Beleidsregels maatschappelijke ondersteuning en jeugdhulp 2022

Het college van burgemeester en wethouders van de gemeente Nijmegen,

 

gelet op Hoofdstuk 2, paragraaf 1, 2 en 3 van de Wet maatschappelijke ondersteuning 2015, en op hoofdstuk 2, artikelen 2.1, 2.3 en 2.9 van de Jeugdwet;

gelet op het VN-Verdrag inzake de rechten van personen met een handicap;

gelet op het Internationaal verdrag inzake de rechten van het kind;

 

besluit vast te stellen de Beleidsregels maatschappelijke ondersteuning en jeugdhulp 2022

Hoofdstuk 1 Inleiding

1.1 Algemeen

De Wmo 2015 en Jeugdwet leggen de nadruk op de eigen kracht en samenredzaamheid. Mensen komen zelf tot oplossingen op basis waarvan wordt bepaald op welke punten aanvullend een maatwerkvoorziening nodig is (zie par. 1.4).

Waar een burger niet meer in staat is om zelf of samen met het sociale netwerk te voorzien in zijn of haar zelfredzaamheid en participatie, kan hij of zij een beroep doen op een Wmo-maatwerk- of Jeugdhulpvoorziening. Hierbij wordt eerst gekeken naar de mogelijkheden van de cliënt, de mogelijkheden van het netwerk rond de cliënt of om een vrijwilliger in te zetten, de beschikbaarheid van algemene voorzieningen, de mogelijkheid om gebruik te maken van voorzieningen in zijn buurt, zoals het consultatiebureau, een maaltijdservice, een boodschappendienst of klussendienst of van overige voorzieningen die het college ter beschikking stelt.

Hierbij hoort verantwoordelijkheid nemen voor je eigen leven, wat bijvoorbeeld betekent dat iedere burger ervoor moet zorgen dat hij voldoende is verzekerd. Tevens zal een burger zich rekenschap moeten geven van en anticiperen op wat vaak inherent is aan nieuwe levensfases. Bij iedere levensfase horen bijvoorbeeld andere wensen ten aanzien van de toegankelijkheid van de woning, de grootte van de woning, de bereikbaarheid van winkels en voorzieningen. Een burger moet hierop anticiperen door tijdig maatregelen te nemen om voorbereid te zijn op een nieuwe levensfase. Ook zal hij bereid moeten zijn zelf te investeren in bepaalde hulpmiddelen die hij kan kopen in een gewone winkel of bijvoorbeeld een thuiszorgwinkel, zoals een sta-op stoel, een wandelstok of een rollator. Dit zijn hulpmiddelen die de Rijksoverheid in het verleden bewust uit het hulpmiddelenpakket van de Zorgverzekeringswet heeft gehaald, omdat zij betaalbaar zijn, veel gebruikt worden of passen binnen een bepaalde levensfase, net als een kinderwagen bij jonge mensen. Feitelijk hebben deze hulpmiddelen hiermee een algemeen gebruikelijk karakter gekregen.

 

1.2 Begeleiding, dagbesteding en Jeugdhulp

Nieuw in de Wmo 2015 en Jeugdwet is dat de gemeenten ook verantwoordelijk zijn voor de functie Begeleiding en beschermd wonen GGZ. Tot 1 januari 2015 was Begeleiding (ambulante begeleiding en dagbesteding) een functie in de AWBZ voor kinderen en volwassenen. Volgens het Besluit zorgaanspraken AWBZ kon een verzekerde met een somatische, psychogeriatrische of psychiatrische aandoening of beperking, of een verstandelijke, lichamelijke of zintuiglijke handicap die matige, of zware beperkingen heeft op het terrein van: sociale zelfredzaamheid, bewegen en verplaatsen, psychisch functioneren, geheugen en oriëntatie of matig of zwaar probleemgedrag vertonen, aanspraak doen op de functie Begeleiding. Wanneer er een zogenaamde AWBZ-grondslag was vastgesteld, kon de functie Begeleiding (en het aantal uren of dagdelen dat nodig werd geacht) worden geïndiceerd. Hoewel bij het CIZ ruime ervaring is opgedaan bij het indiceren van Begeleiding, is het niet mogelijk en wenselijk om de door hen ontwikkelde indicatieprotocollen over te nemen. De reden hiervoor is tweeledig:

  • 1.

    De AWBZ-indicatie was gebaseerd op een grondslag . De Wmo kent geen grondslagen. In de Wmo en Jeugdwet is de diagnose niet leidend. Er wordt vastgesteld wat de beperkingen zijn, en vervolgens wordt via het zogenaamde trechtermodel beoordeeld wat de aanvrager zelf of met hulp van de eigen omgeving kan oplossen, wat met algemene voorzieningen kan worden opgelost en tenslotte waarvoor maatwerkvoorzieningen of individuele voorzieningen noodzakelijk zijn.

  • 2.

    De taken zijn niet alleen overgeheveld van de AWBZ naar de Wmo 2015 en Jeugdwet; er moet ook daadwerkelijk een transformatie plaats vinden. De opdracht aan gemeenten is om te onderzoeken hoe de bestaande vormen van Begeleiding, anders, dichterbij de cliënt kunnen worden georganiseerd en nieuwe vormen van hulp en ondersteuning voor de diverse doelgroepen te ontwikkelen.

