Nota Milieuzonering Richtafstanden Wassenaar 2024

De gemeenteraad van Wassenaar,

 

gelezen het voorstel van burgemeester en wethouders d.d. 9 juli 2024;

 

overwegende de huidige kaders omtrent milieuzonering zoveel mogelijk te kunnen voortzetten onder de Omgevingswet;

 

gelet op de Algemene wet bestuursrecht afdeling 3.4, 4:81 en 4:82, de Omgevingswet artikel 2.8, en de Verordening Inwonersparticipatie gemeente Wassenaar 2021 artikel 3.3;

 

b e s l u i t:

 

  • 1.

    De beleidsregels, zoals neergelegd in de Nota Milieuzonering Richtafstanden Wassenaar 2024, vast te stellen.

Gebaseerd op de richtafstanden uit de Handreiking Bedrijven en Milieuzonering (VNG, 2009)

 

Aanleiding

In de gemeente Wassenaar is in de afgelopen jaren een ongeschreven beleidsregel ontstaan door in de praktijk de Handreiking Bedrijven en Milieuzonering van de VNG uit 2009 toe te passen. Deze handreiking en de daarin opgenomen richtafstanden worden toegepast bij het realiseren van bedrijven in de nabijheid van gevoelige functies, of gevoelige functies in de nabijheid van bedrijven. De handreiking schrijft voor, welke afstand gehouden moet worden tussen een inrichting of een milieubelastende activiteit binnen een inrichting en een gevoelig object.

 

Momenteel geldt de handreiking uit 2009 als gemeentelijk beleid door de bestendige praktijk. Met de komst van de Omgevingswet vervalt deze handreiking en ook de manier van werken die wordt omschreven in de handreiking. Hierdoor bestaat het risico dat de bestendige praktijk niet langer geldt. Met de voorliggende Nota Milieuzonering Richtafstanden Wassenaar 2024 worden de richtafstanden uit 2009 vastgelegd zodat deze als beleidskader gehanteerd kunnen blijven.

 

De VNG heeft een nieuwe handreiking gepubliceerd, waarin wordt geadviseerd hoe gemeenten het beste kunnen omgaan met milieuzonering binnen de nieuwe werkwijze zoals voorgeschreven door de Omgevingswet. Dat is de handreiking Milieuzonering nieuwe stijl (VNG, 2019). De gemeente is voornemens deze handreiking toe te passen vanaf het moment van de inwerkingtreding van de Omgevingswet.

 

Echter zijn de gevolgen van deze nieuwe handreiking nog onvoldoende duidelijk voor de gezondheid en veiligheid, de evenwichtige toedeling van functies aan locaties en voor een goede balans tussen zowel het beschermen als benutten van de fysieke leefomgeving. Om ongewenste gevolgen te voorkomen stelt de gemeente Wassenaar met deze nota de tabellen met richtafstanden uit de Handreiking Bedrijven en Milieuzonering (VNG, 2009) vast als aanvullend referentiekader. Aan deze nota wordt getoetst wanneer er sprake is van een buitenplanse omgevingsplanactiviteit (BOPA) of een wijziging van het (tijdelijke) Omgevingsplan.

Achtergrond

In de gemeente Wassenaar zijn er net als in alle gemeenten bedrijven en bedrijfsactiviteiten in de nabijheid van gevoelige functies, zoals wonen.

 

Wanneer gevoelige functies bestemd worden nabij bedrijfsactiviteiten en wanneer bedrijfsactiviteiten worden bestemd nabij gevoelige functies, toetst de gemeente Wassenaar sinds het ontstaan hiervan aan de Handreiking Bedrijven en Milieuzonering van de VNG uit 2009. Deze handreiking schrijft voor welke richtafstanden gelden tussen een bedrijf of activiteit en een gevoelige functie, en ook hoe van deze richtafstanden kan worden afgeweken. Het doel van deze handreiking is dat de gemeente erop kan rekenen dat bij consequente toepassing van de voorgeschreven richtafstanden of afwijkingsmogelijkheden, door de betrokken bedrijven kan worden voldaan aan het Activiteitenbesluit.

 

Volgens de Structuurvisie Wassenaar 2025 ‘Landgoed aan zee’ wil Wassenaar ‘een goede milieuzonering van functies’ behouden, ‘waarbij milieugevoelige en milieubedreigende functies ruimtelijk voldoende worden gescheiden’. Dit ‘draagt bij aan het behoud en versterking van de ruimtelijke hoofdstructuur en het imago van ‘groen en veilig woondorp’’. In woonwijken wil Wassenaar volgens de structuurvisie ‘veilige, toegankelijke en groene woonbuurten met een gevarieerde bevolkingsopbouw’. Dit houdt in dat er ruimte moet zijn voor veilig wonen en leven voor alle inwoners. Omdat de gemeente Wassenaar veel waarde hecht aan een gezonde en veilige leefomgeving, wordt de handreiking van de VNG uit 2009 in de regel gehanteerd. Hierbij heeft de mogelijkheid bestaan om hier in bijzondere gevallen van af te wijken.

Werkwijze

Aan deze nota wordt getoetst wanneer er sprake is van een buitenplanse omgevingsplanactiviteit (BOPA) of een wijziging van het (tijdelijke) Omgevingsplan.

 

In deze Nota Milieuzonering Richtafstanden Wassenaar 2024 worden de richtafstanden uit de Handreiking Bedrijven en Milieuzonering (VNG, 2009) opgenomen als referentiekader. De werkwijze uit 2009 kan niet worden overgenomen, omdat de Omgevingswet een andere werkwijze voorschrijft. In de nieuwere handreiking Milieuzonering nieuwe stijl (VNG, 2019) stelt de VNG een uitwerking van deze nieuwe werkwijze voor. De gemeente blijft met de voorliggende nota toch toetsen aan de richtafstanden uit 2009, als aanvulling op de toets aan de nieuwere handreiking uit 2019. Als het toepassen van de nieuwere handreiking resulteert in een aanzienlijk kleinere (dus minder strenge) afstand tussen een activiteit en een gevoelige functie dan het toepassen van de richtafstanden uit de tabellen uit 2009, dan zal bij het hanteren van de richtlijnen uit 2019, gemotiveerd moeten worden hoe er toch een evenwichtige toedeling van functies aan locaties gecreëerd wordt en een goede balans tussen zowel het beschermen als benutten van de fysieke leefomgeving.

 

Volgens de VNG is de systematiek van de handreiking uit 2009 inhoudelijk nog steeds goed toepasbaar en actueel. Maar, omdat de handreiking in 2009 voor het laatst is herzien, zijn technologische ontwikkelingen van daarna niet meer in de handreiking verwerkt. Dit geldt met name bij windturbines en mestverwerkingsinstallaties. Dit vraagt oplettendheid en wellicht maatwerk bij het inpassen van dit type functies.

 

Omgaan met veranderende begrippen: ‘inrichtingen’ en ‘activiteiten’

De richtafstanden voorgeschreven in de Handreiking Bedrijven en Milieuzonering (VNG, 2009), zijn gedefinieerd als afstanden tussen milieubelastende activiteiten (zoals bedrijven) en gevoelige functies (zoals woningen). Hierbij wordt verwezen naar bedrijven als ‘inrichtingen’, conform de Wet milieubeheer. Met de inwerkingtreding van de Omgevingswet is de Wet milieubeheer vervallen en hiermee ook het begrip ‘inrichtingen’. In plaats van het begrip ‘inrichtingen’, waarmee wordt verwezen naar een geheel bedrijf, geldt onder de Omgevingswet het begrip ‘activiteiten’, waarmee wordt verwezen naar onder andere losse bedrijfsactiviteiten (maar ook private activiteiten). Het begrip ‘activiteiten’ heeft een veel bredere betekenis dan alleen de bedrijfsactiviteiten die plaatsvinden binnen ‘inrichtingen’ onder de Wet milieubeheer.

 

Om te borgen dat deze nota zo beleidsneutraal mogelijk is, zal deze lijst met richtafstanden alleen gelden voor activiteiten binnen bedrijven en niet voor alle activiteiten. Er zal daarom alleen aan worden getoetst wanneer er sprake is van activiteiten binnen een bedrijfsbestemming in het (tijdelijke) Omgevingsplan. Overigens kan de gemeente er ook voor kiezen om aan de opgenomen richtafstanden te toetsen in gevallen dat een particulier activiteiten uitvoert die zijn opgenomen in de tabellen in deze nota.

 

Door het vervallen van het begrip ‘inrichting’ kan bij ruimtelijke afwegingen onder de Omgevingswet niet langer getoetst worden aan de richtafstand tussen inrichtingen en gevoelige functies. Om deze reden zal het toetsen aan deze lijst met richtafstanden plaatsvinden op basis van de afstand tussen (bedrijfs)activiteit en gevoelige functie. Hiermee kan de toegestane afstand tussen de activiteit en de gevoelige functie in de praktijk alleen kleiner zijn dan wanneer aan het begrip inrichting en de gevoelige functie werd getoetst. In gevallen waarbij de handreiking Milieuzonering nieuwe stijl (2019) een grotere afstand tussen activiteit en gevoelige functie voorschrijft dan deze nota, dan zal de door de handreiking Milieuzonering nieuwe stijl voorgeschreven afstand worden gehanteerd.

 

Toepassen van de Richtafstanden

In de handreiking uit 2009 zijn vier lijsten opgenomen met richtafstanden. De lijsten zijn gebruikt als voorbeeld voor een zogeheten Staat van Bedrijfsactiviteiten. In sommige gevallen staan dezelfde bedrijfsactiviteiten genoemd in meerdere lijsten (met daarbij dezelfde richtafstanden) omdat de lijsten zijn opgesteld als voorbeeldlijsten. Het werken met een Staat van Bedrijfsactiviteiten vervalt onder de Omgevingswet. Om deze reden zullen de richtafstanden na inwerkingtreding alleen nog worden gebruikt als aanvullend toetsingskader waarvan alleen gemotiveerd van kan worden afgeweken, en niet langer voor het opstellen van een Staat van Bedrijfsactiviteiten. In de lijsten staan een aantal afkortingen. Sommige afkortingen zijn door de nieuwe werkwijze niet meer relevant. Zie voor een toelichting van deze afkortingen Bijlage 5.

