Beleidsregels Grondwaardebeleid voor nieuwe erfpachtuitgiften en bestaande erfpachtrechten 2025 en de verlenging van de transformatie-impuls

Het college van burgemeester en wethouders van Amsterdam,

 

gelet op artikel 160 eerste lid sub a en d van de Gemeentewet, en artikel 4:81 Algemene wet bestuursrecht

 

gezien de adviezen van de externe adviesgroep van 29 oktober 2024 en externe deskundige van

12 november 2024,

 

besluit de volgende regeling vast te stellen:

 

Beleidsregels Grondwaardebeleid voor nieuwe erfpachtuitgiften en bestaande erfpachtrechten 2025 en de verlenging van de transformatie-impuls. (beleidsregels grondwaardebeleid voor nieuwe erfpachtuitgiften en bestaande erfpachtrechten 2025)

 

Artikel 1

 

Samenvatting

 

Algemene beleidskaders

De meeste grond binnen de gemeentegrenzen is eigendom van de gemeente. Het komt dan ook vaak voor dat de gemeente als grondeigenaar actief betrokken is bij de stedelijke ontwikkeling. De gemeente Amsterdam stuurt actief op de verdere (her-)ontwikkeling van de stad. Grofweg zijn er twee hoofdvormen van gebieds- of locatieontwikkeling te onderscheiden:

  • Actief grondbeleid

  • Faciliterend grondbeleid

De gemeente Amsterdam geeft grond uit in erfpacht en is daarmee de erfverpachter. De verkrijger van het erfpachtrecht is de erfpachter. Uitgifte van grond in erfpacht betekent dat de grond in eigendom blijft van de gemeente - de gemeente heeft het zogenaamde bloot eigendom - en dat de erfpachter de grond mag gebruiken tegen een vergoeding in de vorm van een erfpachtcanon.

De gemeente voert dit beleid al sinds 1896: uitgifte in erfpacht is de regel en verkoop in vol eigendom de hoge uitzondering. Er zijn zowel voortdurende als eeuwigdurende erfpachtrechten in Amsterdam. Daarnaast is er nog een aantal tijdelijke erfpachtrechten. Sinds juli 2016 vinden nieuwe gronduitgiften in eeuwigdurende erfpacht plaats onder de Algemene Bepalingen voor eeuwigdurende erfpacht (AB2016). Erfpachters, waarvan het erfpachtrecht voor 2016 is uitgegeven, behouden hun voortdurende erfpachtrecht. Erfpachters met de bestemming wonen hebben de mogelijkheid om over te stappen van voortdurende naar eeuwigdurende erfpacht.

 

Via het voorliggend grondprijsbeleid wordt inzicht gegeven in hoe de gemeente de waarde van haar gronden bepaalt (de grondprijsmethoden) en de kaders, uitgangspunten en randvoorwaarden die daaraan ten grondslag liggen. Voor de grondprijsbepaling van nieuwe én bestaande erfpachtrechten geldt in de basis dezelfde methodiek, namelijk de genormeerd residuele methode. De residuele methode houdt kort in dat de waarde van de grond wordt bepaald door de marktwaarde van een object (grond en opstal) te verminderen met de waarde van de opstal. De gemeente past dit genormeerd en marktconform toe.

 

De grondprijzen worden in verschillende fasen van gebieds- en vastgoedontwikkeling gebruikt. Zo zijn grondprijzen nodig voor bouw- en gebiedsontwikkelingsplannen die op de korte en lange termijn tot ontwikkeling (en dus gronduitgifte) moeten leiden. Deze dienen dan om de opbrengsten in grondexploitaties te ramen. Daarnaast zijn grondprijzen nodig voor de daadwerkelijke uitgifte van erfpachtrechten ten behoeve van de vastgoed -of gebiedsontwikkeling. De grondprijs vormt dan de grondslag voor de canon of afkoopsom, die een erfpachter aan de gemeente verschuldigd is. Tot slot zijn grondprijzen nodig voor het bepalen van de financiële gevolgen van een wijziging van een bestaand erfpachtrecht, zoals een canonherziening bij het einde van een tijdvak, overstap naar eeuwigdurende erfpacht of bestemmings- en/of bebouwingswijziging.

 

Uitgangspunten van het grondwaardebeleid

De waarde van grond hangt samen met de locatie, de gebruiksmogelijkheden en –voordelen die de locatie aan de gebruiker biedt, en de marktwaardering daarvan. Per definitie is iedere locatie uniek. De waarde van grond is niet stabiel in de tijd. De grondwaarde wordt bepaald aan de hand van negen uitgangspunten:

  • Marktconforme grondprijzen

  • Functionele grondprijssystematiek

  • Genormeerd residuele methodiek

  • Bouwrijpe levering

  • Beperkte geldigheidsduur grondprijzen

  • Minimale grondwaarden

  • Grondprijsbeleid is volgend

  • Geen bovenwettelijke eisen in de grondprijsberekening

  • Depreciatie van de grondprijs bij bestaande erfpachtrechten

Toepassing van de genormeerd residuele methode

Grondwaarden worden zowel bij nieuwe erfpachtuitgifte als bestaande erfpachtrechten bepaald. De basis voor de grondwaardebepaling is zoveel als mogelijk de genormeerd residuele methode. Binnen deze methodiek zijn drie smaken te onderscheiden, namelijk een grondwaarde berekening op kavel- of gebiedsniveau, de WOZ/BSQ-methode en de vaste grondprijzen. Al deze smaken hebben als basis genormeerd residueel rekenen. Daarnaast gelden er minimale grondwaarden.

 

Genormeerd residueel rekenen op kavel- of gebiedsniveau

De grondwaarde voor vrije sector wonen en commercieel vastgoed, zoals, kantoren, bedrijven, horeca en winkels, wordt door de afdeling Strategie en Advies van Grond & Ontwikkeling genormeerd residueel bepaald. Dit geldt zowel voor grondprijzen ten behoeve van nieuwe uitgifte van erfpachtrechten als grondwaarden voor bestaande erfpachtrechten die wijzigen. Hieronder vallen ook de zogenaamde transformatieprojecten, waarbij een wijziging plaatsvindt van een bestaand erfpachtrecht waarbij de huidige niet-woon bestemming en/of bebouwing (gedeeltelijk) wordt gewijzigd in wonen en bij die wijziging minimaal vijf nieuwe woningen worden gerealiseerd.

 

Vaste genormeerd residuele grondwaarden

Voor particulier sociale huurwoningen en middeldure huurwoningen worden periodiek vaste grondwaarden bepaald, die gedurende een periode gelden. De marktwaarde en de stichtingskosten worden hierbij genormeerd residueel bepaald voor geheel Amsterdam om tot vaste grondwaarden te komen. Dit geldt voor:

  • Particuliere sociale verhuur

  • Sociale woningcorporaties

  • 25-jaars middeldure huur

  • Eeuwigdurende middeldure huur

Rekenen volgens de WOZ/BSQ methode

In de volgende gevallen worden de erfpachtgrondwaarden residueel bepaald aan de hand van de zogeheten WOZ/BSQ-methode:

  • voor bestaande erfpachtrechten met de bestemming wonen, én

  • bij bestaande erfpachtrechten waarbij de huidige niet-woon bestemming en/of bebouwing (gedeeltelijk) wordt gewijzigd in wonen en bij die wijziging maximaal vier nieuwe woningen worden gerealiseerd.

Deze methodiek wordt zowel voor voortdurende als voor eeuwigdurende erfpachtrechten toegepast.

 

Stichtingskosten en opstalwaarden

Het grondprijsbeleid maakt globaal gezien onderscheid tussen nieuwe uitgiften van erfpachtrechten en de bestaande erfpachtrechten van woningen. Beide type erfpachtrechten worden berekend op basis van stichtingskostenreferenties, maar verschillen zij in de berekeningsmethoden en de onderliggende uitgangspunten. In het ene geval wordt er gerekend met stichtingskosten en in het andere geval wordt er gerekend met opstalwaarden.

 

De stichtingskosten en opstalwaarden bestaan uit zowel de bouwkosten als de bijkomende kosten van een bouwwerk. De bouwkosten zijn de kosten die een aannemer in rekening brengt bij de opdrachtgever om de opstallen te realiseren, waaronder directe bouwkosten en opslagen voor de aannemer (indirecte bouwkosten). De bijkomende kosten zijn de kosten die nodig zijn voor de realisatie van de opstallen, zoals honoraria (voor architecten, constructeurs, en projectmanagers), leges, aansluitkosten, financieringskosten en kosten voor projectontwikkeling (algemene kosten, winst, en risicopremies). Het uitgangspunt hierbij is dat de grond bouwrijp is en dat er wordt gewerkt volgens algemene bouwstandaarden en de actuele bouwregelgeving. Bij transformaties worden extra sloopkosten meegenomen, exclusief saneringskosten en asbestverwijdering.

 

Bij de bepaling van de grondprijs wordt voor het gehanteerde stichtingskostenniveau een genormeerde methodiek gebruikt. Dit betekent dat de gemeente niet uitgaat van de feitelijke opbrengsten- en kostenniveaus die op dat moment bekend of beschikbaar zijn, maar van genormeerde kosten- en opbrengstenniveaus op basis van externe informatiebronnen voor vergelijkbare objecten. Deze methodiek impliceert dat de uitgangspunten van de gemeente kunnen afwijken van de daadwerkelijk gerealiseerde objecten. De gemeente Amsterdam heeft door externe bouwkostenadviesbureaus gestandaardiseerde stichtingskostenreferentiemodellen laten ontwikkelen omwille van deze genormeerde methodiek.

 

De duurzaamheidsvereisten die wettelijk van kracht zijn op het moment van grondprijsbepaling vormen altijd de basis voor de stichtingskosten en opbrengsten, in overeenstemming met het besluit bouwwerken leefomgeving. Bij de bepaling van grondprijzen wordt geen rekening gehouden met aanvullende bovenwettelijke duurzaamheidseisen, tenzij er in specifieke gevallen een bestuurlijk besluit is genomen. In dergelijke gevallen wordt gekeken naar zowel het effect van duurzaamheidseisen op het kostenniveau als op het opbrengstniveau.

 

Bepaling van canon en afkoopsom

De erfpachtgrondwaarde vormt de grondslag voor de canon en de afkoopsom. Canon en/of afkoopsom zijn de uiteindelijke betalingen van erfpachters aan de gemeente. De canon wordt berekend door de erfpachtgrondwaarde te vermenigvuldigen met het toepasselijke canonpercentage.

 

De canon wordt bij eeuwigdurende erfpachtrechten jaarlijks aangepast aan de inflatie. Daarnaast kan de canon worden aangepast wanneer het erfpachtrecht wordt gewijzigd, zoals bij aanpassingen van de bebouwing en/of de bestemming.

 

Bij voortdurende erfpachtrechten is de indexering afhankelijk van de toepasselijke Algemene Bepalingen. De canon wordt herzien aan het einde van het tijdvak en kan ook worden aangepast bij tussentijdse wijzigingen.

 

Het canonpercentage voor wijzigingen van een erfpachtrecht wordt periodiek vastgesteld door de gemeente (jaarlijks of ieder kwartaal op basis van de verschillende Algemene Bepalingen), en wordt gepubliceerd in het gemeenteblad.

 

De afkoopsom volgt uit de canon en wordt berekend volgens de door het College van burgemeester en wethouders vastgestelde afkoopinstructie. De afkoopsom is de netto contante waarde van de reeks canonbetalingen die de erfpachter aan de gemeente verschuldigd is voor de overeengekomen periode van zijn erfpachtrecht (het tijdvak bij voortdurende erfpachtrechten of oneindig bij eeuwigdurende erfpachtrechten). Dit is nader uitgewerkt in de Afkoopinstructie.

 

Begrippen

 

Afkoop(som) – het door de erfpachter in één keer vooruitbetalen van alle toekomstige canonbedragen voor de looptijd van het erfpachtrecht voor de in de notariële akte vastgelegde bestemming en het in de notariële akte vastgelegde toegestane gebruik. De looptijd is bij voortdurende erfpacht gelijk aan de looptijd van het tijdvak (meestal vijftig jaar voor een nieuw tijdvak) en bij eeuwigdurende erfpacht gelijk aan de eeuwigheid.

 

Buurtquote – het gemiddelde van alle berekende individuele grondquotes in een buurt waarmee het gronddeel in de WOZ-waarde van een woning in de desbetreffende buurt berekend kan worden.

 

Buurtstraatquote (BSQ) – het gemiddelde van alle berekende individuele grondquotes, welke op minimaal 5% zijn gesteld, in een buurtstraat, waarmee het gronddeel in de WOZ-waarde van een woning in de desbetreffende buurtstraat berekend kan worden. De buurtstraatquote is minimaal 5% en maximaal 49%.

 

Canon – de periodieke vergoeding die de erfpachter betaalt voor het gebruik van de grond en die, afhankelijk van de Algemene Bepalingen die van toepassing zijn, al dan niet periodiek (bijvoorbeeld jaarlijks) wordt aangepast aan de inflatie.

 

Depreciatie – een verlaging van de (erfpacht)grondwaarde.

 

Erfpacht – een zakelijk recht dat de erfpachter het recht geeft op het gebruik van een onroerende zaak, die eigendom is van een ander, in dit geval de gemeente.

 

Erfpachtgrondwaarde – de waarde die ten grondslag ligt aan de berekening van de canon, en is vastgesteld, waarbij rekening is gehouden met de in de erfpachtakte opgenomen beperkingen, bestemming, het toegestane gebruik en de maximaal toegestane vloeroppervlakte van het perceel. Hieronder valt niet de waarde van de opstallen die op het perceel aanwezig zijn1.

 

Eeuwigdurende erfpacht – erfpacht voor onbepaalde tijd (de eeuwigheid). Hierbij is geen sprake van tijdvakken.

 

Floor-space index – de maat die het totale aantal vierkante meters bebouwing, inclusief de verdiepingen, binnen een plangebied vergelijkt met het totale, zowel bebouwde als onbebouwde, oppervlak van datzelfde plangebied.

 

Functionele grondprijssystematiek – methodiek waarbij de bestemming van het vastgoed maatgevend is voor de waarde van de grond.

 

Gebruiksoppervlakte (GO/GBO) – oppervlakte gemeten op vloerniveau, tussen de opgaande scheidingsconstructies die de desbetreffende ruimte of groep van ruimte omhullen (NEN2580).

 

Grondquote – het deel van de vastgoedwaarde dat aan de grond wordt toebedeeld.

 

Grondwaarde – de economische waarde van een locatie waarbij geen rekening wordt gehouden met privaatrechtelijke beperkingen volgend uit het erfpachtrecht.

 

Herbouwkosten wonen – de bouw-, bijkomende en sloopkosten, uitgaande van regelgeving en constructies conform prijspeil van de gehanteerde WOZ-waarde.

 

Herbouwkosten niet-wonen – de bouw-, bijkomende en sloopkosten, uitgaande van actuele regelgeving en constructies.

 

Marktwaarde – het bedrag dat een bereidwillige koper wil betalen in een marktconforme transactie, na behoorlijke marketing, waarbij de koper en verkoper geïnformeerd, zorgvuldig en zonder dwang hebben gehandeld.

 

Onbezwaarde waarde – de waarde waarbij rekening wordt gehouden met beperkingen die volgen uit het publiekrecht en niet met de privaatrechtelijke beperkingen.

 

Opstallen – gebouwen, werken en beplantingen.

 

Opstalwaarde – de herbouwkosten van de opstallen bij wonen (inclusief sloopkosten) en de nieuwbouwkosten van opstallen, inclusief de sloopkosten van de oude opstallen bij niet-wonen.

 

Optiecontract – een contract waarbij de marktpartij het recht krijgt om, nadat hij heeft voldaan aan de verplichtingen die uit het optiecontract voortvloeien, een erfpachtaanbieding van de gemeente te ontvangen die, binnen de daarvoor geldende fatale termijn, dient te worden geaccepteerd, waarna er een erfpachtovereenkomst tussen de marktpartij en de gemeente ontstaat.

 

Perceel – de onroerende zaak die in erfpacht is of wordt uitgegeven.

 

Residuele grondprijs – het verschil tussen de vastgoedwaarde en de stichtingskosten (dan wel opstalwaarde).

 

Stichtingskosten – de kosten voor het ontwikkelen en realiseren van de opstallen. Bouwsom en bijkomende kosten, zoals leges, adviseurskosten, aansluitkosten, algemene kosten en winst en risico projectontwikkeling.

 

Uitgifte in erfpacht – de eerste keer dat een perceel in erfpacht wordt uitgegeven.

 

Vastgoedwaarde – de waarde van het vastgoed in het economisch verkeer waarbij de grond onderdeel is van deze waarde, tenzij anders vermeld.

 

Vloeroppervlakte – de vloeroppervlakte van de bebouwing, berekend volgens normblad NEN 2580. Voor woningen wordt dit uitgedrukt in gebruiksoppervlakte (GO), voor andere bestemmingen in bruto vloeroppervlakte (BVO).

 

Voortdurende erfpacht – erfpachtrecht voor onbepaalde tijd waarbij aan het eind van iedere overeengekomen periode (tijdvak)de canon wordt herzien en nieuwe algemene bepalingen van toepassing kunnen worden verklaard.

 

WOZ-waarde – de waarde van de woning volgens Wet Waardering Onroerende Zaken (WOZ). De WOZ-waarde wordt elk jaar door de gemeente vastgesteld.

 

1. Inleiding

1.1 Grondbeleid en grondprijsbeleid

Het Amsterdamse grondbeleid is gericht op de ontwikkeling van gebieden geschikt voor wonen, werken en recreëren. Gezien de druk op de woningmarkt ligt een belangrijke focus op het realiseren van nieuwe, betaalbare woningen. De gemeente Amsterdam stuurt actief op de verdere (her-)ontwikkeling van de stad. Ruim 85% van de grond binnen de gemeentegrenzen is eigendom van de gemeente. De gemeente heeft deze grond in erfpacht uitgegeven of geeft deze grond in de toekomst nog uit in erfpacht. De gemeente is daarom als grondeigenaar actief betrokken is bij de stedelijke ontwikkeling. Grofweg zijn er twee hoofdvormen van gebieds- of locatieontwikkeling te onderscheiden:

  • Actief grondbeleid, dit betreft de uitgifte van nieuwe terreinen binnen de gebiedsontwikkeling, waar nog geen particuliere eigenaren en/of erfpachters bij zijn betrokken;

  • Faciliterend grondbeleid, waarbij wèl vaak sprake is van belanghebbenden: particuliere eigenaren van (een deel van) de grond en/of erfpachters. Dit betreft onder meer de wijziging van bestaande erfpachtrechten vanwege een functiewijziging of verandering op pand- en/of gebiedsniveau (bijvoorbeeld transformatie).

Naast actief en faciliterend grondbeleid beheert de gemeente vele reeds uitgegeven erfpachtrechten die kunnen wijzigen, bijvoorbeeld als gevolg van een canonherziening bij het einde van een tijdvak, overstap naar eeuwigdurende erfpacht, perceel- en tuinuitbreiding, bestemmings-en/of bebouwingswijziging.

Het grondprijsbeleid is een onderdeel van het grondbeleid. In het grondprijsbeleid wordt inzicht gegeven in de wijze waarop de gemeente de waarde van haar gronden bepaalt (de grondprijsmethoden) en de kaders, uitgangspunten en randvoorwaarden die daaraan ten grondslag liggen. De grondprijzen2, die volgens het grondprijsbeleid worden bepaald, worden in verschillende fasen van gebieds- en vastgoedontwikkeling gebruikt. Zo zijn grondprijzen nodig voor bouw- en gebiedsontwikkelingsplannen die op de korte en lange termijn tot ontwikkeling (en dus gronduitgifte) moeten leiden. Deze dienen dan om de opbrengsten in grondexploitaties te ramen. Het is belangrijk dat de grondprijzen die worden opgenomen in de grondexploitatie een goed en actueel beeld geven van de te verwachten grondopbrengsten, die soms jaren in de toekomst liggen. Ze vormen namelijk het financieel kader voor een gebieds- of kavelontwikkeling: de kosten van de grondproductie (zoals bouwrijp maken of inzet van proceskosten) worden betaald uit de opbrengsten van gronduitgifte. Daarnaast zijn grondprijzen nodig voor de daadwerkelijke uitgifte van erfpachtrechten ten behoeve van de vastgoed -of gebiedsontwikkeling. De grondprijs vormt dan de grondslag voor de canon of afkoopsom, die een erfpachter aan de gemeente verschuldigd is. Tot slot zijn grondprijzen nodig voor het bepalen van de financiële gevolgen van een wijziging van een bestaand erfpachtrecht, zoals een canonherziening bij het einde van een tijdvak, overstap naar eeuwigdurende erfpacht of bestemmings- en/of bebouwingswijziging.

 

Voor de grondprijsbepaling van nieuwe én bestaande erfpachtrechten geldt in de basis dezelfde methodiek, namelijk de genormeerd residuele methode. De residuele methode houdt kort in dat de waarde van de grond wordt bepaald door de marktwaarde van een object (grond en opstal) te verminderen met de waarde van de opstal. De gemeente past dit genormeerd en marktconform toe. In hoofdstuk 2 wordt dit nader beschreven.

 

In dit grondprijsbeleid worden geen concrete grondprijzen genoemd. Door marktomstandigheden kan de waarde van grond veranderen. Wel worden de vaste en minimale grondprijzen aangegeven (bijlage 2) en worden indicatieve bandbreedten in de grondprijzen voor veelvoorkomende bestemmingen (bijlage 3) gegeven. Het grondprijsbeleid beoogt hiermee transparantie te geven aan bestuur, burgers en marktpartijen in de wijze waarop de grondprijzen door de gemeente worden bepaald. Tegelijkertijd zorgt het grondprijsbeleid er voor dat gelijke gevallen gelijk worden behandeld en dat de grondprijs onafhankelijk van de afnemende partij wordt bepaald.

1.2 Erfpacht

De gemeente Amsterdam geeft grond uit in erfpacht en is daarmee de erfverpachter. De verkrijger van het erfpachtrecht is de erfpachter. Uitgifte van grond in erfpacht betekent dat de grond in eigendom blijft van de gemeente - de gemeente heeft het zogenaamde bloot eigendom - en dat de erfpachter de grond mag gebruiken tegen een vergoeding in de vorm van een erfpachtcanon.

 

De gemeente voert dit beleid al sinds 1896: uitgifte in erfpacht is de regel en verkoop in vol eigendom de hoge uitzondering. Er zijn zowel voortdurende als eeuwigdurende erfpachtrechten in Amsterdam. Daarnaast is er nog een aantal tijdelijke erfpachtrechten. Sinds juli 2016 vinden nieuwe gronduitgiften in eeuwigdurende erfpacht plaats onder de Algemene Bepalingen voor eeuwigdurende erfpacht (AB2016). Erfpachters, waarvan het erfpachtrecht voor 2016 is uitgegeven, behouden hun voortdurende erfpachtrecht. Erfpachters met de bestemming wonen hebben de mogelijkheid om over te stappen van voortdurende naar eeuwigdurende erfpacht.

