Actieplan Geluid Heemstede 2024-2028

 

Samenvatting

 

Inleiding

De gemeente Heemstede is volgens Europese richtlijnen verplicht om vijfjaarlijks een Actieplan Geluid op te stellen. Het doel van dit Actieplan is om schadelijke en hinderlijke effecten als gevolg van geluid van vastgestelde bronnen onder controle te houden of te verlagen. Hiervoor wordt gekeken naar de geluidbelasting op woningen en andere geluidgevoelige gebouwen zoals onderwijs en zorg.

 

Afbakening Actieplan

Het Actieplan Geluid richt zich op de geluidbronnen wegverkeer, railverkeer, luchtvaart en industrie. Industrielawaai is geen onderdeel van dit actieplan omdat in Heemstede geen gezoneerd industrieterrein aanwezig is. Voor overige bronnen geldt dat de beheerder (bevoegd gezag) verantwoordelijk is voor het in kaart brengen en het terugdringen van geluid bij normoverschrijdingen. Gemeente Heemstede is geen bevoegd gezag voor vliegverkeer (ministerie van Infrastructuur en Waterstaat), spoorwegen (ProRail) en provinciale wegen (Provincie Noord-Holland). Om een volledig beeld te geven van de geluidsituatie zullen deze geluidbronnen wel worden toegelicht. Maatregelen uit dit actieplan richten zich alleen op de gemeentelijke wegen.

 

In het actieplan worden maatregelen voorgesteld om structurele geluidshinder en overlast onder controle te houden of te verlagen. Geluidsoverlast als gevolg van (verkeers)overtreders, evenementen of bedrijfsmatige activiteiten, waarbij niet aan wetgeving wordt gehouden, maakt geen onderdeel uit van dit plan. De verantwoordelijkheid ligt hiervoor bij handhaving.

 

Geluidbelasting

 

Geluidbelastingkaarten 2022

Om risico’s van geluid in kaart te brengen wordt geluidbelasting op alle gevels modelmatig berekend. Metingen over langere perioden op elke individuele gevel is onhaalbaar. Deze modellen houden rekening met verkeersdrukte, wegdektype en afstand tot de geluidsbron. Een modelberekening geeft daarmee een accurater beeld dan enkele steekproeven. De uitkomst is een gemiddelde geluidbelasting over een etmaal, uitgedrukt in Lden. Deze is voor alle gevels in Heemstede berekend en verwerkt in geluidbelasting kaarten.

 

De gemeente Heemstede heeft in juni 2022 de geluidbelastingkaarten vastgesteld. Deze kaarten tonen langs welke wegen en het spoor een hoge gemiddelde geluidbelasting plaatsvindt. Deze tranche betreft de gemiddelde geluid-situatie in 2021. Onderzochte bronnen zijn het wegverkeer en railverkeer.

 

Hinder en overlast

Niet alle inwoners van geluid belaste woningen ervaren hinder. Geluidshinder is subjectief. Wel kan gesteld worden dat hoe hoger de geluidsbelasting is, hoe meer mensen hinder ervaren. Bij ernstige geluidshinder kunnen tevens gezondheidsrisico’s ontstaan. Om de effecten in te schatten worden alle woningen ingedeeld in geluidsklassen. Per geluidsklasse wordt verrekend hoeveel mensen gemiddeld hinder ervaren (dosis-effect relatie). Met dit model is berekend dat door gemeentelijk wegverkeer in Heemstede gemiddeld genomen circa 2.200 inwoners (8% van alle inwoners) ernstige hinder kunnen ervaren en 450 inwoners (2%) in hun slaap kunnen worden verstoord.

 

Ervaring inwoners

Het is aannemelijk dat deze getallen in werkelijkheid lager zijn. Er komen jaarlijks bij de gemeente enkele meldingen van verkeersoverlast binnen. Dit zijn meldingen over individuele verkeersovertreders die hard optrekken of met luide voertuigen rijden. Uit deze meldingen komt geen situatie naar voren die met (technische) geluidsmaatregelen te verhelpen zijn.

 

Daling geluidbelasting 2017-2022

In dit plan is voor het eerst gebruik gemaakt van de Europese rekenmethode voor omgevingsgeluid (CNOSSOS-NL). Voorheen gebruikte ieder land een eigen rekenmethode waardoor de onderlinge resultaten niet goed vergelijkbaar waren.

 

De geluidbelasting van de geluidbronnen wegverkeer en spoor is opnieuw berekend op basis van rekenmodellen volgens de Nederlandse rekenmethode SRM2 zoals ook in de vorige tranche 2017 gebruikt is. Hiermee is een vergelijking te maken tussen de tellingen in deze tranche ten opzichte van de vorige tranche

 

Ten opzichte van de vorige tranche is overall een afname in het aantal objecten dat een geluidbelasting hoger dan 55 dB ondervindt door een bepaalde geluidbron.

 

Een afname van het aantal objecten met een geluidbelasting van 55 dB of meer door gemeentelijk wegverkeer is aanwezig tussen beide tranches (afname 36%). Een toename van het aantal gehinderden door de provinciale weg is het gevolg van nieuwbouw het appartementen-complex bij Slottuinen aan de Cruquiusweg.

 

Een afname door het spoor is te verklaren door het toepassen van geluidmaatregelen (stillere wegdektypen en inzet van stiller materieel op het spoor).

 

Plandrempel

Het is onmogelijk om geluidshinder in een gebouwde omgeving tot nul te reduceren. Om te bepalen waar de gemeente de komende jaren prioriteit geeft aan geluidsreductie wordt een plandrempel vastgesteld. De plandrempel is de geluidsbelasting die de gemeente aanvaardbaar acht.

 

Gemeente Heemstede stelt de plandrempel in dit Actieplan Geluid vast op 68 dB Lden. De plandrempel is niet veranderd ten opzichte van het (vorige) Actieplan Geluid 2018-2023. Voor de overige geluidbronnen geldt de grenswaarde uit het Besluit kwaliteit leefomgeving (Bkl).

 

Bij geluidbelastingen boven de plandrempel is er tenminste een inspanningsverplichting om de geluidsituatie te verbeteren. De gemeente bekijkt voor adressen boven de plandrempel of een maatregel kostenefficiënt is.

 

Maatregelen

De gemeente Heemstede is van plan om in de komende 5 jaar met behulp van de onderstaande maatregelen het geluid van het gemeentelijk wegverkeer te beheersen:

  • Op wegen die met betrekking tot omgevingslawaai tot knelpunten worden gerekend, weegt de gemeente per situatie af of een geluidreducerend wegdek wordt toegepast.

  • De afhandeling van saneringssituaties in lopende projecten.

     

1 Inleiding

Aanleiding

Iedere vijf jaar moeten grote, door de overheid aangewezen, gemeenten op basis van de EU-richtlijn omgevingslawaai de geluidniveaus in de leefomgeving vaststellen. De gemeente Heemstede maakt deel uit van de agglomeratie Amsterdam en valt onder de aangewezen gemeenten.