 

Gemotiveerd afwijken

Als de gemeente soepelere richtafstanden aanhoudt dan de in deze nota opgenomen richtafstanden dan zal dit gemotiveerd moeten worden. In dit geval moet conform de Omgevingswet te allen tijde een goede balans tussen beschermen en benutten van de fysieke leefomgeving ontstaan. Ook moet worden voldaan aan een evenwichtige toedeling van functies aan locaties en is de gemeente hierbij altijd verantwoordelijk voor het waarborgen van de veiligheid en het beschermen van de gezondheid en het milieu. Bij het komen tot een evenwichtige toedeling van functies aan locaties wordt een integrale afweging gemaakt op basis van de gemeentelijke Omgevingsvisie, beleidsstukken en programma’s.

Aldus vastgesteld in de openbare vergadering van de gemeenteraad van Wassenaar

gehouden op maandag 16 september 2024.

de griffier,

drs. J. Kleinhesselink

de voorzitter,

drs. L.A. de Lange

Bijlage 1. Richtafstandenlijst tabel 1 versie maart 2009

 

 

Bijlage 2. Richtafstandenlijst tabel 2 versie maart 2009

 

Nr.

OMSCHRIJVING

AFSTANDEN IN METERS

 

 

 

INDICES

subnr.

GEUR

STOF

GELUID

GEVAAR

GROOTSTE AFSTAND

CATEGORIE

VERKEER

VISUEEL

BODEM

LUCHT

0

OPSLAGEN

1

0

butaan, propaan, LPG (in tanks):

1

1

- bovengronds, < 2 m3

-

-

-

30

30

2

-

-

-

1

2

- bovengronds, 2 - 8 m3

-

-

-

50

R

50

3.1

-

-

-

1

3

- bovengronds, 8 - 80 m3

-

-

-

100

R

100

3.2

-

-

2

1

4

- bovengr., 80 - 250 m3

-

-

-

300

R

300

4.2

-

-

3

1

5

- ondergronds, < 80 m3

-

-

-

50

R

50

3.1

-

-

-

1

6

- ondergr., 80 - 250 m3

-

-

-

200

R

200

4.1

-

-

-

2

niet reactieve gassen (incl. zuurstof), gekoeld

-

-

-

50

50

3.1

-

-

2

3

0

brandbare vloeistoffen (in tanks):

-

-

3

1

- ondergronds, K1/K2/K3-klasse

10

-

-

10

10

1

-

-

-

B

3

2

- bovengronds, K1/K2-kl.: < 10 m3

10

-

-

50

R

50

3.1

-

-

-

B

3

3

- bovengronds, K1/K2-kl.: 10 - 1000 m3

30

-

-

100

R

100

3.2

-

-

3

B

3

4

- bovengronds, K3-klasse: < 10 m3

10

-

-

10

30

2

-

-

-

B

3

5

- bovengronds, K3-klasse: 10 - 1000 m3

30

-

-

50

50

3.1

-

-

3

B

4

0

Overige gevaarlijke stoffen in tanks:

4

1

- bovengronds < 10 m3 en onder drempelwaarde BRZO

10

-

-

10

10

1

-

-

-

4

2

- overige opslagen onder drempelwaarde BRZO

30

-

-

50

50

3.1

-

-

-

4

3

- opslagen in hoeveelheden boven drempelwaarde BRZO

30

-

-

700

R

700

5.2

-

-

-

5

0

Gevaarlijke stoffen (incl. bestrijdingsmiddelen) in emballage of in gasflessen:

5

1

- kleine hoeveelheden < 10 ton

-

-

-

10

10

1

-

-

-

5

2

- beperkte hoeveelheden (< 150 ton) en hoog beschermingsniveau

-

-

-

30

R

30

2

-

-

-

5

3

- grote hoeveelheden (>150 ton) en/of laag beschermingsniveau)

-

-

-

500

R

500

5.1

-

-

-

6

0

ontplofbare stoffen en munitie:

-

6

1

ontplofbare stoffen <= 50 kg NEM (netto explosieve massa)

-

-

-

500

500

5.1

-

-

-

6

2

ontplofbare stoffen > 50 kg en < 6000 kg NEM (netto explosieve massa)

-

-

-

1000

1000

5.3

-

-

-

6

3

- < 250.000 patronen en < 25 kg NEM (netto explosieve massa) overig gevarensubklasse 1.4

-

-

-

10

10

1

-

-

-

6

4

- >= 250.000 patronen en >= 25 kg NEM (netto explosieve massa) overig gevarensubklasse 1.4

-

-

-

30

30

2

-

-

-

7

0

professioneel vuurwerk:

7

1

- hoeveelheid netto explosieve massa < 750 kg (en > 25 kg theatervuurwerk)

-

-

-

500

V

500

5.1

-

-

-

7

2

- hoeveelheid netto explosieve massa > 750 kg en < 6000 kg

-

-

-

1000

V

1000

5.3

-

-

-

8

kunstmest, niet explosief

-

50

-

30

50

D

3.1

-

-

-

9

kuilvoer

50

10

-

0

50

D

3.1

-

-

1

10

0

gier / drijfmest (gesloten opslag):

10

1

- oppervlakte < 350 m²

50

-

-

-

50

3.1

-

-

-

B

10

2

- oppervlakte 350 - 750 m²

100

-

-

-

100

3.2

-

-

-

B

10

3

- oppervlakte >= 750 m²

200

-

-

-

200

4.1

-

-

1

B

 

11

INSTALLATIES

12

gasflessenvulinstallaties (butaan, propaan)

10

0

30

100

R

100

3.2

2

P

1

13

laadschoppen, shovels, bulldozers

30

30

50

10

50

3.1

1

G

1

14

0

laboratoria:

14

1

- chemisch / biochemisch

30

0

30

10

30

D

2

1

P

1

14

2

- medisch en hoger onderwijs

10

0

30

10

30

2

1

P

1

15

luchtbehandelingsinst. t.b.v. detailhandel

10

0

10

C

0

10

1

1

P

1

16

keukeninrichtingen

30

0

10

C

0

30

2

1

P

1

17

koelinstallaties freon ca. 300 kW

0

0

50

C

0

50

3.1

1

P

1

18

koelinstallaties ammoniak < 400 kg

0

0

30

10

30

2

1

G

1

19

koelinstallaties ammoniak > 400 kg

0

0

50

50

R

50

3.1

1

G

1

20

total energy installaties (gasmotoren) ca. 100 kW

10

0

50

C

10

50

3.1

1

P

1

21

afvalverbrandingsinstallatie, kleinschalig

100

50

50

C

30

100

D

3.2

1

G

2

L

22

noodaggregaten t.b.v. elektriciteitsopwekking

10

0

30

10

30

D

2

1

G

1

23

verfspuitinstallaties en moffel- en emailleerovens

50

30

50

30

50

3.1

1

P

1

L

24

vorkheftrucks met verbrandingsmotor

10

10

50

0

50

3.1

1

G

1

25

vorkheftrucks, elektrisch

0

10

30

0

30

2

1

G

1

26

transformatoren < 1 MVA

0

0

10

C

10

10

1

1

P

1

28

vatenspoelinstallaties

50

10

50

30

50

3.1

1

G

1

B

29

hydrofoorinstallaties

0

0

30

C

0

30

2

1

G

1

30

0

windmolens:

31

1

- wiekdiameter 20 m

0

0

100

C

30

100

3.2

1

P

2

31

2

- wiekdiameter 30 m

0

0

200

C

50

200

4.1

1

P

2

31

3

- wiekdiameter 50 m

0

0

300

C

50

300

4.2

1

P

3

31

0

stookinstallaties>900kW thermisch vermogen:

32

1

- gas, < 2,5 MW

10

0

30

C

10

30

2

1

P

1

32

2

- gas, 2,5 - 75 MW

30

0

50

C

30

50

3.1

1

P

1

32

3

- gas, >= 75 MW

30

0

200

C

Z

50

200

4.1

1

P

2

32

4

- olie, < 2,5 MW

30

0

30

C

10

30

2

1

G

1

32

5

- olie, 2,5 - 75 MW

30

10

50

C

30

50

3.1

1

G

1

32

6

- olie, >= 75 MW

50

30

200

C

Z

50

200

4.1

1

G

2

B

L

32

7

- kolen, 2,5 - 75 MW

30

100

100

C

30

100

3.2

1

G

1

L

32

8

- kolen, >= 75 MW

50

300

300

C

Z

50

300

4.2

2

G

2

L

32

stoomwerktuigen

0

0

50

30

50

D

3.1

1

P

1

33

luchtcompressoren

10

10

30

10

30

D

2

1

P

1

34

liftinstallaties

0

0

10

C

10

10

1

1

P

1

35

motorbrandstofpompen zonder LPG

30

0

30

10

30

2

2

G

1

B

36

afvalwaterbehandelingsinstallaties < 100.000 i.e.