 

Eeuwigdurende erfpacht en voortdurende erfpacht hebben overeenkomsten en verschillen. Beide worden afgesloten voor onbeperkte tijd, maar voortdurende erfpacht kent tijdvakken van 50 of 75 jaar en eeuwigdurende erfpacht wordt voor de eeuwigheid gevestigd (zonder tijdvakken). Bij de start van een tijdvak wordt (opnieuw) gekeken naar de actuele grondwaarde om de erfpachtvergoeding voor het (nieuwe) tijdvak te bepalen. Bij eeuwigdurende erfpacht wordt de grondwaarde maar één keer bepaald, daarna verandert de erfpachcanon alleen nog elk jaar op basis van de inflatie en eventueel bij wijziging van het erfpachtrecht. Bij voortdurende erfpacht wijzigen de erfpachtkosten (canon of afkoopsom) bij de start van elk nieuw tijdvak van 50 of 75 jaar. Tevens geldt ook bij voortdurende erfpacht dat de erfpachtkostenwijzigen als gevolg van indexering of kan wijzigen door een tussentijdse wijziging van het erfpachtrecht.

1.3 Algemene Bepalingen

Het voorliggend grondwaardebeleid is van toepassing opzowel nieuw uit te geven erfpachtrechten als reeds uitgegeven erfpachtrechten. Het betreft daarmee (wijzigingen van) erfpachtrechten waarop de Algemene Bepalingen 1915, Algemene Bepalingen 1934, Algemene Bepalingen 1937, Algemene Bepalingen 1955, Algemene Bepalingen 1966, Algemene Bepalingen 1994, Algemene Bepalingen 2000 of Algemene Bepalingen 2016 van toepassing zijn.

 

Voor erfpachtrechten uitgegeven onder de Algemene Bepalingen van de Haven en de Algemene Bepalingen 1985 of Algemene Bepalingen 1998 voor woningcorporaties is het voorliggend grondprijsbeleid in principe niet van toepassing.3 Voor wijzigingen van erfpachtrechten uitgegeven onder de Algemene Bepalingen 1985 of Algemene Bepalingen 1998 zijn afspraken gemaakt met de Amsterdamse Federatie van Woningbouwcorporaties (AFWC), zoals vastgelegd in de Prestatieafspraken 2024-2027: Samen werken aan de volkshuisvesting en het Uitvoeringsbesluit 2020 voor Erfpacht voor Woningcorporaties (of afspraken en/of besluiten die daarvoor in de plaats komen). Als er in de Prestatieafspraken 2024-2027 en het Uitvoeringsbesluit 2020 geen afspraken zijn gemaakt over de grondprijs, dan wordt uitgegaan van het hier voorliggende beleid.

1.4 Mandaat directeur Grond en Ontwikkeling

Indien naar het oordeel van de gemeente, vanwege proces- en/of projectspecifieke omstandigheden, het toepassen van de gehanteerde uitgangspunten in het grondprijsbeleid niet leidt tot de meest optimale erfpachtgrondprijs, kan de gemeente afwijken van de gehanteerde uitgangspunten om zo toch tot de meest optimale erfpachtgrondprijs te komen. De directeur Grond en Ontwikkeling is in voorkomende gevallen door het college van burgemeester en wethouders gemandateerd om invulling te geven aan deze afwijkingsmogelijkheid4. De directeur Grond en Ontwikkeling rapporteert de afwijkingen jaarlijks aan het college in de “Rapportage toepassing Grondprijsbeleid”.

1.5 Context

Het grondwaardebeleid wordt sporadisch ook toegepast bij bijzondere vormen die zich voordoen in de gebiedsontwikkeling:

  • De verkoop en ruil van grond in vol eigendom is een bevoegdheid van het college van burgemeester en wethouders. Alle voorgenomen verkopen en grondruilen onder dit regime moeten ter goedkeuring worden voorgelegd aan het college. De waarde van de grond bij verkoop in vol eigendom wordt bepaald door Grond en Ontwikkeling van de gemeente Amsterdam. De waardebepaling vindt plaats op basis van het uitgangspunt van marktconformiteit en toepassing van de genormeerd residuele methodiek.

  • Erfdienstbaarheden

  • Voor enkele zakelijke rechten kan het betekenen dat hieruit een vergoeding voortvloeit, waarvoor een grondprijs bepaald dient te worden. Bij het vestigen van erfdienstbaarheden voor overbouwingen op/boven/onder gemeentelijke gronden, bepaalt Grond en Ontwikkeling of de erfdienstbaarheid een grondprijs vertegenwoordigt. De waardebepaling vindt plaats op basis van de genormeerd residuele systematiek (paragraaf 3.1). Grond en Ontwikkeling bepaalt of er een grondslag is voor een vergoeding. Indien dit het geval is, wordt ook bepaald wat de voortvloeiende vergoeding voor de erfdienstbaarheid is. Voor nieuwe erfpachtrechten geldt tevens voorliggend grondprijsbeleid.

1.6 Leeswijzer

Hoofdstuk 2 beschrijft de algemene uitgangspunten voor de bepaling van de waarde van de erfpachtgrond. In hoofdstuk 3 wordt inzicht gegeven in de toepassing van de genormeerd residuele grondprijsmethode, die uiteenvalt in drie smaken. In hoofdstuk 4 wordt nader ingegaan op de bepaling van de stichtingskosten en opstalwaarden. Hoofdstuk 5 beschrijft op welke wijze de canon en afkoopsom op basis van de erfpachtgrondwaarde worden bepaald.

2. Uitgangspunten bij de grondwaardebepaling

De waarde van grond hangt samen met de locatie, de gebruiksmogelijkheden en –voordelen die de locatie aan de gebruiker biedt, en de marktwaardering daarvan. Per definitie is iedere locatie uniek. De waarde van grond is niet stabiel in de tijd. De grondwaarde wordt bepaald aan de hand van een aantal uitgangspunten, die in dit hoofdstuk worden toegelicht.

 

Uitgangspunt 1: marktconforme grondprijzen

Grondwaarden zijn essentieel bij gebiedsontwikkeling. Op grond van Europese regelgeving ter voorkoming van ongeoorloofde staatssteun moeten grondprijzen marktconform zijn. De grondprijzen worden daarom bepaald op basis van externe (markt-)informatie. Grond en Ontwikkeling van de gemeente Amsterdam bepaalt de grondprijzen zoveel als mogelijk op basis van vastgoedtransacties en -aanbod en bouwkostenreferenties. Grondprijsadviseurs monitoren continu marktontwikkelingen op basis van externe informatie en externe, onafhankelijke adviezen en databestanden. De gehanteerde bouwkostenreferenties zijn extern geadviseerd en worden ieder kwartaal geactualiseerd (zie hoofdstuk 4).

 

Naast vraag -en aanbodverhoudingen op de diverse vastgoeddeelmarkten zijn locatie en moment in de tijd van grote invloed op de marktwaarde en daarmee de grondwaarde. De locatie heeft voornamelijk invloed op het opbrengstniveau, afhankelijk van de bestemming, en in mindere mate op het kostenniveau om het vastgoed te realiseren. Een kantoor op de Zuidas heeft een hogere marktwaarde dan hetzelfde kantoor in Amsterdam Noord, terwijl de stichtingskosten of herbouwkosten bij een gelijk kwaliteitsniveau en volume ongeveer gelijk zijn. Hierdoor kunnen de grondwaardes van eenzelfde bestemming op verschillende locaties fors van elkaar afwijken.

 

Vraag en aanbod binnen vastgoed wisselen afhankelijk van de economische ontwikkeling. In tijden van economische achteruitgang neemt de vraag naar vastgoed doorgaans af, terwijl in economisch betere tijden de vraag doorgaans toeneemt. In hoeverre de vraag reageert op de actuele economische ontwikkeling is vaak ook afhankelijk van de bestemming, de locatie en maatschappelijke ontwikkelingen.

 

Selectiebeleid 5

Amsterdam heeft als uitgangspunt om nieuwe erfpachtrechten via de meervoudige, openbare procedure in de markt te zetten.6 Het organiseren van een openbare meervoudige selectie is een goede manier om marktpartijen in een vroeg stadium bij een gebiedsontwikkeling te betrekken en om te komen tot een hoge opbrengst c.q. hoge kwaliteit of een combinatie van deze twee. Daarom zet Amsterdam sinds de invoering van De Grote Vereenvoudiging in 2005 in op open, transparante en juridisch verantwoorde selectieprocessen.

Met een meervoudige openbare procedure wordt de concurrentie bevorderd, zodat hogere grondprijzen en/of een hogere kwaliteit kunnen worden gegenereerd.

 

Het selectiebeleid bevat verder de voorwaarden waaraan de selectie (tender of één op één) moet voldoen. Zo is bijvoorbeeld vastgelegd dat duurzaamheid een verplicht onderdeel is van de selectie en dient altijd de integriteit van de marktpartij te worden onderzocht. Daarnaast is het uitgangspunt om met een optiebod te werken als ook op prijs wordt geselecteerd of met een optievergoeding als niet op prijs wordt geselecteerd. De biedprocedure op de optievergoeding geeft inzicht in de marktconformiteit van de gronduitgifte. In een tender is een erfpachtgrondprijs opgenomen, die op basis van een genormeerd residueel grondprijsadvies is bepaald.

 

Uitgangspunt 2: functionele grondprijssystematiek

Amsterdam voert een functionele grondprijssystematiek. Dit houdt in dat de waarde van de grond gerelateerd is aan de daarop te realiseren bestemming (functie) en niet aan de kostprijs die nodig is om de grond bouw- en woonrijp te maken. De grondwaarde wordt bepaald door de (genormeerde) opbrengsten die de gebruiker ermee kan realiseren. Deze opbrengsten worden bepaald door de bestemming7, het toegestane (privaatrechtelijk) gebruik8 en de vloeroppervlakte. Een kantoor heeft bijvoorbeeld een ander opbrengsten- en kostenniveau dan een woning. Ook is de totale grondwaarde van een perceel doorgaans hoger naarmate er een groter volume op mag worden gerealiseerd. Daarnaast kunnen er anders dan bij volle eigendom beperkingen in het erfpachtcontract worden opgenomen die de waarde kunnen beïnvloeden. Bij de grondprijsbepaling worden deze erfpachtrechtelijke beperkingen meegenomen. Voorbeelden van erfpachtrechtelijke beperkingen zijn:

  • algemeen verbod op verhuur, ook wel bekend als het verhuurverbod voor nieuwbouw koopwoningen,

  • een instandhoudingstermijn voor de verhuurperiode van een x-aantal jaar, ook wel bekend als de uitpondtermijn,

  • maximale huurprijzen en huurprijsindexaties, die voor huurwoningen gelden.

Uitgangspunt 3: genormeerd residuele methodiek

Amsterdam bepaalt de grondwaarde voor nieuw uit te geven én bestaande erfpachtrechten zo veel als mogelijk9 op basis van een genormeerde toepassing van de residuele methode. Residueel betekent dat de vastgoedwaarde wordt verminderd met de opstalwaarde. Wat overblijft (het residu) is de waarde die aan de (erfpacht)grond wordt toegeschreven. Oftewel opbrengst minus kosten is grondwaarde.

 

Genormeerd betekent dat de gemeente niet uitgaat van feitelijke opbrengsten- en kostenniveaus, maar van ‘genormeerde’ kosten- en opbrengstenniveaus voor vergelijkbare objecten. Dit gebeurt aan de hand van referenties. Voor de bepaling van de erfpachtgrondprijs wordt uitgegaan van een voor de locatie, bestemming en het moment representatief niveau, zowel voor wat betreft kwaliteits-, opbrengsten- als herbouwkostenniveau. Met de normering wordt voorkomen dat projecten op dezelfde locatie met dezelfde bestemming op hetzelfde moment een andere grondprijs kennen.

 

Uitgangspunt 4: bouwrijpe levering

Bouwrijpe levering bij nieuwe erfpachtuitgiften:

Bij het bepalen van de erfpachtgrondprijs van bouwrijpe grond voor de diverse bestemmingen, hanteert Amsterdam de volgende algemene uitgangspunten:

 

  • Levering van de grond als bouwterrein in bouwrijpe staat, waarmee onder andere wordt voldaan aan de criteria van de Wet op de Omzetbelasting (Wet OB; btw), terreinspecificatie en vrij van bijzondere belemmeringen (bijvoorbeeld beperkt zakelijke rechten als erfdienstbaarheden), die het beoogde gebruik in de weg staan;

  • Een bodemkwaliteit geschikt voor het toekomstige gebruik;

  • Uitgifte van de grond in erfpacht met de erfpachtgrondprijzen als basis voor de hoogte van de erfpachtcanon of afkoopsom;

  • De genoemde erfpachtgrondprijzen zijn exclusief btw en er wordt btw-belast geleverd.

Op het moment dat niet wordt voldaan aan één of beide van de twee eerstgenoemde uitgangspunten, kan dit gevolgen hebben voor de erfpachtgrondprijs.

Bij het bepalen van de erfpachtgrondprijs neemt de gemeente namelijk het fiscaal regime in acht dat van toepassing is.

 

Bouwrijpe levering bij bestaande erfpachtrechten:

Als een levering niet belast is met btw (maar uitsluitend met overdrachtsbelasting) kan een correctie voor de overdrachtsbelasting worden toegepast.

 

Uitgifte van bebouwde grond

Er zijn situaties waarbij de gemeente bebouwde grond uitgeeft, waarmee dus niet wordt voldaan aan het uitgangspunt van levering van bouwrijpe grond bij uitgifte. In die gevallen wordt de erfpachtgrondprijs per casus bepaald.

 

Uitgangspunt 5: geldigheidsduur grondprijzen beperkt

Een erfpachtgrondprijs heeft een beperkte geldigheidsduur. De prijs wordt opnieuw bepaald als binnen deze geldigheidsduur geen prijsafspraak is gemaakt. Is er sprake van een prijsafspraak, dan wordt de prijs geïndexeerd met de consumentenprijsindex (CPI) van het Centraal Bureau voor de Statistiek (CBS). Grond en ontwikkeling heeft de mogelijkheid om onder voorwaarden af te wijken van dit indexcijfer. Het aantal maanden waarmee de erfpachtgrondprijs wordt geïndexeerd, is gelijk aan de periode gerekend vanaf de datum einde geldigheid van de erfpachtgrondprijs tot de ingangsdatum van het erfpachtrecht of de ingangsdatum van de erfpachtwijziging (bijvoorbeeld bij transformaties). Er wordt geen grondprijsindexatie uitgevoerd bij een negatieve ontwikkeling van het inflatiecijfer (deflatie). De precieze wijze waarop deze indexering wordt uitgevoerd door de gemeente Amsterdam, wordt normaliter opgenomen in dezelfde overeenkomst waarin de prijsafspraak is gemaakt.

 

Uitgangspunt 6: minimale grondwaarde

Voor alle bestemmingen wordt naast een residuele ook een minimale erfpachtgrondprijs gehanteerd, indien daartoe aanleiding bestaat. Het gebruik van de grond is niet gratis en grond heeft altijd een waarde. De gemeente hanteert daarom een minimale grondprijs. Als het erfpachtrecht residueel gezien onder de minimale grondprijs wordt gewaardeerd of er zelfs sprake is van een negatieve genormeerd residuele grondprijs, dan geldt de minimale grondprijs. Met een minimale grondprijs dragen alle bestemmingen bij aan de grondproductiekosten.

 

De minimale grondprijzen worden jaarlijks per 1 januari aangepast met het consumentenprijsindexcijfer/inflatie10. In uitzonderlijke omstandigheden en na expliciete bestuurlijke goedkeuring kan met een ander indexcijfer worden gecorrigeerd. De minimale grondprijzen gelden gedurende het gehele kalenderjaar.

 

In bijlage 2 zijn de minimale grondprijzen voor 2025 opgenomen.

 

Voor nutsvoorzieningen zoals onderstations, hulpwarmtecentrales, gelijkrichterstations, gasverdeelstations, gasontvangstations, glasvezelverdeelstations, trafohuizen, kabels en leidingen voor distributie van energie, telefonie, internet en water geldt de minimale grondwaarde. Voorzieningen ten behoeve van het openbaar vervoer als tramrails, bushalten, abri’s en dergelijke worden gerekend tot de weginrichting. Hierover wordt geen erfpachtgrondprijs berekend. Voorzieningen als gelijkrichterstations en eindhuisjes, waarin bus-/tramchauffeurs hun rustruimte hebben en de lijnmanager kantoor houdt, behoren wel tot de nutsvoorzieningen waarvoor de minimale grondwaarde geldt.

 

Warmte-koudeopslag (WKO) vormt géén onderdeel van de openbare energievoorziening (en wordt dus niet geëxploiteerd door nutsbedrijven). Voor de bepaling van de grondwaarde voor de WKO-installatie als geheel wordt uitgegaan van een gescheiden waardering van de bronnen en opstelruimte(n).Dit staat nader toegelicht in bijlage 2a. Voor de bronnen die buiten het erfpachtperceel liggen wordt een vaste erfpachtgrondprijs gehanteerd (zie bijlage 2). Voor bronnen die zich in de ondergrond van het erfpachtperceel bevinden, wordt geen afzonderlijke erfpachtgrondprijs berekend.

 

Uitgangspunt 7: grondprijsbeleid is volgend

Het grondprijsbeleid is volgend van aard en niet sturend of stimulerend. Dit betekent dat het grondprijsbeleid het ruimtelijk (en eventueel ander) beleid volgt. Het grondprijsbeleid heeft daarmee niet als primair doel om bestuurlijke wensen of ambities (meer) mogelijk, dan wel (minder) onmogelijk te maken. Er worden derhalve geen financiële incentives via de grondprijs verstrekt, maar grondprijzen worden marktconform bepaald. Hier hoort niet de hoogste of laagste prijs bij, maar de juiste grondprijs.

Het is een misverstand te menen dat een gemeente de koop- of huurprijzen van vastgoed kan beïnvloeden via de grondprijs (door een lagere grondprijs te rekenen). Dit zal vooral van invloed zijn op de winst van de projectontwikkelaar (die het vastgoed tegen de marktprijs kan verkopen), of van de eerste koper die bij doorverkoop ook de marktprijs zal vragen. De korting op de grondprijs wordt daarmee een verkapte subsidie (staatssteun).

 

Uitgangspunt 8: in de grondprijsberekening worden geen bovenwettelijke eisen meegenomen

Bij het berekenen van een grondprijs wordt uitgegaan van de wettelijke eisen van bouwregelgeving (zie ook paragraaf 4.3). Daarbij wordt ook uitgegaan van het Besluit bouwwerken leefomgeving. Bovenwettelijke eisen worden zodoende niet meegenomen in de grondprijsberekening.

 

Uitgangspunt 9: depreciatie van grondprijs bij bestaande erfpachtrechten

Bij wijzigingen van een bestaand erfpachtrecht kan de gemeente besluiten de grondwaarde te verminderen (depreciëren). Bij bestaande (reeds uitgegeven) erfpachtrechten is immers sprake van een contractrelatie en beperkingen.

 

Wanneer een bestaand erfpachtrecht wordt gewijzigd, heeft de erfpachter geen reëel alternatief anders dan voortzetting van het contract. Deze bestaande contractsituatie, coulance overwegingen en het bevorderen van het draagvlak van het erfpachtstelsel, zijn redenen om een depreciatie van 10% te hanteren. Met deze 10% depreciatie wordt, naast de compensatie voor het bestaande erfpachtrecht, ook het verschil in waarde tussen vol eigendom en erfpacht overbrugd.

 

In de volgende situaties wordt een depreciatie toegepast:

  • Bij een canonherziening einde tijdvak en overstap naar eeuwigdurende erfpacht is depreciatie van 10% op de grondwaarde van toepassing.

  • Bij erfpachtrechten op zogenaamde Vicariegronden11 is depreciatie van 10% op de grondwaarde van toepassing.

  • Deze tijdelijke rechten lopen af in 2053 of 2064 en kennen geen Algemene Bepalingen. De gemeente zal voor het bepalen van de canon voor een tussentijdse conversie deze rechten behandelen als ware het erfpachtrechten met Algemene Bepalingen voor voortdurende erfpacht. Dat betekent dat bij de aanbieding voor een nieuw eeuwigdurend erfpachtrecht er wel depreciatie van 10% zal worden toegepast.

  • Bij wijzigingen van een erfpachtrecht, zoals bestemmings- en/of bebouwingswijzigingen is depreciatie van 10% van toepassing op het deel wat wijzigt.12

  • Indien sprake is van een wijziging van de bestemming en/of de bebouwing ten opzichte van wat privaatrechtelijk is overeengekomen in het erfpachtcontract, dan moet de eventuele economische meerwaarde berekend worden door het nieuwe programma tegen het oude programma af te zetten. Beide programma’s worden tegen actueel prijspeil op basis van de marktconforme erfpachtgrondwaarden berekend.

  • Bij herziening bij transformatie is depreciatie van 10% van toepassing.

  • Bij bestemmingswijzigingen van huur- naar koopwoning geldt depreciatie van 10% op de meerwaarde. De meerwaarde is gelijk aan 5% van de geldende WOZ-waarde.

  • Een bestemmingswijziging van een huurwoning naar een (koop)woning vormt een uitzondering waarop geen depreciatie geldt. Op het moment dat de gemeente toestemming verleent om de erfpachtbestemming van een huurwoning om te zetten naar (koop)woning is er een aanvullende canon of afkoopsom verschuldigd. De meerwaarde wordt bepaald door het verschil in erfpachtgrondwaarde tussen (koop)woning en huurwoning. Deze meerwaarde wordt gelijk gesteld aan 5% van de WOZ-waarde van het voorgaande belastingjaar.

In de volgende situaties wordt geen depreciatie toegepast:

  • Bij splitsingen geldt geen depreciatie.

    Bij splitsingen wordt het erfpachtrecht opgedeeld in meerdere erfpacht- en/of appartementsrechten, waarbij de voor het erfpachtrecht geldende canon, erfpachtgrondwaarde en eventuele afkoopsom worden verdeeld over de te vormen erfpacht- en/of appartementsrechten op de wijze zoals beschreven staat in het beleid ‘verticale splitsing van erfpachtrechten’ en het beleid ‘splitsing in appartementsrechten van erfpachtrechten’.

  • Bij conversies van een tijdelijk erfpachtrecht naar een eeuwigdurend erfpachtrecht geldt geen depreciatie.

    Juridisch gezien wordt er geen bestaand erfpachtrecht voortgezet en is er geen reden voor de 10% depreciatie. Er is wel sprake van bebouwde grond, maar bij de grondwaardebepaling is hier al rekening mee gehouden.

  • Bij perceel- en tuinuitbreidingen geldt geen depreciatie.

    Uitbreidingen van bestaande erfpachtpercelen, in de vorm van een perceel- of tuinuitbreiding, worden gerekend tot nieuwe erfpachtuitgiften. Voor deze uitgiften geldt geen bestaande contractrelatie met een erfpachter. Bovendien is er doorgaans geen verplichte afname van de grond. Bij tuinuitbreidingen van bestaande woningen is de heffingsgrondslag voor de grondwaardebepaling de WOZ/BSQ methodiek of indien van toepassing de onbezwaarde waarde.

  • Op de vaste afkoopsommen die specifiek gelden voor sociale huurwoningen van woningcorporaties is geen depreciatie van toepassing.

3 Toepassing van de genormeerd residuele methode

Grondwaarden worden zowel bij nieuwe erfpachtuitgifte als bestaande erfpachtrechten bepaald. De basis voor de grondwaardebepaling is zoveel als mogelijk de genormeerd residuele methode (zie ook paragraaf 1.1 en uitgangspunt 3 in hoofdstuk 2). In de uitvoering zijn er binnen deze methodiek drie smaken te onderscheiden, namelijk een grondwaarde berekening op kavel- of gebiedsniveau, de WOZ/BSQ-methode en de vaste grondprijzen. Al deze smaken hebben als basis genormeerd residueel rekenen. Daarnaast gelden er minimale grondwaarden. Als het erfpachtrecht residueel gezien onder de minimale grondwaarde wordt gewaardeerd, dan geldt de minimale grondprijs (zie uitgangspunt 6 en bijlage 2). In onderstaande figuur en de paragrafen 3.1 tot en met 3.3 wordt nader ingegaan op de drie smaken.