 

Geluidbelastingkaarten zijn gemaakt voor het jaar 2021. (Omdat de kaarten in 2022 beschikbaar zijn gemaakt, wordt gesproken over geluidbelastingkaarten 2022.) DGMR heeft deze kaarten opgesteld. Ze zijn digitaal inzichtelijk op de website van de Omgevingsdienst IJmond via www.odijmond.nl.

 

Actieplan

De noodzaak om de geluidniveaus te bepalen en een Actieplan te maken, staat in de Omgevingswet. In het Besluit kwaliteit leefomgeving (Bkl) is opgenomen wat in het Actieplan opgenomen moet worden. Het doel is schadelijke en hinderlijke effecten als gevolg van vastgestelde brontypen onder controle te houden of te verlagen. In het bijzonder geldt dit voor woningen en andere gebouwen en terreinen die extra bescherming tegen geluid nodig hebben.

 

Het vorige Actieplan geluid had betrekking op de periode van 2018-2023. Dit Actieplan geluid beschrijft wat de gemeente komende 5 jaar gaat doen om er voor te zorgen dat het aantal woningen dat blootgesteld aan geluid niet meer wordt of afneemt (2024-2028).

 

Leeswijzer

Een inventarisatie van de geluidsituatie in 2022 staat in hoofdstuk 2. In hoofdstuk 3 is gekeken naar de ontwikkeling van de cijfers ten opzichte van 5 jaar geleden (2017). Een evaluatie van de voorgenomen maatregelen uit 2017 en toekomstige ruimtelijke ontwikkelingen zijn in hoofdstuk 4 opgenomen. In hoofdstuk 5 wordt ingezoomd op eventuele nieuwe (prioritaire) hotspots en maatregelen, waaraan de volgende vijf jaar aandacht wordt besteed. Participatie en inspraak is in hoofdstuk 6 benoemd. Bijlage 1 biedt achtergrondinformatie.

Geluidbronnen, beheer en wettelijk kader

In de figuur aan de rechterzijde is de ligging van de geluidbronnen binnen en rond het grondgebied van de gemeente Heemstede weergegeven. De geluidbronnen zijn het gemeentelijk wegverkeer, provinciaal wegverkeer en het spoor. Binnen de gemeente liggen geen rijkswegen en geen industrie. Ook liggen geen geluidcontouren van Schiphol in deze gemeente. Wel is de zonegrens van het gezoneerde industrieterrein Cruquius in de naastgelegen gemeente opgenomen.

 

Beheerders geluidbronnen

  • Gemeentelijke wegen: Het beheer van de gemeentewegen binnen de gemeentegrenzen valt onder de gemeente Heemstede.

  • Provinciale weg: Binnen de gemeente ligt de N201. Binnen de bebouwde kom is deze in beheer van de gemeente, buiten de bebouwde kom is het beheer in de handen van de provincie Noord-Holland.

  • Spoor: Prorail is de beheerder van het spoor.

Schiphol

De gemeente Heemstede ligt buiten de geluidcontouren van Schiphol. Geen enkele woning ondervind een geluidbelasting hoger dan 55 dB Lden of 50 dB Lnight. Het bevoegd gezag voor luchtvaart is het Ministerie van Infrastructuur en Water. Op dit moment loopt het Programma Omgeving Luchthaven Schiphol, waarin het ministerie werkt aan een nieuwe balans tussen het belang van de luchthaven en de kwaliteit van de leefomgeving, specifiek voor omwonenden. Middels lidmaatschap van de Bestuurs Regio Schiphol houdt de gemeente een vinger in de pols om ervoor te zorgen dat toekomstige ontwikkelingen van Schiphol geen nadelig effect hebben op de gemeente.

 

Wettelijk kader

In het Besluit kwaliteit leefomgeving (Bkl) staan regels die een gemeente kan toepassen voor het beschrijven van de geluidkwaliteit in het omgevingsplan. In het Bkl is per geluidbron een standaardwaarde en een grenswaarde beschreven. Tussen de standaardwaarde en de grenswaarde ligt voor de gemeente de ruimte om de ambitie (plandrempel) te bepalen.

Geluidbronnen gemeente Heemstede

 

Geluidbron

Standaardwaarde Bkl

Grenswaarde Bkl

Gemeentewegen

53 dB Lden

70 dB Lden

Rijkswegen/ Provinciale wegen

50 dB Lden

60 dB Lden

Hoofdspoorwegen en lokale spoorwegen

55 dB Lden

65 dB Lden

Industrie

50 dB Lden

40 dB(A) Lnight

55 dB Lden

45 dB(A) Lnight

Waarden Besluit kwaliteit leefomgeving (Bkl)

2 Geluid 2022

Algemeen

In deze tranche is voor het eerst gebruik gemaakt van de Europese rekenmethode voor omgevingsgeluid (CNOSSOS-NL). Voorheen gebruikte ieder land een eigen rekenmethode waardoor de onderlinge resultaten niet goed vergelijkbaar maakte. Daarom is de Europese rekenmethode ingevoerd die verplicht moet worden gebruikt door alle deelnemende landen. De resultaten van de verschillende landen kunnen nu eenvoudig met elkaar worden vergeleken.

 

Met de resultaten volgens de rekenmethode CNOSSOS-NL zijn tellingen uitgevoerd. Hierbij zijn de ernstig gehinderden, het aantal slaapverstoorden en het aantal gevallen van IHD conform de dosis-effectrelaties uit bijlage 2 van de Regeling geluid milieubeheer bepaald. In de bijlage ‘Achtergrondinformatie’ van dit Actieplan zijn de gehanteerde dosis-effectrelaties weergegeven.

 

In de naastgelegen kolommen is een samenvatting van de gegevens uit de geluidbelastingkaarten en tellingen opgenomen op basis van de rekenmethode CNOSSOS-NL.

 

Ter info: de geluidbelastingkaarten en de tellingen zijn gemaakt voor het peiljaar 2021. In dit peiljaar telt de gemeente 27.545 inwoners.

Wegverkeer

Gemeentelijke wegen

Een grote bijdrage aan de geluidbelasting binnen de gemeente is het gevolg van het gemeentelijke wegverkeer. Door en om de gemeente lopen drukke lokale wegen, voorbeelden hiervan zijn de Leidsevaartweg, de Rijksstraatweg, de Heemsteedse Dreef en de Zandvoortselaan.

 

Ongeveer 45% van de inwoners van de gemeente Heemstede ondervindt op de gevel een geluidbelasting hoger dan 55 dB Lden ten gevolge van het gemeentelijk wegverkeer. Van deze inwoners kunnen 2.200 mensen ernstige hinder ervaren waarbij 450 inwoners in hun slaap gestoord kunnen worden.

 

Provinciale wegen

Een geluidbelasting vanwege de provinciale wegen van 55 dB Lden of meer is aanwezig bij 89 woningen, representatief voor 190 inwoners. Volgens de modellen kunnen 37 mensen ernstige hinder ervaren en kunnen rond de 8 mensen in hun slaap verstoord worden.