200

10

100

C

10

200

D

4.1

1

G

1

37

radarinstallaties

0

0

0

C

1500

1500

D

6

1

P

3

 

Bijlage 3. Staat bedrijfsactiviteiten bedrijventerreinen versie maart 2009

 

SBI-CODE

SBI-CODE 2008

OMSCHRIJVING

AFSTANDEN IN METERS

nummer

GEUR

STOF

GELUID

GEVAAR

GROOTSTE AFSTAND

CATEGORIE

15

10, 11

-

VERVAARDIGING VAN VOEDINGSMIDDELEN EN DRANKEN

151

101, 102

0

Slachterijen en overige vleesverwerking:

151

101, 102

1

- slachterijen en pluimveeslachterijen

100

0

100

C

50

R

100

D

3.2

151

101

3

- bewerkingsinrichting van darmen en vleesafval

300

0

100

C

50

R

300

4.2

151

101

4

- vleeswaren- en vleesconservenfabrieken: p.o. > 1000 m²

100

0

100

C

50

R

100

3.2

151

101

5

- vleeswaren- en vleesconservenfabrieken: p.o. <= 1000 m²

50

0

50

C

30

50

3.1

151

101

6

- vleeswaren- en vleesconservenfabrieken: p.o. <= 200 m²

30

0

50

10

50

3.1

151

101, 102

7

- loonslachterijen

50

0

50

10

50

3.1

151

108

8

- vervaardiging van snacks en vervaardiging van kant-en-klaar-maaltijden met p.o. < 2.000 m²

50

0

50

10

50

3.1

152

102

0

Visverwerkingsbedrijven:

152

102

2

- conserveren

200

0

100

C

30

200

4.1

152

102

3

- roken

300

0

50

C

0

300

4.2

152

102

4

- verwerken anderszins: p.o.> 1000 m²

300

10

50

C

30

300

D

4.2

152

102

5

- verwerken anderszins: p.o. <= 1000 m²

100

10

50

30

100

3.2

152

102

6

- verwerken anderszins: p.o. <= 300 m²

50

10

30

10

50

3.1

1531

1031

0

Aardappelprodukten fabrieken:

1531

1031

1

- vervaardiging van aardappelproducten

300

30

200

C

50

R

300

4.2

1531

1031

2

- vervaardiging van snacks met p.o. < 2.000 m²

50

10

50

50

R

50

3.1

1532, 1533

1032, 1039

0

Groente- en fruitconservenfabrieken:

1532, 1533

1032, 1039

1

- jam

50

10

100

C

10

100

3.2

1532, 1533

1032, 1039

2

- groente algemeen

50

10

100

C

10

100

3.2

1532, 1533

1032, 1039

3

- met koolsoorten

100

10

100

C

10

100

3.2

1532, 1533

1032, 1039

4

- met drogerijen

300

10

200

C

30

300

4.2

1532, 1533

1032, 1039

5

- met uienconservering (zoutinleggerij)

300

10

100

C

10

300

4.2

1541

104101

0

Vervaardiging van ruwe plantaardige en dierlijke oliën en vetten:

1541

104101

1

- p.c. < 250.000 t/j

200

30

100

C

30

R

200

4.1

1541

104101

2

- p.c. >= 250.000 t/j

300

50

300

C

Z

50

R

300

4.2

1542

104102

0

Raffinage van plantaardige en dierlijke oliën en vetten:

1542

104102

1

- p.c. < 250.000 t/j

200

10

100

C

100

R

200

4.1

1542

104102

2

- p.c. >= 250.000 t/j

300

10

300

C

Z

200

R

300

4.2

1543

1042

0

Margarinefabrieken:

1543

1042

1

- p.c. < 250.000 t/j

100

10

200

C

30

R

200

4.1

1543

1042

2

- p.c. >= 250.000 t/j

200

10

300

C

Z

50

R

300

4.2

1551

1052

0

Zuivelprodukten fabrieken:

1551

1051

3

- melkprodukten fabrieken v.c. < 55.000 t/j

50

0

100

C

50

R

100

3.2

1551

1051

4

- melkprodukten fabrieken v.c. >= 55.000 t/j

100

0

300

C

Z

50

R

300

4.2

1551

1051

5

- overige zuivelprodukten fabrieken

50

50

300

C

50

R

300

4.2

1552

1052

1

Consumptie-ijsfabrieken: p.o. > 200 m²

50

0

100

C

50

R

100

3.2

1552

1052

2

- consumptie-ijsfabrieken: p.o. <= 200 m²

10

0

30

0

30

2

1561

1061

0

Meelfabrieken:

1561

1061

1

- p.c. >= 500 t/u

200

100

300

C

Z

100

R

300

4.2

1561

1061

2

- p.c. < 500 t/u

100

50

200

C

50

R

200

4.1

1561

1061

Grutterswarenfabrieken

50

100

200

C

50

200

D

4.1

1562

1062

0

Zetmeelfabrieken:

1562

1062

1

- p.c. < 10 t/u

200

50

200

C

30

R

200

4.1

1562

1062

2

- p.c. >= 10 t/u

300

100

300

C

Z

50

R

300

4.2

1571

1091

0

Veevoerfabrieken:

1571

1091

3

- drogerijen (gras, pulp, groenvoeder, veevoeder) cap. < 10 t/u water

300

100

200

C

30

300

4.2

1571

1091

5

- mengvoeder, p.c. < 100 t/u

200

50

200

C

30

200

4.1

1571

1091

6

- mengvoeder, p.c. >= 100 t/u

300

100

300

C

Z

50

R

300

4.2

1572

1092

Vervaardiging van voer voor huisdieren

200

100

200

C

30

200

4.1

1581

1071

0

Broodfabrieken, brood- en banketbakkerijen:

1581

1071

1

- v.c. < 7500 kg meel/week, bij gebruik van charge-ovens

30

10

30

C

10

30

2

1581

1071

2

- v.c. >= 7500 kg meel/week

100

30

100

C

30

100

3.2

1582

1072

Banket, biscuit- en koekfabrieken

100

10

100

C

30

100

3.2

1583

1081

0

Suikerfabrieken:

1584

10821

0

Verwerking cacaobonen en vervaardiging chocolade- en suikerwerk:

1584

10821

2

- cacao- en chocoladefabrieken vervaardigen van chocoladewerken met p.o. < 2.000 m²

100

30

50

30

100

3.2

1584

10821

4

- Suikerwerkfabrieken met suiker branden

300

30

50

30

R

300

4.2

1584

10821

5

- Suikerwerkfabrieken zonder suiker branden: p.o. > 200 m²

100

30

50

30

R

100

3.2

1585

1073

Deegwarenfabrieken

50

30

10

10

50

3.1

1586

1083

0

Koffiebranderijen en theepakkerijen:

1586

1083

2

- theepakkerijen

100

10

30

10

100

3.2

1587

108401

Vervaardiging van azijn, specerijen en kruiden

200

30

50

10

200

4.1

1589

1089

Vervaardiging van overige voedingsmiddelen

200

30

50

30

200

D

4.1

1589.1

1089

Bakkerijgrondstoffenfabrieken

200

50

50

50

R

200

4.1

1589.2

1089

0

Soep- en soeparomafabrieken:

1589.2

1089

1

- zonder poederdrogen

100

10

50

10

100

3.2

1589.2

1089

2

- met poederdrogen

300

50

50

50

R

300

4.2

1589.2

1089

Bakmeel- en puddingpoederfabrieken

200

50

50

30

200

4.1

1591

110101

Destilleerderijen en likeurstokerijen

300

30

200

C

30

300

4.2

1592

110102

0

Vervaardiging van ethylalcohol door gisting:

1592

110102

1

- p.c. < 5.000 t/j

200

30

200

C

30

R

200

4.1

1592

110102

2

- p.c. >= 5.000 t/j

300

50

300

C

50

R

300

4.2

1596

1105

Bierbrouwerijen

300

30

100

C

50

R

300

4.2

1597

1106

Mouterijen

300

50

100

C

30

300

4.2

1598

1107

Mineraalwater- en frisdrankfabrieken

10

0

100

50

R

100

3.2

16

12

-

16

12

-

VERWERKING VAN TABAK

160

120

Tabakverwerkende industrie

200

30

50

C

30

200

4.1

17

13

-

17

13

-

VERVAARDIGING VAN TEXTIEL

171

131

Bewerken en spinnen van textielvezels

10

50

100

30

100

3.2

172

132

0

Weven van textiel:

172

132

1

- aantal weefgetouwen < 50

10

10

100

0

100

3.2

172

132

2

- aantal weefgetouwen >= 50

10

30

300

Z

50

300

4.2

173

133

Textielveredelingsbedrijven

50

0

50

10

50

3.1

174, 175

139

Vervaardiging van textielwaren

10

0

50

10

50

3.1

1751

1393

Tapijt-, kokos- en vloermattenfabrieken

100

30

200

10

200

4.1

176, 177

139, 143

Vervaardiging van gebreide en gehaakte stoffen en artikelen

0

10

50

10

50

3.1

18

14

-

18

14

-

VERVAARDIGING VAN KLEDING; BEREIDEN EN VERVEN VAN BONT

181

141

Vervaardiging kleding van leer

30

0

50

0

50

3.1

183

142, 151

Bereiden en verven van bont; vervaardiging van artikelen van bont

50

10

10

10

50

3.1

19

15

-

19

15

-

VERVAARDIGING VAN LEER EN LEDERWAREN (EXCL. KLEDING)

191

151, 152

Lederfabrieken

300

30

100

10

300

4.2

192

151

Lederwarenfabrieken (excl. kleding en schoeisel)

50

10

30

10

50

D

3.1

193

152

Schoenenfabrieken

50

10

50

10

50

3.1

20

16

-

20

16

-

HOUTINDUSTRIE EN VERVAARDIGING ARTIKELEN VAN HOUT, RIET, KURK E.D.

2010.1

16101

Houtzagerijen

0

50

100

50

R

100

3.2

2010.2

16102

0

Houtconserveringsbedrijven:

2010.2

16102

1

- met creosootolie

200

30

50

10

200

4.1

2010.2

16102

2

- met zoutoplossingen

10

30

50

10

50

3.1

202

1621

Fineer- en plaatmaterialenfabrieken

100

30

100

10

100

3.2

203, 204, 205

162

0

Timmerwerkfabrieken, vervaardiging overige artikelen van hout

0

30

100

0

100

3.2

203, 204, 205

162

1

Timmerwerkfabrieken, vervaardiging overige artikelen van hout, p.o. < 200 m²

0

30

50

0

50

3.1

21

17

-

21

17

-

VERVAARDIGING VAN PAPIER, KARTON EN PAPIER- EN KARTONWAREN

2111

1711

Vervaardiging van pulp

200

100

200

C

50

R

200

4.1

2112

1712

0

Papier- en kartonfabrieken:

2112

1712

1

- p.c. < 3 t/u

50

30

50

C

30

R

50

3.1

2112

1712

2

- p.c. 3 - 15 t/u

100

50

200

C

Z

50

R

200

4.1

2112

1712

3

- p.c. >= 15 t/u

200

100

300

C

Z

100

R

300

4.2

212

172

Papier- en kartonwarenfabrieken

30

30

100

C

30

R

100

3.2

2121.2

17212

0

Golfkartonfabrieken:

2121.2

17212

1

- p.c. < 3 t/u

30

30

100

C

30

R

100

3.2

2121.2

17212

2

- p.c. >= 3 t/u

50

30

200

C

Z

30

R

200

4.1

22

58

-

22

58

-

UITGEVERIJEN, DRUKKERIJEN EN REPRODUKTIE VAN OPGENOMEN MEDIA

2221

1811

Drukkerijen van dagbladen

30

0

100

C

10

100

3.2

2222

1812

Drukkerijen (vlak- en rotatie-diepdrukkerijen)

30

0

100

10

100

3.2

23

19

-

23

19

-

AARDOLIE-/STEENKOOLVERWERK. IND.; BEWERKING SPLIJT-/KWEEKSTOFFEN

2320.1

19201

Aardolieraffinaderijen

1500

100

1500

C

Z

1500

R

1500

6

2320.2

19202

A

Smeeroliën- en vettenfabrieken

50

0

100

30

R

100

3.2

2320.2

19202

B

Recyclingbedrijven voor afgewerkte olie

300

0

100

50

R

300

4.2

2320.2

19202

C

Aardolieproduktenfabrieken n.e.g.