3.1 Genormeerd residueel rekenen op kavel- of gebiedsniveau

De grondwaarde voor vrije sector wonen en commercieel vastgoed, zoals, kantoren, bedrijven, horeca en winkels, wordt door de afdeling Strategie en Advies van Grond & Ontwikkeling genormeerd residueel bepaald. Dit geldt zowel voor grondprijzen ten behoeve van nieuwe uitgifte van erfpachtrechten als grondwaarden voor bestaande erfpachtrechten die wijzigen. Hieronder vallen ook de zogenaamde transformatieprojecten, waarbij een wijziging plaatsvindt van een bestaand erfpachtrecht waarbij de huidige niet-woon bestemming en/of bebouwing (gedeeltelijk) wordt gewijzigd in wonen en bij die wijziging minimaal vijf nieuwe woningen worden gerealiseerd.

 

Deze wijze van grondwaardeberekening geldt niet voor bestaande erfpachtrechten met de bestemming wonen én bestaande erfpachtrechten waarbij de huidige niet-woon bestemming en/of bebouwing (gedeeltelijk) wordt gewijzigd in wonen en bij die wijziging maximaal vier nieuwe woningen worden gerealiseerd. In zulke gevallen worden de erfpachtgrondwaarden bepaald aan de hand van de zogenaamde WOZ/BSQ-methode (zie paragraaf 3.2).

 

Stappen bij het bepalen van de genormeerd residuele erfpachtgrondwaarde

Stapsgewijs bepaalt de gemeentelijke grondprijsadviseur de genormeerde residuele erfpachtgrondwaarde op hoofdlijnen als volgt :

 

  • 1.

    Voor een locatie in de stad wordt per bestemming (zie Bestemmingscatalogus in bijlage 1) de marktconforme vastgoedwaarde bepaald. Bij de waardebepaling is de fictie nieuwbouw van toepassing, omdat ook bij de bepaling van de stichtingskosten/opstalwaarde wordt uitgegaan van nieuwbouwkwaliteit. Hierbij wordt uitgegaan van een eeuwigdurende looptijd van het erfpachtrecht.

  • 2.

    Indien de bestemming in de erfpachtakte privaatrechtelijk is beperkt ten opzichte van het bestemmingsplan en/of de gebruikte referenties, wordt de marktconforme waarde op basis van onderzoek gecorrigeerd voor deze beperking(en). Op het moment dat (in vergelijkbare situaties) de gebruikte referenties gelijke beperkingen kennen, blijft een correctie dan wel afslag achterwege. Als de gebruikte referenties een grotere beperking kennen dan waarvoor de erfpachtgrondprijs wordt bepaald, dan wordt de waarde naar boven bijgesteld. Dit is bijvoorbeeld het geval wanneer een vergelijking plaatsvindt met vastgoedtransacties op basis van een voortdurend erfpachtrecht.

  • 3.

    Voor het bepalen van de erfpachtgrondprijs wordt de marktconforme vastgoedwaarde verminderd met de genormeerde nieuwbouwstichtingskosten. Er wordt in de nieuwbouwstichtingskosten uitgegaan van actuele regelgeving en constructieve eisen. Tevens kan er onder voorwaarden rekening worden gehouden met locatie-eigenschappen en aanvullende eisen die door de gemeente opgelegd worden en wettelijk afdwingbaar zijn. Er wordt echter geen rekening gehouden met ambities die het bouwbesluit overstijgen of voorschrijven hoe aan deze eisen voldaan moet worden (dit zijn onder andere aanvullende eisen ten aanzien van duurzaamheid en energie). Indien de genormeerde residuele grondwaarde voor een bestaand recht wordt bepaald wordt bij het bepalen van de stichingskosten rekening gehouden met sloopkosten.13

Voor alle bestemmingen op het perceel, dus ook de parkeerplaatsen op maaiveld en het onbebouwde terrein, worden in principe afzonderlijke erfpachtgrondwaarden bepaald, zolang deze een zelfstandige economische waarde kennen.

 

De erfpachtgrondprijs wordt per relevante meeteenheid van de bestemming berekend (per m² kavel, gebruiksoppervlakte, bruto vloeroppervlakte, parkeerplaats, woning, of eenheid). De erfpachtgrondprijs wordt op basis van het vloeroppervlak berekend als de floor/space-index (fsi) gelijk aan of hoger dan 1 is en anders geldt de erfpachtgrondprijs per m² perceel. De totale erfpachtgrondprijs is de som van de erfpachtgrondprijzen van alle afzonderlijke bestemmingen met een zelfstandige economische waarde.

 

Hieronder worden per bestemming de regels die gelden bij de genomeerde residuele grondwaardebepaling benoemd. Een omschrijving van de verschillende bestemmingen is terug te vinden in de bestemmingscatalogus, die terug te vinden is in bijlage 1.

 

Wonen

Amsterdam heeft zo’n 475.000 woningen met veel uiteenlopende typen. De woningmarkt is op te delen in twee hoofdcategorieën, te weten koop- en huurwoningen. Binnen de koopwoningmarkt komen in beginsel alle woningtypen voor (diverse typen één- en meergezinswoningen, maar ook waterwoningen en woonboten). Naast de vrije sector koop is ook gestart met de ontwikkeling van sociale koopwoningen. Binnen de huurwoningmarkt worden de categorieën sociaal en markthuurwoning onderscheiden, waarbij binnen de markthuurwoningen onderscheid kan worden gemaakt tussen middeldure huur (waaronder eeuwigdurende middeldure huur) en vrije sector (dure) huur. De zogenaamde wooncoöperaties nemen een aparte plek in, evenals de woonwerkwoningen. Voor verschillende categorieën gelden aparte beleidsregels. Hieronder worden de categorieën beschreven, waarvoor de grondwaarden genormeerd residueel worden bepaald op kavel- of gebiedsniveau.

 

Vrije sector koop

Bij vrije sector koopwoningen is de genormeerde residuele benadering het uitgangspunt. De vastgoedwaarde (marktwaarde) wordt bepaald op basis van kooptransacties van woningen die qua locatie en kenmerken representatief zijn voor woningen op de locatie waarvoor de grondwaarde wordt bepaald. De opstalwaarde wordt bepaald aan de hand van genormeerde stichtingskosten van de in het project beoogde referentiemodel. Zowel bij de waardebepaling van vastgoed als opstal wordt uitgegaan van nieuwbouwkwaliteit.

 

Betaalbare koop

In het Woningbouwplan 2022-2028 is vastgesteld dat in het kader van de 40-40-20-regeling, binnen het 40% middensegment, ook betaalbare koopwoningen gerealiseerd kunnen worden. In het woningbouwplan staat: “Binnen de categorie ‘40% middensegment’ ligt de focus op nieuwbouw van middeldure huurwoningen, met een minimale instandhoudingstermijn van 25 jaar. Er is ruimte voor betaalbare koop, tot maximaal 25% van het middensegmentprogramma.” Een betaalbare koopwoning is een koopwoning met een eerste verkoopprijs van maximaal € 405.000 VON (inclusief notariskosten, kadastrale kosten en afkoop erfpacht, prijspeil 2024). Deze grens sluit aan op de betaalbaarheidsgrens die het Rijk voor koopwoningen hanteert. De maximale eerste verkoopprijs wordt vastgelegd in de erfpachtaanbieding. Het beleid voor betaalbare koopwoningen stelt geen eisen aan de woninggrootte. Daarnaast geldt het uitgangspunt dat deze marktconform wordt gerealiseerd.

 

Voor nieuwbouw koopwoningen geldt vanaf 8 juli 2020 een verhuurverbod volgens de beleidsregels ‘Nieuwbouwkoopwoningen voor eigenaar-bewoners”. Het verhuurverbod geldt voor alle nieuwe ruimtelijke projecten, die de gemeente Amsterdam in de markt zet en waarbij koopwoningen worden gerealiseerd. Het verhuurverbod is dus van toepassing op woningen bij een nieuwe erfpachtuitgifte en op woningen die gerealiseerd worden bij transformaties op erfpachtgrond. Als een erfpachter een wijziging van het lopende erfpachtrecht aanvraagt als gevolg waarvan in de nieuwe situatie één of meer nieuwe koopwoningen ontstaan, geldt het verhuurverbod ook voor deze woningen. Een algeheel verbod op verhuur wordt opgenomen in de erfpachtvoorwaarden en geldt voor onbepaalde tijd.

 

Vrije sector (dure) huur

Dit betreft woningen met een huur boven de betaalbaarheidsgrens, waarop het beleid middeldure huur niet van toepassing is. Voor deze woningen gelden geen erfpachtrechtelijke beperkingen qua huurprijs en indexering. Er geldt in principe wel een instandhoudingstermijn voor de verhuurperiode van 15 jaar. Hiermee wordt bij de grondprijsberekening rekening gehouden. Wanneer er vroegtijdig wordt uitgepond (splitsing op woningniveau en bestemmingswijziging naar koopwoning), dan is er sprake van een wijziging van het erfpachtrecht. De gemeente zal de canon, of de betaalde afkoopsom als de canon is afgekocht, dan herzien als de waarde van het erfpachtrecht verandert als gevolg van de wijziging.

 

Woonwerkwoningen

Naast de huur- en koopwoningen zijn er ook zogenaamde woonwerkwoningen. Dat is een woningtype waarbij een deel van de woning (een of meerdere kamers) wordt gebruikt als werkruimte (kantoor of bedrijfsruimte, bedrijf aan huis) binnen de kaders die het geldende bestemmingsplan stelt voor dat afwijkende gebruik. Er is niet altijd sprake van een duidelijke scheiding tussen de werk- en woonfunctie. Ook is moeilijk controleerbaar of de werkruimte daadwerkelijk als zodanig wordt gebruikt.

Een woonwerkwoning wordt voor de grondprijsberekening als een ‘zuivere’ woning aangemerkt indien het gedeelte waar gewerkt mag worden zodanig is geïntegreerd in de woning, dat niet kan worden gesproken van een duidelijke fysieke scheiding tussen wonen en werken en het werkgedeelte ook niet apart kan worden verhandeld. In dat geval wordt voor het bepalen van de genormeerd residuele grondwaarde een woonwerkwoning in zijn geheel als woning aangemerkt en als zodanig geprijsd. Zijn de twee delen, wonen en werken, apart van elkaar te splitsen, zowel juridisch als fysiek, en daardoor apart te verhandelen, dan geldt voor het werkgedeelte een aparte erfpachtgrondwaarde en is het begrip woonwerkwoning niet meer van toepassing.

 

Wooncoörporatie

Een wooncoöperatie is een vereniging van meer dan twee personen waarbij de bewoners directe invloed hebben op de exploitatie en het beheer van de woningen. De wooncoöperatie wordt erfpachter. Het betreft eeuwigdurende middeldure huur of sociale huurwoningen. De woningen kunnen niet worden verkocht en zijn daarmee blijvend beschikbaar in het midden- en/of sociale segment. Vrijkomende woningen zijn alleen beschikbaar voor specifieke inkomensgroepen. Een wooncoöperatie heeft niet als het doel het maken van winst en heeft geen winstoogmerk. Ook is het niet toegestaan om vermogen of overschotten op de jaarrekening uit te keren aan individuele leden. Voor wooncoöperaties geldt een aangepaste grondwaarde die is gebaseerd op de beperking van de huurstijging en het verbod op splitsen en verhandelen van het erfpachtrecht. Daarnaast stelt de gemeente eisen aan de statuten om te borgen dat de (toekomstige) leden van de wooncoöperatie behoren tot de doelgroep waarvoor de wooncoöperatie is opgericht. De grondprijs voor deze woningen wordt in beginsel genormeerd residueel bepaald, met inachtneming van de minimale grondprijs als genoemd in bijlage 2. Als de erfpachter een belegger of corporatie is, is sprake van een beheercoöperatie. Deze maakt met de bewoners/huurders afspraken over het beheer. In een dergelijk geval gelden de reguliere grondwaarden (afhankelijk van bestemming en uitpondtermijn).

 

Kantoren

De genormeerde residuele grondwaarden voor kantoren worden bepaald op basis van de huurwaarden, bruto aanvangsrendementen en stichtingskosten.

 

Een flexkantoor is een pand waar ondernemers kantoorruimte kunnen huren en gebruik kunnen maken van gezamenlijke faciliteiten zoals een receptie, vergaderzalen, telefooncentrale en schoonmaak. Een flexkantoor valt onder de bestemming kantoorruimte.

 

Een bedrijfsverzamelgebouw is een (kantoor)gebouw waarin meerdere bedrijven gehuisvest zijn. Vaak gaat het om een mix van kleine bedrijven, alsmede middelgrote bedrijven die hier een kantoor huren. Een bedrijfsverzamelgebouw is geen apart benoemde erfpachtbestemming. De hoogte van de erfpachtgrondprijs wordt bepaald door de aard en het gebruik van het vastgoed te toetsen aan de bestemmingsomschrijving van bedrijfsruimte en kantoorruimte.

 

Bedrijfsruimte

De genormeerde residuele grondwaarden voor bedrijfsruimten worden bepaald op basis van de huurwaarden, aanvangsrendementen en stichtingskosten.

 

Voor erfpachtrechten met alleen bedrijfsruimte tot en met 50% ondersteunende kantoorruimte geldt dat wanneer de FSI kleiner of gelijk is aan 1, de grondwaarde per m² onbebouwd terrein gelijk is aan de grondwaarde per m² bvo bedrijfsruimte. Het onbebouwde deel is, ongeacht het gebruik daarvan, het kaveloppervlak minus de totale bvo’s. Is de FSI groter dan 1, dan wordt alleen de grondwaarde van de totale bvo’s bedrijfsruimte afgerekend.

 

Als parkeren niet als zelfstandige bestemming wordt geëxploiteerd en onderdeel is van het erfpachtrecht van de bedrijfsruimte wordt geen aparte grondwaarde voor de parkeerplaatsen afgerekend, omdat die al in de grondwaarde voor de bedrijfsruimte is verdisconteerd. Afsplitsing van de parkeerfunctie in een afzonderlijk erfpachtrecht wordt aangemerkt als zelfstandige exploitatie van parkeerplaatsen. In dat geval is sprake van een bestemmingswijziging en krijgt de parkeerplaats in de nieuwe situatie een marktconforme grondwaarde.

 

Een laboratorium is een gebouw of ruimte te gebruiken voor (wetenschappelijk) onderzoek, geschikt om bepaalde proeven uit te voeren en wordt aangemerkt als een hoogwaardig bedrijfsgebouw. Laboratoria kunnen naast zelfstandige gebouwen onderdeel zijn van een ziekenhuis of een universiteit, maar ook bij een bedrijf of overheidsinstelling horen. De grondprijs voor een laboratorium wordt genormeerd residueel bepaald.

 

Creatieve industrie is een specifieke vorm van bedrijvigheid, die producten en diensten voortbrengt die het resultaat zijn van individuele of collectieve, creatieve arbeid én ondernemerschap. De creatieve industrie bestaat uit drie clusters: kunsten en cultureel erfgoed, de media- en entertainmentindustrie en creatieve zakelijke diensten. Creatieve industrie is vooral een publiekrechtelijke term (soms ook publiekrechtelijk als creatieve functies aangeduid) en vormt geen apart benoemde erfpachtbestemming. De hoogte van de erfpachtgrondprijzen voor de creatieve industrie wordt bepaald door de aard en het gebruik van de ruimte te toetsen aan de bestemmingstoelichting voor bedrijfsruimte en kantoorruimte.

 

Detailhandel en horeca

De genormeerde residuele grondwaarden voor detailhandel worden bepaald op basis van de huurwaarden, bruto aanvangsrendementen en stichtingskosten.

 

Bij horeca (exclusief hotels) zijn het type horeca en de locatie bepalend voor de genormeerde residuele grondwaarden. De gevolgen van de marktontwikkelingen en andere omstandigheden zoals openings- en sluitingstijden, publiekrechtelijke en privaatrechtelijke beperkingen wisselen per horecabranche.

 

De marktwaarde van een hotel, en dus ook de genormeerd residuele grondwaarde, wordt gebaseerd op het langjarig gemiddelde en de toekomstverwachtingen. De prijs- en omzetontwikkelingen in de hotelmarkt zijn immers conjunctuurgevoelig. Bepalend voor de genormeerd residuele grondwaarde zijn het hotelsegment (aantal sterren op grond van de Europese Hotelclassificatie (EHC)), de locatie, de bezettingsgraad, het gemiddelde dagelijkse tarief (Average Daily Rate (ADR), de verhouding logies ten opzichte van ‘food & beverage’ en andere inkomsten en de huur als percentage van de totale omzet.

 

De grondwaarden voor bijzondere hotelconcepten, zoals jeugdherbergen, hotelappartementen, en shortstay, worden eveneens genormeerd residueel bepaald maar zijn zeer locatieafhankelijk en hebben een exploitatiestructuur die afwijkt van reguliere hotels. Het zelfde geldt voor hotels die in het topsegment vallen, waarbij veelal sprake kan zijn van unieke locatiekenmerken en bouwtypologieën.

 

Vrijetijdsindustrie

Binnen deze categorie wordt in het grondprijsbeleid onderscheid gemaakt in de drie bestemmingen:

  • cultuur & ontspanning

  • recreatie

  • sport

Voor deze bestemmingen worden de grondwaarden genormeerd residueel berekend, waarbij geldt dat het om zeer ruime bestemmingscategorieën gaat, met per situatie sterk verschillende aspecten voor een genormeerd residuele grondwaardebepaling. Per afzonderlijke bestemming wordt daarom een daarbij passende marktwaardeberekening bepaald. Voor het bepalen van de marktwaarde van het vastgoed kan eventueel gebruik worden gemaakt van een (vastgoed)exploitatieberekening.

 

Voor alle bestemmingen in deze categorie waarop een minimale grondwaarde van toepassing is, geldt dat, als de FSI kleiner is dan 1, voor het onbebouwde deel een afslag van 0,75 op de grondprijs mag worden toegepast (grondprijs onbebouwd = grondprijs bebouwd maal 0,25). Bij een FSI gelijk aan of groter dan 1, behoeft het onbebouwde deel niet te worden afgerekend en geldt de afslag niet. Het aantal vierkante meters onbebouwd terrein dat wordt afgerekend, wordt als volgt berekend: m² kaveloppervlak minus totaal footprint van het gebouw is onbebouwd terrein.

 

Parkeren

Parkeren heeft doorgaans een directe relatie met andere functies. Niettemin is het een zelfstandige functie en bestemming, die in veel gevallen zelfstandig exploitabel is en vaak onderdeel vormt van een (gebieds-)ontwikkeling. Binnen het grondprijsbeleid wordt parkeren dan ook als een aparte en op zichzelf staande bestemming beschouwd, waarvoor specifieke erfpachtgrondprijzen gelden. Alleen bij eengezinswoningen met onbebouwd parkeren op eigen erf wordt geen aparte erfpachtgrondprijs berekend. De waarde van de parkeerplaats maakt daar onderdeel uit van de marktwaarde van de woning. Voor inpandig gebouwde parkeerplaatsen wordt de grondwaarde genormeerd residueel bepaald.

 

De invloed van en de vraag naar elektrische laadpalen wordt steeds bepalender bij het parkeren. Dit zal kostenverhogend werken en daardoor ook indirect van invloed zijn op de erfpachtgrondprijs. Echter ook aan de opbrengstenkant kan een vorm van inkomsten gegenereerd worden in de vorm van levering van stroom.

 

De erfpachtgrondprijs van parkeren wordt marktconform en genormeerd residueel bepaald14. De erfpachtgrondprijs hangt onder meer af van:

  • de bouwvorm (maaiveld, bebouwd, verdiept, et cetera)

  • het type parkeren: stallings- of openbare parkeergarage

  • het geldende parkeerbeleid

  • de parkeerdruk / beschikbaarheid van parkeerplaatsen

  • de exploitatievorm

In een aantal gevallen is de marktconforme residuele erfpachtgrondprijs van parkeren nihil of negatief en geldt de minimale grondwaarde zoals weergegeven in bijlage 2.

 

Sociaal-maatschappelijke bestemmingen

Voor sociaal-maatschappelijke bestemmingen is het uitgangspunt dat de grondwaarden genormeerd residueel bepaald worden. In die gevallen waar geen sprake zal zijn van een commercieel winstgevende bedrijfsvoering wordt terug gevallen op de minimale grondwaarde (zie bijlage 2).

 

In devolgende gevallen geldt altijd de minimale grondwaarde (zie bijlage 2):

  • Voor sociaal-maatschappelijke voorzieningen die voldoen aan de volgende voorwaarden:

    • o

      een rendabele exploitatie is niet mogelijk vanwege de privaatrechtelijke beperkingen, én

    • o

      de erfpachter is een non-profit instelling die wordt gesubsidieerd door de overheid.

  • Indien aan één van de twee voorwaarden wordt voldaan dan wordt de grondwaarde genormeerd residueel bepaald. Het kan zijn dat de genonormeerd residuele grondwaarde lager dan de minimale grondwaarde of zelfs negatief is, bijvoorbeeld als gevolg van vergaande privaatrechtelijke beperkingen. In dat geval geldt de minimale grondwaarde. Dit is echter geen vanzelfsprekendheid.

  • Voor de zogenaamde alles-in-één-school, waarbij sprake is van een integrale voorziening met een aanbod in opvang, (voorschoolse) educatie en naschoolse activiteiten. Het betreft een samenwerkingsverband tussen tenminste de opvangorganisatie en het onderwijs. Voorwaarden bij deze minimale grondwaarde zijn dat de alles-in-één-school voldoet aan de eisen die de gemeente (Onderwijs, Jeugd en Zorg) stelt aan het concept alles-in-één-school en de kinderopvangvoorzieningen van de alles-in-één-school eigendom worden van de gemeente (Vastgoed). Indien er naast voornoemde voorzieningen ook andere voorzieningen worden gerealiseerd, zal de grondprijs daarop worden toegesneden. Indien een marktpartij de voorzieningen binnen de alles-in-één-school realiseert en/of in eigendom krijgt, geeft de gemeente (Grond en Ontwikkeling) een maatwerkadvies voor de voor deze voorzieningen te hanteren grondprijs. Die kan uitkomen op de minimale erfpachtgrondprijs, maar kan ook hoger uitvallen.

  • Voor gezondheidscentra geldt de minimale grondwaarde als voldaan wordt aan de voorwaarden van het hebben van één gemeenschappelijke hoofdingang én één erfpachtrecht, waarbij het niet uit maakt wie de erfpachter is.

  • Voor praktijkruimten, die geen onderdeel zijn van een gezondheidscentrum en bijvoorbeeld zijn ondergebracht in de plint van een gebouw geldt het volgende: als de huisarts de erfpachter is geldt de vaste lage grondprijs. In het erfpachtcontract wordt in dat geval als gebruik “huisartsenpraktijk” opgenomen en de erfpachter stemt in met dit beperkte gebruik. Als de huisarts geen erfpachter is en de ruimte huurt van een derde en met betrekking tot de ruimte een ruimer gebruik is toegestaan, wordt de marktconforme grondprijs bepaald o.b.v. best use.

