Gemeentelijk RioleringsPlan Ouder-Amstel 2018 – 2022 Achtergronden

1 Inleiding

Het verbreed Gemeentelijk Rioleringsplan (vGRP) geeft inzicht in de omvang, het functioneren en de kwaliteitstoestand van de voorzieningen waarmee de gemeente invulling geeft aan de wettelijke zorgtaken. De huidige wetgeving heeft de watertaken van de gemeente verbreed naar de zorgplichten voor stedelijk afvalwater, afvloeiend hemelwater en grondwater. Het vGRP beschrijft

de beleidskaders en de activiteiten en geeft de visie op de gemeentelijke watertaken voor de lange termijn. Onder de gemeentelijke watertaken wordt ook verstaan het zorgdragen voor het oppervlaktewater.

Door voortschrijdende inzichten, beleidsveranderingen in de wet- en regelgeving en de samenwerking met de gemeente Uithoorn in de bedrijfsvoeringsorganisatie Duo+ is het nodig de ambities en de invulling van de zorgplichten op accenten te wijzigen. Dit GRP houdt daarmee rekening. Het gemeentebestuur van Ouder-Amstel kiest voor een looptijd van 5 jaar en stelt het GRP vast voor de periode 2018 tot en met 2022.

 

Het GRP is opgebouwd uit een tweetal delen:

  • Een kort en bondig Hoofddocument voor de verantwoordelijke bestuurders, politici en vaktechnisch personeel. Dit document bevat de hoofdlijnen en beschrijft o.a. de visie op de rioleringszorg, de beleidskeuzes in de vorm van ambities, sfeerbeelden en speerpunten, de benodigde middelen en de consequenties voor de rioolheffing en -voorziening.

  • Een Achtergrondendocument met meer detailinformatie, waaronder o.a. een uitgebreide evaluatie van de afgelopen jaren, een uitgebreid overzicht van de vertaling van de beleidskeuzes naar specifiekere kwaliteitsbeschrijvingen en kwaliteitsnormen, een nulmeting, de uitvoeringsstrategie om binnen de planperiode te gaan (en blijven) voldoen aan de gestelde beleidskeuzes en een uitgebreidere analyse van de benodigde middelen en ontwikkeling van de rioolheffing en -voorziening. Ook het Achtergrondendocument neemt derhalve een belangrijke plaats in en is integraal onderdeel van het GRP, met name voor de kaderstelling en vaststelling van de (meer technische) kwaliteitsnormen.

 

In opbouw is het achtergronddocument geschreven als een bijlagenrapport bij het hoofdrapport en geeft achtereenvolgens inzage in:

 

Het proces

  • Een overzicht van de betrokkenen en de processtappen (hoofdstuk 2)

Wat vinden wij belangrijk?

  • Het wettelijk kader,taken en plichten van de gemeente (hoofdstuk 3)

  • Een evaluatie van het GRP 2011-2015 (hoofdstuk 4)

  • De visie, het kwaliteitskader en de kwaliteitsnormen (hoofdstuk 5)

Waar staan wij?

  • Een overzicht van het areaal (hoofdstuk 6)

  • De nulmeting en de uitwerking van de activiteiten (hoofdstuk 6)

Wat betekent dit?

  • De uitwerking van de opgave en kostendekking (hoofdstuk 7)

  • Onderzoeksvragen (hoofdstuk 8)

Een aantal algemene zaken is opgenomen in de bijlagen van dit rapport:

Ter toelichting

  • Het begrippenkader (bijlage 1)

Wat moeten wij?

  • Wettelijke kaders, bestaande afspraken en relevante beleidsstukken (bijlage 2)

 

2 Procedure opstellen vGRP 2018 t/m 2022

Kernteam

Het vGRP voor de gemeente Ouder-Amstel is opgesteld vanuit het kernteam, bestaande uit:

Duo+:

Ronald van Buuren

projectleider (beleidsmedewerker beheer openbare ruimte)

Duo+:

Marc Streefkerk

Duo+: Marc Streefkerk assetbeheerder riolering

Antea Group:

Benno Steentjes

Adviseur riolering en stedelijk water

 

Projectgroep

Het vGRP moet een breed gedragen beleidsstuk zijn, zowel in de gemeentelijke organisatie als bij de externe partijen (waterschap, provincie, bewoners en bedrijven) die een belang hebben bij een adequate invulling van de watertaken. Basisgedachte achter het vGRP is dat een gedegen en integrale beleidsafweging plaatsvindt op het terrein van de verbrede watertaken, met raakvlakken naar de openbare ruimte, financiën en personeel. Dit is van toepassing voor zowel de gemeentelijke organisatie als bij externe partijen die hierbij belang hebben. De ambtelijke voorbereiding en uitwerking is verzorgd door het kernteam. Hiernaast zijn onderwerpen en onderzoeksvragen nader verkend en uitgediept in samenspraak met de leden van projectgroep.

Duo+:

Maroef Slamat

projectleider grootonderhoud riolering

Duo+:

Joery Bakker

toezichthouder riolering

Duo+:

Marco Steen

senior financieel adviseur

gemeente:

Izak van Blijderveen

senior financieel adviseur

Waternet:

Haike Schulz

planadviseur

Stuurgroep

Naast het kernteam en een projectgroep is een stuurgroep in het leven geroepen om op hoofdlijnen de voortgang en tussentijdse resultaten te toetsen. De stuurgroep bestaat naast de leden van het kernteam uit:

Duo+:

Peter Louwerse

teamleider I&B

Gemeente:

Mark Broekhuis

adv. ruimtelijke ordening Ouder-Amstel

Proces

De ambtelijke voorbereiding en uitwerking is verzorgd door een kernteam vanuit Duo+. Tussentijdse resultaten zijn besproken met de stuurgroep. De bestuurders zijn betrokken door, na afstemming met de portefeuillehouder, wethouder Jacqueline de Maa, in een Commissievergadering Ruimte (7 december 2017) de raadsleden een richting te vragen voor de ambities voor de planperiode 2018 tot en met 2022. Deze is verder uitgewerkt, inclusief de financiële consequenties. De gemeenteraad stelt uiteindelijk het GRP 2018-2022 vast.

 

Status

Onderhavige versie van het GRP betreft het ontwerp-GRP 2018-2022, ter voorlegging aan het college.

 

Begrippenkader

Het vakgebied van de gemeentelijke watertaken kent een eigen begrippenkader. De belangrijkste begrippen zijn in bijlage 1 in algemene bewoordingen toegelicht.

3 Wat moeten wij? De verplichtingen

3.1 Gemeentelijke watertaken in Nederland

De zorg en verantwoordelijkheid voor het water in de gemeente Ouder-Amstel ligt, naast de gemeente, in handen van het waterschap Amstel, Gooi en Vecht (met als bedrijfsvoerings- organisatie Waternet), de provincie Noord-Holland, drinkwaterbedrijf Waternet en de particulieren (bewoners/bedrijven).

De betrokkenen hebben verschillende taakstellingen en verplichtingen. Figuur 2.1 geeft een indicatie van de verdeling van de verantwoordelijkheden. Sommige verplichtingen zijn wettelijk vastgelegd. Een aantal verplichtingen is vastgesteld in Europees, landelijk, provinciaal of regionaal beleid. Andere verplichtingen komen voort uit ambtelijke afspraken (al dan niet bestuurlijk vastgesteld). Soms gaat het om resultaatsverplichtingen, soms zijn enkel werknormen bepaald. Bijlage 2 geeft een uitgebreid overzicht.

 

3.2 Afspraken, taken en verplichtingen gemeente Ouder-Amstel

Vanuit de wetgever is gesteld dat elke gemeente over een Gemeentelijk RioleringsPlan dient te beschikken waarin invulling aan de zorgplichten wordt gegeven. De gemeente mag in principe zelf bepalen welke voorzieningen ze gebruikt en hoe ze deze beheert voor inzameling, transport en (lokale) behandeling van het vrijkomend stedelijk afvalwater en het verwerken van overtollige hemelwater, uiteraard in overleg met de waterschappen en andere partijen. Hiernaast heeft de gemeente een regierol in de aanpak van structurele grondwateroverlast.

 

De vrijheid voor de gemeente om invulling te geven aan haar taken schept echter ook de verplichting naar de bewoners en bedrijven om helder te communiceren wat van de gemeente verwacht kan worden. Het schema in hoofdstuk 2 van het Hoofddocument toont op hoofdlijn de taken en verplichtingen van de betrokkenen en de belangrijke ontwikkelingen.

 

Het Bouwbesluit 2012 geeft een extra verduidelijking op de reikwijdte van de gemeente met betrekking tot grondeigenaren (zie de volgende figuren). Uit deze verduidelijking blijkt de relatie tussen de perceelsgrens en de openbare riolering, waar de gemeente verantwoordelijk voor is.

4 Evaluatie GRP 2011-2015 – een terugblik

In het GRP 2011-2015 staan de doelen die de gemeente heeft gesteld ter voldoening aan de wettelijke zorgplichten omtrent het grond-, afval- en hemelwater. In het GRP staan ook de voorgenomen maatregelen en activiteiten die nodig zijn voor de uitvoering van die zorgplichten. De maatregelen en activiteiten zijn vertaald naar financiële en personele middelen.

 

Het GRP 2011-2015 is door de gemeente als leidraad gebruikt bij het uitvoeren van de beheeractiviteiten binnen de planperiode. In dat plan is een drietal hoofddoelen benoemd:

  • 1.

    Doelmatig inzamelen en transporteren van stedelijk afvalwater;

  • 2.

    Doelmatig inzamelen en verwerken van hemelwater;

  • 3.

    Voorkomen dat grondwater de bestemming van een gebied structureel nadelig beïnvloedt.

Omdat de planperiode van het huidige GRP reeds verstreken is en de gemeente Ouder-Amstel uiterlijk eind 2018 een nieuw GRP 2018-2022 wil hebben, is in 2017 gestart met het opstellen van een nieuw GRP. De evaluatie heeft betrekking op de periode 1-1-2011 tot 1-9-2017.

 

Doel van de evaluatie

De evaluatie heeft tot doel om inzicht te geven in de voortgang van de ambities (prestaties) en om eventuele afwijkingen te verklaren en toe te lichten.

 

Hiervoor zijn interviews afgenomen met diverse medewerker binnen de organisatie en de zijn de jaarstukken en begrotingen doorgelicht. De evaluatie is in detail uitgewerkt in de volgende paragrafen:

§4.1: De rol van GRP binnen de gemeente

§4.2: Uitvoering van de beheer- en onderhoudstaken (zorgplichten afval-, hemel- en grondwater)

§4.3: Benchmark en meldingen burgers

§4.4: De personele middelen en financiering

 

4.1 Resumé

Inleiding

Het accent van het vGRP Ouder-Amstel lag op het orde brengen (en houden) van de basisgegevens in het beheersysteem, zodat vervolgens een aantal onderzoeken kon worden uitgevoerd voor het verkrijgen van meer inzicht in het functioneren van de verschillende rioleringssystemen.

 

Positieve aspecten

  • Het GRP 2011-2015 is in goed overleg met Waternet tot stand gekomen. Waternet herkende zich in de koers van de gemeente Ouder-Amstel voor de gemeentelijke watertaken.

  • Het voornemen om de gegevens op orde te brengen, het beheersysteem te vullen en de betrouwbaarheid na te lopen in het veld is ten dele uitgevoerd. Het beheersysteem is aangevuld met drukriool, de XYZ-waarden van de inspectieputten en leidinghoogtes (deels) zijn naverkend.

  • Het noodzakelijke onderhoud (reiniging, kleine reparaties) en rioolvervangingen zijn uitgevoerd.

 

Aandachtspunten voor de komende planperiode

  • Doordat het beheersysteem ten dele is aangevuld heeft er nog geen opvolging kunnen plaatsvinden richting de actualisatie van de toetsing, het meten van het werkelijk gedrag en de optimalisatiestudie afvalwaterketen.

  • Inspectie-, reinigings- en beheerplannen zijn niet opgesteld. Het dagelijks beheer en onderhoud door de gemeente Ouder-Amstel vindt reactief en op cyclische basis plaats. De expertise is aanwezig in de hoofden van de medewerkers, maar staat beperkt op papier of in het beheersysteem.

  • Reparaties en renovaties van gemalen, pompunits, riolen en huisaansluitingen vindt ad hoc plaats, reactief op storingen en meldingen. Dit maakt de budgettering lastig.

  • De afgelopen planperiode is er nagenoeg geen riolering vervangen. Het inzicht in de kwaliteit van de riolen is te beperkt om onderbouwde meerjareninvesteringsplannen voor de komende periode te maken.

  • De kleine omvang van de organisatie in de planperiode (0,5 fte binnendienst en 1,0 fte buitendienst, feitelijk twee personen) en het feit dat er weinig tot geen informatie in planvormen of beheersystemen is vastgelegd, maakt de organisatie erg kwetsbaar

  • Opvallend in de jaarrekeningen en de begrotingen is de grote jaarlijkse dotatie aan de voorziening. De oorzaak hiervan is drieledig:

    • 1.

      Het verloop van de rioolheffing heeft de koers uit het GRP 2011-2015 gevolgd en is niet jaarlijks bijgesteld op basis van de jaarrekeningen, omdat ervan is uitgegaan dat de uitgestelde investeringen op korte termijn wel uitgevoerd zouden worden.

    • 2.

      De onderzoeks- en investeringsinspanning is lager dan voorzien. Bovendien is vanaf 2017 de rekenrente op investeringen 0% (als gevolg van wijzigingen in de notitie BBV en de financiering uit eigen middelden) in plaats van 5%, zoals de aanname van destijds in het GRP 2011-2015.

      De personele inzet was lager dan voorzien. De beoogde uitbreiding is achterwege gebleven, met lagere personeelslasten over de gehele planperiode.

 

4.2 Uitvoering van de beheer- en onderhoudstaken

In hoofdstuk 6 van het GRP 2011-2015 is zijn de doelen en visie vertaald naar een strategie en activiteiten, verdeeld naar de diverse zorgplichten en overkoepelende activiteiten. In de volgende tabellen is per activiteit weergegeven wat de voorgenomen prestatie was, wat de daadwerkelijk prestaties is (een indicatie in %), voorzien van een toelichting.

 

Afvalwater (§6.2, vGRP 2011-2015)

Activiteit

Resultaat

in %

Toelichting

Gegevens op orde brengen (beheersysteem vullen en op betrouwbaarheid nalopenin het veld)

40%

De geometrie staat in het beheersysteem. Alle inspectieputten zijn XYZ ingemeten. Momenteel wordt dit overgezet naar het softwarepakket van Groenestein. De validiteit van de overige gegevens (diameters, b.o.b.’s deels) is niet nagelopen in het veld. Hierover kunnen op dit moment geen uitspraken gedaanworden.

Circa 40% van de gemengde en DWA-riolering is geïnspecteerd. Deze inspectiegegevens zijn niet opgenomen in het beheersysteem.

Actualisatie van hydraulische en milieutechnische toetsing (actualiseren van het BasisRioleringsPlan (BRP)waarin

0%

De meest actuele toetsing dateert van 1999. Nieuwe inzicht blijft wenselijk, maar zal pas plaatsvinden nadat de gegevens in het

beheersysteem op orde zijn.

ook klimaatscenario’s worden vormgegeven)

Meten (werkelijk gedragin beeld brengen

en model valideren)

0%

Volgend op de theoretische inzichten vanuit het BRP, zie voorgaande punt.

Opstellen van inspectie-, reinigings- en gemalenbeheerplan. Deze kunnen integraal worden opgenomen in het te actualiseren Rioolbeheerplan. Hieruit volgen de jaarplannen waarmee de buitendienst op planmatige wijze kan worden aangestuurd

0%

Een plan is niet opgesteld. Zoals reeds geconstateerd in het GRP 2011-2015 wordt het rioolstelsel sinds jaren op basis van de expertise van de medewerkers onderhouden en beheerd.

Inspecties worden cyclisch uitgevoerd en direct beoordeeld. Reparaties worden ad hoc uitgevoerd, omvangrijke maatregelen komen op de

Meerjarenplanning.

Bijhouden en verwerken van inspectieresultaten

25%

Gegevens over de kwaliteit van de riolen staan nietin het beheersysteem. Inspecties worden cyclisch uitgevoerd, direct beoordeeld en niet toegevoegd

aan het beheersysteem.

Verder aanscherpen/opstellen van de (lange termijn) vervangingsplanning

0%

Door gebrek aan juiste gegevens in het beheersysteem is een goede vervangingsplanning voor de riolering niet te maken.

Optimalisatie in de keten

50%

Een uitgebreide studie tussen de maatregelen aanen het beheer van de gemeentelijke voorzieningen met de voorzieningen van Waternet heeft niet plaatsgevonden, bij het achterwege blijven van het gewenste inzicht. Echter, zijn geen knelpunten bekend. Periodiek overleg tussen gemeente en Waternet vindtplaats waarbij optimalisatie kansen worden besproken en afgestemd.

Opstellen volgend Gemeentelijk

Rioleringsplan

100%

Dit is onderhavig document. Het opstellen hiervan is doorgeschoven vanaf 2015 naar 2017.

Onderhoud:

  • -

    Reinigen onderheid afvalwaterriool

  • -

    Inspectie onderheid afvalwaterriool

  • -

    Klein onderhoud afvalwaterriool

  • -

    Reinigen kolken (gemengd stelsel)

  • -

    Afvoer slib

  • -

    Onderhoud gemalen

 

 

100%

 

100%

 

100%

 

100%

100%

100%

Onderhoud vindtniet planmatig plaats, maar op cyclische basis vanuit de lokale kennis en expertisevan de gemeentelijke medewerkers. Het beheer is hierdoor in principe goed op orde.

De zwevende riolering wordt jaarlijks gereinigd in eigen beheer, met eigen (klein) materieel. Slib wordt naar de buiten gesleept en eventueel opgezogen. De overige riolen daar waar nodig, op basis van eigen inzicht. Kwetsbare locaties (zinkers, duikers) worden tot4x per jaar gereinigd.

Onderhoud van gemalen is beperkt tot reiniging en correctief onderhoud (2x per jaar).Veel storingen en meldingen zijn niet aanwezig.

Uitvoering maatregelen (reparaties)

100%

Reparaties worden ad hoc uitgevoerd, omvangrijke maatregelen komen op de Meerjarenplanning.

Vervangingen bestaande riolering (beperkt)

100%

Het aantal uitgevoerde vervangingen is zeer beperkten op strengniveau. Inspecties en klachten worden directdoorvertaald naar maatregelen.

De afgelopen periode is de vervanging beperkt (200m is gerelined).

Vervangingen drukriolering (beperkt)

-

100%

Er is geen drukriool vervangen binnen de planperiode.

Opstellen beheerstrategie speciale constructies

0%

Een goede beheerstrategie voor de bijzondere constructies niet gemaakt. Reiniging en correctief onderhoud (1x per 2 jaar) wordt door de buitendienst uitgevoerd.

 

Hemelwater (§6.3, vGRP 2011-2015)

Omschrijving

Resultaat

in %

Toelichting

Opstellen hemelwaterverwerkingskaart

0%

Deze is niet opgesteld en heeft bij de gemeente geen prioriteit gehad.

Onderzoeken inzet verordeningen als instrumentarium

0%

Het handhaven op aspecten in relatie tot de gemeentelijke watertaken heeft bij de gemeente geen prioriteit. Onderzoek naar het opzetten van verordeningen heeft niet plaatsgevonden.

Ontwikkelen programma van eisen en stroomlijnen procesWatertoets (incl.

grondwateraspecten)

75%

Hieraan is een eerste invulling gegeven de Handboeken Hemelwater en Stedelijk Afvalwater zoals opgesteld in het BOWA en Isariz-verband.

Opstellen verbreed BRP

0%

De meest actuele toetsing dateert van 1999. Nieuwe inzicht blijft wenselijk, maar zal echter pas plaatsvinden nadat de gegevens in het beheersysteem op ordezijn.

In beeld brengen klimaateffecten i.r.t.

wateroverlast

0%

Deze vraag was beoogd om onderdeel uit te maken van het vBRP. Het vBRP is niet geactualiseerd

Ontwikkelen voor ontwerp, uitvoering en beheer van hemelwatervoorzieningen en deze in te beddenin de werkmethodes

75%

De gemeente Ouder-Amstel heeft eind 2017 geen hemelwatervoorzieningen zoals wadi´s of infiltratieriolen in haar areaal en derhalve nog niet

nagedacht over dit punt.

Onderzoek doen naar de eventuele aanwezigheid van foutieve aansluitingen drukriolen en gescheiden stelsels

50%

Een veldonderzoek is niet uitgevoerd. Wel is ergekeken naar doelmatigheid kosten t.o.v. overlast en de winst in draaiuren/functioneren voor het stelsel. Een beperkte analyse van de draaiuren te Duivendrecht heeft plaats gevonden en aan de hand van de resultaten wordter met rookdetectie gericht naar foutaansluitingen gezocht.

Afstemming beleid gladheids- en onkruidbestrijding

0%

Deze is niet opgesteld en heeft bij de gemeente geen prioriteit gehad.

Stimuleren toepassen groenedaken door

vermelding op website gemeente

100%

De zoekterm ‘groenedaken’ verwijst naarde pagina met allerlei regelingen inzake duurzaamheid.

Onderhoud:

  • -

    Uitvoeren reguliere reiniging kolken

  • -

    Uitvoeren straatvegen

 

100%

 

100%

Reiniging van kolken en straatvegen vindt planmatig plaats op cyclische basis vanuit de lokale kennis en expertise van de gemeentelijke medewerkers. Het

beheer is hierdoor in principe goed op orde.

Onderhoud:

  • -

    Klein onderhoud hwa-riool

  • -

    Reinigen kolken (hwa-riool)

  • -

    Afvoer slib

 

100%

 

100%

100%

Reiniging van kolken en straatvegen vindtplanmatig plaats op cyclische basis vanuit de lokale kennis enexpertise van de gemeentelijke medewerkers. Het

beheer is hierdoor in principe goed op orde.

Het schoonhouden van de watergangen en het verwerken van het vrijgekomen slib

100%

Er wordt meegelift met de baggerwerkzaamheden van het waterschap. De gemeente is verantwoordelijk voor de kosten van het onderhoud van de gemeentelijke watergangen; deze worden verrekend vanuit hetwaterschap.

 

Grondwater (§6.4, vGRP 2011-2015)

Omschrijving

Resultaat

in %

Toelichting

Opstellen van een grondwaterplan

  • -

    Inrichten en het gebruikvan een basis grondwatermeetnet

  • -

    Verwerken van meetgegevens vanuit het meetnet en het doen van onderzoek naar eventuele structurele klachten;

  • -

    Maken van een inventarisatie van alle grondwaterbeheervoorzieningen

50%

Beoogd is om het functioneren van de grondwatervoorzieningen onderdeel te laten zijn van het vBRP. In 2016 is er basis grondwaterneet ingericht in Ouderkerk aan de Amstel en Duivendrecht. Eventuele uitbreiding hiervan zal pas plaatsvinden nadat de gegevens zijn geanalyseerd.

Voldoende aandacht geven aan analyse van grondwaterstanden mede in het kader van de watertoets

75%

Hieraan is een eerste invulling gegeven vanuit de Handreiking Stedelijk Grondwater zoals opgesteld in het BOWA en Isariz-verband.

Invullen loketfunctie (waterloket en communicatie)

100%

In principe fungeert de gemeentelijke website als waterloket. Er zijn niet zo veel vragen dat het inrichten van een apart loket zinvol is.

Onderzoeken inzet verordeningen als instrumentarium

0%

Het handhaven op aspecten in relatie tot de gemeentelijke watertaken heeft bij de gemeente geen prioriteit. Onderzoek naar het opzetten van verordeningen heeft niet plaatsgevonden.

 

Overkoepelende activiteiten (§6.5, vGRP 2011-2015)

Omschrijving

Resultaat

in %

Toelichting

Vanuit de toenmalige Wvo afspraken:

  • -

    inventarisatievan hemelwaterlozingen

  • -

    opstellen van eengemalenbeheerplan

  • -

    opstellen van een meetplan

  • -

    opstellen van jaarrapportages

 

0%

 

0%

 

0%

100%

Wordt opgepakt nadat de gegevens in het beheersysteem op orde zijn. Zie ook onder ‘Afvalwater’. Waternet is van de jaarrapportages afgestapt. Afstemming vindt plaats in periodiek overleg.

Interne afstemming werkzaamheden die metwater en riolering te maken hebben

100%

De communicatielijnen tussen de asset beheerders in de organisatie Duo+ zijn kort, doordat de gemeente relatief beperkt van omvang is. Hierdoor vindt afstemming tussen de disciplines eenvoudig plaats.

Overleg bedrijventerrein Amstel Business Park over het beheer, onderhoud, en rioolheffing betreffende dit stelsel (bedrijventerrein)

90%

Overleg heeftplaatsgevonden en er is overgestapt van een gebruikersheffing naar een eigenaren- heffing. De overeenkomst is vooralsnog aangehouden omdat er aanvullende vragen zijn gesteld vanuit de gemeente Amsterdam. Hierdoor kan er (waarschijnlijk) vanaf 2019 in het Amstel Business Park rioolbelasting worden geheven.

Inrichten van een gecombineerd loket waar alle meldingen over grondwater, hemelwater, afvalwater en oppervlaktewater terechtkomen en vastgelegd worden

50%

Meldingen kunnen als zodanig worden opgenomen in het registratiesysteem. Vanwege de korte lijnen binnen de gemeente worden de meldingen vaak directdoorgezet naar de buitendienst en opgelost.

Registratie vindt dan niet altijdplaats.

Inzet communicatie naar burgers (afkoppelfolder, bewonersavonden bij grootschalige projecten, Informatie op de gemeentelijke website, voor particulieren en bedrijven die zelf initiatieven ontplooien, publicatie vGRP

75%

Bij werkzaamheden in de buitenruimte worden bewoners geïnformeerd middels inloopavonden. Rioleringen afwatering wordt daarin meegenomen, dus op projectbasis.

Begin november 2017 geven Waternet en de gemeente, op initiatief van de werkgroep Openbare Ruimte, voorlichting aan particulieren over de mogelijkheden ‘hoe om te gaan met regenwater op eigen terrein’. Landelijke campagnes van Stichting RIONED zijn niet gevolgd.

 

Samenwerking

Duo+ is sinds januari 2016 de bedrijfsvoeringsorganisatie van en voor Ouder-Amstel, Diemen en Uithoorn. De afdeling Buurt beheert de openbare ruimte van de gemeenten Uithoorn en de gemeente Ouder-Amstel. Tevens stelt Duo+, op verzoek vanuit één van de gemeenten, de plannen op voor het uitvoeringsbeleid. In de Dienstverleningsovereenkomst Beheer Openbare Ruimte staan afspraken over de taak- en rolverdeling tussen Duo+ en de gemeentelijke organisatie en staan afspraken over de te leveren kwaliteit en kwantiteit van de aan Duo+ opgedragen taken. De in dit GRP vastgelegde beleids- en uitvoeringskeuzes zijn daarin een belangrijk onderwerp.

 

Hiernaast werkt de gemeente ook nauw samen met het Waterschap Amstel, Gooi en Vecht (met Waternet als uitvoeringsorganisatie) en de inliggende gemeenten via het Bestuurlijk Overleg Water AGV-gebied (BOWA). Isariz is het ambtelijk overlegorgaan ‘Intergemeentelijke Samenwerking Rioleringszorgtaak’.

In de BOWA-Mantelovereenkomst ‘Samenwerken in de afvalwaterketen’ uit 2013 hebben deze partijen zich, in aansluiting op het Bestuursakkoord Water, gecommitteerd om tot 2020 intensief samen te gaan werken met als doel de kwaliteit te vergroten, kosten te besparen en de kwetsbaarheid van de afvalwaterketen te verminderen. Vanuit het BOWA is een reeds concreet invulling gegeven aan de doelstellingen vanuit het Bestuursakkoord Water en de Europese kader Richtlijn Water door het opstellen van gezamenlijke handboeken en factsheets.

 

4.3 Benchmark en meldingen burgers

 

Monitor Bestuursakkoord Water 2015

De gemeente Ouder-Amstel heeft meegedaan aan de BAW Monitor 2015. Hieruit komt het beeld naar voren dat de gemeente relatief hoge kosten en opbrengsten per strekkende meter rioolbuis heeft. Vertaald naar kosten en opbrengsten per inwoner is dit beeld minder prominent. Wel valt de hoge stand van de voorziening op.

 

Op alle vlakken is in de Benchmark geconstateerd dat de score voor de gemeente Ouder-Amstel (doorgetrokken groen en rode streep) lager is dan de doelstelling (blauwe stippellijn). De volgende beelden zijn daarbij gepresenteerd in de Monitor 2015 (een gedetailleerde onderbouwing hiervan ontbreekt).