 

Negatieve effecten op de gezondheid

Volgens internationaal onderzoek bestaat een relatie tussen het geluidniveau van wegverkeer en het risico op hartziekten (IHD). Deze relatie in deze tranche voor het eerst bepaald: in 2021 hebben binnen de gemeente 54 inwoners de kans om een hartziekte te krijgen als gevolg van het geluid van wegverkeer.

Spoorwegen

Spoorwegen

Volgens de voorgeschreven rekenmethode is berekend dat ongeveer 200 inwoners ernstige hinder kunnen ervaren en 100 inwoners in hun slaap gestoord kunnen worden door geluid van de spoorweg langs de Leidsevaart. De gemeente ontving geen meldingen van overlast als gevolg van deze geluidbron.

 

Op dit moment werkt ProRail aan het Meerjarenprogramma Geluidsanering (MJPG). In dit programma worden voor alle woningen met een te hoge geluidbelasting maatregelen getroffen. Dit kan door geluidschermen, raildempers of gevelisolatie. Maatregelen worden afgestemd met omwonende en gemeenten. ProRail is verantwoordelijk voor de afstemming met omwonenden.

 

In maart 2024 heeft ProRail een ontwerpbesluit gepresenteerd voor het ‘Saneringsplan Fase 2’.Voor Heemstede staan hierin twee geluidschermen lang het spoor opgenomen van 1 meter hoog met een lengte van 80 en 86 meter. ProRail heeft zeven jaar de tijd voor de uitvoering.

Cumulatie

Inwoners kunnen meerdere bronnen ervaren. Door een overlap tussen verschillende bronnen kunnen de gehinderden per geluidbron niet zomaar opgeteld worden. Wel is het mogelijk om te berekenen hoeveel inwoners door de verschillende bronnen gezamenlijk gehinderd worden.

 

Uit deze berekening wordt geschat dat 2.400 inwoners (9%) ernstige hinder kunnen ervaren als gevolg van wegen en spoorwegen. 520 inwoners (2%) kunnen slaapverstoring ondervinden door de combinatie van alle geluidbronnen.

3 Geluid 2017 en 2022

Algemeen

Als de geluidbelastingkaarten en het aantal ernstig gehinderden in 2017 worden vergeleken met deze ronde (2022) dan zijn er uiteraard verschillen. Deze worden veroorzaakt door voor de hand liggende zaken als wijzigingen in:

  • Geluidemissies (verkeersintensiteit, toegestane rijsnelheid, stiller wegdek)

  • Geluidoverdracht (afschermende bebouwing, geluidschermen)

  • Aantal inwoners (nieuwbouw of sloop woningen)

Er zijn nog andere oorzaken voor de verschillen tussen de beide tranches waardoor ze moeilijker met elkaar te vergelijken zijn. Dit betreft:

  • De gewijzigde rekenmethode. Voor de vorige tranche zijn berekeningen uitgevoerd volgens de Standaardrekenmethode 2 (SRM2). In deze tranche is voor het eerst gebruikgemaakt van de voorgeschreven Europese rekenmethode CNOSSOS-NL. Uit diverse vergelijkingen blijkt dat tussen deze twee rekenmethoden verschillen in geluidbelastingen kunnen optreden van -4 dB tot +5 dB. Dit verschil wordt voornamelijk veroorzaakt door gewijzigde berekening van de bodemdemping.

  • Andere telmethode voor het bepalen van het aantal objecten en inwoners die een geluidbelasting van 55 dB of meer ondervinden.

  • Gewijzigde dosis-effectrelaties ten opzichte van de vorige tranche: inwoners zijn volgens de gewijzigde dosis-effectrelaties eerder ernstig gehinderd en slaapverstoord dan in de vorige tranche.

De geluidbelasting van het gemeentelijk wegverkeer en het spoor is herberekend op basis van rekenmodellen volgens de Nederlandse rekenmethode SRM2 zoals ook in de vorige tranche 2017 gebruikt is. Hiermee is een betere vergelijking te maken tussen de tellingen in deze tranche ten opzichte van de vorige tranche. De aantallen die in de naastgelegen kolommen staan zijn op basis van de rekenmethode SRM2 met de telmethode zoals ook voor de geluid-belastingkaarten is gehanteerd.

Verschillen

Gemeentelijk wegverkeer

Rechtsonder deze bladzijde is een tabel met de telling van het aantal geluidbelaste objecten opgenomen.

 

Een afname van het aantal objecten met een geluidbelasting van 55 dB of meer is aanwezig tussen beide tranches (afname 36%). Deze afname is met name in de geluidklasse 65-70 dB te vinden. Een verklaring hiervoor is moeilijk te geven door de grote hoeveelheid gemeentelijke wegen maar kan gezocht worden in een andere modellering (bodemgebruik en objecten), veranderde wegdektypen (voorheen op een aantal wegvakken standaard asfalt, nu een asfalt met beperkte geluidreductie) en andere verkeersintensiteiten.

 

Het aantal bewoners die ernstige hinder ondervindt van het gemeentelijke wegverkeer in de tranche 2022 is 1.152, terwijl dat in de vorige tranche 1.604 bewoners waren. Een afname van 28% die ontstaat door het lager aantal objecten in combinatie met een aangepaste dosis effectrelatie voor wegverkeer.

 

Het aantal slaapverstoorden neemt ook af: in de vorige tranche was dit nog 705 bewoners, nu 165 bewoners. De afname is het gevolg van de verlaging van het aantal objecten in combinatie met de verlaagde dosis-effectrelatie voor slaapverstoring ten opzichte van de vorige tranche.

 

Provinciale wegen

Het geluid door provinciale wegen ligt bij 55 objecten in de gemeente tussen 55 dB en 65 dB Lden. In de vorige tranche waren dit 24 objecten. Dit is een verdubbeling van het aantal objecten. Deze toename is het gevolg van nieuwbouw het appartementencomplex bij Slottuinen aan de Cruquiusweg dat in het jaar 2020 is gerealiseerd.

 

Spoorwegen

Bij 288 objecten is het geluid het spoor 55 dB of hoger in het peiljaar 2021, 286 woningen hiervan ondervinden een geluidbelasting tot 70 dB.

Wordt dit aantal vergeleken met het aantal uit de vorige tranche 2017 (met peiljaar 2016, 383 objecten ), dan blijkt dat een afname van 25% aanwezig is. Deze afname is te verklaren door inzet van stiller materieel op het spoor, met dit materieel wordt het geluid van het spoor ongeveer gehalveerd (reductie 3 dB) ten opzichte van de vorige tranche.

 

In het aantal ernstig gehinderden (53 ernstig gehinderden in de vorige tranche, nu 137) is een dergelijke afname niet te zien. Dit komt door aanpassing van de dosis-effectrelatie tussen beide tranches.

 

Ook voor de slaapverstoorden geldt een ophoging van de dosis-effectrelatie en verdubbelt het aantal slaapverstoorden. Dat betekent dat nu 58 bewoners slaapverstoord zijn door het spoor, in de vorige tranche was dit 25 bewoners.

 

Samenvattend:

Overall zien we ten opzichte van de vorige tranche een afname in het aantal objecten dat een geluidbelasting hoger dan 55 dB ondervindt door een bepaalde geluidbron.