Komt de erfpachter niet standaard in aanmerking voor de minimale grondwaarde (er wordt aldus niet voldaan aan beide voorwaarden genoemd onder de eerste bullit hierboven), dan wordt de grondwaarde altijd genormeerd residueel bepaald. Hierbij kan het voor komen dat alsnog de minimale grondwaarde van toepassing is, bijvoorbeeld omdat een rendabele exploitatie niet mogelijk is als gevolg van privaatrechtelijke beperkingen. Een genormeerde residuele berekening dient dit uit te wijzen.

 

Overige bestemmingen

De grondwaarden voor alle overige bestemmingen, zoals reclamemasten en windmolens worden genormeerd residueel bepaald.

3.2 Vaste genormeerd residuele grondwaarden

Voor particulier sociale huurwoningen en middeldure huurwoningen worden periodiek vaste grondwaarden bepaald, die gedurende een periode gelden. De bepaling van deze grondwaarden heeft als uitgangspunt de genormeerd residuele methode. De marktwaarde en de stichtingskosten worden genormeerd residueel bepaald voor geheel Amsterdam om tot vaste grondwaarden te komen. Het hanteren van vaste grondwaarden, die een genormeerde residuele basis kennen, is mogelijk voor deze bestemmingen omdat de marktwaarde van deze woningen, in elk geval gedurende de periode dat ze verplicht in het sociale of middeldure huursegment verhuurd moeten worden, in geheel Amsterdam vergelijkbaar is.

 

De volgende uitgangspunten zijn gehanteerd bij de grondwaardebepaling conform de genormeerd residuele systematiek resulterend in vaste grondwaarden:

  • Bij het berekenen van de marktwaarde wordt rekening gehouden met het effect van de erfpachtrechtelijke beperkingen op de marktwaarde.

  • De genormeerde stichtingskosten zijn gebaseerd op stichtingskostenreferenties, waarbij rekening is rekening gehouden met de woninggrootte, omdat de stichtingskosten van kleinere woningen per vierkante meter hoger zijn dan bij grote woningen.

Hieronder wordt nader ingegaan op de verschillende categorieën.

 

Sociale huur

Particuliere sociale verhuur

Woningen in de sociale huur, die door particulieren worden gekocht en geëxploiteerd, worden voor de grondprijsberekening aangemerkt als markthuurwoningen. De woningen dienen minimaal

25 jaar in het segment sociale huur te worden verhuurd, dus met een huur niet hoger dan de vigerende betaalbaarheidsgrens, zoals bedoeld in artikel 3, lid 2 van de Uitvoeringswet huurprijzen woonruimte. Deze woningen mogen gedurende deze periode van tenminste 25 jaar na eerste verhuring niet als koopwoning of vrije sector huurwoning op de markt worden gezet. De erfpachter/eigenaar is gerechtigd de aanvangshuur voor de zelfstandige particuliere sociale huurwoningen per 1 januari van elk jaar te wijzigen onder de voorwaarde dat de huur niet hoger is dan de op dat moment van toepassing zijnde maximale lagehuurgrens voor sociale huurwoningen.15

Voor particuliere sociale huur voor woningen geldt dat periodiek de grondwaarde genormeerd residueel wordt berekend. Bij het opstellen van deze grondwaardeberekening wordt rekening gehouden met de gemiddelde woninggrootte, het aantal bouwlagen en het woningmarktgebied.

 

Sociale huur woningcorporaties

Een woning is een sociale huurwoning als de kale huur bij start van de huurovereenkomst onder de

lage huurgrens ligt. Deze definitie geldt zowel voor corporatiewoningen als woningen van particulieren (andere partijen dan woningcorporaties). Woningen in de sociale huur worden grotendeels door de zogenaamde in de Woningwet betitelde toegelaten instellingen (corporaties) aangeboden. Bij nieuwbouw van sociale huurwoningen hebben de Amsterdamse woningcorporaties een voorrangspositie op basis van de de Prestatieafspraken 2024-2027, het Uitvoeringsbesluit 2020 voor Erfpacht voor Woningcorporaties (of afspraken en/of besluiten die daarvoor in de plaats komen) en het Selectiebeleid Woningcorporaties.

 

Voor sociale huurwoningen, die gerealiseerd en geëxploiteerd worden door een toegelaten instelling aangesloten bij de Amsterdamse Federatie van Woningcorporaties of door instellingen die naar het oordeel van het college van burgemeester en wethouders voldoende werkzaam zijn in het belang van de Amsterdamse volkshuisvesting, zijn veelal de Algemene Bepalingen voor voortdurende erfpacht voor woningcorporaties 1998 van toepassing. Op basis van deze bepalingen geeft de gemeente de grond waarop deze woningen staan niet in eeuwigdurende erfpacht uit, maar in voortdurende erfpacht. De condities waaronder de grond in erfpacht wordt uitgegeven zijn opgenomen in de Prestatieafspraken 2024-2027 en het Uitvoeringsbesluit 2020 voor Erfpacht voor Woningcorporaties (of afspraken en/of besluiten die daarvoor in de plaatskomen). Dit grondprijsbeleid gaat daarom in op koopwoningen en markthuurwoningen, maar niet op de sociale woningbouw door woningcorporaties.

 

Middeldure huur

Voor 25-jaars en eeuwigdurende middeldure huur geldt dat de grondwaarde periodiek genormeerd residueel wordt berekend. Dit resulteert in een overzicht van grondprijzen die gedurende een periode gelden voor dit segment, de zogenaamde vaste grondprijzen voor middeldure huur. Deze hebben dus als basis een genormeerd residuele berekening hebben. Er zijn twee soorten middeldure huur, die hierna worden beschreven.

 

Middeldure huur (uitpondrestrictie 25 jaar)

Middeldure huurwoningen zijn woningen met een huur tussen de betaalbaarheidsgrens (maximale lagehuurgrens) en de bovengrens voor middeldure huur. Bij de grondwaardebepaling voor 25-jarige middeldure huurwoningen wordt rekening gehouden met de voorwaarden die hiervoor gelden op basis van het vigerende beleid.

 

In 2017 is het Actieplan Middeldure huur vastgesteld (8 juni 2017; nr. 152/433). Dit beleid is in 2020 herijkt (2020, 144761). Op het moment van schrijven is dit het vigerende beleid als het gaat om de voorwaarden voor middeldure huurwoningen. In de tweede helft van 2024 wordt er door de gemeente nieuw beleid voor middeldure huurwoningen uitgewerkt, in verband met de inwerkingtreding van de Wet betaalbare huur per 1 juli 2024. Indien dit beleid wordt vastgesteld en de voorwaarden voor middeldure huurwoningen wijzigen, dan wordt de grondprijsberekening aangepast waarbij de nieuwe voorwaarden worden meegenomen in de grondprijsberekening.

 

Voor 25-jaars middeldure huur voor meergezinswoningen geldt dat de grondwaarde periodiek genormeerd residueel wordt berekend. Periodiek actualiseren is noodzakelijk om prijsontwikkelingen ten aanzien van de stichtingskosten en vastgoedopbrengsten te kunnen verwerken in de grondprijsberekening. Daarnaast wordt er onderscheid gemaakt tussen woningmarktgebieden, de gemiddelde woninggrootte en andere projectkenmerken, omdat dit van invloed is op de exploitatie.

 

Permanente of eeuwigdurende middeldure huur

In de grondprijsberekening voor eeuwigdurende middeldure huurwoningen wordt rekening gehouden met de voorwaarden die hiervoor gelden op basis van het vigerende beleid.

 

Met de “Herijkte voorwaarden voor middeldure huur (25 jaar) en beleidsuitgangspunten voor eeuwigdurende middeldure huur (Vervolg Actieplan Meer Middeldure Huur 2020)” zijn ook beleidsregels voor eeuwigdurende middeldure huurwoningen vastgesteld. De eeuwigdurende middeldure huurwoningen zullen projectspecifiek worden opgenomen.

 

Tevens wordt er nieuw beleid voor middeldure huurwoningen uitgewerkt. Indien dit beleid wordt vastgesteld, en de voorwaarden voor middeldure huurwoningen wijzigen, dan wordt de grondprijsberekening aangepast waarbij de nieuwe voorwaarden worden meegenomen in de grondprijsberekening. Voor de grondprijsberekening zal het nieuw vastgestelde beleid hierbij prevaleren.

 

Voor eeuwigdurende middeldure huur voor meergezinswoningen geldt dat per kalenderjaar de grondwaarde genormeerd residueel wordt berekend. Bij het opstellen van deze grondwaardeberekening is rekening gehouden met de gemiddelde woninggrootte van de te realiseren woningen, dit heeft immers effect op met name de stichtingskosten. Per woninggroottecategorie geldt daarom een andere grondwaarde.

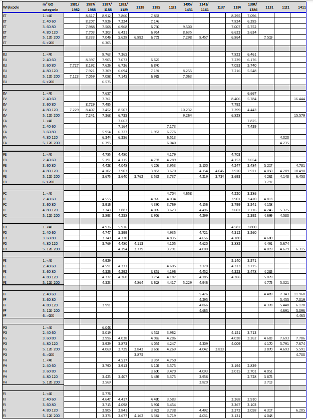
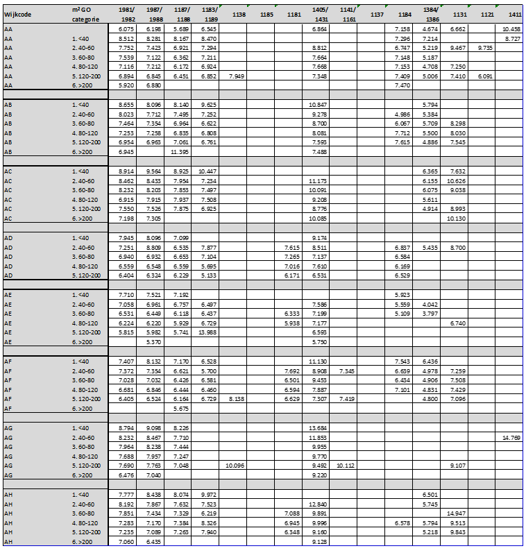
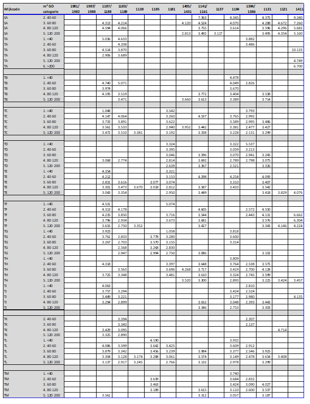
3.3 WOZ/BSQ-methode

In de volgende gevallen worden de erfpachtgrondwaarden residueel bepaald aan de hand van de zogeheten WOZ/BSQ-methode:

  • voor bestaande erfpachtrechten met de bestemming wonen, én

  • bij bestaande erfpachtrechten waarbij de huidige niet-woon bestemming en/of bebouwing (gedeeltelijk) wordt gewijzigd in wonen en bij die wijziging maximaal vier nieuwe woningen worden gerealiseerd

Deze methodiek wordt zowel voor voortdurende als voor eeuwigdurende erfpachtrechten toegepast.

 

Stapsgewijs wordt de erfpachtgrondwaarde als volgt bepaald:

  • 1.

    Voor de bepaling van de vastgoedwaarde wordt de WOZ-waarde gebruikt mits de WOZ-waarde voldoet aan de volgende criteria:

    • a)

      is definitief beschikt (eventuele bezwaarprocedures zijn afgerond);

    • b)

      is gebaseerd op de grond en de daarop gerealiseerde en volledig afgebouwde onroerende zaak16. Dit wil zeggen dat de opstal voor de peildatum is opgeleverd volgens de WOZ-administratie17;

    • c)

      is gebaseerd op bestemming(en) die overeenstemmen met het erfpachtrecht;

    • d)

      het erfpachtrecht niet is gewijzigd na de peildatum van de WOZ-waarde;

    • e)

      een eventuele bestemmingsbeperking in het erfpachtrecht ten opzichte van het bestemmingsplan heeft geen invloed op de WOZ-waarde.

    • f)

      voor wonen de WOZ-waarde van de woonbestemming gebruikt, mits de oppervlakte uit de WOZ-administratie niet meer dan 5% tot een maximum van 5 m² gebruiksoppervlak afwijkt van de oppervlakte volgens de akte dan wel, indien deze niet beschikbaar is, volgens de feitelijke situatie. Afwijkingen die groter zijn dan hiervoor genoemd maken de WOZ-waarde onbruikbaar, waardoor de onbezwaarde waarde wordt bepaald door Grond en Ontwikkeling op basis van gegevens uit de akte dan wel, indien deze niet beschikbaar is, volgens de feitelijke situatie. Zie hiervoor de notitie “Onbezwaarde waarde, maatwerk BSQ en procedure van bedenkingen”.

  • Praktisch betekent dit dat de WOZ beschikking van het vorige belastingjaar wordt gebruikt. De WOZ-waarde heeft dan een peildatum van twee jaar eerder (de waardepeildatum is altijd één jaar eerder dan het jaar van de WOZ-beschikking). Voor dossiers met een volledige aanvraagdatum vanaf 1 januari 2025, geldt dat de grondwaardebepaling uitgevoerd wordt op basis van de WOZ-waarde van belastingjaar 2024 met peildatum 202318.

  • 2.

    De grondwaarde wordt bepaald door de WOZ-waarde in de WOZ-beschikking van het voorgaande belastingjaar te vermenigvuldigen met de zogenaamde buurtstraatquote. Voor meergezins- en eengezinswoningen worden verschillende buurtstraatquotes gebruikt. De buurtstraatquote wordt hieronder nader toegelicht.

  • 3.

    Op de grondwaarde wordt een depreciatie toegepast (zie uitgangspunt 8 in hoofdstuk 2) om te komen tot de erfpachtgrondwaarde.

  • 4.

    Bij overstap van voortdurende naar eeuwigdurende erfpacht is een overstappremie van toepassing, conform de Overstapregeling van voortdurende erfpacht naar eeuwigdurende erfpacht voor woonbestemmingen 2017.

Er zijn erfpachtrechten waarbij in het contract opgenomen is dat de bestemming van het erfpachtrecht “huurwoning” is. In dat geval stemt de bestemming van het erfpachtrecht niet overeen met de bestemming waarvan wordt uitgegaan bij de bepaling van de WOZ-waarde. De WOZ-waarde gaat namelijk uit van de fictie vrij en leeg verkoopbaar. De huurbestemming heeft echter een drukkend effect op de vastgoedwaarde en daarmee op de grondwaarde. De marktwaarde van beleggershuurwoningen ligt lager dan de vrije verkoopwaarde van woningen. Om die reden wordt jaarlijks op basis van actuele marktinformatie bepaald met welke factor de WOZ-waarde wordt gecorrigeerd om tot de beleggingswaarde te komen. Door deze beleggingswaardefactor jaarlijks te actualiseren (net als de opstalwaarde) blijft de residuele grondwaarde voor huurwoningen in logische verhouding staan tot de residuele grondwaarde voor koopwoningen. Bij de bestemming huurwoningen wordt daarom de grondwaarde op dezelfde wijze bepaald als hierboven beschreven (WOZ-waarde maal de buurtstraatquote) maar wordt de buurtstraatquote verlaagd met het percentageverschil tussen de beleggingswaarde van huurwoningen en de WOZ-waarde. Hierbij is ook van toepassing dat de buurtstraatquote niet lager mag zijn dan 5%.

 

Op basis van onderzoek is geconcludeerd dat de actuele verhouding tussen huurwoningen en koopwoningen gemiddeld genomen 95% is. Dat betekent dat de buurtstraatquote met 5%-punt wordt verlaagd (waarbij de gecorrigeerde buurtstraatquote niet onder de 5% mag komen). De grondwaarde van een woning met d bestemming ‘huurwoning’ wordt vervolgens bepaald doordeze aangepaste buurtstraatquote te vermenigvuldigen met de WOZ-waarde

 

Werkwijze als er geen bruikbare WOZ-waarde beschikbaar is

In een aantal gevallen kan het zijn dat er geen bruikbare WOZ-waarde beschikbaar is. Dit is bijvoorbeeld het geval bij woningen die recent zijn gebouwd en opgeleverd. Deze hebben nog geen WOZ-waarde of nog geen WOZ-waarde die is gebaseerd op een afgebouwde woning. Het is ook mogelijk dat de bestemming waar de WOZ-waarde vanuit gaat (de publiekrechtelijk vastgestelde bestemming) niet overeenstemt met de bestemming zoals deze is vastgelegd in de erfpachtakte. Daarnaast is de WOZ-waarde niet bruikbaar in geval van bestemmings- en bebouwingswijzigingen, indien de oppervlakte uit de WOZ-administratie meer dan 5% en/of meer dan 5 m² gebruiksoppervlakte afwijkt van de oppervlakte volgens de akte dan wel, indien deze niet beschikbaar is, volgens de feitelijke situatie.

 

In deze gevallen zal Grond & Ontwikkeling de zogenaamde onbezwaarde waarde van het object bepalen. Daarbij wordt vergeleken met andere WOZ-objecten die over gelijke kenmerken beschikken of wordt er gecorrigeerd voor kenmerken die verschillen tussen het object waarvoor de onbezwaarde waarde moet worden bepaald en de kenmerken van het object waarmee wordt vergeleken. Een uitgebreide beschrijving van de wijze waarop de onbezwaarde waarde wordt bepaald is opgenomen in de notitie “Onbezwaarde waarde, maatwerk BSQ en procedure van bedenkingen”19. Hierin staat tevens aangegeven op welke wijze een erfpachter bedenkingen kan uiten tegen de onbezwaarde waarde.

 

Gemengde bestemmingen

Het is mogelijk dat naast wonen nog een andere bestemming op het erfpachtrecht van toepassing is. Bij deze gemengde bestemmingen wordt de erfpachtgrondwaarde per bestemming bepaald op de wijze zoals beschreven in dit beleid.

 

De Overstapregeling van voortdurende naar eeuwigdurende erfpacht is van toepassing op erfpachtrechten met uitsluitend een woonbestemming. Erfpachters met een recht met gemengde bestemmingen kunnen daardoor niet overstappen van voortdurende naar eeuwigdurende erfpacht. In artikel 3.3 van de Overstapregeling is hierop voor één groep erfpachtrechten met gemengde bestemmingen een uitzondering opgenomen, zodat zij wel kunnen overstappen naar eeuwigdurende erfpacht. Voor deze erfpachtrechten wordt voor een overstap de erfpachtgrondwaarde op gelijke wijze bepaald als voor erfpachtrechten met uitsluitend een woonbestemming. In veel gevallen is de WOZ-waarde voor deze rechten volledig gebaseerd op een woonbestemming en kan deze gebruikt worden om de erfpachtgrondwaarde te bepalen. Bij een beperkt aantal rechten is de WOZ-waarde echter mede gebaseerd op een niet-woonbestemming, zoals kantoor, werkruimte, werkplaats, productiehal, overige ruimten en/of atelier. In deze gevallen wordt aan de niet-woonbestemming de onbezwaarde waarde van de woon-bestemming20 toegerekend in plaats van de WOZ-waarde die aan dit deel is toegekend. Deze onbezwaarde waarde wordt opgeteld bij de WOZ-waarde die is toegekend aan de woonbestemming.

 

Dienst- en bedrijfswoningen

In verband met de beperkingen die gelden voor dienst- en/of bedrijfswoningen wordt voor deze woningen de reguliere residuele methode in plaats van de WOZ-BSQ-methode gehanteerd.

 

Buurtstraatquote

Een buurtstraat is het gedeelte van een straat dat in één buurt valt. Hiervoor is de buurtindeling gebruikt van Onderzoek, Informatie en Statistiek van de gemeente Amsterdam. Lange straten strekken zich vaak uit over meerdere buurten. Amsterdam kent circa 5.000 buurtstraten.

 

Berekening individuele grondquote en buurtstraatquote

De buurtstraatquote is berekend21 door individuele grondquotes van eengezins- of meergezinswoningen in een buurtstraat te middelen. De individuele grondquotes zijn bepaald door de WOZ-waarde te verminderen met de genormeerde opstalwaarde, waardoor de individuele grondwaarde wordt verkregen. De individuele grondwaarde gedeeld door de WOZ-waarde is de individuele grondquote. Omdat de grond altijd een waarde vertegenwoordigt, wordt de minimale individuele grondquote op 5% van de WOZ-waarde gesteld. De buurtstraatquote is hierdoor ook minimaal 5% van de WOZ-waarde. Daarnaast wordt een maximale buurtstraatquote van 49% van de WOZ-waarde gehanteerd.

 

In onderstaand figuur staat deze totstandkoming van de buurtstraatquote weergegeven.

 

Met de buurtstraatquote wordt invulling gegeven aan de residuele grondwaardemethode. In feite wordt de WOZ-waarde gecorrigeerd voor de gemiddelde opstalwaarde in een straat. In gewilde buurten komt de grondwaarde met de buurtstraatquote hoger uit dan in minder gewilde buurten. Bij gelijke bebouwing werken de absolute verschillen in de WOZ-waarde tussen verschillende locaties door in de grondwaarde.

 

De keuze voor de buurtstraatquote

De keuze voor de buurtstraatquote is gemaakt om de volgende redenen:

  • Het is daardoor niet noodzakelijk om voor elk individueel erfpachtrecht de opstalwaarde te berekenen. Wanneer voor een representatief aantal woningen de opstalwaarde kan worden berekend, kan de buurtstraatquote voor de hele straat worden bepaald. Als voor een woning de WOZ-waarde bekend is en de opstalwaarde niet (door een afwijkend woningtype of oppervlak), dan kan toch een grondwaarde worden bepaald.

  • De buurtstraatquote doet recht aan de locatieverschillen. Ook op zeer korte afstand, binnen een buurt, kan een aanmerkelijk verschil bestaan in de hoogte van de grondwaarde. Bij de keuze voor een hoger schaalniveau, bijvoorbeeld het rekenen met buurtquotes, zou het waardeverschil gedeeltelijk worden uitgemiddeld.

  • Door een quote van de WOZ-waarde te gebruiken, wordt recht gedaan aan de verschillen die op buurtstraatniveau tussen woningen bestaan. Zo krijgt een woning met een mooi uitzicht en dakterras of een woning met een tuin een hogere grondwaarde doordat de WOZ-waarde per m² hoger is dan de WOZ-waarde van de woningen op de tussenverdiepingen. Individuele woningen krijgen door de quote een unieke grondwaarde.

  • De methodiek is consequent. De WOZ-waarde is voor iedereen bekend en de erfpachter heeft daar bezwaar tegen kunnen maken. Gelijke woningtypes met een gelijk onderhoudsniveau hebben dezelfde opstalwaarde gekregen.

Rekenregels voor de buurtstraatquote

Individuele grondquotes kunnen alleen meewegen in de bepaling van de buurtstraatquote indien:

  • het geen corporatiewoning betreft waarop de Algemene Bepalingen 1985 of Algemene Bepalingen 1998 van toepassing zijn of corporatiewoning op particuliere grond betreft;

  • het geen woning betreft waarop de Algemene Bepalingen van de Haven van toepassing zijn;

  • de kavel bij eengezinswoningen niet groter is dan 500 m²;

  • de woning geen (deels commercieel gebruikte) bijzondere aanhorigheden bevat (bijlage 4d).22

De buurtstraatquote die volgt uit individuele grondquotes wordt alleen gehanteerd als aan de volgende criteria wordt voldaan:

  • voor minimaal 50% van de woningen in de buurtstraat is een individuele grondquote berekend;

  • voor minimaal 5 woningen in de buurtstraat is een individuele grondquote berekend.