In de Jeugdwet is de verantwoordelijkheid van de gemeenten uitgebreid met de voorheen provinciale (geïndiceerde) jeugdzorg, de gesloten jeugdzorg, geestelijke gezondheidzorg voor kinderen en jongeren (jeugd-ggz), zorg voor jeugd met een lichte verstandelijke, somatische/lichamelijke en/of zintuiglijke beperking (voormalige AWBZ) , en de uitvoering van kinderbeschermingsmaatregelen en jeugdreclassering.

Wanneer een jeugdige of een ouder een hulpvraag heeft, worden de opgroei- en opvoedingsproblemen, psychische problemen of stoornissen in kaart gebracht, wordt vastgesteld welke problemen en stoornissen er zijn en welke hulp naar aard en omvang nodig is voor de jeugdige om, rekening houdend met zijn leeftijd en ontwikkelingsniveau, gezond en veilig op te groeien, te groeien naar zelfstandigheid en voldoende zelfredzaam te zijn en maatschappelijk te participeren. Vervolgens wordt net zoals in de Wmo beoordeeld wat de aanvrager zelf of met hulp van de eigen omgeving kan oplossen, wat met algemene voorzieningen kan worden opgelost en tenslotte waarvoor individuele voorzieningen noodzakelijk zijn. Doel van het inzetten van een individuele voorziening is de jeugdige in staat te stellen:

  • 1.

    gezond en veilig op te groeien;

  • 2.

    te groeien naar zelfstandigheid, en

  • 3.

    voldoende zelfredzaam te zijn en maatschappelijk te participeren,

  • 4.

    rekening houdend met zijn leeftijd en ontwikkelingsniveau.

Voorzieningen op het gebied van jeugdhulp omvatten voor zover noodzakelijk in verband met een medische noodzaak of beperkingen in de zelfredzaamheid, het vervoer van een jeugdige van en naar de locatie waar de jeugdhulp wordt geboden.

 

Deze beleidsregels betreffen alleen vrijwillige jeugdhulp. Voor gedwongen jeugdhulp gelden andere werkprocessen, die zijn vastgelegd in documenten en contractafspraken met de Gecertificeerde Instellingen.

 

1.3 Mantelzorgondersteuning

Mantelzorgers dragen vaak in belangrijke mate bij aan de zelfredzaamheid en participatie van burgers en aan de mate waarin hun naasten nog in hun vertrouwde omgeving kunnen blijven wonen. De mantelzorger is vertrouwd voor de cliënt die ondersteuning behoeft en daardoor wordt deze vaak beter geaccepteerd dan professionele ondersteuning.

Een groot risico is dat mantelzorgers worden overbelast. Om dat te voorkomen kan ondersteuning aan de mantelzorger worden geboden. Bijvoorbeeld door de cliënt voor 1 of meer dagdelen per week naar de dagbesteding te laten gaan, zodat de mantelzorger even iets voor zichzelf kan doen. Ook respijtzorg is mogelijk, bijvoorbeeld als de mantelzorger op vakantie gaat. In dat geval wordt de mantelzorg tijdelijk overgenomen door een professionele

hulpverlener. In het algemeen kan het Mantelzorg Nijmegen van Sterker sociaal werk informatie geven over de mogelijkheden om mantelzorgers te ondersteunen.

Onder voorwaarden kan een cliënt ook één of meer etmalen per week worden opgenomen in een instelling. De belangrijkste voorwaarde daarbij is dat de cliënt ’s nachts toezicht nodig heeft en niet alleen gelaten kan worden. In dat geval kan het overigens ook zo zijn dat de cliënt in aanmerking komt voor de Wlz.

In onderstaand schema staat welke vormen van kortdurende opname/verblijf er zijn en onder welke wet deze vallen (zie ook de Informatiekaart spoedzorg d.d. juli 2015 van de VNG):

 

Wet

Wmo 2015/ Jeugdwet

Wlz (mensen die met een Wlz-indicatie thuis wonen)

Zvw

Benaming

Respijtzorg/logeeropvang

Logeeropvang als onderdeel van de Wlz-indicatie

Kortdurend eerstelijns verblijf

Voor wie

Mensen met Wmo 2015 of Jeugdzorg ten behoeve van het ontlasten van de mantelzorg

Mensen met Wlz indicatie die thuis wonen (incl. groep ‘Wlz indiceerbaren’)

Mensen met tijdelijke behoefte aan medisch noodzakelijk verblijf

Aandachtspunten

Kortdurend verblijf en dagbesteding zijn mogelijkheden om mantelzorgers tijdelijk te ontlasten

Maximaal 2 etmalen per week. In PGB alleen in te kopen bij toegelaten instellingen

 

 

Om de mantelzorger daar waar nodig te ontlasten en de ruimte te geven om een andere – mogelijk zwaardere of intensievere - ondersteuningstaak op te pakken of om te voorkomen dat de mantelzorgers overbelast raken, kunnen mantelzorgers in aanmerking komen voor de Toelage Hulp bij het Huishouden (HHT). Dit geldt ook voor mantelzorgers die te maken hebben met de Jeugdwet en door de zorg voor kinderen een ondersteuningsbehoefte hebben bij de huishoudelijke ondersteuning.