 

 

Meldingen

Vanuit de Meldingregistratie is het beeld beschikbaar voor 2016, over de maanden januari tot en met september. Echter, niet alle meldingen worden als zodanig opgenomen in het registratiesysteem. Vanwege de korte lijnen binnen de gemeente worden de meldingen direct opgelost en niet gelogd. Deze klachten worden direct opgepakt en binnen een werkdag afgehandeld. Het ontbreekt aan nadere informatie voor een verdere detailanalyse. Gezien het beperkte aantal klachten is hier ook geen noodzaak toe.

 

Typering klacht

Ouder-Amstel

Ratten

7

Riool

10

Stank

3

Eindtotaal

20

 

4.4 Organisatie en financiën

Personele middelen

Voor het verantwoord uitvoeren van de taken, zoals beschreven in het vGRP 2011-2015 is de wenselijke bezetting van de regisserende binnendienst met kentallen uit de Leidraad Riolering bepaald op 1,4 fte. Vanuit de jaarrekening 2016 is te herleiden dat er circa 0,5 ten laste is gekomen van de rioolheffing, aanzienlijk minder dan beoogd.

Door de geringe omvang van de gemeentelijke organisatie is dit beeld voor de buitendienst waarschijnlijk vertroebeld, doordat de medewerkers meer onderdelen van de openbare ruimte beheren (wegen, groen). Vanuit de jaarrekening 2016 volgt dat er circa 1,9 fte ten laste is gekomen van de rioolheffing.

 

De personele omvang is de afgelopen jaren niet bijgesteld, waardoor een groot aantal voornemens achterwege is gebleven. Het noodzakelijke onderhoud (reiniging, kleine reparaties) en vervangingen zijn uitgevoerd, maar met name het orde brengen en houden van de beheergegevens is blijven liggen. Met als gevolg dat ook de voorgenomen onderzoeken voor het verkrijgen van meer inzicht in het functioneren niet zijn opgepakt.

 

Ontwikkeling tarief rioolheffing

De koers voor de rioolheffing vanuit het GRP 2010 -2015 was €256 in 2017, komende van de €215 in 2015. Hierbij was niet gerekend met een correctie voor inflatie. De gemeente heeft hiervoor jaarlijks wel gecorrigeerd (gemiddelde jaarlijkse correctie van 1,2%).

De huidige rioolheffing bedraagt €277,80 voor het eigenarendeel (Verordening Rioolheffing 2017). Gesteld wordt dat de koers vanuit het GRP 2011-2015 is gevolgd.

 

In 2016 heeft de raad besloten dat voor het jaar 2017 de aanslag wordt opgelegd aan de eigenaar van een onroerende zaak. Tot 31 december 2016 was dat nog de gebruiker van een onroerende zaak.

 

Begroting en jaarrekening

Op basis van de jaarrekening 2016 en de programmabegroting 2017 is een beeld gevormd van de huidige budgetten voor de rioleringszorg, in relatie tot het GRP 2011-2015. Onderstaande tabel geeft de totale baten en lasten weer:

 

Tabel 1: Totale lasten en baten rioleringszorg

Rekening 2015

Rekening 2016

Begroting 2017

Koers GRP 2011-2015 voor 2017

Lasten *

€ 1.611.000

€ 1.612.000

€ 1.775.000

€ 1.520.000

Baten

€ 1.686.000

€ 1.703.000

€ 1.775.000

€ 1.520.000

Resultaat

+ €75.000

+ €91.000

€ 0

€ 0

Dotatie ** voorziening

+ € 778.000

+ € 1.036.000

+ € 1.130.000

+ € 184.000

  • *

    de totale lasten zoals opgenomen de begroting is inclusief de post ‘storting voorziening riool’.

  • **

    het resultaat wordt toegevoegd of onttrokken aan de dotatie aan de voorzieningen.

Opvallend is de grote jaarlijkse dotatie aan de voorziening. De oorzaak hiervan is drieledig:

  • 1.

    Het verloop van de rioolheffing heeft de koers uit het GRP 2011-2015 gevolgd en is niet jaarlijks bijgesteld op basis van de jaarrekeningen, omdat ervan uit is gegaan dat de uitgestelde investeringen op korte termijn wel uitgevoerd zouden worden.

  • 2.

    De onderzoeks- en investeringsinspanning is lager dan voorzien. Bovendien is vanaf 2017 de rekenrente op investeringen 0% in plaats van de 5%, zoals de aanname van destijds in het GRP 2011-2015.

  • 3.

    De personele inzet was lager dan voorzien. De uitbreiding vanuit het GRP 2011-2015 is achterwege gebleven, met lagere personeelslasten over de gehele planperiode.

 

Ontwikkeling stand Voorziening

De gemeente kent een Voorziening vervanging riolering. Achterliggend is de ‘Nota Reserves en Voorzieningen 2017’. Dit is een voorziening conform artikel 44, lid 2 van de BBV. De afgelopen jaren heeft deze zich sterk gevuld, zie tabel 2. In de Programmabegroting 2017 zet deze stijging zich door. De volgende grafiek geeft dit beeld weer ten opzichte van de beoogde koers uit het GRP 2011-2015.

Realisatie en financiering van projecten

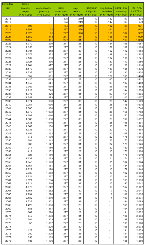
Beschikbare financiële middelen

De gemeente kent een overzicht van de geactiveerde kapitaaluitgaven, de zogenaamde ‘staat C’. Hierin staat een overzicht van investeringen, met de boekwaarde, mutaties hierin, de jaarlijkse afschrijving van de boekwaarde en de (eventuele) rente.

Voor de komende jaren zijn regels opgenomen per jaarschijf als krediet volgens het vigerende GRP. Aandachtspunt hierbij is de verdeling van deze jaarschijf naar de diverse afschrijvingstermijnen, conform de ‘Nota Activabeleid 2017’. Deze afstemming moet nog plaats vinden.

 

Afstemming met overige budgetten

In principe worden de kosten voor de riolering uit de GRP-budgetten gefinancierd. Hierin is in principe het deel van het vervangen van de bovenliggende verharding, boven de sleuf, opgenomen. In de werkelijke investeringen en toerekening van de uitgaven is de basis van de verdeling van budgetten tussen de verschillende assets (wegen, groen, riolering) minder transparant.

5 Kwaliteitskaders zorgplichten gemeentelijke watertaken

De zorgplichten voor stedelijk afvalwater, hemelwater en grondwater zijn voor de gemeente wettelijke plichten. De gemeente heeft echter bij de invulling van deze zorgplichten de beleidsvrijheid de aanpak te kiezen wat zij, gelet op de lokale omstandigheden, het meest wenselijk vindt. Voor een groot aantal zaken voor de rioleringszorg staat het (technisch) normenkader vast, hierover hoeft geen discussie te worden gevoerd. Voor een aantal andere zaken is het ambitieniveau wel te overwegen. Er is dus ruimte voor keuzes. De ambitie stelt een doel en geeft aan welke kwaliteit de gemeente wil bieden aan de bewoners, bedrijven en bezoekers. Elke keuze heeft bijbehorende consequenties, en kosten. Met andere woorden, het gekozen kwaliteitsniveau heeft zijn prijskaartje. Met dit hoofdstuk wordt de visie uitgewerkt in ambities en beleidskeuzes voor de looptijd van het GRP 2018-2022.

 

5.1 Toelichting totstandkoming beleidskeuzes

 

In de Programmabegroting 2017 is het programma Ruimte Integraal Beheer Openbare Ruimte (IBOR) als een speerpunt benoemd. Bij de evaluatie van de IBOR is geconstateerd dat de afgesproken kwaliteit van de buitenruimte (“heel en veilig”) is gehaald. Het verhogen van de kwaliteit heeft echter grote financiële consequenties. Als de financiën van de gemeente het toelaten, kan worden bekeken waar de kwaliteit kan worden verhoogd ten opzichte van “heel en veilig”. Voor de gemeente Ouder-Amstel blijft de taakinvulling zich richten op de kenmerken veilig, functioneel, heel en schoon. Vertaald naar de gemeentelijke watertaken houden deze kenmerken het volgende in:

In het proces van het opstellen van het GRP 2018-2022 is aan het college en de gemeenteraad gevraagd aan te geven wat zij belangrijk vinden. Voor een groot aantal zaken voor de rioleringszorg staat het (technisch) normenkader vast, hierover hoeft geen discussie te worden gevoerd. Voor een aantal andere zaken is het ambitieniveau wel te overwegen. Volstaat het huidige kwaliteitsniveau? Moet het beter, of kan het wellicht wat minder?

Het college en de raad is daarom eind 2017 gevraagd aan om mee te denken in wat het gewenste ambitieniveau is en wat de speerpunten voor de komende jaren zijn.

Voor alle zorgplichten is bij de vaststelling van het vorige GRP ingestoken op een invulling van een niveau waarin de woorden ‘doelmatig, duurzaam en kosteneffectief’ terugkomen.

Samengevat wordt dit in dit GRP omschreven als niveau ‘adequaat’, zie kader.

 

Niveau adequaat: het voortzetten van de huidige rioleringszorg, we doen wat we moeten. Dit houdt in dat in 2022 de voorzieningen functioneren op het basisniveau (voldoende onderhouden, hier en daar wel wat op aan te merken, af en toe hinder is mogelijk).

 

In het hoofddocument is de ambitie beschreven en voorzien van sfeerbeelden. De speerpunten voor de komende planperiode 2018-2022 zijn benoemd. In de navolgende paragrafen is dit vertaald naar een kwaliteitskader voor de drie verschillende zorgplichten. Dit kader is de kwaliteitsbeschrijving met bijbehorende kwaliteitsnormen. De kwaliteitsnormen geven expliciet aan wat wel en wat niet kan worden verwacht van de gemeente.

 

Hoofdstuk 6 van dit Achtergrondendocument beschrijft per kwaliteitsnorm in hoeverre wij er op dit moment aan voldoen (dit is de nulmeting) en hoe wij eraan blijven voldoen of aan gaan voldoen (met welke strategie). Voor het overgrote deel van de normen geldt dat we er op dit moment al aan voldoen en/of hier binnen de planperiode aan gaan voldoen. Voor enkele normen kan echter pas worden beoordeeld in hoeverre we eraan voldoen, wanneer eerst het inzicht en de kennis is vergroot. Hier wordt binnen de planperiode op ingezet. Dit geldt met name voor het voldoen aan de kwaliteitsnormen voor (hevige) regenval in relatie tot klimaatverandering, het bestrijden van structurele grondwateroverlast in relatie tot droogte en klimaatverandering, de vuiluitworp uit gemengde rioolstelsels en de aanwezigheid van foutaansluitingen. Uit het verkregen inzicht kan mogelijk blijken dat er aanvullende maatregelen moeten worden bepaald. Sommige daarvan zullen vervolgens pas na de planperiode worden uitgevoerd, waardoor er pas na de planperiode volledig aan een kwaliteitsnorm zal worden voldaan.

 

Het kwaliteitskader geeft zodoende een volledig overzicht van de invulling van de gemeentelijke watertaken door gemeente Ouder-Amstel. De volgende figuur geeft de opbouw van het kwaliteitskader schematisch weer:

NB: oppervlaktewatersysteem

De ambities voor het stedelijk watersysteem worden verkend in een andere planvorm dan onderhavig gemeentelijk rioleringsplan. Dit punt heeft een duidelijke koppeling met de ambities en taken van het waterschap; de gemeente en het waterschap bepalen gezamenlijk de ambities voor het stedelijk watersysteem. Voor de ambities voor het oppervlaktewater in de stad wordt meer gekeken naar aspecten als beleving, functie, omgeving en de vervuilingsbronnen. Denk bijvoorbeeld aan eenden, hondenuitlaatplaatsen, autowassen op straat en bladval als potentiële vervuilingsbronnen, naast de riooloverstorten en hemelwateruitlaten. Deze scope gaat verder dan de invulling van de gemeentelijke watertaken en wordt gefinancierd vanuit andere middelen. De ambities voor het stedelijk watersysteem worden dan ook verkend in een andere planvorm dan onderhavig gemeentelijk rioleringsplan.

 

5.2 Overkoepelende kwaliteitsbeschrijving en kwaliteitsnormen

 

Voor een aantal items zijn de kwaliteitsbeschrijvingen en normenkaders overkoepelend voor de drie zorgplichten. Het betreft de technische staat, de bedrijfszekerheid en de kaders voor nieuwe aanleg. Om herhaling in dit hoofdstuk te voorkoen zijn in onderhavige paragraaf zijn deze overkoepelende items benoemd.

 

Aspect

Kwaliteitsbeschrijving

Kwaliteitsnorm

Technische staat

De voorzieningen voor inzameling en transport vanstedelijk afvalwater, overtollige hemelwater en grondwaterregulering verkeren in een goede technische staat.

  • Ingrijpmaatstaven voorstabiliteit, waterdichtheid of afstroming wordenbinnen twee maanden beoordeeld (maatregeltoets).

  • Noodzakelijke maatregelen worden uiterlijk binnen3 jaar uitgevoerd.

  • De beheerdata is op orde; de gemeente heeft een goed beeld van de omvang en kwaliteit van het areaal. De gegevens van de objecten wordencentraal binnen de gemeente vastgelegd en bijgehouden in hetbeheerpakket, voor het verkrijgen van inzicht.

Bedrijfszekerheid gemalen

De bedrijfszekerheid van rioolgemalen is gewaarborgd. De kans op calamiteiten is hiermeebeperkt.

  • De uitval van een individueel rioolgemaal is minder dan 5 keer per jaar.

  • Reservepompen kunnenbinnen 24 uur worden geplaatst.

  • Storingen van hoofdrioolgemalen en pompunits in het afvalwatersysteem wordenbinnen één werkdag na signalering verholpen.

  • Storingen van hoofdrioolgemalen in het hemel- en grondwatersysteem worden binnen één week na signalering verholpen.

  • Alle hoofdrioolgemalen zijn voorzien van een dubbele pomp.

  • Alle hoofdrioolgemalen zijn aangesloten op eentelemetriesysteem.

De afvoer via de rioolgemalen is gewaarborgd. De kans op calamiteiten is hiermee beperkt.

  • De in- en uitslagpeilen van gemalen zijnbij voorkeur gelijkof lager ingesteld dan de binnenonderkant van het aanvoerriool,

  • De pendelberging is voldoende om de pompmaximaal 7x per uur te laten schakelen.

Nieuwe aanleg

De voorzieningen zijn in staat de hoeveelheid te verwerken.

  • Het ontwerp en de aanleg vannieuwe voorzieningen vindtplaats volgens de Technische Richtlijnen van de gemeente Ouder- Amstel.

  • Nieuwe voorzieningen worden aangelegd conform de kleurstelling uitde Technische Richtlijnen van de gemeente Ouder-Amstel.

Bij ruimtelijke ontwikkelingen worden waterproblemen voorkomen.

  • Bij nieuwe ruimtelijke ontwikkelingen wordt per project bekeken in welke mate kan worden voldaan aan de richtlijnen van de gemeente; dit is altijd maatwerk, in afstemming met het waterschap en/of de ontwikkelaar.

  • De gemeente heeft minimaal een toetsende rol.

5.3 Kwaliteitsbeschrijving en kwaliteitsnormen stedelijk afvalwater

 

Artikel 10.33 Wet milieubeheer:

De gemeenteraad of burgemeester en wethouders dragen zorg voor de inzameling en het transport van stedelijk afvalwater dat vrijkomt bij de binnen het grondgebied van de gemeente gelegen percelen, door middel van een openbaar vuilwaterriool. In plaats van een openbaar vuilwaterriool kunnen afzonderlijke systemen of andere passende systemen worden toegepast, indien met die systemen eenzelfde graad van bescherming van het milieu wordt bereikt. Op verzoek van burgemeester en wethouders kunnen gedeputeerde staten in het belang van de bescherming van het milieu ontheffing verlenen van de zorgplicht De ontheffing kan, indien de ontwikkelingen in het gebied waarvoor de ontheffing is verleend daartoe aanleiding geven, door gedeputeerde staten worden ingetrokken.

 

Aspect

Kwaliteitsbeschrijving

Kwaliteitsnorm

Aansluitingen en wijze van inzameling

Het afvalwater wordt ingezameld en gezuiverd. Ditafvalwater kan dus niet ongezuiverd in sloten of bodem lopen.Er zijn daaromgeen stankklachten en/of verontreinigingen van sloten en bodemdoor het riool.

  • Percelen waar afvalwater vrijkomt en die zijn voorzien van een water- en elektra-aansluiting, zijn aangesloten op de riolering of een lokale zuiveringsvoorziening (IBA). Innovatie oplossingen (‘Afvalwater als energiebron en grondstof”) zijn verkend.

  • Alle percelen binnen de stedelijke bebouwing zijn aangesloten opde riolering.

  • Wanneer stankoverlast in openbaar gebiedwordt geconstateerd, wordt binnen een weekactie ondernomen

Op de voorzieningen zitten geen (foutieve) aansluitingen die de inzameling en transport (en zuivering) van afvalwater belemmeren.

  • Er zijn geen foutieve aansluitingen op de vuilwater riolering of drukriolering; daar waar deze zijn geconstateerd wordt gehandhaafd.

  • Er kan in normale situaties geen oppervlaktewater of grondwater via overstorten en nooduitlaten in gemengde of vuilwater riolering intreden.

  • De lozingen van afvalwater en de afvoer van huishoudelijk afvalwater en hemelwater op de riolering voldoen aan de voorschriften van het ‘Besluit lozingafvalwater huishoudens’ (Blah), het Activiteitenbesluit, het Bouwbesluit en de omgevingsvergunning; daarwaar overtredingen bekend zijn wordt gehandhaafd.

Inzameling van bronneringswater

  • Aanvragen voor lozingen van bronneringswater op de gemengde riolen zijn beoordeeld op samenstelling, duur en hoeveelheid. Advisering is maatwerk, afhankelijk van het ontvangende stelsel.

Verwerking en afvoer- capaciteit

Stedelijk afvalwater kan ongehinderd en binnen voldoende tijd afstromen, aanrotting van afvalwater wordt hiermee voorkomen. Aantasting van het riool is beperkt en er zijn geen risico’s door beschadigde riolen.

  • De maximale vervuilingsgraad in de vuilwater- en gemengde riolen bedraagt gemiddeld maximaal 30%, op stelselniveau.

  • De verblijftijd van het afvalwater in de vrijverval riolen is maximaal 24 uur.

  • De maximale vullingsgraad bedraagt bij droogweer maximaal 50% (bij 12 l/h per inwoner + bedrijfslozingen).

  • Persleidingen moeten bij voorkeur in of zo dicht mogelijk bij ontvangende gemalen uitmonden.

  • Alle putten zijn voorzien van een stroomprofiel.

  • Bij klachten van burgers over afstroming wordt uiterlijk binnen twee dagen actie ondernomen.

Vuiluitworp

Bij hoosbuien wordt het rioolwater afdoende opgevangen in de riolen (en eventuele bergings- voorzieningen). De vuiluitworp via de overstorten in sloten en vijvers is beperkt. Slechts af en toe is er sprake van stank en vervuiling. De vuiluitworp via de overstorten in sloten en vijvers leidt niet tot risico's voor mens en omgeving.

  • De vuiluitworp uit gemengde rioolstelsels en de verbeterd gescheiden stelsels mag de doelstellingen voor het oppervlaktewater, zoals bepaald in overleg met de waterkwaliteitsbeheerder, niet in gevaar brengen.

  • Overstorten van gemengde stelsels zijn voorzien van meetregistratie.

5.4 Kwaliteitsbeschrijving en kwaliteitsnormen afvloeiend hemelwater

Artikel 3.5 Waterwet:

De gemeenteraad of het college van burgemeester en wethouders dragen zorg voor een doelmatige inzameling en verwerking van het afvloeiend hemelwater, voor zover van degene die zich daarvan ontdoet, voornemens is zich te ontdoen of zich moet ontdoen, redelijkerwijs niet kan worden gevergd het afvloeiend hemelwater op of in de bodem of in het oppervlaktewater te brengen.

 

De gemeente Ouder-Amstel heeft de door haar gewenste kwaliteit en bijbehorende kwaliteitsnormen opgesteld. De gemeente geeft hiermee expliciet aan wat gedurende de looptijd van het GRP 2018 - 2022 van haar kan worden verwacht.

 

Afvloeiend hemelwater

Aspect

Kwaliteitsbeschrijving

Kwaliteitsnorm

Aansluitingen en wijze van inzameling

Overtollig hemelwater dat de particulier niet op eigenterrein kan verwerken wordt ingezameld.

  • In bestaand stedelijk gebied wordt de particulier niet verplicht het hemelwater op eigen terrein te verwerken.

  • Bij nieuwbouw en renovatie wordt waar mogelijk, en in samenspraak met de waterbeheerder, van de particulier geëist het hemelwater op eigen terrein te verwerken, in hetgeval het perceel direct grenst aan oppervlaktewater.

Op de voorzieningen zitten geen (foutieve) aansluitingen die de inzameling (en verwerking) van overtollig hemelwater belemmeren.

  • Er zijn geen foutieve aansluitingen op de hemelwater riolering; daar waar deze zijn geconstateerd, wordt gehandhaafd.

  • Verharde oppervlakken met grote risico's op vervuiling lozen via het vuilwaterstelsel naar de RWZI of op het oppervlaktewater via een zuiverende voorziening.

  • Het gebruik maken van duurzame, milieuvriendelijke en niet uitlogende materialen om risico's op vervuiling van afgekoppelde oppervlakken te voorkomen wordt aanbevolen.

  • De onkruidbestrijding vindt plaats volgens de wettelijke oorschriften.

Er wordt geprobeerd zoveel mogelijk schoon hemelwater te scheiden van het stedelijk afvalwater, voor zover dit doelmatig is.

  • Bestaand gebied: afkoppelen van verhard oppervlak indien technisch uitvoerbaar, toelaatbaar voor het milieu en kosteneffectief.

  • Nieuwbouw: het gescheiden aanbieden van afval- en hemelwater in woningen, bedrijven en overige gebouwen is verplicht.

  • De gemeente stimuleert particulieren verhard oppervlak van het gemengde stelsel af te koppelen (duurzaam, doelmatig en correct) en, waar mogelijk en zinvol, regenwater (voor een deel) op eigen terrein te verwerken.

Verwerking en afvoer- capaciteit

 

De bebouwing, wegen en openbare ruimte zijn zo ingericht dat het water bij regenbuien redelijk goed kan afvoeren naar de straatkolken en/of riolering. Hinderlijke plassen op straat komen beperkt voor. De afstroming dient gewaarborgd te zijn.

  • Straatkolken worden jaarlijks gereinigd.

  • Plasvorming mag bij maximaal 5% van de kolken voorkomen. Incidenteel verstopte straatkolken zijn binnen een week verholpen.

  • Alle putten zijn voorzien van een stroomprofiel.

  • Bij klachten van burgers over afstroming wordt uiterlijk binnen twee dagen actie ondernomen.

Bij normale regenval wordt het rioolwater afdoende opgevangen in de riolen (en eventuele bergings- voorzieningen), zonder dat dit leidt tot hinder. Bij extreme situatie mogen 'water op straat' situaties ontstaan.

  • De afvoercapaciteit van de riolering is voldoende om een korte en heftige bui die 1 keer per 2 jaar valt te verwerken (een theoretische bui van 20 mm in één uur), zonder dat er ‘hinder’ (zie hoofddocument) op treedt.

  • Bij buitengewone omstandigheden vindt waterberging plaats buiten de riolering op daarvoor ingerichte locaties zoals watergangen en (eventuele) groenvoorzieningen. De openbare ruimte is zodanig ingericht dat bij buitengewone omstandigheden (eens per 100 jaar) geen overlast’ (zie hoofddocument) ontstaat.

5.5 Kwaliteitsbeschrijving en kwaliteitsnormen grondwater

 

Artikel 3.6 Waterwet:

De gemeenteraad of het college van burgemeester en wethouders dragen zorg voor het in het openbaar gemeentelijke gebied treffen van maatregelen teneinde structureel nadelige gevolgen van de grondwaterstand voor de aan de grond gegeven bestemming zoveel mogelijk te voorkomen of te beperken, voor zover het treffen van die maatregelen doelmatig is en niet tot de zorg van het waterschap of de provincie behoort.

 

De gemeente Ouder-Amstel heeft de door haar gewenste kwaliteit en bijbehorende kwaliteitsnormen opgesteld. De gemeente geeft hiermee expliciet aan wat gedurende de looptijd van het GRP 2018 - 2012 van haar kan worden verwacht.

 

Grondwater

Aspect

Kwaliteitsbeschrijving

Kwaliteitsnorm

Aansluitingen en wijze van inzameling

De gemeente wil een duidelijk aanspreekpunt zijn voor burgers en bedrijven betreffende grondwaterproblematiek en vragen over het grondwater.

  • Er is een (grondwater)loket ingericht. Bij vragen verstrekt de gemeente informatie aan de perceeleigenaar.

  • Meldingen worden afgehandeld op basisvan de beleidsregels.

Aanpak structurele overlast

De gemeente treft, mits doelmatig, maatregelen op openbaar terrein ter beperking van structurele grondwateroverlast.

  • Er bestaat inzicht in de optredende grondwaterstanden.

  • Ontwateringsmiddelen wordenniet aangesloten op riolen die naar de RWZI afvoeren.

  • De gemeente stelt vast wanneer er sprake is van structurele grondwateroverlast en welke maatregelen doelmatig zijn. Zij gebruikt hierbijde overwegingen uit de ‘Taakopvatting Grondwater’ (zie §8.1); dit is altijd maatwerk.

  • In gebieden met structurele overlast neemt de gemeente het initiatief om de overlast te bestrijden.

  • De plantsoenen van de gemeente zijn na een periode van regen een paar dagen drassig, maar blijven redelijk begaanbaar.

  • Schade als gevolg van gemeentelijk ingrijpen in de grondwaterstanden komt niet voor.

6 De nulmeting en strategie

 

Om de huidige situatie (2017) in de gemeente Ouder-Amstel te kunnen beoordelen heeft een toetsing van de huidige situatie (een nulmeting) aan de kwaliteitskaders uit hoofdstuk 5 plaatsgevonden. De resultaten hiervan zijn breeduit geanalyseerd en beschreven in dit hoofdstuk.

 

De basis voor de nulmeting

Het werkveld van de gemeentelijke watertaken is complex. Om juiste keuzes te kunnen maken is inzicht en begrip in de toestand en het functioneren van de riolering en voorzieningen nodig. Dit vraagt enerzijds om actuele en betrouwbare gegevens en informatie. Bij een deel hiervan, de vaste gegevens, is in de voorgaande paragraaf stilgestaan. Anderzijds is ook specialistische kennis nodig om de informatie op de juiste wijze te interpreteren en op die wijze de juiste afwegingen te kunnen maken.

 

Voor de toetsing is naast het huidig GRP gebruik gemaakt van de volgende gegevens:

  • Gegevens rioolbeheersysteem 2017

  • Programmabegroting 2017

  • Verordening rioolheffing 2017

  • Benchmark Rioleringszorg 2015

  • Monitor gemeentelijke watertaken 2016

  • Basisrioleringsplan 2004

  • Programmabegroting 2017

  • Meldingenregistratie MOR 2016 januari t/m september

 

6.1 Het areaal (omvang, toestand en functioneren)

 

De wetgever vraagt in Artikel 4.22 van de Wet Milieubeheer in artikel 2a:

…een overzicht van de in de gemeente aanwezige voorzieningen voor de inzameling en het transport van stedelijk afvalwater, alsmede de inzameling en verdere verwerking van afvloeiend hemelwater en maatregelen teneinde structureel nadelige gevolgen van de grondwaterstand voor de aan de grond gegeven bestemming zoveel mogelijk te voorkomen of te beperken…

 

Onderstaande tabel geeft het aantal aansluitingen in de gemeente Ouder-Amstel weer (bron: Monitor Gemeentelijke Watertaken 2016 en CBS).

 

Type

Aantallen

Inwoners

13.465

 

Rioolaansluitingen:

  • -

    Woningen en bedrijven op vrijverval

5.263

  • waarvan >500 m3

(38)

  • -

    Woningen en bedrijven op drukriool

400

  • -

    IBA’s

0

Straat- en trottoirkollen

3.625

 

Uitbreidingen volgens uitgangspunten januari 2018

Aantal woningen

Periode

  • -

    Ouderkerk Zuid Tuindorp (vrijekavels)

6

2018 - 2020

  • -

    Ouderkerk Zuid

3

2019

  • -

    Burgemeester Stramanweg

34

2018

  • -

    De Nieuwe Kern

3.500

2020 - 2032

  • -

    Entrada

800

2021 - 2025

  • -

    Amstel Business Park

1.500

2021 - 2026

 

Deze paragraaf beschrijft de huidige stand van zaken (peildatum eind 2017) en gaat in op het areaal; wat beheert de gemeente Ouder-Amstel (omvang, toestand en functioneren).

