Gemeenteblad van Eindhoven
| Datum publicatie | Organisatie | Jaargang en nummer | Rubriek | Datum ondertekening |
|---|---|---|---|---|
| Eindhoven | Gemeenteblad 2024, 487948 | ruimtelijk plan of omgevingsdocument |
Zoals vergunningen, bouwplannen en lokale regelgeving.
Adressen en contactpersonen van overheidsorganisaties.
U bent hier:
| Datum publicatie | Organisatie | Jaargang en nummer | Rubriek | Datum ondertekening |
|---|---|---|---|---|
| Eindhoven | Gemeenteblad 2024, 487948 | ruimtelijk plan of omgevingsdocument |
Het college van burgemeester en wethouders van Gemeente Eindhoven maken bekend dat zij op 1 oktober 2024 het definitieve ”Actieplan geluid gemeente Eindhoven” Actieplan EU-Richtlijn Omgevingslawaai Tranche 4 hebben vastgesteld met daarbij een plandrempel van 70 dB vast te stellen voor de eerstelijnsbebouwing langs wegen en spoorwegen.
Inleiding
In 2004 is de EU-Richtlijn Omgevingslawaai geïmplementeerd in de Nederlandse wetgeving door middel van het Besluit, de Regeling en de Handreiking Omgevingslawaai. Het doel van de EU-richtlijn is het in kaart brengen en zo mogelijk verbeteren van het geluidklimaat in heel Europa.
Bij besluit van 28 juni 2024 heeft u ingestemd met het ontwerp actieplan als bedoeld in artikel 3.6 van de Omgevingswet en het ontwerp actieplan vrijgegeven voor de inspraak.
Er zijn geen zienswijzen aangeleverd door burgers en belanghebbenden in Eindhoven. Ook de gemeenteraad van Eindhoven heeft geen gebruik gemaakt van haar recht op inspraak. Op dit moment moet ter afsluiting van de doorlopen procedure het definitieve actieplan worden vastgesteld.
Wettelijke taak
Het betreft een wettelijke taak voortvloeiend uit de EU-richtlijn Omgevingslawaai.
Doelstelling
Om te kunnen voldoen aan de Richtlijn Omgevingslawaai moet het definitieve Actieplan voor de Richtlijn Omgevingslawaai zijn vastgesteld. Met als doel het zo mogelijk verbeteren van het geluidklimaat.
Er zijn geen inspraakreacties ingekomen
Het actieplan is een verplichting uit de Omgevingswet. In het actieplan wordt ook een plandrempel opgenomen. Deze ligt op het in de Omgevingswet opgenomen plafond. Bij waarden boven de plandrempel dienen maatregelen getroffen te worden om te voldoen aan de plandrempel. In het ontwerp actieplan zijn geen wijzigingen aangebracht.
Planning en uitvoering
Het actieplan beslaat een periode van vijf jaar. In het jaar 2027 zal de Gemeente Eindhoven nieuwe kaarten en tabellen vaststellen. De resultaten van het onderhavige actieplan zullen daarmee zichtbaar worden.
Evaluatie
Een evaluatie van de resultaten van het voorliggende actieplan maakt onderdeel uit van het proces voor het opstellen van geluidbelastingkaarten en tabellen tranche 5 in 2027 en het actieplan in 2029 voor de daaropvolgende periode.
"Actieplan geluid gemeente Eindhoven" opgenomen in Bijlage A wordt vastgesteld.
Aldus vastgesteld door Gemeente Eindhoven, 1 oktober 2024
Ondertekend door het college van burgemeester en wethouders van de Gemeente Eindhoven
Voor u ligt het Algemene deel A van Actieplan geluid voor de gemeenten Best, Eindhoven, Geldrop‑Mierlo, Helmond, Nuenen c.a. Veldhoven, dat is opgesteld in het kader van de EU-Richtlijn Omgevingslawaai.
Geluidklimaat in heel Europa verbeteren
Het doel van de EU-richtlijn is het in kaart brengen en zoveel mogelijk verbeteren van het geluidklimaat in heel Europa. Om dit doel te bereiken worden elke vijf jaar END-geluidbelastingskaarten en een Actieplan geluid gemaakt.
Het Actieplan geluid wordt elke 5 jaar geactualiseerd en is een verplicht programma volgend uit de Europese regelgeving. Na de drie eerdere perioden (2008, 2013 en 2018) wordt er nu voor de vierde keer een Actieplan geluid opgesteld. Het komende Actieplan geluid moet uiterlijk 18 juli 2024 zijn vastgesteld.
In dit algemene deel A van het Actieplan geluid is eerst de wetgeving en opzet van het onderzoek beschreven. Deze elementen zijn voor alle gemeenten hetzelfde of vergelijkbaar. De verschillende landelijke, provinciale en de regionale kaders voor geluidbeleid zijn opgenomen. Daarnaast zijn er beschrijvingen opgenomen van algemene maatregelen die getroffen kunnen worden ter beperking van geluid.
Het omgevingslawaai voor het Actieplan geluid betreft vier geluidsoorten die (verplicht) opgenomen worden: wegverkeerslawaai, railverkeerslawaai, industrielawaai en luchtverkeerslawaai.
Voor iedere gemeente wordt in een eigen deel B de gemeentelijke situatie geschreven en dit deel kan maatwerk bevatten. Deel B zal in een later stadium per gemeente worden opgesteld en worden vastgesteld.
De term kartering wordt gehanteerd voor het opstellen van de END-geluidbelastingskaarten, tabellen en het bijbehorende Actieplan geluid.
Wettelijke basis/agglomeratie/plandrempel
De agglomeratie Eindhoven bestaat uit de gemeenten Best, Eindhoven, Helmond, Geldrop‑Mierlo, Nuenen c.a. en Veldhoven. De agglomeratie is specifiek aangewezen als agglomeratie in de Richtlijn omgevingslawaai. In de richtlijn staat ook dat gemeenten verantwoordelijk zijn voor de beheersing van geluid afkomstig van gemeentelijke wegen en bedrijven. Voor de zes gemeenten binnen de agglomeratie zijn daarom wettelijk verplichte END‑geluidbelastingskaarten en tabellen in 2022 vastgesteld. Het opstellen van het Actieplan geluid is ook een wettelijke verplichting voor de gemeenten binnen de agglomeratie Eindhoven.
Het voorliggende deel A van het Actieplan geluid is door de Omgevingsdienst Zuidoost Brabant (ODZOB) opgesteld voor de gemeenten Best, Eindhoven, Geldrop-Mierlo, Helmond, Nuenen c.a. en Veldhoven.
Andere actoren zoals Rijkswaterstaat, ProRail en de provincies stellen Actieplannen op voor hun ‘eigen’ geluidbronnen (respectievelijk rijkswegen, hoofdspoorwegen en provinciale wegen).
De gemeenten besloten gezamenlijk een Actieplan geluid deel A op te stellen en vrijwel dezelfde plandrempels voor de geluidbelastingen te hanteren als in de vorige tranches. Hierbij is wederom aangesloten bij de wettelijke kaders.
Concreet deel, situatie per gemeente/knelpunten en oplossingen
In deel B, per gemeente, komen de volgende vragen aan bod:
Wat hebben we gedaan? Hiervoor heeft er een evaluatie van het Actieplan uit 2018 plaatsgevonden.
Waar staan we nu? Hier is aangegeven waar we nu staan en welke knelpunten er binnen de gemeente aanwezig zijn. Deze knelpunten zijn bepaald op grond van de geluidkaarten en door de gemeenten zijn enkele “hotspots” aangewezen.
Wat gaan we doen? Voor een aantal knelpunten en “hotspots” is opgenomen wat de gemeente voor maatregelen in de planning heeft om het knelpunt/hotspots aan te pakken.
Algemeen
De Europese richtlijn omgevingslawaai richt zich op de evaluatie en beheersing van geluid waaraan mensen worden blootgesteld. Vooral de gezondheidsaspecten zijn hierbij van belang. Het toepassingsgebied beperkt zich tot een aantal gedefinieerde brontypen, te weten schadelijke en hinderlijke effecten door weg- en railverkeer en luchtvaart van een zekere omvang, alsmede specifieke vastgelegde industriële activiteiten. De Europese richtlijn is in 2004 ingevoerd in de Nederlandse wetgeving. De Europese richtlijn omgevingslawaai is ook geïmplementeerd in de in werking tredende Omgevingswet in 2024.
Elke vijf jaar moeten de aangewezen partijen in Nederland de geluidhinder bijhouden van de geluidbronnen. Hierbij worden de gemiddelde geluidniveaus van wegen, sporen, industrie en de luchtvaart op de kaart gezet middels het vervaardigen van geluidbelastingskaarten. De partijen stellen ook een Actieplan geluid op.
Er zijn agglomeraties aangewezen die uitvoering moeten geven aan dit specifieke onderwerp. Eén daarvan is de agglomeratie Eindhoven met de gemeenten Best, Eindhoven, Geldrop-Mierlo, Helmond, Nuenen c.a. en Veldhoven. De gemeenten binnen deze agglomeratie stellen elk een Actieplan geluid vast. Het Actieplan geluid wordt elke 5 jaar geactualiseerd en is een verplicht programma volgend uit de Europese regelgeving.
Het Rijk heeft (instructie-)regels opgesteld om te zorgen dat het Rijk, provincies en gemeenten binnen een agglomeratie (stedelijk gebied) een Actieplan geluid vaststellen.
De Omgevingsdienst Zuidoost-Brabant (ODZOB) geeft voor eerdergenoemde zes gemeenten uitvoering aan de EU-richtlijn Omgevingslawaai. Om de verplichte werkzaamheden op een zo efficiënt mogelijke manier uit te voeren, werken deze gemeenten wederom samen. Naast afstemming en overleg met betrokken afdelingen binnen gemeenten, voert de ODZOB ook overleg met InfoMil/ IPLO, Ministeries, Rijkswaterstaat, Provincie Noord-Brabant en ProRail.
Actieplan deel A: Algemeen
In voorliggend Actieplan geluid deel A worden meer algemene aspecten opgenomen en staat vanaf welke plandrempel (beleidsmatige grenswaarde), afhankelijk van het gebiedstype, het college van burgemeester en wethouders maatregelen wenst.
Actieplan deel B: Per gemeente
De Actieplannen geluid deel B zijn gebaseerd op de END-geluidbelastingkaarten en –tabellen van elke gemeente. De in 2022 vastgestelde END-geluidbelastingkaarten en tabellen (met peiljaar 2021) zijn momenteel te raadplegen op de website van de Omgevingsdienst Zuidoost-Brabant via www.odzob.nl/eu-geluidkaarten.
Daarnaast staan in het Actieplan geluid deel B, mogelijke maatregelen waarmee de geluidbelasting kan worden verlaagd.
De beslissing welke maatregelen al dan niet worden uitgevoerd is mede afhankelijk van de technische, economische, logistieke en esthetische haalbaarheid. Op basis van de Richtlijn omgevingslawaai zijn de gemeenten niet verplicht om maatregelen te treffen.
De Actieplannen deel A en B vormen samen het Actieplan Geluid voor de gemeenten.
Het ontwerp-Actieplan zal ter inzage komen bij de gemeenten Best, Eindhoven, Geldrop‑Mierlo, Helmond, Nuenen c.a. en Veldhoven. Hierop kan eenieder zienswijzen indienen bij de desbetreffende gemeente.
Opmerkingen:
Hoewel evenementen en feesten regelmatig kunnen leiden tot geluidoverlast zijn deze activiteiten niet betrokken in dit onderzoek. Door de gemeente kan daarvoor jaarlijks en per evenement ontheffing voor worden verleend in het kader van de Algemene Plaatselijke Verordening (APV).
In het voorliggende rapport wordt geregeld verwezen naar een besluit of onderzoek van bijvoorbeeld het Ministerie van VROM of het Ministerie Infrastructuur en Milieu. Sinds 26 oktober 2017 is dit het Ministerie van Infrastructuur en Waterstaat geworden.
Leeswijzer deel A
De EU-richtlijn wordt vaak aangeduid als “END” (Europian Noise Directive). Het opstellen van de geluidbelastingskaarten en Actieplannen geluid wordt ook wel aangeduid als (geluid-)kartering en de opgestelde geluidbelastingskaarten als END-kaarten. De verschillende tranches worden ook wel karteringsrondes genoemd, dit Actieplan geluid valt onder de 4e tranche of de 4e ronde. Wij hanteren in de agglomeratie Eindhoven ‘Actieplan geluid’, enkele andere partijen gebruiken hiervoor de termen ‘Actieplan omgevingslawaai’ of ‘Programma geluid’.
In hoofdstuk 2 staan de juridische achtergrond en de verplichtingen waaraan het Actieplan moet voldoen. In hoofdstuk 3 wordt de totstandkoming van het Actieplan geluid beschreven en in hoofdstuk 4 het geluidbeleid op grond waarvan de knelpunten en maatregelen per gemeente kunnen worden zijn bepaald. Hoofdstuk 5 bevat algemene maatregelen. In hoofdstuk 6 zijn de conclusies en aanbevelingen opgenomen.
In de bijlagen is achtergrondinformatie opgenomen.
Beheerders van belangrijke infrastructuur en gemeenten binnen agglomeraties stellen iedere 5 jaar een geluidbelastingkaart en een Actieplan op. Deze verplichting komt voort uit de Europese richtlijn omgevingslawaai en is geïmplementeerd in de Nederlandse wetgeving. De richtlijn omgevingslawaai heet “Richtlijn inzake de evaluatie en de beheersing van omgevingslawaai“.
Deze is vastgesteld in 25 juni 2002 door het Europese Parlement en de Raad [1] en in 2004 in de Nederlandse wetgeving geïmplementeerd. Eerst in de Wet geluidhinder, vanaf 2012 in de Wet milieubeheer.
De richtlijn vormt ook de basis voor het (waar nodig) ontwikkelen van EU-maatregelen om het lawaai van de belangrijkste geluidbronnen te verminderen. Hieronder valt het geluid van wegen spoorwegvoertuigen en -infrastructuur, vliegtuigen, materieel voor gebruik buitenshuis en in de industrie en verplaatsbare machines.
De EU-richtlijn wordt vaak aangeduid als “END” (Europian Noise Directive). De verschillende tranches worden ook als (geluid-) kartering aangeduid. De richtlijn omgevingslawaai is gericht op het vermijden, voorkomen of verminderen van schadelijke gevolgen van omgevingslawaai.
Dit wordt bereikt door:
het vaststellen van de blootstelling aan omgevingslawaai met geluidbelastingskaarten volgens voorgeschreven bepalingsmethoden;
het voorlichten van het publiek over het omgevingslawaai en de effecten daarvan;
het aannemen van Actieplannen om omgevingslawaai (waar nodig) te voorkomen en te beperken, en om een goede milieukwaliteit te handhaven.
Sinds de implementatie in 2004 zijn er diverse wijzingen in de regelgeving doorgevoerd.
In dit Actieplan geluid is opgenomen welke wijzigingen in deze 4e tranche van belang zijn.
De geluidbelastingen worden berekend in Lden en Lnight in de eenheid decibel. De Lden is een Europese maat om de geluidbelasting door omgevingslawaai over een heel etmaal uit te drukken (Level day-evening-night) en is een jaargemiddeld geluidniveau. Lnight is een geluidbelasting over alle nachtperioden van een jaar gemiddelde geluidniveau, dat wordt gehanteerd als een indicator voor slaapverstoring.
[1] https://eur-lex.europa.eu/LexUriServ/LexUriServ.do?uri=OJ:L:2002:189:0012:0025:NL:PDF
Algemeen
Bij de implementatie van de Europese Richtlijn is bepaald welke gebieden, wegen, spoorwegen en luchtvaartterreinen in kaart moeten worden gebracht en wie hiervoor verantwoordelijk zijn.
Geluidbronnen, bronbeheerders
Het omgevingslawaai voor het Actieplan geluid betreft vier geluidsoorten die (verplicht) opgenomen worden: wegverkeerslawaai, railverkeerslawaai, industrielawaai en luchtverkeerslawaai.
Dit is in eerste instantie voor de geluidbronnen waarvoor de gemeente bronbeheerder is zoals wegverkeerslawaai en industrielawaai. Dit zijn de bijvoorbeeld gemeentelijke wegen en industrie(terreinen) binnen de gemeentegrenzen.
In deze 4e tranche zijn de aangewezen partijen: 21 agglomeraties, de 12 provincies, het Rijk als beheerder van infrastructuur zoals Rijkswaterstaat (voor Rijkswegen), ProRail (voor hoofdspoorwegen) en luchthaven Schiphol en de overige burgerluchthavens van nationale betekenis met meer dan 50.000 vliegtuigbewegingen (luchtvaart).
Voor Vliegbasis Eindhoven zijn de vliegbewegingen minder dan 50.000 en is het Ministerie van Defensie verantwoordelijk, vanwege het feit dat Vliegbasis Eindhoven een militair vliegveld is, met Eindhoven Airport als civiele medegebruiker.
Dus niet alleen de gemeenten maar ook de bronbeheerders van autosnelwegen, provinciale wegen, landelijke spoorwegen en van de luchthaven Schiphol moeten geluidbelastingskaarten en Actieplannen maken. Mogelijke maatregelen op deze bronnen worden in het Actieplan van deze bronbeheerders (Rijkswaterstaat, provincies waaronder Provincie Noord- Brabant, Schiphol en ProRail) opgenomen.
Het komende Actieplan geluid voor de 4e tranche moet uiterlijk 18 juli 2024 zijn vastgesteld, dat is een jaar later dan de gebruikelijke cyclus van vijf jaar. Dat is geregeld via de Verordening (EU) 2019/1010 van het Europees Parlement en de Raad van 5 juni 2019 [2]. Voor de daaropvolgende tranches zal de periode van 5 jaar worden hervat.
De bestuursorganen stellen de Actieplannen geluid vast: college van burgemeester en wethouders, Gedeputeerde Staten of een minister.
Ook kan een bestuursorgaan vrijwillig (dus onverplicht) een programma of een Actieplan vaststellen.
[2] https://eur-lex.europa.eu/legal-content/NL/TXT/PDF/?uri=CELEX:32019R1010
Voor gemeenten Best, Eindhoven, Geldrop-Mierlo, Helmond, Nuenen c.a. en Veldhoven zijn END‑geluidbelastingskaarten opgesteld en vastgesteld. Ook de geluidbelasting van provinciale en rijkswegen, (hoofd)spoorwegen en van Eindhoven Airport zijn in het kader van de kartering opgenomen.
In 2022 voor deze 4e tranche zijn door de gemeenten de END-geluidbelastingskaarten en tabellen vastgesteld (peiljaar 2021 [3]). Deze kaarten en tabellen zijn in 2022 aan de minister toegezonden via de Centrale Voorziening Geluid Gegevens [4] ook wel afgekort met de cvvg.
Voor de gegevens met betrekking tot vastgestelde kaarten, tabellen voor de gemeenten wordt verwezen naar de volgende locatie: https://odzob.nl/geluidbelastingskaarten, waar per gemeente de gegevens zijn opgenomen. Voor de gemeenten Best, Eindhoven, Geldrop-Mierlo, Helmond Nuenen c.a. en Veldhoven, staat het Actieplan geluid van de 3e tranche daar ook opgenomen.
Aan de hand van de END-geluidbelastingskaarten maakt de gemeente vervolgens plannen om in de daaropvolgende jaren geluidoverlast tegen te gaan. Daarvoor is er een Actieplan Geluid, dat uiterlijk in 2024 wordt geactualiseerd voor de periode 2024-2029. Hierin worden de plannen van de gemeenten voor de aanpak van geluidoverlast de komende jaren vastgelegd.
[3] Het peiljaar conform de richtlijn is 2021. Het Ministerie van Infrastructuur en Waterstaat (IenW) en provincies gaan de verkeersintensiteiten van 2019 hanteren voor het peiljaar 2021. Voor een uniform landelijk beeld heeft de agglomeratie Eindhoven hierbij aangesloten voor de geluidbelastingkaarten. Dit in verband met Corona/ Covid- pandemie waardoor in 2020/2021 mogelijk geen representatief beeld geeft voor de verkeersintensiteiten.
Vanaf 1 januari 2024 is de Omgevingswet [5] in werking getreden. De Europese richtlijn omgevingslawaai is ook opgenomen in de Omgevingswet. Eén van de veranderingen is dat de Europese richtlijn omgevingslawaai onder de Omgevingswet als een programma is aangewezen.
Bij het informatiepunt Leefomgeving, afgekort als IPLO, is veel informatie te vinden. De informatie uit deze paraaf is grotendeels hiervan afkomstig.
Europese richtlijn omgevingslawaai onder de Omgevingswet
De Europese richtlijn omgevingslawaai verplicht lidstaten tot het opstellen van een geluidbelasting-kaart en een Actieplan geluid. Om hieraan te voldoen heeft het Rijk instructieregels opgesteld voor het uitvoeren van deze taak.
Een aantal bestuursorganen stelt een geluidbelastingkaart en Actieplan geluid vast. Dat zijn beheerders van belangrijke infrastructuur (het Rijk en provincies) en gemeenten binnen een aangewezen agglomeratie. Het Rijk wijst de agglomeraties aan die onder deze verplichting vallen via artikel 2.40 van de Omgevingsregeling.
De agglomeratie Eindhoven met de 6 gemeenten is aangewezen en valt onder deze verplichting.
Artikel 2.26 van de Omgevingswet verplicht het Rijk om instructieregels te stellen over het Actieplan geluid. Deze verplichting volgt uit de Europese richtlijn omgevingslawaai. Het Rijk informeert de Europese Commissie op basis van de Actieplannen geluid van de bestuursorganen.
Het doel van het Actieplan blijft vergelijkbaar:
het omgevingslawaai zo nodig te voorkomen en te beperken waar het schadelijke effecten kan hebben voor de gezondheid van de mens.
het handhaven van de milieukwaliteit van het omgevingslawaai als deze goed is.
Op de website van het Informatie Punt LeefOmgeving (IPLO) is ook opgenomen waar het Actieplan aan dient te voldoen en in welke wetgeving dit is opgenomen.
De Actieplannen geluid in deze tranche zullen worden vastgesteld onder de Omgevingswet. Onder de Omgevingswet zijn ten aanzien van geluid diverse wijzigingen doorgevoerd. De eerder opgestelde kaarten en tabellen zijn in 2022 onder de Wet milieubeheer vastgesteld.
Algemeen
In de Europese Richtlijn omgevingslawaai wordt het begrip geluidbelasting als volgt gedefinieerd. De geluidbelasting in de Europese definitie wordt aangeduid als Lden.
De formule voor Lden is:

Met:
Lday: Het A-gewogen gemiddelde geluidniveau over lange termijn, als gedefinieerd is ISO 1996 2:1987, vastgesteld over alle dagperioden van een jaar.
Levening: Het A-gewogen gemiddelde geluidniveau over lange termijn, als gedefinieerd is ISO 1996 2:1987, vastgesteld over alle avondperioden van een jaar.
Lnight: Het A-gewogen gemiddelde geluidniveau over lange termijn, als gedefinieerd is ISO 1996 2:1987, vastgesteld over alle nachtperioden van een jaar.
De dagperiode telt 12 uur (07.00 tot 19.00), de avondperiode 4 uur (19.00-23.00) en de nachtperiode 8 uur (23.00-07.00).
Opmerkingen:
In de Richtlijn is verder bepaald dat de kartering Lden en Lnight worden bepaald ter plaatse van de gevel en op vier meter hoogte, waarbij alleen het invallend geluid wordt meegerekend.
Voor wat betreft industrielawaai is uitgegaan van de veronderstelling Lden = Letmaal op grond van de Richtlijn omgevingslawaai.
Geluidgevoelige bestemmingen en objecten
De geluidbelastingskaarten zijn in 2022 opgesteld op basis van de Wet milieubeheer.
In de Wet milieubeheer artikel 11.1 is opgenomen dat geluidgevoelige objecten (aangewezen gebouwen en geluidgevoelige terreinen) moeten worden gerapporteerd. Deze zijn op de geluidbelastingkaarten opgenomen.