300

0

200

50

R

300

D

4.2

233

201, 212, 244

Splijt- en kweekstoffenbewerkingsbedrijven

10

10

100

1500

1500

D

6

24

20

-

24

20

-

VERVAARDIGING VAN CHEMISCHE PRODUKTEN

2411

2011

0

Vervaardiging van industriële gassen:

2412

2012

Kleur- en verfstoffenfabrieken

200

0

200

C

200

R

200

D

4.1

2413

2012

0

Anorg. chemische grondstoffenfabrieken:

2413

2012

1

- niet vallend onder "post-Seveso-richtlijn"

100

30

300

C

300

R

300

D

4.2

2414.1

20141

A0

Organ. chemische grondstoffenfabrieken:

2414.1

20141

A1

- niet vallend onder "post-Seveso-richtlijn"

300

10

200

C

300

R

300

D

4.2

2414.1

20141

B0

Methanolfabrieken:

2414.1

20141

B1

- p.c. < 100.000 t/j

100

0

200

C

100

R

200

4.1

2414.1

20141

B2

- p.c. >= 100.000 t/j

200

0

300

C

Z

200

R

300

4.2

2414.2

20149

0

Vetzuren en alkanolenfabrieken (niet synth.):

2414.2

20149

1

- p.c. < 50.000 t/j

300

0

200

C

100

R

300

4.2

242

202

0

Landbouwchemicaliënfabrieken:

243

203

Verf, lak en vernisfabrieken

300

30

200

C

300

R

300

D

4.2

2441

2120

0

Farmaceutische grondstoffenfabrieken:

2441

2110

1

- p.c. < 1.000 t/j

200

10

200

C

300

R

300

4.2

2442

2120

0

Farmaceutische produktenfabrieken:

2442

2120

1

- formulering en afvullen geneesmiddelen

50

10

50

50

R

50

3.1

2451

2041

Zeep-, was- en reinigingsmiddelenfabrieken

300

100

200

C

100

R

300

4.2

2452

2042

Parfumerie- en cosmeticafabrieken

300

30

50

C

50

R

300

4.2

2462

2052

0

Lijm- en plakmiddelenfabrieken:

2462

2052

1

- zonder dierlijke grondstoffen

100

10

100

50

100

3.2

2464

205902

Fotochemische produktenfabrieken

50

10

100

50

R

100

3.2

2466

205903

A

Chemische kantoorbenodigdhedenfabrieken

50

10

50

50

R

50

3.1

2466

205903

B

Overige chemische produktenfabrieken n.e.g.

200

30

100

C

200

R

200

D

4.1

247

2060

Kunstmatige synthetische garen- en vezelfabrieken

300

30

300

C

200

R

300

4.2

25

22

-

25

22

-

VERVAARDIGING VAN PRODUKTEN VAN RUBBER EN KUNSTSTOF

2511

221101

Rubberbandenfabrieken

300

50

300

C

100

R

300

4.2

2512

221102

0

Loopvlakvernieuwingsbedrijven:

2512

221102

1

- vloeropp. < 100 m²

50

10

30

30

50

3.1

2512

221102

2

- vloeropp. >= 100 m²

200

50

100

50

R

200

4.1

2513

2219

Rubber-artikelenfabrieken

100

10

50

50

R

100

D

3.2

252

222

0

Kunststofverwerkende bedrijven:

252

222

1

- zonder fenolharsen

200

50

100

100

R

200

4.1

252

222

2

- met fenolharsen

300

50

100

200

R

300

4.2

252

222

3

- productie van verpakkingsmateriaal en assemblage van kunststofbouwmaterialen

50

30

50

30

50

3.1

26

23

-

26

23

-

VERVAARDIGING VAN GLAS, AARDEWERK, CEMENT-, KALK- EN GIPSPRODUKTEN

261

231

0

Glasfabrieken:

261

231

1

- glas en glasprodukten, p.c. < 5.000 t/j

30

30

100

30

100

3.2

261

231

2

- glas en glasprodukten, p.c. >= 5.000 t/j

30

100

300

C

Z

50

R

300

4.2

261

231

3

- glaswol en glasvezels, p.c.< 5.000 t/j

300

100

100

30

300

4.2

2615

231

Glasbewerkingsbedrijven

10

30

50

10

50

3.1

262, 263

232, 234

0

Aardewerkfabrieken:

262, 263

232, 234

2

- vermogen elektrische ovens totaal >= 40 kW

30

50

100

30

100

3.2

264

233

A

Baksteen en baksteenelementenfabrieken

30

200

200

30

200

4.1

264

233

B

Dakpannenfabrieken

50

200

200

100

R

200

4.1

2651

2351

0

Cementfabrieken:

2652

235201

0

Kalkfabrieken:

2652

235201

1

- p.c. < 100.000 t/j

30

200

200

30

R

200

4.1

2653

235202

0

Gipsfabrieken:

2653

235202

1

- p.c. < 100.000 t/j

30

200

200

30

R

200

4.1

2661.1

23611

0

Betonwarenfabrieken:

2661.1

23611

1

- zonder persen, triltafels en bekistingtrille

10

100

200

30

200

4.1

2661.1

23611

2

- met persen, triltafels of bekistingtrillers, p.c. < 100 t/d

10

100

300

30

300

4.2

2661.2

23612

0

Kalkzandsteenfabrieken:

2661.2

23612

1

- p.c. < 100.000 t/j

10

50

100

30

100

3.2

2661.2

23612

2

- p.c. >= 100.000 t/j

30

200

300

Z

30

300

4.2

2662

2362

Mineraalgebonden bouwplatenfabrieken

50

50

100

30

100

3.2

2663, 2664

2363, 2364

0

Betonmortelcentrales:

2663, 2664

2363, 2364

1

- p.c. < 100 t/u

10

50

100

10

100

3.2

2663, 2664

2363, 2364

2

- p.c. >= 100 t/u

30

200

300

Z

10

300

4.2

2665, 2666

2365, 2369

0

Vervaardiging van produkten van beton, (vezel)cement en gips:

2665, 2666

2365, 2369

1

- p.c. < 100 t/d

10

50

100

50

R

100

3.2

2665, 2666

2365, 2369

2

- p.c. >= 100 t/d

30

200

300

Z

200

R

300

4.2

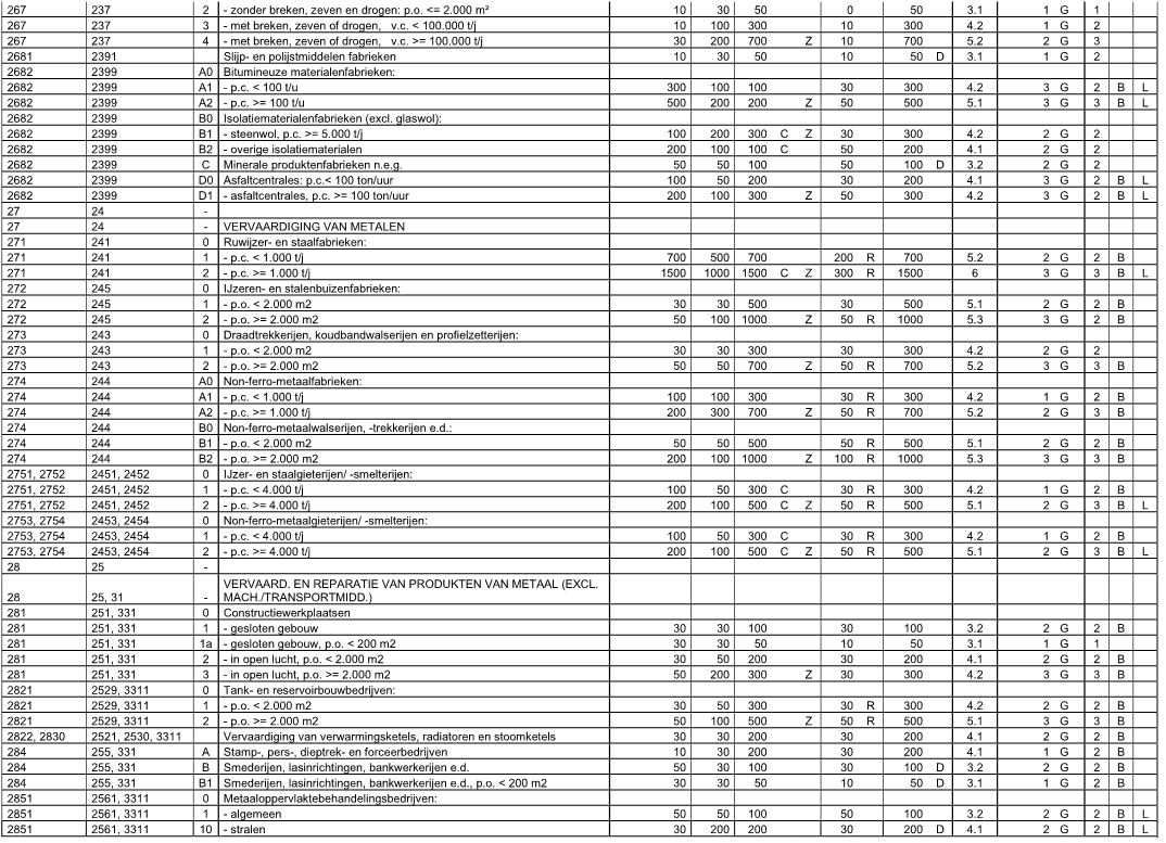
267

237

0

Natuursteenbewerkingsbedrijven:

267

237

1

- zonder breken, zeven en drogen: p.o. > 2.000 m²

10

30

100

0

100

D

3.2

267

237

2

- zonder breken, zeven en drogen: p.o. <= 2.000 m²

10

30

50

0

50

3.1

267

237

3

- met breken, zeven of drogen, v.c. < 100.000 t/j

10

100

300

10

300

4.2

2681

2391

Slijp- en polijstmiddelen fabrieken

10

30

50

10

50

D

3.1

2682

2399

A0

Bitumineuze materialenfabrieken:

2682

2399

A1

- p.c. < 100 t/u

300

100

100

30

300

4.2

2682

2399

B0

Isolatiematerialenfabrieken (excl. glaswol):

2682

2399

B1

- steenwol, p.c. >= 5.000 t/j

100

200

300

C

Z

30

300

4.2

2682

2399

B2

- overige isolatiematerialen

200

100

100

C

50

200

4.1

2682

2399

C

Minerale produktenfabrieken n.e.g.