De berekende buurtstraatquote wordt niet gebruikt als:

  • de gemiddelde WOZ-waarde in een buurtstraat meer dan € 250,- per m² hoger is dan de gemiddelde WOZ-waarde in de buurt en als de opstalwaarde in die buurtstraat meer dan € 150,- per m² lager is dan de gemiddelde opstalwaarde in de buurt;

  • de gemiddelde WOZ-waarde in een buurtstraat meer dan € 250,- per m² lager is dan de gemiddelde WOZ-waarde in de buurt en de opstalwaarde in de buurtstraat meer dan € 150 per m² hoger is dan de gemiddelde opstalwaarde in de buurt;

  • de opstalwaarde in een buurtstraat meer dan € 400,- per m² lager is dan de gemiddelde opstalwaarde in de buurt.

Deze bovenstaande rekenregels worden opvolgend toegepast op het WOZ-bestand.

 

Op het moment dat er geen buurtstraatquote is die voldoet aan bovenstaande criteria, wordt de buurtstraatquote bepaald door deze gelijk te stellen aan de buurtquote. De buurtquote is het gemiddelde van alle individuele grondquotes die berekend kunnen worden in de buurt. De buurtquote wordt alleen gehanteerd als aan de volgende criteria wordt voldaan:

  • voor minimaal 50% van de woningen in de buurt is een individuele grondquote berekend;

  • voor minimaal 5 woningen in de buurt is een individuele grondquote berekend.

Daarnaast geldt dat de buurtstraatquote maximaal 5%-punt lager of 5%-punt hoger mag zijn dan de buurtquote (indien deze beschikbaar is). Als de buurtstraatquote buiten deze bandbreedte valt, dan wordt de buurtstraatquote respectievelijk op 5%-punt onder de buurtquote of 5%-punt boven de buurtquote begrensd. Een buurt kent weliswaar verschillen, maar extreme verschillen in de buurtstraatquotes in een buurt zijn niet gewenst en worden op deze manier voorkomen. Extreme verschillen in een buurt zijn namelijk moeilijk te verklaren, omdat de locatie, en daarmee de waarde van de grond, nauwelijks afwijkt. Tenslotte is de maximale buurtstraatquote gesteld op 49% van de WOZ-waarde. Alle buurtstraatquotes die boven 49% uit zouden komen zijn op 49% vastgesteld.

 

Werkwijze als de buurtstraatquote niet bepaald kan worden

Voor nagenoeg alle woningen op erfpacht is een buurtstraatquote berekend. Voor een klein deel van de woningen kan geen buurtstraatquote worden bepaald. Deze woningen staan in straten of buurten met slechts enkele eengezins- of meergezinswoningen of voor de desbetreffende woningen in de straat of buurt is de opstalwaarde niet bepaald. Dit laatste is het geval als het woningtype nauwelijks voorkomt in de stad.

 

In deze uitzonderlijke gevallen bepaalt Grond & Ontwikkeling de buurtstraatquote op een soortgelijke wijze als hierboven beschreven. Een uitgebreide beschrijving van de wijze waarop de zogenaamde maatwerk buurtstraatquote wordt bepaald is opgenomen in de notitie “Onbezwaarde waarde, maatwerk BSQ en procedure van bedenkingen”.

 

Parkeerplaatsen bij een woning 23

De Overstapregeling van voortdurende naar eeuwigdurende erfpacht is ook van toepassing voor aanhorigheden bij woningen. Hieronder vallen ook afzonderlijke parkeerplaatsen bij een woning. De parkeerplaats dient dan te behoren aan de erfpachter van de woning. In deze gevallen wordt de buurtstraatquote van de woning ook toegepast op de parkeerplaats om de erfpachtgrondwaarde van de parkeerplaats te bepalen, mits de overstap van de erfpachtrechten tegelijk plaatsvindt. Daarmee wordt voorbijgegaan aan het feit dat de verhouding tussen de grondwaarde en de totale vastgoedwaarde van de parkeerplaats anders kan zijn dan van de woning. Zo wordt voorkomen dat er ingewikkelde grondwaardeberekeningen nodig zijn voor een enkele parkeerplaats bij een woning. Indien de parkeerfunctie geen onderdeel is van de WOZ-waarde zal Grond & Ontwikkeling de onbezwaarde waarde van het object bepalen (zie notitie “Onbezwaarde waarde, maatwerk BSQ en procedure van bedenkingen”). Alleen bij afzonderlijke parkeerplaatsen bij woningen waarop de Overstapregeling van voortdurende naar eeuwigdurende erfpacht van toepassing is of bij parkeerplaatsen die onderdeel uitmaken van de WOZ-waarde van de woning, wordt de grondwaarde gebaseerd op de WOZ-waarde, in lijn met de methodiek voor wonen.

4 Stichtingskosten en opstalwaarden

In de eerdere hoofdstukken zijn de termen 'stichtingskosten' en 'opstalwaarde' kort aangestipt. Beide termen verwijzen naar de kosten die nodig zijn om een gebouw te realiseren en vormen een essentieel onderdeel van de genormeerd residuele methode. Bij deze methode wordt de waarde van het vastgoed verminderd met de stichtingskosten om de grondprijs te berekenen. Zowel fluctuaties in de marktwaarde als wijzigingen in de stichtingskosten beïnvloeden de uiteindelijke grondprijs. In dit hoofdstuk worden de stichtingskosten en opstalwaarden verder toegelicht en wordt uitgelegd hoe ze worden toegepast binnen het grondprijsbeleid.

 

Bij de bepaling van de grondprijs wordt voor het gehanteerde stichtingskostenniveau een genormeerde methodiek gebruikt. Dit betekent dat de gemeente niet uitgaat van de feitelijke opbrengsten- en kostenniveaus die op dat moment bekend of beschikbaar zijn, maar van genormeerde kosten- en opbrengstenniveaus op basis van externe informatiebronnen voor vergelijkbare objecten. Deze methodiek impliceert dat de uitgangspunten van de gemeente kunnen afwijken van de daadwerkelijk gerealiseerde objecten. De gemeente Amsterdam heeft door externe bouwkostenadviesbureaus gestandaardiseerde stichtingskostenreferentiemodellen laten ontwikkelen omwille van deze genormeerde methodiek.

 

Het grondprijsbeleid maakt globaal gezien onderscheid tussen nieuwe uitgiften van erfpachtrechten en de bestaande erfpachtrechten van woningen. Hoewel beide worden berekend op basis van zogenoemde stichtingskostenreferenties, zijn er verschillen in de berekeningsmethoden en de onderliggende uitgangspunten en wordt er bij het ene geval gerekend met stichtingskosten en bij het andere met opstalwaarden, namelijk:

 

Stichtingskosten

Voor alle genormeerd residuele berekeningen 24

De grondprijs bij nieuwe uitgiften van grond met een specifieke bestemming wordt berekend op basis van de fictieve stichtingskosten voor nieuwbouw en de bijbehorende marktwaarde van het nieuw te bouwen object. Dit geldt voor alle bestemmingen, tenzij er voor een specifieke bestemming een vaste grondprijs conform uitgangspunt 6 (zie pagina 18) is vastgesteld. Bij tussentijdse erfpachtwijzigingen, waarbij een bestaand erfpachtrecht wordt aangepast, wordt de grondprijs eveneens gebaseerd op fictieve nieuwbouw stichtingskosten, aangevuld met een opslag voor sloopkosten. Dit is bijvoorbeeld van toepassing wanneer een kantoorpand wordt getransformeerd naar een andere niet-woonbestemming (functiewijzigiging, en wanneer er in de nieuwe situatie vijf of meer woningen worden gerealiseerd. De grondprijs wordt residueel bepaald op basis van het actuele prijspeil, met behulp van deze fictieve nieuwbouw stichtingskosten, zoals verder toegelicht in paragraaf 4.1.

 

Opstalwaarden

Voor alle berekeningen die volgens de WOZ/BSQ-methode gaan

Voor bestaande woningen waarvan het erfpachtrecht wijzigt of bestaande erfpachtrechten waarbij de huidige niet-woon bestemming en/of bebouwing (gedeeltelijk) wordt gewijzigd in wonen en bij die wijziging maximaal vier nieuwe woningen worden gerealiseerd, wordt de grondprijs (die input vormt voor de BSQ) berekend op basis van de opstalwaarde. De opstalwaarde is gerelateerd aan de WOZ-waarde van de woning en is gebaseerd op de herbouwkosten, rekening houdend met de typering, de peildatum van de WOZ-waarde, en de metrages uit de WOZ-gegevens. Dit wordt verder besproken in paragraaf 4.2.

 

De stichtingskosten en opstalwaarden bestaan uit zowel de bouwkosten als de bijkomende kosten van een bouwwerk. De bouwkosten zijn de kosten die een aannemer in rekening brengt bij de opdrachtgever om de opstallen te realiseren, waaronder directe bouwkosten en opslagen voor de aannemer (indirecte bouwkosten). De bijkomende kosten zijn de kosten die nodig zijn voor de realisatie van de opstallen, zoals honoraria (voor architecten, constructeurs, en projectmanagers), leges, aansluitkosten, financieringskosten en kosten voor projectontwikkeling (algemene kosten, winst, en risicopremies). Het uitgangspunt hierbij is dat de grond bouwrijp is en dat er wordt gewerkt volgens algemene bouwstandaarden en de actuele bouwregelgeving. Bij transformaties worden extra sloopkosten meegenomen, exclusief saneringskosten en asbestverwijdering.

4.1 Stichtingskosten

De stichtingskosten voor alle bestemmingen waarvoor genormeerd residueel wordt gerekend en waarvoor niet de WOZ-BSQ-methode geldt, worden bepaald aan de hand van verschillende stichtingskostenreferenties of -modellen die passen bij de bestemming, rekening houdend met gebouwtypologieën, volume, bouwhoogte, en -vormen. De referentiemodellen vertegenwoordigen zo goed mogelijk het vastgoed dat in de regio Amsterdam wordt gerealiseerd. De projecten die gebouwd worden, verschillen vaak van de modellen in esthetische en constructieve uitgangspunten en anders van vorm en formaat.. De keuze van de referentie is daarom niet gerelateerd aan het feitelijke of te realiseren bouwplan, maar is gebaseerd op een gebouwtypologie passend bij de bestemming. De referentiemodellen zijn specifiek bedoeld om de genormeerd residuele grondwaarde op een consistente manier te bepalen en nadrukkelijk niet om de bouw- en stichtingskosten van een specifieke casus te berekenen. Bouwers, beleggers en ontwikkelaars zoeken altijd naar een optimale combinatie van kwaliteit en kosten, afhankelijk van de beoogde doelgroep en het marktsegment. Dit leidt tot een verscheidenheid aan bouwvormen, volumes, en bouwkwaliteiten.

 

Voor laagbouwwoningen zijn er referenties voor rijwoningen en twee-onder-een-kapwoningen, terwijl voor meergezinswoningen referenties beschikbaar zijn voor galerijwoningen, corridorwoningen, torens, en combinatievormen. Om tegemoet te komen aan de variëteit in gebouwvormen, architectuur, materiaalgebruik, en duurzaamheidsaspecten, wordt in de modellen gewerkt met opslagen voor locatie, functiestapeling, geluidsbelasting en kwaliteit, gekoppeld aan de marktwaarde. De opslag voor functiestapeling wordt standaard toegepast bij meergezinswoningen en wordt regelmatig aangepast op basis van marktontwikkelingen.

 

Voor andere bestemmingen en functies, zoals kantoren, commerciële plintfuncties, bedrijfsgebouwen, hotels, en parkeervoorzieningen, worden eveneens gestandaardiseerde referentiemodellen gebruikt. Voor kantoren wordt onderscheid gemaakt tussen verschillende gebouwhoogtes en kwaliteitsniveaus, variërend van basis- tot topkwaliteit, waarbij wordt uitgegaan van een volledige afbouw, inclusief installaties, maar exclusief kantoorinrichting. Voor bedrijfs- en winkelruimtes wordt uitgegaan van een casco-oplevering, inclusief de benodigde aansluitingen en inbouwvoorzieningen. De referentiemodellen zijn zo goed mogelijk afgestemd op wat er nieuw wordt gebouwd, en de bouw- en stichtingskosten worden genormaliseerd door deze te berekenen per m² bruto vloeroppervlak (bvo).

 

Ook voor parkeerfaciliteiten worden verschillende referentiemodellen gehanteerd. Er zijn modellen voor parkeren op maaiveld (niet overbouwd), inpandig parkeren op maaiveld en op verdiepingen, half-verdiept parkeren, en verdiept parkeren. Voor overbouwde parkeerplaatsen wordt uitgegaan van volledig afgebouwde parkeergarages inclusief installaties. Daarnaast wordt onderscheid gemaakt tussen stallings- en openbare parkeerplaatsen.

 

Waar de genormeerde referentiemodellen niet geschikt zijn voor bepaalde bestemmingen, worden de kosten, waar mogelijk met genormeerde gegevens, apart bepaald. Binnen de referentiemodellen kan op diverse aspecten worden gedifferentieerd om genormeerd rekening te houden met de fysieke locatiekenmerken.

 

Bouwvolume: De bouwhoogte heeft een grote invloed op de hoogte van de stichtingskosten. De referentiemodellen sluiten zoveel mogelijk aan bij het aantal bouwlagen en het bouwvolume dat in het bestemmingsplan of het betreffende project wordt voorgeschreven.

Locatie: De stichtingskosten kunnen worden aangepast aan de locatie met behulp van opslagen, gebaseerd op de aanname dat bepaalde gebieden moeilijker te bereiken zijn en in het algemeen complexer zijn om te bouwen.

Kwaliteit: Gebieden met een hogere marktwaarde stellen vaak hogere eisen vanwege welstandsnormen. Dit kan resulteren in een kwaliteitsopslag op de stichtingskosten.

 

In complexe gevallen, bijvoorbeeld vanwege locatiefactoren, verkaveling, of bij afwijkende bestemmingen, wordt in overleg met een bouwkostendeskundige bepaald welke referentie het meest geschikt is en of er maatwerk nodig is. De stichtingskosten worden per referentiemodel vastgesteld en elk kwartaal geactualiseerd op basis van gegevens van en overleg met bouwkostenexperts van externe bureaus, evenals marktontwikkelingen en duurzaamheidsaspecten.

4.2 Opstalwaarden voor WOZ-BSQ-methode

De opstalwaarde voor woningen waarvoor de grondwaarde conform de WOZ/BSQ-methode wordt bepaald, gaat uit van de herbouwkosten. De herbouwkosten zijn de kosten om een woning opnieuw te bouwen volgens de regelgeving en constructieve eisen die gelden bij het prijspeil van de WOZ-waarden. In Bijlage 4 is een uitgebreide toelichting voor bepaling van de herbouwkosten voor wonen opgenomen. De BSQ 2025 is gebaseerd op de WOZ-waarden van belastingjaar 2024, vastgesteld op prijspeil 2023. Daarom zijn ook de herbouwkosten vastgesteld op prijspeil 2023. Deze kosten omvatten de bouwsom van nieuwbouw, inclusief fundering, vermeerderd met de kosten voor het slopen van het bestaande pand. Sloopkosten voor sanering en asbestverwijdering zijn niet inbegrepen, aangezien deze worden gezien als (grond)vervuilingen veroorzaakt door de huidige of vorige erfpachter. Bij de uitgifte was de grond immers geschikt voor gebruik. De bouwkostenberekeningen zijn gebaseerd op het genoemde actuele prijspeil en de huidige eisen voor gebouwen.

Voor de bepaling van de opstalwaarde worden meerdere referentiemodellen gebruikt die de veel voorkomende woning- en gebouwtypen in Amsterdam vertegenwoordigen. Bij de bestemming wonen zijn de referenties gecategoriseerd volgens de woningtypes die Dienst Belastingen hanteert voor de WOZ-waardebepaling. In bijlage 4a zijn alle woningtypen opgenomen. In bijlage 4c is per woningtype de gemiddelde WOZ-waarde (naar buurt en grootteklasse oppervlakte) opgenomen. Indien er per woningtype meerdere uitvoeringen mogelijk zijn, wordt uitgegaan van de gemiddelde prijs van die woningtypes. Er zijn referenties voor hoekwoningen, tussenwoningen, drive-in woningen, galerijflats, portiekflats, benedenwoningen, en bovenwoningen. De opstalwaarden worden bijgesteld op basis van de oppervlakte, locatie en kwaliteit.

 

Oppervlakte van woningen:

Kleine woningen hebben per m² gebruiksoppervlak (go) doorgaans een hogere opbrengst dan grote woningen, maar ook hogere kosten per m² go. Daarom is de kostenberekening gebaseerd op verschillende oppervlaktecategorieën. Voor meergezinswoningen en bovenwoningen zijn de kosten berekend voor woningen met een gebruiksoppervlak (GO) van 30 tot en met 180 m².

 

Locatie van de woning:

Omdat bouwen in het centrum duurder is dan buiten het centrum, wordt hiermee rekening gehouden in de kostenbepaling. Voor extra kosten door de bereikbaarheid of complexiteit van de locatie wordt een toeslag toegepast, afhankelijk van verschillende locatiecategorieën. Deze toeslag is gekoppeld aan de buurtcombinaties van Onderzoek, Informatie en Statistiek (OIS). Zie Bijlage 4b voor de gebiedsindelingscategorieën.

 

Kwaliteit van de opstal:

De herbouwkosten zijn ook afhankelijk van de kwaliteit en waarde van de opstal. Hoewel de kwaliteit moeilijk te meten is, wordt deze ingeschat op basis van de WOZ-waarde per m². Afhankelijk van de woninggrootte en de WOZ-waarde per m² wordt een toeslag op de herbouwkosten toegepast als de WOZ-waarde per m² hoger is dan het niveau waarop de herbouwkosten zijn gebaseerd.

 

Een uitgebreide toelichting op de bepaling van de opstalwaarde voor wonen is te vinden in bijlage 4.

4.3 Duurzaamheid

Duurzaam bouwen is tegenwoordig een belangrijk onderdeel van zowel nieuwbouw als renovatie. Duurzaamheidsmaatregelen omvatten energiebesparende technologieën, hergebruik van materialen, en het gebruik van materialen die geschikt zijn voor toekomstig hergebruik (circulair bouwen). Bij de bepaling van grondprijzen wordt geen rekening gehouden met aanvullende bovenwettelijke duurzaamheidseisen, tenzij er in specifieke gevallen een bestuurlijk besluit is genomen. In dergelijke gevallen wordt gekeken naar zowel het effect van duurzaamheidseisen op het kostenniveau als op het opbrengstniveau. Duurzaamheidseisen kunnen resulteren in hogere stichtingskosten, maar kunnen ook leiden tot lagere onderhouds- en energiekosten en een hogere toekomstwaarde voor de eindgebruiker. Het effect verschilt per type duurzaamheidseis. Het verhogen van duurzaamheidseisen heeft dus niet per definitie een negatief effect op de erfpachtgrondprijs; dit hangt af van de impact die de eisen hebben op de kosten en opbrengsten. Eventuele aanvullende ambities van een ontwikkelaar worden daarom niet meegenomen in de bepaling van de stichtingskosten en het opbrengstenniveau.

 

De duurzaamheidsvereisten die wettelijk van kracht zijn op het moment van grondprijsbepaling vormen altijd de basis voor de stichtingskosten en opbrengsten, in overeenstemming met het besluit bouwwerken leefomgeving. Hierbij kan men denken aan eisen zoals BENG (1), MPG (2) en aardgasvrij bouwen (3). Hoewel er onder ontwikkelaars een verschuiving plaatsvindt naar normen zoals Paris Proof (4), Het Nieuwe Normaal (5) en houtbouw (6), zijn deze nog niet wettelijk vastgelegd en maken ze geen deel uit van de genormeerde stichtingskosten. Een uitleg hiervan:

 

Wettelijk verplicht

1. (Bijna) energieneutraal bouwen en kosten

Sinds 1 januari 2021 wordt de energieprestatie van nieuwbouw bepaald door de BENG-normering (Bijna Energie Neutrale Gebouwen). De BENG-normen zijn een verdere specificatie van de EPC en zijn onderverdeeld in drie onderdelen. In plaats van één algemene EPC-norm, stellen BENG-regels specifieke eisen aan de bouwkundige eigenschappen zoals isolatie, glas en luchtdichtheid van het casco (BENG 1), de hoeveelheid verbruikte primaire fossiele energie (BENG 2) en het aandeel van gebruikte duurzame energie (BENG 3). Vanaf 1 januari 2021 moeten alle nieuwbouwprojecten, zowel voor woningen als utiliteitsbouw, voldoen aan de BENG-eisen. Deze vereisten zijn een direct gevolg van het Energieakkoord voor duurzame groei en de Europese Energy Performance of Buildings Directive (EPBD).

 

2. Milieu Prestatie Gebouwen (MPG)

De Milieu Prestatie Gebouwen (MPG) is de Nederlandse maatstaf die de milieubelasting van een gebouw gedurende zijn hele levenscyclus beoordeelt, van de winning van grondstoffen tot aan sloop en recycling. Sinds 1 januari 2018 is de MPG-eis wettelijk verplicht voor nieuwbouwaanvragen voor woningen en kantoren groter dan 100 m². Op 1 juli 2021 werd de maximale toegestane MPG-score aangescherpt naar 0,8, met de verwachting dat deze score in 2030 verder wordt verlaagd naar 0,5. Deze aanscherping sluit aan bij de bredere duurzaamheidsdoelen van de Nederlandse overheid, die gericht zijn op het verminderen van de milieubelasting van de bouwsector. Door de MPG-score verder te verlagen worden bouwers, architecten en ontwikkelaars gestimuleerd om duurzamere materialen en bouwmethoden te gebruiken, wat bijdraagt aan de nationale klimaatdoelen en de overgang naar een circulaire economie tegen 2050.

 

3. Aardgasvrij bouwen

Sinds 1 juli 2018 is het aanvragen van een omgevingsvergunning voor nieuwbouw met een gasaansluiting niet meer toegestaan. Dit is het resultaat van een wijziging in de Gaswet. In principe mogen netbeheerders geen gasaansluitingen meer realiseren bij nieuwbouw, tenzij het college van burgemeester en wethouders vanwege een zwaarwegend algemeen belang een uitzondering maakt. Gemeenten hebben ook de bevoegdheid gekregen om gebieden aan te wijzen waar geen nieuwe gasaansluitingen meer zijn toegestaan, ook niet voor bestaande gebouwen. Het uitgangspunt voor de gehanteerde kostenreferenties is gebaseerd op stadsverwarming of warmte-koudeopslag (WKO) zonder gasaansluiting. Aardgasloos bouwen met alternatieve oplossingen zoals warmtepompinstallaties wordt doorgaans gefaciliteerd via energiebedrijven.

 

Wettelijk niet verplicht (en dus geen onderdeel van grondprijsbepaling):

 

4. Paris Proof bouwen

Paris Proof bouwen verwijst naar het realiseren van gebouwen die voldoen aan de doelstellingen van het Parijsakkoord om de opwarming van de aarde te beperken tot maximaal 1,5 graad Celsius. Dit betekent dat gebouwen aanzienlijk minder energie moeten verbruiken, met een nadruk op efficiëntie en het gebruik van hernieuwbare energiebronnen. Het uiteindelijke doel is om de CO2-uitstoot drastisch te verminderen en energieneutrale gebouwen te realiseren. Hoewel er in Nederland nog geen specifieke wettelijke vereisten zijn voor Paris Proof bouwen, worden de regels rondom duurzaamheid en energieprestaties steeds strenger, zoals blijkt uit de invoering van de BENG-eisen. Hoewel Paris Proof bouwen momenteel vooral een vrijwillige standaard is die wordt aangemoedigd door de bouwsector en duurzaamheidscertificaten, zijn er aanwijzingen dat de wetgeving in de toekomst mogelijk strenger wordt om beter te voldoen aan de klimaatdoelstellingen.