Een actueel beeld is te genereren vanuit het beheersysteem van de gemeente. Bekend is dat de data in het rioolbeheersysteem niet geheel up-to-date is. Voor circa 5% ontbreekt bijvoorbeeld het aanlegjaar in de brondata. Wel is te zien dat vanaf de jaren ’90 begonnen is met het aanleggen van gescheiden rioolstelsels en het afkoppelen van verhard oppervlak door het aanleggen van hemelwaterriolen. Aanleg van nieuw gemengd riool komt niet voor.

Vermeldenswaardig voor de gemeente Ouder-Amstel is dat ca. 60% van de riolen onderheide riolen zijn. De overige 40% is ‘zwevend’ riool. De volgende pagina geeft een totaalbeeld van de riolen in de gemeente Ouder-Amstel.

 

De voornoemde getallen zijn exclusief het areaal in het gebied zoals opgenomen in de ‘Overeenkomst inzake het beheer en onderhoud van het rioolstelsel van Amsterdam, te Ouder- Amstel’ dd. 6 maart 2018. Privaatrechtelijk is het dat gebied eigendom van de gemeente Amsterdam, publiekrechtelijk is het onderdeel van het grondgebied van de gemeente Ouder- Amstel. Samenvattend is in deze overeenkomst afgesproken dat de gemeente Amsterdam het onderzoek, beheer, onderhoud en vervanging voor eigen rekening uitvoert en dat financiële compensatie plaatsvindt door het invoeren van rioolheffing voor het gebied door de gemeente Ouder-Amstel per 1 januari 2019. De opbrengsten vanuit de rioolheffing vanuit het gebied worden, na aftrek van heffings- en inningskosten, doorgezet naar de gemeente Amsterdam. Het areaal blijft in onderhavig GRP verder buiten beschouwing.

 

 

Overzicht riolering kern Ouderkerk aan de Amstel

 

Overzicht riolering kern Duivendrecht

 

De volgende tabellen geven een samenvatting weer van de aantallen en meters op de peildatum.

 

STELSELTYPE

Totale lengte

Drukriool

36.422

Gemengd stelsel

11.228

Hemelwaterafvoer *

8.338

Onbekend **

1.193

Vuilwaterafvoer

22.932

Huisaansluiting *

22.669

Eindtotaal

102.782

  • *

    Hemelwaterstelsel handmatig gesplitst: diameter > 200mm = hemelwaterafvoer

    diameter < 200mm = huisaansluiting

  • **

    stelseltype onbekend: aanname is dat huisaansluitingen op het drukriool buitengebied betreft.

AANLEGPERIODE

Stelseltype – totale

Gemengd riool

lengte

Hemelwaterriool

Vuilwaterriool

Drukriool

onbekend

1199

143

1722

3745

1950-1959

1260

1960-1969

2510

2392

1970-1979

1858

453

2985

1980-1989

794

5251

3654

1990-1999

1774

4526

5999

9574

2000-2009

1833

2577

4583

19450

2010 - heden

639

Eindtotaal

11228

8338

22932

36422

 

PUTTEN

Totaal aantal

BBB (bergbezinkbassin)

9

BIP (blinde inspectieput)

106

Controleren

21

Drainput

20

Fictieve put

824

Gemaal

36

Huisaansluiting

164

Inspectieput

1560

Inspectieput nietgemeten

110

Inspectieput particulier

17

Onbekend

89

Pompput drukriool

158

T-stuk

256

Uitstroombak

115

Verwijderen

12

Eindtotaal

3497

 

Voor wat betreft de kwalitatieve toestand van de riolen is de constatering dat het overall-beeld ontbreekt. Circa 24% van de riolen is geïnspecteerd en de schades zijn aangepakt, maar de informatie is niet voorhanden in de beheersystemen. Voor een onderbouwde doorkijk naar de maatregelen voor de komende jaren ontbreekt het inzicht.

Hetzelfde is van toepassing op het inzicht in het functioneren van de rioolsystemen als geheel (afvoercapaciteit, vuiluitworp). De laatste toetsing dateert van 2004. Grote knelpunten in de afvoercapaciteit of de vuilemissie van de diverse rioolstelsels zijn niet aanwezig.

 

6.2 Samenvatting nulmeting

 

In de volgende vier paragrafen is voor het overkoepelende kader en per zorgplicht ingezoomd op de kwaliteitsnorm, de hanteren meetmethode, de toetsing van de norm en de benodigde activiteiten of maatregelen voor de planperiode 2018-2022. In hoofdstuk 7 van dit Achtergrondendocument is vervolgens een overzicht van de activiteiten opgenomen, gekoppeld aan een budget en een planning.

 

De volgende tabellen geeft een resumé.

 

Het beeld dat uit deze toetsing ontstaat is dat een aantal gebieden het inzicht onvoldoende is om een goed oordeel voor de betreffende kwaliteitsnorm te kunnen vormen. De beheerdata is niet volledig op orde. De reden hiervoor is helder en is reeds geconstateerd in de evaluatie. Doordat het beheersysteem ten dele is aangevuld heeft er nog geen opvolging kunnen plaatsvinden richting de actualisatie van de toetsing, het meten van het werkelijk gedrag en de optimalisatiestudie afvalwaterketen.

Hieraan wordt de komende planperiode de nodige aandacht gegeven, zodat invulling kan worden gegeven aan het adequate niveau voor de gemeentelijke watertaken.

 

6.3 Overkoepelende kaders

6.3.1 Technische staat objecten

De voorzieningen voor inzameling en transport van stedelijk afvalwater verkeren in een goede technische staat.

Een rioolbuis zal na verloop van tijd slijten. Naast slijtage als gevolg van het dagelijks gebruik wordt de werking van de riolering ook beperkt door lekkende buisverbindingen, zettingen in de bodem of aantasting door in het riool aanwezige gassen. Zodra de stabiliteit, waterdichtheid of afstroming van het riool in gevaar is en hiermee de werking van het rioolstelsel wordt bedreigd moet ingegrepen worden.

De gemeente inspecteert de riolen met camera's vanuit de leidingen. Vervolgens worden de toestandsaspecten bepaald op basis van de actuele NEN 3399-systematiek. De ernst van de schades wordt volgens de NEN 3398 geclassificeerd. Hierbij wordt onderscheid gemaakt tussen waarschuwingsmaatstaven en ingrijpmaatstaven. Het betreft grenstoestanden waarbij nadere onderzoeken respectievelijk ingrepen moeten worden uitgevoerd. Een ingrijp- of waarschuwingsmaatstaf betekent echter niet dat altijd direct maatregelen genomen moeten worden. Visuele inspectie alleen is onvoldoende om tot maatregelen te kunnen besluiten

 

Kwaliteitsnorm

Meetmethode

  • Inspecties

  • Meldingen

Toetsing en strategie

Binnenkomende inspecties worden direct beoordeeld op ingrijp- en waarschuwingsmaatstaven conform de landelijk gebruikelijke maatstaven. Deze maatstaven zijn afgeleid uit de beoordelingssystematiek van rioolinspecties zoals weergegeven in de NEN-EN 13508-2 en NEN 3399. Noodzakelijke maatregelen worden direct uitgevoerd of op korte termijn ingepland. Grotere en omvangrijke maatregelen komen op de meerjarenplanning, na afstemming met de overige werkzaamheden in de openbare ruimte. Deze maatstaven heeft de gemeente Ouder- Amstel echter niet vastgelegd.

 

Gegevens over de kwaliteit van de riolen staan niet in het beheersysteem. Er is onvoldoende inzicht om een oordeel te geven over de ouderdom van de inspecties of welke riolen al dan niet zijn geïnspecteerd (naar bijvoorbeeld leeftijd, stelseltype of strengfunctie). De komende jaren worden de gegevensachterstanden weggewerkt en zijn ten minste alle gemengde en vuilwaterriolen geïnspecteerd. Het inzicht in de kwaliteitstoestand van de riolen komt daarmee op peil. Tevens wordt een Rioolbeheerplan opgesteld om onder meer de afwegingsmethodiek eenduidig vast te leggen.

 

Belangrijke parameter in een zettingsgevoelig gebied als de gemeente Ouder-Amstel is de ‘verloren berging’. Dit zijn locaties in de riolen die als gevolg van verzakkingen niet meer onder vrij-verval kunnen afstromen naar de riolering. Een separaat onderzoek naar de hoeveelheid verloren berging is niet uitgevoerd. Langsmetingen van de riolen zijn wel standaard bij rioolinspecties en worden bij oplevering beoordeeld; indien nodig worden maatregelen voorgesteld.

Bij de buitendienst zijn locaties die gevoelig zijn voor vuilophoping wel bekend (zoals bijvoorbeeld de zinkers). Deze worden frequenter (tot 4x per jaar) gereinigd dan de overige delen van de riolen. Deze aanpak vindt in de regel cyclisch plaats, op basis van het historisch inzicht bij de buitendienst. De komende periode wordt de aanpak opgenomen in een Rioolbeheerplan en hiermee meer planmatig van aard. Bevindingen worden toegevoegd aan het beheersysteem voor meer inzicht en nadere analyses.

 

Stappen zetten naar planmatig en gedifferentieerd rioolbeheer

Rioolinspecties vormen een belangrijke bron van kennis over de kwaliteitstoestand van het vrijverval rioolstelsel. De eerste stap die hierin gezet wordt is het inlopen van de achterstand en het ontsluiten van de gegevens via het beheersysteem. Daarna wordt een Rioolbeheerplan opgesteld om het planmatige beheer vast te leggen. Door vervolgens de ervaringen en constateringen uit de voorgaande inspectie- en reinigingsrondes mee te nemen en te evalueren (bepaalde riolen zijn bijvoorbeeld gevoeliger voor slibophoping dan andere) is het doelmatiger te differentiëren naar leidingfunctie, gebiedstype en jaar van aanleg. Hetzelfde principe geldt voor de inspectie en onderhoud van de gemalen en pompunits. Ook hiervoor wordt een plan opgesteld en is wellicht een efficiencyslag te maken. In de planperiode van het GRP 2018-2022 wordt hier vanuit DUO+ onderzoek naar gedaan en worden verkenningen uitgevoerd.

 

De resultaten van deze inspecties worden verwerkt in het rioolbeheersysteem, waardoor de informatie bereikbaar en bewerkbaar is. In de planperiode stellen we het rioolbeheerplan op voor het gehele areaal (vrijvervalriolen, drukriolen, gemalen en pompunits en kolken). Het rioolbeheerplan bevat de beheervisie en een concretere planning van de maatregelen voor het onderhouden, inspecteren en vervangen van de riolering.

 

Benodigde maatregelen

  • -

    het inlopen van de achterstand en het ontsluiten van de gegevens

  • -

    gericht inspecteren van de DWA- en gemengde riolen

  • -

    opstellen Rioolbeheerplan en operationele jaarplannen

6.3.2 Bedrijfszekerheid gemalen

De bedrijfszekerheid van rioolgemalen voor stedelijk afvalwater is gewaarborgd. De kans op calamiteiten is hiermee beperkt.

De rioolgemalen zijn een kritisch onderdeel binnen het rioleringsstelsel. Uitval van een rioolgemaal kan al snel leiden tot overlast en schade. Daarom is het noodzakelijk tijdig en adequaat te handelen in geval van de uitval van een gemaal.

Om de overlast en schade door uitval van een rioolgemaal te beperken verdient het voorkeur de grotere rioolgemalen aan te sluiten op een telemetriesysteem. Mocht een pomp om wat voor reden dan ook uitvallen dan kan tijdig actie worden ondernomen. Om dezelfde reden verdient het voorkeur de gemalen te voorzien van een reservepomp.

 

Kwaliteitsnorm

Meetmethode

  • Meldingen

Toetsing en strategie

Het functioneren en de onderhoudstoestand van de gemalen, de persleidingen en de drukrioleringsunits, is sinds 2017 vastgelegd in het gemalenbeheersysteem SAM maar wordt wel vastgelegd in een logboek en storingslijsten. Het aantal storingen en meldingen is beperkt

Het onderhoud (reinigingen en correctief, 2x per jaar) aan de rioolgemalen en drukrioleringsunits vindt in eigen beheer door de buitendienst plaats. Door de korte lijnen en de relatief kleine gemeente is de reactietijd kort (in de praktijk is dat tot maximaal 2 uur bij urgente storingen). Het reinigen van de gemalen en pompunit gaat vanaf 2018 uitbesteed worden. Voor de levering van reservepompen is de gemeente afhankelijk van de voorraad bij de leverancier.

 

Alle hoofdrioolgemalen zijn voorzien van een dubbele pompopstelling en welke zijn aangesloten op het telemetriesysteem.

 

Benodigde maatregelen

  • -

    voortzetten huidige strategie (bijhouden logboek en storingslijsten).

De afvoer via de rioolgemalen is gewaarborgd. De kans op calamiteiten is hierdoor beperkt.

De verwerking van afvalwater door de riolering is niet alleen afhankelijk van de kwaliteit van de rioolbuis, maar ook afhankelijk van andere items zoals het aan- en uitslaan van het gemaal.

 

Kwaliteitsnorm

 

Meetmethode

  • Inspecties

  • Meldingen

Toetsing en strategie

De inslagpeilen voor de rioolgemalen liggen onder de laagst binnenkomende buis. Een toetsing op de pendelberging is niet uitgevoerd. Uit het gemalen besturingssysteem kunnen grafieken worden gegenereerd van de draaiuren, stroom verbruik en schakelingen. De komende planperiode wordt dit onderzocht,

 

Benodigde maatregelen

  • -

    voortzetten huidige strategie en deze vastleggen in het beheersysteem.

  • -

    eenmalig onderzoek naar de pendelberging van de gemalen.

6.3.3 Nieuwe aanleg

De voorzieningen zijn in staat de hoeveelheid te verwerken.

Het ontwerp en de aanleg van nieuwe riolering en bijhorende voorzieningen vindt plaats volgens de Technische Richtlijnen van de gemeente. Hiermee voldoet elk ontwerp aan de voorwaarden van de gemeente en wordt het systeem naar behoren opgeleverd.

 

Kwaliteitsnorm

 

Meetmethode

  • Handhaving

 

Toetsing en strategie

Anno 2017 heeft de gemeente niet de beschikking over een document met ‘Technische ontwerprichtlijnen’. Tot dusver worden rioolstelsel ontworpen volgens de ontwerpgrondslagen van de Leidraad Riolering. De behoefte is er wel vanuit Duo+, in samenhang met de andere assets in de openbare ruimte. De bedrijfsvoeringsorganisatie wil dan ook een Leidraad Inrichting Openbare Ruimte (LIOR) opstellen.

Voor een juist ontwerp en toetsing van nieuw aan te leggen riolen en ontwateringmiddelen stelt de gemeente in de planperiode van het GRP 2018-2022 ‘Technische ontwerprichtlijnen’ op (voor alle drie de zorgplichten). Hierin wordt onder andere ingegaan op de gewenste capaciteit, de wijze van aansluiten en materiaalkeuzen.

De Technische ontwerprichtlijnen worden zo opgesteld dat klimaatbestendige en waterrobuuste systemen worden gerealiseerd en er ruimte is voor nieuwe sanitatie. Implementatie van het klimaatadaptief ontwerpen van de totale openbare ruimte is een belangrijk item voor de komende jaren. Tevens wordt in de afweging van de lozingspunten van hemelwater stilgestaan bij het effect op de waterkwaliteit en de ecologie.

 

In het Watergebiedsplan Bijlmerring (uit 2011) is gestreefd naar een efficiënte inrichting van de waterhuishouding. Belangrijk streefpunt is een robuust watersysteem te creëren. De gemeente maakt de komende jaren afspraken met het waterschap over eventuele maatregelen en zet een waterbergingsbalans op. Een uitwisseling van gerealiseerde waterberging tussen projecten wordt hiermee mogelijk, zodat de meest doelmatige maatregelen genomen worden en eventueel afkoop van watercompensatie door een ontwikkelaar ook mogelijk wordt.

 

Er mogen geen foutieve aansluitingen ontstaan. Wanneer er concrete vermoedens zijn op basis van concrete klachten of zichtbare verontreinigingen wordt de oorzaak opgezocht en opgelost. Particulieren worden zo nodig gesommeerd om foutieve aansluitingen te herstellen.

 

Benodigde maatregelen:

  • -

    opstellen en implementatie van het technisch normenkader in de organisatie.

  • -

    implementatie van het ‘anders omgaan met afvalwater’ in de organisatie.

  • -

    implementatie van het klimaatadaptief denken en handelen in de organisatie.

  • -

    opzetten van een waterbergingsbalans.

 

6.4 Zorgplicht stedelijk afvalwater

6.4.1 Aansluitingen en wijze van inzameling

Het afvalwater wordt ingezameld en gezuiverd. Dit afvalwater kan dus niet ongezuiverd in sloten of bodem lopen. Er zijn daarom geen stankklachten en/of verontreinigingen van sloten en bodem door het riool.

Vanuit de Wet milieubeheer heeft de gemeente een zorgplicht voor inzameling en transport van al het huishoudelijk afvalwater dat binnen het grondgebied van de gemeente vrijkomt. Hiertoe worden de percelen veelal aangesloten op de riolering. In plaats van riolering kan ook gebruik gemaakt worden van lokale systemen voor individuele behandeling van afvalwater (IBA- systemen).

 

Kwaliteitsnorm

 

Meetmethode

  • Waarnemingen

Toetsing en strategie

De gemeente mag zelf kiezen met welke voorzieningen ze haar zorgplicht invult, zowel voor de bebouwde kom als voor het buitengebied. In plaats van een openbaar vuilwaterriool, zijn andere systemen toegestaan, mits eenzelfde graad van milieubescherming wordt bereikt. Alle percelen, zowel binnen als buiten de bebouwde kom, zijn voorzien van een aansluiting op de riolering. IBA-systemen heeft de gemeente Ouder-Amstel niet gerealiseerd. In het buitengebied resteren er geen lozingsobjecten waarvan het onbekend is of en hoe ze afvalwater lozen. Het aansluitpercentage van percelen op de riolering is nu gesteld op 100%.

 

Bij nieuwe ruimtelijke ontwikkelingen (nieuwbouw) binnen de stedelijke bebouwing legt de gemeente altijd riolering aan. In het buitengebied neemt de gemeente alleen de zorg voor verwijdering van huishoudelijk afvalwater op zich wanneer zij de aanleg van riolering doelmatig acht. Voor het resterende deel kan de gemeente ontheffing van deze zorgplicht bij de provincie krijgen. Na het verlenen van ontheffing is de lozer is dan op grond van het ‘Besluit lozen afvalwater huishoudens’ (Blah) zelf verantwoordelijk voor zijn eigen lozing en dient daarom zelf het initiatief te nemen tot het plaatsen van een zuiveringstechnische voorziening. De lozer dient zijn lozing te melden bij het waterschap; deze zal vervolgens bepalen aan welke randvoorwaarden de zuiveringstechnische voorziening moet voldoen. Bij een besluit tot niet aansluiten door de gemeente informeert de gemeente het waterschap bijtijds.

 

Indien innovatieve systemen kunnen worden deze verkend en eventueel toegepast. Bij de komende grote uitbreidingen zijn de mogelijkheden voor nieuwe sanitatie (het kunnen bijdragen aan een duurzame inzet van middelen en (toekomstige) kostenbesparingen) verkend.

 

Het aantal storingen en meldingen met betrekking tot stankoverlast is beperkt. Door de korte lijnen en de relatief kleine gemeente is de reactietijd kort en blijft deze binnen één week. De gemeente pakt klachten en verstoppingen in de huisaansluitingen in eigen beheer op.

 

Benodigde maatregelen:

  • voortzetten huidige strategie

  • structureel aandacht in de waterparagraaf voor nieuwe sanitatie

Op de voorzieningen zitten geen (foutieve) aansluitingen die de inzameling (en zuivering) van afvalwater belemmeren.

Naast afvalwater en regenwater wordt ook ander water met de riolering afgevoerd naar de RWZI’s. Dit water wordt veelal rioolvreemd water genoemd. Belangrijke bronnen van rioolvreemd water zijn: drainages, bodemsaneringen, negatieve overstorten (oppervlaktewater), koelwater, bronneringen bij bouwwerkzaamheden, lekkende riolen. Aangezien het rioolvreemde water meestal schoon water is, is de afvoer naar een RWZI ongewenst. Voorkomen moet worden dat drainage of hemelwater afvoert via gescheiden vuilwaterriolen.

Eveneens moet voorkomen worden dat oppervlaktewater via overstorten in kan stromen in het riool (de zogeheten negatieve overstorten). Hiervoor is het noodzakelijk overstorten met een geringe waking te voorzien van terugslagkleppen. Om te voorkomen dat stoffen het riool in komen die verstoppingen veroorzaken, de riolering aantasten of de zuivering verstoren zijn er in het ‘Besluit lozing afvalwater huishoudens’ (Blah), het Activiteitenbesluit, het Bouwbesluit en de omgevingsvergunning voorschriften opgenomen. De gemeente heeft hierin een handhavende rol. Het voorkómen van nadelige gevolgen, die bedrijven of instellingen kunnen veroorzaken aan de gemeentelijke riolering, is een gemeentelijke taak.

 

Kwaliteitsnorm

 

Meetmethode

  • Waarnemingen

  • Handhaving en toezicht

Toetsing en strategie

Het inzicht in foutieve aansluitingen is aanwezig. Een doelmatigheidsonderzoek is uitgevoerd naar kosten versus te winst in draaiuren. Voor Duivendrecht heeft een eerste analyse van de draaiuren plaatsgevonden, waarna met rookdetectie gericht naar foutaansluitingen is gezocht. Bij gerichte vermoedens van foutieve aansluitingen, wordt verder onderzoek uitgevoerd naar de aard en omvang hiervan.

Wanneer er concrete vermoedens zijn op basis van concrete klachten of zichtbare verontreinigingen wordt de oorzaak opgezocht en opgelost. Particulieren worden zo nodig gesommeerd om foutieve aansluitingen te herstellen.

 

Er is geen paraat inzicht in de verhouding tussen de buitenwaterstanden, de peilen van de overstortdrempels en de aan/ of afwezigheid van overstortdrempels. In het volgende Basisrioleringsplan wordt deze toetsing uitgevoerd. De gemeente is, vanuit de hydraulisch beperkende werking en de kans op vervuiling, geen voorstander van het aanbrengen van terugslagkleppen.

 

In de gemeente is een aantal inrichtingen aanwezig, waarop toezicht moet worden uitgeoefend in het kader van de Wet milieubeheer. De regelgeving omtrent lozingen is de laatste jaren gewijzigd en overgegaan in diverse besluiten en de omgevingsvergunning. Een actuele lijst van alle bedrijven die vanuit het verleden een lozingsvergunning hadden in het kader van de Wvo voor het lozen op oppervlaktewater, dan wel of zij een kennisgeving hebben gedaan voor het lozen van afvalwater op riolering, is niet voorhanden. De handhaving moet worden uitgevoerd door de afdeling Vergunningen en Handhaving. De komende jaren wordt het handhaven op aspecten in relatie tot de gemeentelijke watertaken hoger op de agenda gezet. De meerwaarde van samenwerking en afstemming tussen de handhavers van de gemeente, het waterschap en de provincie wordt de komende planperiode onderzocht.

 

Benodigde maatregelen:

  • -

    bij gerichte vermoedens van foutieve aansluitingen situatie nader onderzoeken

  • -

    prioritering van handhaving lozingen op de gemeentelijke riolering

  • -

    onderzoeken meerwaarde samenwerking handhavende overheidsdiensten

Inzameling van bronneringswater

Het komt voor dat bronneringswater op het gemeentelijk riool geloosd moet worden. Veelal betreft dit een tijdelijke situatie tijdens graaf- of bouwwerkzaamheden.

 

Kwaliteitsnorm

 

Meetmethode

  • Waarnemingen

  • Handhaving en toezicht

Toetsing en strategie

Zoals gesteld advisering hierin is maatwerk en locatie specifiek. Voorwaarde voor een goede afweging is dat de gemeente inzicht heeft in het functionerende van de ontvangende stelsel. Deze kennis is aanwezig bij het huidige personeel en wordt geactualiseerd met het opstellen van het Basisrioleringsplan.

 

Benodigde maatregelen:

  • -

    Actualiseren inzicht in het functioneren van de huidige systemen.

6.4.2 Verwerking

Stedelijk afvalwater kan ongehinderd en binnen voldoende tijd afstromen, aanrotting van afvalwater wordt hiermee voorkomen. Aantasting van het riool komt niet voor en er zijn geen risico's op beschadigde riolen.

Rioolstelsels raken naar verloop van tijd vervuild. Door deze vervuiling zal het transport van het afvalwater gehinderd worden en neemt de kans op rioolverstoppingen toe. Regelmatig de werking controleren evenals het uitvoeren van preventieve rioolreinigingswerkzaamheden voorkomt nare gevolgen. De frequentie waarmee dat dient te geschieden is afhankelijk van het rioolsysteem en van het 'zelfreinigende vermogen' van het stelsel.

 

Afvalwater is een uitermate geschikte voedingsbodem voor de groei van bacteriën. Door groei van bacteriën daalt het zuurstofgehalte. Door het dalen van het zuurstofgehalte ontstaat H2S-gas.

Het gevaar van H2S-gas is ernstige aantasting van de put en het leidingwerk enerzijds, terwijl anderzijds het gas stankoverlast veroorzaakt voor omwonenden en het een direct gevaar voor de gezondheid kan zijn. De groei van de bacteriën hangt af van de verblijftijd van het afvalwater.

 

Kwaliteitsnorm

 

Meetmethode

  • Waarnemingen

  • Hydraulische berekeningen

Toetsing

Het gemengde stelsel en het droogweerafvoerriool worden gemiddeld eenmaal per 7 jaar gereinigd. Het totale stortgewicht van het laatste rioolreiniging- en inspectieprogramma is niet bekend. Een uitspraak over de vervuilingsgraad is daarmee niet te doen. De komende jaren worden de stortbonnen bewaard en wordt hierop een analyse uitgevoerd.

 

Dit GRP zet daarnaast in op het vergroten van het inzicht het functioneren van de rioolsystemen en de voorzieningen. Het Basisrioleringsplan wordt de komende jaren geactualiseerd. In dit plan worden de verblijftijd en de vullingsgraad getoetst. Momenteel is dat inzicht niet voorhanden.

 

Persleidingen monden op een logische plaats uit, vanuit geografische overwegingen. Klachten of aantasting van riolen als gevolg van specifieke injectiepunten zijn niet aanwezig. Alle putten zijn voorzien van een stroomprofiel.

 

Meldingen en klachten worden door de korte lijnen en de relatief kleine omvang van de gemeente snel en effectief afgehandeld. Bij klachten over afstroming wordt binnen 24 uur actie ondernomen, ongeacht welke dag het is. Afstroming in het zettingsgevoelige gebied is immers een belangrijk issue. Een beter inzicht in de aard en omvang van de klachten en de vastlegging hiervan kan leiden tot doelgerichtere preventie en communicatie.

 

Benodigde maatregelen:

  • -

    Analyseren stortgegevens slib na reinigingsronde in relatie tot de vullingsgraad

  • -

    Actualiseren Basisrioleringsplan

  • -

    Optimalisatie klachten- en meldingenregistratie

6.4.3 Vuiluitworp

Bij hoosbuien wordt het rioolwater afdoende opgevangen in de riolen (en eventuele bergingsvoorzieningen). De vuiluitworp via de overstorten in sloten en vijvers is beperkt. Slechts af en toe is er sprake van stank en vervuiling. De vuiluitworp via de overstorten in sloten en vijvers leidt niet tot risico's voor mens en omgeving.

Tijdens heftige buien kan niet al het hemelwater worden geborgen in de riolen en worden afgevoerd door het gemalen. Een deel van het rioolwater zal, via overstorten, worden geloosd op het oppervlaktewater. Het overstortende water is echter regenwater vermengd met stedelijk afvalwater en is niet schoon. De vuilvracht is te verminderen door het verminderen van de belasting op het gemengde riool door het regenwater af te koppelen. Anderzijds is een reductie mogelijk door de aanleg van bergbezinkvoorzieningen achter de gemengde overstorten.

 

Kwaliteitsnorm

 

Meetmethode

  • Hydraulische berekeningen

Toetsing

De afgelopen jaren heeft de gemeente ingezet op het terugdringen van de vuiluitworp door het afkoppelen van verhard oppervlak van de gemengde riolering, en daarvoor al met de realisatie van de randvoorzieningen. De bedoeling is dat met deze investeringen in het rioolstelsel de vuiluitworp van rioolstelsels via riooloverstorten wordt verminderd. De gemeente voldoet hiermee aan haar inspanningsverplichtingen en de afspraken met het waterschap Amstel, Gooi en Vecht. Met de actualisatie van het Basisrioleringsplan wordt de stand van zaken opgemaakt en wordt onderzocht of verdergaande maatregelen doelmatig en effectief zijn.