In de Wet milieubeheer zijn geluidgevoelige objecten aangewezen die vanwege de bestemming of het gebruik ervan bijzondere bescherming tegen geluid nodig hebben. Dit is een beperkt aantal typen objecten. Rijkswaterstaat en ProRail hebben een bestand met geluidgevoelige objecten, dat zij gebruiken bij het opstellen van hun geluidbelastingkaarten. Zij hebben dit bestand via Informatiepunt Leefomgeving beschikbaar gesteld aan gemeenten en provincies. Daarmee hanteert elke actor dezelfde uitgangspunten.
De “lagen” voor woningen en geluidgevoelige terreinen komen uit de Basisregistraties Adressen en Gebouwen (BAG). De gegevens in de “laag voor andere geluidgevoelige gebouwen” zijn ontleend aan de informatie over kwetsbare objecten van de risicokaart van het Interprovinciaal Overleg, Ministerie van Binnenlandse Zaken en Koninkrijksrelaties en het Ministerie van Infrastructuur en Waterstaat. Deze kaart bevat, volgens Informatiepunt Leefomgeving, voor deze objecten betere informatie dan de BAG.
Na het opstellen van de geluidbelastingskaarten is per 1 januari 2024 de Omgevingswet in werking getreden. Ook in het Besluit kwaliteit leefomgeving (artikel 3.21 Bkl ) zijn deze gebouwen als geluidgevoelig gebouw aangemerkt. Een geluidgevoelig gebouw is een gebouw met een woonfunctie, onderwijsfunctie, voor kinderopvang met bedden en voor gezondheidszorg met bedden.
Bij de bestaande woningen dient eerst de afweging gemaakt te worden of bronmaatregelen mogelijk zijn. Als dit niet mogelijk is dan dient onderzocht te worden of overdrachtsmaatregelen tot de mogelijkheden behoren. Als bron- en overdracht niet tot de mogelijkheden behoren dan dienen maatregelen aan de ontvanger bekeken te worden.
Op grond van het TNO-rapport “Correctie voor hinderverwachting bij gevelisolatie”, 2007-D-R0010/B is ervan uitgegaan dat in een woning met een hogere geluidisolatie dan gemiddeld, minder geluidhinder optreedt bij de bewoners. Om een hogere geluidisolatie te hebben/krijgen zijn er vier mogelijkheden:
Bij woningen van vòòr 1979 werden geen eisen gesteld aan de geluidisolatie. Als deze woningen langs drukke wegen zijn gesitueerd en op de A-lijst staan, zijn deze of al gesaneerd, of worden ze nog gesaneerd. Saneren betekent dat ze een betere geluidisolatie dan gemiddeld hebben gekregen of nog krijgen;
In 1979 trad de Wet geluidhinder in werking. Dit betekende dat de geluidbelasting op woningen langs drukke wegen moest worden bepaald. Boven een bepaalde waarde was ontheffing nodig en moest de geluidwering van de gevel aan bepaalde eisen voldoen (en is deze beter dan gemiddeld);
In de bestemmingsplannen die na 1982 vastgesteld zijn, is aandacht besteed aan geluid. Om een woning, een ander geluidgevoelig gebouw of een geluidgevoelig terrein als saneringssituatie te kunnen aanmerken, moeten uiteraard zowel het gebouw of terrein als de maatgevende weg of het maatgevende spoor in het peiljaar aanwezig zijn geweest. Daarnaast moeten de weg en de objecten niet geprojecteerd zijn in een bestemmingsplan dat na 1982 is vastgesteld.
Bij relatief nieuwe woningen (na 1986) voldoet de geluidisolatie aan het Bouwbesluit. Deze geluidisolatie is ook weer afhankelijk van de geluidbelasting op de gevels. Woningen met een hoge geluidbelasting hebben hierdoor ook een hogere geluidisolatie dan gemiddeld.
Op basis van het TNO-rapport wordt gesteld dat een gesaneerde woning en een nieuwe woning met een hogere grenswaarde voldoet aan de wettelijke grenswaarden voor de binnenniveaus en geen geluidgehinderden meer opleveren. Voor de woningen die nog op de saneringslijsten (A-, B- of eindmeldingslijst) staan, is er voor het Actieplan van uitgegaan dat deze op termijn ook voldoen aan de wettelijke grenswaarden. De wettelijke verplichting vanuit de Wet geluidhinder om deze woningen te saneren blijft bestaan. Vanaf 2014 verzorgt de uitvoeringsinstantie Bureau Sanering Verkeerslawaai, BSV, namens het Ministerie van Infrastructuur en Waterstaat, de financiering van deze woningen.
Opmerking:
Het uiteindelijke effect van geluidisolatie is afhankelijk van de hoogte van de geluidbelasting op de gevel en de mogelijkheid tot voldoende ventilatie in de woning met gesloten vensters. Indien de vensters vanwege een slechte of onvoldoende ventilatie worden geopend zullen de effecten van de geluidisolatie van de gehele gevel sterk verminderd worden.
De Europese Richtlijn omgevingslawaai is van toepassing op omgevingslawaai waaraan mensen worden blootgesteld. Het toepassingsgebied beperkt zich tot schadelijke en hinderlijke effecten door weg- en railverkeer en luchtvaart van een zekere omvang, alsmede specifieke vastgelegde industriële activiteiten. Om de schadelijke gevolgen van omgevingslawaai te bestrijden, moeten de Actieplannen vooral gericht zijn op plaatsen waar hoge blootstellingniveaus schadelijke effecten kunnen hebben op de gezondheid van de mens.
Om deze schadelijke effecten te bepalen moet een relatie worden gelegd tussen:
In de Regeling geluid milieubeheer (Rgm) is in bijlage 2 een rekenmethode opgenomen voor het berekenen van schadelijke effecten met betrekking tot dit Actieplan. De bijlage 2 bij de Rgm is grotendeels herzien [6]. In deze bijlage 2 zijn voor geluidactieplannen die moeten worden opgesteld in het kader van de richtlijn omgevingslawaai de dosis-effectrelaties vastgelegd tussen de hoeveelheid geluid en de statistische kans op gezondheidseffecten bij mensen die daar aan worden blootgesteld.
NB: Deze dosis-effect relatie is voor wegverkeerslawaai en spoorweglawaai anders omschreven en met andere waarden dan voor de eerdere tranches is gehanteerd. Hierdoor kunnen de resultaten van deze tranche niet vergeleken worden met de eerdere tranches.
Voor de bepaling van deze effecten worden in de 4e tranche de volgende aspecten beschouwd:
Bepaling schadelijke effecten
Voor de bepaling van deze effecten worden de volgende aspecten beschouwd:
A Ischemische hartziekten (IHD)** [7]
B Hoge mate van hinder (HA)
C Hoge mate van slaapverstoring (HSD)
Alleen voor de (geluid-)bron wegverkeer is in de regeling een werkwijze beschreven voor de berekening van het relatieve risico (RR) van ischemische hartziekten (IHD).
Voor de formules voor het bepalen van het aantal ernstig geluidgehinderden (HA), het aantal slaapverstoorden (HSD) ten gevolge van de verschillende geluidbronnen en het relatieve risico op ischemische hartziekten als gevolg van wegverkeer wordt verwezen naar bijlage 2 van de Regeling geluid milieubeheer.
In tabel 1 zijn de gewijzigde dosis-effect relaties opgenomen.
Tabel 1. Dosis-effectrelaties per 100 bewoners uit bijlage 2 van de Regeling Omgevingslawaai
Geluidbelasings-klasse Lden |
Ernstig gehinderden
| Geluidbelasings-klasse Lnight |
Slaapgestoorden
|
55- 60 dB | 13 | 50-55 dB | 5 |
60-65 dB | 18 | 55- 60 dB | 7 |
65-70 dB | 24 | 60-65 dB | 10 |
70-75 dB | 33 | 65-70 dB | 14 |
75 dB of hoger | 43 | 70 of hoger | 18 |
Geluidbelasings-klasse Lden |
Ernstig gehinderden
| Geluidbelasingsklasse Lnight |
Slaapgestoorden
|
55- 60 dB | 14 | 50-55 dB | 8 |
60-65 dB | 21 | 55- 60 dB | 14 |
65-70 dB | 29 | 60-65 dB | 21 |
70-75 dB | 39 | 65-70 dB | 31 |
75 dB of hoger | 50 | 70 of hoger | 42 |
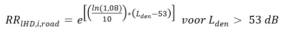
Relatieve toename ischemische hartziekten (IHD) [8]
Voor de berekening van het relatieve risico (RR) wat het schadelijke effect van ischemische hartziekten (IHD) betreft, wordt voor het gebied waarbinnen de incidentie bekend is (i) de volgende dosis/effectrelatie gebruikt:


Lden = 53 dB (waaronder geen sprake is van een verhoogd risico = 100%).
Geluidbelastingklasse | ARHAroad |
55-59 dB | 1,04 |
60-64 dB | 1,08 |
65-69 dB | 1,12 |
70-74 dB | 1,16 |
75 dB en hoger | 1,21 |
[6] ** De “dosis effect-relaties” zijn voor de gezondheidseffecten door geluid in de Europese richtlijn omgevingslawaai gewijzigd voor het bepalen van de gezondheidseffecten via de richtlijn (EU) 2020/367 van de Commissie van 4 maart 2020. De bijlage 2 van de Regeling geluid milieubeheer (eerder met de dosis effect-relaties) is daarop aangepast.
[7] ** Alleen voor de geluidbron wegverkeer is in de regeling een werkwijze beschreven voor de berekening van het relatieve risico (RR) van ischemische hartziekten (IHD).
[8] Regeling geluid milieubeheer
Alle (huidige) informatie over de geluidbelasting van inrichtingen en industrieterreinen is uitgedrukt in de ‘oude’ dosismaat, bijvoorbeeld de etmaalwaarde, Letmaal. Bij de kartering zijn de dosismaten Lden en Lnight (de nachtelijke geluidbelasting), voorgeschreven. Omdat de relatie tussen Letmaal, Lden en Lnight voor industrielawaai niet eenduidig is heeft de Regeling omgevingslawaai hiervoor de omrekeningsformule gegeven: Lden = Letmaal en Lnight = Lden – 10. Deze relatie ligt dus anders dan voor wegverkeer waar de Lden normaal gesproken te berekenen is uit Lday, Levening en Lnight.
De dosis-effectrelaties voor industrielawaai zijn niet opgenomen. Voor industrielawaai en luchtvaartlawaai zijn deze niet (opnieuw) vastgesteld, deze zijn daarom niet in de rapportage opgenomen.
Ke (Kosten eenheid) in plaats van Lden
Voor vliegtuiglawaai is de voor Eindhoven Airport bekende Ke-contour gehanteerd voor de opgestelde kaarten en tabellen. Het Ministerie van Defensie heeft voor de 4e tranche begin 2021 de Ke-contouren voor de agglomeratie Eindhoven beschikbaar gesteld. Vanwege het feit dat Eindhoven Airport een militair vliegveld is met burgermedegebruik is er officieel nog geen geschikte omrekening beschikbaar gesteld van Ke naar Lden.
De dosis-effectrelaties voor vliegverkeer in Ke zijn niet opgenomen. Voor luchtvaartlawaai voor Eindhoven Airport/ vliegbasis Eindhoven zijn deze in Ke of Lden niet vastgesteld, deze zijn daarom niet in de rapportages opgenomen.
In 2018 heeft de WHO (World Health Organization) nieuwe gezondheidskundige richtlijnen voor geluid gepubliceerd: Environmental Noise Guidelines for the European Region (2018). De richtlijn geeft aanbevelingen voor weg-, rail-, vliegverkeer, windturbines en recreatiegeluid en is gebaseerd op de nieuwste wetenschappelijke inzichten (tot en met 2014). De WHO heeft de advieswaarden gebaseerd op ‘evidence reviews’ voor verschillende gezondheidseffecten.
Voor de volgende gezondheidseffecten zijn reviews geschreven [10]:
hinder
effecten op slaap
effecten op hart- en vaatstelsel en metabole systeem
effecten op leerprestaties
effecten op mentale gezondheid
effecten op het ongeboren kind
effecten op gehoor
interventies.
De WHO volgt met de nieuwe richtlijnen een andere aanpak voor de onderbouwing van de advieswaarden dan voorheen. In plaats van een waarde waaronder geen gezondheidseffecten zijn te verwachten, geeft de WHO nu een advieswaarde gebaseerd op een bepaald percentage ernstige hinder en ernstige slaapverstoring, namelijk: 10% ernstige hinder en 3% ernstige slaapverstoring. De WHO maakt hierbij gebruik van de nieuwe blootstelling-effect relaties voor de verschillende bronnen voor hinder en slaapverstoring.
Voor de nachtelijke blootstelling aan vliegverkeer gaat de WHO uit van 11% ernstige slaapverstoring. De WHO geeft aan dat de betrouwbaarheid van het voorspellen van ernstige slaapverstoring bij geluidniveaus onder de 40 dB (decibel) Lnight te laag is om een betrouwbare advieswaarde af te leiden.
Bron geluid | Lden | Lnight |
Wegverkeer | 53 dB | 45 dB |
Railverkeer | 54 dB | 44 dB |
Vliegverkeer | 45 dB | 40 dB |
Reactie:
De richtlijnen van de WHO zijn de waarden voor geluid waarna gestreefd kan worden. In de praktijk zal dat een zeer grote uitdaging zijn om dit, zeker voor de stedelijke wegen waarbij andere opgaven dan geluid ook een rol spelen.
Het algemene advies is dan ook om bij nieuwbouwplannen of renovatie in te steken op geluidluwe gevels en/of geluidluw ventileren.
Opgemerkt wordt dat er binnen de gemeentegrenzen diverse locaties aanwezig zijn die getypeerd kunnen worden als rustig en waar nauwelijks hinder is ten gevolge van de onderzochte geluidsoorten. Tenslotte wordt opgemerkt dat de mogelijke hinder die mensen ervaren niet alleen objectief op basis van de geluidbelasting is vast te stellen maar ook persoonsgebonden (subjectief) is.
Met het Actieplan is het niet mogelijk om alle knelpunten op te lossen. Een Actieplan geluid heeft als doel om geluidbelaste locaties in kaart te brengen en te onderzoeken of maatregelen kunnen worden getroffen om de geluidbelasting te verminderen. Het is echter niet zo dat een Actieplan geluid direct leidt tot het oplossen van knelpunten. De reden hiervoor is dat een Actieplan geluid slechts een inventarisatie en analyse bevat, maar geen concrete maatregelen of budgetten om knelpunten op te lossen. Daarvoor zijn aanvullende stappen nodig, zoals het prioriteren van knelpunten, het ontwerpen van maatregelen en het vrijmaken van financiële middelen.
[9] Bron RIVM
[10] Omdat windturbines en recreatiegeluid buiten de scope van deze GGD (Gemeentelijke Gezondheidsdienst) richtlijn vallen, worden de aanbevelingen van de WHO voor deze bronnen verder niet besproken in de richtlijn.
Algemeen
De Actieplannen geluid in deze tranche zullen worden vastgesteld onder de Omgevingswet welke vanaf 1 januari 2024 in werking is getreden. De eerder opgestelde kaarten en tabellen zijn in 2022 onder de Wet milieubeheer vastgesteld.
De Europese richtlijn omgevingslawaai is ook opgenomen in de Omgevingswet. Artikel 2.26 lid 3 onder i van de Omgevingswet verplicht het Rijk om instructieregels te stellen over het Actieplan geluid. Deze verplichting volgt uit de Europese richtlijn omgevingslawaai. Het Rijk informeert de Europese Commissie op basis van de Actieplannen geluid van de bestuursorganen.
Op de website van het IPLO is ook opgenomen waar het Actieplan aan dient te voldoen en in welke wetgeving dit is opgenomen.
De inhoud van het Actieplan geluid onder de Omgevingswet is samengevat in tabel 4.
Het actieplan geluid bevat in ieder geval: |
In het besluit kwaliteit leefomgeving (Bkl) staan instructieregels over de inhoud van het Actieplan voor: |
Het Actieplan geluid voor de gemeenten binnen de agglomeratie zal dus onder de Omgevingswet vastgesteld worden. Onder de Omgevingswet zijn ten aanzien van geluid diverse wijzigingen doorgevoerd.
Hoe zijn de Actieplannen geluid tot stand gekomen?
Voor de vierde tranche zijn in 2022 net als voor de 1e, 2e en 3e tranche in 2007, 2012 en 2017 geluidkaarten en tabellen opgesteld. Daarnaast moet een Actieplan worden opgesteld. In figuur 1 wordt een overzicht gegeven van de acties uit de vier tranches.

Op de site van IPLO is het volgende stappenplan opgenomen.

Het Actieplan voor de Europese Richtlijn omgevingslawaai geeft een overzicht van maatregelen ten behoeve van de vermindering van omgevingslawaai in de zes gemeenten in agglomeratie Eindhoven. De maatregelen kunnen betrekking hebben op wegverkeer, railverkeer, vliegverkeer en industrielawaai. Hieronder wordt de aanpak van het Actieplan beknopt beschreven.
Met de zes gemeenten binnen de agglomeratie Eindhoven is besloten om gezamenlijk op te trekken voor het Actieplan in de 4e tranche.
Door de onduidelijkheid vanuit de landelijke overheid over de datum van de inwerkingtreding van de Omgevingswet is begin 2023 gestart met de Actieplannen geluid. Ook de noodzakelijke informatie en documentatie zijn in de loop van 2023 en begin 2024 door o.a. IPLO en het Rijksinstituut voor Volksgezondheid en Milieu (RIVM) beschikbaar gesteld.
Bij deze karteringstranche zijn diverse andere uitgangspunten gebruikt dan bij de eerdere karteringstranche. De consequentie is dat een vergelijking tussen 2021 en eerdere jaren niet direct te maken is. Er kan niet direct gezegd worden of een maatregel effecten heeft gehad. Om die reden heeft het RIVM een onderzoek laten uitvoeren naar de mate van het verschil met de eerdere karteringstranches. Het gebruik van een andere rekenmethode leidt tot andere rekenresultaten.
In dit RIVM-onderzoek is opgenomen welke rekenmethoden, rekenvoorschriften als ook peildata voor emissiekengetallen zijn gehanteerd. Een van de gewijzigde uitgangspunten is de Europese rekenmethode CNOSSOS.
Meer informatie is te vinden op de website van IPLO [11].
Doordat de geluidbelastingskaarten op andere uitgangspunten en berekeningsmethoden zijn gebaseerd zijn grote verschillen te zien. Voor gemeenten zijn over het algemeen hogere geluidbelastingen berekend door met name een andere verplichte Europese rekenmethode.
Stap 2: Onderzoek, Evaluatie inventarisatie nieuwe maatregelen
De kaarten en de maatregelen uit het Actieplan van de derde tranche zijn geëvalueerd. Als eerste is het vorige Actieplan van de derde tranche geëvalueerd. Gekeken is welke voorgenomen maatregelen wel en niet zijn uitgevoerd. Daarnaast is gekeken of nog andere maatregelen zijn getroffen die niet in het Actieplan waren opgenomen, maar wel effect hebben op de geluidbelastingen.
Onderzocht wordt of in de afgelopen jaren nieuwe overschrijdingen van de plandrempels zijn ontstaan en of bestaande overschrijdingen nog aanwezig, verminderd of mogelijk opgelost zijn. Middels Hotspots [12] zijn deze per gemeente in beeld gebracht. Voordat nieuwe maatregelen worden benoemd om de overschrijdingen van de plandrempels ongedaan te maken, wordt eerst gekeken in hoeverre bestaande ontwikkelingen of mogelijke maatregelen op andere beleidsterreinen zoals verkeer, invloed hebben op de geluidkwaliteit op de relevante locaties. Bij de inventarisatie van de maatregelen zijn andere disciplines en beleidsvelden betrokken.
[12] Op basis van de Omgevingsregeling (Or, eerder ook wel Aanvullingsregeling geluid (Areg) genoemd)
Het volgende is relevant bij de interpretatie van de berekende geluidbelasting:
In de 3e tranche waren de berekeningen gebaseerd op de Nederlandse rekenmethode SRM2.
Uit de berekeningen basis van o.a. CNOSSOS in de 4e tranche is naar voren gekomen dat de verschillen erg groot zijn door diverse andere uitgangspunten, met name door de rekenmethode.
Naast de andere rekenmethode zijn er ook andere wijzigingen die invloed hebben, de verschillen zijn minder groot, hiervoor wordt verwezen naar Bijlage A.
Met de nieuwe rekenmethode CNOSSOS geldt dat met name voor stedelijk wegverkeer er systematisch hoger wordt gerekend. Voor andere bronsoorten is het beeld divers.
Aanpak wegverkeerslawaai :
De resultaten op basis van Europese rekenmethode CNOSSOS zijn in deel B per gemeente opgenomen. Deze komen overeen met de vastgestelde geluidbelastingskaarten en tabellen.
Alleen voor wegverkeerslawaai: De toename van het aantal gevallen van ischemische hartziekten (IHD) in het etmaal zijn geteld.
Er zijn (extra) berekeningen uitgevoerd met de Nederlandse standaardrekenmethode SRM2. met de data uit 2021 Deze berekeningsresultaten zijn vergeleken met de berekeningsresultaten van de 3e tranche.
In de Omgevingswet is de rekenmethode SRM2 vervangen door de Omgevingsregeling (Or). Tussen de SRM2 en Or bestaan verschillen, maar wel beperkter dan met CNOSSOS. Met de Or zullen ook de ruimtelijke ontwikkelingen binnen de gemeente bekeken worden. Let op: De Or is eerder ook aangeduid als de rekenmethode Areg.
Er zijn aanvullende berekeningen uitgevoerd met de Or. Op basis hiervan zijn de hotspots in beeld gebracht.
Bij de hotspots op basis van Or is gekeken naar de (mogelijke) maatregelen die getroffen kunnen worden.
NB: Voor de geluidbelastingskaarten wegverkeer in een gemeente zijn alle wegen die geluid veroorzaken meegenomen, ook waarvan het Rijk of de provincie bronbeheerder zijn. Voor het Actieplan geluid zal alleen gekeken worden naar de wegen in beheer van de gemeente voor mogelijke maatregelen.
Aanpak hoofdspoorwegen:
In het document van het RIVM is naar de effecten van de implementatie CNOSSOS op geluidkartering en Actieplannen van het railverkeer/spoorverkeer gekeken. De verschillen tussen CNOSSOS met de SRM2 zijn zeer afhankelijk van de locatie. Voor het hoofdspoor is ProRail de bronbeheerder, in hun Actieplan geluid dan wel in eigen programma’s zal hier naar verwachting verder aandacht aan besteed worden. De hoofdspoorwegen in onze regio hebben al een geluidproductie plafond (gpp).
De berekende waarden op basis CNOSSOS worden opgenomen en zal op hoofdlijnen worden bekeken. Op sommige locaties zal het verschil negatief, positief of rond nul bedragen. Er zijn derhalve niet opnieuw berekeningen op basis van de SMR2 of de OR/Areg uitgevoerd.
Industrielawaai:
Dit is in het document van het RIVM niet behandeld.
De berekende waarden op basis CNOSSOS worden opgenomen en zal op hoofdlijnen worden bekeken. Op de kaarten zijn de vastgestelde geluidcontouren van de gezoneerde terreinen opgenomen.
Vlieglawaai:
Dit is in het document van het RIVM niet behandeld.
Stap 3: Beleid en voorgenomen maatregelen
Beleid
Als eerste is gestart met algemeen beleid en dus niet om beschouwingen op het niveau van individuele woningen. Er is een doorkijk tot het volgende Actieplan omschreven met lange termijn mogelijkheden zoals deze in verschillende (beleids-) stukken zijn opgenomen. Binnen de gemeentegrenzen van de agglomeratie liggen geen stilte gebieden.
Voorgenomen maatregelen
Er is per gemeente gekeken welke geluidreducerende maatregelen mogelijk zijn. De knelpunten, die op basis van de plandrempel naar boven zijn gekomen, zijn bekeken. Per knelpunt is bekeken welke maatregel van toepassing zou kunnen zijn. De maatregelen zijn besproken met onder andere de verkeerskundige van elke gemeente. Bij deze gesprekken bleek dat een aantal knelpunten al worden opgelost door op stapel staande verkeersmaatregelen, herinrichting van wegen of onderhoud van wegdekken. Hierbij is ook een overzicht gemaakt van de te bereiken reductie/effect en het aantal woningen dat hiermee een lagere geluidbelasting zal krijgen. Indien mogelijk is voor de komende 5 jaar de termijn en mogelijke financiële informatie opgenomen.