 

5. Het Nieuwe Normaal

Het "Nieuwe Normaal" in de bouw verwijst naar een verschuiving naar duurzamer, gezonder en flexibeler bouwen, mede als reactie op klimaatverandering en de COVID-19-pandemie. Dit concept omvat het gebruik van duurzame materialen, energie-efficiëntie en het ontwerpen van gebouwen die aanpasbaar zijn aan veranderende behoeften, zoals thuiswerken en sociale afstand. Het nieuwe normaal benadrukt ook het belang van een circulaire economie, waarin hergebruik en recycling van materialen centraal staan om afval en uitstoot te verminderen. Hoewel het Nieuwe Normaal nog niet wettelijk is vastgelegd, wordt deze trend ondersteund door een groeiend aantal regelgeving en normen, zoals de BENG-eisen in Nederland. Hoewel veel van deze veranderingen voortkomen uit maatschappelijke druk en vrijwillige standaarden, wordt verwacht dat toekomstige regelgeving strenger zal worden om een duurzamer bouwklimaat te bevorderen.

 

6. Houtbouw

Houtbouw, waarbij hout als primair bouwmateriaal wordt gebruikt, wint aan populariteit vanwege de duurzaamheid en de lage CO2-uitstoot van het materiaal. Het draagt bij aan een circulaire economie, omdat hout een hernieuwbare en goed recyclebare grondstof is Ondanks de voordelen is het wettelijke kader rondom houtbouw in Nederland nog in ontwikkeling. Momenteel zijn er geen specifieke wettelijke eisen die houtbouw verplichten of stimuleren; de regelgeving is voornamelijk gericht op algemene bouwvoorschriften zoals veiligheid, brandwerendheid en energieprestaties. Er wordt echter gewerkt aan het uitbreiden van de bouwvoorschriften om duurzaam bouwen, waaronder houtbouw, verder te stimuleren en te integreren in het beleid.

5 Bepaling van de canon en afkoopsom

De erfpachtgrondwaarde vormt de grondslag voor de canon en de afkoopsom. Canon en/of afkoopsom zijn de uiteindelijke betalingen van erfpachters aan de gemeente. In dit hoofdstuk wordt de bepaling van de canon (paragraaf 5.1) en de afkoopsom (paragraaf 5.2) toegelicht.

5.1 Canon en canonpercentage

De canon is de periodieke (jaarlijkse) vergoeding voor het gebruik van de grond. De canon wordt berekend door de erfpachtgrondwaarde te vermenigvuldigen met het toepasselijke canonpercentage. De canon kan periodiek worden aangepast aan de inflatie. Daarnaast kan de canon worden aangepast wanneer het (eeuwigdurende) erfpachtrecht wordt gewijzigd, zoals bij aanpassingen van de bebouwing, volume en/of de bestemming. Bij voortdurende erfpacht wordt de canon ook periodiek herzien aan het einde van het tijdvak. De afkoopsom volgt uit de canon, want deze behelst immers het afkopen van de toekomstige canonbetalingen (bij voortdurende erfpacht tot einde tijdvak, bij eeuwigdurende erfpacht voor een oneindig lange periode).

Canonpercentage eeuwigdurende erfpachtrechten

Het canonpercentage voor wijzigingen van een eeuwigdurend erfpachtrecht onder de Algemene Bepalingen 2016 is gelijk aan het canonpercentage voor nieuwe gronduitgifte onder de Algemene Bepalingen 2016. Het percentage is opgebouwd uit drie elementen:

 

  • 1.

    De reële rente (i.c. nominale rente + of -/- inflatieverwachting en door de gemeente begrenst tussen de 1% en de 3% om de erfpachter te beschermen tegen rentestijgingen)

  • 2.

    Lange termijn inflatieverwachting (2%)

  • 3.

    Een risico-opslag (1,5%)

Ad 1. Bandbreedte in de reële rente

Voor de reële rente wordt een bandbreedte aangehouden. Zonder bandbreedte is er een kans op periodes met een extreem hoge of juist negatieve reële rente als gevolg van het economisch klimaat. Een erg lage of - in extreme gevallen van een lage rente en deflatie - zelfs negatieve disconteringsvoet, zou leiden tot een laag of zelfs negatief canonpercentage.

Het is niet de bedoeling om grond uit te geven waar de gemeente geld op toe moet leggen. Het is bovendien niet te verwachten dat een extreem laag of negatief canonpercentage overeenkomt met de (grond)markt. Daarom wordt sinds 2016, in lijn met het advies van Francke & Frijns25, voor de reële rente een bandbreedte tussen de 1% en 3% gehanteerd. Op deze manier hebben extreem hoge of lage reële rentestanden geen invloed op het canonpercentage.

 

Ad 2. Inflatieverwachting

De inflatieverwachting is enerzijds nodig voor het bepalen van het canonpercentage voor de canon en anderzijds om een bandbreedte voor de reële rente te kunnen toepassen om extremen in de rentestanden niet te laten doorwerken in het canonpercentage. De canon voor eeuwigdurende erfpachtrechten wordt jaarlijks geïndexeerd. Om zogenaamd `dubbel´ indexeren te voorkomen, wordt de verwachte inflatie `uit´ het canonpercentage gehaald (= d-i). Sinds 2016 is hiervoor aangesloten bij de lange termijn inflatieverwachting van de ECB van 2,0%. Momenteel is de inflatieverwachting voor de korte termijn hoog. De inflatie verwachting voor de langere termijn is momenteel nog erg onzeker. Daarom wordt vooralsnog de 2% verwachting voor de langere termijn gehandhaafd.

 

Ad 3. Opslag voor risico en kosten

De risico-opslag is nodig, omdat de gemeente op meerdere terreinen risico loopt. De twee meest bepalende risico’s zijn:

  • Het risico dat de toekomstige rente voor de lening die de gemeente aangaat voor het bouwrijp maken van grond uitstijgt boven de canon die de gemeente als vergoeding ontvangt.

  • Het risico dat de erfpachter de canon niet (of niet tijdig, of niet volledig) betaalt.

Voor het bepalen van het canonpercentage voor eeuwigdurende erfpacht wordt de volgende formule gehanteerd:

 

canon % =

d-i

1+d

 

De letter “d” staat voor de disconteringsvoet. Dit is het rekenpercentage waarmee de contante waarde van een toekomstige kasstroom kan worden berekend. Deze disconteringsvoet is opgebouwd uit de reële rente, gecorrigeerd voor inflatieverwachting en een opslag voor risico en kosten. De reële rente wordt afgeleid uit de nominale rente door deze te corrigeren voor de inflatieverwachting. De nominale rente wordt gelijkgesteld aan het gemiddeld effectief rendement op aflosbare staatsleningen met een resterende looptijd van tien jaar. Deze rente wordt door de markt bepaald en eenduidig gepubliceerd. De letter “i” staat voor de verwachte jaarlijkse prijsinflatie voor de middellange termijn.

De disconteringsvoet maakt het mogelijk te rekenen met bedragen op verschillende momenten in de tijd. De waarde van een euro nu is niet gelijk aan de waarde van een euro over een jaar. Met behulp van de disconteringsvoet worden bedragen in het heden, een kasstroom in de toekomst en bedragen in de toekomst, met elkaar vergelijkbaar. De verwachte prijsinflatie is nodig om de toekomstige canonbedragen in te kunnen schatten.

De nominale rente voor het vaststellen van het canonpercentage wordt gebaseerd op de rente op de kapitaalmarkt (het rendement op staatsleningen met een looptijd van tien jaar). De inflatieverwachting wordt gelijkgesteld aan de inflatiedoelstelling van de Europese Centrale Bank en is 2%. Voor de inflatieverwachting bestaat geen eenduidige lange-termijnverwachting gebaseerd op objectieve marktgegevens. Een lagere inschatting van de inflatie maakt het canonpercentage hoger, want de inflatiecorrectie gaat ervan af.

Voor de bepaling van de risico-opslag heeft de Grondwaardecommissie26 een bandbreedte van 1,5% tot 2% geadviseerd. Voor het actuele canonpercentage is in 2016 de risico-opslag van 1,5% gekozen. Deze systematiek is sindsdien onveranderd gebleven. Dit leidt tot de volgende parameters voor het bepalen van het canonpercentage voor eeuwigdurende erfpacht voor 2025:

 

Parameters

nominale rente: 10-jaars staatsrente (nr)

2,4% 27

reële rente (r): nominale rente -/- inflatieverwachting (r=nr – i)

1,0%28

risico-opslag (r0)

1,5%

inflatieverwachting (i)

2,0%

d (r+ro+i)

4,5%

 

In de tabel hieronder wordt de canonformule ingevuld met bovenstaande parameters:

 

berekening

Canonpercentage nieuwe uitgiften 2025

canon %

d-i

=

4,5% - 2%

= 2,39%

1+d

1 + 4,5%

 

Het canonpercentage voor eeuwigdurende erfpacht was vanaf 2016 tot en met 2023 ongewijzigd gebleven op 2,39%. In 2024 bedroeg dit percentage 2,49%. Door de daling van de rente zal het in 2025 weer 2,39% zijn. De canon wordt jaarlijks aangepast met de inflatie (CPI-alle huishoudens). Wanneer er sprake is van negatieve inflatie: deflatie, dan wordt de aanpassingscoëfficiënt op 1 gesteld en blijft de canon gelijk.

 

Canonpercentage voortdurende erfpachtrechten

Voor erfpachtrechten waarop Algemene Bepalingen voor voortdurende erfpacht van toepassing zijn, worden de canonpercentages elk kwartaal (voor de Algemene Bepalingen 2000) of jaarlijks (voor de andere Algemene Bepalingen) vastgesteld en gepubliceerd in het gemeenteblad. Bovengenoemd canonpercentage en formule is daarmee niet van toepassing op deze voortdurende erfpachtrechten.

5.2 Afkoop van de canonverplichtingen

De erfpachter kan de periodieke canon afkopen (vooruitbetalen) middels de afkoopsom. De afkoopsom is de netto contante waarde van de reeks canonbetalingen die de erfpachter aan de gemeente verschuldigd is voor de overeengekomen periode van zijn erfpachtrecht (tot einde tijdvak bij voortdurend of oneindig bij eeuwigdurend). De netto contante waarde van een opbrengststroom is een berekening waarbij rekening wordt gehouden met het feit dat een bedrag nu niet gelijk is aan een gelijk bedrag over een jaar. Om de netto contante waarde van de canonbetalingen te bepalen, gelden dezelfde parameters als voor het bepalen van het canonpercentage voor de Algemene Bepalingen 2016: de disconteringsvoet en de inflatieverwachting. Ook bij een eeuwigdurende reeks canonbetalingen is het mogelijk een afkoopsom te bepalen. De huidige waarde van de canonbedragen die heel ver in de toekomst zijn gelegen is nihil. Hierdoor is de netto contante waarde van toekomstige canonbetalingen niet oneindig groot.

 

Afkoop voortdurende erfpachtrechten

Bij voortdurende erfpachtrechten worden de geprognotiseerde canonbetalingen tot einde van het tijdvak netto contant gemaakt. Hierbij wordt de disconteringsvoet gebruikt die onderdeel is van het canonpercentage voor de Algemene Bepalingen 2016, deze is in 2025 4,5%. Voor een canon die jaarlijks wordt aangepast met de daadwerkelijke inflatie wordt uitgegaan van een inflatieverwachting van 2%. Daarnaast wordt het indexeringsregime in acht genomen welke volgt uit de van toepassing zijnde Algemene Bepalingen. Zo wordt bij de Algemene Bepalingen 2000 bijvoorbeeld de inflatie met 1%-punt naar beneden bijgesteld. De exacte berekeningswijze van de afkoopsom is opgenomen in de door het college van burgemeester en wethouders vastgestelde Afkoopinstructie.

 

Afkoop onder eeuwigdurende erfpachtrechten

Bij eeuwigdurende erfpacht wordt de canon afgekocht voor de oneindige duur van het erfpachtrecht. Bij nieuwe uitgiften onder eeuwigdurende erfpacht is de afkoopsom gelijk aan de erfpachtgrondprijs. Bij sommige bestemmingen heeft de erfpachter de keuze tussen canon of afkoop en bij sommige bestemmingen is de erfpachter verplicht om af te kopen.

 

Als er bij eeuwigdurende erfpachtrechten enige tijd na gronduitgifte wordt gekozen voor afkoop, dan bepaalt de gemeente de afkoopsom door de actuele canon (die jaarlijks is gecorrigeerd voor inflatie) te delen door het actuele canonpercentage. De afkoopsom is minimaal gelijk aan de bij uitgifte in de erfpachtakte opgenomen erfpachtgrondwaarde.

 

Keuze tussen canonbetaling of afkoop

Nieuwe uitgiften

Bij nieuwe uitgifte van erfpachtrechten met de volgende bestemmingen kan de erfpachter kiezen of men periodiek canon wil gaan betalen of dat de canonverplichtingen (voor de bestemming en volume volgens het erfpachtcontract) worden afgekocht:

  • Wonen inclusief bijbehorende parkeervoorzieningen;

  • Sociaal maatschappelijke voorzieningen waarvoor de minimale erfpachtgrondprijs van toepassing is.

Voor alle andere bestemmingen heeft de erfpachter, bij nieuwe gronduitgifte onder de AB2016, geen keuze, maar is eeuwigdurende afkoop verplicht (voor de bestemming en volume volgens het erfpachtcontract). Dit is in ieder geval van toepassing voor de volgende bestemmingen:

  • Bedrijfsruimte

  • Co-locatie

  • Congrescentrum

  • Datacenters

  • Detailhandel

  • Horeca (inclusief alle onder deze noemer vallende bestemmingen, waaronder bijvoorbeeld hotels)

  • Kantoren

  • Laboratoria

  • Nutsvoorzieningen

  • Parkeervoorzieningen niet ten behoeve van wonen

  • Reclamemasten

  • Recreatie (inclusief alle onder deze noemer vallende bestemmingen, waaronder bijvoorbeeld een casino en speelhallen)

  • Warmte-koudeopslag

In bepaalde gevallen heeft de erfpachter te maken met meerdere `bestemmingen´ in een recht. Afkoop voor het erfpachtrecht is verplicht als één van bovengenoemde bestemmingen de hoofdbestemming is, ook als er andere bestemmingen onder vallen. In twijfelgevallen bepaalt de gemeente wat de hoofdbestemming is. Als het betalen van een periodieke canon tot de mogelijkheden behoort, wordt dit opgenomen in de erfpachtaanbieding.

 

Wijzigingen van bestaande erfpachtrechten

Bij wijzigingen van bestaande erfpachtrechten gedurende het lopende tijdvak kan er een canonverhoging van toepassing zijn. Er wordt dan in beginsel aangesloten bij het betalingsregime dat al op het erfpachtrecht van toepassing is. Dus als de canonbetaling voor een erfpachtrecht is afgekocht, dan kan de gemeente vorderen dat een erfpachter de canonverhoging als gevolg van een wijziging van het erfpachtrecht ook aanvullend afkoopt. Voor meer informatie hierover zie artikel 7 van het Beleid bestemmings- en bebouwingswijziging.

 

Bij voortdurende erfpachtrechten kan de canon alleen tot het einde van het tijdvak worden afgekocht. Bij canonherziening van het erfpachtrecht aan het einde van het tijdvak, bij de conversie van een tijdelijk erfpachtrecht naar een eeuwigdurend erfpachtrecht en bij een Herziening bij transformatie heeft de erfpachter altijd de keuze tussen het betalen van een periodieke canon of het afkopen van zijn betalingsverplichting (tot einde van het tijdvak).

 

Artikel 2

De Transformatie-Impuls wordt verlengd tot 1 januari 2026.

 

Artikel 3

De Beleidsregels grondprijsbepaling voor nieuwe erfpachtenrechten 2024 en de Beleidsregels Grondwaardebepaling voor bestaande erfpachtrechten 2024 worden ingetrokken.

 

Artikel 4

Deze regeling treedt in werking met ingang van de dag na bekendmaking.

 

Artikel 5

Deze regeling wordt aangehaald als beleidsregels grondwaardebeleid voor nieuwe erfpachtuitgiften en bestaande erfpachtrechten 2025.

Aldus vastgesteld in de vergadering van 10 december 2024.

De burgemeester

Femke Halsema

De gemeentesecretaris

Peter Teesink

Bijlage 1 Toelichting op de bestemmingen en gebruiksvormen/functies

 

Inleiding

Een precieze omschrijving van de bestemming, gebruiksvorm of functie is een vereiste om de juiste erfpachtgrondprijs te bepalen.

Hieronder volgt een niet-uitputtende opsomming van bestemmingen en gebruiks-vormen/functies met de bijhorende toelichting. Waar nodig, wordt in de akte van vestiging of erfpachtwijziging nader uitgewerkt wat de geldende bestemming en het toegestane gebruik of functie is voor dit erfpachtrecht. Dit is in ieder geval verplicht bij de woonbestemmingen en niet-woonbestemmingen die een groot aantal uiteenlopende gebruiksvormen/functies hebben zoals horeca, cultuur & ontspanning, recreatie, sport en sociaal-maatschappelijk.

 

Wonen

Soorten woonbestemmingen:

  • Koopwoning

  • Betaalbare koopwoning

  • Markthuurwoning (vrije sector of middeldure huur)

  • Sociale huurwoning

Soorten woon gebruiksvormen/functies:

  • Eengezinswoning

  • Meergezinswoning

  • Woonwerkwoning

  • Dienst- of bedrijfswoning

  • Wooncoörporatie

  • Waterwoningen

  • Woonboten

Koopwoning

Een koopwoning is een woning waarvan de koopsom tot stand is gekomen door de vrije werking van de woningmarkt, die bepaald wordt door vraag en aanbod.

 

Betaalbare koopwoning

Een koopwoning met een eerste onder de bovengrens betaalbare koop (€ 405.000 VON, inclusief notariskosten, kadastrale kosten en afkoop erfpacht prijspeil 2024). Het prijspeil wordt jaarlijks aangepast. Voor 2025 moet het nieuwe prijspeil nog worden opgesteld. Zodra deze bekend zijn, zijn dat de actuele en vigerende kaders.

 

Markthuurwoning

Een markthuurwoning is een woning bestemd voor de vrije verhuur zonder beperkingen voor de huurprijs, niet zijnde een sociale of middeldure huurwoning.

 

Middeldure huurwoning

Middeldure huurwoningen zijn markthuurwoningen met een huur tussen de betaalbaarheidsgrens (maximale lagehuurgrens) en de maximale middenhuurgrens.

 

Sociale huurwoning

Een sociale huurwoning is een woning met een huur onder de maximale lagehuurgrens.

 

Eengezinswoning

Een eengezinswoning is een grondgebonden woning met een eigen dak. Vanaf de grond tot en met het dak en tussen de woning scheidende wanden behoort de bouwmassa tot één woning.

 

Meergezinswoning

Een meergezinswoning is een gestapelde woning die deel uitmaakt van een bouwblok waarin niet alle wooneenheden grondgebonden zijn.

 

Woonwerkwoning

Een woonwerkwoning is een woning waarbij een deel van de woning (een of meerdere kamers) gebruikt wordt als werkruimte (kantoor of bedrijfsruimte, bedrijf aan huis) binnen de kaders die in het geldende bestemmingsplan staan voor dat afwijkende gebruik. Er is niet altijd sprake van een duidelijke scheiding tussen de werk- en woonfunctie. Ook is moeilijk controleerbaar of de werkruimte daadwerkelijk als zodanig wordt gebruikt.

 

Niet-wonen

Soorten niet-woonbestemmingen:29

  • Bedrijfsruimte

  • Co-locatie (communication-locations)

  • Cultuur & ontspanning

  • Detailhandel

  • Horeca

  • Jachthaven

  • Kantoorruimte

  • Laboratorium

  • Nutsvoorzieningen

  • Parkeren

  • Reclamemasten

  • Recreatie

  • Sociaal-maatschappelijke voorzieningen

  • Sport

  • Warmte-koudeopslag

  • Windmolen

Bedrijfsruimte

Bedrijfsruimte binnen een bedrijventerrein

Bedrijfsruimte is vastgoed dat:

  • 1)

    voldoet aan functionele eisen, zoals een hoog plafond, zware maximale vloerbelasting, grote vrije overspanning, de aanwezigheid van overheaddeuren en loadingdocks, en

  • 2)

    gebruikt wordt voor productie, groothandel, transport, opslag, distributie, reparatie en/of onderhoudswerkzaamheden.

Van bedrijfsruimte is sprake als 70% of meer van het bruto vloeroppervlak wordt gebruikt als bedrijfsruimte. De overige 30% mag worden gebruikt als ondersteunend kantoor of facilitaire ruimte. Wonen is hierbij nadrukkelijk uitgesloten.

Laboratoria en datacenters vallen niet onder de bestemming bedrijfsruimte.

 

Bedrijfsruimte buiten een bedrijventerrein

Buiten een bedrijventerrein gelegen vastgoed ten behoeve van bedrijfsmatige activiteiten met een ander karakter dan dat van winkels of kantoren. Wonen is hierbij nadrukkelijk uitgesloten.

Co-locaties

Een co-locatie (communication-locations) is een ruimte met als hoofdfunctie grootschalige digitale distributie, opslag en beheer van data in de informatietechnologie en/of telecommunicatie. Het betreft ICT en ICT-gerelateerde bedrijvigheid, zoals switchhouses, datacenters en hostingactiviteiten.

 

Cultuur & ontspanning

Alle vrijetijdsvoorzieningen die, al dan niet in een overdekte ruimte, de functie hebben van cultuur en ontspanning, waarbij de hoofdbestemming niet detailhandel of horeca is. Enkele voorbeelden zijn theater, saunacomplex en bioscoop.

Omdat een veelheid aan bedrijfssoorten onder deze bestemming vallen, moet het precieze toegestane gebruik of de functie van de bestemming binnen het geldend publiekrechtelijk kader nader worden vastgelegd.

 

Detailhandel

De bedrijfsmatige verkoop van goederen, zowel nieuw als tweedehands, aan consumenten, dus aan niet-bedrijfsmatige gebruikers. Hieronder valt het aanbieden en de levering van goederen aan personen die die goederen kopen voor gebruik, verbruik of aanwending anders dan in de uitoefening van een beroeps- of bedrijfsactiviteit. Binnen de bestemming detailhandel wordt onderscheid gemaakt tussen de volgende gebruiksvormen/functies: winkels, grootschalige detailhandelvestigingen en perifere detailhandelvestigingen.

Ook wordt onderscheid gemaakt in de ruimtelijke uitstraling van de verkoop. Onder fysieke detailhandel wordt verstaan verkoop van goederen aan consumenten in een voor het publiek toegankelijke besloten fysieke ruimte (de winkel). Onder niet-fysieke detailhandel wordt verstaan verkoop van goederen aan consumenten op internet.

 

Ondernemingen binnen de sector consumentgerichte dienstverlening hebben in de regel dezelfde ruimtelijke uitstraling als winkels (vaak gevestigd in winkelstraten en de diensten worden, net als bij winkels, veelal aangeboden via een balie). Daarom valt consumentgerichte dienstverlening onder de bestemming detailhandel.