 

Voor de zuivering Amstelveen (Ouderkerk aan de Amstel) is er een OAS uitgevoerd. De invloed van het gemaal is dermate gering dat maatregelen niet doelmatig zijn. Duivendrecht is nog niet meegenomen in een OAS. Het waterschap constateert vanuit een scan van de waterflora een slecht tot matig beeld van de waterkwaliteit voor de diverse oppervlaktewateren, zie de volgende figuren.

 

In periodiek overleg tussen gemeente en Waternet worden optimalisatiekansen besproken en afgestemd. Hierin kijkt de gemeente samen met het waterschap AGV naar de relatie tussen het rioolstelsel, de rioolwaterzuivering en het oppervlaktewatersysteem. Hierbij wordt bekeken hoe de waterkwaliteitsdoelstellingen bereikt kunnen worden. Met de nadruk op doelmatigheid en kostenefficiëntie zal hieruit een optimaal pakket aan maatregelen worden voorgesteld die de eventuele knelpunten en aandachtspunten in het systeem kunnen oplossen.

 

Alleen de overstorten van de beide randvoorzieningen worden geregistreerd, de waterstanden worden bemeten. Een analyse van de metingen is niet uitgevoerd. De komende jaren wordt het meetnet uitgebreid tot alle gemengde overstorten. Indien de optie zich voordoet om een gezamenlijk meetnet vanuit de BOWA op te zetten wordt deze aangegrepen. De intentie is om de verzamelde meetgegevens te delen met het waterschap. De verzamelde gegevens worden bij het opstellen van het Basisrioleringsplan gebruikt voor de validatie van de modellen. Tevens wordt dan de nut en noodzaak van het voortzetten van de meetregistratie beoordeeld.

 

Benodigde maatregelen:

  • -

    actualiseren Basisrioleringsplan

  • -

    voorzetten en uitbreiden huidige meetregistratie en implementatie van de gegevens en informatie

  • -

    onderzoek naar de doelmatigheid van de meetregistratie

  • -

    onderzoek naar het Optimaliseren van het Afvalwatersysteem (OAS) in relatie met het oppervlaktewatersysteem. De gemeente laat het initiatief hiertoe bij Waternet.

 

6.5 Zorgplicht hemelwater

6.5.1 Aansluitingen en wijze van inzameling

Overtollig hemelwater dat de particulier niet op eigen terrein kan verwerken wordt ingezameld.

Met de invoering van de Wet gemeentelijke watertaken zijn particulieren in eerste instantie zelf verantwoordelijk geworden voor het omgaan met vrijkomend water op hun eigen perceel.

Wanneer de particulier redelijkerwijs niet in staat is dit hemelwater op eigen terrein te verwerken dan heeft de gemeente de zorg voor een doelmatige inzameling en verwerking van het afvloeiend hemelwater.

 

Kwaliteitsnorm

 

Meetmethode

  • Handhaving

Toetsing

De principes voor het verwerken van hemelwater op particulier terrein zijn bekend. Nadere uitwerking zal de plaatsvinden in de Technische Richtlijnen (zie §6.3.3.), zoals die de komende jaren worden opgesteld. Hiernaast wordt een Taakopvatting Hemelwater en/of Hemelwaterverordening opgesteld, waarin de verplichtingen en kaders voor de gemeente, de perceelseigenaren en ontwikkelaars eenduidig zijn omgeschreven. De komende planperiode krijgt deze taakopvatting zijn beslag.

 

Benodigde maatregelen

  • -

    opstellen Taakopvatting Hemelwater (en/of Hemelwaterverordening)

Op de voorzieningen zitten geen (foutieve) aansluitingen die de inzameling (en zuivering) van afvalwater belemmeren.

Ondanks de vele voordelen heeft afkoppelen van verhard oppervlak ook nadelen. Het grootste nadeel is de gevoeligheid voor eventuele verontreiniging van de bodem of oppervlaktewater door incorrect ontwerp, aanleg of beheer van het hemelwatersysteem. Voorkomen moet worden dat als gevolg van verkeerde aansluitingen tussen het afval- en hemelwater riool het vuilwater afvoert via hemelwaterriolen. Doordat in de gemeente Ouder-Amstel bij het afkoppelen bewust alleen de wegen worden afgekoppeld is dit risico gering. Ook het risico op problemen met de be- en ontluchting in woningen zal niet optreden.

Om lokale verontreiniging van bodem en oppervlaktewater te voorkomen is het wenselijk verontreiniging van afgekoppelde oppervlakken zoveel mogelijk te voorkomen. Dit betekent dat kritisch nagedacht moet worden over het voorkómen van de volgende aspecten:

  • -

    verkeerde aansluitingen tussen het afval- en hemelwater,

  • -

    verontreinigende bronnen als uitlogende materialen, verkeer, zwerfvuil etc.,

  • -

    gebruik van verontreinigende stoffen zoals strooizout, bestrijdingsmiddelen en

  • -

    illegale lozingen zoals motorolie, stucmateriaal, verfresten en frituurvet,

  • -

    calamiteiten zoals brand en verkeersongelukken.

Kwaliteitsnorm

 

Meetmethode

  • Waarnemingen

  • Handhaving en toezicht

 

Toetsing en strategie

Er zijn geen vuilwateraansluitingen op de hemelwaterriolen. Wanneer er wel concrete vermoedens zijn op basis van concrete klachten of zichtbare verontreinigingen wordt de oorzaak opgezocht en opgelost. Particulieren worden zo nodig gesommeerd om foutieve aansluitingen te herstellen. De handhaving moet worden uitgevoerd door de afdeling Vergunningen en Handhaving. De komende jaren wordt het handhaven op aspecten in relatie tot de gemeentelijke watertaken hoger op de agenda gezet.

 

Uitgangspunt is dat hemelwater in principe schoon genoeg is om direct op oppervlaktewater te lozen. Verdachte oppervlakken in de gemeente voeren af op een gemengd of verbeterd gescheiden stelsel.

 

De gemeente vervult een actieve rol bij het terugdringen van emissies door diffuse bronnen, in zowel nieuwbouwlocaties als bestaande bebouwing, door toepassing van het Bouwbesluit. De gemeente stelt geen aanvullende voorwaarden. Onkruid- en gladbestrijding vindt op een reguliere wijze plaats, volgens de landelijke gebruikelijke werkwijze. Aandacht voor verontreiniging van het oppervlaktewater is hierbij niet specifiek benoemd. De komende periode wordt dit meer expliciet gemaakt.

 

Benodigde maatregelen

  • -

    bij gerichte vermoedens van foutieve aansluitingen situatie nader onderzoeken

  • -

    prioritering van handhaving lozingen op de gemeentelijke riolering

  • -

    expliciet maken onkruid- en gladbestrijding versus verontreiniging oppervlaktewater

Er wordt geprobeerd zoveel mogelijk schoon hemelwater te scheiden van het stedelijk afvalwater, voor zover dit doelmatig is.

Bij zware buien kunnen de gemengde riolen overlopen. Dan komt er behalve regenwater ook vies afvalwater in vijvers of sloten terecht. Dat kan tot milieuvervuiling leiden. Om de kans hierop te verminderen is het gewenst het hemelwater wat van schone verharde oppervlakken afstroomt niet te vermengen met het vuile afvalwater.

 

Kwaliteitsnorm

 

Meetmethode

  • Waarneming

  • Handhaving

Toetsing en strategie

Voor het afkoppelen in de gemeente Ouder-Amstel komen alleen grote, relatief schone oppervlakken en wegen in de openbare buitenruimte in aanmerking. Per project worden de mogelijkheden voor het doelmatig afkoppelen van verhard oppervlak onderzocht.

In de afgelopen jaren is verhard oppervlak afgekoppeld. Het gaat in totaal om zo’n 2,5 ha. Er is alleen afgekoppeld daar waar werk-met-werk kon worden gemaakt en de kosteneffectiviteit hoog was. Deze lijn wordt doorgezet; er ligt geen afkoppelopgave (inspanningsverplichting) vanuit het waterschap. De komende periode wordt het Basisrioleringsplan opgesteld. Het verkennen van de doelmatigheid van het afkoppelen van verhard oppervlak (locatie specifiek) is hier onderdeel van.

 

De afgelopen jaren is er vanuit de gemeente niet actief particulieren gecommuniceerd of gestimuleerd om verhard oppervlak af te koppelen. Hetzelfde is van toepassing voor de informerende rol van de gemeente. Hier liggen kansen om het rioolsysteem de verduurzamen, klimaatbestendig en waterrobuust te maken. De komende planperiode wordt de rol verder ingevuld, gekoppeld aan de Taakopvatting Hemelwater. De gemeente neemt hierin een voorbeeldfunctie. Een voorbeeld hiervan is de realisatie van het groene dak op het gemeentehuis te Ouderkerk.

 

Benodigde maatregelen:

  • -

    opstellen Basisrioleringsplan

  • -

    communicatie richting de burgers

  • -

    vormgeven informerende rol gemeente en relatie tot Taakopvatting Hemelwater

6.5.2 Verwerking en afvoercapaciteit

De bebouwing, wegen en openbare ruimte zijn zo ingericht dat het water bij regenbuien redelijk goed kan afvoeren naar de straatkolken en/of riolering. Hinderlijke plassen op straat komen beperkt voor. De afstroming dient gewaarborgd te zijn.

Het hemelwater wat op weg- en terreinverhardingen valt zal uiteindelijk via de straat- en trottoirkolken afstromen naar het riool. De kolken zijn in de regel voorzien van een zandvang. Dit is een verdiept gedeelte waar zand en andere bezinkende delen (o.a. bladeren en zwerfvuil) achterblijven. Zo wordt voorkomen dat het riool vervuild raakt.

Om stedelijk afvalwater goed af te kunnen voeren, dient de afstroming ervan in de riolering niet te worden beperkt. De rioleringsobjecten moeten daarvoor niet alleen in een goede technische staat verkeren, maar ook op een juiste wijze zijn vormgegeven en aangelegd. Naast inspectiegegevens over de technische staat geven ook klachten van burgers aanwijzingen over de kwaliteit van afstroming in de riolering.

 

Kwaliteitsnorm

 

Meetmethode

  • Waarnemingen

  • Meldingen

Toetsing en strategie

Kolken worden minimaal eenmaal per jaar gereinigd. De doorgaande wegen worden regelmatig (8x per jaar) geveegd. Door het structureel reinigen van riolen, kolken en wegen, zorgt de gemeente ervoor dat de afstroming naar de riolen en in de riolen gewaarborgd wordt. Incidenten worden ad hoc, maar binnen enkele dagen verholpen.

Alle putten zijn voorzien van een stroomprofiel.

 

Niet bekend is in hoeverre de putten zijn voorzien van een stroomprofiel.

Meldingen en klachten worden door de korte lijnen en de relatief kleine omvang van de gemeente snel en effectief afgehandeld. Bij klachten wordt doorgaans binnen twee werkdagen actie ondernomen. Een beter inzicht in de aard en omvang van de klachten en de vastlegging hiervan kan leiden tot doelgerichtere preventie en communicatie. Bij Waternet komen ook meldingen binnen inzake (grond)wateroverlast; deze zijn op aanvraag beschikbaar. Het opvragen en analyseren hiervan moet een plek krijgen in de analyse van meldingen bij de gemeente.

 

Benodigde maatregelen

  • -

    voorzetten huidige strategie kolkenreinigen en straatvegen

  • -

    optimaliseren toedeling van de kosten (deels) voor kolkenreiniging en straatvegen aan de rioleringsbegroting

  • -

    optimalisatie klachten- en meldingenregistratie

Bij normale regenval wordt het rioolwater afdoende opgevangen in de riolen (en eventuele bergings-voorzieningen), zonder dat dit leidt tot hinder. Bij extreme situatie mogen 'water op straat' situaties ontstaan.

Als het heel hard regent, lopen de rioolbuizen vol en draaien de gemalen op volle kracht. Waar nodig lopen de riolen over via de overstorten. Soms blijft er water op straat staan. Bijvoorbeeld als het een korte tijd héél hard regent. De weg vangt dan het extra water tijdelijk op. Daarvoor zijn de wegen in principe ook ontworpen. Zo voorkomen ze dat het water de huizen in loopt. Of dat belangrijke wegen onderlopen en niet meer bruikbaar zijn. Dankzij de overstorten is het water gewoonlijk binnen een uur weer weg. Om overlast en/of schade te voorkomen dient de afvoercapaciteit van het rioolstelsel op orde te zijn.

 

Door de klimaatverandering zullen zeer zware buien vaker en heftiger optreden. Het traditionele rioolstelsel kan deze grote hoeveelheden neerslag niet meteen op alle plaatsen verwerken.

Daarvoor is het oorspronkelijk ook niet ontworpen. Bij grote hoosbuien zal daardoor vaker water op straat blijven staan. Water op straat is hinderlijk maar pas een echt probleem als water gebouwen in stroomt, doorgaande wegen geblokkeerd raken of water uit het riool stroomt. Het bovengronds bergen en afvoeren van hemelwater is soms onvermijdelijk om overlast te voorkomen. Klimaatadaptief handelen door bewust om te gaan met water op straat of water in de openbare ruimte is dus ook een oplossing mits in goede banen geleid.

 

In het hoofddocument wordt bij ‘water op straat’ onderscheid gemaakt in 3 verschillende gradaties (hinder, ernstige hinder en overlast). De kwaliteitsnormen zijn hieraan gekoppeld.

 

Kwaliteitsnorm

 

Meetmethode

  • Hydraulische berekeningen

Toetsing

De afvoercapaciteit van de gemengde stelsels is in 2004 getoetst in het Basisrioleringsplan. Hydraulisch gezien voldeden de rioolstelsels vanuit die toetsing niet aan de maatstaf van 1x per 2 jaar water-op-straat. Enkele maatregelen ter verbetering van de afvoercapaciteit zijn voorgesteld en doorgevoerd. Een toetsing met actuele gegevens aan de herziene kwaliteitsnormen heeft niet plaatsgevonden. Inzicht in de gevoeligheid voor hinder, ernstige hinder of wateroverlast bij een bui die eens per 2 jaar optreedt is er niet.

 

Door de klimaatverandering neemt de kans op piekbuien (heftige neerslag in een korte tijd) en de neerslagintensiteit ervan toe. Er is niet onderzocht in hoeverre dit knelpunten oplevert bij piekbuien, en hoe op basis hiervan de buitenruimte slimmer kan worden ingericht. Een verkenning vanuit de BOWA is eind 2017 uitgevoerd: de resultaten zijn te vinden op www.agv.klimaatatlas.nl. Naar verwachting kan dit gezien worden als de invulling van de klimaatstresstest vanuit het Deltaplan Ruimtelijke Adaptatie. Voor het opstellen van daadwerkelijke maatregelen op straatniveau, om de buitenruimte klimaatbestendig en waterrobuust te maken, is de verkenning te globaal. De komende periode wordt het detailinzicht met de eventuele maatregelen verkregen door het opstellen van het Basisrioleringsplan.

 

Benodigde maatregelen:

  • -

    actualisatie van het BasisRioleringsPlan in de planperiode, met aandacht voor extreme neerslag

  • -

    bij projecten onderzoek naar de mogelijkheden voor verwerking van overtollig hemelwater

 

6.6 Zorgplicht grondwater

6.6.1 Aansluitingen en wijze van inzameling

De gemeente wil een duidelijk aanspreekpunt zijn voor burgers en bedrijven betreffende grondwaterproblematiek en vragen over het grondwater.

De gemeente heeft de regierol bij grondwaterproblemen. Met dit GRP 2018 -2022 zijn de kaders en ambities voor deze nieuwe zorgplicht vastgesteld.

 

Kwaliteitsnorm

 

Meetmethode

  • Waarneming

Toetsing

De beleidsregels komt voort uit de ervaringen vanuit de bedrijfsvoeringsorganisatie Duo+ en zijn nader omschreven in H8. Met dit GRP is deze voor het eerst in detail omschreven. De komende periode gaat de gemeente hier mee aan slag. De gemeente wil tevens invulling gaan geven aan haar informerende rol richting de burgers.

Meldingen en klachten komen bij de front-office binnen, waarna deze worden doorgezet naar de juiste personen in de organisatie. De registratie van klachten kan beter, zodat hier ook analyses op gedaan kunnen worden voor meer inzicht. Bij Waternet komen ook meldingen binnen inzake (grond)wateroverlast; deze zijn op aanvraag beschikbaar. Het opvragen en analyseren hiervan moet een plek krijgen in de analyse van meldingen bij de gemeente.

Drainage voert niet af naar gemengde riolen, vuilwaterriolen of riolen van een verbeterd gescheiden stelsel. Alle drains in de gemeente Ouder-Amstel voeren af naar het oppervlaktewater, direct of via een hemelwaterafvoer.

 

Benodigde maatregelen:

  • -

    implementatie beleidsregels en verbetering klachtenregistratie in de organisatie

  • -

    communicatie van de rol van de gemeente richting de particulier vanuit de taakopvatting.

6.6.2 Aanpak structurele overlast

De gemeen treft, mits doelmatig, maatregelen op openbaar terrein ter beperking van structurele grondwateroverlast.

Hemelwater dat op percelen of plantsoenen valt zal voor een deel naar sloten of de rioleringsputten stromen, maar afhankelijk van de grondsoort zal het water ook in de grond zakken. Dit is noodzakelijk om de grond voldoende vochtig te houden voor de aanwezige begroeiing en om het grondwater op peil te houden.

 

Als de grondwaterstand in bebouwd gebied langere tijd te hoog of te laag is, kan dit problemen geven. Te diepe grondwaterstanden kunnen leiden tot zettingsproblemen (scheuren in woningen en riolering), droogval en aantasting van (houten) paalfunderingen en droogteschade aan planten en bomen. Te hoge grondwaterstanden kunnen leiden tot grondwater en vocht in de kruipruimten met optrekkend vocht in de woningen als gevolg. Hierdoor kunnen gezondheidsproblemen ontstaan. Als gevolg van de klimaatveranderingen kunnen deze problemen verergeren of er kunnen zelfs nieuwe problemen ontstaan.

 

Kwaliteitsnorm

 

Meetmethode

  • Waarneming

  • Meldingen

Toetsing en strategie

De monitoring van grondwaterstanden op een aantal locaties loopt. De komende periode worden deze gegevens ook geanalyseerd om inzichten te verschaffen. Hierin past ook de afweging van doelmatigheid van de meetlocaties.

Er zal daarom de komende jaren kennis en ervaring op worden gedaan over de structurele, ervaren last en de doelmatigheid van oplossingen. Het overzicht van aantal, soort en locatie van ontwateringsmiddelen is niet compleet. Ervaringen vanuit de bedrijfsvoeringsorganisatie Duo+ worden hierin meegenomen.

 

Benodigde maatregelen:

  • -

    bij meldingen onderzoek uitvoeren naar aard, omvang en oorzaak, conform de Taakopvatting

  • -

    na onderzoek het nemen van maatregelen, conform de Taakopvatting

7 Kostendekkingsplan en personele middelen

In de visie is benoemd dat de gemeenten een stabiele, gezonde financiële situatie heeft en wil behouden. Eén van de belangrijkste voorwaarden hierbij is het hebben van voldoende financiële middelen en personele capaciteit (kwantitatief en kwalitatief) om de totale gemeentelijk watertaken op een adequaat niveau in te kunnen vullen.

 

In de voorgaande hoofdstukken is het areaal van de gemeente bekeken en het vertrekpunt voor dit plan vastgelegd (de nulmeting). Tevens geeft het een overzicht van wat er moet gebeuren om het beoogde kwaliteitsniveau te realiseren c.q. te handhaven. Dit zal de gemeente doen door het uitvoeren van onderzoek (vergroten van inzicht), regulier beheer en onderhoudsmaatregelen.

Daarnaast zijn ook eenmalige vervangings- en verbeteringsmaatregelen nodig. Veel onderzoeken, wijzigingen in budgetten en in investeringsvolume gaan in vanaf 2019.

 

Dit hoofdstuk beschrijft de uitgangspunten, de invoer en de conclusies van het kostendekkingsplan, en bestaat uit de volgende onderdelen:

  • 1.

    De basis voor de rioolheffing. Dit zijn de huidige grondslagen, de hoogte van heffing en het aantal heffingseenheden.

  • 2.

    Een overzicht van de financiële uitgangspunten.

  • 3.

    De benodigde budgetten per activiteit voor de komende jaren, met onderscheid naar de onderdelen:

    • a.

      Onderzoek

    • b.

      Beheer regulier

    • c.

      Beheer vervanging

    • d.

      Beheer verbetering

    • e.

      Facilitair

  • 4.

    Een overzicht van de benodigde personele middelen.

  • 5.

    Het overzicht van de lasten, lange termijn.

  • 6.

    De baten en het advies voor de ontwikkeling van de heffing.

 

7.1 Basis rioolheffing en heffingseenheden

Grondslag en hoogte rioolheffing

De grondslagen en de hoogte van de rioolheffing worden jaarlijks daadwerkelijk vastgesteld in een verordening. Voor 2018 is de basis de ‘Verordening rioolheffing 2018’. Samengevat:

 

Artikel 2 Belastingplicht

  • 1.

    Onder de naam 'rioolheffing' wordt per eigendom een belasting geheven ter bestrijding van de kosten die voor de gemeente verbonden zijn aan de inzameling en het transport van huishoudelijk afvalwater en bedrijfsafvalwater, alsmede de zuivering van huishoudelijk afvalwater en de inzameling van afvloeiend hemelwater en de verwerking van het ingezamelde hemelwater, alsmede het treffen van maatregelen teneinde structureel nadelige gevolgen van de grondwaterstand voor de aan de grond gegeven bestemming zoveel mogelijk te voorkomen of te beperken.

  • 2.

    De belasting als bedoeld onder het eerste lid, wordt geheven van:

    • 1.

      degene die op 1 januari van het belastingjaar het genot heeft krachtens eigendom, bezit of beperkt recht van een eigendom verder te noemen: eigenarendeel

    • 2.

      degene die het gebruik heeft van een eigendom verder te noemen: gebruikersdeel.

Artikel 5 Tarieven

  • 1.

    Het vaste bedrag voor het eigenarendeel als bedoeld in artikel 2, tweede lid onderdeel a juncto artikel 4, eerste lid, bedraagt per eigendom per jaar € 277,80.

  • 2.

    Het variabele bedrag voor het gebruikersdeel als bedoeld in artikel 2, tweede lid, onderdeel b juncto artikel 4, tweede lid, bedraagt per eigendom per jaar voor elke volgende volle eenheid van 100 kubieke meters afvalwater boven de 300 kubieke meter € 128,20.

Heffingseenheden

Het aantal heffingseenheden voor 2018 is aangehouden op 5.834 woningen. Voor het variabele deel van de heffingsgrondslag is een jaarlijks bedrag opgenomen van €206.000,- (655 niet- woningen). Nadere details van deze grotere lozers zijn bekend bij het team belastingen van Amstelland.

 

Areaalontwikkeling

De kosten voor de nieuwe aanleg van riolering bij nieuwbouw of inbreidingslocaties wordt verhaald op de ontwikkeling zelf, conform de Wro (Wet Ruimtelijke Ordening, Grex-wet) en komen niet ten laste van de rioolheffing. Op termijn komen de beheerkosten voor deze uitbreidingen in beeld, en anderzijds kunnen de eigenaren worden aangeslagen voor de rioolheffing. In de periode 2018-2022 is voorzien in een areaaluitbreiding van de Ouderkerk aan de Amstel met 43 woningen (zie §6.1) en een geringe uitbreiding van het rioleringsareaal.

 

Grote uitbreidingen

De grote uitbreidingen als De Nieuwe Kern (3.500 woningen tot 2032), Entrada (800 woningen tot 2025) en Amstel BusinessPark (1.500 woningen tot 2026) zijn, in overleg met de financieel adviseurs van de gemeente, niet meegenomen in de tariefbepaling. Er is vooralsnog uitgegaan dat de ontwikkelingen rond het beheer van riolering in het gebied Amstel Businesspark budgettair neutraal verlopen. Dat wil zeggen dat de uitvoeringskosten gedekt worden door de inkomsten vanuit dat gebied. De nadere uitwerking hiervoor is mede onderdeel van de te maken afspraken met de gemeente Amsterdam over het beheer van de infrastructuur in dit gebied en in het project De Nieuwe Kern. Omdat deze afspraken mede van invloed zijn op het totaal van baten/lasten rioolbeheer ten behoeve van De Nieuwe Kern en Amstel Businesspark zijn de woninguitbreidingen noch de hiermee samenhangende baten en lasten onderdeel van dit GRP. In de eerstvolgende herziening van het GRP wordt het een en ander verwerkt.

 

Afspraken Amstel BusinessPark Zuid

Hiernaast zijn er ontwikkelingen rondom de afspraken over het beheer en onderhoud van de riolering van het Amstel BusinessPark Zuid door de gemeente Amsterdam. De gemeente Amsterdam is eigenaar van de grond en beheert en onderhoud de riolen ter plaatse, maar kan geen rioolheffing op het grondgebied van de gemeente Ouder-Amstel innen. Binnen de komende planperiode wordt een overeenkomst tussen beide gemeenten gesloten. Aanname voor onderhavig GRP is dat de eventuele rioleringsinkomsten vanuit de rioolheffing vanuit de gemeente Ouder-Amstel 1 op 1 worden doorgezet naar de gemeente Amsterdam, minus de heffings- en inningskostenkosten.

 

7.2 Financiële uitgangspunten

Het beleid van de gemeente is dat de lasten voor de rioleringszorg voor 100% gedekt worden door de rioolheffing, met een sluitende begroting voor een gezonde financiële situatie. De lasten worden gevormd door de exploitatielasten, personeelslasten en de berekende afschrijving van de uitgevoerde én de komende investeringen (de kapitaallasten).

 

Jaarlijks beschouwt de gemeente de balans, inclusief mutaties op de voorziening riolering. Met de vaststelling van de financiële uitgangspunten is besloten dat bij de berekening van de rioolheffing in deze planperiode weer wordt uitgegaan van de begrote exploitatie- en kapitaallasten in het betreffende jaar. Eventuele tekorten of overschotten worden bij de jaarrekening geëgaliseerd met de voorziening riolering.

 

Rioleringsvoorziening

De gemeente kent een Voorziening Egalisatie riolering. Achterliggend is de ‘Nota Reserves en Voorzieningen 2017’. In de evaluatie (zie §4.4) is reeds de grote jaarlijkse dotatie aan deze voorziening geconstateerd. Door temporisering van de investeringen en maatregelen is de stand van de rioleringsvoorziening hoger dan beoogd (ingeschat op €5,4 mln. eind 2017). De gemeente heeft de voorziening benoemd als een voorziening in de zin van artikel 44, lid 2, uit het BBV (Besluit Begroting en Verantwoording, notitie riolering 2014).

 

Bestaande kapitaallasten

Een deel (ca. 15%) van de lasten voor de rioleringszorg wordt gevormd door afschrijving van investeringen uit het verleden. Vanuit het ‘Staat C’ van de gemeente is deze last berekend op €162.000 voor 2018.

 

Nieuwe kapitaallasten

Ook de komende periode staan er de nodige investeringen op stapel, gevormd door vervanging van oude en kwalitatief slechte riolen, gemalen en pompunits en maatregelen om het functioneren van te verbeteren. Deze investeringen moeten eveneens bekostigd worden door kapitalisering, zoals beschreven in de Nota Activabeleid 2017 van de gemeente. Relevante uitgangspunten hieruit zijn:

  • Het activeren van investeringen is verplicht vanaf € 25.000.

  • De investeringen in het riool worden conform het BBV opgenomen onder investeringen met economisch nut. Lineair afschrijven wordt toegepast bij alle vaste activa met maatschappelijk nut en economisch nut.

  • De indeling van activa en afschrijvingstermijnen zijn gebaseerd op de regelgeving, respectievelijk verwachte economische levensduur. De termijnen worden toegepast op nieuwe investeringen met ingang van 1 januari 2017:

    • -

      15 jaar voor schakelkasten

    • -

      20 jaar voor ‘zwevende’ riolen (eindstrengen en inzamelleidingen)

    • -

      30 jaar voor drukriolering buitengebied

    • -

      40 jaar voor hemelwaterriolen

    • -

      60 jaar voor onderheide riolen (hoofdriolen en grote transportleidingen)

  • Aangezien de gemeente beschikt over voldoende eigen middelen, is de rekenrente voor activering van investeringen 0%.

  • De gemeente wil onderzoeken welke alternatieven er zijn voor financiering van de rioleringsinvesteringen, en wat dit betekent voor de lasten op de lange termijn. De uitgangspunten uit de Nota Activabeleid 2017 kunnen hierbij, indien nodig, worden herzien.