50

50

100

50

100

D

3.2

2682

2399

D0

Asfaltcentrales: p.c.< 100 ton/uur

100

50

200

30

200

4.1

2682

2399

D1

- asfaltcentrales, p.c. >= 100 ton/uur

200

100

300

Z

50

300

4.2

27

24

-

27

24

-

VERVAARDIGING VAN METALEN

271

241

0

Ruwijzer- en staalfabrieken:

271

241

2

- p.c. >= 1.000 t/j

1500

1000

1500

C

Z

300

R

1500

6

272

241

0

IJzeren- en stalenbuizenfabrieken:

273

243

0

Draadtrekkerijen, koudbandwalserijen en profielzetterijen:

273

243

1

- p.o. < 2.000 m²

30

30

300

30

300

4.2

274

244

A0

Non-ferro-metaalfabrieken:

274

244

A1

- p.c. < 1.000 t/j

100

100

300

30

R

300

4.2

274

244

B0

Non-ferro-metaalwalserijen, -trekkerijen e.d.:

2751, 2752

2451, 2452

0

IJzer- en staalgieterijen/ -smelterijen:

2751, 2752

2451, 2452

1

- p.c. < 4.000 t/j

100

50

300

C

30

R

300

4.2

2753, 2754

2453, 2454

0

Non-ferro-metaalgieterijen/ -smelterijen:

2753, 2754

2453, 2454

1

- p.c. < 4.000 t/j

100

50

300

C

30

R

300

4.2

28

25

-

28

25, 31

-

VERVAARD. EN REPARATIE VAN PRODUKTEN VAN METAAL (EXCL. MACH./TRANSPORTMIDD.)

281

251, 331

0

Constructiewerkplaatsen:

281

251, 331

1

- gesloten gebouw

30

30

100

30

100

3.2

281

251, 331

1a

- gesloten gebouw, p.o. < 200 m²

30

30

50

10

50

3.1

281

251, 331

2

- in open lucht, p.o. < 2.000 m²

30

50

200

30

200

4.1

281

251, 331

3

- in open lucht, p.o. >= 2.000 m²

50

200

300

Z

30

300

4.2

2821

2529, 3311

0

Tank- en reservoirbouwbedrijven:

2821

2529, 3311

1

- p.o. < 2.000 m²

30

50

300

30

R

300

4.2

2822, 2830

2521, 2530, 3311

Vervaardiging van verwarmingsketels, radiatoren en stoomketels

30

30

200

30

200

4.1

284

255, 331

A

Stamp-, pers-, dieptrek- en forceerbedrijven

10

30

200

30

200

4.1

284

255, 331

B

Smederijen, lasinrichtingen, bankwerkerijen e.d.

50

30

100

30

100

D

3.2

284

255, 331

B1

Smederijen, lasinrichtingen, bankwerkerijen e.d., p.o. < 200 m²

30

30

50

10

50

D

3.1

2851

2561, 3311

0

Metaaloppervlaktebehandelingsbedrijven:

2851

2561, 3311

1

- algemeen

50

50

100

50

100

3.2

2851

2561, 3311

10

- stralen

30

200

200

30

200

D

4.1

2851

2561, 3311

11

- metaalharden

30

50

100

50

100

D

3.2

2851

2561, 3311

12

- lakspuiten en moffelen

100

30

100

50

R

100

D

3.2

2851

2561, 3311

2

- scoperen (opspuiten van zink)

50

50

100

30

R

100

D

3.2

2851

2561, 3311

3

- thermisch verzinken

100

50

100

50

100

3.2

2851

2561, 3311

4

- thermisch vertinnen

100

50

100

50

100

3.2

2851

2561, 3311

5

- mechanische oppervlaktebehandeling (slijpen, polijsten)

30

50

100

30

100

3.2

2851

2561,3311

6

- anodiseren, eloxeren

50

10

100

30

100

3.2

2851

2561, 3311

7

- chemische oppervlaktebehandeling

50

10

100

30

100

3.2

2851

2561, 3311

8

- emailleren

100

50

100

50

R

100

3.2

2851

2561, 3311

9

- galvaniseren (vernikkelen, verchromen, verzinken, verkoperen ed)

30

30

100

50

100

3.2

2852

2562, 3311

1

Overige metaalbewerkende industrie

10

30

100

30

100

D

3.2

2852

2562, 3311

2

Overige metaalbewerkende industrie, inpandig, p.o. < 200 m²

10

30

50

10

50

D

3.1

287

259, 331

A0

Grofsmederijen, anker- en kettingfabrieken:

287

259, 331

A1

- p.o. < 2.000 m²

30

50

200

30

200

4.1

287

259, 331

B

Overige metaalwarenfabrieken n.e.g.

30

30

100

30

100

3.2

287

259, 331

B

Overige metaalwarenfabrieken n.e.g.; inpandig, p.o. < 200 m²

30

30

50

10

50

3.1

29

27, 28, 33

29

27, 28, 33

-

VERVAARDIGING VAN MACHINES EN APPARATEN

29

27, 28, 33

0

Machine- en apparatenfabrieken incl. reparatie:

29

27, 28, 33

1

- p.o. < 2.000 m²

30

30

100

30

100

D

3.2

29

27, 28, 33

2

- p.o. >= 2.000 m²

50

30

200

30

200

D

4.1

29

28, 33

3

- met proefdraaien verbrandingsmotoren >= 1 MW

50

30

300

Z

30

300

D

4.2

30

26, 28, 33

-

VERVAARDIGING VAN KANTOORMACHINES EN COMPUTERS

30

26, 28, 33

-

30

26, 28, 33

A

Kantoormachines- en computerfabrieken incl. reparatie

30

10

30

10

30

2

31

26, 27, 33

-

31

26, 27, 33

-

VERVAARDIGING VAN OVER. ELEKTR. MACHINES, APPARATEN EN BENODIGDH.

311

271, 331

Elektromotoren- en generatorenfabrieken incl. reparatie

200

30

30

50

200

4.1

312

271, 273

Schakel- en installatiemateriaalfabrieken

200

10

30

50

200

4.1

313

273

Elektrische draad- en kabelfabrieken

100

10

200

100

R

200

D

4.1

314

272

Accumulatoren- en batterijenfabrieken

100

30

100

50

100

3.2

315

274

Lampenfabrieken

200

30

30

300

R

300

4.2

3162

2790

Koolelektrodenfabrieken

1500

300

1000

C

Z

200

R

1500

6

32

26,33

-

32

26, 33

-

VERVAARDIGING VAN AUDIO-, VIDEO-, TELECOM-APPARATEN EN -BENODIGDH.

321 t/m 323

261, 263, 264, 331

Vervaardiging van audio-, video- en telecom-apparatuur e.d.

30

0

50

30

50

D

3.1

3210

2612

Fabrieken voor gedrukte bedrading

50

10

50

30

50

3.1

33

26, 32, 33

-

33

26, 32, 33

-

VERVAARDIGING VAN MEDISCHE EN OPTISCHE APPARATEN EN INSTRUMENTEN

33

26, 32, 33

A

Fabrieken voor medische en optische apparaten en instrumenten e.d. incl. reparatie

30

0

30

0

30

2

34

29

-

34

29

VERVAARDIGING VAN AUTO'S, AANHANGWAGENS EN OPLEGGERS

341

291

0

Autofabrieken en assemblagebedrijven

341

291

1

- p.o. < 10.000 m²

100

10

200

C

30

R

200

D

4.1

341

291

2

- p.o. >= 10.000 m²

200

30

300

Z

50

R

300

4.2

3420.1

29201

Carrosseriefabrieken

100

10

200

30

R

200

4.1

3420.2

29202

Aanhangwagen- en opleggerfabrieken

30

10

200

30

200

4.1

343

293

Auto-onderdelenfabrieken

30

10

100

30

R

100

3.2

35

30

-

35

30

-

VERVAARDIGING VAN TRANSPORTMIDDELEN (EXCL. AUTO'S, AANHANGWAGENS)

351

301, 3315

0

Scheepsbouw- en reparatiebedrijven:

351

301, 3315

1

- houten schepen

30

30

50

10

50

3.1

351

301, 3315

2

- kunststof schepen

100

50

100

50

R

100

3.2

351

301, 3315

3

- metalen schepen < 25 m

50

100

200

30

200

4.1

352

302, 317

0

Wagonbouw- en spoorwegwerkplaatsen:

352

302, 317

1

- algemeen

50

30

100

30

100

3.2

352

302, 317

2

- met proefdraaien van verbrandingsmotoren >= 1 MW

50

30

300

Z

30

R

300

4.2

353

303,3316

0

Vliegtuigbouw en -reparatiebedrijven:

353

303, 3316

1

- zonder proefdraaien motoren

50

30

200

30

200

4.1

354

309

Rijwiel- en motorrijwielfabrieken

30

10

100

30

R

100

3.2

355

3099

Transportmiddelenindustrie n.e.g.