 

Geluidklasse

Lden

Aantal objecten

SRM2-2021

Aantal objecten

SRM2-2016

55 – 60 dB

1.963

2.338

60 – 65 dB

1.290

1.417

65 – 70 dB

213

1.333

70 – 75 dB

--

304

>75 dB

--

--

Totaal

3.466

5.392

Telling gemeentelijk wegverkeer (SRM2)

4 Evaluatie en Ruimtelijke ontwikkelingen

Evaluatie

In het “Actieplan Geluidshinder Wegverkeer 2019-2023” zijn maatregelen beschreven. Voor de maatregelen ‘Geluidplafonds’, ‘Geluidschermen’ en ‘Verkeersmaatregelen’ waren geen acties opgenomen. Een opsomming van de maatregelen die in deze periode uitgevoerd zijn staat hieronder.

 

Geluidsanering

Er zijn op dit moment 3 saneringsprojecten in Heemstede:

  • 1.

    In voorbereiding: Overige B-lijst woningen: 113 woningen

  • 2.

    In voorbereiding: Leidsevaartweg, 36 woningen

  • 3.

    In voorbereiding: Zandvoortselaan (resterende A-lijst woningen): 29 woningen

Stille wegdekken

Het vervangen van het wegdek door stil asfalt is op de Heemsteedse dreef en Leidsevaartweg (ten noorden van het station) is na het opstellen van de geluidskaarten 2022 gerealiseerd. Dit is nog niet meegenomen in de akoestische rekenmodellen.

 

De saneringsprojecten Lanckhorstlaan en Zandvoortselaan worden in deze actieperiode uitgevoerd. Daarnaast zijn ook saneringsprojecten aan de Heemsteedse Dreef, de Leidsevaartweg, de Zandvoortselaan en het project ‘Overige B-lijst woningen’ in voorbereiding. Wellicht dat deze ook in deze actieperiode gestart worden.

Ruimtelijke ontwikkelingen

Ruimtelijke ontwikkelingen kunnen invloed hebben op de hoeveelheid verkeer rondom het plangebied maar ook daarbuiten.

 

De ontwikkelingen van de Princenbuurt en de Vomar aan de Binnenweg worden in de komende jaren gerealiseerd. Daarnaast staan ook andere ontwikkelingen op de agenda zoals Kennemerduin en het herontwikkelen van de omgeving van het Havenkwartier / ’t Groot Clooster en het Manpadlaangebied. Bij deze ontwikkelingen wordt rekening gehouden met de verwachtte geluidseffecten.

 

Wegcategoriseringsplan

De gemeente zal binnen het WCP bekijken waar koppelkansen zijn met dit actieplan.

5 Plandrempel en Maatregelen

Plandrempel

Een plandrempel geeft aan vanaf welke geluidbelasting de gemeente objecten met prioriteit wil aanpakken en is geen wettelijke norm. De plandrempel heeft vooral een signalerende functie en wordt uitgedrukt in een waarde voor het gehele etmaal (Lden) en een waarde in de nachtperiode (Lnight). Voor het bepalen van de plandrempel zijn de rekenmodellen van het wegverkeer eerst omgezet naar de rekenmethode die onder de Omgevingswet geldt.

 

De onderstaande tabel laat het aantal objecten zien met een geluidsbelasting door het gemeentelijk wegverkeer boven een bepaalde plandrempel: de waarde van 70 dB Lden is de grenswaarde uit het Besluit kwaliteit leefomgeving (Bkl) en de waarde van 53 dB is de advieswaarde van de World Health Organization (WHO). Hoe lager de plandrempel wordt gekozen des te meer objecten een geluidbelasting boven deze drempel hebben. Van prioritering van bepaalde locaties is dan geen sprake meer. Bovendien zijn de technische en financiële mogelijkheden om het geluid te verlagen meestal beperkt.

 

Een ‘hotspot’ is een gebied waar veel objecten met een geluidbelasting boven de plandrempel liggen.

 

Zie de figuren op de volgende bladzijden waarbij de objecten gekleurd zijn volgens de plandrempel uit de onderstaande tabel. Het blauwe gebouw (Waterhof) in deze figuren valt hier op: hier is de geluidbelasting hoger dan 70 dB, veroorzaakt door de hoeveelheid verkeer op de Heemsteedse Dreef, het wegdektype ‘gewoon asfalt’ en de korte afstand van het gebouw ten opzichte van de weg.

 

Hierbij wordt opgemerkt dat bij de telling is uitgegaan van een ‘worst case’ (alle adressen meegeteld in dit gebouw) terwijl veel van de adressen niet aan de Heemsteedse Dreef liggen maar in achterliggende straatjes en dus een lagere geluidbelasting ondervinden.

Mogelijke maatregelen

De gemeente kan kiezen voor diverse maatregelen; het treffen van maatregelen aan de bron (stiller wegdek), in de overdracht (geluidschermen) of bij de ontvanger (gevelisolatie). Er zijn geen middelen gereserveerd voor uitvoer van geluid reducerende maatregelen. Voor extra maatregelen zal een afweging worden gemaakt of middelen doelmatig worden besteed.

 

Bronmaatregelen

Het treffen van maatregelen aan de bron is doorgaans het meest (kosten)efficiënt omdat deze maatregelen effect hebben op meerdere adressen. Ter plaatse van de hotspots kan het geluid worden verminderd met een stiller wegdektype. De gemeente heeft geen bronbeleid voor het toepassen van stille wegdekken. Per situatie wordt afgewogen of een geluids-reducerend wegdek doelmatig is. De aspecten rechts op deze bladzijde zijn van belang.

 

Overdrachtsmaatregelen

Geluid kan ook tijdens de overdracht worden gereduceerd. Het plaatsen van geluidschermen is duur en vaak moeilijk stedenbouwkundig in te passen. Tevens is het in het kader van veiligheid vaak niet gewenst.

 

Maatregelen bij de ontvanger

Het geluid in de woningen kan worden verminderd met isolatie van de gevel. Eerst bepaald wat de huidige binnenwaarde in de woning is en welke maatregelen nodig zijn om deze (indien nodig) te verminderen.

 

Gevelisolatie is maatwerk, dus erg kostbaar en tijdrovend. Het uitvoeren van gevelisolatie bij woningen die aan wettelijke normen voldoen wordt niet gezien als een doelmatige besteding van middelen.

 

Zachte maatregelen

Voornoemde oplossingsrichtingen zijn ‘harde’ oplossingsrichtingen. De gemeente weegt ook ‘zachte’ maatregelen af. Deze ‘zachte’ maatregelen kunnen de beleving of het gedrag van de bewoners beïnvloeden met als doel de hinder te verzachten. Onder ‘zachte’ maatrgelen kan men bijvoorbeeld verstaan:

  • Extra groen en stille plekken

  • Laadpalen

  • Schoon/opgeruimde woonomgeving

  • Speelplekken/parkjes

  • Fietspaden.

De zachte maatregelen sluiten aan bij het beleid van de gemeente. Zo heeft de gemeente een ‘groenbeleidsplan’, een ‘visie publieke laadinfrastructuur’ en een ‘actieplan spelen’.