Mantelzorgers kunnen met behulp van de HHT maximaal 6 uur per vier weken hulp bij het huishouden inkopen bij de door de gemeente gecontracteerde aanbieders. Vanuit de HHT wordt een bijdrage verstrekt, waarbij de mantelzorger zelf nog € 8 per uur moet bijbetalen.

 

Lokaal mantelzorgcompliment

In de verordening is ook opgenomen dat het college zal zorgdragen voor een passende jaarlijkse blijk van waardering voor de mantelzorger. Mantelzorgontvangers die zich langdurig inzetten voor een cliënt kunnen via het digitale loket van gemeente Nijmegen een verzoek doen voor een mantelzorgcompliment. Het geldbedrag wordt uitbetaald aan de zorgvrager waarbij jaarlijks één compliment per cliënt kan worden uitgekeerd. De criteria voor het mantelzorgcompliment zijn:

  • De mantelzorg betreft boven-gebruikelijke hulp (zie bijlage 1 wat betreft hulp bij het huishouden);

  • Meer dan 8 uur per week mantelzorg volgens artikel 1.1.1. Wmo;

  • Er is sprake van een langdurige zorgsituatie van minimaal een periode van een jaar;

  • Er is geen sprake van vrijwillige keus.

 

1.4 Sociale Wijkteams [thans: Buurtteams], Wmo-consulenten en ouderenadviseurs

De Nijmeegse situatie kenmerkt zich door het gegeven dat de coördinerende werkzaamheden binnen de Wmo 2015 en Jeugdwet worden uitgevoerd in de multidisciplinaire Buurtteams Jeugd & Gezin en Volwassenen en door ouderenadviseurs (voor ouderen met ouderdomsklachten). De Buurtteams bieden kortdurende en langdurige ondersteuning en begeleiding (zonder indicatie, in de vorm van een algemene voorziening) en voeren indien nodig onderzoek uit naar de behoefte aan een maatwerkvoorziening. Een belangrijk onderdeel van het onderzoek is het voeren van (een) gesprek met de cliënt en zijn of haar netwerk, waarvan de uitkomst wordt opgenomen in het onderzoeksverslag. Ook de regieteams en het Veiligheidshuis zijn aangewezen om het onderzoek in het kader van een aanvraag voor een maatwerk- of jeugdhulpvoorziening uit te voeren. Het onderzoeksverslag vormt de basis voor de aanvraag van een maatwerkvoorziening.

De indicatiestelling van ‘klassiek Wmo’, zoals de huishoudelijke hulp en hulpmiddelen loopt vanaf 1 januari 2022 weer via Wmo-consulenten van de gemeente.

Daarnaast zijn er ouderenadviseurs die ouderen met ouderdomsklachten (65+) ondersteunen, een coördinerende rol hebben voor ouderen en in overleg met Buurtteams Volwassenen en Wmo-consulenten kunnen toeleiden naar maatwerkvoorzieningen (ambulante Wmo-begeleiding respectievelijk ‘klassieke Wmo’ – dagbesteding voor ouderen is zonder indicatie toegankelijk).

 

1.5 Het gesprek(ken)

Bij “het gesprek”, waarvoor in de praktijk ook meerdere gesprekken nodig kunnen zijn, ligt het accent op zorgvuldigheid en transparantie en het heeft als doel:

 

  • Het helder maken welke keuzes zijn gemaakt aan de hand van de onderwerpen die in het gesprek en onderzoeksverslag aan bod moeten komen: uit het onderzoeksverslag moet duidelijk worden in hoeverre de behoeften en gewenst resultaten beantwoord kunnen worden met ‘eigen kracht’, algemeen gebruikelijke voorzieningen, mantelzorgers, algemene voorzieningen, behoefte aan mantelzorgondersteuning of voorzieningen uit de Zvw. Vervolgens blijft over op welke punten een maatwerk- of jeugdhulpvoorziening nodig is.

 

Bij het gesprek volgen de buurtteams de volgende werkwijze:

  • Als er sprake is van het aflopen van de periode waarvoor zorg is toegekend, dan dient de cliënt minimaal acht weken voor afloop van de zorgperiode een melding te doen bij het buurtteam.

  • Het door de cliënt eventueel ingediende persoonlijk plan (voorafgaand aan het onderzoek) maakt deel uit van het gesprek.

  • Voor het in kaart brengen van behoeften wordt een integrale lijst met alle leefgebieden gebruikt als hulpmiddel en checklist (in Nijmegen de Easycarevragenlijst) waaraan acties gekoppeld kunnen worden en ook de mate van zelfredzaamheid per leefgebied. De vragenlijst wordt flexibel gebruikt in aansluiting op de situatie van de cliënt; welke leefgebieden in het gesprek aan bod komen, de volgorde en de toepassing (invulling achteraf of doorlopen aan het einde van het gesprek bijvoorbeeld).

  • Voor het bepalen van de eigen kracht en de bijdrage van het netwerk (gebruikelijke hulp, mantelzorg en verdere inzet van het sociale netwerk) passen buurtteamleden sociale netwerkstrategieën (Sonestra) toe, waarin buurtteamleden zijn getraind. Bij Sonestra worden mensen met hun netwerk ondersteund om zelf hun oplossingen te bepalen en op te nemen in ‘mijn plan’, waarin aangegeven wordt wie wat doet. De cliënt maakt zijn eigen keuzes, samen met zijn naasten/mensen die hij/zij vertrouwt. De professional ondersteunt in dit proces. De Sonestramethodiek noemt hier de term Actieteam. Samen komt men tot een plan. De professional vraagt naar de feitelijke situatie, wat wensen en ideeën zijn (gewenste situatie), wat goed gaat en werkt, wat niet of onvoldoende werkt en hoe om te gaan met zorgen en vragen: de aanpak en de rol van het gezin/netwerk en professionals. Aan het plan dat hieruit komt worden doelen gekoppeld per (relevant) leefgebied.

