldstraat 59 te Almere

203008/JJS

30-1-2020

813773

598620

NZ008800017

Creilerpad 14, Creil

190639

31-7-2019

813774

598621

NZ008800018

Lindeweg 9, Emmelord

BO20190168

12-11-2019

813795

598642

NZ008800039

Lucernehof 58, Nagele

22273-AvA

14-10-2022

813809

598656

NZ008800053

Spieringweg 3, Dronten

19276-AvA

6-11-2019

813771

598618

NZ008800015

Creilerpad 19b, Creil

180329/dh/am

20-4-2018

813799

598646

NZ008800043

GROENEWOUDSEWEG 71, ZEEWOLDE

P21-0531-004

8-10-2021

813792

598639

NZ008800036

De Steiger 183 - 187 , Almere

153276

30-7-2021

813757

598604

NZ008800001

Homeruskwartier, Almere

420.299.105

16-6-2020

813841

598688

NZ008800085

Bisonweg 11, Swifterbant

10.608.004

22-12-2020

813777

598624

NZ008800021

Titaniumweg 4, Emmeloord

20033301A

10-6-2020

813821

598668

NZ008800065

Leemringweg 19, Kraggenburg

2020235

26-3-2020

813848

598695

NZ008800092

bodestraat almere

20025501A

30-4-2020

813800

598647

NZ008800044

Drietorensweg 36, Ens

201234/wj/sh

24-2-2021

813781

598628

NZ008800025

Oudebosweg 14 ,Dronten

21219-AvA

29-3-2021

813788

598635

NZ008800032

Parkwijk, Lelystad

180108_135125

19-1-2018

813820

598667

NZ008800064

Dronterringweg 1, Swifterbant

BO20200010

11-2-2020

813844

598691

NZ008800088

De Maalstroom te Swifterbant

BO204992/TB

18-12-2020

813785

598632

NZ008800029

De Deel nr. 22, Emmeloord

20-M9344

12-6-2020

813791

598638

NZ008800035

Revelsant 16, Emmeloord

2020-0062

13-2-2020

813760

598607

NZ008800004

Eggestraat 35, Nagele

182131

5-11-2018

813769

598616

NZ008800013

Rondebeltweg (ten oosten van nummer 110), Almere

21010801A

12-3-2021

813818

598665

NZ008800062

Akkerhof 3, Biddinghuizen

19051

1-4-2019

813793

598640

NZ008800037

Arendweg 17, Lelystad

xop.lls.20123.r01

16-6-2020

813783

598630

NZ008800027

Randstad 2002, Almere

2005N651/BST/rap1

14-7-2020

813810

598657

NZ008800054

Groene Velden, Lelystad

0235101 A

23-7-2002

813851

598698

NZ008800095

Ramsweg 8A, Ens

R69549

15-4-2020

813790

598637

NZ008800034

Ecopark, Emmeloord

BO214988/SK

22-12-2021

813837

598684

NZ008800081

Westgat 2a, Urk

18261

29-10-2018

813772

598619

NZ008800016

Hertenpad 2, Kraggenburg

18263-02

5-3-2019

813801

598648

NZ008800045

Onderstation Lelystad, Lelystad

M20B0184

11-12-2020

813840

598687

NZ008800084

Stationsuitbreiding , Almere

1277734

6-11-2020

813794

598641

NZ008800038

Vogelweg 47, Zeewolde

22ZP0016-01

26-4-2022

813850

598697

NZ008800094

Baardmeesweg 9, Zeewolde

D10032254 44

28-5-2021

813770

598617

NZ008800014

Hefbrugweg (nabij nr. 28), Almere-Buiten

18022801A

30-8-2018

813822

598669

NZ008800066

De Helling 15, Dronten

19-M8800

12-3-2019

813803

598650

NZ008800047

Paardenmarkt, Emmeloord

BO204605/AM

9-10-2020

813843

598690

NZ008800087

Kadoelenweg 16, Kraggenburg

1976.01.181.r1

23-1-2018

813852

598699

NZ008800096

Energieweg 3, Dronten

Z2021004029

3-9-2021

813839

598686

NZ008800083

Noordzijde 8-10, Emmeloord

190054

28-2-2019

813842

598689

NZ008800086

Van den Hamlaan 2, Dronten

1.224.167.001

30-4-2018

 

Bijlage 3 Specificatie uitbijter

 

Specificatie uitbijter

 

Onder-zoek ID

Locatie ID

Monster

Locatienaam en Onderzoeksnaam

uitbijter(s)

Reden

813844

598691

13-1

De Maalstroom te Swifterbant

Olie (6100)

Lokale verontreiniging

Alle overige potentiële uitbijters betroffen invoerfouten; deze zijn allen vervangen door de juiste gehalten.