Bij het bepalen van de meest voor de hand liggende maatregelen is een afweging gemaakt van een aantal factoren, zoals:
- Het aantal woningen met een te hoge geluidbelasting;
- De geluidklasse waarin deze woningen zich bevinden;
- De effectiviteit van de maatregel;
- Een kostenindicatie van de maatregel;
- De gewenste uiterlijke kenmerken van een gebied;
- Technische haalbaarheid van een maatregel;
- Eventuele logistieke problemen die een maatregel met zich meebrengt
De maatregelen en kosten die nog niet zijn verwerkt in bijvoorbeeld de verschillende onderhoudsprogramma’s of meerjarenbegroting van de gemeente moeten nog op de politieke agenda komen.
In Actieplan deel B is per gemeente omschreven welke knelpunten er zijn, wat de (mogelijke) maatregelen kunnen zijn, de verwachte planning en de mogelijk de kosten die eind 2023/begin 2024 bekend zijn. Bij de meerjarenbegrotingen zal een afweging moeten worden gemaakt welke maatregelen de gemeenteraad uit wil laten voeren. Als een gemeente een knelpunt wil oplossen en dit is niet mogelijk binnen de reguliere (onderhouds)budgetten of al geplande en begrootte projecten, zal in verband met het noodzakelijke budget hierover een besluit moeten worden genomen door de gemeenteraad. De gemeenteraad kan bij de volgende raadsbegrotingen een duidelijke afweging maken welke maatregelen zij willen toepassen om geluidknelpunten op te lossen in relatie tot de andere problemen die zich in de gemeente voordoen.
Daarnaast hebben gemeenten ook beleid en richtlijnen opgesteld die invloed kunnen hebben op de verkeersafwikkeling binnen een gemeente of in het kader van veiligheid. Ook deze zijn meegenomen in de Actieplan deel B van de gemeente.
Stap 4: Opstellen ontwerp Actieplan geluid
In het ontwerp Actieplan wordt het Actieplan deel A (algemeen) en deel B (per gemeente) opgesteld. Dit wordt aan de gemeente voorgelegd en kan nog verder worden aangevuld.
- beschrijving van de gemeente en de op de geluidbelastingkaart aangegeven wegen en spoorwegen, industrie en vliegverkeer;
- beschrijving van het wettelijk kader voor de geluidhinderbestrijding;
- samenvatting van de belangrijkste gegevens uit de geluidbelastingkaarten voor de vorige tranche;
- overzicht aantal inwoners dat door blootstelling aan lawaai wordt gehinderd of in hun slaap wordt gestoord;
- overzicht van de maatregelen uit de vorige tranche en evaluatie van de invloed op geluidknelpunten van deze maatregelen;
- overzicht belangrijkste infrastructurele werken in de eerstvolgende 5 jaar;
- overzicht van de bekende, bestaande en in voorbereiding zijnde bron- en overdrachtmaatregelen;
- benodigde financiële informatie over de voorgenomen maatregelen, als dit bekend is;
- beschrijving over het verloop van het inspraakproces.
Bij het opstellen van het ontwerp-Actieplan wordt niet alleen naar de berekende waarden gekeken, ook worden subjectieve factoren (zoals voorspelbaarheid en beïnvloedbaarheid) betrokken bij de beoordeling van het geluid.
In het definitieve Actieplan worden de inhoudelijke reacties op de zienswijzen gegeven en de definitieve keuze van maatregelen en fasering.
Stap 5: Ter inzage leggen ontwerp Actieplan
Het college zal een besluit nemen over het ontwerp Actieplan. De gemeenteraad wordt geïnformeerd.
Bij het besluit over het ontwerpActieplan en de terinzagelegging, is invulling gegeven aan de motiveringsplicht. De gemeente legt het ontwerpActieplan 6 weken ter inzage. Dit gebeurt via de Landelijke voorziening bekendmaken en beschikbaar stellen (LVBB). Daarnaast zullen de Actieplannen tevens digitaal te raadplegen zijn.
Iedereen, ongeacht of men belanghebbende is, kan zienswijzen naar voren brengen. Dit kan schriftelijk of mondeling.
Vervolgens zullen eventuele zienswijzen afgewogen worden en mogelijk verwerkt worden in het Actieplan.
Stap 6: Vaststellen voor 18 juli 2024
De gemeenten stellen het Actieplan voor 18 juli 2024 vast. De eventuele reacties op de zienswijzen zijn in het Actieplan verwerkt.
Binnen 1 maand na de vaststelling van het Actieplan geven de burgemeester en wethouders kennis van deze vaststelling op de wijze die is voorgeschreven.
Stap 7: Verstrekken via Centrale Voorziening Geluidgegevens (cvvg)
Het Actieplan geluid dient via de cvvg aangeboden te worden middels e-Herkenning.
Nazorg: Na het traject zal een evaluatie worden uitgevoerd.
De stappen 5, 6 en 7 zullen na het ontwerpactieplan nog doorlopen dienen te worden.
Vanaf de inwerkingtreding van de start Europese richtlijn omgevingslawaai zijn diverse partijen aangewezen die verplicht uitvoering geven door een programma met geluidbelastingskaarten, tabellen en Actieplannen geluid op te stellen.
De 1e tranche betrof de periode 2006-2007 en de 2e tranche: 2011-2012 en de 3e tranche 2016-2017.
Voor de gegevens met betrekking tot de vorige 3e tranche eerder vastgestelde geluidbelastingskaarten, tabellen en Actieplan geluid voor de gemeenten wordt verwezen naar de volgende locatie: https://odzob.nl/geluidbelastingskaarten, waar per gemeente de gegevens zijn opgenomen.
De verschillen tussen 2021 en 2016 zijn over het algemeen divers:
Verschil in aantal inwoners en het aantal woningen in een gemeente.
Gebruikte data voor de modellering, over het algemeen zijn deze in 2021 nauwkeuriger en uitgebreider.
Het wegennet. Wijziging van de emissies: andere intensiteiten, wegdekken en snelheden en nieuwe wegen.
Wijziging van de geluidoverdracht: verandering in terrein, of de bouw van geluidschermen.
In bijlage 3 staan uitgangspunten met de Europese rekenmethode CNOSSOS toegelicht.
Door de methode rekenmethode CNOSSOS en een andere telmethode en dosis-effectrelatie.
Uit diverse vergelijkingen tussen CNOSSOS en SRM2 is gebleken dat tussen deze 2 rekenmethoden verschillen in geluidbelastingen kunnen optreden in de range tussen -4 dB tot +5 dB, voornamelijk veroorzaakt door de wijzigingen in de berekening van de bodemdemping. Dit kan daarmee ook leiden tot grote verschillen in het aantal blootgestelden. Met name binnenstedelijk worden hogere geluidbelastingen berekend met CNOSSOS.
De geluidbelastingkaarten van de 3e en 4e tranche zijn vastgesteld onder de Wet milieubeheer. Ook de actieplannen geluid/ programma‘s geluid van de 3e tranche zijn in 2018 opgesteld en vastgesteld onder de Wet milieubeheer.
Het opstellen van de actieplannen geluid zijn in 2023 gestart onder de Wet milieubeheer, met ingang van 1 januari 2024 is de Omgevingswet in werking getreden. De vaststelling vindt plaats onder de regels van de Omgevingswet.
Algemeen
Op grond van de vastgestelde geluidkaarten en subjectieve waarnemingen zijn knelpunten en maatregelen geformuleerd. Hierbij is een afweging gemaakt op grond van het geluidbeleid dat al eerder is geformuleerd op landelijk, provinciaal, regionaal en gemeentelijk niveau, maar ook op grond van wettelijke verplichtingen. In de subparagrafen 1.4.1, 1.4.2 en 1.4.3 wordt ingegaan op de bestaande beleidskaders die er voor het onderwerp geluid zijn.
Landelijk wettelijk kader
Met betrekking tot geluidbeleid zijn in het verleden het Nationaal Milieubeleidplan 4, de Nota Mobiliteit en de Nota Ruimte en natuurlijk de Wet geluidhinder en Wet milieubeheer, van belang geweest.
In de Nota Ruimte en in de nadere uitwerking daarvan voor verkeer in de Nota Mobiliteit (NoMO), is opgenomen dat het Rijk zich inspant om overschrijding van de grenswaarden in het bebouwd gebied als gevolg van de rijksinfrastructuur te verminderen. Ten aanzien van geluidhinder wil het Rijk de grote knelpunten aanpakken bij weg en spoor.
Voor de Rijks infrastructuur hebben Rijkswaterstaat en ProRail de aanpak van geluidoverlast woningen in de Meerjarenprogramma’s Geluidsanering (MJPG) opgenomen. In de Nota Mobiliteit is het instrument geluidproductieplafond (gpp) geïntroduceerd, waarmee nieuwe handhavingsgaten kunnen worden voorkomen. De hoogte van de geluidproductieplafonds worden per weg vastgelegd en deze waarden mogen niet worden overschreden. Gebeurt dit toch, dan kan handhavend worden opgetreden. De bronbeheerder moet vervolgens (bron)maatregelen treffen om overschrijding te voorkomen.
De Nationale Omgevingsvisie [13], NOVI, is opgesteld waarin het Rijk een langetermijnvisie geeft op de toekomstige ontwikkeling van de leefomgeving in Nederland. De NOVI stelt een nieuwe aanpak voor: integraal, samen met andere overheden en maatschappelijke organisaties, en met meer regie vanuit het Rijk. Met steeds een zorgvuldige afweging van belangen werken we aan onze prioriteiten: ruimte voor klimaatadaptatie en energietransitie, een duurzaam en (circulair) economisch groeipotentieel, sterke en gezonde steden en regio’s en een toekomstbestendige ontwikkeling van het landelijk gebied. Er wordt aan nieuwe Nota Ruimte gewerkt.
[13] Nationale Omgevingsvisie (NOVI) | De Nationale Omgevingsvisie
Het wettelijk kader voor geluid wordt nu bepaald door de Omgevingswet, daarin zijn veel van de eerdere wetten opgenomen, soms met aanpassingen.
Met de Omgevingswet en de aanvullingswet geluid zal de provincie het systeem van geluidproductieplafonds (gpp) gebruiken voor provinciale wegen. De provincie moet de geluidproductieplafonds vaststellen voor 2026. Zolang deze niet zijn vastgesteld, blijft de Wet geluidhinder van toepassing.
Met het invoeren van de Omgevingswet is de basisgeluidemissie (bge) geïntroduceerd. De basisgeluidemissie is het referentieniveau van het geluid door lokale (spoor)wegen. Het is een instrument om de geluidproductie van lokale bronnen te monitoren. Daarnaast wordt het ook gebruikt om het geluidaandachtsgebied te bepalen en de saneringsvoorraad te bepalen. Op het bepalen van de bge zijn regels uit de Omgevingsregeling van toepassing (artikel 3.27 lid 5 Bkl). Het bevoegd gezag mag bepalen over welk jaar, zolang dat uiterlijk 2026 is.
Voor de invulling van de bge in het kader van de Omgevingswet hebben de bronbeheerders meerdere jaren om het referentieniveau (nul-situatie) van het geluid door lokale (spoor)wegen te bepalen. De gemeente als bevoegd gezag legt de basisgeluidemissie vast in het geluidregister. Na vastleggen monitort het bevoegd gezag de ontwikkeling van het geluid. Bij een toename van 1,5 dB van de geluidemissie ten opzichte van de bge overweegt de gemeente of ze maatregelen moet nemen.
Voor dit Actieplan geluid is dit nog niet aan de orde. Zolang de bge niet is vastgesteld, blijft de Wet geluidhinder van toepassing.
De informatie voor de Brabantse Omgevingsvisie is te vinden op de website van de provincie
De Brabantse Omgevingsvisie is een samenhangende visie op de fysieke leefomgeving. De Omgevingsvisie bevat de belangrijkste ambities voor de fysieke leefomgeving voor de komende jaren. Dat gaat om ambities op het gebied van de energietransitie, een klimaatproof Brabant, Brabant als slimme netwerkstad en een concurrerende, duurzame economie. De Omgevingsvisie geeft ook aan op welke nieuwe manieren de provincie met betrokkenen wil samenwerken aan omgevingsvraagstukken en welke waarden daarbij centraal staan.
Stiltegebieden in Noord-Brabant en de agglomeratie Eindhoven
Binnen de agglomeratie Eindhoven zijn geen stilte gebieden [14] aangewezen
[14] Na onderzoek en in overleg met de gemeenten heeft de provincie 31 stiltegebieden geselecteerd. Deze gebieden zijn opgenomen in de Omgevingsverordening en ook te bekijken via de viewer Stiltegebieden op de website
Samen voor een duurzaam bereikbaar Zuidoost-Brabant. Dat is de kern van het Bereikbaarheidsakkoord Zuidoost-Brabant. Eind 2018 is deze samenwerkingsovereenkomst van start gegaan.
De regio zet in op slimme mobiliteit en co-modaliteit (het gebruik van verschillende vervoersmiddelen). Op de website [15] van smartwayz is meer informatie terug te vinden. Alle belangrijkste mijlpalen van SmartwayZ.NL onderverdeeld in 4 hoofdthema's: slim reisgedrag, slimme logistiek, slimme verkeersdiensten en slimme innovaties & ontwikkelingen [16].
In deel B zijn de projecten voor de gemeente opgenomen die invloed hebben op geluid.
[15] https://www.smartwayz.nl/nl/infrastructuur/bereikbaarheidsakkoord-zuidoost-brabant/
[16] https://www.smartwayz.nl/nl/smartwayznl-resultaten/resultaten/
Samenwerking is de sleutel tot het succes van de regio. Samen komen we verder. De 21 regiogemeenten hebben daarom hun krachten gebundeld in de Metropoolregio Eindhoven.
EEN STERKE REGIO
De ambitie: een sterke regio met behoud van het kenmerkende innovatieve Brainportprofiel en een stabiele sociale basis en vitale leefomgeving voor al onze inwoners.
De grote achterliggende opgave is het verbinden van de duurzame verstedelijking en de opgaven voor een vitaal landelijk gebied in onze regio.
De twee ontwikkellijnen daarin zijn:
Duurzame schaalsprong Brainport: we werken met extra aandacht en inzet aan oplossingen op het gebied van verstedelijking en mobiliteit.
Nieuwe balans in het landelijk gebied: we versterken de ruimtelijke en ecologische kwaliteiten in het landelijk gebied en de verbinding tussen landelijk en stedelijk gebied.
Brede welvaart is het kompas in de MRE-opgaven.
Om de regionale ambitie te realiseren, werkt de MRE ze aan deze 5 programma's: Economie, Mobiliteit, energietransitie, landelijk gebied en ruimte en wonen.
Zie voor meer informatie de website van Metropoolregio Eindhoven.
In het Actieplan deel B wordt per gemeente de opgaven verder meegenomen.
Algemeen
Het mobiliteitsprogramma SmartwayZ.NL houdt zich bezig met de vraagstukken verstedelijking en bereikbaarheid in verschillende infrastructurele opgaven in Noord-Brabant en Limburg. Deze liggen op de corridor Breda-Venlo (A58, A2, A67), de A2 Weert-Eindhoven, de N279 Veghel-Asten en het gebied Zuidoost-Brabant. De aanpak varieert van smart mobility-oplossingen tot het verbreden van snelwegen en het aanpakken van vervoersknooppunten. Alles om de bereikbaarheid en doorstroming te verbeteren [17].
Smart Mobility
In Zuid-Nederland bouwen ze het mobiliteitssysteem van de toekomst. Daarin staan de reizigers en vervoerders centraal. De mobiliteitsoplossingen die we ontwikkelen, maken het systeem slimmer, flexibeler, duurzamer en veiliger. En dan ook nog eens betaalbaar. Op de website staan projecten opgenomen [18].
Net als voorgaande jaren wordt in de regio Zuidoost-Brabant gewerkt aan de geluidsanering van bestaande woningen waar overlast wordt ondervonden van wegverkeerslawaai. De betreffende woningen zijn opgenomen op de zogeheten saneringslijsten A-lijst, B-lijst en eindmelding. Bij de geluidsaneringsprojecten worden, volgens een regionale prioriteitenlijst gevelmaatregelen aan woningen getroffen om zodoende het geluidniveau in de woningen terug te dringen. Een prioriteitenlijst is omdat de subsidie voor de maatregelen maar beperkt beschikbaar wordt gesteld door het rijk.
De Brabant Brede Model Aanpak (BBMA) is sinds 2015 de strategie voor de bouw en beheer van het provinciale verkeersmodel. De BBMA is een samenwerking tussen de provincie en gemeenten.
In de BBMA zijn regionale verkeersgegevens ondergebracht. Met de BBMA kan de geluidbelasting, veroorzaakt door het verkeer, in beeld worden gebracht. Deze gegevens worden jaarlijks geactualiseerd. Veel gemeenten gebruiken de BBMA als informatiebron bij planvorming. Daarnaast worden de gegevens gebruikt voor bijvoorbeeld het produceren van kaarten met daarop geluidcontouren.
Algemeen
Op grond van de Richtlijn omgevingslawaai moet een plandrempel worden vastgesteld. De hoogte van deze plandrempel kunnen de gemeenten, net als in de vorige tranche, zelf bepalen. In overleg met de agglomeratiegemeenten is ervoor gekozen om dezelfde plandrempels aan te houden als in de wetgeving zijn opgenomen, nu is dit de Omgevingswet. In de vorige tranche is gebiedsgericht geluidbeleid voor de bestaande situaties geformuleerd (zie tabel 6 onder 4.8.2).Het gebiedsgericht geluidbeleid voor de bestaande bebouwing is overgenomen in deze tranche en Actieplan.
Doelstelling
De hoofddoelstelling van het gebiedsgerichte geluidbeleid is (net als in eerste, tweede en derde tranche):
GELUID WAAR HET HOORT.
In principe wordt ervan uitgegaan dat geluid op de juiste plaats minder tot weinig overlast zal opleveren. In sommige gebieden wordt meer geluid geaccepteerd. De geluidbelasting op de gevel wordt getoetst aan de plandrempel.
Er zijn echter uitzonderingen:
Woningen die met de tuin naar de weg gericht liggen hebben een lage geluidbelasting , maar de hinder in de tuin kan groot zijn.
Klinkerstraten, waar weinig auto's doorheen rijden daar zal de geluidbelasting hoog zijn, maar is de hinderlijkheid over het algemeen laag.
Snelwegen geven relatief lage geluidbelastingen, maar door de contstante aanwezigheid van het geluid, kan de hinderlijkheid groot zijn.
Voor plaatsen waar het geluidniveau boven deze plandrempel uitkomt of de plandrempel benadert, is vervolgens gekeken of maatregelen mogelijk zijn. Of uiteindelijk actie zal worden ondernomen, is afhankelijk van de technische, logistieke, esthetische en economische haalbaarheid. Daarnaast speelt de politiek een belangrijke rol bij de afwegingen.
Algemeen
Zoals gezegd wordt voor elk gebiedstype een plandrempel vastgesteld (zie tabel 6 onder 4.8.2). Deze plandrempel geeft als beleidsuitgangspunt de ambitie van de gemeente aan; boven welk niveau wil men maatregelen gaan treffen. Van de plandrempel wordt, daar waar de doelmatigheid of kosteneffectiviteit in het geding komt, gemotiveerd afgeweken.
Met de plandrempel werd eerder aangesloten bij de maximale ontheffingswaarden uit de Wet geluidhinder, de Wet milieubeer en de Luchtvaartwet. Sinds 1979 is in Nederland de Wet geluidhinder van kracht en vanaf 1986 moeten bestaande en vanaf 1982 nieuwe situaties aan geluidnormen voldoen. In de gebieden die niet aan de plandrempel voldoen, wordt inzichtelijk gemaakt hoe de milieukwaliteit verbetert of kan verbeteren door maatregelen die aansluiten bij ruimtelijke ontwikkelingen en andere beleidsvelden.
De gemeenten dienen plandrempels op te stellen voor verschillende geluidbronnen. Een plandrempel, zijnde een geluidbelasting Lden en geluidbelasting Lnight op geluidgevoelige gebouwen (artikel 4.22, lid 1, Besluit kwaliteit leefomgeving (Bkl) ) worden hier opgenomen.
Geluidbronnen
De instructieregels uit afdeling 3.5 van het Besluit kwaliteit leefomgeving (Bkl) zijn van toepassing op de beheersing van geluid door een weg, spoorweg of industrieterrein (artikel 3.18 lid 1 Bkl). De wetgever maakt bij deze bronnen onderscheid tussen beheersen met een geluidproductieplafond als omgevingswaarde (gpp) en beheersen zonder een gpp.
Geluidbronnen met een geluidproductieplafond (gpp) als omgevingswaarde zijn:
wegen in beheer bij het Rijk (artikel 2.15 lid 3a, Omgevingswet)
hoofdspoorwegen (artikel 2.15 lid 3b, Omgevingswet)
wegen in beheer van de provincie (artikel 2.13a lid 1a, Omgevingswet)
aangewezen lokale spoorwegen (artikel 2.13a lid 1b, Omgevingswet en de provinciale omgevingsverordening)
industrieterreinen met aangewezen activiteiten (artikel 2.11a en 2.12a Omgevingswet)
Het gaat om wegen en hoofdspoorwegen in beheer van het Rijk die zijn aangewezen in de Omgevingsregeling (artikel 2.29a en 2.30a). De provincie wijst provinciale wegen met meer dan 1.000 motorvoertuigen per etmaal aan in haar omgevingsverordening (artikel 7.10a Bkl).
Lokale (spoor)wegen zonder een gpp zijn (artikel 3.26 Bkl):
gemeentewegen en waterschapswegen met een verkeersintensiteit van ten minste 2.500 [19] motorvoertuigen per etmaal
lokale spoorwegen
Noot:
Van de (gemeente)wegen waar de intensiteiten van beschikbaar zijn in de opgestelde END‑ geluidbelastingskaarten meegenomen, mogelijk dus ook met intensiteiten lager dan 1.000 motorvoertuigen per etmaal.
Gewijzigde normen en terminologie voor geluid onder de Omgevingswet
In de vorige Actieplannen is uitgegaan van eisen die gesteld werden onder de Wet geluidhinder, welke geldig was tot en met 31‑12‑2023. Ook de terminologie is anders:
Standaardwaarde (voorheen: voorkeurswaarde): een geaccepteerd geluidniveau waarvan gemotiveerd kan worden afgeweken.
Grenswaarde (voorheen: maximale ontheffingswaarde): een grens waarbij alleen bij uitzondering en met geluidbeperkende maatregelen (nieuwe) geluidgevoelige gebouwen kunnen worden toegestaan.
In het Bkl wordt niet meer gesproken van de eenheid dB, maar van de eenheid Lden. Inhoudelijk verandert er niks: dB=Lden.
[19] In Artikel 3.26 van het Besluit kwaliteit leefomgeving is nog 1000 mvt/etm opgenomen. Dit wordt 2.500 mvt/etm, hier dient nog een koninklijk besluit overgenomen te worden.
Waarden voor geluid onder de Omgevingwet
Voor het Actieplan geluid wordt door de gemeenten aangesloten bij de wettelijke standaardwaarden en grenswaarden voor geluid op een geluidgevoelig gebouw. Deze waarden voor geluid zijn afkomstig en overgenomen van artikel 3.34 en 3.35 van het Bkl. In tabel 5 zijn de waarden opgenomen.
Geluidbronsoort | Standaardwaarde (dB)O.b.v. Bkl tabel 3.34 | Grenswaarde (dB) O.b.v. Bkl tabel 3.35 | Opmerking |
Provinciale wegen, Rijkswegen | 50 Lden | 65 Lden | 1, 4 |
Gemeentewegen en Waterschapswegen | 53 Lden | 70 Lden | 1, 2 |
Lokale spoorwegen (3) en Hoofdspoorwegen | 55 Lden | 70 Lden | 1, 4 |
Industrieterreinen
| 50 Lden 40 Lden | 60 Lden 50 Lden | 1, 2, 4
|
Opmerkingen:
1. De standaardwaarden en de grenswaarden voor gevels van geluidgevoelige gebouwen in geluidaandachtsgebieden zijn bijna allemaal verhoogd ten opzichte van Wet geluidhinder voor bestaande situaties, dit heeft o.a. te maken met het komen te vervallen conform aftrek artikel 110g Wet geluidhinder.