Compensabele BTW

De Gemeentewet, artikel 228a lid 3, regelt dat de BTW, die gemeenten op grond van de BTW- compensatiefonds gecompenseerd krijgen, als last mogen worden opgenomen in de berekening van de tarieven. De gemeente Ouder-Amstel rekent BTW over de exploitatie en de kapitaallasten aan de lastenkant voor de tariefsbepaling. Voor 2018 is dit een bedrag bepaald op €87.000,-.

 

Oninbaar/kwijtschelding

De gemeente houdt rekening met een deel oninbare rioolheffing, met name als gevolg van faillissementen. Voor oninbare heffingen is een post voorzien van €10.000,-. In de begroting houdt de gemeente geen rekening met kwijtschelding, aangezien de rioolheffing is gebaseerd op een eigenarendeel.

 

7.3 Budgetten per activiteit

Deze paragraaf bevat tabellen met de activiteiten en budgetten weer voor de komende jaren. De volgende paragrafen geven hierop een toelichting. De indeling is op basis van de NPR 3220 (‘Nederlandse Praktijk Richtlijn: ‘Buitenriolering, beheer’) ingestoken, ingedeeld naar de thema’s onderzoek, beheer, vervanging, verbetering en facilitair. De volgende kolommen zijn weergegeven:

  • De FCL/ECL-codering vanuit het financiële systeem van de gemeente anno 2018

  • Een korte beschrijving van de activiteit

  • Het totale budget voor de planperiode 2018-2022

  • De bekostiging. Zijn het exploitatiekosten (jaarlijks terugkerend), personeelskosten of wordt het bedrag geactiveerd (afschrijving).

  • De verdeling van de budgetten over de komende jaren

Alle exploitatiebudgetten zijn exclusief gemeentelijke personeelslasten en b.t.w. De benodigde personeelslasten voor de investeringen zijn wel onderdeel van de investeringsbudgetten en worden in de huidige financieringsmethodiek geactiveerd

7.3.1 Onderzoek

Vanuit de nulmeting wacht de gemeente een behoorlijke onderzoeksinspanning voor het op orde brengen en houden van de benodigde gegevens en het verkrijgen van de juiste informatie en kennis. Op veel aspecten ontbreekt op dit moment het inzicht om een toetsing uit te voeren. De inspanning voor de komende jaren richt zich met name op het op orde brengen van de gegevens (areaal en toestand) om later het functioneren van de rioolstelsels te toetsen. Hierbij hoort ook een meer planmatige aanpak met het opstellen en periodiek actualiseren van een rioolbeheerplan waarin het reguliere beheer van alle objecten (voor stedelijk afvalwater, afvloeiend hemelwater en grondwater) wordt beschreven. Te zijner tijd worden stappen gezet naar een meer risicogestuurd rioolbeheer.

 

Hiernaast is een jaarlijks budget opgenomen om mee te kunnen doen met innovatieve trajecten, zoals mogelijk het aanbrengen van nieuwe sanitatie bij de in- en uitbreidingen. Ook vraagt de stap naar het klimaatbestendig en waterrobuust maken van de openbare ruimte de komende jaren, bij in- en uitbreidingen en weg- en rioolvervangingen, een onderzoeksinspanning; wat werkt hierin wel en wat niet voor de gemeente Ouder-Amstel? Het onderzoeksbudget biedt ook ruimte om kleinschalig onderzoek te doen naar foutieve aansluitingen.

 

FCL/ECL

Activiteit

Bekostiging

 

2018

2019

2020

2021

2022

nieuw

beheergegevens op orde

25.000

exploitatie

-

25.000

-

-

-

nieuw

opstellen Basisrioleringsplan

40.000

exploitatie

-

20.000

20.000

-

-

nieuw

opstellen OAS

30.000

exploitatie

-

-

-

30.000

-

nieuw

opstellen vGRP

15.000

exploitatie

-

-

-

-

15.000

nieuw

onderzoek risicogestuurd rioolbeheer

10.000

exploitatie

-

-

10.000

-

-

nieuw

opstellen Rioolbeheerplan

15.000

exploitatie

-

-

-

-

15.000

nieuw

nieuwe sanitatie / klimaatbestendigheid

80.000

exploitatie

-

20.000

20.000

20.000

20.000

nieuw

opstellen Taakopvatting Hemelwater

10.000

exploitatie

-

10.000

-

-

-

nieuw

optimalisatie meetnet

5.000

exploitatie

-

5.000

-

-

-

-

80.000

50.000

50.000

50.000

7.3.2 Beheer – regulier

Onder het reguliere beheer vallen activiteiten die ervoor zorgen dat het riool zijn levensduur behoudt, zoals het reinigen en inspecteren van de riolen en de kosten voor stroom en telefonie. Tevens vallen hier maatregelen zoals kolkenzuigen, straatvegen en het onderhoud van watergangen.

 

Reiniging en inspectie riolen

Bij een adequaat niveau past het huidige regime van reinigen en inspecteren (de zwevende riolen worden bijvoorbeeld jaarlijks in eigen beheer gereinigd, de kwetsbare locaties 4x per jaar. Voor het uitvoeren van reparaties en klein onderhoud is inzicht nodig in de kwalitatieve toestand van de riolering, dit inzicht is er op dit moment ten dele. De belangrijke riolen zijn in beeld, de komende jaren wordt de inspectie-achterstand ingelopen en worden de constateringen vertaald naar concreter projecten.

 

Kolkenzuigen

Kolkenzuigen dient ertoe om instroom vanaf de straat in de riolering ongehinderd plaats te laten vinden. Kolkenzuigen gebeurt daardoor volledig ten bate van de rioleringszorg. Van deze kosten wordt 100% toegerekend aan de rioleringszorg. Het ledigen van de kolken dient er immers toe om de instroom van regenwater vanaf de straat naar de riolering ongehinderd plaats te laten vinden.

 

Straatvegen

Straatvegen zorgt ervoor dat de straatkolken minder snel verstopt raken. 37% van de kosten van straatvegen worden toegerekend aan de rioleringszorg. De gedachte hierbij is dat straatvegen meerdere doelen kent:

  • -

    Het verzamelen van afval van de straat, om de straten schoon en begaanbaar te houden;

  • -

    Het voorkomen van verstopping van kolken en de riolering.

Dit sluit aan bij de Handreiking kostentoerekening leges en tarieven en het Model kostenonderbouwing van de VNG, en eerdere uitspraken van de Hoge Raad en het Hof van Amsterdam. Blijkens jurisprudentie is het niet ongebruikelijk om 25-60% van de veegkosten aan het rioolrecht toe te rekenen. Dit betekent concreet dat een bedrag van €19.980,- ten laste komt van de rioleringszorg.

 

Onderhoud gemalen en pompunits

Een andere belangrijke kostenpost is het beheer en onderhoud van de gemalen, pompunits en drukriolering in het buitengebied. Gemalen worden in principe 1x per 2 jaar bezocht voor reiniging en correctief onderhoud. Constatering is dat het huidige budget te kort schiet; hiervoor is een structurele verhoging me €15.000,- voorgesteld.

 

Onderhoud watergangen en slibverwerking oppervlaktewater

Voor het onderhoud van de watergangen lift de gemeente qua werkzaamheden mee met de activiteiten van het waterschap. De gemeente betaalt hiervoor een deel van deze kosten. In de Programmabegroting 2017 staat de items slibverwerking, onderhoud sloten en vervangen duikers benoemd onder het deelproduct Water (202.2). Het is toegestaan een deel van deze kosten over te brengen naar het deelproduct Riolering (203.3), om bekostigd te worden vanuit de rioolheffing. De wetgeving biedt die ruimte; zie de Handreiking kostentoerekening leges en tarieven en het Model kostenonderbouwing van de VNG. Dit onderhoud dient echter meerdere doelen:

  • -

    Het goed op diepte houden van vijvers en watergangen voor de beheersing van de (grond)waterstanden;

  • -

    Het bergen van hemelwater

  • -

    Het verwijderen van verontreinigd slib dat via riooloverstorten in het oppervlaktewater terecht is gekomen;

  • -

    Het verwijderen van slib en vuil, om de watergangen schoon en eventueel begaanbaar te houden (vanuit een esthetische, nautische of ecologische functie);

Toerekening van 50% van deze onderhoudskosten aan de verschillende zorgplichten wordt vanwege de aangegeven samenhang redelijk geacht (20% in het kader van de grondwaterzorg- plicht, 10% in het kader van de afvalwaterzorgplicht en 20% in het kader van de hemelwaterzorg- plicht). Voor het resterende deel is cofinanciering nodig, bijvoorbeeld uit projecten, de algemene middelen, bijdragen van derden of subsidies. Aanbevolen wordt een nadere uitwerking van het bovenstaande op te stellen in een Baggerplan, in samenwerking met het waterschap. Voor de gemeente Ouder-Amstel gaat het om een totaalbudget van €63.000 (begroting 2018).

Geadviseerd wordt om 50% hiervan toe te rekenen aan de gemeentelijke watertaken en daarmee aan de rioolheffing. Voor de komende jaren is een bedrag van €31.500 aangehouden dat ten laste komt van de rioleringszorg.

 

 

Het totale jaarlijkse budget voor het reguliere beheer is begroot op circa €260.000 voor de komende planperiode. Dit is een toename met 50% van het budget ten opzichte van de jaarrekening 2016, vanwege met name de intensivering van de rioolinspecties en de verhoging van het budget gemalenonderhoud (per saldo +€30.000-). Hiernaast wordt een deel van de kosten van straatvegen en baggeren/onderhoud aan de watergangen aan de rioolheffing (per saldo €51.500,- aan de rioleringszorg toegerekend, wat een verschuiving op de totale gemeentelijk begroting is.

 

7.3.3 Beheer – vervanging

 

Onder deze noemer vallen de investeringen voor het vervangen van oude objecten die slecht functioneren, waarbij in principe het functioneren van het systeem niet wordt aangepast. Voor de gemeente Ouder-Amstel bestaat het grootste deel hiervan uit de vrijvervalriolen. Vooralsnog is dit inzicht gebaseerd op het vervangingsjaar en de verwachte levensduur. Het daadwerkelijk inzicht in de kwalitatieve toestand wordt de komende jaren verkregen en vergroot door het uitvoeren van rioolinspecties. De grafiek op de volgende pagina geeft het beeld voor de planperiode en de lange termijn weer.

 

Belangrijke aannames hierin zijn de volgende verwachte levensduren:

  • 20 jaar voor ‘zwevende’ riolen (eindstrengen en inzamelleidingen)

  • 60 jaar voor onderheide riolen (hoofdriolen en grote transportleidingen)

  • 40 jaar voor hemelwaterriolen

  • 30 jaar voor drukriolering buitengebied

 

De aanname voor het investeringsbudget, voor riolen die op basis van de cyclische benadering al vervangen hadden moeten zijn, is dat deze is verdeeld over de komende 10 jaar (in de grafiek aangeduid als ‘vervanging zwevend >20 jaar’ en ‘vervanging HWA > 40 jaar’). Overigens wordt voordat daadwerkelijk een riool wordt vervangen, een inspectie uitgevoerd om de kwaliteitstoestand in beeld te brengen. De meest doelmatige maatregel wordt vervolgens bepaald in afstemming met de andere assets wegen en groen. Vervangingen gemalen en pompunits zijn geprogrammeerd op de Meerjareninvesteringslijst, echter nog basis van de oude inzichten uit 2010. Actualisatie hiervan vindt de komende jaren plaats, in aansluiting op het orde brengen van de beheergegevens.

Om pieken vanuit de cyclische benadering af te vlakken is het investeringsniveau omgezet naar een 7-jarige voortschrijdend gemiddelde (de rode stippellijn in de grafiek). Het totale investeringsbudget voor de vervangingen is €7,3 mln. voor de komende planperiode 2018-2022 (gemiddeld €1,5 mln. per jaar). Met deze aannames laat het investeringsniveau een behoorlijke stijging zien ten opzichte van het voorgaande GRP (gemiddeld €0,7 mln. per jaar). Dit is verklaarbaar door de cyclische benadering en de temporisering van de maatregelen van de afgelopen jaren. Door uitvoeren van rioolinspecties en maatregeltoetsen de komende jaren wordt het investeringsniveau beter onderbouwd. Indien blijkt dat het sterk afwijkt, is het zinvol de koers van dit GRP te herijken. Vermeldenswaardig is dat de bedragen inclusief de personeelslasten voor VTA zijn (voorbereiding, toezicht en advies, zie ook §7.4).

7.3.4 Beheer – verbetering

 

Onder deze noemer vallen de investeringen voor het vervangen van de objecten waarbij het functioneren van het systeem wel wordt aangepast, bijvoorbeeld voor de vermindering van de vuilemissie of voor de aanpak van wateroverlast. Een actuele toetsing van het functioneren is niet voorhanden; het meest recente BRP dateert uit 2004. De daarin voorgestelde maatregelen zijn uitgevoerd.

In de planperiode wordt deze toetsing geactualiseerd, waaruit mogelijke maatregelen kunnen voortvloeien. Voor de planperiode 2018 – 2022 is budget opgenomen, als 10% bovenop de vervangingsinvestering van de gemengde vrijvervalriolen. Hiermee kunnen bij projecten de verbeteringen aan de systemen worden doorgevoerd onder de volgende noemers:

  • Het afkoppelen van verhard oppervlak;

  • Het klimaatbestendig inrichten van de openbare ruimte.

 

Het totale investeringsbudget voor de verbetering is €0,5 mln. voor de komende planperiode 2018-2022 (gemiddeld €0,1 mln. per jaar). De budgetten voor de lange termijn zijn opgenomen in de voorgaande grafiek (groen gemarkeerd). Ook de lasten van deze investeringen zijn inclusief VTA.

7.3.5 Facilitair

 

Onder de noemer facilitair zijn de overige kosten ondergebracht, zoals de abonnementskosten. Een aanvulling is gedaan voor drukkosten etc. in het kader van de bewustwording voor particulieren voor met name klimaatadaptatie. Het jaarlijkse budget voor dit thema is begroot op

€6.500,- vanaf 2019.

7.4 Personeel

 

Deze paragraaf schets een beeld van de benodigde personele middelen die nodig zijn om de gemeentelijke watertaken voor de gemeente Ouder-Amstel in te vullen. Hierbij is geen onderscheid gemaakt in de bemensing vanuit de gemeente of vanuit bedrijfsvoeringsorganisatie Duo+.

 

Huidige situatie

De voorbereiding, uitvoering en begeleiding van rioleringsprojecten wordt voor een groot deel uitbesteed aan derden. Vanuit de jaarrekening 2016 is in de volgende tabel een calculatie gemaakt van de huidige personele inzet.

 

Tabel 7-1: calculatie huidige personele inzet.

Onderdeel

Rekening 2016 1)

budget

fte

Inrichting en beheer (binnen)

67.555

0,5

Dagelijks Beheer(buiten)

191.229

2,0

Uren tractie

30.928

0,2

Uren Amstelland

15.750

0,1

Totalen

305.462

2,9

1) uitgaande van: uurtarief €85 (binnen) en €65 (buiten) en 1.500 productieve uren per jaar

* de overhead wordt jaarlijks verrekend in de budgetten

 

Vanuit de jaarrekening 2016 volgt dat in totaal 2,9 fte besteed is aan de rioleringszorg. Door de geringe omvang van de gemeentelijke organisatie is dit beeld voor het Dagelijks Beheer vertroebeld, doordat de medewerkers meer onderdelen van de openbare ruimte beheren (wegen, groen). Aandachtspunt voor de komende jaren is het registreren en in beeld brengen van de daadwerkelijke toedeling van uren naar de Taakvelden.

 

Ontwikkeling 2018-2022

De rol van de gemeentelijke overheidsorganisatie zal de komende tijd veranderen. Om de gestelde doelen te bereiken en invulling te geven aan de ambities wordt ook wat van de inwoners verwacht. Ingezet wordt op burgerparticipatie, samenwerking en ‘verbinden’, zowel de interne afdelingen, met andere instanties (buurgemeenten, het waterschap, LTO) én met burgers. Voorbeelden zijn er al, zoals samenwerking in BOWA-verband.

 

Om de strategie voor de komende planperiode ten uitvoer te brengen is de belangrijkste voorwaarde dat de personele organisatie Duo+ staat, zowel kwantitatief als kwalitatief. De taken en verantwoordelijkheden van eenieder moeten helder zijn. Dit krijgt het komende jaar zijn beslag. Uitgangspunt is dat eenieder zijn eigen verantwoordelijkheid kent en neemt; communicatie speelt hierin een prominente rol.

 

De volgende tabel geeft het beeld van de benodigde personele middelen, op basis van aannames voor de personele inzet per activiteit. De insteek hierbij is dat de gemeente veel werkzaamheden door externe partijen laat uitvoeren. Daarnaast wordt verwacht dat het werken in de bedrijfsvoeringsorganisatie Duo+ en de samenwerking via het platform BOWA leidt tot een vermindering van de personele kwetsbaarheid en een verdere versterking van de kwaliteit.

 

Tabel 7-2: calculatie benodigde personele inzet.

Onderdeel

Koers GRP 2018-2022 2)

Budget 1)

Fte

Inrichting en beheer (binnen) – planvorming, onderzoek

82.000

0,6 3)

Dagelijks Beheer(buiten)

148.000

1,5

Uren tractie

31.000

0,2 4)

Uren Amstelland

16. 000

0,1 4)

Totalen

278.000

2,5

Inrichting en beheer(binnen) – vervanging en verbetering

In projecten

0,8

Totalen

278.000

3,3

1) uitgaande van: uurtarief €85 (binnen) €65 (buiten) en 1.500 productieve uren per jaar inclusief overhead.

2)  conform de kentallen en het hulpmodel uit de Leidraad Riolering, module D2000

3) dit  is plus 0,25 ftevoor de intensivering van de onderzoeksinspanning.

4)  uren tractie en Amstelland zijn doorgezet conform jaarrekening 2016

 

Om de voorgenomen investeringen gerealiseerd te krijgen is personele capaciteit nodig. Voor de vertaling hiervan naar de consequenties hiervan voor de personele capaciteit wordt de huidige koers gevolgd; de gemeente neemt een regierol in deze projecten. Dit betekent dat een percentage van 15% voor voorbereiding, toezicht en advies is gehanteerd (conform de kentallen van Stichting RIONED), voor de inzet van personeel. De gemeente kiest ervoor deze personeelsinzet voor een groot deel buiten de deur te blijven zetten. De personeelskosten voor voorbereiding, toezicht en advies worden voor 60% verzorgd door externe partijen; voor de gemeente wordt een percentage aangehouden van 40%. Dit resulteert in een benodigde inzet van 0,8 fte voor de vervangings- en verbeteringsprojecten. Deze personeelslasten zijn onderdeel van de investeringsbudgetten en worden in de huidige financieringsmethodiek geactiveerd.

 

De totale benodigde omvang van de gemeentelijke organisatie voor de rioleringszorg neemt hierdoor toe met 0,5 fte ten opzichte van de jaarrekening 2016. De wijze van invulling van de uitbreiding van de personele bezetting wordt nog nader bepaald, in relatie met de overeenkomsten vanuit Duo+. Het jaarlijkse budget voor het gemeentelijke personeel, inclusief overhead, exclusief de voorbereiding van projecten, is voor de komende jaren begroot op €278.000,- (dit is een toename van ca. 28% ten opzichte van de jaarrekening 2016).

 

Grote uitbreidingen

De lasten voor de benodigde personele inzet voor de nieuwe, eerste aanleg van riolering (zoals bij uitbreidingswijken) komt niet ten laste van de rioolheffing. De kosten worden verhaald op de ontwikkeling zelf, conform de Wro (Wet Ruimtelijke Ordening, Grex-wet). Naar verwachting gaat dit met name bij de ontwikkelingen van De Nieuwe Kern, Entrada en Amstel Business Park een rol spelen.

De gemeente heeft hierbij een meer toetsende rol. Uitgangspunt is maximale uitbesteding, waarbij de gemeente de regierol heeft. Hiervoor wordt een Taakopvatting Hemelwater opgesteld en in de organisatie geïmplementeerd, en controleert de gemeente de initiatiefnemers van ontwikkelingen. De benodigde menskracht komt wel ten laste van de personele organisatie..

 

7.5 Ontwikkeling lasten

De grafiek in figuur 7-2 geeft een totaalbeeld van de componenten waaruit de lasten zijn gevormd, voor de lange termijn (2018-2078). Onderscheid is gemaakt in de kapitaallasten van investeringen uit het verleden (tot en met 2017) en de nieuwe kapitaallasten van investeringen daarna.

 

Met het beeld van de riolering van nu en de voorgestelde investeringen, is een doorkijk gemaakt voor de komende jaren. Belangrijk is dat de voorziening riolering een fors bedrag bevat die ingezet kan worden; hierin zijn keuzes te maken. De volgende varianten zijn beschouwd:

 

1. Voortzetten huidige wijze van financiering:

  • -

    investeringen worden over een lange termijn afgeschreven;

  • -

    activering van de investeringen vindt plaats over de technische levensduur; afschrijvingslasten komen ten laste van de exploitatie

2. Directe afschrijving:

  • -

    nieuwe investeringen worden in het jaar na aanleg direct en volledig ten laste gebracht van de voorziening;

  • -

    investeringen vanuit het verleden worden niet versneld afgeschreven;

  • -

    afschrijvingslasten over een lange termijn zijn niet aan de orde.

3. Risicoparagraaf:

  • -

    als variant 1, waarbij de consequenties van een mogelijke rentetoerekening in beeld zijn gebracht.

7.6 Ontwikkeling rioolheffing en rioolvoorziening

 

De rioolheffing wordt jaarlijks door de gemeenteraad vastgesteld in de ‘Verordening rioolheffing’. De rioolheffing kent een eigenarendeel en een gebruikersdeel. Het gebruikersdeel is alleen van toepassing op grootverbruikers.

 

Zoals benoemd in §7.2 is de stand van de Voorziening Egalisatie riolering hoger dan beoogd (€5,4 mln., begroot eind 2017). De gemeente heeft derhalve de voorziening benoemd als een voorziening in de zin van artikel 44, lid 2, uit het BBV (Besluit Begroting en Verantwoording, notitie riolering 2014). Dit, en de kaders uit de Nota Activabeleid van de gemeente, heeft in principe een aantal restricties voor de financieringsstrategie tot gevolg:

  • -

    investeringen moeten worden afgeschreven;

  • -

    de financiële afschrijvingstermijnen moeten in de pas lopen met de technische levensduur;.

  • -

    het resultaat op de exploitatie en jaarlijks onderhoud, als gevolg van exploitatie – of marktvoordeel, mag niet met de voorziening verrekend worden. Het resultaat mag wel worden ingezet met via een bestemmingsreserve.

Verkenningen

Met deze restricties is bekeken op welke wijze de beschikbare middelen kunnen worden ingezet, vanuit de varianten zoals beschreven in de voorgaande paragraaf:

  • 1.

    Handhaven huidige wijze van financiering

  • 2.

    Directe afschrijving van investeringen

  • 3.

    Risicovariant: als 1, met 4% rente

In beeld is gebracht wat het betekent als de rioolheffing op het huidige niveau blijft, en wat er mogelijk bij benutting van de voorziening. Bij de beschouwde opties horen volgende vertrekpunten:

Variant 1A,2A: handhaven huidige niveau van de heffing;

Variant 1B, 2B en 3: wijziging van de heffing gedurende komende jaren en vervolgens constant, naar kostendekkend vanaf 2038. Stand voorziening €1.000.000- in 2038.

 

In de volgende grafieken 7-3 en 7-4 is een doorkijk gemaakt tot en met 2051. Gekozen is voor deze periode om ook het effect van de keuzes op de lange termijn inzichtelijk te hebben. Tevens is een vergelijking gemaakt met de koers van de rioolheffing zoals geschetst in het GRP 2011- 2015.

 

Figuur 7-3: ontwikkeling rioolheffing.

 

Figuur 7-4: ontwikkeling rioolvoorziening

 

De conclusie is dat met de huidige wijze van financiering een verlaging van de rioolheffing mogelijk is. Wordt hiervoor de doorkijk tot 2038 gemaakt, dan is een geleidelijke verlaging tot €126,- haalbaar door de inzet van de middelden uit de voorziening (optie 1B).

 

Een risico hierbij is dat de gemeente momenteel de investeringen bekostigt vanuit eigen middelen en er geen rentecomponent aanwezig. De verwachting is dat op termijn wel leningen noodzakelijk zijn en de lasten toenemen. Als wordt uitgegaan van een rentepercentage van 4% (langjarige marktrente), dan nemen de lasten op de lange termijn toe (zie figuur 7-2). Door de inzet van de voorziening is een stijging van de rioolheffing de komende jaren niet nodig en kan de rioolheffing de komende planperiode nog dalen tot €197,- (optie 3).

 

Een alternatieve financieringsstrategie is het direct bekostigen van de investeringen en het bedrag in het jaar na realisatie in één keer af te boeken ten laste van de voorziening. Hiermee worden kapitaallasten voor de lange termijn voorkomen (afschrijving en eventueel rente). Om dit te kunnen bekostigen is een stijging van de rioolheffing noodzakelijk tot €366,- in de planperiode (optie 2B). Op de lange termijn, na 2047 levert deze variant een voordeel op voor rioolheffing. Bij de vergelijking met de risicovariant met rente wordt dit punt al eerder bereikt, in 2040.

 

Een invloedsfactor zijn de grote uitbreidingen die op stapel staan (De Nieuwe Kern, Entrada, AmstelBusinessPark). Zodra de woningen gereed en verkocht zijn kunnen deze worden aangeslagen voor de rioolheffing. Gezien de omvang van de uitbreidingen nemen de opbrengsten aanzienlijk toe, terwijl de beheerkosten pas later volgen. In welk tempo is echter nog onduidelijk.

 

Op 6 maart 2018 is de ‘Overeenkomst inzake het beheer en onderhoud van het rioolstelsel van Amsterdam, te Ouder-Amstel’ ondertekend. Samenvattend is hierin afgesproken dat de gemeente Amsterdam het onderzoek, beheer, onderhoud en vervanging voor eigen rekening uitvoert en dat financiële compensatie plaatsvindt door het invoeren van rioolheffing voor het gebied door de gemeente Ouder-Amstel per 1 januari 2019. De opbrengsten vanuit de rioolheffing vanuit het gebied worden, na aftrek van heffings- en inningskosten, doorgezet naar de gemeente Amsterdam. Het komende jaar wordt onderzocht over welk bedrag het gaat, op basis van de huidige heffingsgrondslag en de in dit GRP 2018-2022 voorgestelde hoogte van de rioolheffing.

 

7.7 Advies

Vanuit een goed strategisch financieel beleid en de verkenningen van de voornoemde varianten is het advies de koers voor de planperiode 2018-2022 in te zetten op variant 1A:

  • Het handhaven van de rioolheffing voor de komende jaren op het huidige niveau van €277,80, met verrekening van de inflatie. De Voorziening egalisatie riolering is voldoende groot om het tarief de komende jaren gelijk te houden aan het huidige niveau. Hierbij wordt uitgegaan van het tevens handhaven van het tarief van het gebruikersdeel op €128,20, met verrekening van de inflatie.

Hier horen de volgende overwegingen bij:

  • De voorziening blijft ingezet worden ter egalisatie van baten en lasten, zoals dat ook nu gebeurt (variant 1). Het overgaan op direct afboeken van de investeringen (variant 2) ten laste van de voorziening geeft een risico van onvoldoende saldo op korte termijn, omdat de investeringen de komende jaren een stijgende lijn laten zien. Het wel direct afboeken vanaf dit moment zou het jaarlijkse stijging van het tarief met +7% tot gevolg hebben.

  • Aan het einde van de planperiode van onderhavig GRP (2018-2022) is er beter zicht op de (werkelijke) ontwikkeling van de woningbouw. De inkomsten als gevolg van de uitbreiding van het woningareaal zijn dan naar verwachting fors hoger, terwijl daar op korte termijn geen investeringen of grote toename van het exploitatiebudget tegenover staan. Ter indicatie; met die toename van de inkomsten (grofweg ca €1,2 mln. extra als De Nieuwe Kern gereed is) zijn de gemiddelde investeringen van ca €1,5 mln. ieder jaar direct af te boeken ten laste van de voorziening. De investeringen in nieuwbouw worden immers gedekt door de projectontwikkelaar. Vooralsnog zijn beide factoren niet meegenomen in het kostendekkingsplan; over enkele jaren zijn de consequenties voor de rioolheffing beter te ramen.