 

Bijlage 4A Statistische parameters NEN5740 bodemkwaliteits-zones (waarden standaardbodem)

 

STATISTISCHE PARAMETERS NEN5740 BODEMKWALITEITSZONES (WAARDEN STANDAARDBODEM)

 

 

Bijlage 4B Statistische parameters PFAS-verbindingen bodemkwaliteits-zones (gemeten waarden)

 

STATISTISCHE PARAMETERS PFAS-VERBINDINGEN BODEMKWALITEITS-ZONES (GEMETEN WAARDEN)

 

 

Bijlage 4C Statistische parameters NEN5740 bodemkwaliteits-zones (gemeten waarden)

 

STATISTISCHE PARAMETERS NEN5740 BODEMKWALITEITSZONES (gemeten waarden)

 

Bijlage 5 Risicobeoordeling BKK-zone ‘B6 Bermen provinciale wegen NOP’

 

Risicobeoordeling BKK-zone ‘B6. Bermen provinciale wegen NOP’

 

Resultaten RisicotoolboxBodem.nl 

Risico's behorende bij chemische bodemkwaliteit en functie 

Algemeen 

V. RTB: 

V. rapport: 

1.1.3.4 

1.14 

Naam berekening: 

Modus: 

Monstergroep: 

Bodemgebruiksfunctie: Bijzonderheden: 

<Nieuw> 

berekenen risico’s actuele bodemkwaliteit 

/Bkk bermen Flevoland/NOP 

Ander groen, bebouwing, infrastructuur en industrie Humane biobeschikbaarheid lood: 0,74 

 

Status van deze berekening 

De risicotoolbox berekent de risico’s van een chemische bodemkwaliteit voor milieu, mens en landbouwproductie die horen bij een ingevoerde chemische bodemkwaliteit en bodemfunctie. De risicotoolbox maakt hiervoor  gebruik van wetenschappelijke modellen uit de normstellingspraktijk. Modellen kunnen slechts een voorspelling geven van te verwachten risico's. De kwaliteit van deze voorspellingen wordt bepaald door de betrouwbaarheid van de modellen en de mate waarin deze van toepassing zijn op de lokale situatie. De modellen achter de risicotoolbox hebben uiteenlopende betrouwbaarheden en de toepasselijkheid hangt sterk af van de lokale situatie. De verantwoordelijkheid voor de interpretatie van de resultaten ligt bij de gebruiker van het instrument.

 

Het bovenstaande betekent dat voorspellingen van risico's die zowel boven als onder bodemgebruiksvorm relevante - risicogrenswaarde liggen slechts indicatief zijn. Juist bij risicogrenswaarden liggen is het belangrijk om hierbij in de interpretatiefase stil te staan. De manieren rekenen :

 

  • 1)

    Berekenen van de risico's van voorgestelde Lokale Maximale Waarden 

  • 2

    Rekenen aan de risico's van de actuele chemische bodemkwaliteit

Deze berekening is het resultaat van functie 2.

 

Functie 2: Rekenen aan de risico's van de actuele chemische bodemkwaliteit

 

Naast de eerste verplichte functie, waarin de risico's van Lokale Maximale Waarden worden berekend, kan de risicotoolbox ook de risico's van de actuele chemische bodemkwaliteit inzichtelijk maken.

De modelberekeningen zijn gebaseerd op de berekeningen in functie "1", uitgebreid met enkele aanvullende parameters. De uitkomsten geven de risico’s weer van de ingevoerde bodemkwaliteit in relatie tot de ingevoerde gebruiksfunctie. De ingevoerde bodemkwaliteit kan de gemiddelde bodemkwaliteit zijn van het betreffende gebied, maar er mag ook gekozen worden voor een andere percentielwaarde uit de verdeling van bodemkwaliteitsgegevens. Deze keuze dient te worden aangegeven bij het invoeren van de gegevens. De keuze voor een percentielwaarde heeft invloed op de betekenis van de uitslagen van de risicotoolbox, de gebruiker dient hier rekening mee te houden bij de interpretatie.

De uitkomsten in termen van risico’s zijn niet zonder meer van toepassing indien de ingevoerde bodemkwaliteit als

 

 

Resultaten 

Ecologische risico's 

Beschermingsniveau: Matig (Ander groen, bebouwing, infrastructuur en industrie) 

Stof Concentratie [mg/kg] (*) Concentratiegrens [mg/kg] Risico-index 

som-PAK 66,00 40,00 1,65

(*) Let op: op de ingevoerde concentratie is de standaardbodemtypecorrectie toegepast 

Humane risico's 

Stof 

Blootstelling [mg/kg lg/dag] 

Risicogrens [mg/kg lg/dag] 

Risico-index 

som-PAK 

Naftaleen 

Anthraceen  Benzo(a)anthraceen  Benzo(a)pyreen  Chryseen  Fluorantheen  Fenanthreen  Benzo(ghi)peryleen  Benzo(k)fluorantheen  Indeno(123cd)pyreen 

6,49E-06

6,12E-06

2,66E-06

2,13E-06

2,91E-06

7,02E-06

2,18E-05

1,96E-06

1,1E-06

2,17E-06 

0,04

0,04

5E-05

5E-06

0,0005

0,0005

0,04

0,03

5E-05

5E-05 

0,57 

0,00 

0,00 

0,05 

0,43 

0,01 

0,01 

0,00 

0,00 

0,02 

0,04 

Ecologische (mengsel) risico's (msPAF) 