2. De gemeente is het bevoegd gezag uitsluitend voor gemeentewegen en de meeste (gezoneerde) industrieterreinen. Voor de overige geluidbronsoorten zijn andere partijen het bevoegd gezag, bijvoorbeeld RWS, ProRail en de provincie. Voor Eindhoven Airport is dit het Ministerie van Defensie.
3. Binnen de agglomeratie Eindhoven zijn er geen lokale spoorwegen waarmee rekening gehouden dient te worden. Voor de hoofdspoorwegen in de agglomeratie gelden de vastgestelde gpp’s.
4. Voor het toelaten van nieuwe geluidgevoelige gebouwen (in een geluidaansdachtsgebied) gelden andere waarden en eisen voor het beoordelen van geluid. Deze standaardwaarden en grenswaarden zijn in tabel 5.78 t en 5.78u van het besluit kwaliteit leefomgeving opgenomen en over deels strenger.
De waarden voor de plandrempels per gebiedstype en geluidbron voor bestaande situaties (geen gpp zijnde) voor gemeenten zijn opgenomen in de onderstaande tabel (6). Dit is op basis van de Omgevingswet en de rekenregels uit de Omgevingsregeling.
Let op voor het toelaten van nieuwe geluidgevoelige gebouwen zijn enkele grenswaarden aangescherpt. Dat is hier niet aan de orde omdat in het Actieplan uitgegaan wordt van bestaande situaties.
De plandrempels uit het vorige Actieplan zijn in de tabel 6 in blauw [Lden] opgenomen op basis van de Wet geluidhinder en zijn inclusief aftrek Artikel 110g Wet geluidhinder. Deze kunnen niet zondermeer met elkaar vergeleken worden door andere uitgangspunten.
Ook nu kunnen gemeenten meer ambitie hebben en streefwaarden hanteren die lager zijn dan de opgenomen grenswaarden voor geluid.
WHO advieswaarden: In dit Actieplan worden de WHO advieswaarden voor omgevingsgeluid niet overgenomen als doel, maar kunnen als streefwaarden worden gesteld.
* De wettelijk vergunde waarden zijn maatgevend. Dit zullen veelal nog LAeq in dB(A) zijn.
** Met betrekking tot de plandrempel voor wegverkeerslawaai: deze is voor de eerste lijnsbebouwing 70 dB (in tabellen aangegeven als eb) te noemen. De overige genoemde waarden van 65 of 60 dB is voor de andere woningen in de buurt (tweedelijnsbebouwing en verder weg gelegen) en gaat over het gebiedstype waar de woningen zijn geleden. Dit zal niet als plandrempel worden omschreven maar als de streefwaarde. Het blijkt dat deze waarden voor wegverkeerslawaai niet of beperkt overschreden wordt voor de woningen zijnde niet eerste lijnsbebouwing.
*** Artikel 110g Wet geluidhinder is komen te vervallen met de inwerkingtreding van de Omgevingswet. Artikel 110g Wgh voorzag in een aftrek op de berekende geluidsbelasting, waardoor de werkelijke geluidbelasting hoger was dan de wettelijke grenswaarden. Deze aftrek was bedoeld als tijdelijke maatregel, maar is uiteindelijk jarenlang blijven bestaan. Met de komst van de Omgevingswet en het nieuwe normenstelsel in het Besluit kwaliteit leefomgeving is besloten om deze aftrek te laten vervallen. Hiermee wordt voorkomen dat de werkelijke geluidsbelasting hoger is dan de wettelijke grenswaarden. De grenswaarden worden nu direct toegepast zonder aftrek. Verder was in het Reken- en meetvoorschrift geluid 2012 volgens artikel 3.5 voor wegverkeer een correctie opgenomen vanwege de verwachting dat het geluid van banden in de toekomst zou verminderen. Met de omgevingswet is de keuze gemaakt om de aftrek te laten vervallen en de emissiekentallen op basis van de recente metingen te actualiseren.
(1) Een aantal rijkswegen, hoofdspoorwegen en provinciale wegen vallen onder de systematiek van de geluidproductieplafonds (gpp).
(2) In de regio zijn geen lokale spoorwegen en valt het railverkeer onder de gpp systematiek.
In de Actieplannen deel B is voor de afzonderlijke gemeenten de plandrempel gebruikt om de knelpunten te bepalen. De gemeenten hebben aangegeven dat ze aansluiten bij plandrempel/ grenswaarde voor geluid onder de Omgevingswet. Enkele gemeenten hebben aangegeven om zoveel mogelijk beleidsneutraal te willen overgaan.
In principe is langs vrijwel alle doorgaande wegen op de voorgevels van woningen de plandrempel voor de eerstelijns bebouwing aangehouden. Voor wegverkeerslawaai is dit 70 dB. In gebieden waar duidelijk geen eerstelijnsbebouwing aanwezig is, of woningen met de tuinen naar de weg zijn gericht , kan de plandrempel voor het betreffende gebiedstype de streefwaarde worden aangehouden.
Het lokaal beleid van een gemeente wordt in Actieplan deel B verder uitgewerkt. Het betreft een uitwerking van het te voeren beleid voor de ontwikkeling, het gebruik, het beheer, de bescherming of het behoud van de fysieke leefomgeving (artikel 3.5, Omgevingswet).
In actieplan deel B worden de mogelijke algemene maatregelen om aan een of meer andere doelstellingen voor de fysieke leefomgeving te bereiken (artikel 3.5, Omgevingswet) opgenomen.
Actieplan deel B bevat de maatregelen die worden overwogen of in uitvoering zijn om overschrijdingen van de plandrempel te voorkomen of ongedaan te maken (artikel 4.22, lid 3, Bkl) benoemd.
Een Actieplan geluid heeft als doel om geluidbelaste locaties in kaart te brengen en te onderzoeken of maatregelen kunnen worden getroffen om de geluidbelasting te verminderen. Het is echter niet zo dat een Actieplan geluid direct leidt tot het oplossen van knelpunten. De reden hiervoor is dat een Actieplan geluid slechts een inventarisatie en analyse bevat, maar geen concrete maatregelen of budgetten om knelpunten op te lossen, ook redenen van stedenbouwkundige, verkeerstechnische of financiële aard kunnen hieraan ten grondslag liggen. Daarvoor zijn aanvullende stappen nodig, zoals het prioriteren van knelpunten, het ontwerpen van maatregelen en het vrijmaken van financiële middelen. Actieplan Daarnaast kunnen maatregelen nodig zijn die buiten de invloedsfeer van de gemeenten vallen, zeker bij vliegverkeer, railverkeer en rijkswegen.
Het bestuursorgaan stelt een actieplan geluid vast. Voor gemeenten binnen de agglomeratie is dit in artikel 3.6 van de Omgevingswet opgenomen. Voor het actualiseren, opstellen en vaststellen van het actieplan geluid is een stappenplan, die is in 3.3 onder stappen 1 t/m 7 beschreven.
Het Actieplan geluid wordt elke 5 jaar geactualiseerd (artikel 10.17, Omgevingsbesluit). Gemeenten en provincies sturen het Ministerie van Infrastructuur en Waterstaat de benodigde gegevens over een Actieplan geluid (artikel 10.9, Omgevingsbesluit).
Algemeen
In dit hoofdstuk wordt een overzicht gegeven van mogelijke maatregelen om geluid te reduceren en de eventuele kosten van deze maatregelen. De maatregelen zijn van algemene aard en zijn dus niet specifiek bedoeld voor een gebied of gemeente. In principe zijn ze overal toepasbaar.
In de Actieplannen deel B is per gemeente en per knelpunt gekeken, welke maatregelen het beste kunnen worden toegepast. Bij die afweging is rekening gehouden met de kosten, technische uitvoerbaarheid, verkeersveiligheid en logistieke en esthetische haalbaarheid.
Bronmaatregelen: maatregelen aan voertuigen of wegdek of verkeersmaatregelen
Onder bronmaatregelen vallen maatregelen die kunnen worden getroffen aan de bron, het verkeer zelf. Onderdelen die bij wegverkeerslawaai geluid produceren zijn: rolweerstand (bandengeluid), verbranding (motoren en uitlaten) en luchtweerstand (windgeluid). Afhankelijk van de snelheid is één van deze deelbronnen maatgevend. Door maatregelen aan het wegdek wordt het bandengeluid gereduceerd. Aan de banden, motoren en uitlaten van auto’s kunnen gemeenten niet veel doen. Met verkeersmaatregelen kan het aantal auto’s of de snelheid van de auto’s worden gereduceerd, waardoor minder geluid wordt geproduceerd. In dit hoofdstuk wordt uitgebreid ingegaan op mogelijke verkeersmaatregelen.
Stille wegdekken
In het Actieplan wordt gesproken van stille wegdekken als er een vermindering van het geluid is ten opzichte van een wegdektype wat er aanwezig was of is. Veelal wordt in de meeste gevallen uitgegaan van een verbetering ten opzichte van een normaal of standaard referentiewegdek, Dicht Asfalt Beton (DAB) of ook wel aangeduid als referentiewegdek. Voor de bestaande situaties met klinkers kan gekozen worden om klinkers in een ander verband te leggen zoals keperverband, de toepassing van stille klinkers of vervangen met asfalt.
De Omgevingswet is op 1 januari 2024 in werking getreden. Ook na de invoering zijn op sommige procedures de Wet milieubeheer (Wm) en de Wet geluidhinder nog van toepassing. En daarmee het Reken- en meetvoorschrift geluid 2012. Het overgangsrecht geluid regelt voor welke procedures dit geldt. Meer informatie daarover vindt u op de IPLO-website.
Onder de Omgevingswet is de stille banden aftrek (art. 110g Wet geluidhinder en art. 3.5 RMG2012) komen te vervallen. Dit kan alleen wel -2 dB of +3 dB verschil geven in berekeningen van geluidbelastingen tussen het RMG2012 en de nieuwe rekenmethode in de Omgevingsregeling.
Verder zijn er onder de rekenmethode onder de Omgevingswet 17 standaard wegdekcategorieën. Ieder wegdek zal onder één van deze 17 wegdekken geschaard moeten worden.
Stille wegdektypes
De kosten zijn een indicatie voor situaties waar sprake is van (groot) onderhoud van een weg. Daarom is voor de bepaling van de kosten als uitgangspunt genomen de werkwijze waarbij de bovenlaag van het wegdek afgefreesd wordt en een nieuwe (geluidreducerende) bovenlaag wordt aangebracht. Om dezelfde reden is in de kostenberekeningen ook geen rekening gehouden met indirecte kosten zoals de kosten van wegafzettingen, omleidingroutes, etc.
Bij toepassing van dunne deklagen kan het nodig zijn aanvullende, constructieve voorzieningen te treffen. Er worden aanvullende eisen gesteld aan de kwaliteit van de onder deze mengsels liggende asfaltverharding ten aanzien van afwatering en waterdichtheid. Het aanbrengen van geluidreducerende deklagen moet een duurzaam karakter hebben, enerzijds vanuit het perspectief van de aanwonenden en anderzijds, vanuit het perspectief van de weggebruiker, die niet voortdurend gehinderd willen worden door wegwerkzaamheden.
Daarom wordt bij een dunne deklaag vaak een extra asfaltonderlaag aangebracht. De stille wegdekken zijn gevoeliger voor schade dan conventionele mengsels, wat kostenverhogend werkt. De levensduur van een dunne deklaag wordt geschat op circa 8 tot 10 jaar. Er moet in elk geval een goede, draagkrachtige onderlaag aanwezig zijn.
Vanwege de grote kwetsbaarheid van geluidreducerende deklagen bij wringkrachten moet de toepassing ervan worden voorkomen op kruisingsvlakken, opstelstroken bij kruispunten en rotondes.
Dunne deklagen zijn meer geluidreducerend en we gaan ervan uit dat de geluidreducerende eigenschappen ondanks slijtage in de toekomst zich ook behouden.
Bij het bepalen van het type wegdek moet verder rekening worden gehouden dat de geluidreductie afhankelijk is van de gereden snelheid en de verkeerscategorie (mix van auto’s en vrachtverkeer). Niet ieder asfalt is geschikt voor bijvoorbeeld intensief gebruik door vrachtverkeer.
In (30 km/uur) gebieden met klinkerbestratingen (of gewoon asfalt) met hoge verkeersintensiteiten kan eventueel gekozen worden voor stille betonklinkers. Dit levert een reductie van ca. 1 dB t.o.v. gewoon asfalt (DAB) en zelfs 5 dB t.o.v. gewone straatklinkerverharding. In veel rustige straten met klinkerverharding is ondanks een hoge geluidbelasting geen overlast. Bij het overgaan tot vervanging van gewone straatklinkers door stille betonklinkers moet ook de beleving in ogenschouw worden genomen.
Langs snelwegen of drukke doorgaande wegen zijn geluidschermen of geluidwallen (overdrachtsmaatregelen) een optie om de geluidbelasting bij woningen te verlagen. Vanuit stedenbouwkundig oogpunt zijn niet overal schermen en wallen gewenst. Op bepaalde locaties waar woningen ondanks de geluidschermen toch nog een hoge geluidbelasting hebben, is het mogelijk om de huidige schermen te verhogen door er bijvoorbeeld een transparant scherm bovenop te plaatsen. Op andere plaatsen kan mogelijk een (extra) scherm worden geplaatst op een wal.
Of uiteindelijk een scherm of wal geplaatst kan worden, is afhankelijk van de technische, logistieke, esthetische en economische haalbaarheid. Daarnaast speelt de politiek een belangrijke rol bij de afwegingen.
Nb: Voor de gemeenten Eindhoven, Helmond, Geldrop-Mierlo en Nuenen c.a. zijn schermen ten behoeve van railverkeerlawaai aangevraagd voor bestaande woningen. Door ProRail zijn deze opnieuw bekeken en in het MJPG meegenomen. Op een aantal locaties zijn deze schermen afgelopen ronden reeds geplaatst. Hiermee is rekening gehouden in dit Actieplan.
Hieronder volgt een overzicht van algemene maatregelen waar vanuit wordt gegaan in het Actieplan die overwogen dienen te worden.
Voor een wal zijn zowel veel grond als ruimte nodig.
Schermen (met een te bereiken afscherming tot 5 dB) moeten een gewicht hebben van minimaal 10 kg/m2 en aaneengesloten (geen gaten) zijn. Boven 5 dB afscherming moet rekening worden gehouden met een gewicht van minimaal 20 kg/m2.
De kosten voor wallen en geluidschermen zijn eveneens afhankelijk van de afmetingen van het scherm, absorberend of reflecterend uitgevoerd dient te worden, de uitstraling van een geluidscherm, type ondergrond, funderingssysteem en afwateringsvoorziening, plaatsing in talud, beplanting, of er aanvullende voorzieningen noodzakelijk zijn zoals vluchtdeuren, kabels en leidingen, kosten grondverwerving en overige kosten.
Het (geluid)saneren van woningen middels geluidwerende maatregelen aan gevels en daken is zeer effectief. Een betere isolatie zorgt voor een lager binnenniveau. Bewoners zullen minder hinder ondervinden van verkeerslawaai waardoor hun welzijn zal verbeteren. Het saneren van woningen op de A-lijst was opgenomen in het regionale saneringsprogramma en werd betaald vanuit het Investeringsfonds Stedelijke Vernieuwing (ISV). De maatregelen zijn alleen gericht op de geluidbelaste woon- en slaapkamers (geluidgevoelige ruimten) in een woning en niet voor andere ruimten of tuinen. In de regio hebben vrijwel alle A-lijst woningen de mogelijkheid gehad om deel te nemen.
Per gemeente wordt aangegeven welke woningen op de lijsten staan, welke projecten op dit moment actief zijn en welke projecten nog uitgevoerd gaan worden en wanneer. Voor het Actieplan wordt er vanuit gegaan dat dit vastgestelde maatregelen betreffen. Daarnaast was het tot 31 december 2023 mogelijk om subsidie aan te vragen bij het Ministerie van Infrastructuur en Waterstaat voor de overige saneringswoningen (woningen op de B of eindmeldingslijsten). De aanvragen zijn door diverse gemeenten gedaan, waarvan er enkele in uitvoering zijn. Een aantal gemeenten is vrijwel gereed met de uitvoering van de geluidsaneringsopgave.
Overige maatregelen:
Het is de aanbeveling om van lagere grenswaarden uit te gaan dan de opgenomen grenswaarden. Daarnaast zijn er diverse mogelijkheden om te kiezen voor een gunstige woningindeling in gebouwen, het realiseren van geluidluwe gevels en buitenruimten en voorzieningen om geluidluw te spuien/ventileren.
De gemeenten zullen dit, voor bijvoorbeeld bij herbestemming of renovatie, in hun gemeentelijk beleid opnemen.
In het kader van de Richtlijn omgevingslawaai zijn voor de gemeenten Best, Eindhoven, Geldrop-Mierlo Helmond, Nuenen c.a. en Veldhoven, END-geluidbelastingskaarten en tabellen met peiljaar 2021 vastgesteld. In de vorige tranche zijn door de gemeenten Actieplannen geluid/ programma geluid (2018) vastgesteld door de colleges van de zes gemeenten.
Het opstellen van een Actieplan is een wettelijke verplichting op grond van de Richtlijn omgevingslawaai.
In dit Actieplan geluid deel A worden meer algemene aspecten opgenomen en staat vanaf welke plandrempel (beleidsmatige grenswaarde), afhankelijk van het gebiedstype, het college van burgemeester en wethouders maatregelen wenst.
Het is de aanbeveling om van lagere grenswaarden uit te gaan dan de opgenomen grenswaarden. Daarnaast zijn er diverse mogelijkheden in woningindeling van gebouwen, het realiseren van geluidluwe gevels en buitenruimten en ook geluidluw spuien / ventileren
In de Actieplannen deel B zijn voor de gemeenten Best, Eindhoven, Geldrop-Mierlo, Helmond, Nuenen c.a. en Veldhoven de maatregelen uit het vorige Actieplan geëvalueerd. Daarnaast zijn (nieuwe) maatregelen voor de komende periode benoemd. Ook hierbij is gekeken naar knelpunten op grond van de plandrempel.
In deze tranche zijn diverse wijzigen doorgevoerd waardoor het vergelijken met de huidige en de vorige tranche niet zondermeer gemaakt kan worden. Met name de Europese rekenmethode CNOSSOS is anders dan de eerder gehanteerde SRM2-rekenmethode uit de eerdere karteringstranches.
Het gebruik van een andere rekenmethode leidt tot andere rekenresultaten.
Ook het effect van de eerder getroffen maatregelen is daardoor niet te maken. Om beter inzicht te krijgen zijn extra berekeningen uitgevoerd met andere rekenmethoden zoals met SRM2 voor wegverkeerslawaai.
De vastgestelde geluidbelastingkaarten en de aanvullende berekeningen zijn een richtlijn geweest bij het opsporen van knelpunten en het formuleren van maatregelen.
Belangrijk is dat het hier gaat om een model dat is opgesteld op basis van de Richtlijn omgevingslawaai en is bedoeld om (beleidsmatig) verschillende situaties te kunnen vergelijken.
Het model is slechts een benadering van de werkelijkheid. Daarom is bij het opstellen van het Actieplan niet alleen gekeken naar de berekende geluidbelastingen (en mogelijke afwijkingen in data). Ook de subjectieve waarneming (de manier waarop burgers het geluid ervaren) is in ogenschouw genomen.
Ondanks de zorgvuldigheid waarmee de geluidkaarten zijn samengesteld, gaan we ervan uit dat er nog (enkele) afwijkingen zijn tussen de werkelijke gegevens en bijvoorbeeld de gebruikte verkeersintensiteit en voertuigverdeling. Ook is het mogelijk dat tussen begin 2021 (op grond van deze gegevens moesten de kaarten worden opgesteld) en het moment van het opstellen van het Actieplan nog verkeerstechnische of inrichtingstechnische zaken gewijzigd zijn. Ondanks het feit dat de vastgestelde kaarten worden gebruikt als richtlijn voor de Actieplannen is met deze afwijkingen (indien bekend) wel rekening gehouden bij het opstellen van de Actieplannen.
Voor de Regeling omgevingslawaai zijn alleen de brontypen weg- en railverkeer, industrie en vliegverkeer in kaart gebracht. Andere geluidbronnen zoals brommers, geluidoverlast van buren, evenementen zijn niet gekarteerd. Dit zijn echter wel geluidbronnen waar burgers meer last van kunnen hebben dan de vier bronnen uit de Regeling omgevingslawaai. Ook niet geluidgerelateerde overlast, zoals slechte luchtkwaliteit, zwerfafval en (tekort aan) parkeervoorzieningen zijn zaken die niet in het Actieplan zijn betrokken.
Na vaststelling van het ontwerp-Actieplan door de colleges van burgemeester en wethouders, wordt het ontwerp-Actieplan ter inzage worden gelegd, voor de gemeenteraad en burgers.
Samenvatting
Voor u ligt het Deel B van Actieplan geluid voor uitsluitend de gemeente Eindhoven, dat is opgesteld in het kader van de EU-Richtlijn Omgevingslawaai. In dit deel B wordt uitsluitend de specifieke situatie van de (agglomeratie) gemeente Eindhoven beschreven. De agglomeratie Eindhoven bestaat uit de gemeenten Best, Eindhoven, Helmond, Geldrop-Mierlo, Nuenen c.a. en Veldhoven. De agglomeratie is specifiek aangewezen als agglomeratie in de Richtlijn omgevingslawaai. In de richtlijn staat tevens dat gemeenten verantwoordelijk zijn voor de beheersing van geluid afkomstig van gemeentelijke wegen en bedrijven. Voor de zes gemeenten binnen de agglomeratie zijn daarom wettelijk verplichte END-geluidbelastingskaarten en tabellen in 2022 vastgesteld. Het opstellen van het Actieplan geluid, ook wel Programma Geluid genaamd, is een wettelijke verplichting voor de gemeenten binnen de agglomeratie Eindhoven.
In het bijbehorende algemene deel A van het Actieplan geluid is eerst de wetgeving en opzet van het onderzoek beschreven voor de zes gemeenten binnen de agglomeratie Eindhoven. Deze elementen zijn voor alle agglomeratiegemeenten hetzelfde of vergelijkbaar. De verschillende landelijke, provinciale en de regionale kaders voor geluidbeleid zijn opgenomen. Tevens zijn er beschrijvingen opgenomen van algemene maatregelen die getroffen kunnen worden ter beperking van geluid. De gemeenten besloten gezamenlijk een Actieplan geluid deel A op te stellen en dezelfde plandrempels voor de geluidbelastingen te hanteren als in de vorige tranches. Hierbij is wederom aangesloten bij de wettelijke kaders. Het voorliggende deel B van het Actieplan geluid is opgesteld voor de gemeente Eindhoven. Andere actoren zoals Rijkswaterstaat, Prorail en de Provincies stellen actieplannen op voor hun ‘eigen’ geluidbronnen (respectievelijk rijkswegen, spoorwegen en provinciale wegen).
Het omgevingslawaai voor het Actieplan geluid betreft vier geluidsoorten die (verplicht) opgenomen worden: wegverkeerslawaai, railverkeerslawaai, industrielawaai en luchtverkeerslawaai. Het Actieplan geluid wordt elke 5 jaar geactualiseerd en is een verplicht programma volgend uit de Europese regelgeving. Na de drie eerdere perioden (2008, 2013 en 2018) wordt er nu voor de vierde keer een Actieplan geluid opgesteld. Het komende Actieplan geluid moet uiterlijk 18 juli 2024 zijn vastgesteld.
Actieplan Deel B, situatie per gemeente/knelpunten en oplossingen
In dit deel B komen voor de gemeente Eindhoven de volgende vragen aan bod:
Wat hebben we gedaan? Hiervoor heeft er een evaluatie van het vorige actieplan uit 2018 plaatsgevonden.