  • Voor de bepaling van de omvang van de professionele ondersteuning (duur, aantal uren/dagdelen, etc.) wordt gekeken naar de activiteiten die in het ondersteuningsplan zijn gekoppeld aan de doelen. Hierbij wordt ingeschat hoeveel tijd deze activiteit wekelijks of dagelijks kosten. Is er ondersteuning noodzakelijk in het kader van Hulp bij het huishouden (HH), dan geldt dat het aantal dagdelen/uren/minuten niet langer wordt vastgesteld, maar dat er wordt gekeken of de cliënt recht heeft op de maatwerkvoorziening HH (de ‘wat-vraag’). In dat geval wordt het resultaat ‘een schoon en leefbaar huis’ toegekend. De samenstelling, omvang en frequentie van de werkzaamheden wordt vervolgens vastgelegd in een plan van aanpak, dat door de cliënt en de zorgaanbieder gezamenlijk wordt opgesteld en ondertekend (de ‘hoe-vraag’).

  • Sonestra sluit naadloos aan bij de voorwaarden die zijn opgenomen in de Jeugdwet omtrent het opstellen van een familiegroepsplan. Jeugdhulpaanbieders en gecertificeerde instellingen zijn wettelijk verplicht bij het starten van de hulpverlening de mogelijkheid te bieden een familiegroepsplan op te stellen.

  • Cliënten kunnen voor de gesprekken een beroep doen op gratis, professionele, onafhankelijke cliëntondersteuning van o.a. Mee Geldersde Poort, De Kentering en Stichting BWN.

  • Bij dwang- en drangtrajecten die de regieteams inzetten, geldt een ander traject: op basis van de uitkomst van een casusoverleg wordt een begeleidingsplan opgesteld.

  • Buurtteams, regieteams en Veiligheidshuis kunnen consultatie & advies inschakelen via door de gemeente gecontracteerde zorgaanbieders of huisartsen.

Voor antwoord op de vraag of reguliere begeleiding of specialistische begeleiding (Wmo en Jeugdhulp) nodig is, zijn Nadere criteria (bijlage 8) opgesteld. Daarnaast geldt dat specialistische begeleiding in beginsel maximaal 1 jaar wordt ingezet. In begeleidingsplannen wordt toegewerkt naar beëindiging van het traject na 1 jaar of naar het overzetten naar reguliere begeleiding na 1 jaar. Hiervan kan alleen goed gemotiveerd afgeweken worden; maatwerk blijft altijd mogelijk.

 

Hoofdstuk 2 Afwegingsproces per leefgebied

2.1 Inleiding

Het plan (‘mijn plan’) van de cliënt en het netwerk leidt mogelijk tot een rol voor een welzijn- of zorgorganisatie in de vorm van een algemene of maatwerkvoorziening (Wmo of Jeugdhulp). Deze beleidsregels zijn bedoeld ter ondersteuning van de bepaling of en welke voorziening nodig is. Hiertoe beschrijven we het afwegingsproces per leefgebied toegespitst op Wmo- en Jeugdhulpvoorzieningen voor zelfstandig wonende Nijmegenaren. Dit hoofdstuk is niet van toepassing op beschermd wonen Wmo, waar hoofdstuk 3 over gaat.

In dit afwegingsproces komen steeds de elementen terug die conform artikel 5.1 van de Verordening Wmo en Jeugdhulp gemeente Nijmegen 2019 in het gesprek onderzocht moeten worden:

  • a.

    Behoeften, persoonskenmerken en voorkeuren van de cliënt;

  • b.

    Gewenst resultaat;

  • c.

    Eigen kracht, gebruikelijke hulp of algemeen gebruikelijke voorzieningen;

  • d.

    Rol mantelzorger(s) en sociaal netwerk;

  • e.

    Mantelzorgondersteuning;

  • f.

    en g) Algemene voorzieningen: m.n. algemene voorzieningen Wmo 2015 en overige voorzieningen Jeugdwet, Zorgverzekeringswet en Wlz;

  • g.

    Maatwerkvoorzieningen Wmo en individuele voorzieningen Jeugdwet; waar maatwerkvoorzieningen staat in deze beleidsregels, doelen we tevens op individuele voorzieningen in het kader van de Jeugdwet.

Ad c) Wat gebruikelijke hulp bij Hulp bij het Huishouden (HH) is, is te lezen in bijlage 1. Ook voor de toepassing van het protocol gebruikelijke hulp geldt dat er altijd van afgeweken kan worden met het oog op het bieden van maatwerk.