30

30

100

30

100

D

3.2

36

31

-

36

31

-

VERVAARDIGING VAN MEUBELS EN OVERIGE GOEDEREN N.E.G.

361

310

1

Meubelfabrieken

50

50

100

30

100

D

3.2

361

9524

2

Meubelstoffeerderijen b.o. < 200 m²

0

10

10

0

10

1

362

321

Fabricage van munten, sieraden e.d.

30

10

10

10

30

2

363

322

Muziekinstrumentenfabrieken

30

10

30

10

30

2

364

323

Sportartikelenfabrieken

30

10

50

30

50

3.1

365

324

Speelgoedartikelenfabrieken

30

10

50

30

50

3.1

3663.1

32991

Sociale werkvoorziening

0

30

30

0

30

2

3663.2

32999

Vervaardiging van overige goederen n.e.g.

30

10

50

30

50

D

3.1

37

38

-

37

38

-

VOORBEREIDING TOT RECYCLING

372

383202

A0

Puinbrekerijen en -malerijen:

372

383202

A1

- v.c. < 100.000 t/j

30

100

300

10

300

4.2

372

383202

B

Rubberregeneratiebedrijven

300

50

100

50

R

300

4.2

372

383202

C

Afvalscheidingsinstallaties

200

200

300

C

50

300

4.2

40

35

-

40

35

-

PRODUKTIE EN DISTRIB. VAN STROOM, AARDGAS, STOOM EN WARM WATER

40

35

A0

Elektriciteitsproduktiebedrijven (electrisch vermogen >= 50 MWe)

40

35

A4

- kerncentrales met koeltorens

10

10

500

C

1500

1500

D

6

40

35

B0

bio-energieinstallaties electrisch vermogen < 50 MWe:

40

35

B1

- covergisting, verbranding en vergassing van mest, slib, GFT en reststromen voedingsindustrie

100

50

100

30

R

100

3.2

40

35

B2

- vergisting, verbranding en vergassing van overige biomassa

50

50

100

30

R

100

3.2

40

35

C0

Elektriciteitsdistributiebedrijven, met transformatorvermogen:

40

35

C1

- < 10 MVA

0

0

30

C

10

30

2

40

35

C2

- 10 - 100 MVA

0

0

50

C

30

50

3.1

40

35

C3

- 100 - 200 MVA

0

0

100

C

50

100

3.2

40

35

C4

- 200 - 1000 MVA

0

0

300

C

Z

50

300

4.2

40

35

D0

Gasdistributiebedrijven:

40

35

D1

- gascompressorstations vermogen < 100 MW

0

0

300

C

100

300

4.2

40

35

D5

- gasontvang- en -verdeelstations, cat. D

0

0

50

C

50

R

50

3.1

40

35

E0

Warmtevoorzieningsinstallaties, gasgestookt:

40

35

E1

- stadsverwarming

30

10

100

C

50

100

3.2

41

36

-

41

36

-

WINNING EN DITRIBUTIE VAN WATER

41

36

A0

Waterwinning-/ bereiding- bedrijven:

41

36

A2

- bereiding met chloorbleekloog e.d. en/of straling

10

0

50

C

30

50

3.1

41

36

B0

Waterdistributiebedrijven met pompvermogen:

41

36

B1

- < 1 MW

0

0

30

C

10

30

2

41

36

B2

- 1 - 15 MW

0

0

100

C

10

100

3.2

41

36

B3

- >= 15 MW

0

0

300

C

10

300

4.2

45

41, 42, 43

-

45

41, 42, 43

-

BOUWNIJVERHEID

45

41, 42, 43

0

Bouwbedrijven algemeen: b.o. > 2.000 m²

10

30

100

10

100

3.2

45

41, 42, 43

1

- bouwbedrijven algemeen: b.o. <= 2.000 m²

10

30

50

10

50

3.1

45

41, 42, 43

2

Aannemersbedrijven met werkplaats: b.o. > 1000 m²

10

30

50

10

50

3.1

45

41, 42, 43

3

- aannemersbedrijven met werkplaats: b.o.< 1000 m²

0

10

30

10

30

2

50

45, 47

-

50

45, 47

-

HANDEL/REPARATIE VAN AUTO'S, MOTORFIETSEN; BENZINESERVICESTATIONS

501

451

Groothandel in vrachtauto's (incl. import)

10

10

100

10

100

3.2

5020.4

45204

A

Autoplaatwerkerijen

10

30

100

10

100

3.2

5020.4

45204

C

Autospuitinrichtingen

50

30

30

30

R

50

3.1

51

46

-

51

46

-

GROOTHANDEL EN HANDELSBEMIDDELING

5121

4621

0

Grth in akkerbouwprodukten en veevoeders

30

30

50

30

R

50

3.1

5121

4621

1

Grth in akkerbouwprodukten en veevoeders met een verwerkingscapaciteit van 500 ton/uur of meer

100

100

300

Z

50

R

300

4.2

5122

4622

Grth in bloemen en planten

10

10

30

0

30

2

5123

4623

Grth in levende dieren

50

10

100

C

0

100

3.2

5124

4624

Grth in huiden, vellen en leder

50

0

30

0

50

3.1

5125, 5131

46217, 4631

Grth in ruwe tabak, groenten, fruit en consumptie-aardappelen

30

10

30

50

R

50

3.1

5132, 5133

4632, 4633

Grth in vlees, vleeswaren, zuivelprodukten, eieren, spijsoliën

10

0

30

50

R

50

3.1

5134

4634

Grth in dranken

0

0

30

0

30

2

5135

4635

Grth in tabaksprodukten

10

0

30

0

30

2

5136

4636

Grth in suiker, chocolade en suikerwerk

10

10

30

0

30

2

5137

4637

Grth in koffie, thee, cacao en specerijen

30

10

30

0

30

2

5138, 5139

4638, 4639

Grth in overige voedings- en genotmiddelen

10

10

30

10

30

2

514

464, 46733

Grth in overige consumentenartikelen

10

10

30

10

30

2

5148.7

46499

0

Grth in vuurwerk en munitie:

5148.7

46499

1

- consumentenvuurwerk, verpakt, opslag < 10 ton

10

0

30

10

V

30

2

5148.7

46499

2

- consumentenvuurwerk, verpakt, opslag 10 tot 50 ton

10

0

30

50

V

50

3.1

5148.7

46499

5

- munitie

0

0

30

30

30

2

5151.1

46711

0

Grth in vaste brandstoffen:

5151.1

46711

1

- klein, lokaal verzorgingsgebied

10

50

50

30

50

3.1

5151.2

46712

0

Grth in vloeibare en gasvormige brandstoffen:

5151.2

46712

1

- vloeistoffen, o.c. < 100.000 m3

50

0

50

200

R

200

D

4.1

5151.2

46712

3

- tot vloeistof verdichte gassen

50

0

50

300

R

300

D

4.2

5151.3

46713

Grth minerale olieprodukten (excl. brandstoffen)

100

0

30

50

100

3.2

5152.1

46721

0

Grth in metaalertsen:

5152.1

46721

1

- opslag opp. < 2.000 m²

30

300

300

10

300

4.2

5152.2 /.3

46722, 46723

Grth in metalen en -halffabrikaten

0

10

100

10

100

3.2

5153

4673

0

Grth in hout en bouwmaterialen:

5153

4673

1

- algemeen: b.o. > 2000 m²

0

10

50

10

50

3.1

5153

4673

2

- algemeen: b.o. <= 2000 m²

0

10

30

10

30

2

5153.4

46735

4

zand en grind:

5153.4

46735

5

- algemeen: b.o. > 200 m²

0

30

100

0

100

3.2

5153.4

46735

6

- algemeen: b.o. <= 200 m²

0

10

30

0

30

2

5154

4674

0

Grth in ijzer- en metaalwaren en verwarmingsapparatuur:

5154

4674

1

- algemeen: b.o. > 2.000 m²

0

0

50

10

50

3.1

5154

4674

2

- algemeen: b.o. < = 2.000 m²

0

0

30

0

30

2

5155.1

46751

Grth in chemische produkten

50

10

30

100

R

100

D

3.2

5155.2

46752

Grth in kunstmeststoffen

30

30

30

30

R

30

2

5156

4676

Grth in overige intermediaire goederen

10

10

30

10

30

2

5157

4677

0

Autosloperijen: b.o. > 1000 m²

10

30

100

30

100

3.2

5157

4677

1

- autosloperijen: b.o. <= 1000 m²

10

10

50

10

50

3.1

5157.2/3

4677

0

Overige groothandel in afval en schroot: b.o. > 1000 m²

10

30

100

10

100

D

3.2

5157.2/3

4677

1

- overige groothandel in afval en schroot: b.o. <= 1000 m²

10

10

50

10

50

3.1

518

466

0

Grth in machines en apparaten:

518

466

1

- machines voor de bouwnijverheid

0

10

100

10

100

3.2

518

466

2

- overige

0

10

50

0

50

3.1

519

466, 469

Overige grth (bedrijfsmeubels, emballage, vakbenodigdheden e.d.