Op 6 maart 2018 is de ‘Overeenkomst inzake het beheer en onderhoud van het rioolstelsel van Amsterdam, te Ouder-Amstel’ ondertekend. Samenvattend is hierin afgesproken dat de gemeente Amsterdam het beheer en onderhoud voor eigen rekening uitvoert en dat financiële compensatie plaatsvindt door het invoeren van rioolheffing voor het gebied door de gemeente Ouder-Amstel per 1 januari 2019. De opbrengsten vanuit de rioolheffing vanuit het gebied worden, na aftrek van heffings- en inningskosten, doorgezet naar de gemeente Amsterdam. Het komende jaar wordt onderzocht over welk bedrag het gaat, op basis van de huidige heffingsgrondslag en de in dit GRP 2018-2022 voorgestelde hoogte van de rioolheffing.

 

Kostendekking lange termijn

Variant 3 laat de toename als gevolg van een rentecomponent zien. Deze rentelast is voor de gemeente Ouder-Amstel een reëel risico; momenteel financiert de gemeente de investeringen nog vanuit de eigen middelen, maar een rentelast komt aan de orde op het moment dat Ouder- Amstel leningen moet aantrekken ter financiering van investeringen (ook buiten de gemeentelijke watertaken, zoals bijvoorbeeld de bouw van scholen in de uitbreidingen).

 

Aan het einde van de planperiode van onderhavig GRP (2018-2022) is de verwachting dat de overstap kan worden gemaakt naar het direct bekostigen van de investeringen vanuit de voorziening. Dit heeft als groot voordeel dat daarmee rentelasten voor de lange termijn voorkomen worden en de rioolheffing op middellange termijn lager uitvalt.

8 Toelichting invulling taakopvatting Grondwater

 

De insteek van gemeente is dat de grondwaterzorgplicht adequaat en doelmatig wordt ingevuld. Maatregelen zullen altijd maatwerk zijn. Om de gemeente in staat te stellen om de doelmatigheid van grondwatermaatregelen locatie specifiek te beoordelen, wordt een opgesteld op basis van de volgende beleidsregels:

  • A.

    Er is een probleem: structureel nadelige gevolgen door een te hoge of te lage grondwaterstand (voor het woongenot of bouwtechnisch).

  • B.

    De maatregel heeft nut: vanuit de openbare ruimte wordt een gunstig effect voor de (particuliere) percelen met overlast bereikt zonder nieuwe structurele schade of overlast te veroorzaken.

  • C.

    De maatregel is kosteneffectief: de investerings- en exploitatiekosten van maatregelen door de gemeente staan in verhouding met (eventueel toekomstige) kosten van maatregelen door perceeleigenaren of eventueel te verwachten kosten voor schades.

Structurele grondwateroverlast (A. er is een probleem)

De gemeente Ouder-Amstel stelt vast in hoeverre geringe ontwateringsdieptes leiden tot structurele grondwateroverlast. Vanwege de specifieke geohydrologische kenmerken in de gemeente wordt dit per omstandigheid beoordeeld. Het is dus altijd maatwerk. Hierbij hanteert de gemeente in principe de volgende overwegingen:

  • Ervaren perceeleigenaren overlast in de vorm van grondwater in de kruipruimte, vochtige woonvertrekken op de begane grond en/of een drassige tuin?

  • Wordt de leefbaarheid of de constructie van een gebouw, zoals een houten vloer, aantoonbaar door de geringe ontwateringsdiepte aangetast?

  • Betreft de overlast meerdere woningen in een bouwblok?

  • Voldoet het gebruik van het perceel aan de aan het gebied gegeven bestemming?

  • Is de grondwaterstand voor een lange tijd beduidend hoger dan het oppervlaktewaterpeil, rekening houdende met een natuurlijke opbolling welke nodig is voor grondwater(af)stroming?

  • Wat is de aanleghoogte en de huidige maaiveldhoogte van het gebied? Welke grondwaterstanden dienen op de betreffende locatie, van oorsprong, te worden getolereerd?

  • Welke werkzaamheden hebben er de afgelopen jaren plaatsgevonden in de openbare buitenruimte?

  • Welke maatregelen heeft de perceeleigenaar zelf getroffen op eigen perceel?

  • Is er sprake van een extreme situatie, zoals extreme regenval?

 

Structurele grondwateronderlast (A. er is een probleem)

Naast een hoge grondwaterstand kan ook een lage grondwaterstand aanleiding zijn voor klachten. Door een lage grondwaterstand kunnen houten paalfunderingen aanrotten en kan er ook schade ontstaan aan bomen en planten. Ook voor het vaststellen van structurele grondwateronderlast geldt dat de gemeente dit vanwege de specifieke situatie in Ouder-Amstel per omstandigheid beoordeelt. Ook dit is dus altijd maatwerk. Hiervoor gelden vergelijkbare overwegingen als voor het vaststellen van de grondwateroverlast.

 

Doelmatige maatregelen (B. de maatregel heeft nut, C. de maatregel is kosteneffectief en D. de maatregel is inpasbaar)

In hoeverre de gemeente maatregelen in de openbare ruimte doelmatig acht, wordt per omstandigheid en locatie beoordeeld. Doordat de grondwatersituatie per wijk en zelfs per straat afwijkend kan zijn, kan er geen uniforme uitspraak worden gedaan ten aanzien van de te treffen maatregelen. Voor het bepalen van de doelmatigheid van grondwatermaatregelen hanteert de gemeente in principe de volgende overwegingen:

  • Wat is de ernst van de grondwateroverlast? Wat is de omvang en de duur van de waterproblemen, het aantal klachten binnen een gebied en de mate van de ervaren overlast?

  • Is het nodig een detailanalyse uit te voeren op wijk/straat/blokniveau?

  • Wat zijn de kosten van mogelijke maatregelen?

  • Welke (schadelijke) gevolgen heeft het toepassen van de maatregel, wat zijn de risico’s? De aanleg van drainage kan bijvoorbeeld leiden tot ongewenste zettingen en zakkingen.

  • Dragen de inspanningen daadwerkelijk bij aan de realisatie van het beoogde doel en staan de kosten hiermee in verhouding?

  • Wat is de meest haalbare oplossing voor het aanpakken van de problematiek? Om in bestaand stedelijk gebied en nieuw te ontwikkelen stedelijk gebied grondwateroverlast tegen te gaan c.q. te voorkomen, gaat de gemeente uit van de volgende voorkeursvolgorde:

    • 1.

      Ophogen van het maaiveld;

    • 2.

      Het aanleggen van extra oppervlaktewater;

    • 3.

      Het nemen van (grondwater)technische maatregelen.

  • Welke werkzaamheden in de buitenruimte staan er in de komende jaren voor dit gebied in de planning, en kan het aanpakken van de grondwaterproblematiek hierin worden meegenomen? Denk hierbij aan rioolvervanging en/of wegreconstructies. Aanleg van ontwateringsmiddelen gebeurt in principe pas op het moment dat er ook andere werkzaamheden worden uitgevoerd.

  • Welke maatregelen kan de perceeleigenaar zelf treffen op eigen perceel?

  • Leidt de maatregel tot onevenredig grote belemmeringen voor het behalen van andere gemeentelijke ambities? Denk hierbij bijvoorbeeld aan de (voor het gebied of locatie) gewenste uitstraling, verkeersveiligheid of energieverbruik.

Ruimtelijke ontwikkelingen

Het bouwen van grote ondergrondse constructies (parkeergages, damwanden, e.d.) mag in de omgeving geen nadelige effecten hebben op de grondwaterstand en –stroming. Dit is de verantwoordelijkheid van de initiatiefnemer, bijvoorbeeld een projectontwikkelaar of particulier. De gemeente neemt bij dergelijke trajecten een toetsende rol op zich, voorafgaand aan de vergunningverlening. Dit moet in het proces goed geregeld zijn bij de vergunningverleners en handhavers van de gemeente.

Voorkómen is beter dan genezen. Bij de planuitwerking van grote ondergrondse constructies kan de gemeente daarom eisen dat door middel van een geohydrologisch onderzoek wordt aangetoond dat er geen sprake is van nadelige effecten van het ondergrondse bouwwerk op de grondwaterstand en –stroming in de omgeving en dat er geen nieuwe grondwaterproblemen ontstaan. Daarbij moet ook rekening worden gehouden met de uitvoeringsfase. Deze toetsing is gerelateerd aan de watertoets, waarin Waternet een adviserende rol heeft. Met deze insteek wordt de verantwoordelijkheid voor het voorkomen van grondwaterproblemen nadrukkelijk bij de initiatiefnemer neergelegd.

 

Technische Richtlijnen

Zoals gesteld in het §6.3.3 wil de gemeente het ontwerp en de aanleg van nieuwe riolering en bijhorende voorzieningen plaats laste vinden volgens de Technische Richtlijnen van de gemeente.

 

Hiermee voldoet elk ontwerp aan de voorwaarden van de gemeente en wordt het systeem naar behoren opgeleverd.

 

Tijdens het opstellen van onderhavig plan heeft de gemeente niet de beschikking over een document met ‘Technische ontwerprichtlijnen’. Tot dusver worden rioolstelsel ontworpen volgens de ontwerpgrondslagen van de Leidraad Riolering. De behoefte is er wel vanuit Duo+, in samenhang met de andere assets in de openbare ruimte. De bedrijfsvoeringsorganisatie wil dan ook een Leidraad Inrichting Openbare Ruimte (LIOR) opstellen. Tot die tijd stelt de gemeente per project/uitbreiding maatwerkvoorschriften vast.

 

Als richtlijn kunnen de onderstaande bullits gelden:

  • In het zettingsgevoelig gebied gaat de voorkeur uit naar kruipruimteloos bouwen.

  • wanneer wordt gebouwd zonder kruipruimten, een grondwaterstand van 0,5 m beneden maaiveld niet vaker dan 1 keer per 2 jaar wordt overschreden en dat niet langer dan 5 dagen achtereen.

  • Wanneer bij inrichting van het gebied mét kruipruimten wordt gebouwd, geldt als richtlijn dat een grondwaterstand van 0,9 m beneden maaiveld 1 niet vaker dan 1 keer per 2 jaar wordt overschreden en dat niet langer dan 5 dagen achtereen.

  • Om de toename van kwel2 te voorkomen danwel te beperken, dienen bestaande slecht doorlatende lagen in de bodem intact te blijven.

Om aan bovenstaande bullits te voldoen, heeft in eerste instantie een natuurlijke afwatering via de bodem en het oppervlaktewater de voorkeur (aanleg van open water en eventueel integraal ophogen). Wanneer dit onvoldoende mogelijk is en/of onvoldoende effectief is, is grondverbetering (verbeteren van waterdoorlatendheid) de eerstvolgende te overwegen optie en daarna een aanpassing van bouwwijze of gebruik. Pas in zeer uitzonderlijke situaties is de aanleg van robuuste ontwateringmiddelen met een minimaal beheer en onderhoud toegestaan (drainage). Bij het ontwerp en de aanleg van eventuele drainage geldt als uitgangspunt dat er vrij (onder vrij verval) kan worden geloosd op het oppervlaktewater; het drainagesysteem mag het grondwaterpeil niet onder het oppervlaktewaterpeil brengen. Het verlagen van het oppervlaktewaterpeil is over het algemeen niet wenselijk.

 

  • 1.

    De vereiste grondwaterstand van 0,9 m beneden maaiveld bij kruipruimten is opgebouwd uit een vloerpeil van 0,1 m boven maaiveld, een 0,2 m dikke begane grondvloer, een 0,5 m hoge kruipruimte en 0,3 m voor capillaire opstijging.

  • 2.

    Kwel is grondwater dat onder druk uit de grond komt. De druk komt voort uit hoogteverschillen in (grond)waterspiegels.

Bijlage 1 - Begrippenkader

 

Het vakgebied van de gemeentelijke watertaken kent een eigen begrippenkader. De belangrijkste begrippen zijn in dit hoofdstuk in algemene bewoordingen toegelicht.

 

Verschillende soorten afvalwater

Vanuit de Waterwet is het onderscheid in verschillende soorten afvalwater als volgt:

  • Huishoudelijk afvalwater: afvalwater dat overwegend afkomstig is van menselijke stofwisseling en huishoudelijke werkzaamheden;

  • Bedrijfsafvalwater: afvalwater dat vrijkomt bij door bedrijfsmatige processen en dat geen huishoudelijk afvalwater, afvloeiend hemelwater of grondwater is;

  • Stedelijk afvalwater: huishoudelijk afvalwater of een mengsel daarvan met bedrijfsafvalwater, hemelwater, grondwater of ander afvalwater;

  • Ander afvalwater: datgene wat niet onder een van voorgaande begrippen is te vatten. Een voorbeeld van 'ander afvalwater' is 'zwembadwater' bij een particulier huishouden dat geloosd moet worden. Te lozen zwembadwater van een professioneel zwembad is echter bedrijfsafvalwater.

Riolering particulier terrein

De particulier is op eigen terrein verantwoordelijk voor de staat van zijn woning en perceel.

Hieronder valt ook het in stand houden van de diverse leidingen (binnens- en buitenshuis) die gebruikt worden voor het inzamelen en afvoeren van afvalwater.

 

Op de erfgrens gaat deze verantwoordelijkheid over naar de gemeente. Op de erfgrens is veelal een zogenaamd ontstoppingsstuk aangebracht. Via dat ontstoppingsstuk wordt in geval van een verstopping nagegaan in welke deel van de riolering de verstopping aanwezig is (particulier of gemeente).

 

In geval van een verstopping zoekt de particulier het ontstoppingsstuk op. Is de verstopping in het gemeentelijk deel van de riolering aanwezig dan lost de gemeente deze op. Bij een verstopping in het deel van de particulier is de particulier zelf verantwoordelijk voor het oplossen.

 

Vrijverval riolering

Vrijvervalriolering maakt gebruik van de zwaartekracht om het water naar de plaats van bestemming te laten stromen. De rioolbuizen worden onder een kleine helling (afschot) aangelegd, waardoor het regen- en afvalwater via natuurlijke stroming de juiste kant op gaat (vrij verval). Een nadeel van deze manier is dat buizen nauwkeurig en op relatief grote diepte moeten liggen om te voldoen aan de criteria voor een goede afstroming.

 

Mechanische riolering (drukriolering)

Is een riolering met natuurlijk verval niet mogelijk of ondoelmatig (te lange afstanden, te diep) dan wordt mechanische riolering toegepast (een systeem van minigemalen en drukriolen). Mechanische riolering wordt vaak in het buitengebied toegepast om het afvalwater van verspreid liggende woningen en boerderijen in te zamelen en te transporteren. Met mechanische riolering wordt vanuit doelmatigheid uitsluitend afvalwater getransporteerd. Hemelwater wordt lokaal afgevoerd naar open water of een infiltratiesysteem.

Het afvalwater wordt in een put verzameld. Bij het meest gebruikte type, drukriolering, leegt een afvalwaterpomp automatisch enkele malen per etmaal de put en duwt het verzamelde afvalwater in de leiding. Zo ontstaat een "treintje" van wisselend hoeveelheden afvalwater. Vrijwel alle percelen in het buitengebied zijn aangesloten op het drukrioolstelsel. Door lange verblijftijden kan het afvalwater gaan 'aanrotten'. Hierbij komt H2S-gas vrij, wat stankoverlast (rotte eierenlucht) en aantasting van betonnen riolen kan veroorzaken.

Voorzieningen op deze aansluitpunten zijn noodzakelijk.

 

Gemengd rioolstelsel

Bij een gemengd rioolstelsel wordt overtollig hemelwater gezamenlijk met huishoudelijk en bedrijfsafvalwater ingezameld en afgevoerd door één buis. Het gemengde stelsel moet dus geschikt zijn om bij zware regenval aanzienlijke hoeveelheden hemelwater en afvalwater te bergen en af te voeren. Als bij regenval het stelsel te vol zit zal het water via overstorten uitstromen naar het oppervlaktewater.

 

 

Gescheiden rioolstelsels

Hemelwater is in principe schoon, en kan worden geïnfiltreerd inde bodem, of op een sloot of beek worden geloosd. Om overstortingen van afvalwater te voorkomen of te verminderen zijn in woonwijken en op bedrijventerreinen gescheiden rioolstelsels aangelegd. Dit type stelsel bestaat uit een apart riool voor het afvalwater en een aparte voorziening voor het hemelwater (zoals hemelwaterriolen en wadi's). In sommige gevallen wordt overtollig grondwater met dezelfde hemelwatervoorziening afgevoerd.

Bij eventuele foutieve aansluitingen kan het afvalwater direct op het oppervlaktewater terecht komen; dit is een belangrijk aandachtspunt bij dit type stelsel.

 

 

Verbeterd gescheiden rioolstelsels 

Meegespoeld vuil van bijvoorbeeld druk wegen komt in het riool terecht. Dit gebeurt aan het begin van een regenbui, na een droge periode. In verbeterd gescheiden stelsels stroomt dit eerste deel water via een koppeling naar het afvalwaterriool en vandaar naar de rioolwaterzuiveringsinstallatie (RWZ). De koppeling is zo gemaakt dat alleen water van het hemelwaterstelsel naar het afvalwaterstelsel kan stromen en niet andersom. In veel gevallen is de scheiding tussen het afvalwater en hemelwaterriool tot in het gemaal doorgevoerd.

Bij dit type stelsels zal (op jaarbasis) toch een aanzienlijk deel van het hemelwater naar de RWZI wordt getransporteerd (tot 75% op jaarbasis), terwijl alleen het eerste deel mogelijk ‘vuil’ is. Door de sturing van de waterstromen met variabele pompcapaciteiten voor het hemelwaterdeel is het mogelijk minder hemelwater naar de RWZI te transporteren. Het eerste vuile deel van het hemelwater wordt nog steeds naar de RWZI afgevoerd.

 

Afkoppelen verhard oppervlak

Een duurzame methode om riooloverstortingen (lozing van overtollig afvalwater op het oppervlaktewater bij regenval) te verminderen is voorkomen dat schoon hemelwater in het gemengde rioolstelsel terecht komt. Het stelsel wordt omgebouwd naar een (deels) gescheiden systeem. Dit kan door hemelwateraansluitingen van het gemengde rioolstelsel 'af te koppelen'. Bijkomend voordelen hiervan zijn de verbetering van het rendement van de rioolwaterzuiverings-installatie door belasting met minder ´dun´ water en vergroting van de afvoercapaciteit van het systeem als geheel.

 

Het afgekoppelde hemelwater is in principe schoon genoeg direct te worden afgevoerd naar oppervlaktewater. Gezien de hoge grondwaterstanden is bodeminfiltratie geen optie. De mogelijkheden zijn afhankelijk van de vervuilingsgraad van de verharding en het gebruik van de ondergrond. Overleg met de waterkwaliteitsbeheerder en netbeheerders kan noodzakelijk zijn. De technische afkoppelmogelijkheden zijn afhankelijk van de plaatselijke bodemopbouw, de grondwaterstand en de aanwezigheid van oppervlaktewater.

 

Individuele behandeling van afvalwater (IBA)

Een IBA is een klein en lokaal afvalwaterzuiveringssysteem dat afvalwater van één of meerdere huishoudens opvangt en zuivert. Een veelvoorkomende type IBA bestaat uit een tank met meerdere compartimenten, zoals bijvoorbeeld een septic tank. In de gemeente Ouder-Amstel zijn alle lozers echter aangesloten op de riolering en komen IBA’s niet voor.

 

Rioolgemaal

Rioolbuizen worden in de regel onder een bepaald afschot aangelegd om een het transport van het afvalwater en de verontreinigingen te bewerkstelligen. Wanneer de riolen circa 3 tot 4 meter diep onder de grond liggen wordt een pomp (rioolgemaal) geplaatst die het water omhoog pompt naar een hoger gelegen deel van het rioolstelsel of over langere afstand transporteert. Dit is doelmatiger dan het riool over grote afstand steeds dieper leggen.

 

Rioolwaterwaterzuiveringsinstallatie (RWZI)

Het ingezamelde afval- en hemelwater wordt via rioolgemalen en persleidingen afgevoerd naar de rioolwaterzuiveringsinstallaties (RWZI) te Amstelveen en het Westelijk havengebied te Amsterdam, waar het wordt gezuiverd.

 

Overnamepunten

In de rioleringszorg is sprake van een tweetal zogenaamde overnamepunten. Allereerst het punt waar de gemeente het stedelijk afvalwater van de particulieren (woningen en bedrijven) overneemt (zie aan het begin van deze bijlage, onder ‘Riolering particulier terrein’. Het tweede punt betreft het punt waar de waterschappen het stedelijk afvalwater overnemen van de gemeente; dit betreft meestal het hoofdrioolgemaal van het waterschap.

 

Riooloverstort

Het is uit kostenoverweging niet doelmatig het gemengde rioolstelsel zo groot te maken dat bij hevige regenval al het hemelwater en verdund afvalwater te bergen en af te voeren naar de RWZI. In het rioolstelsel zijn daarom op verschillende plaatsen riooloverstorten aanwezig. Via een overstort wordt het verdund afvalwater dat niet door de riolering kan worden verwerkt, afgevoerd naar oppervlaktewater. Het oppervlaktewater raakt hierdoor mogelijk vervuild waardoor risico's voor de volksgezondheid, verontreiniging van oppervlaktewater en aantasting van natuurwaarden kunnen optreden.

 

Randvoorziening

Om de omvang en nadelige invloed van riooloverstortingen te verminderen zijn diverse randvoorzieningen aangelegd bij de riooloverstorten. Dit zijn grote ondergrondse bakken of leidingen waarin afvalwater tijdelijk wordt geborgen. De voorzieningen hebben een vormgeving waardoor slib zo veel mogelijk bezinkt, met als effect een vermindering van de vuiluitworp op oppervlaktewater. Doordat tevens extra inhoud aan het rioolstelsel is toegevoegd, daalt ook het aantal riooloverstortingen en de hoeveelheid hiervan. Zodra de bui is overgetrokken en het rioolstelsel weer leeg is, stroomt het hemelwater en het vervuilde slib terug het rioolstelsel in naar de zuivering.

 

Hemelwaterproblematiek

Door de klimaatverandering zullen zware regenbuien vaker en heftiger optreden. In alle KNMI-scenario's nemen de buien toe. Het traditionele rioolstelsel kan deze grote hoeveelheden neerslag niet meteen op alle plaatsen verwerken. Daarvoor is het niet ontworpen. De riolering is bedoeld om bij normale regen het water van wegen en daken af te voeren. Om bij grote hoosbuien schade te voorkomen, zijn aanvullende maatregelen nodig. Bijvoorbeeld infiltratie in de bodem, afvoer naar open water en kortdurende berging op straat of in de openbare ruimte.

 

De particulier kan gestimuleerd en/of gedwongen worden het water op eigen terrein te verwerken. Dat door toename van hevige buien vaker water op straat zal staan is een feit. Wat wel en niet acceptabel is en hoeveel geld aan maatregelen wordt uitgegeven, zijn lokale keuzes die in het GRP worden vastgesteld.

 

Grondwaterproblematiek

Grondwater is hemelwater dat in de bodem zijgt of via kwel omhoog komt. De hoogte hiervan wordt beïnvloedt door de aanwezige grondlagen en/of door de nabijheid van drainage of oppervlaktewater en varieert gedurende het jaar. De hoogte tot waar de grond verzadigd is, is de grondwaterstand (of het grondwaterpeil). Het water eronder noemen we grondwater. Het verschil tussen het maaiveld en de maximale grondwaterstand noemen we de ontwateringsdiepte.

 

 

Als de grondwaterstand in bebouwd gebied langere tijd te hoog of te laag is, kan dit problemen geven. Te lage grondwaterstanden kunnen leiden tot zettingsproblemen (scheuren in woningen en riolering), droogval en aantasting van (houten)paalfunderingen en droogteschade aan planten en bomen. Te hoge grondwaterstanden kunnen leiden tot grondwater en vocht in de kruipruimten met optrekkend vocht in de woningen als gevolg, waardoor gezondheidsproblemen kunnen ontstaan. Grondwateroverlast wordt als structureel beschouwd als er én gedurende meerdere aaneengesloten jaren te hoge grondwaterstanden zijn (boven de referentiewaarden voor de specifieke bestemming van de grond), én er meerdere meldingen zijn over grondwateroverlast.

 

 

Bijlage 2 - Wettelijke kaders en bestaande afspraken

 

B2.1 Wettelijke kaders

 

Grondwet 

Artikel 21

De zorg van de overheid is gericht op de bewoonbaarheid van het land en de bescherming en verbetering van het leefmilieu.

 

Artikel 22, lid 1.

  • 1.

    De overheid treft maatregelen ter bevordering van de volksgezondheid.

Omgevingswet – in ontwikkeling 

De regering wil een groot aantal wetten en regelingen op het gebied van ruimtelijke ordening en milieu bundelen in de Omgevingswet. Het omgevingsrecht bestaat momenteel uit tientallen wetten en honderden regelingen voor ruimte, wonen, infrastructuur, milieu, natuur en water. En allemaal met hun eigen uitgangspunten, procedures en eisen. De wetgeving is daardoor te ingewikkeld geworden voor de mensen die ermee werken. Daardoor duurt het bijvoorbeeld langer voordat een project kan starten.

Op 1 juli 2015 nam de Tweede Kamer het wetsvoorstel voor de Omgevingswet aan. Hiermee is een belangrijke stap gezet naar de vereenvoudiging van het omgevingsrecht. De Omgevingswet brengt zo’n 40 wetten samen. Naar verwachting treedt de wet medio 2019 in werking. Actuele informatie hieromtrent is te vinden op www.rijksoverheid.nl/onderwerpen/omgevingswet.

 

In relatie tot de rioleringszorg is een belangrijke wijziging dat de planverplichting voor het gemeentelijke rioleringsplan komt te vervallen met de inwerkingtreding van de Omgevingswet. Alle gemeenten in de regio AGV zijn van mening dat het GRP een nuttig en noodzakelijk document is waarin een brug wordt geslagen tussen de politiek en de techniek. Naast het vastleggen van doelen, eisen en maatstaven wordt ook de kostendekking voor de planperiode vastgelegd in een politiek besluit. Ook na 2020 blijven de gemeenten GRP’s opstellen. Onder de Omgevingswet wordt dit het Gemeentelijk Riolerings Programma.

 

Wet Milieubeheer (Planverplichting opstellen GRP, art. 4.22) 

Vanuit de Wet milieubeheer hebben gemeenten de verplichting voor het opstellen van een Gemeentelijke Rioleringsplan. In dit plan moeten gemeenten beschrijven hoe zij invulling geven aan hun zorgplichten en wat zij de komende jaren op rioleringsgebied van plan zijn te doen. De Wet schrijft voor waaraan de inhoud van het plan ten minste moet voldoen en met welke partijen afstemming moet plaatsvinden. Het navolgende geeft de meest relevante delen van beide artikelen weer:

 

Artikel 4.22

  • 1.

    De gemeenteraad stelt telkens voor een daarbij vast te stellen periode een gemeentelijk rioleringsplan vast.

  • 2.

    Het plan bevat ten minste:

    • a.

      een overzicht van de in de gemeente aanwezige voorzieningen voor de inzameling en het transport van stedelijk afvalwater als bedoeld in artikel 10.33, alsmede de inzameling en verdere verwerking van afvloeiend hemelwater als bedoeld in artikel 3.5 van de Waterwet, en maatregelen teneinde structureel nadelige gevolgen van de grondwaterstand voor de aan de grond gegeven bestemming zoveel mogelijk te voorkomen of te beperken, als bedoeld in artikel 3.6 van laatstgenoemde wet en een aanduiding van het tijdstip waarop die voorzieningen naar verwachting aan vervanging toe zijn;

    • b.

      een overzicht van de in de door het plan bestreken periode aan te leggen of te vervangen voorzieningen als bedoeld onder a ;

    • c.

      een overzicht van de wijze waarop de voorzieningen, bedoeld onder a en b , worden of zullen worden beheerd;

    • d.

      de gevolgen voor het milieu van de aanwezige voorzieningen als bedoeld onder a, en van de in het plan aangekondigde activiteiten;

    • e.

      een overzicht van de financiële gevolgen van de in het plan aangekondigde activiteiten.

Artikel 4.23

  • 1.

    Het gemeentelijke rioleringsplan wordt voorbereid door burgemeester en wethouders. Zij betrekken bij de voorbereiding van het plan in elk geval:

    • a.

      gedeputeerde staten,

    • b.

      de beheerders van de zuiveringstechnische werken waarnaar het ingezamelde afvalwater wordt getransporteerd, en

    • c.

      de beheerders van de oppervlaktewateren waarop het ingezamelde water wordt geloosd.

  • 2.

    Zodra het plan is vastgesteld, doen burgemeester en wethouders hiervan mededeling door toezending van het plan aan de in het eerste lid, onder a tot en met c, genoemde instanties, en Onze Minister.

  • 3.

    Burgemeester en wethouders maken de vaststelling bekend in één of meer dag- of nieuwsbladen die in de gemeente verspreid worden. Hierbij geven zij aan op welke wijze kennis kan worden gekregen van de inhoud van het plan.