Parameter 

Waarde 

PAF Anthraceen 

PAF Benzo(a)anthraceen PAF Benzo(a)pyreen 

PAF Chryseen 

PAF Fluorantheen 

PAF Fenanthreen 

PAF Naftaleen 

PAF Benzo(k)fluorantheen PAF Indeno(123cd)pyreen PAF Benzo(ghi)peryleen msPAF (mengsel) 

20,70 

15,60 

23,90 

19,30 

38,50 

48,70 

12,20 

4,58 

31,70 

19,30 

77,80 

 

 

Toelichting bij de resultaten 

Ecologische risico's 

De ecologische risico's in de risicotoolbox worden berekend door de concentratie van stoffen in de bodem (gecorrigeerd naar standaardbodem) te toetsen aan risicogrenswaarden. Deze risicogrenswaarden komen overeen met de grenswaarden die zijn gebruikt voor de afleiding van de Generieke Maximale Waarden. De ecologische grenswaarden worden beleidsmatig vastgesteld. Bij de onderbouwing van de grenswaarden wordt gebruik gemaakt van wetenschappelijk onderzoek naar de effecten van stoffen op soorten. In deze onderbouwing kan er voor een aantal stoffen rekening worden gehouden met de effecten van doorvergiftiging. 

 

Humane risico's 

In de risicotoolbox wordt de blootstelling van mensen aan stoffen als gevolg van bodemgebruik berekend met het model CSOIL. Dit model wordt ook gebruikt voor de afleiding van landelijke normen (Landelijke Maximale Waarden). In de risicotoolbox wordt het model doorgerekend met de lokatiespecifieke bodemkwaliteit en bodemeigenschappen. CSOIL berekent een levenslang gemiddelde blootstelling voor de gekozen bodemfunctie. Aan de bodemfunctie zijn belangrijke blootstellingsparameters gekoppeld (bijvoorbeeld: mate van gewasconsumptie, blootstelling van kinderen via inname van grond). 

 

Landbouw risico's 

De berekeningen van de landbouwrisico's worden uitgevoerd met de methoden die zijn gehanteerd voor de onderbouwing van de LAC2006 waarden. In de risicotoolbox worden deze methoden zoveel mogelijk locatiespecifiek ingezet (dat wil zeggen: rekening houdend met het lokale bodemtype). Voor de stoffen en landbouwproducten waarvoor dit niet mogelijk is, wordt getoetst aan de generieke LAC-waarden. 

 

Toxische druk (msPAF) 

Naast de standaard ecologische risicobeoordeling wordt in de risicotoolbox ook de toxische druk (op ecosystemen) van stoffen en van het mengsel van stoffen berekend. Net als in de standaard ecologische risicobeoordeling vormen wetenschappelijke gegevens over de effecten van stoffen op soorten de basis voor deze berekening . Bij de bepaling van de toxische druk wordt verder rekening gehouden met de lokale bodemeigenschappen (organisch stof, lutum en zuurgraad) en met de generieke achtergrondwaarde (AW2000). 

 

Let op: de berekening van toxische druk in de risicotoolbox is niet geschikt om het verspreiden van baggerspecie te toetsen. Gebruik hiervoor het instrument TOWABO. 

 

Voor aanvullende informatie over de berekeningen in de risicotoolbox: zie www.risicotoolboxbodem.nl/methoden 

 

Resultaten - grafisch 

 

 

 

 

Invoergegevens 

Stof 

Concentratie [mg/kg] 

Concentratie in 

standaardbodem [mg/kg] 

Type

 

Naftaleen 

Anthraceen Benzo(a)anthraceen Benzo(a)pyreen Chryseen 

Fluorantheen Fenanthreen Benzo(ghi)peryleen Benzo(k)fluorantheen Indeno(123cd)pyreen 

0,50 

2,90 

7,60 

6,20 

8,20 

16,00 

8,90 

5,90 

3,30 

6,50 

0,50 

2,90 

7,60 

6,20 

8,20 

16,00 

8,90 

5,90 

3,30 

6,50 

P95

P95

P95

P95

P95

P95

P95

P95

P95

P95 

Bodemeigenschappen: 

Organisch stof: Lutum: 

pH (CaCl2): 

3,2 % 7,4 %

 

Overzicht kaartbijlagen

 

Kaartbijlage 1

  • -

    Bodemfunctieklassenkaart

 

Kaartbijlagen 2

  • -

    Bodemkwaliteitszonekaart

 

Kaartbijlagen 3

  • -

    Ontgravingskaarten op basis van algemene regels

 

Kaartbijlagen 4

  • -

    Toepassingskaarten op basis van algemene regels

 

Kaartbijlagen 5

  • -

    Toepassingskaarten op basis van maatwerkregels

Naar boven