Waar staan we nu? Hier is aangegeven waar we nu staan en welke knelpunten er binnen de gemeente aanwezig zijn. Deze knelpunten zijn bepaald op grond van de geluidbelastingkaarten en door de gemeenten zijn enkele “hotspots” aangewezen.
Wat gaan we doen? Voor een aantal knelpunten en “hotspots” is opgenomen wat de gemeente voor maatregelen in de planning heeft om het knelpunt/hotspots aan te pakken.
Uit de eerdere opgestelde END-geluidbelastingskaarten blijkt dat bij de gemeentelijke wegen de hogere geluidbelastingen ten gevolge van het wegverkeerlawaai vrijwel uitsluitend voorkomt op de eerste lijnsbebouwing langs de (doorgaande) wegen. Bij woningen die verder van de weg zijn gelegen van deze wegen sluit de geluidbelasting aan bij het gebiedstype.
Opgemerkt wordt dat er binnen de gemeentegrenzen diverse locaties aanwezig zijn die getypeerd kunnen worden als rustig en waar nauwelijks hinder is ten gevolge van de onderzochte geluidsoorten. Tenslotte wordt opgemerkt dat de mogelijke hinder die mensen ervaren niet alleen objectief op basis van de geluidbelasting is vast te stellen maar ook persoonsgebonden (subjectief) is. Met het actieplan is het niet mogelijk om alle knelpunten op te lossen. Redenen van stedenbouwkundige, verkeerstechnische of financiële aard liggen hieraan ten grondslag. De gemeente krijgt geen extra middelen om de knelpunten aan te pakken, deze moeten in de begroting van de gemeente gereserveerd worden. De gemeenten moeten hierbij steeds een afweging maken wat hun prioriteiten zijn. Daarnaast kunnen maatregelen nodig zijn die buiten de invloedsfeer van de gemeenten vallen, zeker bij luchtvaartverkeer en railverkeer.
Overige maatregelen
Naast de knelpunten en mogelijke maatregelen in het actieplan worden ook andere maatregelen getroffen ter verbetering van het geluidklimaat. Zo is de sanering van de woningen die in het verleden een hoge geluidbelasting kenden nog in volle gang, en is met het in werking treden van nieuwe geluidregelgeving (SWUNG 1 en de Omgevingswet) de toename van de geluidbelastingen door groei van het verkeer op de rijksinfrastructuur (snelwegen en spoorwegen als ook provinciale wegen) beperkt. Bij ruimtelijke- en infrastructurele Ontwikkelingen worden afwegingen gemaakt in het kader van de Omgevingswet en wordt bij de aanvang reeds aandacht besteed aan het onderwerp geluid.
Leeswijzer
Hoofdstuk 1 beschrijft het voor Eindhoven relevante kader, de positie van het Actieplan deel B ten opzicht van deel A en beschrijft de reikwijdte van het Actieplan Geluid voor Eindhoven gelet op de geluidbronnen en het bronbeheer. Hoofdstuk 2 de geluidbelastingskaarten en een beoordeling van de blootstelling van de betrokken geluidbronnen. Hoofdstuk 3 bevat de Evaluatie vorige planperiode. Het actieplan voor de gemeente voor de 4e tranche is opgenomen in de Hoofdstuk 4. De status van het Actieplan Geluid en de inspraakprocedure is in Hoofdstuk 5 omschreven.
Aanleiding
Er zijn agglomeraties aangewezen die uitvoering moeten geven aan dit specifieke onderwerp. Eén daarvan is de agglomeratie Eindhoven met de gemeenten Best, Eindhoven, Geldrop-Mierlo, Helmond, Nuenen ca. en Veldhoven. De gemeenten binnen deze agglomeratie stellen elk een Actieplan geluid vast. Het Actieplan geluid wordt elke 5 jaar geactualiseerd en is een verplicht programma volgend uit de Europese regelgeving. Deze verplichting komt voort uit de Europese richtlijn omgevingslawaai. Deze richtlijn is in 2004 in de Wet geluidhinder verwerkt en in 2012 omgezet naar de Wet milieubeheer in hoofdstuk 11. De Europese richtlijn omgevingslawaai is ook geïmplementeerd in de Omgevingswet in 2024. Elke vijf jaar moeten de aangewezen partijen in Nederland de geluidbelasting bijhouden van de geluidbronnen. Hierbij worden de gemiddelde geluidniveaus van wegen, sporen, industrie en de luchtvaart op de kaart gezet. De EU-richtlijn wordt vaak aangeduid als “END” (Europian Noise Directive). Het opstellen van de geluidbelastingskaarten en actieplannen geluid wordt ook wel aangeduid als (geluid-)kartering en de opgestelde kaarten als END-kaarten. De verschillende tranches worden ook wel karteringsrondes genoemd. Dit Actieplan geluid valt onder de 4e tranche of de 4 e ronde. De Omgevingsdienst Zuidoost-Brabant (ODZOB) geeft voor eerdergenoemde zes gemeenten uitvoering aan de EU-richtlijn Omgevingslawaai. Om de verplichte werkzaamheden op een zo efficiënt mogelijke manier uit te voeren, werken deze gemeenten wederom samen. Naast afstemming en overleg met betrokken afdelingen binnen gemeenten, voert ODZOB ook overleg met Infomil/ IPLO, Ministeries, Rijkswaterstaat, Provincie Noord-Brabant en ProRail. Het Rijk heeft (instructie-)regels opgesteld om te zorgen dat het Rijk, provincies en gemeenten binnen een agglomeratie (stedelijk gebied) een Actieplan geluid vaststellen. Een Actieplan geluid is een verplicht programma.
Voor de gemeente Eindhoven bestaat het Actieplan geluid uit een algemeen Actieplan geluid deel A, opgesteld voor de zes agglomeratiegemeenten en een deel B voor de gemeente Eindhoven. In dit Actieplan deel B wordt uitsluitend de specifieke situatie van de (agglomeratie) gemeente Eindhoven beschreven. Delen A en B vormen samen het Actieplan geluid voor de gemeente Eindhoven in deze 4e tranche.
In het bijbehorende algemene deel A van het Actieplan geluid is eerst de wetgeving en opzet van het onderzoek beschreven voor de zes gemeenten binnen de agglomeratie Eindhoven. Deze elementen zijn voor alle agglomeratiegemeenten hetzelfde of vergelijkbaar. De verschillende landelijke, provinciale en de regionale kaders voor geluidbeleid zijn opgenomen. Tevens zijn er beschrijvingen opgenomen van algemene maatregelen die getroffen kunnen worden ter beperking van geluid. De gemeenten besloten gezamenlijk een Actieplan geluid deel A op te stellen en dezelfde plandrempels voor de geluidbelastingen te hanteren als in de vorige tranches. Hierbij is wederom aangesloten bij de wettelijke kaders.
Eindhoven: Kloppend hart van Brainport
Brainport Eindhoven onderscheidt zich van andere regio’s door het sterke regionale cluster van bedrijven en kennisinstellingen, in de kennisintensieve maakindustrie en design, en door de wijze waarop er onderling wordt samengewerkt. Eindhoven kent veel verschillende gebieden met allemaal eigen stedelijke en dorpse kwaliteiten. Eindhoven is veelzijdig: van hoogstedelijk in Strijp-S, rondom het Station en in de Binnenstad tot aan de rustigere woonwijken in onder andere Stratum, Woensel en Tongelre. In de omgevingsvisie van de gemeente Eindhoven is in het kader van de Omgevingswet vooruitgekeken hoe Eindhoven eruit ziet in 2040. Informatie over de Omgevingsvisie van Eindhoven staat hier: Omgevingsvisie | Gemeente Eindhoven
In 2023 is tevens gestart met de omgevingsvisie 2.0, het concept 2.0 is van maart 2024. Vanaf april 2024 gaat de gemeenteraad hierover in gesprek. Op 1 januari 2024 is de Omgevingswet in werking getreden. Thematische beleidsvelden zoals gezondheid, mobiliteit, wonen en groen komen samen in de Omgevingswet die gaat over de hele fysieke leefomgeving. De omgevingsvisie is een van de instrumenten van de Omgevingswet. Ze biedt een strategisch kader voor de ontwikkeling, het gebruik, het beheer en de bescherming van de fysieke leefomgeving. Zij geeft een stip op de horizon en handvatten voor de ruimtelijke ontwikkeling van de stad. De omgevingsvisie is zelfbindend, dat wil zeggen dat de gemeente zich verbindt aan de ambitie en opgaven beschreven in de omgevingsvisie. Voor andere partijen geldt dat er geen dwingende werking is. De ambitie, opgaven en strategische keuzes uit de omgevingsvisie worden uitgewerkt in omgevingsprogramma’s en het omgevingsplan voor Eindhoven.

Een OmgevingsEffectRapport maakt onderdeel uit van deze visie. Duidelijk is dat Eindhoven in de toekomst met 40.000 woningen en 72.000 arbeidsplaatsen wil groeien. Hierbij wordt ernaar gestreefd om de groei van het auto verkeer niet mee te laten groeien. Er wordt ingezet op:
Dat dagelijkse voorzieningen dichtbij zijn (binnen 15 minuten lopend of fietsend bereikbaar;
(Hoogwaardig) Openbaar vervoer in de stad en regio;
Multimodale overstappunten waarbij gemakkelijk overgestapt kan worden op andere vervoerswijzen;
Een betaalbaar duurzaam vervoersalternatief;
Toegankelijk vervoer;
Mobiliteit zonder uitlaatgassen;
Verminderen en recyclen van materialen;
Meer lopen en fietsen;
Prettig en gastvrij verplaatsen zonder gedoe.
Algemeen
Het omgevingslawaai voor het Actieplan geluid betreft vier geluidsoorten die (verplicht) opgenomen worden: wegverkeerslawaai, railverkeerslawaai, industrielawaai en luchtverkeerslawaai en een beschrijving van de instanties bij wie de geluidbronnen in beheer zijn.
Situatie gemeente Eindhoven:
Dit is in eerste instantie voor de geluidbronnen waarvoor de gemeente bronbeheerder is zoals wegverkeerslawaai en industrielawaai. Dit zijn de bijvoorbeeld gemeentelijke wegen en industrie(terreinen) binnen de gemeentegrenzen.
De gemeente Eindhoven heeft (landelijke) spoorwegen binnen de gemeentegrenzen. Deze zijn ook in beeld gebracht.
Geluidbronnen van andere beheerders
Niet alleen de gemeenten maar ook de bronbeheerders van autosnelwegen, provinciale wegen, landelijke spoorwegen en van de luchthaven Schiphol moeten geluidbelastingskaarten en actieplannen maken. Mogelijke maatregelen op deze bronnen worden in het actieplan van deze bronbeheerders (Rijkswaterstaat, Provincies waaronder Provincie Noord- Brabant, Schiphol en ProRail) opgenomen.
Voor Eindhoven Airport is het ministerie van Defensie verantwoordelijk, vanwege het feit dat Vliegbasis Eindhoven een militair vliegveld is, met Eindhoven Airport als civiele medegebruiker. In Eindhoven liggen vastgestelde geluidcontouren ten gevolge van het vliegveld/ vliegbasis.
Opmerkingen:
- In het voorliggende rapport wordt geregeld verwezen naar een besluit of onderzoek van bijvoorbeeld het ministerie van Infrastructuur en Waterstaat.
Evenementen
Hoewel dit regelmatig kan leiden tot geluidoverlast, zijn evenementen en feesten zijn in dit onderzoek niet betrokken. Daarvoor kan door een gemeente jaarlijks en per evenement ontheffing worden verleend in het kader van de Algemene Plaatselijke Verordening (APV).
Luchtvaartlawaai
Eindhoven Airport
Voor Eindhoven Airport is het Ministerie van Defensie verantwoordelijk vanwege het feit dat Vliegbasis Eindhoven een militair vliegveld is, met Eindhoven Airport als civiele medegebruiker. Boven de gemeente Eindhoven zijn vliegroutes gelegen voor vertrekkende en landende vliegtuigen van Eindhoven Airport. De gemeente neemt deel aan het platform Samenopdehoogte, van waaruit actief wordt gestuurd op minder geluidbelasting. Het doel is 30% minder geluidbelasting in 2030 ten opzichte van 2019 voor de burgerluchtvaart. Samenopdehoogte heeft tevens de functie van COVM voor de militaire luchthaven.
Stiltegebieden
In de Omgevingsverordening van de Provincie Noord Brabant zijn geen gebieden aangewezen in Eindhoven als stilte gebied. Stilte gebieden zijn daarom niet meegenomen.
Voor gemeente Eindhoven zijn eerder de END-geluidbelastingskaarten (zie https://odzob.nl/GeluidbelastingskaartenEindhoven) opgesteld en vastgesteld. Ook de geluidbelasting van provinciale en rijkswegen, (hoofd)spoorwegen en van Eindhoven Airport zijn in het kader van de kartering opgenomen. Voor Eindhoven Airport is het ministerie van Defensie verantwoordelijk, vanwege het feit dat Vliegbasis Eindhoven een militair vliegveld is, met Eindhoven Airport als civiele medegebruiker. Hiervoor zijn de geluidbelastingen uitgedrukt in Kosteneenheden (Ke) conform het luchthavenbesluit op de kaarten weergegeven.
In 2022 voor deze 4e tranche of 4e ronde zijn door de gemeenten de END-geluidbelastingskaarten en tabellen vastgesteld (peiljaar 2021[1]). Deze kaarten en tabellen zijn in 2022 aan de Minister toegezonden via de Centrale VoorzieningGeluidGegevens ook wel afgekort met de cvvg.
Voor de gegevens met betrekking tot vastgestelde kaarten en tabellen voor alle agglomeratiegemeenten wordt verwezen naar de volgende locatie: https://odzob.nl/geluidbelastingskaarten, waar per gemeente de gegevens zijn opgenomen. Voor de gemeenten Eindhoven, Geldrop-Mierlo, Nuenen ca. en Veldhoven staat het Actieplan geluid van de vorige 3e tranche daar ook opgenomen.
[1]Het peiljaar conform de richtlijn is 2021. Het ministerie van Infrastructuur en Waterstaat (IenW) en provincies hebben de verkeersintensiteiten van 2019 gehanteerd voor het peiljaar 2021. Voor een uniform landelijk beeld heeft de agglomeratie Eindhoven hierbij aangesloten voor de geluidbelastingkaarten. Dit in verband met Corona/ Covid- pandemie waardoor in 2020/2021 mogelijk geen representatief beeld geeft voor de verkeersintensiteiten.
Aan de hand van de END-geluidbelastingskaarten maakt de gemeente vervolgens plannen om in de daaropvolgende jaren de geluidkwaliteit te behouden en waar mogelijk te verbeteren. Daarvoor is dit Actieplan Geluid vastgesteld, die uiterlijk in 2024 wordt geactualiseerd voor de periode van 2024-2029. Hierin worden de plannen van de gemeente om de geluidbelasting zo mogelijk te verlagen voor de komende jaren vastgelegd.
Een Actieplan Geluid heeft als doel om geluidbelaste locaties in kaart te brengen en te onderzoeken of maatregelen kunnen worden getroffen om de geluidbelasting te verminderen. Het is echter niet zo dat een Actieplan geluid direct leidt tot het oplossen van knelpunten. Daarvoor zijn aanvullende stappen nodig, zoals het prioriteren van knelpunten, het ontwerpen van maatregelen en het vrijmaken van financiële middelen die in de begroting van de gemeente gereserveerd moeten worden.
Het Actieplan Geluid is gebonden aan de Europese Richtlijn Omgevingslawaai en de Omgevingswet en daaruit voorvloeiende instructieregels. De inhoud en invulling van het Actieplan geluid ligt daarmee vast in wettelijke voorschriften. Het Actieplan Geluid bevat verder alleen beleidsvoornemens en maatregelen en beperkt zich tot een inventarisatie en analyse. Het plan leidt daarmee niet tot concrete maatregelen. Het belang van participatie, de beïnvloedingsruimte en impact is voor wat betreft dit Actieplan betrekkelijk.
Voor dit Actieplan Geluid volstaat het vooralsnog om de participatie in te vullen door burgers, bedrijven, maatschappelijke organisaties en bestuursorganen te informeren over het ontwerp Actieplan en daarnaast een ieder gedurende 6 weken in de gelegenheid te stellen om wensen en aanbevelingen kenbaar te maken. De resultaten van de inbreng van Burgers, bedrijven, maatschappelijke organisaties en bestuursorganen wordt vervolgens betrokken om te komen tot een definitief Actieplan Geluid.
Ontwerp Actieplan Geluid
Het college van burgemeester en wethouders heeft op 28 juni 2024 ingestemd met het Ontwerp Actieplan Geluid. Vervolgens heeft in het Gemeenteblad en op de website van de gemeente Eindhoven publicatie van deze vaststelling en de ter inzagelegging plaatsgevonden. Het Actieplan geluid heeft vanaf 10 juli 2024 voor 6 weken ter inzage gelegen.
Eenieder heeft daarmee de mogelijkheid gekregen tot het indienen van wensen en aanbevelingen. Dit betroffen zowel de inwoners van Eindhoven als de gemeenteraad. Er zijn geen zienswijzen ingediend die hebben geleid tot een aanpassing van het (ontwerp-) Actieplan Geluid.
Zie ook 2.5 ‘Wat is de status van dit Actieplan?’. Daarmee is invulling gegeven aan artikel 10.8 Omgevingsbesluit en het participatiebeleid.
Algemeen
De geluidbelasting op woningen in de gemeente Eindhoven wordt veroorzaakt door wegen, spoorwegen en industrie. Op de in het kader van de Richtlijn omgevingslawaai opgestelde geluidbelastingskaart kan de geluidbelasting per geluidbelastingsklasse per pand worden afgelezen. De gegevens op grond waarvan de berekeningen voor de geluidbelastingskaarten zijn uitgevoerd, hebben betrekking op het jaar 2021[2]. Het gebruik van gegevens uit het jaar 2021 2 is een wettelijke verplichting op grond van de Richtlijn omgevingslawaai. In bijlage 1 en hoofdstuk 2 is het overzicht met aantallen bewoners, ernstig gehinderden (HA) en slaapgestoorden (HSD) in de gemeente Eindhoven opgenomen, afgeleid uit de geluidbelastingskaarten.
Wat staat er op de geluidbelastingskaarten 2021
Bij de in 2022 vastgestelde END-geluidbelastingskaarten en tabellen is een rapportage opgesteld welke op de website van de ODZOB is weergegeven. In Deel B Bijlage 1 4e tranche tabellen is dit rapportage opgenomen.
In deze ronde of tranche is (verplicht) de Europese rekenmethode CNOSSOS-EU gebruikt. De resultaten van de berekeningen met deze rekenmodule kunnen NIET vergeleken worden met de eerder gehanteerde rekenmethode SRM2. Hiervoor wordt tevens verwezen naar Deel A, paragraaf 1.3.5 en IV (Deel A bijlage 3)
Omdat er in deze ronde verplicht de rekenmethode CNOSSOS is gehanteerd en er ook andere dosis-effect relaties toegepast zijn, kunnen de resultaten niet vergeleken worden met de 3e tranche.
In hoofdstuk 2.1.6 zijn, met dezelfde invoergegevens voor wegen en de omgeving, tevens met de rekenmethode SRM2 berekeningen uitgevoerd. Deze kunnen voor de evaluatie gehanteerd worden.
[2]: Zie ook eerdere voetnoot 1 in Hoofdstuk 1.3. In de agglomeratie zijn de verkeersintensiteiten van 2019 gehanteerd. Dit in verband met Corona/ Covid- pandemie waardoor in 2020/2021 mogelijk geen representatief beeld geeft voor de verkeersintensiteiten.
Wegverkeerslawaai berekend met CNOSSOS
Wegverkeer is de belangrijkste geluidbron waaraan inwoners van Eindhoven worden blootgesteld. Binnen de gemeente Eindhoven rijdt het meeste verkeer over de doorgaande wegen zoals de Ring (Beukenlaan, Botenlaan, Limburglaan, Keizer Karel V Singel, Boutenslaan, Leostraat, Piuslaan, Hugo van der Goeslaan, Jeroen Boschlaan, Insulindelaan, O.L. Vrouwestraat, Pastoriestraat, Kronehoefstraat, Marconilaan), binnenring (Emmasingel, Keizersgracht, Wal, P.Czn. Hooftlaan, Hertogstraat, Vestdijk), Boschdijk, Kennedylaan, Aalsterweg, Leenderweg, Geldropseweg, Karel de Grotelaan, Mecklenburgstraat en Mauritsstraat
Ook de Rijkswegen A2/N2, A58, A67 in en nabij de gemeente Eindhoven vormen geluidbronnen voor het wegverkeerslawaai.
In tabel 1 en 2 wordt per geluidbelastingklasse het aantal woningen, bewoners[3], ernstig gehinderden (HA), slaapgestoorden (HSD) en andere geluidgevoelige bebouwing weergegeven voor zowel de etmaal- als de nachtperiode met de rekenmethode CNOSSOS-EU. In de etmaalperiode worden 56.013 ( 48,4 %) bewoners blootgesteld aan een geluidbelasting boven 55 dB Lden ten gevolge van wegverkeerslawaai, 21.301 (8,6 %) van de inwoners betreft ernstig gehinderden (HA).
[3] Hier is uitgegaan van een gemiddelde 2,14 bewoners per woning. Hierdoor kan het totaal aantal berekende inwoners wat afwijken ten opzichte van het aantal inwoners dat werkelijk in Eindhoven is ingeschreven.
Etmaalperiode
Nachtperiode
In tabel figuur 3 en tabel 2 is de situatie voor de nachtperiode (Lnight) opgenomen. Dit is ook met de rekenmethode CNOSSOS bepaald.
In figuur 4 is per geluidbelastingsklasse (nachtperiode), het percentage en aantal slaapverstoorde bewoners inzichtelijk gemaakt.
Op basis van CNOSSOS is voor de gemeente Eindhoven het aantal gevallen IHD toe te schrijven aan geluid ten gevolge van wegverkeer bepaald. Het aantal is hieronder opgenomen.
Indicator | Aantal |
Aantal inwoners in studiegebied | 247.607 |
Totaal aantal mensen blootgesteld aan 55 dB (Lden) of meer | 119.867 |
Aantal gevallen IHD toe te schrijven aan geluid wegverkeer | 24 |
Binnen de gemeente Eindhoven lopen meerdere spoorlijnen. In de onderstaande tabel is dit opgenomen.
Nachtperiode
In tabel 4 is de situatie voor de nachtperiode (Lnight) opgenomen. Dit is ook met de rekenmethode CNOSSOS bepaald.
Binnen de gemeente Eindhoven zijn 2.263 woningen die, wettelijk vergund, ten gevolge van industrie of bedrijven een geluidbelasting op de gevel van meer dan 55 dB(A) hebben.
Dit wordt met name door industrieterrein (IT) de Hurk veroorzaakt.
Voor luchtvaartlawaai zijn geen resultaten met rekenmethode CNOSSOS mogelijk, de rekenmethode is in de CNOSSOS niet beschikbaar gesteld.
Er is uitgegaan van het eerder genomen luchtvaartbesluit voor Eindhoven Airport/Vliegbasis Eindhoven, waarin de contouren zijn vastgesteld. Deze contouren zijn in Kosteneenheden, de wettelijk voorgeschreven dosismaat voor het geluid van groot (militair en civiel) vliegverkeer in verband met de militaire status. De Ke-rekenmethodiek, is de wettelijk voorgeschreven dosismaat voor geluid en wordt in Nederland gebruikt bij alle militaire luchthavens.
De aanvliegroute van Eindhoven Airport/Vliegbasis Eindhoven ligt voor een deel boven het grondgebied van gemeente Eindhoven. Dit betekent dat er sprake is van luchtvaartlawaai en overlast kan worden ervaren. Met name bewoners van woningen in Acht en Achtse Barrier ondervinden hinder ten gevolge van luchtvaartlawaai, omdat de woningen onder de aanvliegroute liggen. De meeste woningen gelegen binnen de 45 Ke contour zijn eind jaren ’80 gesaneerd. In totaal zijn er 36 woningen die binnen de 35-44 Ke contouren vallen.
Nachtperiode
In principe mag er in de nachtperiode niet gevlogen worden op Eindhoven Airport, er zijn dan uitsluitend (verlate) landingen mogelijk. Daarom kunnen er geen resultaten voor de slaapgestoorden opgenomen worden.