Wet Milieubeheer (Zorgplicht voor inzameling en transport van afvalwater, art. 10.33)

Vanuit de Wet milieubeheer heeft de gemeente een zorgplicht voor de doelmatige inzameling en transport van stedelijk afvalwater dat vrijkomt bij de binnen het grondgebied van de gemeente gelegen percelen. In principe wordt hiermee een vuilwaterriool bedoelt dat het stedelijk water inzamelt en transporteert naar een rioolwaterzuiveringsinstallatie van het waterschap.

 

De gemeente is vrij vanuit doelmatigheidsoverwegingen een andere voorziening te kiezen dan vuilwaterriolering, mits eenzelfde graad van bescherming van het milieu wordt bereikt (bijvoorbeeld een lokale zuiverende voorziening).

 

Waterwet (Zorgplicht voor doelmatige inzameling en verwerking van hemelwater, art. 3.5) 

Vanuit de Waterwet heeft de gemeente een zorgplicht voor doelmatige inzameling en verwerking van hemelwater, dat perceel eigenaren redelijkerwijs niet zelf kunnen verwerken. De perceel eigenaar is verantwoordelijk voor hemelwater op eigen terrein. De zorgplicht legt de nadruk op een eerste verantwoordelijkheid van de perceel eigenaar om het hemelwater zoveel mogelijk zelf te verwerken. Als het redelijkerwijs niet mogelijk is voor de perceel eigenaar om het hemelwater zelf te verwerken, treedt de gemeentelijke zorgplicht in werking. Hierbij gaat het om het aanbieden van een voorziening.

 

Waterwet (Zorgplicht voor voorkomen/beperken van schade door grondwateroverlast, art. 3.6)

Vanuit de Waterwet heeft de gemeente tevens een zorgplicht voor het in het openbaar gemeentelijke gebied treffen van maatregelen om structureel nadelige gevolgen van de grondwaterstand voor de aan de grond gegeven bestemming zoveel mogelijk te voorkomen of te beperken. Voor zover gemeentelijke maatregelen doelmatig zijn en het niet de verantwoordelijkheid van het waterschap of de provincie is om maatregelen te nemen.

De zorgplicht heeft het karakter van een inspanningsplicht. Dat wil zeggen dat de gemeente niet verantwoordelijk is voor handhaving van het grondwaterpeil in bebouwd gebied. De zorgplicht werkt niet met terugwerkende kracht en leidt niet tot aansprakelijkheid voor schadesituaties uit het verleden. De wetgeving geeft aan dat de burger met grondwateroverlast bij de gemeente met zijn probleem terecht moet kunnen. De gemeente is het eerste aanspreekpunt (loket) voor de burger. De gemeente is echter geen probleemhouder en ook niet aansprakelijk.

 

Wet op de Informatie-uitwisseling Ondergrondse Netten

Per 1 juli 2008 is de 'Wet op de Informatie-uitwisseling Ondergrondse Netten' (ook bekend als de 'Grondroerdersregeling' of WION-regeling) in werking getreden. Het doel van de wet is het voorkomen van graafschade en de verschillende verantwoordelijkheden juridisch vast te leggen. Voor het hoofdnet geldt een overgangsperiode van 1 jaar. Vanaf 1 juli 2010 dient het hoofdnet digitaal uitwisselbaar te zijn met KLIC-online. Voor de gemeente betekent dit dat haar gegevens nauwkeurig (tot 1m aan weerszijden van de leiding) up-to-date en digitaal uitwisselbaar dienen te zijn.

 

Europese Kaderrichtlijn Water

Een goede waterkwaliteit vinden we belangrijk in Nederland. Omdat water zich weinig aantrekt van landsgrenzen, zijn internationale afspraken nodig. Sinds eind 2000 is daarom de Europese Kaderrichtlijn Water (KRW) van kracht. Deze moet ervoor zorgen dat de kwaliteit van het oppervlakte- en grondwater in Europa in 2015 op orde is, met de mogelijkheid toe uitstel tot 2017.

 

De concrete implementatie van de KRW vindt plaats in stroomgebiedsbeheerplannen. In deze plannen zijn de waterlichamen aangewezen, zijn doelen afgeleid voor de ecologische en chemische toestand. Ook zijn maatregelen benoemd om de doelen te bereiken, per waterlichaam en voor gebieden als geheel. De gemeente Ouder-Amstel valt onder het deelstroomgebied Rijn-West. Detailinformatie is te vinden op de website www.helpdeskwater.nl/onderwerpen/wetgeving-beleid/kaderrichtlijn-water/uitvoering-nationaal/rijn-west/

 

Uiteindelijk gaat het bij de KRW om de uitvoering - om het effect in het veld. Het pakket maatregelen omvat bijvoorbeeld de aanleg van natuurvriendelijke oevers, maatregelen voor herstel van verdroging, het saneren van bodemverontreiniging bij drinkwaterwinning en het saneren van ongezuiverde lozingen. Het aantal oppervlaktewaterlichamen met een slechte of ontoereikende ecologische waterkwaliteit zal afnemen van 80% in 2008 tot 49% in 2015 en slechts 4% in 2027. In Rijn-West zijn tot en met 2015 meer dan 2000 maatregelen vastgelegd in de plannen. Het is een uitdaging deze allemaal gerealiseerd te krijgen. De maatregelen in het deelstroomgebied hebben een plaats gekregen in het Waterbeheerplan van het waterschap Amstel, Gooi en Vecht en de Watervisie 2021 en het Uitvoeringsprogramma van de provincie Noord-Holland.

 

2. KRW kaarten en maatregelen: 2a KRW waterlichamen

Bron: waterbeheerplan 2016-2021 – waterschap Amstel, Gooi en Vecht (bijlage 2 en 2a)

 

2. KRW kaarten en maatregelen: 2b Ecologische toestand 2015

Bron: waterbeheerplan 2016-2021 – waterschap Amstel, Gooi en Vecht (bijlage 2 en 2b)

 

Samenwerken aan een samenhangend waterbeheer (Waterwet)

De Waterwet zorgt voor een duidelijke afbakening met de Wet milieubeheer. In tegenstelling tot z'n voorganger de Wvo, is de Waterwet nergens van toepassing op lozingen op rioolstelsels, vuilwaterriolen, hemelwaterriolen en ontwateringstelsels (de zogeheten indirecte lozingen). De Waterwet is wèl van toepassing op lozingen die direct in het oppervlaktewater plaatsvinden (bijvoorbeeld een lozing van een bedrijfshemelwaterriool op oppervlaktewater) en lozingen rechtstreeks op de RWZI. Alle overige lozingen vallen onder de Wet milieubeheer en in sommige gevallen nog onder de Wet Bodembescherming. Ondanks dat de waterbeheerder hiervoor geen bevoegd gezag is, heeft zij nog wel een aantal bevoegdheden.

 

De Waterwet verplicht gemeente en waterbeheerder dan ook samen te werken aan een samenhangend waterbeheer, waarbij de nodige afstemming van taken en bevoegdheden moet plaatsvinden. Het vGRP vervult hierin een belangrijke functie!

 

Rioolheffing (Gemeentewet art. 228a)

Vanuit de Gemeentewet kunnen gemeenten onder de naam rioolheffing een belasting heffen voor de kosten die verbonden zijn aan de uitvoering van de drie zorgplichten.

 

Bouwbesluit 2012

Vanaf 1 april 2012 is het Bouwbesluit 2012 in werking. De voor de riolering relevante voor- schriften in dit herziene besluit gaan over de aanwezigheid en de kwaliteit van de gebouw- riolering. Dit is het deel van de afvoerleidingen voor huishoudelijk afvalwater en hemelwater dat zich binnen en aan het gebouw bevindt. De lozingstoestellen zelf zoals een wastafel of wc-pot vallen daar niet onder. Daarnaast bevat het nieuwe Bouwbesluit de rioleringsvoorschriften die voorheen in de gemeentelijke bouwverordening stonden. Naast de bouwtechnische eisen aan de uitvoering, gaat het hierbij om de regels voor de (bouwtechnische) mogelijkheid om op het openbare riool aan te sluiten. De voorschriften in het Bouwbesluit 2012 moeten voorkomen dat een nadelige situatie voor de gezondheid ontstaat.

De voorschriften in het Bouwbesluit 2012 zijn landelijk uniform. Met de inwerkingtreding daarvan op 1 april 2012 vervallen de tot nu toe geldende rioleringsvoorschriften in gemeentelijke bouwverordeningen. Een gemeente kan dan geen technische eisen anders dan op basis van het Bouwbesluit meer stellen aan een aansluiting voor huishoudelijk afvalwater of hemelwater, ook niet via een aansluitverordening.

Het Bouwbesluit richt zich op het gehele perceel, dus ook over de buitenriolering vanaf het gebouw tot aan de perceelsgrens. Het Bouwbesluit 2012 gaat niet over perceelaansluitleidingen die in het openbare terrein liggen, omdat het veronderstelt dat de gemeente die beheert.

 

Via de Stichting RIONED is een Infoblad Bouwbesluit beschikbaar, waarin inhoudelijk wordt ingegaan op het actuele Bouwbesluit.

 

Wet algemene bepalingen omgevingsrecht (Wabo)

Een 26-tal vergunningen is opgegaan in 1 vergunning: de omgevingsvergunning. Deze vergunning kan bij één loket worden aangevraagd. Burgemeester en wethouders zijn het bevoegd gezag, behalve voor de activiteiten van provinciaal of nationaal belang die worden benoemd in het Besluit Omgevingsrecht. Het bevoegd gezag draagt zorg voor de procedurele en inhoudelijke samenhangende beoordeling van alle betrokken aspecten. Voor de activiteiten waarvoor een watervergunning nodig is, is de (grond)waterbeheerder, het waterschap, de provincie of Rijkswaterstaat het bevoegd gezag, maar kan de vergunning worden aangevraagd bij de gemeente. In dat geval heeft de gemeente de coördinatieplicht.

 

Lozingseisen afvalwater op de riolering

Door de inwerkingtreding van de Waterwet is de wet- en regelgeving omtrent lozingen op oppervlaktewateren gewijzigd. De lozingen vanuit rioolstelsel werden voorheen geregeld via de Wet verontreiniging oppervlaktewateren (Wvo). Door de Waterwet is deze te komen vervallen en vallen de lozingen onder het Besluit lozingen buiten inrichtingen. Dit betekent dat er vanaf 1- 11-2013 geen vergunningsplicht meer geldt en dat de lozingen vallen de algemene bepalingen van het besluit.

 

Definitie afvalwater: huishoudelijk - en bedrijfsafvalwater, en overig water waarvan men zich wil ontdoen.

Om zowel het functioneren van de riolering én de RWZI als de bescherming van de omgeving (bodem en oppervlaktewater) te waarborgen kan de gemeente eisen stellen aan hoeveelheid en samenstelling van het door de particulier te lozen afvalwater. Voor lozingen zijn of worden verschillende lozingenbesluiten van toepassing (amvb's). Alle lozingsvoorschriften kennen een zorgplicht voor de lozer. Die mag niets doen waarvan hij kan verwachten dat het problemen oplevert voor het riool, de zuivering of het (water)milieu. Aanvullende voorschriften staan in de lozingsvoorschriften. Per doelgroep is (respectievelijk komt) er een amvb:

  • 1.

    Voor particulieren: Regels voor het lozen op de riolering, de bodem en het oppervlaktewater zijn gebundeld in het Besluit lozing afvalwater huishoudens dat op 1 januari 2008 in werking is getreden.

  • 2.

    Voor bedrijven: Op 1 januari 2008 is het Activiteitenbesluit in werking getreden waarin voor bedrijven het lozen op de riolering wordt geregeld. Voor landbouwbedrijven zijn/worden de algemene regels opgenomen in het Activiteitenbesluit (www.infomill.nl).

  • 3.

    Lozen vanuit openbaar gebied: Dit is per 1 juli 2011 geregeld in het Besluit lozing afvalwater buiten inrichtingen (BLBI). Met dit besluit wordt ook het lozen dat plaatsvindt door of namens de gemeente in het kader van de uitvoering van de gemeentelijke zorgplichten geregeld. Dat betreft de zorgplicht voor stedelijk afvalwater op grond van artikel 10.33 Wm, en de zorgplichten voor afstromend hemelwater en grondwater op grond van artikel 3.5 en 3.6 Waterwet. Het gemeentelijk rioleringsplan (GRP) heeft hierbij een centrale rol. Het gaat hier om de volgende gemeentelijke lozingen:

    • -

      vanuit een schoonwaterstelsel in de bodem of het oppervlaktewater (artikel 3.14)

    • -

      vanuit overstorten van vuilwaterstelsels (artikel 3.15)

    • -

      vanuit alternatieve systemen, volgens artikel 10.33, tweede lid, Wm, in de bodem of het oppervlaktewater (artikel 3.16).

Voorwaarde in deze artikelen is dat de voorzieningen worden genoemd in en beheerd volgens het GRP en het lozen conform het GRP wordt uitgevoerd.

 

Lozingseisen hemel- en grondwater

Vanuit de Wet milieubeheer hebben gemeenten de mogelijkheid om via een verordening regels te stellen aan het lozen van hemelwater en grondwater. Zij kunnen met de verordening dus voorschrijven dat particulieren hemelwater en/of grondwater op eigen perceel moeten verwerken of gescheiden aan de gemeente moeten aanleveren. De verordening kan geen eisen stellen aan het lozen van stedelijk en/of huishoudelijk afvalwater. Gemeenten zijn niet verplicht om een verordening op te stellen.

 

Voorkeursvolgorde omgang afvalwater (Wet milieubeheer art.10.29a)

Ter bescherming van het milieu is in de Wet milieubeheer een voorkeursvolgorde voor de omgang met afvalwater opgenomen:

  • 1.

    Het ontstaan van afvalwater wordt voorkomen of beperkt;

  • 2.

    Verontreiniging van afvalwater wordt voorkomen of beperkt;

  • 3.

    Afvalwaterstromen worden gescheiden gehouden, tenzij het niet gescheiden houden geen nadelige gevolgen heeft voor een doelmatig beheer;

  • 4.

    Huishoudelijk afvalwater en, voor zover doelmatig en kostenefficiënt, afvalwater dat daarmee wat biologische afbreekbaarheid betreft overeenkomt, wordt ingezameld en afgevoerd naar een RWZI;

  • 5.

    overige afvalwater wordt zo nodig na zuivering bij de bron:

    • a.

      hergebruikt

    • b.

      in het milieu gebracht

    • c.

      afgevoerd naar een RWZI

Deze voorkeursvolgorde is echter geen dogma. De uiteindelijke afweging zal lokaal moeten worden gemaakt, waarbij doelmatigheid van de oplossing centraal moet staan. Indien daartoe argumenten aanwezig zijn, kan van deze volgorde worden afgeweken.

 

B2.2 Landelijke afspraken

 

Bestuursakkoord Water 2011

Rijk, provincies, gemeenten, waterschappen en drinkwaterbedrijven hebben op 23 mei 2011 het Bestuursakkoord Water 2011 ondertekend. In het akkoord staan concrete afspraken over een doelmatiger waterbeheer. De belangrijkste afspraken in het Bestuursakkoord Water gaan over:

  • Waterveiligheid: Nederland beschermen tegen overstromingen en wateroverlast door neerslag;

  • Beschermen van waterkwaliteit en zoetwatervoorziening;

  • Doelmatig samenwerken in de waterketen.

Doelmatigheid is de term die centraal staat in het Bestuursakkoord Water 2011, en heeft een drieledig doel:

  • 1.

    Kosten: het beperken van de stijging van de lokale heffingen (minder meerkosten);

  • 2.

    Kwaliteit: het sturen op resultaat;

  • 3.

    Kwetsbaarheid: het zorgen voor voldoende en vakkundig personeel

Het bestuursakkoord vraagt van gemeente en waterschap invulling te geven aan het de stedelijke wateropgave, doelmatig samenwerken in de waterketen, het thema waterveiligheid en de bescherming van de waterkwaliteit en de zoetwatervoorziening. Het gemeentelijke rioleringsplan geeft de lokale invulling aan de samenwerking in de waterketen en biedt de mogelijkheid om invulling, in de vorm van beleid en maatregelen, te geven aan de genoemde thema's.

 

De samenwerking is niet geheel vrijblijvend. Bij onvoldoende voortgang en resultaat bij de afspraken over de waterketen kan een interventieladder worden toegepast, met zowel bestuurlijke als juridische onderdelen. Als stok achter de deur kunnen maatregelen worden ingezet van stimuleren en visitaties tot dwingend toezicht.

 

In het Bestuursakkoord Water is eveneens afgesproken een driejaarlijkse benchmark uit te voeren. De maatschappij vraagt dat overheden en maatschappelijke organisaties publiekelijk verantwoording afleggen voor hun beleid en functioneren. Drinkwaterbedrijven, waterschappen en gemeenten brengen hun doeltreffendheid en doelmatigheid middels benchmarking in beeld en verbeteren deze waar mogelijk.

 

Stedelijke wateropgave (Nationaal Bestuursakkoord Water 2003 en NBW act. 2008)

In 1999 is de Commissie Waterbeheer 21e eeuw ingesteld. Aanleiding waren de hoge rivierstanden in 1993 en 1995, de overlast door extreme neerslag in 1998 en de verwachte klimaatverandering. Het advies van deze commissie staat aan de basis van het Nationaal Bestuursakkoord Water (hierna NBW) dat in 2003 door Rijk, provincies (IPO), gemeenten (VNG) en waterschappen (Unie van Waterschappen) is ondertekend.

 

Het NBW heeft tot doel om in de periode tot 2015 het watersysteem in Nederland op orde te krijgen en op orde te houden. Om zodoende de kans op wateroverlast in het stedelijk gebied tot een minimum te beperken. In het NBW is daarom afgesproken de Stedelijke Wateropgave in beeld te brengen.

 

De stedelijke wateropgave bestaat uit de aanpak van wateroverlast door overstromend oppervlaktewater; de aanpak van de wateroverlast in relatie tot rioolcapaciteit en de aanpak van grondwateroverlast. Hierdoor is de stedelijke wateropgave een gezamenlijke verantwoordelijkheid voor zowel het waterschap als de gemeente. Door samen te werken aan de stedelijke wateropgave kunnen meerdere knelpunten integraal worden opgelost.

 

Waterkwaliteitsspoor

In het Nationaal Bestuursakkoord Water (NBW) is het ‘op orde’ krijgen van de waterkwaliteit één van de kernopgaven. Het huidige regeerakkoord stelt: ‘de kwaliteit van oppervlaktewater wordt verbeterd, met name in stedelijke gebieden.

 

De kern voor het waterkwaliteitsspoor is het ‘op orde’ krijgen van de waterkwaliteit in het stedelijk gebied. Met ‘op orde’ wordt bedoeld dat door het waterschap en de gemeente gezamenlijk geconstateerde knelpunten in het oppervlaktewater zijn opgelost.

Uitgangspunten daarbij zijn:

  • -

    de stedelijke oppervlaktewaterkwaliteit is in 2027 ‘op orde’;

  • -

    gemeenten en waterschappen trekken in de aanpak gezamenlijk op;

  • -

    relevante invloeden worden meegenomen: alle emissies op het stedelijke oppervlaktewater (afvalwaterketen en andere emissies) gebruik, inrichting, beheer en onderhoud;

  • -

    de doelen uit de visie voor 2027 betreffende de chemische waterkwaliteit en gezamenlijke streefbeelden ten aanzien van beleving en/of gebruik van water worden meegenomen in de afwegingen voor een maatregelenpakket;

  • -

    maatregelen zijn haalbaar en betaalbaar.

Door adequate samenwerking kunnen gemeenten en waterschappen de wettelijk geboden beleidsvrijheid benutten om het afvalwaterbeheer vorm te geven naar de wettelijke eisen, naar de wensen van burgers, bedrijven en naar de fysieke leefomgeving. Dit vraagt om een geheel andere manier van werken.

Het Bestuursakkoord Water vat de kern van de nieuwe manier van samenwerking als volgt samen: ‘de waterketen wordt beheerd door gemeenten en waterschappen als waren zij één beheerder’.

 

Nationaal Deltaprogramma

Het Nationaal Deltaprogramma staat voor een veilig én aantrekkelijk Nederland, nu en in de toekomst. Het klimaat verandert. Het KNMI stelt in de nieuwe klimaatscenario’s 2014 dat Nederland in de toekomst te maken krijgt met meer en intensievere buien, 25 tot 80 centimeter zeespiegelstijging in 2085, drogere zomers en meer regionale verschillen. Deze scenario’s vormen de basis voor de uitwerking van het waterbeleid en zijn bijvoorbeeld gebruikt bij de uitwerking van het Deltaprogramma. Daarmee zijn de scenario’s een integraal onderdeel van het waterbeheerplan.

 

Op Prinsjesdag 2014 hebben VNG, Unie van Waterschappen, IPO en het Rijk de Bestuursovereenkomst Deltaprogramma vastgesteld. Deze overeenkomst is een aanvulling op het Bestuursakkoord Water.

 

Vanaf 1 januari 2015 is de nieuwe organisatie Deltaprogramma operationeel, inclusief bijbehorende interbestuurlijke verbanden en hun ondersteuning in de deelgebieden. De deltacommissaris brengt jaarlijks een voorstel uit voor de programmering van maatregelen in het Deltaplan Waterveiligheid en het Deltaplan Zoetwater.

 

Het Deltaprogramma voor 2018 is op Prinsjesdag 2017 verschenen en bevat voor het eerst een Deltaplan Ruimtelijke Adaptatie: een gezamenlijk plan van gemeenten, waterschappen, provincies en het Rijk dat de aanpak van wateroverlast, hittestress, droogte en de gevolgen van overstromingen versnelt en intensiveert. Dit is vertaalt in een 7-tal ambities, om de voornemens ook daadwerkelijk ingevuld te krijgen.

 

 

Alle gemeenten in Nederland moeten de komende twee jaar bijvoorbeeld een stresstest doen om knelpunten op het gebied van onder meer wateroverlast in kaart te brengen. Met het Deltaplan moet Nederland zo goed mogelijk worden voorbereid op de gevolgen van klimaatverandering. Het streven is dat klimaatbestendig en waterrobuust inrichten in 2020 al de normaalste zaak van de wereld is, zodat Nederland in 2050 inderdaad klimaatbestendig is ingericht.

Naast de problemen die kunnen ontstaan door hevige regenval, gaat het overigens ook om de gevolgen van andere weersextremen, zoals uitzonderlijke droogte, hitte en overstromingen. Ook hier moeten alle gemeenten zich zo goed mogelijk op voorbereiden.

 

In de regio Amstel, Gooi en Vecht wordt ingezet op de realisatie van klimaatbestendige steden. Voor dit ontwikkeltraject zijn geen concrete afspraken; wel is klimaatbestendig waterbeheer een agendapunt in het regionale bestuurlijke overleg tussen de gemeenten en het waterschap Amstel, Gooi en Vecht (BOWA).

 

Ruimtelijke Adaptatie is bij uitstek een dossier dat de gezamenlijke inzet nodig heeft van overheden, bedrijfsleven, maatschappelijke organisaties en samenleving. Het grootste deel van onze fysieke leefomgeving is in bezit van particulieren en bedrijven. Dat zijn niet alleen eigenaren van publieke ruimtes, maar ook de eigenaren en beheerders van grote dakoppervlaktes, beheerders van infrastructuur en de eigenaren van particulier onroerend goed. Al deze stakeholders staan voor de opgave om klaar te zijn voor een toekomst met heviger regenval, meer droogte en hittestress.

 

Het Nederlandse klimaatbeleid moet veel concreter en meer actiegericht worden. Alleen dan het bedrijfsleven goed aanhaken. Daarom moet er een Deltaplan Energie&Klimaat komen, onder één coördinerende minister; de minister van Economische Zaken. Dat stellen VNO-NCW, MKB- Nederland en LTO Nederland. Of, hoe en wanneer dit Deltaplan er komt is aan het te vormen kabinet in 2017.

 

Notitie Riolering van de commissie BBV

De taak van de commissie Besluit begroting en verantwoording provincies en gemeenten (hierna: BBV) is om een eenduidige toepassing van het BBV te bevorderen. Het navolgende is een de samenvatting hieruit:

 

Basisregels:

  • Investeringen in het riool moeten worden geactiveerd, het gaat om investeringen met economisch nut (artikel 59 BBV);

  • Ter bestrijding van de kosten van de watertaken kan de gemeente een rioolheffing in rekening brengen (228a Gemeentewet). Wat wel en wat niet onder de kosten valt is primair een fiscaal vraagstuk. De handreiking kostentoerekening leges en tarieven (te vinden op www.minBZK.nl) geeft hiervoor waardevolle handvatten;

  • In het tarief kan een egalisatiebedrag meegenomen worden voor toekomstig grootonderhoud. Egaliseren is mogelijk op grond van 44.1c BBV. (De onderhoudsvoorziening krijgt bij vorming uit het tarief het karakter van een 44.2-voorziening).

Specifieke regels:

  • In het tarief mogen spaarbedragen voor toekomstige vervangingsinvesteringen worden meegenomen. Deze worden als last in de exploitatie toegevoegd aan een voorziening ex. artikel 44.2 BBV;

  • Bij realisatie van de vervangingsinvestering wordt deze voor het volle bedrag geactiveerd. Het bedrag voor toekomstige vervangingsinvesteringen in de rioolvoorziening kan op het te activeren bedrag in mindering worden gebracht (afboeking in de balanssfeer).

  • Ook wanneer “idealiter” de jaarlijkse spaarbedragen precies gelijk zijn aan de jaarlijkse vervangingsinvesteringen moeten vanwege de wettelijke regels de “spaarbedragen” als last worden geboekt en wordt vervolgens de daarmee gevormde voorziening afgeboekt op de geactiveerde vervangingsinvesteringen.

  • Wanneer van een vervangingsinvestering een boekwaarde resteert, hoeft hierop niet te worden afgeschreven maar kunnen bedragen voor vervanging die in latere begrotingsjaren worden ontvangen, op de boekwaarde worden afgeboekt. De gemeente kan er echter ook voor kiezen om de kapitaallasten van de resterende boekwaarde in het tarief op te nemen.

Overige:

  • de geraamde BTW mag worden meegenomen in de berekening van de tarieven.

Richtlijnen van de commissie BBV

Hieronder volgt een overzicht van de richtlijnen van de commissie BBV die met ingang van het jaar 2008 integraal van toepassing zijn op ‘riolering’. De richtlijnen van de commissie worden onderscheiden naar I) stellige uitspraken en II) aanbevelingen.

 

  • I.

    Stellige uitspraken

Uit oogpunt van transparantie en ten behoeve van de periodieke bijstelling van het gemeentelijk rioleringsplan (GRP) is van belang dat de voorziening onderhoud resp. vervanging in de begroting en in de jaarrekening zodanig wordt toegelicht dat de relatie is te leggen met het GRP en inzicht kan worden geboden in het onderscheid onderhoud c.q. spaarcomponent vervangingsinvesteringen.

De gemeente kan niet meer in mindering brengen op de boekwaarde van vervangings- investeringen dan aan spaarbedragen voor toekomstige vervangingsinvesteringen

bijeen gespaard is in de voorziening. Uit oogpunt van efficiency kan de gemeente die een riooltarief in rekening brengt één rioolvoorziening op grond van art 44.2 BBV aanhouden waarin dan zowel de egalisatiebijdragen voor het toekomstig groot onderhoud als de spaarbedragen voor toekomstige vervangingsinvesteringen zitten. Het gemaakte onderscheid is nodig omdat de spaarcomponent voor toekomstige vervangingsinvesteringen in mindering gebracht worden op de aanschafwaarde van de betreffende investeringen (afboeking in de balanssfeer) en de pieklasten grootonderhoud rechtstreeks op de voorziening wordt afgeboekt.

 

  • II.

    Aanbevelingen

De commissie BBV doet de aanbeveling om –als een gemeente een riooltarief hanteert - de gerealiseerde resultaten riolering te muteren op een bestemmingsreserve ‘riolering’, het geeft inzicht in de mate waarin de planning wordt gerealiseerd, en doet de aanbeveling de kaders ervoor vast te leggen in de verordening ex artikel 212 van de Gemeentewet.

 

B2.3 Regionale afspraken

 

Duo+

Duo+ is sinds januari 2016 de bedrijfsvoeringsorganisatie van en voor Ouder- Amstel, Diemen en Uithoorn. De afdeling Buurt beheert de openbare ruimte van de gemeenten Uithoorn en de gemeente Ouder-Amstel. Tevens stelt Duo+, op verzoek vanuit één van de gemeenten, de beleidsplannen op.