Er is geen complete lijst van voorzieningen die algemeen gebruikelijk zijn, maar voorbeelden zijn:

  • 1.

    fiets met lage instap, ligfiets

  • 2.

    spartamet/tandemmet

  • 3.

    rollator

  • 4.

    elektrische fiets/tandem (al dan niet met lage instap) voor een persoon van 16 jaar en ouder

  • 5.

    bakfiets, fietskar, aanhangfiets

  • 6.

    personenauto en de gebruikskosten die daaraan verbonden zijn

  • 7.

    autoaccessoires: airconditioning, stuurbekrachtiging, elektrisch bedienbare ruiten,

  • 8.

    trekhaak

  • 9.

    eenhendelmengkranen

  • 10.

    thermostatische kranen

  • 11.

    keramische- of inductiekookplaat

  • 12.

    verhoogd toilet of toiletverhoger

  • 13.

    tweede toilet/sanibroyeur

  • 14.

    standaard douchestoel

  • 15.

    renovatie van badkamer en keuken*

  • 16.

    antislipvloer/coating

  • 17.

    wandbeugels

  • 18.

    zonwering (inclusief elektrische bediening)

  • 19.

    ophogen tuin/bestrating bij verzakking

* Bij de Wmo wordt ervan uit gegaan dat elke badkamer of keuken eens in de zoveel jaar vernieuwd wordt. Bij een aanvraag voor een woningaanpassing van een badkamer of keuken wordt rekening gehouden met de leeftijd van de badkamer of keuken. Als een keuken of badkamer ouder is, wordt de bijdrage vanuit de Wmo 2015 lager. Als de badkamer of keuken 20 jaar is of ouder, wordt deze geacht te zijn afgeschreven. Op dat moment ligt renovatie voor de hand en hoeft geen vergoeding vanuit de Wmo plaats te vinden. Dit kan anders zijn op het moment dat de badkamer nog volledig functioneel is en het niet voor de hand ligt dat iemand zonder beperking de badkamer zal renoveren.

Onder algemeen gebruikelijke voorzieningen hoort ook algemeen gebruikelijk onderhoud. Dit zijn situaties waarbij de kosten voor onderhoud en reparatie als algemeen gebruikelijk kunnen worden beschouwd oftewel hetgeen naar in het maatschappelijk verkeer geldende opvattingen als gangbaar onderhoud of als een gangbare uitgave voor onderhoud wordt aangemerkt.

Ad f) en g) Voorbeelden van algemene voorzieningen zijn:

  • 1.

    Kinderopvang

  • 2.

    Consultatiebureau en jeugdverpleegkundigen/jeugdarts (GGD)

  • 3.

    Welzijnswerk, zoals Activiteitenplein bij Brede Scholen en opvoedhulp (Homestart bijvoorbeeld)

  • 4.

    (School)maatschappelijk werk

  • 5.

    Boodschappendiensten supermarkten

  • 6.

    Glazenwasser

  • 7.

    Tuinonderhoud

  • 8.

    Commercieel sportaanbod

  • 9.

    Gemaksdiensten van de zorgverzekeraar

 

Algemene voorzieningen Wmo

De ondersteuning via de Wmo 2015 wordt begrensd door de ondersteuning en zorg die kan worden geboden op grond van de Jeugdwet, de Zorgverzekeringswet of de Wet langdurige zorg. Een persoon die qua leeftijd tot de doelgroep van de Jeugdwet behoort, kan geen beroep doen op de Wmo 2015, tenzij het gaat om voorzieningen die de wetgever expliciet onder de Wmo 2015 laat vallen, zoals woningaanpassingen en hulpmiddelen. Zorg die valt onder de Zorgverzekeringswet, zoals wijkverpleging, wordt niet geleverd via de Wmo 2015. Een combinatie van zorg via de Zorgverzekeringswet en ondersteuning via de Wmo 2015 is wel mogelijk.

Cliënten met een Wlz-indicatie hoeven niet per definitie intramurale zorg te krijgen. Ze kunnen ook een volledig pakket thuis (VPT), een modulair pakket thuis (MPT) of een pgb krijgen. De hulpmiddelen en woningaanpassingen voor mensen met een Wlz-indicatie (PGB, VPT en MPT) die nog thuis wonen vallen vooralsnog onder de Wmo 2015.

 

Afbakening Jeugdwet

Voor jeugdhulp geldt dat gemeenten geen voorzieningen hoeven te treffen als er aanspraak mogelijk is op de Wlz, de Beginselenwet justitiële jeugdinrichtingen of een recht op zorg als bedoeld bij of krachtens de Zorgverzekeringswet. Evenmin hoeft een voorziening jeugdhulp getroffen te worden als een aanspraak bestaat op een voorziening op grond van een andere wettelijke bepaling, met uitzondering van een maatwerkvoorziening begeleiding op grond van de Wmo.

Indien er meerdere oorzaken ten grondslag liggen aan de problematiek en daardoor zowel een vorm van zorg op grond van de Wlz of de Zorgverzekeringswet, als een soortgelijke voorziening op grond van de Jeugdwet kan worden verkregen, moet een voorziening op grond van de Jeugdwet getroffen worden.

Het college moet de jeugdhulp inzetten die de gecertificeerde instelling nodig acht bij de uitvoering van een kinderbeschermingsmaatregel of een machtiging uithuisplaatsing. Ook zet het college de jeugdhulp in die de rechter, het openbaar ministerie, de selectiefunctionaris, de inrichtingsarts of de directeur van de justitiële jeugdinrichting nodig achten bij de uitvoering van een strafrechtelijke beslissing of die de gecertificeerde instelling nodig acht bij de uitvoering van jeugdreclassering.