Uitzonderingen
's Nachts is de luchthaven in principe gesloten. Voor ambulance- en transplantatievluchten is de luchthaven altijd beschikbaar. Ook mogelijke oefeningen van Defensie of hulptransporten zijn incidenteel in de nachtperiode mogelijk.
Door de verlate landingen en uitzonderingen kan er wel degelijk hinder worden ondervonden. Met name aan de randen van de nacht kan overlast worden ervaren.
In de voorgaande 3e tranche zijn de berekeningen uitgevoerd met de (Nederlandse) Standaard Rekenmethode SRM2.
Met dezelfde dataset als invoer zijn voor deze 4e tranche ook berekeningen uitgevoerd met de SMR2 rekenmethode. Zoals uit de onderstaande tabellen en figuren is op te maken blijkt met dezelfde dataset als invoer maar een andere rekenmethode er grote verschillen zijn. Met rekenmethode CNOSSOS worden binnenstedelijk hogere geluidbelastingen berekend dan met de SRM2.
Voor de evaluatie van de vorige 3e tranche zijn tevens in deze 4e tranche extra berekeningen uitgevoerd met de SRM2 rekenmethode. De resultaten voor Lden en Lnight zijn in de onderstaande tabellen opgenomen.
Algemeen
Het complete actieplan van de derde en vorige tranches zijn in te zien op de website van de ODZOB. In dit hoofdstuk geven we aan wat de gemeente Eindhoven voor wat betreft de verschillende geluidsoorten in de afgelopen periode heeft gedaan.
De tabellen van de vorige tranche zijn in Deel B Bijlage 2a Rapportage gemeente Eindhoven tabellen 3e tranche van dit actieplan Eindhoven opgenomen.
De verschillen tussen de rekenmethodes CNOSSOS en SRM2 zijn opgenomen in VII (Deel B bijlage 3). De data invoer voor beide rekenmethodes zijn hetzelfde.
Evaluatie wegverkeerslawaai
Het complete actieplan van de derde en vorige tranche is in te zien op de website van de ODZOB via https://odzob.nl/geluidbelastingskaarten bij de gemeente Eindhoven onder het kopje 3e tranche. De tabellen van de vorige tranche zijn in Deel B Bijlage 2a Rapportage gemeente Eindhoven tabellen 3e tranche van dit actieplan Eindhoven opgenomen.
Wegverkeerslawaai totaal:
In de 3e tranche waren in totaal 45.548 woningen met geluidbelastingen tussen de 55 en 75 dB voor Lden en 22.324 woningen in de klasse 50-65 dB voor Lnight op basis van de SRM2 rekenmethode.
In de 4e tranche waren in totaal 40.387 woningen met geluidbelastingen tussen de 55 en 75 dB voor Lden en 20.500 woningen in de klasse 50-75 dB voor Lnight op basis van de SRM2 rekenmethode.
Voor de Lden betekent dit een afname van het aantal woningen met 5.161 woningen, met name in de klassen van 55-60 en 65-75 dB.
Voor de Lnight betekent dit een afname van het aantal woningen met 1.824 woningen, met name in de klasse van 55-59 dB.
En de gemeente Eindhoven is, (rekentechnisch gezien) sinds het vorige actieplan in aantal woningen gegroeid met circa 12.582 woningen (= 115.704-103.122). Deze woningen zijn ook langs wegen met een hogere geluidbelasting gelegen dan 55 dB en dienen een betere geluidwering te bezitten.
Er kunnen wel verschillen zijn in de berekende geluidbelastingen. Dit heeft o.a. te maken met gewijzigde uitgangspunten tussen de 3e en de 4e tranche, waaronder de locatie van de toetspunten. Voor meer informatie zie bijlage in deel A.
Daarnaast zijn (geluid)saneringwoningen op de (geluid-)saneringslijst in projectvorm gesaneerd.
In figuur 6a en 6B zijn voor de gemeente Eindhoven aangegeven op welke locaties zich de hotspots uit de 3e tranche zich bevinden. In tabel 7 is voor de knelpunten kort aangeven welke maatregel(en) zijn getroffen.
Hotspots van 63 dB of meer
De snelwegen A2/A50/A58 en A67 veroorzaken hoge geluidbelastingen binnen de gemeente Eindhoven. Door de eerdere ombouw van de Randweg en de plaatsing van geluidschermen, zijn deze geluidbelastingen gereduceerd. De gemeente Eindhoven is niet ruim van opzet met name in het centrum gebied. Hierdoor zijn de afstanden tussen gevel en weg-as op de meeste plaatsen beperkt groot zodat de geluidbelastingen redelijk hoog zijn. De meeste geluidbelaste woningen zijn gelegen langs de stedelijke wegen en ringwegen, enkele woningen zijn gesitueerd langs de rijkswegen. De meeste woningen vallen in de geluidbelastingsklassen Lden 55-60 en Lnight 50-60 dB. In het onderhoudsprogramma van wegen van de gemeente Eindhoven is opgenomen dat bij vervanging het asfalt waar mogelijk vervangen zal worden door een stiller wegdek bijvoorbeeld Deciville.
In het document van het RIVM naar de effecten implementatie CNOSSOS op geluidkartering en actieplannen is gekeken naar het railverkeer/ spoorverkeer. De verschillen bij hoofspoorwegen tussen CNOSSOS met de SRM2 zijn zeer afhankelijk van de locatie. Voor het hoofdspoor is ProRail de bronbeheerder, in hun actieplan geluid dan wel in eigen programma’s zal hier naar verwachting verder aandacht aan besteed worden. De hoofdspoorwegen in onze regio hebben al een GPP-systematiek.
De berekende waarden op basis CNOSSOS worden opgenomen en zal op hoofdlijnen worden bekeken. Op sommige locaties zal het verschil negatief, positief of rond nul bedragen. Er zijn derhalve niet opnieuw berekeningen op basis van de SMR2 of de OR/ Areg uitgevoerd.
De dosis-effect relatie voor railverkeer ten gevolge van de hoofspoor wegen zijn aanzienlijk gewijzigd, waardoor een vergelijk niet mogelijk is.
Situatie Eindhoven:
Afgelopen jaren zijn er rondom het spoor diverse woningen en appartementen gerealiseerd, bijvoorbeeld bij de appartementen op Strijp S en de ontwikkeling van woningen in de wijk De Doornakkers. Deze woningen zijn, indien nodig, voorzien van een hogere waarde en aanvullende gevelmaatregelen.
Ten slotte is ProRail met een MJPG programma bezig rondom het spoor waaronder in de gemeente Eindhoven voor de enkele woningen met hogere geluidbelastingen, bijvoorbeeld rondom de Hofstraat.
4e tranche 2021: Voor de Lden waarde zijn in de 4e tranche totaal 2.001 woningen in de klasse 55-70 dB met CNOSSOS bepaald. Voor de Lnight zijn dit 1.221 woningen in de klasse 50-70 dB.
3e tranche 2016: In de vorige 3e tranche waren voor Lden dit 665 woningen en voor Lnigtht 404 woningen in deze klassen.
Hoewel vergelijking niet goed mogelijk door verschil in rekenmethode kan grofweg kan gesteld worden dat er wat fors meer woningen voor zowel Lden als Lnight zijn geluidbelast zijn.
Op het gebied van industrielawaai spelen er drie aspecten: gezoneerde industrieterreinen, individuele inrichtingen die geluidbelastingen van 55 dB(A) of meer veroorzaken op woningen en een horecaconcentratiegebied. Deze drie worden hieronder nader toegelicht.
Gezoneerde industrieterreinen
Binnen de gemeente Eindhoven zijn veel woningen die als gevolg van de activiteiten op de industrieterreinen (vnl. De Hurk) een (theoretisch berekende) gevelbelasting van maximaal 55 dB(A) hebben. Daarnaast is er een aantal individuele bedrijven die een geluidbelasting van 55 Lden/ LAeq of meer veroorzaken op geluidgevoelige bestemmingen. De geluidbelastingen op deze woningen zijn opgenomen in het zonebesluit voor de industrieterreinen en de vergunningen van de individuele bedrijven.
In de afgelopen periode is gebleken dat de geluidniveaus op de zonebewakingspunten van onder andere het gezoneerde industrieterrein De Hurk (theoretisch) worden overschreden met ten hoogste 2 dB. Hiervoor zijn drie oorzaken te noemen:
1. voor type B inrichtingen (zie Activiteitenbesluit) standaardvoorschriften van toepassing zijn, terwijl deze bedrijven deze geluidruimte meestal niet volledig benutten;
2. type A inrichtingen zijn niet meldingsplichtig, maar krijgen wel standaard geluidruimte;
3. een aantal bedrijven heeft een ruimere vergunde geluidruimte dan dat ze in werkelijkheid nodig hebben.
In een eerder vastgesteld geluidreductieplan werd tijdelijk een 2 dB(A) hogere norm toegestaan om nog wel ontwikkelingen mogelijk te maken. Er is afgelopen periode gekeken hoe de zonebewaking meer in overeenstemming kon worden gebracht met de werkelijke situatie.
Dit houdt in:
- opleggen van maatwerkvoorschriften voor type B-inrichtingen die vlak bij de bewakingspunten bevinden;
- voor type A-inrichtingen de werkelijke geluidsituatie invoeren;
- bedrijven met ruime vergunningen die een nieuwe vergunning aanvragen op maat vergunnen.
Ook door anders te modelleren is de overschrijding al iets verkleind.
Op het merendeel van de zonepunten wordt voldaan aan de eis. Door enkele inrichtingen vindt nog beperkte overschrijdingen plaats.
Er zijn geen extra plannen voor industrielawaai. Er worden geen woningen gesaneerd. Alleen door maatwerkvoorschriften te stellen of geluidvoorschriften in de vergunning aan te passen is/zal de vergunde geluidruimte worden verkleind
Philips Stadion
Tijdens wedstrijden in het Philips stadion wordt dermate veel geluid geproduceerd dat op woningen in de omgeving een Lden van 56 dB(A) tot 58 dB(A) veroorzaakt. Ook dit betreft een vergunde situatie voor in totaal 30 woningen. Eventuele nieuwbouw in de omgeving heeft goede isolatie en zou niet meer tot overlast leiden.
Horecaconcentratiegebied
De bedoeling was dat in 2007 de omgeving van het Stratumseind zou worden aangewezen als horecaconcentratiegebied met de bijbehorende normstelling. In totaal betekent dit dat de geluidbelasting op ongeveer 316 woningen/appartementen in de omgeving van het Stratumseind 55 dB(A) LAeq of hoger (door cumulatie van diverse horecagelegenheden) kan zijn. Het horecaconcentratiegebied geluid was al op de geluidkaarten opgenomen. De woningen binnen het horecaconcentratiegebied zijn meegeteld als woningen met een geluidbelasting vanwege inrichtingen in de klasse van 55 tot 60 dB(A). De besluitvorming rond de vaststelling van dit gebied als horecaconcentratiegebied heeft vertraging opgelopen.
Woningen gelegen binnen de 45 Ke contour eind jaren ’80 zijn gesaneerd. In totaal zijn er in deze vierde tranche 36 woningen die binnen de 35-44 Ke contouren vallen. Het aantal geluidbelaste woningen is met 41% afgenomen.
In totaal waren er in de derde tranche 61 woningen die binnen de 35-44 Ke contouren vallen, in de 2e tranche waren er nog 82 woningen geluidbelast.
Luchthaven Eindhoven Airport
Luchthaven Eindhoven is de overkoepelende term voor zowel Eindhoven Airport en de militaire Vliegbasis Eindhoven. Voor het onderwerp geluid van de Luchthaven is meer informatie vinden op de volgende locatie: http://samenopdehoogte.nl/ en in IX (Deel B bijlage 5).
Algemene maatregelen gemeente Eindhoven waar de gemeente mee bezig is (geweest):
- Elektrische bussen (deels gerealiseerd en wordt verder gerealiseerd de komende jaren)
- Elektrische taxi’s
- Realisatie van de P+R aan randen van de gemeente.
- Inzetten op beter fietsverkeer binnen de gemeenten en meer fietsenstallingen
- Inzetten op verbetering fietsverkeer van en naar omringende gemeenten (slow lane e.d.)
o Verbinding Eindhoven – Helmond
o Verbinding Eindhoven – Den Bosch
- Inzetten op goed OV en busbanen.
- Verdichtingsopgave in centrum zonder toename wegverkeer.
- Gezondheidsindicator voor de gemeente is in ontwikkeling (Gezondheid in relatie met o.a. geluid, luchtkwaliteit.
Binnen de gemeente Eindhoven zijn in het centrum van Eindhoven diverse maatregelen in voorbereiding.
In het najaar 2013 is door de gemeenteraad van Eindhoven het kader “Eindhoven op weg” vastgesteld (https://www.eindhoven.nl/stad-en-wonen/verkeer/bereikbaarheid). Deze is geactualiseerd in 2022 “Eindhoven op Weg 2022”.
Naar aanleiding van de kaarten, tabellen en aanvullend onderzoek worden de volgende conclusies getrokken en aanbevelingen gedaan:
1. Een groot aantal knelpunten is of wordt opgelost door de in de diverse plannen, zoals reconstructieplannen, met betrekking tot wegen en voorgestelde maatregelen ten aanzien van verkeer.
2. In de gemeente Eindhoven valt een groot aantal woningen in de klasse 60 tot 65 dB. Woningen met een geluidbelasting onder de 65 dB voldoen meestal aan de 43 dB toets, omdat vrijwel elke woningen een geluidwering van minimaal 20 dB heeft. Nieuwbouwwoningen hebben vaak een geluidwering van 25 dB (of meer).
3. De Commissie Overleg & Voorlichting Millieuhygiëne Vliegbasis Eindhoven (COVM Eindhoven) is het overlegplatform voor omwonenden, overheden, belangenverenigingen en medegebruikers van de Vliegbasis Eindhoven. De commissie stelt adviezen op met betrekking tot geluidhinder. Ook houdt de commissie scherp in de gaten of er bepaalde trends waarneembaar zijn. Zie meer informatie op http://samenopdehoogte.nl/
4. Op een aantal locaties is voor wegverkeerslawaai door het treffen van maatregelen aan de weg en/of gevelisolatie de geluidgevelbelastingen en de binnenniveaus verlaagd ter hoogte van de woningen. De effecten van deze maatregelen zijn met name voor de maatregelen aan de weg beperkt van één tot enkele dB’s. Hierdoor wordt wel verbetering behaald maar dit hoeft niet altijd te betekenen dat alle woningen aan de plandrempel voldoen, aan de voorkeursgrenswaarde of dat het binnenniveau voldoet. Dit speelt met name een rol als woningen dicht op een weg zijn gelegen die voorzien zijn van een klinkerbestrating.
5. In een plaats als Eindhoven zijn eveneens gebieden en locaties te zien waar de geluidbelasting lager (< 55 dB) is ten gevolge van wegen, de industrie en het luchtvaartverkeer.
6. Het geluid is in vele gevallen duidelijk herleidbaar, zeker voor wegverkeer.
Algemeen
In dit hoofdstuk wordt overzicht van belangrijke infrastructurele werken gegeven die in de komende 5 jaar zijn voorgenomen en andere belangrijke ruimtelijke ontwikkelingen die van invloed zijn op de geluidhindersituatie. Vervolgens wordt ingegaan op het beleidsvoornemens om de geluidbelasting beperkt kan worden. Tot slot is een overzicht toegevoegd met een aanpak hotspots, waarmee inzichtelijk wordt welke hotspots mogelijk worden aangepakt en aansluitend worden generieke maatregelen beschreven.
Overige bronbeheerders
Een gemeente heeft geen invloed op bijvoorbeeld rijkswegen (Rijkswaterstaat), provinciale wegen (provincie Noord-Brabant), spoorwegen (Prorail) of luchtvaartlawaai (Eindhoven Airport) aangezien daar andere partijen de zogenaamde bronbeheerders zijn.
Gemeente als bronbeheerder
De gemeente heeft alleen invloed op wegen waarvoor de gemeente Eindhoven wegbeheerder is, de gemeentelijke wegen. Daar is dit Actieplan geluid in de 4e tranche dan ook met name op gericht.
Gemeentelijk gebiedsgericht beleid
De gemeente heeft vooralsnog geen gemeentelijk gebiedsgericht geluidbeleid vastgesteld. De gemeente Eindhoven sluit aan bij de Bereikbaarheidsagenda Zuidoost-Brabant op het gebied van vervoer en mobiliteit.
Binnen de gemeente Eindhoven zijn diverse (geluid) saneringswoningen bekend. De woningen die op de zogenaamde A-lijst staan opgenomen hebben vrijwel allemaal éénmaal de mogelijkheid gehad om deel te nemen aan een saneringsproject.
Op de saneringslijst staan eveneens woningen op de B- en eindmeldingslijst opgenomen. De gemeente Eindhoven heeft hiervoor een aanvraag voor subsidie ingediend.
De uitvoering zal gefaseerd plaatsvinden onder de Wet geluidhinder, ook als de Omgevingswet in werking treedt.
De kosten voor de uitvoering van de sanering wordt betaald door het Rijk. Bij de aanvraag dient eveneens duidelijk gemotiveerd worden of het toepassen van bronmaatregelen (stiller wegdek), verkeersmaatregelen of overdrachtsmaatregelen tot de mogelijkheden behoren.
Algemeen
In dit onderdeel wordt ingegaan op de toekomstige situatie van de gemeente Eindhoven op het gebied van geluid.
Welke knelpunten gaan we oplossen?
In deze paragraaf is aangegeven waar we nu staan en welke knelpunten er binnen de gemeente aanwezig zijn. Deze knelpunten zijn bepaald op grond van de geluidbelastingskaarten en door de gemeente Eindhoven zijn enkele “hotspots” aangewezen. Voor een aantal knelpunten en “hotspots” is opgenomen wat de gemeente voor maatregelen in de planning heeft om het knelpunt/hotspots aan te pakken.
Uitgangspunten:
In het actieplan deel A is onder 3.3 opgenomen hoe de hotspots voor de aanpak van wegverkeer tot stand zijn gekomen.
Er zijn aanvullende berekeningen uitgevoerd met de Omgevingsregeling (Or ) die vanaf de inwerkingtreding van de omgevingswet geldig is. In de Omgevingswet is de Standaard rekenmethode SRM2 vervangen door de Omgevingsregeling (Or). Ook zijn tussen de Or en de SRM2 diverse verschillen, wel beperkter dan CNOSSOS. Omdat de resultaten met de CNOSSOS niet vergeleken kunnen worden met de vorige tranche en ook niet met de Or is gekozen om aan te sluiten bij de Nederlandse wet- en regelgeving. Met de omgevingsregeling zullen ook de toekomstige ruimtelijke ontwikkelingen bekeken worden.
Let op: De Or is eerder ook aangeduid als de rekenmethode Areg, hiermee wordt dezelfde rekenmethode aangeven.
De gemeente heeft voor wegverkeerslawaai alle hotspots vanaf 63 dB in beeld laten brengen. Om beleidsneutraal over te gaan is zoveel mogelijk de plandrempel van de vorige tranche gehanteerd, zie hiervoor tabel 6 opgenomen in paragraaf 4.8.2 van deel A.
De hotspots zijn bepaald op basis van de rekenmethode Or/Areg (Zie deel A, paragraaf 3.3).
De gemeente zal afhankelijk van de financiële middelen en andere ontwikkelingen binnen de gemeente en regio keuzes maken.
De volgende ruimtelijke ontwikkelingen worden verwacht, deze zijn weergegeven in tabel 10 en dit gaat over de woningbouwprojecten:
Algemeen
Niet alleen in Eindhoven, maar in heel Nederland wordt gewerkt aan nieuwe ruimtelijke opgaven. Het Rijk en de provincies hebben hiervoor ook Omgevingsvisies opgesteld.
Nationale Omgevingsvisie
De Nationale Omgevingsvisie (NOVI) kent vier prioriteiten en 21 ‘Nationale Belangen’ waarmee het Rijk de kwaliteit van de fysieke leefomgeving wil behouden en versterken. De Brabantse Omgevingsvisie is een samenhangende visie op de fysieke leefomgeving. De Omgevingsvisie bevat de belangrijkste ambities voor de fysieke leefomgeving voor de komende jaren.
De Brabantse Omgevingsvisie is een samenhangende visie op de fysieke leefomgeving. De Omgevingsvisie bevat de belangrijkste ambities voor de fysieke leefomgeving voor de komende jaren. Meer hierover is in hoofdstuk 4 van deel A te lezen of op de website van de provincie.
De Omgevingsvisie 1.0 van de gemeente Eindhoven is in 2020 vastgesteld. De omgevingsvisie is een beleidsinstrument voor de gemeente, voortkomend uit de omgevingswet. De Omgevingswet treedt in 2024 in werking en is een nieuw stelsel van regelgeving met regels over ruimte, wonen, infrastructuur, milieu, natuur en water. De gehele omgevingsvisie van Eindhoven is te downladen via de website van de gemeente Eindhoven.
Eindhoven: kloppend hart van Brainport. Dat is voor Eindhoven de kern van de Omgevingswet. Het is ook de kern van de Omgevingsvisie 1.0, de lange termijn blik op de ontwikkeling van Eindhoven. Hiermee is de Omgevingsvisie het belangrijkste kader voor grote en kleine ontwikkelingen in Eindhoven. In de visie wordt de positie van Eindhoven in de regio en blikken ze vooruit op het Eindhoven 2040: Als Brainport regio en de ambitie.
Omgevingsvisie 2.0
Eindhoven is in trek. Het aantal mensen dat hier woont en werkt neemt toe. Maar met woningen en bedrijven alleen, ben je er nog niet. Een fijne, leefbare stad vraagt ook om ruimte voor groen, klimaat, wegen, openbaar vervoer en goede voorzieningen. Hoe verhouden deze thema’s zich tot elkaar? Kunnen ze elkaar versterken of moeten er juist keuzes gemaakt worden? Daarover gaat de omgevingsvisie 2.0. voor Eindhoven.
Eindhoven heeft veel ambities en staat voor grote opgaven. Tot het jaar 2040 groeit Eindhoven naar 300.000 inwoners, worden er 40.000 nieuwe woningen gebouwd en komen er 36.000 nieuwe arbeidsplaatsen in de stad. De omgevingsvisie 2.0 geeft antwoord op de vragen: Welke stad willen we zijn? Welke stad zijn we op dit moment? Waar moeten we aan werken en hoe doen we dat? De omgevingsvisie beschrijft dus met welke opgaven er de komende jaren aan de slag gegaan wordt.
De omgevingsvisie toont aan hoe de verschillende onderdelen van de leefomgeving met elkaar samenhangen. Bijvoorbeeld: ruimte, water, milieu, natuur, landschap, gezondheid, mobiliteit en cultureel erfgoed.
Bij het opstellen van de omgevingsvisie gaan er keuzes gemaakt worden voor de uitwerking van de ambities en opgaven in de stad. Voor er keuzes gemaakt worden, onderzoeken we de mogelijke milieueffecten van de opgaven en ambities. Dit is verplicht. Dat gaat met een omgevingseffectrapport (OER). Een OER is een Milieueffectrapport (MER) waarbij naast de milieuthema’s zoals luchtkwaliteit en geluid ook thema’s zoals gezondheid onderzocht worden. In een OER wordt bijvoorbeeld onderzocht wat de mogelijke uitwerking van de opgaven en ambities betekent voor de gezondheid, luchtkwaliteit en toekomstbestendigheid van de stad.
Algemeen
In deze paragraaf worden belangrijke infrastructurele werken en ruimtelijke ordeningsplannen opgesomd, die een impact hebben op de afwikkeling van het verkeer (langzaam en snel) en daarmee ook op de door het verkeer veroorzaakte geluidbelastingen. Dit zijn zowel gemeentelijk, in de regio, provinciaal en landelijk.
Zero-emissiezone binnen de Ring
Eindhoven werkt in stappen aan een centrum zónder uitlaatgassen. Rijd je in een vrachtauto of bestelbus? Vanaf januari 2025 geldt voor nieuwe voertuigen de zero-emissiezone. Voor bestaande voertuigen gelden overgangsregelingen. Voor autobussen verandert er nog niks.