 

Plandrempel Lden

Aantal objecten

Hotspot gemeentelijk wegverkeer

70 dB

4

Heemsteedse Dreef, Waterhof

68 dB

46

Cruquiusweg, Heemsteedse Dreef, Van Merlenlaan , Waterhof /Waterpark

65 dB

643

Vele wegen

60 dB

1.755

Vele wegen

53 dB

3.903

Vele wegen

Afweging stille wegdekken

Plandrempel gemeentelijk wegverkeer Heemstede (noord)

Plandrempel gemeentelijk wegverkeer Heemstede (zuid)

Plandrempel gemeentelijke wegverkeer

Plandrempel

Plandrempel 2018-2023

In het vorige actieplan was de plandrempel voor het gemeentelijk wegverkeer vastgesteld op 68 dB. Er zijn over de periode 2018-2023 geen meldingen bij de gemeente of Omgevingsdienst IJmond binnengekomen van inwoners, waarvan hun woning onder deze plandrempel ligt, die hinder ondervonden. Daarmee lijkt de huidige plandrempel te voldoen aan de doelstelling om woningen met de grootste kans op geluidshinder te prioriteren.

 

Plandrempels 2024-2028

De keuze om tot een plandrempel te komen is een afweging tussen de diverse scenario’s. Het kostenaspect maar ook lopende onderhouds-programma’s en gemeentelijke ontwikkelingen spelen daarbij een rol. Een verlaging van de plandrempel brengt een enorme opgave met zich mee terwijl de geluidshinder niet substantieel zullen afnemen.

 

Gezien de afweging opgave versus investering, hanteert de gemeente Heemstede voor de periode van 2024-2028 de plandrempel van 68 dB voor gemeentelijke wegen.

 

Hotspots gemeentelijk wegverkeer

Met een plandrempel van 68 dB Lden voor het gemeentelijk wegverkeer zijn 189 woningen aanwezig met een overschrijding van deze plandrempel. Het betreft hier locaties aan de Heemsteedse Dreef, het Waterhof, het Waterpark, de Cruquiusweg, de Van Merlenlaan en de Zandvoortselaan.

 

In de naastgelegen figuren staan de hotspots waar het geluid door gemeentelijk wegverkeer hoger is dan de plandrempel van 68 dB Lden.

Hotspots Heemsteedse Dreef, Cruquiusweg en Van Merlenlaan plandrempel 68 Db

Hotspot Zandvoortselaan plandrempel 68 Db

Ambitie plandrempel 65 dB

Zou de plandrempel voor het gemeentelijk wegverkeer in de toekomst worden verlaagd naar 65 dB Lden, dan vindt een overschrijding van de plandrempel plaats bij 781 adressen. De onderstaande figuur toont de dan aanwezige hotspots, zie ook de figuren op de voorgaande bladzijden (oranje gebouwen).

Hotspots gemeente Heemstede plandrempel 65 Db

Maatregelen

Maatregel gemeentelijk wegverkeer

Met dit actieplan beschrijft de gemeente de plandrempel en onderzoekt de gemeente welke maatregelen mogelijk zijn voor 189 woningen met een geluidsbelasting boven de plandrempel van 68 dB.

 

Bouwjaar en woningisolatie

120 adressen aan de Heemsteedse Dreef, het Waterhof en het Waterpark, met een geluidbelasting boven de plandrempel, zijn gebouwd tussen 2009 en 2013. Voor deze adressen is woningisolatie bij de bouw toegepast en wordt een binnenwaarde van geluid volgens het Bouwbesluit 2012 gegarandeerd. Hier zijn geen maatregelen nodig om geluidhinder terug te dringen.

 

Bronmaatregelen

De Heemsteedse Dreef is na het opstellen van de geluidbelastingskaarten 2022 voorzien van stil asfalt. De geluidbelasting door deze weg is daardoor ongeveer 2 dB lager dan eerder berekend. 11 Adressen aan de Heemsteedse Dreef, waarvan de geluidbelasting boven de plandrempel was berekend, voldoen daarmee nu aan de plandrempel van 68 dB.

 

De gemeente heeft het ‘Beheerplan wegen 2022-2026’ van 14 januari 2022. In dit plan is per wegvak aangegeven welk onderhoud uitgevoerd moet worden en in welk jaar. Het toepassen van maatregelen gelijktijdig met het reguliere onderhoudsprogramma draagt bij aan beperking van de kosten en heeft daarmee de voorkeur. Voor de Cruquiusweg staat onderhoud gepland. Met het toepassen van stil asfalt kan voor 21 adressen boven de plandrempel geluid worden gereduceerd. Dit is daarmee de meest wenselijke maatregel.

 

Voor 17 adressen kan uitvoering van het ‘Wegcategoriseringsplan’ (WCP) leiden tot een reductie in geluidsbelasting. Na uitvoering van het WCP zullen de effecten op de geluidsbelasting worden bekeken. Voor adressen die daarna boven de plandrempel komen zal worden gekeken of andere maatregelen nodig zijn.

 

Overdrachtsmaatregelen

Voor het voorgaande actieplan is de mogelijkheid voor een geluidscherm langs de Cruquisweg onderzocht. Dit bleek om stedenbouwkundige - en veiligheidsredenen niet mogelijk.

 

Maatregelen bij de ontvanger

Op dit moment lopen er nog 3 saneringsprojecten vanuit Bureau Sanering Verkeerslawaai, onderdeel van het Ministerie van Infrastructuur en Waterstaat. 12 woningen die boven de plandrempel vallen, worden hiermee in de looptijd van dit actieplan aangepakt.

 

Voor de resterende 8 adressen boven de plandrempel is binnen de gestelde uitgangspunten geen mogelijkheid gevonden om geluidsreductie mogelijk te maken.

Provinciale weg

De grenswaarde in het Bkl voor provinciale wegen is 60 dB. De geluidbelasting door de provinciale weg N201 is in de gemeente Heemstede maximaal 66 dB. Bij ongeveer 50 adressen wordt de plandrempel overschreden. Hiervan zijn 40 adressen gebouwd in het jaar 2020: voor deze objecten is woningisolatie toegepast en wordt een binnenwaarde volgens het Bouwbesluit 2012 gegarandeerd.

Spoor

De grenswaarde in het Bkl is voor spoorwegen 65 dB. Bij een plandrempel voor het spoor van 65 dB zijn objecten aanwezig met een overschrijding van deze plandrempel. De geluidbelasting is maximaal 70 dB.

 

Maatregel

De gemeente is geen eigenaar van het spoor en heeft daardoor minder invloed op de geluidhinder door deze geluidbron.

 

Prorail heeft het saneringsplan voor de gemeente vanaf 24 maart 2024 ter inzage gelegd. In dit plan zijn 33 saneringsobjecten in de gemeente Heemstede opgenomen. Deze objecten zijn verdeeld over 9 clusters. Maatregelen die voor deze objecten in het saneringsplan zijn opgenomen zijn geluidschermen (1 meter hoog) en raildempers.