Wanneer het college gegronde redenen heeft om aan te nemen dat de cliënt een recht op zorg als bedoeld bij of krachtens de Wet langdurige zorg of een zorgverzekering als bedoeld in de Zorgverzekeringswet heeft, dan wel weigert mee te werken aan het verkrijgen van een besluit dienaangaande. kan het college een voorziening weigeren.

In onderstaand schema wordt de afbakening tussen de wetten weergegeven.

Voor de overgang van 18- naar 18+ geldt dat:

  • a.

    de gemeente niet meer jeugdhulpplichtig is als de zorg vanaf 18 jaar op grond van een andere wet (Zvw, Wlz of Wmo) kan worden verleend.

  • b.

    de gemeente wél verantwoordelijk is voor het voortzetten van de jeugdhulp tot 23 jaar als het om een vorm van jeugdhulp gaat die voor meerderjarigen niet op grond van een andere wet kan worden voortgezet (met name jeugd- en opvoedhulp, niet zijnde jeugd- GGZ of jeugd-LVG).

In bijlage 4 staat een overzicht van de verdeling over de wetten in 2017 wat betreft hulpmiddelen en fysieke voorzieningen voor alle leeftijden.

Inhoudelijke huiswerkbegeleiding wordt nooit vergoed vanuit de Jeugdwet, dit is de verantwoordelijkheid van ouders en school. Als begeleiding bij planning en structureren van huiswerk primair gericht is op het doorlopen van het onderwijsprogramma, valt de ondersteuning onder de zorgplicht van de Wet passend onderwijs en niet onder de Jeugdwet.

In sommige gevallen valt begeleiding bij planning en structureren wel onder de Jeugdwet, namelijk bij jeugdigen met een somatische of psychiatrische aandoening  of een verstandelijke of zintuigelijke beperking. Deze begeleiding is dan gekoppeld  aan concrete doelen en tijdsperiode met als resultaat betere zelfredzaamheid en participatie van de jeugdige.

 

Sport

Deelname aan een sport ter ontspanning is een reguliere sportactiviteit. Dit is geen jeugdhulp waarvoor een voorziening verstrekt wordt. Als begeleiding noodzakelijk is bij de sport (die de 'normale' begeleiding door een sportinstructeur overstijgt), dan zou deze begeleiding in sommige gevallen wel als jeugdhulp gezien kunnen worden. Daarvoor is allereerst noodzakelijk dat het gaat om jeugdigen met opgroei-, opvoedings- en/of psychische problemen en stoornissen, waarvoor hulp en ondersteuning nodig is.

De inzet van begeleiding tijdens de sport moet dan passend zijn voor de jeugdige met matige of zware beperkingen om de zelfredzaamheid te bevorderen of behouden, ofwel maatschappelijk te kunnen participeren. Beoordeeld moet worden of deze vorm van recreatie (en dus de daarmee gepaard gaande begeleiding) echt noodzakelijk is om mee te kunnen doen/te participeren.

 

Wonen en zorg

In artikel 9a van de Verordening is een verbod opgenomen voor gemengde huur-/ondersteuningsovereenkomsten, als verblijf geen onderdeel is van de indicatie. De cliënt wordt met dergelijke overeenkomsten in een afhankelijkheidsrelatie gebracht die niet in overeenstemming is met de wet. De cliënt zal immers moeten vrezen zijn huisvesting te verliezen als hij wisselt van aanbieder of derde (in geval van pgb), dan wel als hij partijen aanspreekt op bijvoorbeeld de kwaliteit van de ondersteuning. Het is een cliënt wel toegestaan om bij de aanbieder of derde (in geval van pgb) woonruimte te huren, mits dit in een zelfstandige huurovereenkomst geregeld wordt. Op die manier leidt het wegvallen of wijzigen van ondersteuning, niet automatisch tot het wegvallen van huisvesting. De cliënt is huurder en hij geniet huurbescherming.

 

2.2 Onderzoek per leefgebied

Per onderdeel worden vragen en voorbeelden genoemd waar in ‘het gesprek’ aan gedacht kan worden (niet uitputtend). De leefgebieden en voorbeelden die worden genoemd kunnen worden beschouwd als een checklist. In alle gevallen is met name de invulling van b t/m e afhankelijk van de situatie en de uitkomst van ‘mijn plan’.

 

Onderstaande elf leefgebieden komen overeen met de leefgebieden van de Zelfredzaamheid-Matrix 2013, conform de volgorde van de leefgebieden van de landelijke Zelfredzaamheid-Matrix. In de Easycarevragenlijst van de buurtteams zijn hieraan nog twee leefgebieden toegevoegd. In het WIZ-portaal, het registratiesysteem van de buurtteams in Nijmegen, zijn deze leefgebieden eveneens opgenomen.