We gaan voor schone lucht, ruimte voor meer groen en meer aantrekkelijke en veilige ruimte om te wandelen, fietsen en verblijven. Wonen en werken in een omgeving die beter is voor de gezondheid van inwoners en bezoekers. Tegelijkertijd zetten we zo een belangrijke stap vooruit in het klimaatbeleid van Eindhoven. Ons doel is een zero-emissiezone binnen de Ring in 2030.
Bereikbaarheid Eindhoven
De gemeente Eindhoven heeft op hun website informatie opgenomen voor de bereikbaarheid[4].
Enkele van de ontwikkelingen in het kader van het Actieplan geluid worden hieronder benoemd
[4] https://www.eindhoven.nl/stad-en-wonen/verkeer/bereikbaarheid
Motie 30
De gemeente Eindhoven vindt het belangrijk dat kwetsbare verkeersdeelnemers, zoals fietsers en voetgangers, zich veilig kunnen verplaatsen. Daarom wordt de snelheidslimiet verlaagd naar 30 km/uur op verschillende wegen binnen de bebouwde kom, waar fietsers en gemotoriseerd verkeer gebruik maken van dezelfde rijbaan. Op deze wegen is dus geen gescheiden fietspad aanwezig. Dit is in lijn met de landelijke Motie 30 [5]. Een snelheidsverlaging van 50 km/u naar 30 km/u levert voor geluid een reductie op van circa 3 dB.
De maximumsnelheid wordt in mei 2024 verlaagd in de volgende straten en in figuur 9 weergegeven:
• Edenstraat (Hoogstraat – J. Smitzlaan)
• Mecklenburgstraat (Mauritsstraat - Palingstraat)
• P Czn Hooftlaan (Bilderdijklaan - Stratumsedijk)
• Tongelresestraat (Ring – Geldropseweg)
• Tivolilaan en St Petrus Canisiuslaan (Geldropseweg - Heezerweg)
• Floralaan West (Aalsterweg - Roostenlaan)
• 2e Lieven de Keylaan, Hendrik de Keyzerplein en een deel van 1e Lieven de Keylaan
• Ventweg Insulindelaan en Ds Theodoor Fliednerstraat
• Wolvendijk (Windevlinderstaat - Keizersmantelstraat)

Project Bundelroutes
De Bereikbaarheidsagenda ZO-Brabant gaat uit van het naar buiten brengen van doorgaand autoverkeer naar de robuuste randen: N279-A67-A2-A58-A50. In het Middengebied/Rijk van Dommel en Aa blijven diffuse stromen rijden over wegen die hiervoor niet geschikt zijn en daarbij voor leefbaarheidsproblemen zorgen in kernen en het buitengebied. De bundelroute zou deze diffuse stromen moeten opvangen en de overlast verminderen. Het resultaat is een breed pakket aan maatregelen om de doorstroming en leefbaarheid te verbeteren.
Maatregelen voor de verbetering van de doorstroming op de aansluitingen van de Ring op de Kennedylaan en Eisenhowerlaan/A270, onder andere door infrastructurele ingrepen en doorstromingsmaatregelen. De route is de bundelingsroute voor regionaal autoverkeer die het oostelijk en westelijk deel van de regio intern met elkaar verbindt en functioneert als verbindingsroute naar het nationaal hoofdwegennet. Er worden maatregelen genomen om de kwaliteit van de leefomgeving te behouden of te herstellen (lucht, geluid).
In de Verkennende studie Bundelroutes zijn kaders gedefinieerd voor vijf projectclusters op de Bundelroutes, waaronder projectcluster 5 ‘Planstudie 2e Aansluiting Ekkersrijt’. Dit project onderzoekt op welke locatie een 2e aansluiting voor het bedrijventerrein Ekkersrijt het beste past. De planstudie voor deze 2e aansluiting moet leiden tot een intentie-overeenkomst met visiedocument voor het voorkeursalternatief van het wegtracé met bijbehorend vlekkenplan voor de toekomstige bestemmingen in het gebied. Bij de tracébepaling wordt een integrale afweging gemaakt voor de Gebiedsontwikkeling. Daarna ligt het accent op de uitwerking van de voorkeursvariant met ontwerp, financiering, procedures en uitwerkingsverplichtingen op grond van wet- en regelgeving.
2.4.5.2.1 Snelfietsroute De Run - HTCE -Geldrop
Algemeen
De gemeente Eindhoven zoekt naar een goede, snelle en veilige verbinding voor fietsverkeer. De gemeente vindt goede fietsverbindingen belangrijk. Dit stimuleert fietsgebruik, wat gezond en duurzaam is.
Snelfietsroute De Run - HTCE - Geldrop
De HTCE en bedrijventerrein de Run behoren tot de economische toplocaties in de regio en huisvest een aantal grote werkgevers. De autoverbindingen op deze relatie zijn zwaar belast De afstand tussen Geldrop, de zuidelijke wijken van Eindhoven en HTCE en De Run is met 10-15 km potentieel aantrekkelijk voor fietsers en e-bikers.
Het betreft de aanleg van een fietsroute tussen Eindhoven en Geldrop als onderdeel van de verbinding De Run – HTCE – Eindhoven – Geldrop . Het definitieve tracé dient nog bepaald te worden, waarbij met name het kruisen van de Leenderweg speciale aandacht vraagt.
2.4.5.2.2 Snelle fietsroute Deurne - Eindhoven
Een uitmuntende fietsverbinding tussen Helmond en Deurne kan, ook gelet op de afstand, concurreren met de auto. Veel mensen pendelen dagelijks met de auto over de N270 tussen Deurne en Helmond. Door het aanbieden van goede en veilige fietsvoorzieningen kan de druk op de N270 wellicht verminderen. Vooral in de ochtend- en avondspits loopt deze weg tegen de grenzen van de capaciteit aan. Dit leidt tot dagelijkse files/vertragingen.
Er zijn in Eindhoven nog diverse ontbrekende schakels en tracédelen die moeten worden opgewaardeerd tot snelle fietsroute. Het gaat om de parallelweg Prof Dr. Dorgelolaan, de Berenkuil, een deel van de Celebeslaan, de Koudenhovenseweg-Zuid, ’t Hofke, de Loostraat en de noordzijde spoorlijn tot aan de Kleine Dommel, alle in Eindhoven.
2.4.5.2.3 Snelfietsroute Gemert - Eindhoven
Een uitmuntende fietsverbinding tussen Gemert en Eindhoven kan, ook gelet op de afstand, concurreren met de auto. Veel mensen pendelen dagelijks met de auto op deze relatie. Door het aanbieden van goede en veilige fietsvoorzieningen kan de druk op de N615 verminderen. Een snelfietsroute Gemert-Laarbeek-Nuenen-Eindhoven maakt fietsen over grote afstanden extra aantrekkelijk, vooral voor woon-werk verkeer, deze fietsroute draagt daaraan bij.
De snelfietsroute wordt gerealiseerd in drie deelprojecten, waaronder het tracé in Eindhoven vanaf de Berenkuil via de Eisenhowerlaan en Wolvendijk tot aan de Opwettenseweg in Nuenen.
2.4.5.2.4 Snelfietsroute Son en Breugel - Eindhoven
Een uitmuntende fietsverbinding tussen Son en Breugel en Eindhoven kan, ook gelet op de afstand, concurreren met de auto. Veel mensen pendelen dagelijks met de auto op deze relatie. Door het aanbieden van goede en veilige fietsvoorzieningen kan de druk op het autoverbindingen verminderen. Een snelfietsroute Eindhoven-Son en Breugel-Sint Oedenrode-Veghel maakt fietsen over grote afstanden extra aantrekkelijk, vooral voor woon-werk verkeer, deze snelfietsroute draagt daaraan bij.
2.4.5.2.5 Snelle fietsroute Weert - Eindhoven
Een uitmuntende fietsverbinding tussen Weert en Eindhoven kan reizigers op deze relatie en tussenliggende relaties een alternatief bieden voor reizen met de auto of het openbaar vervoer. Gelet op de afstand is het mogelijk de gehele afstand binnen redelijke tijd te overbruggen met een e-bike. Veel mensen pendelen dagelijks met de auto over de A2 tussen Weert en Eindhoven en op tussenliggende relaties en veroorzaken daar dagelijks congestie. Door het aanbieden van goede en veilige fietsvoorzieningen kan de druk op de A2 wellicht verminderen. In het MIRT-onderzoek 2017 is de fietsverbinding als een van de kansrijke oplossingsrichtingen aangeduid (maatregelenpakket B).
De wens is de realisering van een snelle fietsroute te realiseren van Weert naar Eindhoven met connecties met Maarheeze, Leende, Valkenswaard en Waalre. Allereerst wordt de potentie en het tracé onderzocht in een haalbaarheidsstudie voordat vervolgstappen worden gezet.
2.4.5.2.6 Snelfietsroute Eindhoven - Best
Een uitmuntende fietsverbinding tussen Best en Eindhoven kan, ook gelet op de afstand, concurreren met de auto. Veel mensen pendelen dagelijks met de auto op deze relatie. Door het aanbieden van goede en veilige fietsvoorzieningen kan de druk op het wegennet tussen Best en Eindhoven verminderen. Een snelfietsroute Best-Eindhoven maakt fietsen over grote afstanden extra aantrekkelijk, vooral voor woon-werk verkeer, deze fietsroute draagt daaraan bij.
Deze snelfietsroute maakt deel uit van het provinciale Uitvoeringsprogramma Fiets in de Versnelling. De route loopt van Den Bosch via Vught, Boxtel en Best naar Eindhoven. In 2017 wordt op basis van een verkenning van verschillende varianten het voorkeurstracé bepaald.
Voor het deel Best-Eindhoven zijn twee tracés in beeld, namelijk:
- opwaardering van de route Oude Rijksweg – Eindhovenseweg-Zuid – Boschdijk
- nieuw te realiseren verbinding, grotendeels langs het spoor.
2.4.5.2.7 Slowlane (westelijk deel Best - Veldhoven)
Om het gebruik van de fiets in het daily urban system te bevorderen moet het fietsnetwerk compleet zijn en van goede kwaliteit. Dat is op nog niet alle relaties in de regio het geval. Zo wordt de fietsstructuur in en rondom Eindhoven met de Slowlane verbeterd. De Slowlane is een snelfietsroute die de campussen in en rond de stad met elkaar verbindt. Delen van de route zijn reeds gerealiseerd. Op het grondgebied van de gemeente Best is nog een aantal ontbrekende schakels die de komende jaren gerealiseerd worden. Het deel Slowlane onder de A58 wordt binnen dit project door Rijkswaterstaat uitgevoerd in het kader van Innova58.
2.4.5.2.8 Slowlane (Oostelijk deel Eindhoven Noordoost)
Om het gebruik van de fiets in het daily urban system te bevorderen moet het fietsnetwerk compleet zijn en van goede kwaliteit. Dat is op nog niet alle relaties in de regio het geval. Zo wordt de fietsstructuur in en rondom Eindhoven met de Slowlane verbeterd. De Slowlane is een snelfietsroute die de campussen in en rond de stad met elkaar verbindt. Delen van de route zijn reeds gerealiseerd.
Op het grondgebied van de gemeente Son en Breugel en Eindhoven moet nog een aantal ontbrekende schakels gerealiseerd worden. Het betreft het gedeelte over Ekkersrijt, door Blixembosch richting rotonde Eindhoven.
2.4.5.2.9 Fietsverbinding Pendelroute Best - Eindhoven
Een uitmuntende fietsverbinding tussen Best en Eindhoven kan, ook gelet op de afstand, concurreren met de auto. Veel mensen pendelen dagelijks met de auto op deze relatie. Door het aanbieden van goede en veilige fietsvoorzieningen kan de druk op het autoverbindingen verminderen.
Het betreft de nieuw aan te leggen fietsverbinding Pendelroute tussen Best en Eindhoven. De verbinding omvat ca. 1 km fietspad, waarvan 600 m op Bests grondgebied en 400 m op het grondgebied van Eindhoven. De route kruist de A2/A58 aan de westzijde van de spoorlijn Den Bosch – Eindhoven en sluit in zowel Eindhoven als Best aan op bestaande fietsvoorzieningen. De Pendelroute heeft als doel de maaswijdte in het fietsnetwerk te verkleinen door de barrière A2/A58 te verkleinen. De route maakt onderdeel uit van een grotere route, waarbij meer direct van centrum naar centrum gereden kan worden.
2.4.5.3.1 Snelle busverbinding
De gemeente Eindhoven, gemeente Veldhoven en provincie Noord-Brabant onderzoeken een nieuwe snelle busverbinding - hoogwaardig openbaar vervoer (HOV) - van Eindhoven Centrum naar De Run. De precieze route van deze busverbinding is nog niet bepaald. Het onderzoek gaat hier duidelijkheid over geven. Grofweg gaat de buslijn vanuit het station en het centrum van Eindhoven via de Karel de Grotelaan en Kempenbaan naar het terrein van ASML, met een aftakking naar de High Tech Campus.
2.4.5.3.2 HOV Eindhoven - Geldrop
Door het realiseren van hoogwaardig openbaar vervoerassen kan het daily urban system beter functioneren en wordt de aantrekkelijkheid van het openbaar vervoer vergroot.
De HOV-as Eindhoven-Geldrop is nog niet volledig gerealiseerd. Daardoor zijn de huidige verliestijden voor het OV (bestaande uit 3 buslijnen) nog te hoog. Om dit te verbeteren worden de busstroken Eindhovenseweg (Geldrop) en Geldropseweg (Eindhoven) tussen de kruispunten DAF 3 en St. Petrus Canisiuslaan op Eindhovens en Geldrops grondgebied verlengd.
- fase 1 betreft de realisering van de no-regret maatregel
- fase 2 betreft een eventuele aanpak van de dan nog ontbrekende delen van de HOV-as.
2.4.5.3.3 HOV verbinding Eindhoven - De Kempen
Het project heeft tot doel het stimuleren van het gebruik van het openbaar vervoer door de doorstroming op de openbaar vervoerlijn tussen Eindhoven Neckerspoel-Veldhoven-Eersel-Bladel-Reusel te verbeteren tot HOV-niveau. De optimale route wordt bepaald, er wordt prioriteit aan bussen gegeven en (infrastructurele) maatregelen getroffen bij kruispunten en zwaar belaste wegvakken op de route. Grootschalige ingrepen zijn te verwachten op de N284, de A67 (omgeving HUB Eersel-A67), Kempenbaan in Veldhoven en de Karel de Grote laan in Eindhoven. Bussen moeten sneller (liefst zonder vertraging als gevolg van verkeersdrukte) kruispunten en knelpunten passeren. Eventueel wordt gezocht naar combinaties met collectief besloten vervoer, met name in relatie tot de HUB Eersel-A67. Infrastructurele maatregelen in de directe nabijheid van de HUB vormen geen onderdeel van dit project.
In het noordwesten van Eindhoven komt HOV3, de derde Hoogwaardig Openbaar Vervoerlijn in Eindhoven. Daarmee verbindt Eindhoven de grote werkgevers in Eindhoven Noordwest met het HOV-netwerk.
Waarom HOV3
De Brainportregio wordt steeds belangrijker voor de Nederlandse economie. Dat is goed te zien in het noordwesten van Eindhoven. Rond Eindhoven Airport, op BIC en op het GDC werken nu al 14.000 werknemers en dat aantal gaat de komende jaren bijna verdubbelen. Dat betekent ook een groei van de mobiliteit in het gebied. Zonder maatregelen zit die groei vooral in het autoverkeer. Daar is niet voldoende ruimte voor en het heeft negatieve gevolgen op het gebied van leefbaarheid, veiligheid en luchtkwaliteit. Eindhoven investeert daarom samen met de regio in alternatieven voor de auto. Bijvoorbeeld in de vorm van snelfietsroutes en in de aanleg van een Hoogwaardig Openbaar Vervoernetwerk.
Hoe gaat HOV3 eruit zien
In 2021 is het Voorlopig Ontwerp HOV3 vastgesteld. Het voorlopig ontwerp is inmiddels uitgewerkt in een definitief ontwerp. Het tracé tussen Eindhoven Centraal en Woensel is al aangelegd (onderdeel van het HOV2). Voor HOV3 leggen we nu het tracé aan vanaf Woensel tot Eindhoven Airport via de Marathonloop, Anthony Fokkerweg, Bedrijventerrein GDC Acht en de Brainport Industries Campus (BIC). Over het gehele traject wordt een busbaan aangelegd, uitgezonderd het laatste stukje over de Luchthavenweg. De Luchthavenweg wordt wel vernieuwd (groot onderhoud), maar het profiel is zodanig smal dat het inpassen van een busbaan op dit moment nog niet mogelijk is.
Meer informatie in te vinden op www.eindhoven.nl/hov3
Een nieuwe verbinding van Eindhoven Centrum naar Veldhoven De Run. Bewoners en werknemers van nu en straks kunnen hier gebruik van maken, zo maken we belangrijke woon- en werklocaties in de regio beter bereikbaar.
De stad groeit
Tot het jaar 2040 groeien we als stad naar 300.000 inwoners, daarom bouwen we 40.000 nieuwe woningen. Er komen ook 36.000 nieuwe arbeidsplaatsen bij in de stad. Dé banenmotor van de regio is ASML, er komen niet alleen meer banen bij het bedrijf zelf. De werkgelegenheid bij toeleveranciers en dienstverleners in de hele regio neemt toe. ASML en andere bedrijven werken dan ook mee aan het oplossen van de mobiliteits- en woningbouw-knelpunten.
Alternatieven voor de auto
Zonder maatregelen zal er vooral meer autoverkeer ontstaan. Daar is niet voldoende ruimte voor en het heeft negatieve gevolgen op het gebied van leefbaarheid, veiligheid en luchtkwaliteit. We investeren daarom in alternatieven voor de auto. Het comfort dat de HOV biedt, moet concurreren met de auto, zodat we die steeds vaker laten staan.
Het tracé loopt gaat lopen van het centrum van Eindhoven via de Mecklenburgstraat en de Karel de Grotelaan naar de Run in Veldhoven.
Meer informatie in te vinden op www.eindhoven.nl/hov4
2.4.5.3.6 OV knooppunt Eindhoven Genneper parken
Een goede OV-verbinding tussen Eindhoven, Aalst en Valkenswaard draagt bij aan een vermindering van het autoverkeer op de drukke N69 en vermindert het autogebruik in Eindhoven. Binnen Eindhoven is de bestaande OV-verbinding met Valkenswaard al opgewaardeerd tot HOV-lijn. Daarmee is het een beter alternatief voor de automobilist op de relatie. De kwaliteit van de openbaar vervoerlijn wordt verder verbeterd door aan de zuidrand van Eindhoven bij Genneper parken een P+R-voorziening toe te voegen. Daarmee kunnen meer autobezoekers aan de Eindhovense binnenstad overstappen op het openbaar vervoer. Dit heeft een positief effect op de bereikbaarheid (minder autoverkeer), leefbaarheid (minder milieubelasting) en verkeersveiligheid (minder autoverkeer).
2.4.5.3.7 HOV NS-Best/Eindhoven Airport/Veldhoven
Om het gebruik van het openbaar vervoer in combinatie met voor- en natransportmiddelen te bevorderen worden de OV-knooppunten verbeterd door het bieden van meer voorzieningen, zoals parkeerplaatsen stallingen, etc.. Goede overstapmogelijkheden dragen bij aan een co-modaal vervoerssysteem. Door het verder uitbouwen van de OV-verbinding tussen NS-Best en Veldhoven via Eindhoven-Airport (lijn 20), worden tangentiële verbindingen in het stedelijk gebied mogelijk en verbeteren de reismogelijkheden per openbaar vervoer. Daarmee worden belangrijke locaties in de regio, zoals Eindhoven Airport en Brainport Industries Campus, De Run, High Tech Campus, Philips Health Campus en de legerplaats Oirschot vanuit Best en Veldhoven uitstekend bereikbaar en is er toegang tot het totale (regionaal) (H)OV- systeem.
2.4.5.3.8 Busstation Neckerspoel
Om het gebruik van het openbaar vervoer in combinatie met voor- en natransportmiddelen te bevorderen worden de OV-knooppunten verbeterd door het bieden van meer voorzieningen, zoals parkeerplaatsen, stallingen etc. Goede overstapmogelijkheden dragen bij aan een co-modaal vervoerssysteem.
NS-Eindhoven CS is het belangrijkste OV-knooppunt in de regio. Hier komen een groot aantal lijnen bij elkaar en vinden talloze overstapbewegingen per dag plaats. Het spoorstation heeft dagelijks circa 60.000 gebruikers. Aan de noordzijde (Stationsplein Noord) bevindt zich Neckerspoel, het centrale busstation in de stad (met ongeveer 45.000 gebruikers per dag) en toegangsplein vanuit het noorden. De noordzijde wordt gefaseerd aangepakt:
In fase 1 wordt de ruimtelijke kwaliteit en veiligheid verbeterd door herinrichting van de openbare ruimte en de realisering van een nieuwe Kiss and Ride –strook en een bushalte internationale bussen
In fase 2 wordt de capaciteit van het busstation uitgebreid om ruimte te bieden aan het groeiend aantal reizigers en HOV-lijnen. Busstation Neckerspoel moet een overzichtelijke plek worden waar bussen snel in en uit kunnen rijden met maximaal comfort voor reizigers en met ruimte voor toekomstige groei. De wijze waarop het busstation wordt aangepast is nog onderwerp van onderzoek.
Om het gebruik van het openbaar vervoer in combinatie met voor- en natransportmiddelen te bevorderen worden de OV-knooppunten verbeterd door het bieden van meer voorzieningen, zoals parkeerplaatsen, stallingen etc. Goede overstapmogelijkheden dragen bij aan een co-modaal vervoerssysteem.
Eindhoven CS is het belangrijkste OV-knooppunt in de regio. Hier komen een groot aantal lijnen bij elkaar en vinden talloze overstapbewegingen per dag plaats. Het Stationsplein Zuid is dagelijks dé entree voor duizenden bezoekers aan deze regio. Daarbij hoort een hoogwaardige entree die past bij de stad en regio, die in een keer laat zien, voelen en beleven dat je in Brainport Eindhoven bent. Daarom wordt er in deze gebiedsontwikkeling aan de volgende onderdelen gewerkt:
- ontwikkeling van een nieuw iconisch complex;
- herinrichting van de openbare ruimte;
- realisatie van een fietsenkelder (4.000 fietsen);
- afwaarderen van de Stationsweg: prioriteit aan voetganger en fietser.
2.4.5.3.10 Busstation Neckerspoel fietsenstalling
Om het gebruik van het openbaar vervoer in combinatie met voor- en natransportmiddelen te bevorderen worden de OV-knooppunten verbeterd door het bieden van meer voorzieningen, zoals parkeerplaatsen, stallingen etc. Goede overstapmogelijkheden dragen bij aan een co-modaal vervoerssysteem.
NS-Eindhoven CS is met afstand het belangrijkste OV-knooppunt in de regio. Hier komen een groot aantal lijnen bij elkaar en vinden talloze overstapbewegingen per dag plaats. Het spoorstation heeft dagelijks circa 60.000 gebruikers. Aan de noordzijde (Stationsplein Noord) bevindt zich Neckerspoel, het centrale busstation in de stad (met ongeveer 45.000 gebruikers per dag) en toegangsplein vanuit het noorden. De noordzijde wordt gefaseerd aangepakt:
Bij het busstation Neckerspoel wordt een nieuwe fietsenstalling gerealiseerd.
2.4.5.4.1 Kempenbaan Oost Veldhoven
De Kempenbaan is een van de belangrijke schakels in het lokale wegennet van Veldhoven via welke de gemeente en de daarin gevestigde bedrijvigheid bereikbaar zijn. De Kempenbaan is de belangrijkste ontsluiting van bedrijventerrein De Run, een economische toplocatie in de regio . Momenteel is de Kempenbaan niet in staat het dagelijks verkeersaanbod goed te verwerken. Daarom werkt de gemeente Veldhoven aan opwaardering van de Kempenbaan.
Het wegvak Oost omvat aanpassingen aan de bestaande Kempenbaan inclusief de aansluiting op de N2 Randweg- Karel de Grotelaan (Eindhoven) en het kruispunt Kempenbaan 3100/4200.