0

0

30

0

30

2

60

47

-

60

49

-

VERVOER OVER LAND

6021.1

493

Bus-, tram- en metrostations en -remises

0

10

100

C

0

100

D

3.2

6023

493

Touringcarbedrijven

10

0

100

C

0

100

3.2

6024

494

0

Goederenwegvervoerbedrijven (zonder schoonmaken tanks): b.o. > 1000 m²

0

0

100

C

30

100

3.2

6024

494

1

- Goederenwegvervoerbedrijven (zonder schoonmaken tanks) b.o. <= 1000 m²

0

0

50

C

30

50

3.1

603

495

Pomp- en compressorstations van pijpleidingen

0

0

30

C

10

30

D

2

63

52

-

63

52

-

DIENSTVERLENING T.B.V. HET VERVOER

6311.1

52241

0

Laad-, los- en overslagbedrijven t.b.v. zeeschepen:

6311.1

52241

2

- stukgoederen

0

30

300

C

100

R

300

D

4.2

6311.1

52241

7

- tankercleaning

300

10

100

C

200

R

300

4.2

6311.2

52242

0

Laad-, los- en overslagbedrijven t.b.v. binnenvaart:

6311.2

52241

1

- containers

0

10

300

50

R

300

4.2

6311.2

52242

10

- tankercleaning

300

10

100

200

R

300

4.2

6311.2

52242

2

- stukgoederen

0

10

100

50

R

100

D

3.2

6311.2

52242

3

- ertsen, mineralen, e.d., opslagopp. < 2.000 m²

30

200

300

30

300

4.2

6311.2

52242

5

- granen of meelsoorten , v.c. < 500 t/u

50

300

200

50

R

300

4.2

6311.2

52242

7

- steenkool, opslagopp. < 2.000 m²

50

300

300

50

300

4.2

6312

52102, 52109

A

Distributiecentra, koelhuizen

30

10

50

C

50

R

50

D

3.1

6312

52109

B

Opslaggebouwen (verhuur opslagruimte)

0

0

30

C

10

30

2

6321

5221

2

Stalling van vrachtwagens (met koelinstallaties)

10

0

100

C

30

100

3.2

64

53

-

64

53

-

POST EN TELECOMMUNICATIE

641

531, 532

Post- en koeriersdiensten

0

0

30

C

0

30

2

642

61

A

Telecommunicatiebedrijven

0

0

10

C

0

10

1

71

77

-

71

77

-

VERHUUR VAN TRANSPORTMIDDELEN, MACHINES, ANDERE ROERENDE GOEDEREN

712

7712, 7739

Verhuurbedrijven voor transportmiddelen (excl. personenauto's)

10

0

50

10

50

D

3.1

713

773

Verhuurbedrijven voor machines en werktuigen

10

0

50

10

50

D

3.1

714

772

Verhuurbedrijven voor roerende goederen n.e.g.

10

10

30

10

30

D

2

72

62

72

62

-

COMPUTERSERVICE- EN INFORMATIETECHNOLOGIE

72

58, 63

B

Datacentra

0

0

30

C

0

30

2

74

63, 69tm71, 73,74,77,78, 80tm82

-

74

63, 69tm71, 73,74,77,78, 80tm82

-

OVERIGE ZAKELIJKE DIENSTVERLENING

747

812

Reinigingsbedrijven voor gebouwen

50

10

30

30

50

D

3.1

7481.3

74203

Foto- en filmontwikkelcentrales

10

0

30

C

10

30

2

7484.3

82991

Veilingen voor landbouw- en visserijprodukten

50

30

200

C

50

R

200

4.1

90

37, 38, 39

-

90

37, 38, 39

-

MILIEUDIENSTVERLENING

9001

3700

A0

RWZI's en gierverwerkingsinricht., met afdekking voorbezinktanks:

9001

3700

A1

- < 100.000 i.e.

200

10

100

C

10

200

4.1

9001

3700

A2

- 100.000 - 300.000 i.e.

300

10

200

C

Z

10

300

4.2

9001

3700

B

rioolgemalen

30

0

10

C

0

30

2

9002.1

381

A

Vuilophaal-, straatreinigingsbedrijven e.d.

50

30

50

10

50

3.1

9002.1

381

B

Gemeentewerven (afval-inzameldepots)

30

30

50

30

R

50

3.1

9002.1

381

C

Vuiloverslagstations

200

200

300

30

300

4.2

9002.2

382

A0

Afvalverwerkingsbedrijven:

9002.2

382

A2

- kabelbranderijen

100

50

30

10

100

3.2

9002.2

382

A3

- verwerking radio-actief afval

0

10

200

C

1500

1500

6

9002.2

382

A4

- pathogeen afvalverbranding (voor ziekenhuizen)

50

10

30

10

50

3.1

9002.2

382

A5

- oplosmiddelterugwinning

100

0

10

30

R

100

D

3.2

9002.2

382

A6

- afvalverbrandingsinrichtingen, thermisch vermogen > 75 MW

300

200

300

C

Z

50

300

D

4.2

9002.2

382

A7

- verwerking fotochemisch en galvano-afval

10

10

30

30

R

30

2

9002.2

382

B

Vuilstortplaatsen

300

200

300

10

300

4.2

9002.2

382

C0

Composteerbedrijven:

9002.2

382

C3

- belucht v.c. < 20.000 ton/jr

100

100

100

10

100

3.2

9002.2

382

C4

- belucht v.c. > 20.000 ton/jr

200

200

100

30

200

4.1

9002.2

382

C5

- GFT in gesloten gebouw

200

50

100

100

R

200

4.1

93

96

-

93

96

-

OVERIGE DIENSTVERLENING

9301.1

96011

A

Wasserijen en strijkinrichtingen

30

0

50

C

30

50

3.1

9301.1

96011

B

Tapijtreinigingsbedrijven

30

0

50

30

50

3.1

9301.2

96012

Chemische wasserijen en ververijen

30

0

30

30

R

30

2

9301.3

96013

A

Wasverzendinrichtingen

0

0

30

0

30

2

 

Bijlage 4. Staat bedrijfsactiviteiten functiemenging

 

SBI-CODE

SBI-CODE 2008

OMSCHRIJVING

CATEGORIE

-

nummer

01

01

-

LANDBOUW EN DIENSTVERLENING T.B.V. DE LANDBOUW

014

016

0

Dienstverlening t.b.v. de landbouw:

014

016

2

- algemeen (o.a. loonbedrijven), b.o < 500 m²

B

014

016

4

- plantsoenendiensten en hoveniersbedrijven, b.o. < 500 m²

B

0142

0162

KI-stations

B

15

10, 11

-

15

10, 11

-

VERVAARDIGING VAN VOEDINGSMIDDELEN EN DRANKEN

151

101, 102

0

Slachterijen en overige vleesverwerking:

151

101

6

- vleeswaren- en vleesconservenfabrieken, p.o. < 200 m²

B

1552

1052

2

Consumptie-ijsfabrieken, p.o. < 200 m²

B

1581

1071

1

Broodfabrieken, brood- en banketbakkerijen, charge-ovens, v.c.< 7.500 kg meel/week

B

1584

10821

0

Verwerking cacaobonen en vervaardiging chocolade- en suikerwerk:

1584

10821

3

- Cacao- en chocoladefabrieken- vervaardigen van chocoladewerken met p.o. < 200 m²

B

1584

10821

6

- Suikerwerkfabrieken zonder suiker branden, p.o. < 200 m²

B

1593 t/m 1595

1102 t/m 1104

Vervaardiging van wijn, cider e.d.

B

17

13

-

17

13

-

VERVAARDIGING VAN TEXTIEL

174, 175

139

Vervaardiging van textielwaren

B

176, 177

139, 143

Vervaardiging van gebreide en gehaakte stoffen en artikelen

B

18

14

-

18

14

-

VERVAARDIGING VAN KLEDING; BEREIDEN EN VERVEN VAN BONT

181

141

Vervaardiging kleding van leer

B

182

141

Vervaardiging van kleding en -toebehoren (excl. van leer)

C

20

16

-

20

16

-

HOUTINDUSTRIE EN VERVAARDIGING ARTIKELEN VAN HOUT, RIET, KURK E.D.

203, 204, 205

162

1

Timmerwerkfabrieken, vervaardiging overige artikelen van hout, p.o. < 200 m²

B

205

162902

Kurkwaren-, riet- en vlechtwerkfabrieken

B

22

58

-

22

58

-

UITGEVERIJEN, DRUKKERIJEN EN REPRODUKTIE VAN OPGENOMEN MEDIA

221

581

Uitgeverijen (kantoren)

A

2222.6

18129

Kleine drukkerijen en kopieerinrichtingen

B

2223

1814

A

Grafische afwerking

A

2223

1814

B

Binderijen

B

2224

1813

Grafische reproduktie en zetten

B

2225

1814

Overige grafische aktiviteiten

B

223

182

Reproduktiebedrijven opgenomen media

A

24

20

-

24

20

-

VERVAARDIGING VAN CHEMISCHE PRODUKTEN

2442

2120

0

Farmaceutische produktenfabrieken:

2442

2120

2

- verbandmiddelenfabrieken

C

26

23

-

26

23

-

VERVAARDIGING VAN GLAS, AARDEWERK, CEMENT-, KALK- EN GIPSPRODUKTEN

2615

231

Glasbewerkingsbedrijven

B

262, 263

232, 234

0

Aardewerkfabrieken:

262, 263

232, 234

1

- vermogen elektrische ovens totaal < 40 kW

B

267

237

0

Natuursteenbewerkingsbedrijven:

267

237

2

- zonder breken, zeven en drogen p.o. < 2.000 m²

B

2681

2391

Slijp- en polijstmiddelen fabrieken

B

28

25

-

28

25

-

VERVAARD. EN REPARATIE VAN PRODUKTEN VAN METAAL (EXCL. MACH./TRANSPORTMIDD.)

281

251, 331

1a

- gesloten gebouw, p.o. < 200 m²

B

284

255, 331

B1

Smederijen, lasinrichtingen, bankwerkerijen e.d., p.o. < 200 m²

B

2852

2562, 3311

2

Overige metaalbewerkende industrie, inpandig, p.o. < 200 m²

B

287

259, 331

B

Overige metaalwarenfabrieken n.e.g.; inpandig, p.o. < 200 m²

B

30

26, 28, 33

-

30

26, 28, 33

-

VERVAARDIGING VAN KANTOORMACHINES EN COMPUTERS

30

26, 28, 33

A

Kantoormachines- en computerfabrieken incl. reparatie

B

33

26, 32, 33

-

33

26, 32, 33

-

VERVAARDIGING VAN MEDISCHE EN OPTISCHE APPARATEN EN INSTRUMENTEN

33

26, 32, 33

A

Fabrieken voor medische en optische apparaten en instrumenten e.d. incl. reparatie

B

36

31

-

36

31

-

VERVAARDIGING VAN MEUBELS EN OVERIGE GOEDEREN N.E.G.

361

9524

2

Meubelstoffeerderijen b.o. < 200 m²

A

362

321

Fabricage van munten, sieraden e.d.