 

Bestuurlijk Overleg Water AGV (BOWA)

 

Door de komst van het Bestuursakkoord Water zijn de gemeenten, waterschappen en de een aantal drinkwaterbedrijven steeds meer gaan samenwerken. In onze regio vindt dit plaats via het Bestuurlijk Overleg Water AGV (Amstel, Gooi en Vecht) gebied (BOWA). Vanuit het BOWA is een reeds concreet invulling gegeven aan de doelstellingen vanuit het Bestuursakkoord Water en de Europese kader Richtlijn Water door het opstellen van gezamenlijke handboeken en factsheets.

In de BOWA-Mantelovereenkomst ‘Samenwerken in de afvalwaterketen’ uit 2013 hebben gemeenten en Waterschap Amstel, Gooi en Vecht zich, in aansluiting op het Bestuursakkoord Water, gecommitteerd om tot 2020 intensief samen te gaan werken met als doel de kwaliteit te vergroten, kosten te besparen en de kweDtsbaarheid van de afvalwaterketen te verminderen

 

Isariz

Isariz is het ambtelijk overlegorgaan ‘Intergemeentelijke Samenwerking Rioleringszorgtaak’. Dit is de ambtelijke variant van BOWA.

 

Waterbeheerplan 2016-2021 waterschap Amstel, Gooi en Vecht

Het waterbeheerplan (WBP) is het (verplichte) plan van het waterschap waarin het zijn visie, beleid en projecten voor de komende vijf jaar presenteert. Het plan is interactief gepresenteerd op de website http://www.agv.nl/plannen/waterbeheerplan-2016-2021/

 

Het waterschap heeft de zorg voor het regionale watersysteem: optimale bescherming tegen overstromingen, beschikbaarheid van schoon water en efficiënte zuivering van afvalwater.

Belangrijke kernwoorden daarbij zijn ‘duurzaam’ en ‘kosteneffectief’. Het waterschap vindt de intrinsieke waarde van water als beeldbepalend element in de leefomgeving heel belangrijk: water is ook om van te genieten! Het waterschap wil bijdragen aan de belevingswaarde door aandacht voor recreatie, landschap en cultuurhistorie. Het waterschap wil bereiken dat mensen zich bewuster worden van het belang van een veilig en ‘robuust’ (toekomstbestendig) watersysteem. Het waterschap wil open en toegankelijk zijn, actief naar samenwerking zoeken en de dialoog aangaan. Het waterschap is medefinancier van de programma’s van Wereld Waternet en draagt daarmee bij aan het oplossen van wereldwijde waterproblemen.

 

De strategische uitgangspunten zoals verwoord in het Waterbeheerplan 2016-2021 voor de langere termijn (2030) zijn:

  • samenbrengen van alle regionale waterbeheertaken in één regionale waterautoriteit;

  • een klimaatbestendig en waterrobuust gebied;

  • steden die beter bestand zijn tegen extreme regenbuien, wateroverlast, overstromingen, hitte en droogte;

  • een omgeving die zich bewust is van waterveiligheid;

  • water dat overal in het gebied geschikt is voor de vastgestelde gebruiksfunctie;

  • gebruik van afvalwater als grondstof en bron voor energie en water;

  • gebruik van vernieuwende oplossingen vanuit samenwerking met kennisinstellingen, andere overheden en marktpartijen;

  • vermindering van regeldruk en vergroting van kosteneffectiviteit;

  • afstemming over alle watertaken per stroomgebied;

  • behoud van de zelfstandige bevoegdheid.

Met dit waterbeheerplan legt het waterschap vast hoe het invulling geeft aan de zorg voor de kerntaken. Het Waterbeheerplan 2016-2021 bouwt voort op het plan voor de periode 2011-2015 en houdt tegelijk rekening met nieuwe ontwikkelingen. Uit de evaluatie van het plan voor 2010 - 2015 blijkt dat het waterschap, ondanks grote bezuinigingsoperaties van het Rijk, de eigen doelstellingen grotendeels heeft weten te bereiken. Voor de komende periode heeft het waterschap per thema een aantal stippen aan de horizon gezet: de wensbeelden voor 2030. Dit is gedaan voor waterveiligheid, voldoende water, schoon water, waterketen, op en om het water, samenwerking, kennisontwikkeling en innovatie.

 

In het kader van het gemeentelijk Rioleringsplan zijn, naast de samenwerking in BOWA en Isariz, met name de volgende delen van de visie en ambities op Schoon water en de Waterketen relevant:

 

Schoon water

Het waterschap wil ervoor zorgen dat al het water in het beheergebied geschikt is voor de vastgestelde gebruiksfunctie: voor veeteelt en akkerbouw, als grondstof voor drinkwater, voorrecreatie en visserij, als proceswater en voor de natuur. Doel is dat inwoners en bezoekers het water in het gebied ervaren als een verrijking van de omgeving. Van geen van de wateren mag de toestand achteruitgaan. Met verdere optimalisatie van afvalwaterzuivering, planmatig (bagger)onderhoud en sturing op waterstromen gaat het waterschap onder meer de fosfaat- en stikstofbronnen terugdringen.

 

Waterketen

In 2030 bestaat de term afvalwater in de visie van het waterschap niet meer. Water in de waterketen is een bron voor grondstoffen, energie en water. Het waterschap richt de waterketen in als een grondstoffen-, energie- en waterfabriek. Terugwinning van grondstoffen en energie uit afvalwater gebeurt waar dit het meest efficiënt is: bij de bron, in het transportsysteem en/of op de (centrale) zuivering. Het waterschap zorgt ervoor dat het stedelijk afvalwater volgens de gemaakte afspraken wordt afgenomen, vervoerd en gezuiverd. Dat gebeurt op een efficiënte manier en volledig conform de effluenteisen. Om te kunnen voldoen aan de lozingseisen wordt de komende periode hard gewerkt aan onder meer de effectiviteit van rwzi’s.

 

Keur

De Keur is een specifiek op het beheergebied van het waterschap afgestemde verordening. In de Keur, met de daarbij behorende uitwerkingen, geeft het waterschap aan hoe gebruikers van het watersysteem om dienen te gaan met de wateren, oevers, keringen en waterkunstwerken in het beheergebied van het waterschap. De Keur bevat de geboden en verboden voor wateren en waterstaatswerken met als doel de waterstaat in zijn algemeenheid veilig te stellen.

 

In het Keurbesluit Vrijstellingen heeft AGV beschreven onder welke voorwaarden bepaalde activiteiten zijn toegestaan, zonder dat een Keurvergunning nodig is. AGV beoordeelt de vergunningaanvraag en bepaalt de vergunningsvoorwaarden met behulp van de Beleidsregels Keurvergunningen.

 

Legger

een Legger is een Juridisch instrument waarin de ligging en vereiste afmetingen van watergangen en waterkeringen zijn vastgelegd. In de legger worden de onderhoudsplichtigen en onderhoudsverplichtingen vermeld). Doel is om te bepalen of alles zich in de juiste staat bevindt, met name of er geen belemmeringen zijn in de aan- en afvoer van water

 

Handboek Hemelwater (waterschap Amstel, Gooi en Vecht - 2009)

Met het Handboek Hemelwater heeft het bestuur van het waterschap AGV haar visie op afvloeiend hemelwater in november 2008 vastgesteld. Het waterschap wil de kennis die is opgebouwd op het gebied van omgaan met regenwater, de wet- en regelgeving en het watersysteem graag met gemeenten en stadsdelen delen. Het waterschap heeft gemeente uitgenodigd de in het handboek verwoorde visie op afvloeiend hemelwater te betrekken bij de uitwerking van het hemelwaterbeleid binnen de gemeente in bijvoorbeeld (verbreed) gemeentelijk rioleringsplan, het gemeentelijke waterplan, de structuurvisie, de watertoetsen of in andere relevante documenten.

 

Handboek Stedelijke Grondwater (waterschap Amstel, Gooi en Vecht - 2009)

De handreiking is met name bedoeld voor gemeenten in het beheergebied van het waterschap AGV en wordt aangereikt als hulpmiddel bij de invulling van de gemeentelijke grondwaterzorgplicht. Gemeenten zijn uiteraard vrij om een eigen invulling te geven aan de grondwaterplicht.

 

Handboek Stedelijk afvalwater (2013)

In 2013 is het Handboek Stedelijk Afvalwater opgesteld. Het handboek is een gezamenlijk product van gemeentenen het waterschap in de regio AGV. Dat heeft tot doel een leidraad te zijn voor effectieve samenwerking in de afvalwaterketen, resulterend in een breed gedragen riolerings- en waterbeheerplan. Het Handboek Stedelijk Afvalwater geeft handvatten voor het te doorlopen proces, en waar mogelijk getalsmatige voorwaarden en criteria, om te komen tot goede afspraken tussen de gemeente en het waterschap.

 

Handboek Regionaal GRP (2016)

Binnen dit samenwerkingsverband is het initiatief genomen om een generiek GRP te maken die voor elke gemeente bruikbaar is als basis bij het opstellen van een nieuw GRP. Het Handboek Regionaal GRP is in juni 2016 opgeleverd. Het gebruik van dit Handboek is geen verplichting, maar onderdelen kunnen en mogen worden gebruikt.

 

Handboek Onderhoud oppervlaktewater (2018)

Oppervlaktewaterbeheer is een integraal onderdeel van het watersysteembeheer. De bevoegdheid tot regulering van het oppervlaktewaterbeheer is in de Nederlandse wetgeving aan verschillende bestuursorganen toegekend.

In 2017 is gewerkt aan bovengenoemd Handboek. Het handboek beschrijft wie welke beheertaken heeft en wat hierbij de afspraken zijn tussen gemeente en waterschap. Dit voorkomt terugkerende discussies over taken die blijven liggen of juist overlap en dubbel werk. Het handboek beschrijft dus wie wat doet, niet hoe dit moet worden gedaan. Het handboek dient op de eerste plaats bij te dragen aan een effectieve, efficiënte en betaalbare dienstverlening in het oppervlaktewaterbeheer voor inwoners en bedrijven. Per project, watergang of gemeente zullen specifieke afspraken moeten worden gemaakt. Het handboek biedt de generieke afspraken waarmee op uitvoeringsniveau specifieke afspraken kunnen worden gemaakt.

 

Watergebiedsplan Bijlmerring (2011)

In het Watergebiedsplan Bijlmerring is door de integrale benadering van enerzijds het watersysteem en de waterketen en anderzijds het watersysteem en de ruimtelijke ordening, gestreefd naar een efficiëntere inrichting van de waterhuishouding in het plangebied.

 

Voor de dertien inliggende polders van het plangebied Bijlmerring is gekozen voor het opstellen van een watergebiedsplan voor een door boezemwater omsloten gebied. Het doel van het Watergebiedsplan Bijlmerring is op themaniveau de samenhang van de verschillende in het plangebied liggende “stedelijke” watersystemen te sturen. Het Watergebiedsplan Bijlmerring geeft daarbij een leidraad voor de op te stellen waterplannen (en gemeentelijke rioleringsplannen) en kan de inrichting op het niveau van het watersysteem sturen in plaats van op gemeentegrenzen. In het watergebiedsplan Bijlmerring wordt een aantal kansen gesignaleerd die verder gaan dan wettelijke taken en bestuurlijke afspraken. Het betreft geen verplichtingen van het waterschap (“moeten”), maar ambities (“anticiperen en willen”) die samen met de beheerder van de openbare ruimte (gemeenten en stadsdelen) worden opgepakt.

 

Belangrijke maatregelen betreffen het verbeteren van het huidige functioneren van de 13 polders. Door het opheffen van peilvakken wordt een robuuster watersysteem gerealiseerd. Ook worden de samenhang tussen groenblauwe structuren en de interactie tussen de waterketen en het watersysteem verbeterd om de wateroverlast op straat te beperken. In het watergebiedsplan staan maatregelen om het hydraulisch functioneren van he watersysteem van de polders te verbeteren en te laten voldoen aan de NBW-nomen. Dit betreffen maatregelen voor het waterschap AGV.

 

Concrete maatregelen voor de gemeente Ouder-Amstel staan in het watergebiedsplan niet benoemd. Wel biedt het plan handvatten voor de omgang met regenwater. De visie op de hoofdopgave Bijlmerring is opgeschreven vanuit de tritsen voor het Waterbeleid 21e eeuw, de waterkwantiteitstrits: ‘vasthouden - bergen - afvoeren’ en de waterkwaliteitstrits ‘voorkomen - scheiden - zuiveren’. De gemeente kan aanhaken bij de thema´s:

  • -

    vasthouden van regenwater door groene daken, wadi´s, infiltratievoorzieningen;

  • -

    gebruik van regenwater en drinkwaterbesparing;

  • -

    meer water bergen op straat of in groenvoorzieningen/halfverhardingen;

  • -

    voorkomen van grondwateroverlast en / onderlast.

Provincie Noord-Holland:

Watervisie 2021 ;’Buiten de Oevers’, Uitvoeringsprogramma 2016-2021 en factsheets, vastgesteld 16 november 2015: http://www.noord- holland.nl/web/Themas/Water/Wetgeving-en-beleid.htm

Ook op provinciaal niveau sluiten de plannen voor waterbeheer en ruimtelijke ordening op elkaar aan door onderlinge afstemming van respectievelijk de regionale plannen en de structuurvisies van de drie betrokken provincies (Noord-Holland, Zuid-Holland en Utrecht). Met de komst van de Omgevingswet en op basis van het Bestuursakkoord Water zullen de provinciale plannen naar verwachting met name dienen ter uitvoering van de verplichtingen uit de verschillende Europese richtlijnen op het gebied van water.

 

Het regionale waterbeleid tot 2040 en de prioriteiten van de provincie op het gebied van waterveiligheid en schoon en voldoende (drink)water in de periode 2016-2021 zijn verwoord in de Watervisie 2021. Hierin staan de ecologische doelen voor niet-natuurlijk oppervlaktewater. Deze doelen zijn afgestemd met de waterbeheerders. Ook staan in de Watervisie 2021 maatregelen om de kwaliteit van het grondwater in de bodem van Noord-Holland te verbeteren.

 

De Watervisie 2021 is vertaald in een Uitvoeringsprogramma. Detailinformatie omtrent de waterkwaliteit van diverse waterlichamen en een bijhorend onderzoeks- en maatregelenprogramma is te vinden in factsheet, via www.waterkwaliteitsportaal.nl. Hieruit vloeien geen concrete maatregelen voort voor de gemeente. Samengevat:

Waterlichaam Amstel: maatregelen zijn vermoedelijk effectief, maar voordat deze in de praktijk worden toegepast moet de effectiviteit of toepasbaarheid daarvan in de desbetreffende situatie nader worden onderzocht, of moet de ervaring van pilotprojecten worden afgewacht

Waterlichaam Ouderkerkerplas: het uitvoeren van een watersysteemanalyse met als onderzoeksvragen: - Mogelijkheden voor ontwikkeling water- en oeverplanten - Onderzoeken effecten vogelstand - Onderzoeken mogelijkheden aanpak drijfalgen door herinrichting zwemwaterlocatie

Waterlichaam vaarwegen Westeramstel, vaarten Ronde Hoep en Tussenboezem Vinkeveen B Voor deze waterlichamen is bemesting door de landbouw de belangrijkste bron van nutriënten, die het bereiken van de doelen nog niet mogelijk maakt.

De uitwerking van de rioleringstaken wordt door de provincie nadrukkelijk bij de gemeente neergelegd. In het GRP-proces zal de provincie zich in principe beperken tot een toetsende rol, met name op het financiële gedeelte en het proces van totstandkoming van het GRP.

 

B2.4 Relevante beleidsstukken gemeente

 

Structuurvisie Ouder-Amstel (2007)

In de structuurvisie legt de gemeente Ouder-Amstel vast wat er volgens haar in de toekomst met en op haar grondgebied zou moeten gebeuren. De gemeente Ouder-Amstel ligt ingesloten tussen het grootstedelijk gebied van Amsterdam en dat van Amstelveen. De gemeente kenmerkt zich door het overwegend groene en landelijke karakter. De gemeente omvat drie kernen die aanzienlijk van elkaar verschillen: Duivendrecht, Ouderkerk aan de Amstel en het buurtschap Waver. Duivendrecht ligt in het grootstedelijk gebied van Amsterdam. Ouderkerk aan de Amstel en het buurtschap Waver liggen binnen de zogenaamde Amstelscheg, het groene en landelijke gebied. De visie benoemt de volgende hoofdkeuzen:

  • -

    behoud en versterking Amstelscheg

  • -

    benadrukken stedelijk en landelijk contrast

  • -

    versterken eigen identiteit gemeente Ouder-Amstel

 

Participatienota 2015

De gemeente Ouder-Amstel beschikt sinds 2015 over een Participatienota, onder de titel ‘Samen maken we Ouder-Amstel - een gezamenlijke visie op de veranderende samenleving’

Deze nota schrijft geen participatievormen of – instrumenten voor. Dit betekent dat we in Ouder Amstel samen optrekken om onze woon-en leefomgeving te verbeteren, waarbij we er van uitgaan dat de gemeente mee doet aan initiatieven van inwoners in de vorm van beleidsparticipatie/maatschappelijke initiatieven (overheidsparticipatie). Maatschappelijke participatie vormt daarbij een belangrijke onderliggende kracht voor onze samenleving, gericht op het tot stand brengen van verbindingen /netwerken en het versterken daarvan.

 

De gemeente hanteert hiervoor de volgende participatieladder als handvat:

Niveau

Participatie

Informeren

raad en college bepalen in hoge mate de agenda voor besluitvorming en

houden inwoners van Ouder-Amstel hiervan op de hoogte.

Raadplegen

raad en college bepalen de agenda voor besluitvorming. De betrokken burgers worden gezien als gesprekspartner bij de ontwikkeling van beleid

Co-produceren

raad en college en de betrokken burgers komen gezamenlijk een agenda overeen. Hierbij wordtook gezamenlijk naar oplossingen gezocht. Raad en

college kunnen slechts beargumenteerd afwijken vande inbreng van burgers.

(Mee)beslissen

Raad en college delegeren de besluitvorming aan betrokkenen en committeren zich aan genomen besluiten.

 

In het proces van het opstellen van het Gemeentelijk RioleringsPlan wordt het door gemeenteraad vastgestelde plan, conform de wetgeving, ter inzage gelegd. Hiermee past de gemeente het niveau ‘informeren’ toe. Bij projecten in de openbare ruimte, zoals weg- en rioolvervangingen, worden bewoners geïnformeerd tijdens bewonersavonden en geraadpleegd om hun mening. Bij dergelijke project in de insteek van de gemeente richting het niveau ‘co- produceren’.

 

Woonbeleid 2012-2015 Ouder-Amstel (‘doorstromen naar duurzaam wonen’)

De gemeente vraagt met dit woonbeleid onder meer aandacht voor duurzaam energiegebruik en duurzame energieopwekking, niet alleen omdat minder energieverbruik en gebruik van duurzame energie past binnen het rijksbeleid, maar ook omdat minder energieverbruik een verlaging van de energiekosten als gevolg heeft. Rekening houdende met de verder stijgende energieprijzen is dat voor veel huishoudens belangrijk. De ontwikkelingen in wet- en regelgeving hebben er al voor gezorgd dat nieuwbouw steeds duurzamer wordt. Dat neemt niet weg dat ook de gemeente beziet of er binnen de mogelijkheden van een project gezocht moet worden naar maatregelen op het gebied van duurzaamheid.

Bij de ontwikkeling van nieuwe wijken wordt duurzaam bouwen gestimuleerd. Daarbij gaat het op hoofdlijnen om onder meer innovatie bouwtechnieken, zoals toepassing van vegetatiedaken;

 

Programmabegroting 2017

In de Programmabegroting 2017 is voor het programma Ruimte Duurzaamheid als één van de negen speerpunten benoemd. De doelstelling van dit speerpunt is het verder ontwikkelen van en uitvoering geven aan een lokaal en regionaal duurzaamheidsbeleid. Er wordt breed ingezet op duurzaamheid. Beleid en uitvoeringsagenda worden in 2017 verder uitgewerkt en uitgevoerd.

We gaan hierbij uit van de drie rollen die de gemeente kan spelen:

  • 1.

    de voorbeeldfunctie;

  • 2.

    de verbindende rol;

  • 3.

    de faciliterende-en ondersteunende rol.

Samen met de regiogemeenten willen wij ook verdere invulling en uitwerking geven aan het zogenaamde duurzaamheidsloket, waar inwoners en bedrijven met vragen en initiatieven terecht kunnen.

 

Beleidsnotitie Duurzaamheid Ouder-Amstel 2017-2021 ‘Energiek & Circulair’

In de afgelopen jaren heeft gemeente Ouder-Amstel vooral op pragmatische wijze invulling gegeven aan het werken aan haar bijdrage aan een duurzame samenleving. Door aan te haken bij wat er onder andere vanuit de regio gebeurde en de kansen die zich voordeden zoveel mogelijk te benutten, deed Ouder-Amstel wat zij kon.

Gemeente Ouder-Amstel is met zo’n 13.000 inwoners een relatief kleine gemeente, met een beperkt budget en beperkte menskracht. Duurzaamheid heeft raakvlakken met vele gemeentelijke beleidsvelden. Om onze middelen zo effectief en efficiënt mogelijk in te zetten, is de focus de komende 4 jaar gericht op de hoofdthema’s Energie en Circulaire Economie

 

Directe raakvlakken met de gemeentelijke watertaken zijn in de notitie niet benoemd, de focus ligt meer op de verduurzaming van particuliere woningen door bijvoorbeeld verbetering van de isolatie en het aanbrengen van zonnepanelen. Een mogelijk raakvlak is de warmte/koude uitwisseling met oppervlaktewater. De volgende kans is we benoemd; vanuit het (regionale) Bestuursoverleg Water (BOWA) streeft naar een circulaire waterketen. Vanuit het BOWA zijn momenteel twee werkgroepen opgezet. De werkgroep Klimaatadaptatie beperkt zich tot nu toe tot onderzoek naar hittestress en de vraag of de openbare ruimte voldoende is ingericht om extreme neerslag te verwerken. De werkgroep Duurzaamheid gaat zich richten op de aspecten klimaatneutraal en circulaire economie in relatie tot water. De komende jaren worden de ambities en plannen verder uitgewerkt.

 

In de Programmabegroting 2017 is voor het programma Ruimte Integraal Beheer Openbare Ruimte (IBOR)als een ander speerpunt benoemd. Bij de evaluatie van de IBOR is geconstateerd dat de afgesproken kwaliteit van de buitenruimte (“heel en veilig”) is gehaald. Toch werd bij de enquête, die onder de inwoners is gehouden, vaak aangegeven dat de inwoners de huidige kwaliteit te laag vinden. Het verhogen van de kwaliteit heeft echter grote financiële consequenties. Als de financiën van de gemeente het toelaten, kan worden bekeken waar de kwaliteit kan worden verhoogd ten opzichte van “heel en veilig”. Ten aanzien van het bomenonderhoud is door verhoging van het budget een kwaliteitsslag mogelijk gemaakt. In de komende periode wordt uit het budget woninggroen een extra kwaliteitsimpuls gegeven aan het gemeentelijke groen. n 2017 worden veel beheerplannen geactualiseerd. Het voordeel hiervan is dat de samenhang tussen de verschillende beheerplannen beter in beeld kan worden gebracht. In het op te stellen meerjarig integraal uitvoeringsplan voor de openbare ruimte wordt meer inzicht gegeven in het groot onderhoud in de komende jaren.

 

Visie Groenbeleid Ouder-Amstel (2010-2020)

Het groenbeheer in de gemeente Ouder-Amstel dient te leiden tot een duurzame leefomgeving, met een hoge kwaliteit van wonen, werken, leren en spelen. Het groen in de gemeente Ouder- Amstel draagt bij tot een mooie, schone, veilige en natuurlijke leefomgeving, waarbij de burgers zich betrokken en prettig voelen. In de Visie Groenbeleid is de koppeling met de gemeentelijke watertaken nog niet gelegd.

 

Groenbeheersplan (2018-2022, concept)

Het Groenbeheersplan is een uitwerking van de Visie Groenbeleid Gemeente Ouder-Amstel 2010-2020. Het geeft nog geen volledige concretisering van de verschillende gewenste activiteiten en werkzaamheden, maar vertaalt de Visie naar een meerjarenbeeld.

De raakvlakken met de gemeentelijke watertaken zijn:

  • 1.

    De wijze van onkruidbestrijding.

  • 2.

    Het beheer en onderhoud van natuurvriendelijke oevers;

  • 3.

    Het beperken van wateroverlast door opvang in het groen;

  • 4.

    Het beheer en onderhoud van wadi’s en voorzieningen voor de wateropvang;

Ad1:

In verharding is de aanpak voor het bestrijden van onkruid anders. Omdat het moeilijk is om onkruid tussen straatstenen te vermijden moet er altijd worden beheerd. Hier is het gebruik van zo weinig mogelijk chemicaliën (herbiciden) van belang om (grond)watervervuiling tegen te gaan. Er moet worden gekeken naar het vervangen van herbiciden door een andere meer milieuvriendelijke methode.

Ad 2:

De waterkwaliteit wordt verbeterd door de oevers open te werken en aan te passen. Dat in combinatie met nieuwe zuurstofproducerende waterplanten in kleine watergangen zorgt voor een betere waterhuishouding. De kans dat bedreigde diersoorten kunnen nestelen wordt dan aanzienlijk vergroot.

Ad 3:

Een groendak kan - afhankelijk van de dikte - veel of weinig water opslaan.

Een belangrijke maatregel is het versoepelen van bestemmingsplannen in de ruimtelijke ordening die groendaken niet toelaten. Nagegaan moet worden of de gemeentelijke regelgeving iets kan worden verzwaard op het punt van energiezuinigheid. Verder wordt bij (her) inrichtingsplannen voor groenvoorzieningen er rekening mee gehouden dat groen bij hevige waterval overlast zal beperken.

Ad 4:

De gemeente Ouder-Amstel kent geen voorzieningen voor de opvang va n regenwater dan de regenwaterriolen. Wadi’s of retentievelden komen in de gemeente niet voor. Een specifiek onderhoudsregime voor bijvoorbeeld wadi’s is dan ook niet benoemd (bijvoorbeeld het afvoeren van het gemaaide gras, om dichtslaan van de wadibodem te voorkomen).

 

B2.5 Kaderstelling gemeentebestuur Ouder-Amstel

 

Het college heeft een agenda 2014-2018 opgesteld, onder de titel ‘Samen werken aan Ouder- Amstel’. De rol van de overheid verandert. Van de overheid die bepaalt, gaat de inwoner, de ondernemer meer verantwoordelijkheid nemen. De overheid luistert en ondersteunt en laat verantwoordelijkheid voor de uitvoering over aan de maatschappij. De overheid faciliteert dat mensen elkaar kunnen ondersteunen en aanmoedigen. Organisaties en ondernemers die zaken samen oppakken. Bij een luisterende overheid past het niet om met pasklare antwoorden te komen. Dit gemeentebestuur wil plannen opstellen in samenwerking met de gemeenteraad en de inwoners Daarom geen collegeprogramma, maar een collegeagenda. Een agenda vol met ideeën hoe we met elkaar tot beleid kunnen komen.

 

Voor dit GRP zijn vanuit de agenda van het college de onderstaande kaders en hoofdlijnen interessant:

  • Efficiëntere bedrijfsvoering en kostenreductie. Door nadrukkelijk budgetbeheersing dient taakstellend een bedrag te worden bespaard.

  • Er komt een Intern milieuplan, met aandacht voor energie, afval en gebouwbeheer. Dit plan behelst communicatie en er wordt bezien op welke termijn duurzame investeringen zichzelf kunnen terug verdienen

  • Jaarlijks wordt een handhavingsplan ontwikkeld, waarin onder meer aandacht voor handhaving.

  • Er wordt breed ingezet op duurzaamheid. Dit betekent zowel dat de gemeente een voorbeeld stelt voor anderen, als het stimuleren van anderen om zich duurzaam te gedragen. Primair wordt een inventarisatie van mogelijkheden opgesteld. Daarbij zal tevens een aantal duurzaamheidsaspecten worden doorgelicht en bezien of gemeentelijk beleid of communicatie hierbij relevant is. Daarna worden initiatieven verder uitgewerkt.

  • De gemeente heeft een stabiele, gezonde financiële situatie. Ook in de komende periode vindt zo min mogelijk lastenverzwaring plaats voor onze inwoners. Alleen als voorzieningen niet op adequaat niveau kunnen blijven, kan het in uiterste gevallen noodzakelijk zijn lasten voor de inwoners te verhogen.

  • Het kwaliteitsniveau van het onderhoud van groen en verharding blijft onveranderd: heel en veilig. Er wordt ingezet op vermindering van het gemeentelijk te onderhouden oppervlak van plantsoen, grasvelden en wegen. Betrokkenheid van burgers bij de uitvoering van het onderhoud zal belangrijker worden

 

Bijlage 3 - Kostendekkingsberekening

 

 

 

 

Naar boven