Werkgevers binnen de Brainport regio.
Ook de werkgevers hebben een werkgeversaanpak: Brainport Bereikbaar. Op hun website staan tal van initiatieven opgenomen om de regio en ook Eindhoven bereikbaar te houden. Op deze locatie kan meer informatie gevonden worden https://www.brainportbereikbaar.nl/.
SmartwayZ.NL is het innovatieve mobiliteitsprogramma in Zuid-Nederland. Binnen het programma realiseren ze de belangrijke schakels in de verstedelijking en het mobiliteitssysteem van de toekomst. De aanpak varieert van het ontwikkelen van slimme oplossingen en het stimuleren van duurzaam reisgedrag tot het verbreden van snelwegen en het verbeteren van vervoersknooppunten. Meer dan 200 partners werken binnen het programma samen, waaronder het Ministerie van Infrastructuur en Waterstaat, Rijkswaterstaat, de provincies Noord-Brabant en Limburg, diverse gemeenten, bedrijven en kennisinstellingen. Samen werken aan een slim, veilig en duurzaam mobiliteitssysteem in Zuid-Nederland. Op de website https://www.smartwayz.nl/nl/ staan tal van initiatieven opgenomen.
Uit onderzoek blijkt dat na realisatie van de deelopgaven InnovA58, N279 en A67 een nieuwe opgave ontstaat voor de randweg Eindhoven (A2, N2 en A50). Samen met experts onderzochten ze de mogelijke oplossingsrichtingen voor deze knelpunten. In 2021 is er een pakket aan concrete maatregelen voorgesteld om de randweg Eindhoven en de A50 in de toekomst bereikbaar te houden.
De uitvoering van de maatregelen vindt naar verwachting van 2023 tot en met 2030 plaats. Het moet de groei van het autoverkeer beperken en zorgen dat de verwachte knelpunten niet of later optreden. Meer informatie is te vinden op:
https://www.smartwayz.nl/nl/infrastructuur/a2-randweg-eindhoven-en-de-run/ en op https://www.veldhoven.nl/data/downloadables/1/0/4/4/derun-maatregelenposter-a4.pdf
De bereikbaarheid van de Brainportregio komt onder druk te staan door de economische groei en de invulling van de woningbouwopgave. Het MIRT[6]-onderzoek Bereikbaarheid en Verstedelijking Brainport Eindhoven moet inzichtelijk maken welke grote opgaven de regio te wachten staan. Het integraal MIRT-onderzoek Verstedelijking en Bereikbaarheid Brainport is afgerond. Rijk en regio zijn eensgezind over de koers en zullen gezamenlijk inzet plegen om de Brainportregio richting 2040 verder te ontwikkelen. https://www.smartwayz.nl/nl/infrastructuur/mobiliteit-en-verstedelijking-brainportregio/.
Uit het in 2020 uitgevoerde MIRT-onderzoek ‘verstedelijking en bereikbaarheid Brainportregio” blijkt dat de regionale opgaven met betrekking tot woningbouw en bedrijvigheid voor een deel ook betrekking heeft op Eindhoven. Alhoewel de vraag hoe groot deze groei dan moet en kan zijn in Eindhoven op dit moment nog niet geheel beantwoord is, wordt in deze omgevingsvisie uitgegaan van een toevoeging van ca. 5.000 woningen en ca. 7.500 arbeidsplaatsen in de periode tot aan 2040. Het overgrote deel van de woningen zit al in bekende plannen, locaties en afspraken zoals de Woondeal en zal binnenstedelijk worden ingevuld. Nieuw is dat nu ook nadrukkelijk naar een deel van bedrijventerrein De Run wordt gekeken als plek om ‘wonen’ te introduceren, als onderdeel van de transformatie van een klassiek ‘modern gemengd bedrijventerrein’ naar toekomstbestendige stedelijke werkmilieus.
[6] MIRT staat voor Meerjarenprogramma Infrastructuur, Ruimte en Transport
Zoals uit het actieplan blijkt is de gemeente en regio volop bezig om de bereikbaarheid te verbeteren. Dit wordt in een breder kader bekeken en uitgevoerd.
Het effect van de maatregelen uit hoofdstuk 3 laten zich lastig vertalen in aanpassingen van de geluidbelastingen als ook in kosten. Helder is dat er volop aandacht is om de situatie niet te laten verslechteren, maar juist te verbeteren.
Zoals te lezen is zijn er veel plannen en maatregelen die de gemeente wil gaan treffen op korte en langere termijn, sommige concreet en meerdere zullen nog verder uitgewerkt gaan worden.
Voor de kosten en financiereng van de maatrelen kan in dit actieplan geen invulling gegeven worden.
Een aantal van de maatregelen hoort bij een afdeling van de gemeente thuis, denk aan het vervangen van een wegdek. Ander maatregelen horen met (deel) financiering ook bij andere partijen thuis zoals het openbaar vervoer.
Per uit te voeren maatregelen zal binnen de gemeente in een breder kader een afweging gemaakt dienen te worden hoe de kosten en financiering zal gaan plaatsvinden.
Het document betreft een definitief actieplan.
Het definitieve Actieplan Geluid is op 1 oktober 2024 door het college van burgemeester en wethouder van de gemeente Eindhoven vastgesteld. Vervolgens heeft in het Gemeenteblad en op de website van de gemeente Eindhoven publicatie van deze vaststelling plaatsgevonden
Op het Actieplan Geluid is vervolgens geen bezwaar of beroep meer mogelijk.
Europese richtlijn omgevingslawaai (nr. 2002/49/EG inzake de evaluatie en de beheersing van omgevingslawaai).
Wet milieubeheer, staatsblad 266 van 20 juni 2012 en Wm in algemeen
Besluit geluid milieubeheer, staatsblad 163 van 19 april 2012
Regeling geluid milieubeheer, Staatscourant 11812 van 27 juni 2012
Informatiepunt IPLO: informatie met betrekking tot de Omgevingswet
Kenniscentrum Infomil
Website van de gemeenten Best, Eindhoven, Geldrop-Mierlo, Helmond, Nuenen c.a. en Veldhoven
Website van de provincie Noord-Brabant
RIVM, website en rapporten
Rapporten van dBvision en dgmr
Websites Smartwayz en Metropool Regio Eindhoven
Websites, rijksoverheid voor de Nationale Omgevingsvisie en Nota Ruimte
Afkorting | Uitleg |
Bal | Besluit activiteiten leefomgeving |
Bbl | Besluit bouwwerken leefomgeving |
BBMA: | BrabantBrede ModelAanpak verkeersmodel |
bge: | BasisGeluidEmissie |
Bkl | Besluit kwaliteit leefomgeving |
cvvg: | Centrale Voorziening Geluidgegevens |
END | Environmental Noise Directive |
EU | Europese Unie |
gpp: | GeluidProductiePlafond |
InfoMil | Kenniscentrum InfoMil biedt praktische ondersteuning bij uitvoering van omgevingsbeleid),tot 31‑12‑2023 van toepassing waaronder de geluidbelastingskaarten |
IPLO | Informatiepunt Leefomgeving (bundelt informatie over bodem, bouwen, water, milieu en de Omgevingswet), vanaf 1‑1‑2024 van toepassing. |
LAeq in dB(A) | Equivalent betekent gelijk. Betreft een A-gewogen Equivalent Geluidniveau: het lange termijn gemiddelde van het wisselende geluidniveau, voorzien van de A-weging (gehoorcorrectie voor lage en gemiddelde geluidniveaus). |
Lden in dB | Level Day-Evening-Night. De gemiddelde geluidbelasting in decibel (dB) per etmaal (24 uur). |
Lnight in dB | Level Night. De gemiddelde geluidbelasting in decibel (dB) in de nachtperiode (van 23:00-07:00 uur). |
NVOI | Nationale Omgevingsvisie |
ODZOB: | Omgevingsdienst Zuidoost-Brabant |
Or | Omgevingsregeling |
Ow: | Omgevingswet |
RVMK: | Regionale Verkeers- en Milieukaart |
Rgm | Regeling geluid milieubeheer |
Wgh: | Wet geluidhinder |
Wm: | Wet milieubeheer |
Voor de zes gemeenten in de agglomeratie Eindhoven zijn voor de peiljaren 2006 (1e), 2011 (2e), 2016 (3e) en 2021 (4e) in het kader van de kartering END geluidbelastingskaarten opgesteld. Deze zijn opgesteld voor de 1e, 2e, 3e en 4e tranche van de EU-richtlijn Omgevingslawaai. Het opstellen van de END geluidbelastingskaarten is een wettelijke verplichting voor deze agglomeratie gemeenten.
Tussen deze kaarten bestaat een aantal opvallende verschillen. Deze verschillen hebben een aantal oorzaken, zoals de te hanteren rekenmethode, de opzet van het verkeersmodel, de manier van bepalen van de verkeersintensiteiten, voertuigverdeling, pandenbestanden en adrespunten. Deze belangrijkste verschillen worden hieronder toegelicht. Vervolgens wordt aangegeven wat de consequenties hiervan zijn. In deze 4e tranche worden de geluidbelastingskaarten ook als END geluidkaarten aangeduid waarbij END staat voor = Environmental Noise Directive.
De regelgeving over de geluidbelastingkaart is op een aantal punten in deze 4e tranche kartering ingrijpend veranderd. Dat heeft grote consequenties voor de END-geluidbelastingskaart.
Voor de 4e tranche zijn de gemeenten van 3e tranche wederom aangewezen, de gemeenten zijn in de 4e tranche allen in of als agglomeratie aangewezen. Voor de gemeenten binnen de agglomeratie Eindhoven zijn geen wijzingen geweest.
Ook de 12 provincies en de het Ministerie van Infrastructuur en Waterstaat namens de rijksoverheid (voor de hoofdspoorwegen, rijkswegen en Schiphol) zijn aangewezen overheden voor de geluidbelastingskaarten en Actieplannen.
Berekeningen en uitgangspunten in de 4e tranche
Door diverse grote wijzigingen in deze 4e tranche kunnen de resultaten niet zondermeer vergeleken worden met die uit vorige tranches. Een aantal van deze wijzigingen staan hieronder opgenomen.
Europese rekenmethode: CNOSSOS
In de 4e tranche zijn de berekeningen van de geluidbelasting Lden en Lnight uitgevoerd moeten worden volgens de rekenmethode “CNOSSOS”. De Europees gestandaardiseerde “gemeenschappelijke rekenmethode” uit de Europese richtlijn 2015/996 van 19 mei 2015 is opgenomen in de Nederlandse wetgeving. Vanaf 2022 rekent heel Europa met CNOSSOS, de nieuwe rekenmethode geluid.
De rekenmethode CNOSSOS is begin 2022 beschikbaar gekomen en wijkt op diverse punten af van de eerder gehanteerde rekenmethoden. Het Rijksinstituut voor Volksgezondheid en Milieu (RIVM) heeft een handreiking modelleren volgens CNOSSOS_EU beschikbaar gesteld.
Deze Europese rekenmethode CNOSSOS is anders dan de eerder gehanteerde SRM2-rekenmethode uit de eerdere karteringstranches.
Het gebruik van een andere rekenmethode leidt tot andere rekenresultaten. De consequentie is dat een vergelijking tussen 2021 en eerdere jaren niet direct te maken is. Om die reden heeft het RIVM een onderzoek laten uitvoeren naar de mate van het verschil met de eerdere karteringstranches.
Op de website van het IPLO zijn in februari 2024 een notitie en 2 rapporten beschikbaar gesteld. De notitie en rapporten zijn vinden op: https://iplo.nl/thema/geluid/regels-geluid-handig-toepassen/uitvoering-Actieplan-geluid/onderzoek-rekenmethode-cnossos/
Er zijn verschillen bij het berekenen van:
de overdracht;
en de emissies van voertuigen;
er is ook en verschil in de wijze waarop aantallen blootgestelden geteld moet worden.
Net als de rekenmethodes SRM2 voor weg- en railverkeer en methode II uit de HMRI is het een (empirische) rekenmethode. De gehanteerde formules voor schermwerking, bodemdemping en dergelijke zijn wel anders in CNOSSOS. Hierdoor kan een kaart geproduceerd met CNOSSOS niet direct vergeleken worden met een kaart geproduceerd met SRM2 of SKM2, zoals in de vorige tranches zijn opgesteld.
Naast de overdracht zijn er ook verschillen ten aanzien van de bepaalde emissiekentallen van voertuigen en de benodigde databehoefte.
Aantal bewoners per huishouden
Het aantal bewoners van woningen wordt berekend met het gemiddelde huishoudensgrootte volgens de meest recente publicatie van het Centraal Bureau voor de Statistiek (artikel 6 Rmg). Begin 2021 wonen gemiddeld 2,14 mensen in een Nederlands huishouden. Bij de 3e tranche was dit 2,2 mensen in een Nederlands huishouden. De bepaling van het aantal blootgestelden is fundamenteel anders vergeleken met eerdere tranches. In de Handreiking modelleren volgens CNOSSOS-EU is dit opgenomen. Met name bij meerdere adressen per BAG-pand dient op een andere wijze dan bij vorige tranches dit bepaald te worden.
Gezondheidseffecten door geluid
Uiteindelijk is er ook een verschil in de wijze waarop aantallen blootgestelden geteld moet worden. De Europese richtlijn omgevingslawaai is gewijzigd voor het bepalen van de gezondheidseffecten via de richtlijn (EU) 2020/367 van de Commissie van 4 maart 2020. De bijlage 2 van de Regeling geluid milieubeheer (eerder met de dosiseffectrelaties) is daarop aangepast. Deze zijn verwerkt in bijlage XIX van de Omgevingsregeling (dosis-effectrelaties voor Actieplannen geluid).
De gezondheidseffecten door geluid worden nu beschreven in het Actieplan geluid van de 4e tranche en niet meer bij de END-geluidbelastingkaart.
Ligging contouren
Het Europees Agentschap heeft geconstateerd dat landen op een verschillende wijze hiermee omgaan en heeft hierover een advies uitgebracht. In de 4e tranche liggen de contouren als volgt:
Of te wel, een 55 dB-contour ligt op 55,0 dB.
In de vorige tranches is afgerond naar het dichtstbijzijnde gehele getal in dB.
Bekendmakingswet
De publicatie van de geluidbelastingkaart gaat volgens de Bekendmakingswet. Deze is via de Wet elektronische publicaties gewijzigd. Volgens deze wet worden alle wettelijk voorgeschreven bekendmakingen, mededelingen en kennisgevingen gedaan in de officiële elektronische publicatiebladen. Voor gemeenten is dat een gemeenteblad en voor provincies een provinciaal blad. De toegankelijkheid en de kenbaarheid van deze publicaties wordt hiermee vergroot.
Centrale Voorziening GeluidGegevens
Gemeenten, provincies en het Rijk leverden de geluidbelastingkaart aan de Centrale voorziening geluidgegevens (cvgg). De geluidbelastingkaarten worden dus niet naar InfoMil verstuurd. De cvvg is per 1 juli 2022 opengesteld voor aanlevering van de END geluidbelasingskaarten.
Ook voor de Actieplannen geluid zullen aan de cvvg aangeleverd dienen te worden in een format dat in maart 2024 beschikbaar is gesteld.
GeoPackage
De datastroom die wordt aangeleverd aan de cvgg moet voldoen aan het nieuwe datamodel dat is opgesteld door het Europees Milieuagentschap (EEA) (artikel 5 Rgm). De datastroom dient aangeleverd te worden in het GIS-formaat GeoPackage.
Deze wijziging volgt uit de Europese Verordening 2019/1010 van het Europees Parlement en de Raad van 5 juni 2019. Het regelt de onderlinge afstemming van de verslagleggingsverplichtingen op het gebied van de milieuwetgeving. Op grond hiervan ontwikkelt de EU een verplicht digitaal informatie uitwisselingsmechanisme.
Deadline Actieplan een jaar verplaatst
Het Actieplan geluid van de 4e tranche moet uiterlijk 18 juli 2024 zijn vastgesteld. Dat is geregeld via de Verordening (EU) 2019/1010 van het Europees Parlement en de Raad van 5 juni 2019. Voor de daaropvolgende tranches zal de periode van 5 jaar worden hervat.
Omgevingswet: inwerkingtreden vanaf 1 januari 2024
De Europese richtlijn is ook geïmplementeerd in de Omgevingswet. De Omgevingswet is op 1 januari 2024 in werking getreden. Bij de inwerkingtreding van de Omgevingswet zullen de verwijzingen naar de wetgeving als ook enkele gehanteerde terminologieën deels anders zijn.
In de Regeling geluid milieubeheer is in bijlage 2 een rekenmethode opgenomen voor het berekenen van schadelijke effecten. Voor de bepaling van deze effecten worden de volgende aspecten beschouwd:
a ischemische hartziekten (IHD)
b hoge mate van hinder (HA)
c hoge mate van slaapverstoring (HSD)
Alleen voor de geluidbron wegverkeer is in de regeling een werkwijze beschreven voor de berekening van het relatieve risico (RR) van ischemische hartziekten (IHD).
Wat de kans is dat iemand in hoge mate gehinderd wordt (HA) en slaapverstoord (HSD) is vastgesteld in zogenaamde dosis-effectrelaties. Deze relaties verschillen per geluidsoort. In de tabellen hieronder zijn deze relaties voor wegverkeerslawaai en spoorweglawaai weergegeven.
Voor industrielawaai zijn geen dosis-effectrelaties gepubliceerd.
Voor de formules voor het bepalen van het aantal ernstig geluidgehinderden (HA), het aantal slaapverstoorden (HSD) ten gevolge van de verschillende geluidbronnen en het relatieve risico op ischemische hartziekten (RRIHD) als gevolg van wegverkeer verwijzen we naar bijlage 2 van de Regeling geluid milieubeheer.
Dosis-effectrelaties voor wegverkeerslawaai | |||
Geluidsbelastingsklasse Lden | Ernstig gehinderden per 100 bewoners (HA) | Geluidsbelastingsklasse Lnight | Slaapgestoorden per 100 bewoners (HSD) |
55-60 dB | 13 | 55-60 dB | 5 |
60-65-dB | 18 | 60-65-dB | 7 |
65-70 dB | 24 | 65-70 dB | 10 |
70-75 dB | 33 | 70-75 dB | 14 |
75 dB of hoger | 43 | 75 dB of hoger | 18 |
Dosis-effectrelaties voor spoorweglawaai (niet gewijzigd) | |||
Geluidsbelastingsklasse Lden | Ernstig gehinderden per 100 bewoners (HA) | Geluidsbelastingsklasse Lnight | Slaapgestoorden per 100 bewoners (HSD) |
55-60 dB | 14 | 55-60 dB | 8 |
60-65-dB | 21 | 60-65-dB | 14 |
65-70 dB | 29 | 65-70 dB | 21 |
70-75 dB | 39 | 70-75 dB | 31 |
75 dB of hoger | 50 | 75 dB of hoger | 42 |
Dosis-effectrelaties voor industrielawaai (niet gewijzigd) | |||
Geluidsbelastingsklasse Lden | Ernstig gehinderden per 100 bewoners (HA) | Geluidsbelastingsklasse Lnight | Slaapgestoorden per 100 bewoners (HSD) |
55-60 dB | 3 | 55-60 dB | 3 |
60-65-dB | 6 | 60-65-dB | 5 |
65-70 dB | 11 | 65-70 dB | 6 |
70-75 dB | 18 | 70-75 dB | 8 |
75 dB of hoger | 23 | 75 dB of hoger | 10 |
Dosis-effectrelaties voor luchtvaartlawaai (niet gewijzigd) | |||
Geluidsbelastingsklasse Lden | Ernstig gehinderden per 100 bewoners (HA) | Geluidsbelastingsklasse Lnight | Slaapgestoorden per 100 bewoners (HSD) |
55-60 dB | 3 | 55-60 dB | 3 |
60-65-dB | 6 | 60-65-dB | 5 |
65-70 dB | 11 | 65-70 dB | 6 |
70-75 dB | 18 | 70-75 dB | 8 |
75 dB of hoger | 23 | 75 dB of hoger | 10 |
/join/id/regdata/gm0772/2024/dbab71aacb854cc9bf2aa657fd11b69f/nld@2024‑11‑18;12134794
/join/id/regdata/gm0772/2024/8204e35799ca41d9bc7f446b3f3473f1/nld@2024‑11‑18;12134794
/join/id/regdata/gm0772/2024/28f1bed53e264a679f4f71b61e9994c8/nld@2024‑11‑18;12134794
Samen op de hoogte geeft informatie over het luchtvaartverkeer op en rondom Luchthaven Eindhoven. Hier is informatie over bijvoorbeeld vliegroutes, baangebruik, het Luchthaven Eindhoven Overleg en het laatste nieuws te vinden. Men kan tevens actueel luchtvaartverkeer volgen en een melding maken van geluidhinder. De Rijksoverheid en de regio willen omwonenden, maatschappelijke organisaties en bedrijven nauw betrekken bij de ontwikkeling van Eindhoven Airport en de Vliegbasis Eindhoven.
De partijen willen een betere balans vinden tussen economische groei en de belasting van de leefomgeving rond de luchthaven. Eindhoven Airport is daarmee een proeftuin voor de toekomstige luchtvaart in heel Nederland.
Oud-staatssecretaris Pieter van Geel leidde de Proefcasus Eindhoven Airport over de toekomstige ontwikkeling van Eindhoven Airport tussen 2020 en 2030. Hij heeft in april 2019 de minister van IenW hierover geadviseerd. Vanaf 2020 is het Luchthaven Eindhoven Overleg (LEO) gestart.
GGD-GHOR
De GGD GHOR Nederland heeft uitgebracht “Belevingsonderzoek geluidhinder en slaapverstoring luchtvaart 2020; Gezondheidsmonitor Volwassenen en Ouderen 2020 uitgebracht, d.d. 12 juni 2022”.
In het belevingsonderzoek is onderzoek gedaan naar verschillende geluidbronnen, waaronder luchtvaartverkeer. Hier is ook een % percentage van inwoners openomen dat ernstige geluidhinder ervaart van de diverse geluidbronnen per bevolkingsgroep.
Met name aan de randen van de nacht wordt de overlast ervaren. In dit onderzoek is geluidhinder en slaapverstoring opgenomen, in 3.4.2 is de situatie van 2020 voor Eindhoven Airport opgenomen. Voor de gemeente Eindhoven is voor 2020 een toename te zien van het percentage inwoners dat ernstige geluidhinder als ook slaapverstoring ervaart door Eindhoven Airport ten opzichte van 2016.
In 2018-2019 vond de Proefcasus Eindhoven Airport plaats, waarbij met een brede groep stakeholders is toegewerkt naar een breed gedragen scenario voor toekomstige ontwikkeling van het vliegveld. In die periode heeft de GGD Brabant-Zuidoost een aanvullend milieubelevingsonderzoek uitgevoerd naar de hinderbeleving in de wijde omgeving van Eindhoven Airport (Van Ballegooij, M. & Van Gestel, A., 2019). Uit dat onderzoek blijkt dat ernstige geluidhinder en slaapverstoring zich niet beperken tot de zones die gebruikelijk in beeld gebracht worden (volgens de wettelijk voorgeschreven rekenmodellen) en beschouwd worden bij beleidsafwegingen. Dit leidt tot een forse onderschatting van de ervaren ernstige hinder en vooral ook de ernstige slaapverstoring in de wijde omgeving.
In het onderzoek van de GGD GHOR worden meer onderwerpen behandeld en aanbevelingen gedaan.
Kopieer de link naar uw clipboard
https://zoek.officielebekendmakingen.nl/gmb-2024-487948.html
De hier aangeboden pdf-bestanden van het Staatsblad, Staatscourant, Tractatenblad, provinciaal blad, gemeenteblad, waterschapsblad en blad gemeenschappelijke regeling vormen de formele bekendmakingen in de zin van de Bekendmakingswet en de Rijkswet goedkeuring en bekendmaking verdragen voor zover ze na 1 juli 2009 zijn uitgegeven. Voor pdf-publicaties van vóór deze datum geldt dat alleen de in papieren vorm uitgegeven bladen formele status hebben; de hier aangeboden elektronische versies daarvan worden bij wijze van service aangeboden.