B

363

322

Muziekinstrumentenfabrieken

B

3663.1

32991

Sociale werkvoorziening

B

40

35

-

40

35

-

PRODUKTIE EN DISTRIB. VAN STROOM, AARDGAS, STOOM EN WARM WATER

40

35

C0

Elektriciteitsdistributiebedrijven, met transformatorvermogen:

40

35

C1

- < 10 MVA

B

40

35

D0

Gasdistributiebedrijven:

40

35

D3

- gas: reduceer-, compressor-, meet- en regelinst. Cat. A

A

40

35

D4

- gasdrukregel- en meetruimten (kasten en gebouwen), cat. B en C

B

40

35

E0

Warmtevoorzieningsinstallaties, gasgestookt:

40

35

E2

- blokverwarming

B

41

36

-

41

36

-

WINNING EN DITRIBUTIE VAN WATER

41

36

B0

Waterdistributiebedrijven met pompvermogen:

41

36

B1

- < 1 MW

B

45

41, 42, 43

-

45

41, 42, 43

-

BOUWNIJVERHEID

45

41, 42, 43

3

Aannemersbedrijven met werkplaats, b.o. < 1000 m²

B

50

45, 47

-

50

45, 47

-

HANDEL/REPARATIE VAN AUTO'S, MOTORFIETSEN; BENZINESERVICESTATIONS

501, 502, 504

451, 452, 454

Handel in auto's en motorfietsen, reparatie- en servicebedrijven

B

5020.4

45204

B

Autobeklederijen

A

5020.5

45205

Autowasserijen

B

503, 504

453

Handel in auto- en motorfietsonderdelen en -accessoires

B

51

46

-

51

46

-

GROOTHANDEL EN HANDELSBEMIDDELING

511

461

Handelsbemiddeling (kantoren)

A

5134

4634

Grth in dranken

C

5135

4635

Grth in tabaksprodukten

C

5136

4636

Grth in suiker, chocolade en suikerwerk

C

5137

4637

Grth in koffie, thee, cacao en specerijen

C

514

464, 46733

Grth in overige consumentenartikelen

C

5148.7

46499

0

Grth in vuurwerk en munitie:

5148.7

46499

1

- consumentenvuurwerk, verpakt, opslag < 10 ton

C

5153

4673

0

Grth in hout en bouwmaterialen:

5153

5153

1

- algemeen

C

5153

4673

2

- indien b.o. =< 2000 m²

B

5153.4

5153.4

4

zand en grind:

5153.4

46735

6

- indien b.o. =< 200 m²

B

5154

4674

0

Grth in ijzer- en metaalwaren en verwarmingsapparatuur:

5154

5154

1

- algemeen

C

5154

4674

2

- indien b.o. =<2.000 m²

B

5156

4676

Grth in overige intermediaire goederen

C

518

466

2

Grth in machines en apparaten, exclusief machines voor de bouwnijverheid

C

519

466, 469

Overige grth (bedrijfsmeubels, emballage, vakbenodigdheden e.d.

C

52

47

-

52

47

-

DETAILHANDEL EN REPARATIE T.B.V. PARTICULIEREN

52

47

A

Detailhandel voor zover n.e.g.

A

5211/2,5246/9

471

Supermarkten, warenhuizen

B

5222, 5223

4722, 4723

Detailhandel vlees, wild, gevogelte, met roken, koken, bakken

A

5224

4724

Detailhandel brood en banket met bakken voor eigen winkel

A

5231, 5232

4773, 4774

Apotheken en drogisterijen

A

5249

4778

Detailhandel in vuurwerk tot 10 ton verpakt

A

527

952

Reparatie t.b.v. particulieren (excl. auto's en motorfietsen)

A

55

55

-

55

55

-

LOGIES-, MAALTIJDEN- EN DRANKENVERSTREKKING

5511, 5512

5510

Hotels en pensions met keuken, conferentie-oorden en congrescentra

A

553

561

Restaurants, cafetaria's, snackbars, ijssalons met eigen ijsbereiding, viskramen e.d.

A

554

563

1

Café's, bars

A

554

563

2

Discotheken, muziekcafé's

B

5551

5629

Kantines

A

5552

562

Cateringbedrijven

B

60

49

-

60

49

-

VERVOER OVER LAND

6022

493

Taxibedrijven

B

6024

494

1

Goederenwegvervoerbedrijven (zonder schoonmaken tanks), b.o. =< 1.000 m²

C

603

495

Pomp- en compressorstations van pijpleidingen

B

61, 62

50, 51

-

61, 62

50, 51

-

VERVOER OVER WATER / DOOR DE LUCHT

61, 62

50, 51

A

Vervoersbedrijven (uitsluitend kantoren)

A

63

52

-

63

52

-

DIENSTVERLENING T.B.V. HET VERVOER

6321

5221

1

Autoparkeerterreinen, parkeergarages

C

6322, 6323

5222

Overige dienstverlening t.b.v. vervoer (kantoren)

A

633

791

Reisorganisaties

A

634

5229

Expediteurs, cargadoors (kantoren)

A

64

53

-

64

53

-

POST EN TELECOMMUNICATIE

641

531, 532

Post- en koeriersdiensten

C

642

61

A

Telecommunicatiebedrijven

A

642

61

B0

zendinstallaties:

642

61

B2

- FM en TV

B

65, 66, 67

64, 65, 66

-

65, 66, 67

64, 65, 66

-

FINANCIELE INSTELLINGEN EN VERZEKERINGSWEZEN

65, 66, 67

64, 65, 66

A

Banken, verzekeringsbedrijven, beurzen

B

70

41, 68

-

70

41, 68

-

VERHUUR VAN EN HANDEL IN ONROEREND GOED

70

41, 68

A

Verhuur van en handel in onroerend goed

A

71

71

-

71

77

-

VERHUUR VAN TRANSPORTMIDDELEN, MACHINES, ANDERE ROERENDE GOEDEREN

711

7711

Personenautoverhuurbedrijven

B

712

7712, 7739

Verhuurbedrijven voor transportmiddelen (excl. personenauto's)

C

713

773

Verhuurbedrijven voor machines en werktuigen

C

714

772

Verhuurbedrijven voor roerende goederen n.e.g.

C

72

62

-

72

62

-

COMPUTERSERVICE- EN INFORMATIETECHNOLOGIE

72

62

A

Computerservice- en informatietechnologie-bureau's e.d.

A

72

58, 63

B

Datacentra

B

73

72

-

73

72

-

SPEUR- EN ONTWIKKELINGSWERK

732

722

Maatschappij- en geesteswetenschappelijk onderzoek

A

74

74

-

74

63, 69 t/m 71, 73, 74, 77, 78, 80 t/m 82

-

OVERIGE ZAKELIJKE DIENSTVERLENING

74

63, 69 t/m 71, 73, 74, 77, 78, 80 t/m 82

A

Overige zakelijke dienstverlening: kantoren

A

7481.3

74203

Foto- en filmontwikkelcentrales

C

7484.4

82992

Veilingen voor huisraad, kunst e.d.

A

75

84

-

75

84

-

OPENBAAR BESTUUR, OVERHEIDSDIENSTEN, SOCIALE VERZEKERINGEN

75

84

A

Openbaar bestuur (kantoren e.d.)

A

7525

8425

Brandweerkazernes

C

80

85

-

80

85

-

ONDERWIJS

801, 802

852, 8531

Scholen voor basis- en algemeen voortgezet onderwijs

B

803, 804

8532, 854, 855

Scholen voor beroeps-, hoger en overig onderwijs

B

85

86

-

85

86

-

GEZONDHEIDS- EN WELZIJNSZORG

8512, 8513

8621, 8622, 8623

Artsenpraktijken, klinieken en dagverblijven

A

8514, 8515

8691, 8692

Consultatiebureaus

A

853

871

1

Verpleeghuizen

B

853

8891

2

Kinderopvang

B

90

37, 38, 39

-

90

37, 38, 39

-

MILIEUDIENSTVERLENING

9001

3700

B

rioolgemalen

B

91

94

-

91

94

-

DIVERSE ORGANISATIES

9111

941, 942

Bedrijfs- en werknemersorganisaties (kantoren)

A

9131

9491

Kerkgebouwen e.d.

B

9133.1

94991

A

Buurt- en clubhuizen

B

92

59

-

92

59

-

CULTUUR, SPORT EN RECREATIE

9213

5914

Bioscopen

C

9232

9004

Theaters, schouwburgen, concertgebouwen, evenementenhallen

C

9234

8552

Muziek- en balletscholen

B

9234.1

85521

Dansscholen

B

9251, 9252

9101, 9102

Bibliotheken, musea, ateliers, e.d.

A

926

931

0

Zwembaden: overdekt

C

926

931

A

Sporthallen

B

926

931

B

Bowlingcentra

B

926

931

0

Schietinrichtingen:

926

931

2

- binnenbanen: boogbanen

A

926

931

F

Sportscholen, gymnastiekzalen

B

9271

9200

Casino's

C

9272.1

92009

Amusementshallen

B

93

96

-

93

96

-

OVERIGE DIENSTVERLENING

9301.3

96013

A

Wasverzendinrichtingen

B

9301.3

96013

B

Wasserettes, wassalons

A

9302

9602

Kappersbedrijven en schoonheidsinstituten

A

9303

9603

0

Begrafenisondernemingen: uitvaartcentra

A

9304

9313, 9604

Fitnesscentra, badhuizen en sauna-baden

B

9305

9609

B

Persoonlijke dienstverlening n.e.g.

A

 

Bijlage 5. Gebruikte afkortingen

 

-

niet van toepassing of niet relevant

<

kleiner dan

>

groter

=

gelijk aan

cat.

categorie

e.d.

en dergelijke

kl.

klasse

n.e.g.

niet elders genoemd

o.c.

opslagcapaciteit

p.c.

productiecapaciteit

b.o.

bedrijfsoppervlak

v.c.

verwerkingscapaciteit

u

uur

d

dag

w

week

j

jaar

B

bodemverontreiniging

C

continu

D

divers

L

luchtverontreiniging

Z

(voorheen zonering op basis van Wet geluidhinder - niet langer van toepassing)

R

risico (Besluit externe veiligheid inrichtingen mogelijk van toepassing)

V

Vuurwerkbesluit van toepassing

G

goederenvervoer

P

personenvervoer

 

Naar boven