 

Het is niet zeker of deze geluidmaatregelen binnen de planperiode worden toegepast. ProRail houdt maximaal 7 jaar aan voor alle maatregelen in heel Nederland. Wanneer een gemeente aan de beurt is, is aan de aannemer en kan dus nu niet gezegd worden.

6 Participatie en Inspraak

Participatie

Bij het opstellen van dit Actieplan zijn burgers, bedrijven, maatschappelijke organisaties en andere bestuursorganen betrokken door middel van een informatieavond.

 

Op 19 maart 2024 is een bewonersavond georganiseerd waarbij de inwoners zijn geïnformeerd over het Actieplan, de procedure en de stand van zaken. Tijdens deze avond is informatie opgehaald over de ervaren geluidhinder. Tijdens deze avond is vanuit de gemeente Heemstede voornamelijk het signaal ontvangen dat de geluidhinder door bewoners voornamelijk wordt ervaren door:

  • De grote intensiteit en piekgeluiden op de wegen in de zomerperiode

  • De (extra) geluidoverlast als gevolg van overschrijding van de toegestane snelheid

  • Motorverkeer

  • Lawaaiige uitlaatsystemen.

Maatregelen buiten de scope van dit Actieplan

In de uitwerking van dit Actieplan constateren we dat deze ervaren geluidshinder niet terugkomt bij de geïnventariseerde hotspots. Dit Actieplan beschrijft voor deze ervaren hinder dan ook geen maatregelen, maar geldt wel als signaalfunctie voor toekomstige projecten en ontwikkelingen binnen de gemeente Heemstede.

Wat kunt u doen

De gemeente heeft de geluidsituatie binnen de gemeente geanalyseerd en een plan bedacht om deze te handhaven of verder te verbeteren.

 

Iedereen die dit Actieplan heeft gezien, kan een zienswijze geven. Dit kan gedurende de periode dat het plan ter inzage ligt. Dit kan via MAIL of WEBSITE of POST.

 

De gemeente bekijkt alle zienswijzen, geeft hier een reactie op en voegt deze toe aan het Actieplan. Waar nodig wordt het Actieplan aangepast aan de zienswijzen.

 

Maatregelen treffen kost geld. De gemeente zet financiële middelen in op de beleidsgebieden en locaties waar de meeste mensen profijt van hebben. Het is daarom niet mogelijk om iedere overschrijding van de plandrempel (separaat) op te pakken.

Bijlage 1 – Achtergrondinformatie

 

Wat is geluid?

Geluid zijn trillingen in de lucht die door gezonde oren zijn waar te nemen. Als een voorwerp geluid maakt, worden de luchtdeeltjes in de omgeving samengeperst, waardoor de luchtdruk daar hoger wordt. De samengeperste luchtdeeltjes botsen met omliggende deeltjes in de lucht en geven hun energie zo door. De eenheid om de geluidssterkte aan te geven is de decibel (dB).

 

Geluid kun je meten met een geluidmeter. Om een goed beeld te krijgen van een meting, moet je deze over een lange tijd uitvoeren. Zo houd je rekening met verschillende weersinvloeden (temperatuur, wind, luchtvochtigheid). Voor het bepalen van geluidniveaus voor de hele gemeente, is het veel te kostbaar om metingen uit te voeren.

 

Daarom is gebruik gemaakt van een wettelijk vastgestelde rekenmethodiek. Het grote voordeel van rekenen is dat je hiermee ook effecten van maatregelen in beeld kan brengen. Met metingen is dit niet mogelijk.

 

Deze methodiek wordt ook gebruikt bij het bepalen van het toekomstige geluidniveau bij nieuwe ontwikkelingen.

Wat is geluidhinder

Geluidhinder heeft te maken met hoe iemand het geluid ervaart. Een individueel persoon kan een bepaald soort geluid of een bepaald geluidsniveau als hinderlijk ervaren, terwijl een ander persoon dat niet doet. Het doet er daarbij niet altijd toe of dat geluidsniveau onder of boven de in de wet toegestane grenswaarde ligt.

 

In Nederland zijn de wettelijke normen gebaseerd op de hinderbeleving van groepen. De ervaring leert dat, bij grotere groepen mensen, de hinder bij een bepaald geluidsniveau (naar tijd en plaats) slechts in beperkte mate varieert.

 

Om de geluidhinder te kunnen voorspellen, wordt gebruikgemaakt van zogenoemde dosis-effectrelaties. Deze drukken de relatie uit tussen het geluidniveau en de mate van hinder die de bewoners ervan ondervinden.

 

Wegverkeer is de belangrijkste bron van geluidhinder in de woonomgeving. Ontwaakmomenten in je slaap kan erg hinderlijk zijn. Hierdoor kun je een hoge bloeddruk krijgen, wat de kans op een hartinfarct vergroot.

Waarom nu aandacht?

Wanneer je een huis bouwt, moet je voldoen aan allerlei (wettelijke) regels. Ook ten aanzien geluid moet je onderzoeken hoe hoog het niveau is en pas je zo nodig geluidmaatregelen toe. Bijvoorbeeld aan de weg (stiller asfalt, of lagere snelheid), met het plaatsen van schermen of geluidwallen, of maatregelen aan de gevel (bv. speciale kozijnen en glas) om ervoor te zorgen dat je in huis geen hinder ondervindt van een nabijgelegen geluidbron.

 

De aandacht ligt bij hinder ten gevolge van (spoor)wegen en industrie. Overige bronnen van overlast (bijvoorbeeld burenlawaai of overlast van brommers of horeca) vallen buiten het onderzoek.

Proces

Volgens artikel 16.27 van de Omgevingswet is bij het opstellen van een Actieplan de openbare voorbereidingsprocedure van afdeling 3.4 van de Algemene wet bestuursrecht van toepassing. Dit betekent dat het ontwerp van het Actieplan - na de gebruikelijke bekendmaking - minstens zes weken ter inzage wordt gelegd. In afwijking tot artikel 3.15 mag iedereen in die periode zijn zienswijze over het ontwerp naar voren brengen.

 

In het definitieve Actieplan worden de ingekomen zienswijzen en de reactie van de gemeente op die zienswijzen opgenomen in een aparte bijlage. Indien de zienswijzen leiden tot aanpassingen in het ontwerp-plan wordt dit vermeld.

 

Het Actieplan geluid bevat alleen beleidsvoornemens; het staat dus niet open voor beroep.

Bijlage 2 | Achtergrondinformatie

 

Informatie geluidbronnen

Wegverkeer

De geluidbelastingkaarten zijn opgesteld op basis van een modelberekening 2019 die representatief is voor het peiljaar 2021.

 

Een verkeersmodel voor de gemeentelijke wegen is aangeleverd door de omgevingsdienst (verkeersmodel NHZ 3.0, bestand ‘NHZ3_2018_07_geomilieu_BHZ.SHP’). De cijfers betreffen weekdaggemiddelden. Voor de geluidsbelastingkaarten zijn de aangeleverde verkeersintensiteiten (2018) opgehoogd met 1,5% voor het jaar 2019.

 

Provinciale wegen

De rijsnelheden, de wegdekken en de intensiteiten zijn aangeleverd door de provincie Noord-Holland

 

Railverkeer

Voor de spoorgegevens is gebruik gemaakt van de ‘Dataset END-kaarten’ van ProRail uit januari 2022.