 

Horeca

De afkorting horeca staat voor ‘hotel, restaurant en café’. Naast deze drie hoofdtypen onderscheidt de gemeente in bestemmingsplannen een veelheid aan bedrijfssoorten onder deze bestemming. In de erfpachtvoorwaarden moet de bestemming binnen het geldend publiekrechtelijk kader nader worden vastgelegd naar het precieze toegestane gebruik of functie.

 

Een hotel is een accommodatie die bedrijfsmatig wordt geëxploiteerd met slaapplaatsen voor logiesverstrekking in overwegend een- en tweepersoonskamers tegen boeking per nacht, waar afzonderlijke maaltijden, kleine etenswaren en dranken kunnen worden verstrekt aan gasten en passanten. Ook appartementen met hoteldiensten behoren hiertoe.

 

Een restaurant en café is een etablissement, dat bedrijfsmatig wordt geëxploiteerd en dat etenswaren en/of dranken verschaft voor directe consumptie ter plekke, eventueel in combinatie met afhaalmogelijkheid.

 

Een shortstay accommodatie is een accommodatie die bedrijfsmatig logies aanbiedt voor verblijf van ten minste 1 week tot maximaal 6 maanden.

 

Jachthaven

Een jachthaven is een accommodatie met ligplaatsen voor (plezier)vaartuigen, eventueel in combinatie met reparatie van vaartuigen, exploitatie van (winter)stalling voor vaartuigen en verkoop van motorbrandstoffen en andere benodigdheden voor vaartuigen waarbij het waterperceel minimaal 60% bedraagt van het totale perceel. Het landperceel van maximaal 40% is bedoeld voor reparatie, opslag en stalling voor de jachthaven.

 

Laboratorium

Een laboratorium is een ruimte gebouwd voor (wetenschappelijk) onderzoek en geschikt om bepaalde proeven uit te voeren. Laboratoria kunnen onderdeel zijn van een ziekenhuis of een universiteit, maar ook bij een bedrijf- of overheidsinstelling horen, of zelfstandig functioneren, bijvoorbeeld in combinatie met een al dan niet aanliggende kantoorfaciliteit.

 

Kantoorruimte

Vastgoed waarbinnen management, beleidsmatige, organisatorische, administratieve, zakelijke dienstverlenende en bureau gebonden werkzaamheden plaatsvinden.

 

Nutsvoorzieningen

Essentiële voorzieningen, waarop elke bewoner en ondernemer tegen redelijke prijzen moet kunnen rekenen. Hiertoe behoren het vastgoed (niet zijnde kantoor) en de infrastructuur nodig voor de distributie van gas, elektra, water, telefonie/internet, stadsverwarming, maar ook riolering en de infrastructuur voor openbaar vervoer.

 

Parkeren

Het gebruik van een terrein of ruimte of een gedeelte daarvan voor het stallen van motorrijtuigen. Enkele gebruiksvormen binnen de bestemming parkeren zijn:

  • Openbare parkeerplaatsen

  • Stallingsplaatsen

  • Parkeerplaatsen op maaiveld

  • Verdiepte parkeerplaatsen

  • Parkeerplaatsen in een bovengrondse garage

Door de veelheid aan gebruikssoorten die onder de bestemming parkeren vallen, moet de bestemming binnen het geldend publiekrechtelijk kader nader worden vastgelegd naar het precieze toegestane gebruik of functie.

 

Reclamemasten

Een hoge mast of zuil waarop, al dan niet digitale, reclame-uitingen zijn aangebracht.

 

Recreatie

Alle (actieve) vrijetijdsvoorzieningen die, al dan niet in een overdekte ruimte, de functie hebben van recreatie, waarbij de hoofdbestemming niet detailhandel of horeca is. Enkele voorbeelden zijn: lasergame-hal, skydive-hal, indoor paintball, kartbaan en speelparadijs.

Door de veelheid aan bedrijfssoorten die onder deze bestemming vallen, moet de bestemming binnen het geldend publiekrechtelijk kader nader worden vastgelegd naar het precieze toegestane gebruik of functie.

 

Sociaal-maatschappelijke voorzieningen

Een openbare overheidsvoorziening, onderwijsvoorziening, welzijnsvoorziening, zorgvoorziening, medische voorziening, religieuze voorziening of culturele voorziening. Afzonderlijke kantoorruimten die geen direct ondersteunende functie aan de hoofdbestemming hebben maar bedoeld voor bijvoorbeeld huisvesting van de directie of het bestuur zijn hierbij uitgesloten.

Door de veelheid aan bedrijfssoorten die onder deze bestemming vallen, moet de bestemming binnen het geldend publiekrechtelijk kader nader worden vastgelegd naar het precieze toegestane gebruik of functie.

 

Sport

Alle vrijetijdsvoorzieningen die, al dan niet in een overdekte ruimte, de functie hebben van sport, waarbij de hoofdbestemming niet detailhandel of horeca is. Enkele voorbeelden zijn: sportschool, zwembad en tennispark.

Door de veelheid aan bedrijfssoorten die onder deze bestemming vallen, moet de bestemming binnen het geldend publiekrechtelijk kader nader worden vastgelegd naar het precieze toegestane gebruik of functie.

 

Warmte-koudeopslag

Een methode om energie in de vorm van warmte of koude op te slaan in de bodem. De techniek wordt gebruikt om gebouwen te verwarmen en/of te koelen. WKO-systemen zijn geen onderdeel van een openbare energievoorziening. Ze bedienen exclusief één of meer gebouwen en zijn enigszins vergelijkbaar met een collectieve cv- of airco-installatie.

 

Windmolen

Een door wind aangedreven krachtmachine die de druk van de wind op wieken, luchtschroef of windrad rechtstreeks omzet in mechanische energie.

Bijlage 2 Minimale grondwaarden

 

De minimale grondwaarden (excl. btw) zijn met 3,7% geïndexeerd ten opzichte van 2024. Voor het kalenderjaar 2025 gelden daarmee de onderstaande prijzen:

Bijlage 2a Warmte-koudeopslag

 

Warmte-koudeopslag (WKO) vormt géén onderdeel van de openbare energievoorziening (en wordt dus niet geëxploiteerd door nutsbedrijven). Ze bedienen exclusief één of meer gebouwen en zijn enigszins vergelijkbaar met een collectieve cv- of airco-installatie. WKO-installaties kunnen deel uitmaken van een erfpachtrecht of, wat doorgaans het geval is, worden ondergebracht in een opstalrecht dat door een derde partij wordt geëxploiteerd.

Een WKO-installatie vormt als het ware de vervanging van traditioneler installaties voor verwarming, verkoeling en tapwater. Dergelijke installaties nemen ruimte in beslag, waarvoor erfpacht verschuldigd is. Omdat een WKO-installatie een collectieve voorziening vormt, moet een alternatieve grondslag voor de grondwaardebepaling worden vastgesteld, die zo veel mogelijk bij de traditionele uitgangspunten aansluit.

 

Een WKO-installatie bestaat uit:

  • -

    ondergrondse bronnen;

  • -

    doorgaans in een opstelruimte geplaatste verwarmings-, koel- en elektrotechnische installaties, pompen, warmtewisselaars;

  • -

    overdrachtsstations door het hele gebouw, en;

  • -

    alles met bijbehorende kabels en leidingen en overige infrastructuur.

Voor de bepaling van de grondwaarde voor de WKO-installatie als geheel wordt uitgegaan van een gescheiden waardering van de bronnen en opstelruimte(n).

  • 1.

    Bronnen: de gemeente kan niet instaan voor de geschiktheid van de ondergrond voor warmte-/ koudebronnen van de gewenste capaciteit. Ook kan zij interferentie met andere WKO-installaties niet uitsluiten. Daarom is ervoor gekozen om alleen voor de bronnen die buiten het erfpachtperceel liggen een vaste grondwaarde per bron te hanteren. Voor bronnen die zich in de ondergrond van het erfpachtperceel bevinden, wordt geen afzonderlijke grondwaarde bepaald.

  • 2.

    Voor de opstelruimte wordt de grondwaarde bepaald op basis van de BVO’s van de opstelruimte van de WKO-installatie en de grondwaarde per m² BVO van de bestemming(en)/ het gebruik waarvoor de WKO-installatie bestemd is:

    • a.

      als de WKO-installatie uitsluitend woningen bedient, dan is de waarde van de opstelruimte verdisconteerd in de grondwaarde van de woningen.

    • b.

      als de WKO-installatie alleen niet-woonbestemmingen bedient, dan wordt de grondwaarde van de opstelruimte bepaald op basis van de volgende vergelijking:

      Gwopstelruimte = BVO opstelruimte x

      Gw complex

      BVO complex

    • c.

      als de WKO-installatie in een gemengd complex met woningen en niet-woonbestemmingen zit, dan  is de grondwaarde voor het woningdeel van de opstelruimte verdisconteerd in de grondwaarde per m² GO wonen en  hoeft slechts de grondwaarde van de opstelruimte voor het niet-woningdeel berekend te worden. Hiervoor geldt de volgende vergelijking:

    • d.

       

      Gw opstelruimte = BVO opstelruimte x

      BVO niet woonbestemming

      x

      Gw niet woonbestemming

      BVO complex

      BVO niet woonbestemming

Als voor een WKO-installatie een opstalrecht wordt gevestigd, dan behelst dat mede het gebruik van de opstelruimte. Dat opstalrecht vertegenwoordigt een waarde. Voor een opstelruimte zoals genoemd onder punt 2.a en 2.c (het woningdeel) wordt de grondwaarde gelijkgesteld aan de minimale grondprijs die geldt voor niet-woonbestemmingen bij nieuwe gronduitgiften.

 

In geval van een opstalrecht dient de opstaller met de erfpachter van het complex waarin de WKO-installatie komt, overeenstemming te bereiken over een eventuele vergoeding voor de opstelruimte van de installatie. De gemeente staat daar verder buiten.

 

Voor de bronnen die buiten het erfpachtperceel liggen wordt een vaste erfpachtgrondprijs gehanteerd (zie bijlage 2). Voor bronnen die zich in de ondergrond van het erfpachtperceel bevinden, wordt geen afzonderlijke erfpachtgrondprijs berekend.

Bijlage 3 Indicatieve grondwaarden

 

Om voor nieuwe projecten een grondwaarde te kunnen vaststellen, wordt gebruik gemaakt van marktgegevens met o.a. vraag- en transactieprijzen en stichtingskostenreferenties. Onderstaande tabel geeft een indicatie per stadsdeel. De grondwaarden zijn tot stand gekomen op basis van de genormeerd residuele grondprijssystematiek. De gegevens zijn een uitvloeisel van interne indicatieve grondprijzen die zijn opgesteld voor de (meestal actieve) grondexploitaties. Dit maakt dat voor stadsdelen met maar beperkte grondexploitaties een smallere bandbreedte wordt getoond.

 

Erfpachtgrondprijzen woningbouw

 

Indicaties marktwaarden en erfpachtgrondprijzen voor vrije sector koopwoningen

Deze bandbreedte is slechts een indicatie en een momentopname met prijspeil Q3 2024. Vanwege de dynamiek van de markt of andere omstandigheden is het niet uitgesloten dat een definitieve erfpachtgrondprijs buiten de bandbreedte valt.

 

  • *

    Marktwaarde: vermelde bandbreedtes op basis van eeuwig afgekochte erfpacht, meergezinswoningen en behorende bij een gemiddelde oppervlakte van 90m² GO per woning.

  • **

    De stichtingskosten geven een indicatieve bandbreedte weer. Er is hierbij geen rekening gehouden met specifieke projectkenmerken die zich kunnen voordoen.

  • ***

    Erfpachtgrondprijs op basis van eeuwigdurende afkoop.

Indicatie bandbreedte erfpachtgrondprijs voor koopwoningen per stadsdeel (***)

 

Erfpachtgrondprijzen voor kantoren, bedrijfsruimte en detailhandel

 

Indicatie bandbreedte grondwaarden kantoren

Gebied

Grondwaarden per m² bvo*, excl. btw

Laag

Hoog

Zuidas

€ 3.500

€ 6.000

Amstel III

€ 250

€ 1.000

ArenAPoort West, Entree

€ 300

€ 1.200

MBP-Zuidoost

€ 250

€ 1.000

Science Park

€ 500

€ 1.250

Amstelstation e.o.

€ 1.500

€ 2.500

Sloterdijk Centrum

€ 300

€ 1.250

 

Indicatie bandbreedte grondwaarden bedrijfsruimte

Bedrijventerrein

Grondwaarden per m² bvo*, excl. btw

Laag

Hoog

Sloterdijk Poort-Noord en Zuid

€ 500

€ 800

Sloterdijk IV (De Heining)

€ 350

€ 600

Buiksloterham

€ 400

€ 750

Zeeburgereiland

€ 500

€ 750

Businesspark Amsterdam Osdorp

€ 400

€ 750

 

Indicatie bandbreedte grondwaarden detailhandel

Locatie

Grondwaarden per m² bvo*, excl. btw

Laag

Hoog

Stadsdeelcentrum

€ 1.250

€ 3.500

Wijkcentrum

€ 750

€ 2.000

Buurtcentrum

€ 750

€ 1.500

Perifere detailhandel (PDV)

€ 500

€ 750

Bovengenoemde waarden hebben prijspeil Q3 2024. Uitgangspunten bij deze grondwaarden zijn de genormeerde stichtingskosten voor de in het betreffende gebied meest voorkomende verschijningsvorm van de bestemming, de bijbehorende indicatieve marktwaarde, rekening houdend met de uitgangspunten en beleidsregels uit het grondprijsbeleid.

Deze richtinggevende bandbreedtes zijn slechts een indicatie en een momentopname. Vanwege de dynamiek van de markt of andere omstandigheden is het niet uitgesloten dat een definitieve grondwaarde buiten de bandbreedte valt.

  • *

    bvo = bruto vloeroppervlak

Bijlage 4 Toelichting bepaling herbouwkosten voor wonen (voor WOZ/BSQ-methode)

 

1. Inleiding

Deze notitie licht de wijze toe waarop de opstalwaarde van woningen wordt bepaald conform de nieuwe herbouwkosten en berekeningswijze. Aan de hand van de opstalwaarden en de WOZ-waarden van woningen zijn de buurtstraatquotes (BSQ) voor de bestaande woningen berekend. De opstalwaarde van een woning is door de gemeente gelijkgesteld aan de herbouwkosten van een woning.

 

In deze bijlage wordt eerst ingegaan op het advies van de grondwaardecommissie en de toepassing daarvan (paragraaf 2). Vervolgens worden in paragraaf 3 de herbouwkosten en de gehanteerde uitgangspunten beschreven. Daarna wordt de opbouw van de herbouwkosten (paragraaf 4) en de differentiatie van de herbouwkosten (paragraaf 5) toegelicht. Paragraaf 6 maakt een vergelijking tussen herbouwkosten en verzekerde waarde. Paragraaf 7 gaat in op de relatie tussen herbouwkosten en BSQ. Tot slot worden in paragraaf 8 de herbouwkosten verder verduidelijkt met enkele voorbeelden.

 

De bijlage bevat overzichten van de hoogte van de herbouwkosten per m² gebruiksoppervlak voor verschillende woningtypen bij verschillende woninggrootte. Daarnaast zijn de toegepaste gemiddelde WOZ-gegevens ten behoeve van een aanvullende kwaliteitsopslag opgenomen.

 

2. Advies Grondwaardecommissie en toepassing

In 2015 heeft een commissie met onafhankelijke deskundigen, de Grondwaardecommissie Eeuwigdurende Erfpacht aanbevelingen gedaan voor de bepaling van opbrengsten en kosten. Globaal samengevat is het advies van de Grondwaardecommissie als volgt:

  • De grondwaarde wordt bepaald door de objectwaarde te verminderen met de opstalwaarde;

  • De WOZ-waarde dient als vertrekpunt voor de objectwaarde;

  • De opstalwaarde wordt bepaald door de bouwkosten te vermenigvuldigen met een verouderingsfactor;

  • Uitgangspunt voor de bepaling van de bouwkosten zijn de herbouwkosten. Deze is afhankelijk van tijd, grootte en woningtype;

  • De verouderingsfactor corrigeert de opstalwaarde voor de effecten van veroudering. De verouderingsfactor is afhankelijk van bouwjaar, leeftijd en onderhoud.

Het eerdere advies van de grondwaardecommissie uit 2015 is zoveel mogelijk opgevolgd. Voor het bepalen van de opstalwaarde heeft de gemeente er wederom voor gekozen om de verouderingsfactor niet toe te passen. Door deze keuze is de opstalwaarde gelijkgesteld aan de herbouwkosten.

 

3. Wat zijn herbouwkosten?

Voor de herbouwkosten is aansluiting gezocht bij de definities in het Bouwkostenkompas en het taxatieboek (Her)bouwkosten Woningen:

  • Beschrijving herbouwkosten in het boek “Bouwkostenkompas”:

  • “Bij het berekenen van de herbouwkosten wordt uitgegaan van een pand dat door brand of een andere oorzaak onbruikbaar is geworden en daartoe gesloopt en herbouwd dient te worden. Voor de herbouw worden de bestaande fundering en een eventuele vloer op grondslag hergebruikt. Bij sloopkosten is geen rekening gehouden met asbesthoudende en/of radioactieve materialen. Afhankelijk van het afwerkingsniveau zijn kosten voor extra vaste inrichting en afwerking van de gebruiker meegenomen als standaard kosten . Indien duidelijk is dat er extra kostenverhogende onderdelen zijn toegevoegd (luxe keuken, luxe badkamer) moet daarvoor worden gecorrigeerd. De herbouwkosten zijn exclusief de inboedel.”

  • Beschrijving herbouwkosten in het boek “(Her)bouwkosten woningen”

  • “Bij het samenstellen van de herbouwkosten is uitgegaan van bouwconstructies die voldoen aan de hedendaagse regelgeving. Wel is bij de bouwwerken met een traditionele uitstraling gerekend met de extra kosten om deze traditionele uitstraling in stand te houden. De herbouwkosten bevatten de bouwkosten zoals eerder genoemd, echter zonder de bodemvoorzieningen en funderingskosten.”

Op basis van bovenstaande definities, is voor de herbouwkosten uitgegaan van de onderstaande uitgangspunten:

  • Hedendaagse regelgeving en hedendaagse constructies

  • Hedendaagse regelgeving houdt in dat voldaan wordt aan het hedendaagse bouwbesluit, inclusief brandweereisen en isolatie-eisen. Voor de bepaling van de herbouwkosten wordt uitgegaan van de peildatum van de WOZ-waarde. Onder “hedendaags” wordt daarmee ook het prijspeil van de bouwkosten op basis van de peildatum van de WOZ-waarde en de toen geldende regelgeving verstaan. De hedendaagse brandweereisen en isolatie-eisen zijn hoger dan van toepassing was ten tijde van de oorspronkelijke bouwaanvraag van oude panden. Onder meer trappenhuizen zijn groter en bouwmuren nemen, inclusief het isolatiepakket, meer ruimte in dan oorspronkelijk. Voor kleine woningen is de invloed van de hedendaagse regelgeving het grootst. De extra kosten worden immers omgeslagen over een kleiner gebruiksoppervlak.

  • Bestaande woningtypes en oppervlaktecategorieën

  • De herbouwkosten zijn bepaald voor de meest voorkomende woningtypes die bekend zijn in de WOZ-data voor de gemeente Amsterdam en de meest voorkomende oppervlaktecategorieën, ook voor woningtypes die momenteel niet meer gebouwd worden of woningtypes die in een bepaalde oppervlaktecategorie niet meer gebouwd worden. De 22 woningreferenties waarvoor ramingen zijn uitgewerkt vertegenwoordigen ruim 95% van het WOZ-woningbestand van gemeente Amsterdam. Een type dat niet meer gebouwd wordt is bijvoorbeeld een (klassieke) benedenwoning- bovenwoning. Kleine woningen worden (uit kosten-economisch oogpunt) bijna alleen nog gebouwd met een galerij-of een corridorontsluiting. In de huidige woningvoorraad komen de kleine woningen echter in alle types voor. De oppervlaktecategorieën en negen meetpunten waarop de herbouwkosten zijn uitgewerkt, zijn gebaseerd op het WOZ-woningbestand van gemeente Amsterdam. De meetpunten zijn per woningtype uitgewerkt. De meest voorkomende oppervlaktecategorieën zijn ondervangen middels meetpunten 1 en 8. Meetpunt 9 vertegenwoordigt de grootst gevonden woningoppervlakte in het WOZ-woningbestand.

  • Inclusief funderingskosten, inclusief sloopkosten

  • Herbouwkosten worden, in tegenstelling tot de definities, bepaald door de kosten voor nieuwbouw inclusief de fundering. De fundering maakt immers deel uit van de opstal die door een erfpachter is gerealiseerd. De nieuwbouwkosten worden vermeerderd met de kosten om het object te slopen.

  • Inclusief inrichting en afwerking

  • De kosten voor vaste inrichting (onder meer keukens en badkamers) en afwerking (onder meer vloer-, wand- en plafondafwerking) op basis van een gangbaar opleveringniveau bij bestaande woningen zijn meegenomen in de herbouwkosten.

4. Opbouw herbouwkosten voor de bepaling BSQ

Voor een zo nauwkeurig mogelijke bepaling van de herbouwkosten voor het gemeentelijke woningbestand, is er per woningtype gekeken naar verschillende elementen waaruit de herbouwkosten zijn opgebouwd.

 

Op basis van de uitgangspunten uit paragraaf 3 zijn de herbouwkosten te definiëren als de kosten om het object inclusief fundering te slopen en te herbouwen op basis van nieuwbouwkwaliteit, inclusief afwerkingen van het object en tuin of dakterras, uitgaande van regelgeving en constructies conform prijspeil van de gehanteerde WOZ-waarde.

 

De herbouwkosten en de elementen waar deze uit zijn opgebouwd, zijn geraamd door een extern bouwkostenbureau en geverifieerd door een tweede partij. Dit is gebeurd vanuit het oogpunt van onafhankelijke kostenbepaling, en om zo goed mogelijk aansluiting te vinden op de types van de Amsterdamse woningvoorraad, inclusief de variatie in woningoppervlakte. De berekeningen hebben prijspeil 2021 omdat dit het geldende prijspeil is voor het beleidsjaar 2023 op basis van WOZ-data van 2021. Daarbij zijn verschillende meetpunten bepaald om voor deze referentietypen en de afzonderlijke elementen zo nauwkeurig mogelijk de kosten per m2 te bepalen.

 

De herbouwkosten worden uitgedrukt per m² gebruiksoppervlak (GO), omdat ook de WOZ-data van deze meetaanduiding gebruik maakt. Hierdoor is de zogenaamde vormfactor van belang. Dit is de verhouding tussen het gebruiksoppervlak (m² GO: exclusief dragende muren, liften en trappenhuizen) en het bruto vloeroppervlak (m² BVO: inclusief dragende muren, liften en trappenhuizen). Bij kleine appartementen is deze verhouding vaak ongunstig ten opzichte van grote appartementen. Ook voor een klein appartement moet immers een lift en/of trappenhuis worden gebouwd. In de bestaande woningvoorraad komen nog wel kleine woningen voor, die in deze typologie of vorm niet meer zo gebouwd zouden worden. Vaak zijn het van origine grote woningen die later zijn gesplitst in 2 of meer woningen. Hierdoor zijn in het bestaande woningvoorraad vaak minder comfortabele woningen ontstaan, die niet meer zo gebouwd zouden mogen worden i.v.m. de strengere regels in het bouwbesluit, waaraan een nieuwbouwwoning moet voldoen. Om dit te ondervangen zijn de kleinste meetpunten een afgeleide van de twee daaropvolgende meetpunten, zodat hier een meer gemiddelde vormfactor ontstaat.