 

2.2.1 Financiën *1)

a) Behoeften, persoonskenmerken en voorkeuren van de cliënt

Samenstelling inkomen, beheer financiën (hoe?), schulden, gebruik inkomensondersteuning (toeslagen, bijzondere bijstand, kwijtschelding gemeentelijke lasten), coaching nodig bij het voorkomen van schulden (in het bijzonder bij jongeren en jongvolwassenen)?

b) Gewenst resultaat

Bijvoorbeeld: op orde brengen financiële administratie, inkomsten en uitgaven met elkaar in overeenstemming brengen, borging vaste lasten bij niet-regelbare schulden en schuldsanering/stabiliseren schulden.

c) Eigen kracht, gebruikelijke hulp of algemeen gebruikelijke voorzieningen

Bijvoorbeeld: deelname van de cliënt aan een cursus budgetbeheer.

d) Rol mantelzorger(s) en sociaal netwerk

Bijvoorbeeld: overname administratie door familielid, eventueel budgetbeheer, bewindvoering of onder curatelestelling door familielid of vriend.

e) Mantelzorgondersteuning

Ontlasting mantelzorger door overname administratie door ander familielid of vrijwilligersorganisatie.

f) en g) Algemene voorzieningen

Vrijwilligersorganisatie voor thuisadministratie (bijvoorbeeld: thuisadministratie Humanitas, Fibon, Schuldhulpmaatje Diaconie), Formulierenbrigade en Papierwinkel bij het Bindkracht 10 (o.a. voorzieningencheck inkomensondersteunende maatregelen), budgetbeheer en –coaching bij F!X (samenwerking het Bindkracht 10 en Bureau Schuldhulpverlening), stabilisatietrajecten schuldhulpverlening (werkcorporatie Maatschappelijke dienstverlening bij het Bindkracht 10) en Sociaal Raadslieden bij complexe financieel-juridische situaties, doorbetaling vaste lasten (bij uitkeringsgerechtigden), schuldsanering (via bureau Schuldhulpverlening van gemeente Nijmegen) en bewindvoering. In Nijmegen wordt in aansluiting op de Stips een regiefunctie instroom/toeleiding schuldhulpverlening (financieel experts) ingericht om met de genoemde algemene voorzieningen hulpvraag en aanbod goed af te stemmen.

h) Maatwerkvoorziening

Een maatwerkvoorziening kan nodig zijn als algemeen gebruikelijke of algemene voorzieningen (nog) onvoldoende zijn toegesneden op jongeren en volwassenen met een verstandelijke en/of psychiatrische, psychogeriatrische of zintuiglijke beperking. Dan kan er (tijdelijk) professionele begeleiding (individueel of in groepsverband) nodig zijn om te zorgen dat mensen met deze beperking(en) samen met hun netwerk zelfstandig de financiën kunnen beheren, bij voorkeur in combinatie met algemene/algemene voorzieningen middels expertiseoverdracht van gespecialiseerde zorgaanbieders naar algemene voorzieningen. Na afloop van dit ‘leertraject’ wordt eventueel waakvlambegeleiding ingezet om vinger aan de pols te houden.

 

*1) Voor de punten a) t/m g) geldt dat ze in principe aan bod komen in een gesprek(ken), maar niet altijd in de gestelde volgorde. Volgens de Sonestra- methode volgt de werker het verhaal van de cliënt, opdat de regie meer bij de ander blijft

 

2.2.2 Dagbesteding

a) Behoeften, persoonskenmerken en voorkeuren van de cliënt

Hoe verloopt doorsnee dag? Vorm van dagbesteding (vrijwilligerswerk, hobby’s, opleiding, dagbesteding, begeleid/beschut werk, re-integratietraject, tijdelijk werk, betaald werk) of geen dagbesteding? Tevreden met dagprogramma, welke opleiding voorheen? Gaan de kinderen naar school/kinderopvang/peuterspeelzaal en wat is de vrijetijdsbesteding van kinderen na school ?

b) Gewenst resultaat

Bijvoorbeeld wensen voor deelname aan georganiseerde activiteiten, als vrijwilliger en/of toeleiding naar dagbesteding/begeleid werk door het regionale Werkbedrijf.

c) Eigen kracht, gebruikelijke hulp of algemeen gebruikelijke voorzieningen

Bijvoorbeeld: de cliënt meldt zich aan als vrijwilliger

d) Rol mantelzorger(s) en sociaal netwerk

Bijvoorbeeld: familie/vrienden nemen cliënt mee naar een vereniging of buurtactiviteit.

e) Mantelzorgondersteuning

Om mantelzorger(s) te ontlasten kan de cliënt worden aangemeld voor ontwikkelingsgerichte of arbeidsmatige dagbesteding (maatwerkvoorziening) of basis dagbesteding voor ouderen (algemene voorziening) en bij kinderen met een beperking bij dagbesteding voor kinderen, bij voorkeur in combinatie met passende kinderopvang.

f) en g) Algemene voorzieningen

Betaald werk, re-integratietraject, vrijwilligerswerk, dagbesteding voor ouderen, deelname aan algemene voorzieningen zoals cursusaanbod of hobbycentra, zie www.wegwijzer 024.nl. Ook zijn er apps beschikbaar om mensen te ondersteunen bij het structureren van de dagindeling. Bij kinderen: Activiteitenpleinen bij Brede Scholen, kinderopvang, sportverenigingen, etc.

h) Maatwerkvoorziening

Als er voor een cliënt in aanvulling op de deelname aan diverse activiteiten (vrijwilligerswerk, deelname aan buurtactiviteiten of verenigingen, etc.) gestructureerde dagbesteding nodig is, al dan niet ter ontlasting van mantelzorger(s), dan kan een maatwerkvoorziening voor ontwikkelingsgerichte of arbeidsmatige dagbesteding worden ingezet. Dit zal met name nodig zijn voor mensen met een psychiatrische, verstandelijke, psychogeriatrische of ernstige fysieke beperking voor wie programmatische (vast dag- of weekprogramma volgens bepaalde methodiek met een welomschreven doel) dagbesteding noodzakelijk is voor het behoud of de verbetering van vaardigheden. Ter ontlasting van mantelzorgers ’s nachts is via de Wmo 2015 en de Jeugdwet ook kortdurend verblijf mogelijk met overnachting.