 

Rekenmethoden

De geluidbelastingkaarten zijn opgesteld volgens de rekenmethode CNOSSOS-NL. Om tellingen te kunnen vergelijken tussen 2022 en 2017, zijn berekeningen uitgevoerd volgens het Reken- en meetvoorschrift geluid 2012.

 

Voor dit Actieplan zijn de rekenmodellen wegverkeer omgezet naar de meet- en rekenmethode zoals beschreven in de Omgevingsregeling bijlage IVe.

 

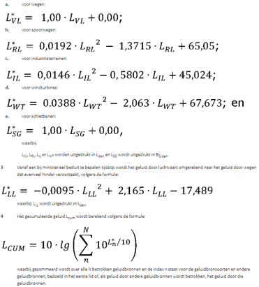
Cumulatie

Voor de cumulatie van de verschillende geluidbronnen wordt de cumulatiemethode toegepast die is opgenomen in artikel 3.25 uit de Omgevingsregeling. In deze methode wordt het geluid door wegen, spoorwegen, industrie-terreinen, windturbines en schietbanen omgerekend naar het geluid door wegen dat evenveel hinder veroorzaakt. Vooralsnog wordt de geluidbron ‘luchtvaart’ nog buiten beschouwing gelaten.

 

Hieronder zijn de wegingsfactoren per geluidsoort opgenomen.

Bepaling ernstig gehinderden en slaapverstoorden

In de Regeling geluid milieubeheer is in bijlage 2 (geldend tot 1 januari 2024) de rekenmethode opgenomen voor het berekenen van schadelijke effecten door geluid. Voor de bepaling van deze effecten worden de volgende aspecten beschouwd:

  • a.

    ischemische hartziekten (IHD)

  • b.

    hoge mate van hinder (HA)

  • c.

    hoge mate van slaapverstoring (HSD)

Alleen voor de geluidbron wegverkeer is in de regeling een werkwijze beschreven voor de berekening van het relatieve risico (RR) van ischemische hartziekten (IHD).

 

Voor de tellingen van het aantal ernstig geluidgehinderden en het aantal slaapverstoorden inzake de geluidbelastingkaarten is gebruikgemaakt van de zogenaamde dosis-effectrelaties uit deze Regeling. De dosis-effectrelaties geven (wetenschappelijk onderbouwd) de kans dat een persoon gehinderd wordt door het geluid. De dosis-effectrelaties verschillen per bronsoort en geluidbelastingklasse.

 

In de Omgevingsregeling (geldend vanaf 1 januari 2024) zijn de dosis-effectrelaties en de berekening van het relatieve risico op de kans op een ischemische hartziekte opgenomen in bijlage XIX. Deze komen overeen met de relaties zoals in de Regeling geluid milieubeheer was opgenomen.

 

Monitoring

Nieuw onder de Omgevingswet is dat monitoring gaat plaatsvinden van lokale en provinciale wegen en van lokale spoorwegen, zoals dat nu al gebeurt voor de rijkswegen en het spoor.

 

Lokale wegen en lokale spoorwegen krijgen een Basis geluid emissie (BGE), waarbij de gemeente en het waterschap verantwoordelijk zijn voor de monitoring. De regels hiervoor zijn opgenomen in het Besluit kwaliteit leefomgeving.

Vanaf een vastgelegde datum (uiterlijk basisjaar 2026) monitort het bevoegd gezag de geluidsemissie van het wegennetwerk ten opzichte van de vastgelegde (suggestie of is het “vastgestelde”) basis geluid emissies. Minimaal iedere 5 jaar wordt daar verslag van gedaan. Bij een toename van 1,5 dB of meer moet de wegbeheerder (gemeente of het waterschap) aanvullende geluidmaatregelen overwegen.

 

In de BGE worden gemeentewegen en waterschapswegen opgenomen met een verkeersintensiteit van 2.500 motorvoertuigen of meer per etmaal.

Bijlage 3 | Zienswijzen – nota van beantwoording

 

Zienswijzen

Het Actieplan Geluid is zes weken ter inzage aangeboden (van 2 september t/m 13 oktober 2024 op www.officielebekendmakingen.nl). Hierop hebben drie indieners een zienswijze meegegeven. Deze zienswijzen zijn samengevat en inclusief reactie vermeld in deze bijlage. De zienswijzen hebben niet geleid tot een inhoudelijke aanpassing van het ontwerp-Actieplan naar de definitieve versie.

 

Indiener 1

Zienswijze 1

U heeft er voor gekozen om alleen het gemeentelijk wegverkeer te beoordelen. Dit is echter een ernstige tekortkoming voor de bewoners langs de Cruquiusweg en voor zorgcomplex ‘De Slottuin’. Deze laatste is volledig buiten beschouwing gelaten!

 

Reactie 1

In het Actieplan Geluid moet alle geluidsbronnen worden opgenomen waar de gemeente zeggenschap over heeft, formeel gesproken ‘bevoegd gezag’ voor is. Het deel van de N201 buiten de bebouwde kom is een provinciale weg. De geluidsbelasting van dit deel is wel in kaart gebracht (zie reactie 4) maar provincie Noord-Holland is hiervoor bevoegd gezag en moet deze verkeerssituatie opnemen in haar Actieplan Geluid. De gemeente is niet bevoegd om maatregelen te treffen aan provinciale wegen.

 

Zienswijze 2

Uw gegevens voor ‘Objecten plandrempel’ moet gebaseerd worden op ‘wegverkeer totaal’, dus inclusief de geluidsbelasting door het wegverkeer op de provinciale weg N201. In het Actieplan 2018-2023 staat namelijk wel de kaart van het wegverkeer cumulatief. In de kaarten ‘Objecten plandrempel’ ontbreken ook de bewoners van de Cruquiushaven en van Cruquiusweg 75. Dus nog een tekortkoming.

 

Reactie 2

De plandrempel in dit Actieplan Geluid wordt vastgesteld voor de geluidsbronnen waar de gemeente bevoegd gezag is. Het vaststellen van de plandrempel heeft alleen effect op objecten die door deze geluidsbronnen, in dit geval gemeentelijk wegverkeer, belast worden. Omdat het vaststellen van de plandrempel geen effect heeft op objecten die door provinciale wegen worden belast met geluid zijn deze objecten niet opgenomen in de in de effecten. Dit geldt voor de genoemde adressen aan de Cruquiushaven en Cruquiusweg.

 

Zienswijze 3

U kunt het verkeerslawaai van de provinciale N201 niet buiten beschouwing laten, u schoffeert hiermee de bewoners aan het eind van de Cruquiusweg, van ‘De Slottuin’ en van de Cruquiushaven. Wij verzoeken dat het Actieplan Geluid op deze punten wordt gecorrigeerd.