 

De herbouwkosten zijn opgebouwd uit de volgende elementen:

  • -

    A1: investeringskosten;

  • -

    A2: aanvullende afwerkingen;

  • -

    A3: tuin/ (dak)terras;

  • -

    A4: Locatie/bereikbaarheid;

  • -

    A5.1: Kwaliteitstoeslag stadsdeel;

  • -

    A5.2: Kwaliteitstoeslag WOZ-waarde;

  • -

    Correctie BENG;

  • -

    Correctie deelobjecten

Per woningtypologie zijn hiervan de uitkomsten per meetpunt te vinden in bijlage 4a.

 

A1: investeringskosten

Dit betreffen de bouw-, bijkomende en sloopkosten, uitgaande van regelgeving en constructies. De sloop- en bouwkosten zijn de kosten (inclusief de fundering) die een aannemer in rekening brengt, waaronder arbeid, materialen en materieel (zoals steigerwerk, bouwketen en kranen).

 

De bijkomende kosten zijn de kosten die naast de directe herbouwkosten gemaakt worden om een project te realiseren en in gebruik te nemen. Hieronder vallen onder andere de honoraria voor adviseurs (architecten, constructeur, toezicht, projectmanagement) heffingen en aansluitkosten, financieringskosten, verkoop -verhuurkosten en algemene kosten en winst voor de projectontwikkelaar.

 

De invloed van projectgrootte is direct verwerkt in de investeringskosten A1. Dit geldt voor zowel eengezinswoningen als meergezinswoningen. De woninggrootte is van invloed op de projectgrootte. Hierbij geldt op hoofdlijnen dat kleinere woningen samenhangen met een grotere projectgrootte en grotere woningen met een kleinere projectgrootte.

 

A2: aanvullende afwerkingen

De herbouwkosten zijn gebaseerd op het opleveringsniveau van nieuwbouwwoningen.

Bij de prijsbepaling worden de woningen voorzien van een vaste inrichting en afwerking op basis van een gangbare opleveringskwaliteit binnen de Amsterdamse nieuwbouw woningmarkt:

  • afwerkvloer, afgewerkte binnenwanden en plafonds;

  • volledige (standaard)installaties;

  • sanitaire ruimtes met afwerking en sanitair;

  • keukenblok met toebehoren, niet zijnde keukenapparatuur

Bestaande woningen kennen echter een uitgebreider afwerkingsniveau dan nieuwbouwwoningen. De kosten voor vloer-, plafond- en wandafwerking zijn daarom als een aparte toeslag toegevoegd aan de woningen. Per meetpunt is vastgesteld welke basiskwaliteit er gemiddeld te verwachten valt, waarbij wordt aangenomen dat een grotere woning doorgaans standaard al een hoger afwerkingsniveau heeft.

 

Deze aanvullende afwerkingen voor bestaande woningen is meegenomen door middel van element A2.

 

A3: afwerking tuin-/ dakterras

Bestaande woningen kennen over het algemeen een tuininrichting,ingericht dakterras of een (Frans) balkon. Daarom is per woningtypologie gekeken in hoeverre er gemiddeld sprake is van een tuin of dakterras en is vervolgens per meetpunt een toeslag bepaald per m2 GO voor de aanleg van een tuin of dakterras. Logischerwijs komt deze toeslag meer voor bij eengezinswoningen en is deze bij meergezinswoningen gemiddeld verwaarloosbaar aanwezig.

 

A4: Locatie/bereikbaarheid

Bouwen in het centrum is duurder dan aan de randen van de stad. Centrumlocaties zijn minder goed bereikbaar, de bouwlogistiek is complexer, er zijn meer veiligheidsmaatregelen t.b.v. de omgeving noodzakelijk, de omvang van de bouwplaats is beperkt en de kans op schade aan omliggende bebouwing is groter. Voor de extra kosten die hiervan het gevolg zijn, wordt een toeslag gehanteerd per locatiecategorie. De toeslag is gekoppeld aan de buurtcombinaties van Onderzoek Informatie en Statistiek (OIS). De locatietoeslag is afgezet tegen de “groen-stedelijke gebieden” en varieert van -4% voor de “perifere gebieden”, 7% voor “buiten centrum” en 19% voor de centrum locaties. Deze toeslag wordt gerekend over de investeringskosten onder A1. Bijlage 4b bevat de gehanteerde correctie per buurtcombinatie.

 

A5.1: Kwaliteitstoeslag stadsdeel

De hoogte van herbouwkosten is gerelateerd aan het kwaliteitsniveau. Aangezien woningtypologieën in principe door de gehele stad kunnen voorkomen, is de inschatting gemaakt dat deze in bepaalde gebieden standaard een hogere architectonische kwaliteit hebben. Denk hierbij aan hogere plafonds, houtsnijwerken en geknipte voegen die bijeen portiekwoning in het centrum wel is te verwachten en in Amsterdam Zuid-Oost niet of in mindere mate. Per woningtypologie, meetpunt en gebied is hiervoor een toeslag bepaald.

 

A5.2: Kwaliteitstoeslag WOZ-waarde

Duurdere woningen van hetzelfde type in dezelfde buurt hebben over het algemeen hogere herbouwkosten per m² als gevolg van een hoger kwaliteitsniveau. In de WOZ-administratie is echter geen of nauwelijks registratie van het kwaliteitsniveau van de panden. Hierbij moet het kwaliteitsniveau niet verward worden met het onderhoudsniveau zoals dat in de WOZ wel wordt geregistreerd.

 

Om het verschil in kwaliteitsniveau en bijkomende kosten wel mee te kunnen nemen in de hoogte van de herbouwkosten, heeft de gemeente een deel van de kosten gerelateerd aan de hoogte van de WOZ-waarde. Middels een staffel is een kwaliteitstoeslag ten gevolge van de afwijking van de WOZ-waarde van de woning in een bepaalde oppervlakte categorie ten opzichte van de gemiddelde WOZ-waarde van dat type woning in de buurt te bepalen. Er geldt geen afslag bij een WOZ-waarde die lager is dan de gemiddelde WOZ-waarde.

 

Met het verschil tussen de WOZ-waarden wordt voor tot en met de eerste €1.000,- verschil, een opslag gerekend ter hoogte van €573,- per m². Vanaf €1.000,- tot en met €2.000,- verschil geldt een opslag van €286,50 per m²/1.000 en vanaf €2.000 verschil bedraagt de opslag €143,25 per m2. Voorbeeld: De WOZ-waarde van een galerijwoning is € 1.200 per m2 hoger dan de gemiddelde WOZ waarde van een galerijwoning van dezelfde woninggroottecategorie in de buurt. De positieve afwijking van € 1.200 per m2, leidt voor een woning van 57 m² GO tot een kwaliteitstoeslag van € 35.927. De berekening ziet er als volgt uit:

Onderstaande berekening dient ter verduidelijking bij een WOZ-waarde verschil van €1.200 per m² GO t.o.v. de gemiddelde WOZ-waarden bij 57m² GO:

 

De gehanteerde gemiddelde WOZ-waarden zijn opgenomen in bijlage 4c.

 

Correctie deelobjecten

De bepaling van de WOZ-waarde bevat een aparte waardering voor deelobjecten bij een woning (zie ook Bijlage 4d). Dit soort deelobjecten betreft bijvoorbeeld carports, garageboxen, parkeerplaatsen, hobbykassen etcetera. Deze deelobjecten maken geen onderdeel uit van de berekende herbouwkosten. De kosten van deze objecten worden daarom apart aan het object toegevoegd. Onderstaande tabel bevat een overzicht van de gehanteerde deelobjecten en de daarbij behorende kosten.

 

Deelcode

Omschrijving

kosten

eenheid

1500

Garageboxen geschakeld

€ 25.430

stuks

1510

Garage aangebouwd aan eengezinswoning

€ 33.109

stuks

1520

Garage aangebouwd dakconstructie

€ 44.043

stuks

1530

Garage aangebouwd plat dak

€ 33.109

stuks

1540

Vrijstaande garage

€ 36.681

stuks

1550

Vrijstaande garage dakconstructie

€ 48.252

stuks

1560

Vrijstaande garage plat dak

€ 36.681

stuks

1570

Inpandige garage

€ 45.780

stuks

1580

Onderpandige garage centrum

€ 55.825

stuks

1580

Onderpandige garage binnen ring

€ 50.225

stuks

1580

Onderpandige garage overig

€ 45.000

stuks

1590

Carport

€ 15.728

stuks

2140

Parkeerplaats op terrein

€ 1.375

stuks

 

Voorbeeldberekening herbouwkosten voor de bepaling BSQ

 

Voor een beter begrip van de uitkomsten wordt hieronder, aan de hand van een voorbeeldberekening, weergegeven hoe een herbouwkostenberekening is opgebouwd.

Aangezien de WOZ-waarde is gebaseerd op het woonoppervlak of in technische termen het gebruikersoppervlak (GO), worden de herbouwkosten ook berekend op basis van het GO van de woning. De bedragen zijn inclusief BTW.

 

 

Beneden- bovenwoning, 57m2 Amsterdam Zuid

De WOZ-gegevens omvatten het gebruikersoppervlak, de WOZ-waarde en de locatie van het object. Deze gegevens hebben invloed op de hoogte van de herbouwkosten. Het effect ervan wordt in dit rekenvoorbeeld inzichtelijk gemaakt.

Het verschil tussen de WOZ van het object en het gemiddelde per objecttype en grootteklasse wordt bepaald.

Door de herbouwkosten van de WOZ-waarde af te trekken krijgt men de grondwaarde. De grondquote is het percentage van de grondwaarde t.o.v. van de WOZ.

A1: De investeringskosten zijn per m2 GO voor alle afzonderlijke referenties voor diverse groottes bepaald.

A2: Afwerkingen om een casco woning “woonklaar” te krijgen, zoals: stucwerk, verf en vloerafwerking.

A3: Er wordt rekening gehouden met een gemiddelde afwerking van tuin en dakterras, waarbij wordt gekeken in hoeverre dit gemiddeld van toepassing is.

A4: Afhankelijk van de locatie geldt er een opslag op de investeringskosten in verband met gemiddeld lastigere bouwprocessen en hogere kosten, naarmate een woning dichter bij het centrum ligt.

A5.1: Een bepaald woningtype kan in principe overal in de stad voorkomen, maar men verondersteld dat de esthetische eisen aan een nieuwbouwwoning dichter bij het centrum strenger zijn waarvoor een opslag geldt.

A5.2: Op basis van de afwijking van de WOZ-waarde ten opzichte van de gemiddelde WOZ-waarde in een wijk voor het specifieke woningtype wordt een gestaffelde opslag bepaald.

De onderdelen A1 t/m A5.2 opgeteld bepalen de herbouwkosten voor de referentie, op basis van de locatie en WOZ-gegevens.

 

5. Differentiatie herbouwkosten

De herbouwkosten voor woningen zijn gedifferentieerd naar:

  • -

    woningtypes uit de WOZ, en;

  • -

    meetpunten.

Door te differentiëren naar woningtypes en woninggroottes zijn de herbouwkosten bepaald voor 90% van alle woningen in de gemeente Amsterdam.30 Ondanks de gehanteerde differentiatie (en de gedetailleerde opbouw) blijft de bepaling van de herbouwkosten een modelmatige benadering. De gehanteerde herbouwkosten zullen daardoor niet precies aansluiten bij de verschillende individuele situaties. De herbouwkosten per woningtype en de gehanteerde meetpunten zijn in bijlage 4a opgenomen. Hieronder worden de woningtype en oppervlakte categorieën verder toegelicht.

 

Woningtypes uit de WOZ

Voor de bepaling van de herbouwkosten worden referentiemodellen per woningtype gebruikt. Deze referentiemodellen omvatten de binnen Amsterdam veel voorkomende woningtypes. De referenties zijn gecategoriseerd overeenkomstig de woningtypes en Soort objectcodes (SOC codes) die de belastingdienst Amsterdam hanteert voor de WOZ-waardebepaling.

 

Voor meergezinswoningen gaat het om de referenties galerijflat, appartement, portiekflat, flat algemeen gemengd, benedenwoning, bovenwoning, corridorflat, studentenwoning, bejaardenwoning, historische benedenwoning, historische bovenwoning, karakteristiek historische benedenwoning en karakteristiek historische bovenwoning.

Voor eengezinswoningen zijn twee-onder-één-kap woningen, repeterende tussenwoningen, niet-repeterende tussenwoningen, kop-, eind en hoekwoningen, kwadrantwoningen, grachtenpand, vrijstaande woning en drive-in woningen en de woonboot als referentie toegepast.

 

Meetpunten

De herbouwkosten van een kleine woning is in verhouding hoger per m² gebruiksoppervlak dan een grote woning. In de herbouwkostenberekening is daarom uitgegaan van verschillende meetpunten die variëren van 25m2 GO voor bepaalde woningtypes tot oppervlakten van meer dan 1.000 m2 GO31. Per woningtype zijn er zodoende 8 of 9 meetpunten bepaald. Tussen de meetpunten wordt er geïnterpoleerd. Daarmee is het mogelijk om voor elk gebruiksoppervlak specifieke herbouwkosten per m² te hanteren.

 

Voorbeeld: bij een beneden- bovenwoning (SOC 1987 / 1988) van 100m² GO groot, liggen de kosten voor onderdeel A1 tussen meetpunt 3 (89m² GO bij €2.753,-) en meetpunt 4 (121 m² GO €2.531,-) in. Om de waarde dat behoort bij 100 m2 te kunnen bepalen, wordt de methode van interpolatie toegepast middels de volgende formule:

 

Als ingevuld voorbeeld:

 

6. Herbouwkosten en verzekerde waarde

Verzekeraars gaan voor hun opstalverzekeringen over het algemeen uit van herbouwkosten. De verzekeringen dekken het bedrag dat benodigd is voor herbouw van het verzekerde gebouw, exclusief inboedel.

 

Een vergelijking tussen de hoogte van de gehanteerde herbouwkosten en de verzekerde waarde van individuele woningen is niet goed te maken. Hiervoor is de berekeningswijze te divers. De verzekerde waarde wordt onder meer op basis van de volgende methoden bepaald:

  • Herbouwwaardemeter;

  • Standaardbedrag voor alle woningen;

  • Afgeleid uit de WOZ-waarde van een woning;

  • Taxatie door een onafhankelijke deskundige.

Behalve de taxatie door een onafhankelijke deskundige zijn bovenstaande methoden globaal. De verzekerde waarde sluit vaak niet aan op de werkelijke herbouwkosten. Globale waardebepalingen zijn in essentie vaak gericht op het voorkomen / garantie tegen een onderverzekering.

 

Het Verbond van Verzekeraars stelt jaarlijks een veel gebruikte Herbouwwaardemeter op. Op basis van m³-prijzen kunnen de gemiddelde herbouwkosten van vijf woningtypen worden vastgesteld. Met aanvullende bouwdelen, kwaliteitsniveaus en extra toeslagen kan de herbouwwaarde verder gespecificeerd worden. De Verbond van Verzekeraars benadrukt dat de prijzen dienen voor de globale vaststelling van de gemiddelde herbouwkosten van de woningtypen.

 

Waar de herbouwwaardemeter vijf woningtypen hanteert, heeft de gemeente voor tweeëntwintig woningtypen, gecombineerd tot 16 referentietypen, de kosten bepaald. Daarnaast gaat de Herbouwwaardemeter uit van 6 woningtypen, waarin op basis van de inhoud van de woning de herbouwwaarde wordt bepaald. Aangezien de woninggrootte grote invloed heeft op de hoogte van de herbouwkosten heeft de gemeente de herbouwkosten laten berekenen voor verschillende woninggrootte per woningtype. Door de verschillende benaderingswijze kunnen de resulterende kosten afwijken.

 

7. Herbouwkosten en de buurtstraatquote

De buurstraatquote (BSQ) laat zien welk deel van de woningwaarde bestaat uit de waarde van de grond. Het andere deel is de waarde van de opstal. De opstalwaarde voor een woning die uit de BSQ volgt, hoeft echter niet één-op-één overeen te komen met de geraamde herbouwkosten van de betreffende woning. De BSQ is namelijk bepaald op basis van een gemiddelde.

 

Bij de bepaling van de BSQ wordt eerst de grondwaarde van een individuele woning berekend door de WOZ-waarde te verminderen met de herbouwkosten. Het aandeel van de grondwaarde in de WOZ-waarde geeft de individuele grondquote. De BSQ is het gemiddelde van de individuele grondquotes in een bepaalde buurstraat. Door te middelen worden uitschieters voorkomen, maar wijkt de opstalwaarde die volgt uit de BSQ, ook enigszins af van de herbouwkosten van de betreffende woning.

 

8. Indexatie herbouwkosten

 

De herijking van de herbouwkosten ten behoeve van de BSQ is uitgevoerd op prijspeil 1-1-2021 en sluit aan bij het prijspeil van de WOZ-waarden belastingjaar 2022. In de ramingen is uitgegaan van de verhoogde energetische woningbouweisen (BENG-normen) die wettelijk gelden per 1-1-2021.

 

Voor de (toekomstige) indexering van de herbouwkosten maakt de Gemeente gebruik van de indexcijfers van Bureau Documentatie Bouwwezen (BDB). Deze indexering bestaat uit een structurele component (1-1-2021 = 100) en uit een conjuncturele component.

 

Door middel van indexatie wordt het prijspeil van de kosten omgerekend naar het prijspeil van de WOZ-waarden. Het indexatiepercentage van peildatum 2021 naar peildatum 2022 bedraagt 5,10% voor eengezinswoningen en 4,15 % voor meergezinswoningen (dit is de gecombineerde structurele en conjuncturele kostenontwikkeling).

 

De structurele kostenontwikkelingen zijn de autonome prijsontwikkelingen van de productiekosten bij een onveranderde vraag. Dit is, met andere woorden, de ontwikkeling van de kostprijs van de bouw. Denk hierbij aan de kosten voor de inkoop van bouwmaterialen en arbeidsloon. Bij structurele kostenontwikkelingen wordt geen rekening gehouden met veranderende marktomstandigheden, wijzigingen in wet- en regelgeving, de ontwikkeling van productiviteit en wijzigingen in de algemene condities.

 

De conjuncturele kostenontwikkeling is een algemene prijsontwikkeling die wordt veroorzaakt door een verschuiving van de vraag bij een onveranderd aanbod. Bijvoorbeeld bij een stijgende vraag en een (op korte termijn) gelijkblijvend aanbod, zullen de kosten stijgen. Deze kostenontwikkeling heeft dus betrekking op de aanbestedingsmarkt. Dit wordt uitgedrukt in de marktindicator (%) en beweegt zich om de structurele kostenontwikkeling heen en kan derhalve positief en negatief zijn. Ter illustratie is onderstaande grafiek opgenomen met een voorbeeld van hoe de ontwikkeling van de structurele en de conjuncturele kostenontwikkeling eruit kan zien.

De totale index (structureel + conjunctureel) op een bepaald prijspeil wordt verkregen door de structurele index (totale aanneemsom incl. btw) te vermeerderen met de marktindicator van het betreffende prijspeil. De gemeente gaat enkel uit van vastgestelde cijfers, ook met betrekking tot de kostenontwikkeling. Aangezien de marktindicator doorgaans met een vertraging van 1 à 2 kwartalen wordt vastgesteld, zal bij het eerst volgende beleidsjaar de meest recent vastgestelde marktindicator worden gehanteerd.

 

totale index (jaar y)=structureleindex×(1+marktindicator (%))

 

De indexering van de herbouwkosten in de volgende jaren volgt uit de volgende formule:

 

Er wordt in de structurele index onderscheid gemaakt tussen de kostenontwikkeling voor eengezins- en meergezinswoningen. Voor eengezinswoningen (EGW) wordt gebruik gemaakt van de BDB-index van eengezinswoningen. Voor meergezinswoningen (MGW) wordt de gemiddelde index van galerij- en portiekwoningen gehanteerd. De conjuncturele kostenontwikkeling is uniform voor de EGW en MGW.

Bijlage 4a Factsheets per woningtype

 

 

Bijlage 4b Gebiedsindelingscategorieën

 

Bijlage 4c Gemiddelde WOZ-waarde per woningtype gedifferentieerd naar buurt en grootteklasse

 

Bijlage 4d Bijzondere aanhorigheden

 

Deelcode

DeelcodeOmschrijving

1110

Woning in niet-woning

1120

Woning verb aan bedrgeb

1160

Woonwagen

1170

Woonboot

1180

Stacaravan

1410

Voorraadkelder

1420

Souterrain/woonkelder

1810

Zomerhuisje / recreatie

1820

Hobbyruimte (atelier)

1880

Privé zwembad binnen

1890

Privé zwembad buiten

2050

Ondergrond bij kassen

2110

Grond bij niet-woning

2120

Extra grond (restgrond)

2130

Parkeerdek

2150

Parkeerterrein

2180

Start- / landingsbaan

2190

Motorparkeerplaats

2240

Steiger

2250

Ligplaats

2270

Water

2310

Bouwterrein

2320

In aanbouw

2410

Verharding (grond)

2430

Infrastructuur

2450

Fietsenstalling

3010

Winkel/verkoopruimte

3040

Entresol

3050

Dagkeuken/pantry

3060

Kantine

3120

Kantoorruimte

3140

Archiefruimte

3150

Studio

3160

Showroom

3200

Restaurant

3210

Cafe/bar

3220

Cafetaria

3230

Hotelkamer(s)

3250

Balie / receptie

3260

Zaal (horeca)

3280

Entree/garderobe

3290

Sanitaireruimte

3310

Loods

3320

Nissenhut/romneyloods

3330

Opslag/magazijn

3340

Botenhuis

3410

Werkruimte

3420

Werkplaats

3470

Productiehal

3480

Productieruimte

3650

Luifel

3680

Technische installatieruimte

3910

Overige ruimten

4020

Ligboxstal (incl. melkkamer) hoog type

4030

Ligboxstal (incl. melkkamer) laag type

4160

Paardenstal (boxen)

4180

Buitenbak/buitenmanege

4310

Stal/nachtverblijf

4410

Deel (traditioneel bedrijfsgebouw vast aan woning)

4430

Schuur

4460

Mestkelder

4550

Werktuigenberging/wagenloods (open)

4560

Werktuigenberging/wagenloods (gesloten)

4590

Hooi-/stroschuur (kapbergtype)

4710

Kas/warenhuis

4740

Kas type Venlo

4870

Sorteerloods/ruimte

5110

Gymzaal

5120

Sportzaal

5150

Club-/verenigingsgebouw

6510

Zwembad algemeen

7010

Behandelkamer

7020

Praktijkruimte

7110

Dagverblijf

7150

Paviljoen

7160

Therapieruimten

7170

Verpleegruimte

7180

Verzorgingsruimte

7190

Gebouwdeel t.b.v. woondoeleinden in g

7240

Keuken

7260

Gemeenschappelijke ruimte

7280

Ontspanningsruimte

7330

Gemeenschappelijk woonruimte / woonge

7340

Ziekenhuis

7550

Zaal/Collegezaal

7740

Concertzaal / auditorium

7750

Expositieruimte

7760

Atelier

8770

Erfdienstbaarheid

8810

Overige waarde correctie

8819

Aftrek Corona

8888

Default grond

9000

Opstal

Naar boven