 

Reactie 3

De geluidsbelasting als gevolg van de N201 buiten de bebouwde kom is wel in kaart gebracht door Omgevingsdienst IJmond (gepubliceerd op: https://www.odijmond.nl/over-ons/werkzaamheden/geluidbelasting/). De uitkomsten zijn benoemd op pagina 12. Gemeente Heemstede is niet bevoegd maatregelen te treffen aan provinciale wegen. Provincie Noord-Holland is er verantwoordelijk voor dat geluidsnormen als gevolg van provinciaal wegverkeer niet worden overschreden.

 

Indiener 2

Zienswijze 1

Waarop baseert de wethouder haar aanname dat de plandrempel geluid door het verkeer op de Leidsevaartweg tussen Amstelbrug en Ipenrode niet wordt overschreden?

Reactie 1

De plandrempel van gemeentelijk wegverkeer wordt bepaald als gemiddelde geluidsbelasting op een gevel, uitgedrukt in dB Lden (staat voor Level day-evening-night = jaarlijks gemiddelde over alle etmalen). Verschillende typen voertuigen, bijvoorbeeld zwaar verkeer of motorfietsen, kunnen geluid produceren waardoor geluidsbelastingen bij het voorbijrijden hoger kan zijn dan 68 dB. Deze hogere geluidsbelastingen zijn meegenomen in de berekening van de gemiddelde geluidsbelasting (dB Lden). Op de geluidskaart op pagina 9 in dit Actieplan is te zien dat de woningen aan dit traject niet in de categorie >= 68 dB Lden vallen.

 

Zienswijze 2

Kan de wethouder met een meting aantonen dat de plandrempel geluid van 68dB niet wordt overschreden?

 

Reactie 2

Een geluidsmeting geeft een momentopname. Omdat een plandrempel gaat over de gemiddelde geluidsbelasting over een heel jaar kan alleen een meting over een langere periode bepalen of de geluidsbelasting op een gevel boven 68 dB Lden uitkomt. Dit is erg kostbaar en levert per meting voor slechts één gevel informatie. Voor dit Actieplan zijn de rekenmodellen omgezet naar de meet- en rekenmethode zoals beschreven in de Omgevingsregeling bijlage IVe. Dit is een vereiste voor het opstellen van geluids-belastingkaarten die dienen als basis voor het actieplan geluid.

 

Zienswijze 3

Uitleg van de wethouder waarom in het weggedeelte van Amstelbrug tot Ipenrode wel ribbels als schrikstrook zouden moeten liggen, terwijl dat verderop niet het geval is.

 

Reactie 3

De gehele Leidsevaartweg-zuid is voorzien van ribbeltegels.

Op sommige delen van de Leidsevaartweg-zuid zijn deze tegels niet zichtbaar en is overwoekerd met gras. Kennelijk is hier minder noodzaak om over deze tegels te rijden doordat bijvoorbeeld de breedte van de rijbaan ter plekke iets meer ruimte biedt.

 

Zienswijze 4

Hoe kan worden voorkomen dat er structureel over de witte lijn en de ribbels wordt gereden bij het stuk vanaf de Amstelbrug tot Ipenrode? De weg is hier veel smaller dan verder richting het noorden van de Leidsevaartweg.

 

Reactie 4

De gemeente wil invulling geven aan dit verzoek en de heeft mogelijkheden onderzocht. Om te voorkomen dat er onnodig op de attentie-verhogende ribbeltegels wordt gereden, is de gemeente voornemens ter hoogte van de Rivierenbuurt en de Geleerdenbuurt om de 50 meter een (plastic) bermpaaltje te plaatsen. Hierdoor wordt de weg visueel smaller en neemt de kans af dat er onnodig op de ribbeltegels wordt gereden. Een visueel smallere weg leidt tot afname van snelheid. Bij een lagere snelheid ontstaat een kleinere koersafwijking. Automobilisten hebben dan een minder ruimte nodig om elkaar te kunnen passeren. De verwachting is dat paaltjes een snelheids-remmend effect zullen hebben en bijdragen aan het verminderen van het berijden van de ribbeltegels.

 

Zienswijze 5

Welke mogelijkheden ziet de wethouder om de weg ter plaatse te verbreden, de snelheid te doen verminderen of op een andere manier de geluidsoverlast tegen te gaan?

 

Reactie 5

De Leidsevaartweg-zuid is niet overal even breed. Dit komt door de beschikbare ruimte tussen het water en de erfgrenzen/bermsloten. Er is geen ruimte om de Leidsevaartweg op de smallere gedeeltes breder te maken. Ribbeltegels blijven noodzakelijk voor het waarschuwen van automobilisten naast de vaart. De gemeente ziet het plaatsen van de bermpaaltjes als de beste optie om de snelheid te verlagen en het bereiden van de ribbels tegen te gaan.

 

Indiener 3

Zienswijze 1

Streef naar de gezondheidskundige richtwaarden van 50 dB Lden en 40 dB Lnight voor bronnen wegverkeer, railverkeer en bedrijven gezamenlijk. De plandrempel die gemeente Heemstede wil aanhouden is 68 dB Lden voor gemeentelijke wegen, 60 dB Lden voor provinciale wegen en 65 dB Lden voor spoorwegen. Al deze plandrempels liggen dus ver boven de gezondheidskundige richtwaarden. Vanuit gezondheidskundig perspectief is dit zeer onwenselijk.

 

Reactie 1

De huidige geluidbelastingen laten zien dat er een groot gat zit tussen deze belasting en richtwaarden van de GGD. Dit gat kan oplopen tussen 15 en 20 dB Lden. De gemeente heeft uitgerekend dat bij een plandrempel van 53 dB Lden (advieswaarde WHO) 46% van de woningen niet voldoen aan de ambitie. Voor het aanpakken van deze woningen is geen financiële en ambtelijke beschikbaarheid. De advieswaarde van 50 dB Lden is binnen de gebouwde omgeving in de praktijk niet haalbaar.

De gemeente sluit aan bij, of is strenger dan, de ambitie van omringende gemeenten. Daarbij ligt de plandrempel onder de wettelijke norm.

 

Zienswijze 2

Gebruik in de monitoring en evaluatie van de geluidssituatie bestaande cijfers over geluidshinder in de lokale situatie, bijvoorbeeld de gezondheidsmonitor van de GGD. Neem in het Actieplan maatregelen die aansluiten bij de door de inwoners genoemde hinderfactoren (zie blz. 13), om hiermee bij te dragen aan het doen van het Actieplan.

 

Reactie 2

Het Actieplan Geluid is opgesteld volgens Europese lichtlijnen. Deze schrijft voor hoe de geluidsbelasting op de gevel berekend moet worden en welke dosis-effect relatie gehanteerd dient te worden. De oorzaken van geluidhinder die door bewoners zijn genoemd (zie blz. 13) betreffen allen individuele verkeersdeelnemers. Maatregelen van individuele verkeersdeelnemers vallen buiten de scope van dit Actieplan Geluid.

 

Zienswijze 3

Bouw zoveel mogelijk op geluidsluwe locaties en neem direct (bron)maatregelen om blootstelling aan hoge geluidsniveaus te voorkomen.

 

Reactie 3

Bij de ontwikkeling van nieuwbouw worden alle milieuaspecten, waaronder geluidsbelasting, meegenomen.

 

Naar boven