Er zijn 2 vormen van dagbesteding: ontwikkelingsgerichte dagbesteding (regulier, extra, specialistisch, zie het bouwstenenoverzicht) en arbeidsmatige dagbesteding. Voor ontwikkelingsgerichte dagbesteding stellen het wijk- of regieteam het onderzoeksverslag op ten hoeve van de gemeentelijke backoffice en voor arbeidsmatige dagbesteding meldt het wijk- of regieteam cliënten aan bij het Werkbedrijf Rijk van Nijmegen (WBRN).

Voor kinderen tot 4 jaar en kinderen met ernstige meervoudige beperkingen zijn verschillende vormen van dagbesteding en dagbehandeling mogelijk. Bij kinderen met beperkingen die naar school gaan, is soms is naschoolse dagbesteding of dagbehandeling gewenst, waarover we in de contracten met aanbieders met het oog op inclusie hebben afgesproken deze ondersteuningsvormen zoveel mogelijk te combineren met reguliere (naschoolse) kinderopvang (passende opvang).

 

2.2.3 Huisvesting

a) Behoeften, persoonskenmerken en voorkeuren van de cliënt

Type huis, tevreden met huis, aanpassingen gewenst, veilig in de woning en de buurt, onderhoud, hulp (nodig) bij zelfstandig wonen of bij het zoeken naar huisvesting/kamer voor jongere, contact met de buren, betaalbaarheid woning?

b) Gewenst resultaat

Bijvoorbeeld: cliënt kan zelfstandig en naar tevredenheid blijven wonen in de woning; cliënt voelt zich veilig in en om de woning.

c) Eigen kracht, gebruikelijke hulp of algemeen gebruikelijke voorzieningen

Zie lijst algemeen gebruikelijke voorzieningen in par. 2.1.

d) Rol mantelzorger(s) en sociaal netwerk

Bijvoorbeeld: eenvoudige goedkope woonaanpassingen zoals muurbeugels, kunnen met hulp van familieleden, vrienden of buren worden aangebracht.

e) Mantelzorgondersteuning

Bijvoorbeeld: geven van informatie over de diverse mogelijkheden om prettig zelfstandig te wonen.

f)en g Algemene voorzieningen

Mocht er niemand in het netwerk zijn die eenvoudige woonaanpassingen kan uitvoeren, dan is het mogelijk om een beroep te doen op een klussendienst, zoals de Klus Service van Sterker. Daarnaast zijn er diverse algemene voorzieningen gericht op zelfstandig en veilig wonen, zoals personenalarmering van Sterker en de diensten van 123 Comfort van ZZG Zorggroep.

h) Maatwerkvoorziening

Bij de toekenning van een maatwerkvoorziening voor woonaanpassingen of woonvoorzieningen dienen de volgende punten meegenomen te worden in de afweging:

  • 1.

    De mogelijkheid om te verhuizen

Voor woonaanpassingen boven een bedrag van € 6.000,- zal worden bekeken of een verhuizing wellicht een meer adequate oplossing voor het probleem kan zijn. Als een verhuizing geen reële mogelijkheid is, kan een maatwerkvoorziening verstrekt worden. Bij de mogelijkheid van verhuizing moet in ieder geval beoordeeld worden:

  • a.

    de aanwezigheid van aangepaste of eenvoudig aan te passen woningen binnen de gemeente Nijmegen;

  • b.

    kostenvergelijking;

  • c.

    de snelheid waarmee het woonprobleem opgelost kan worden;

  • d.

    sociale omstandigheden;

  • e.

    integrale afweging verschillende Wmo-voorzieningen: wonen, vervoer, rolstoelen;

  • f.

    de woonlastenconsequenties.

2) Elementaire woonfuncties

Het normaal gebruik kunnen maken van de woning is waar de cliënt zijn hoofdverblijf heeft of zal hebben. Dit geldt ten aanzien van de woonruimtes die de cliënt daadwerkelijk in gebruik heeft of gaat nemen. Een verder strekkende behoefte dient door de cliënt te worden aangetoond.

3) Logeerbaar maken woonruimte

Met behulp van een eenmalige tegemoetkoming voor meerkosten kan alleen een woonvoorziening getroffen worden voor het logeerbaar maken van één woonruimte indien (geldt ook voor 18-):

  • a.

    De cliënt woont in een Wlz-instelling in de gemeente Nijmegen;

  • b.

    De woning die logeerbaar gemaakt wordt, ligt in de gemeente Nijmegen indien de aanvrager zijn hoofdverblijf heeft in een Wlz-instelling.

4) Voorzienbaarheid

Een woonaanpassing of woonvoorziening kan worden geweigerd als de cliënt voor het eerst verhuist naar een zelfstandige woonruimte. Er moet daarbij altijd ook naar de concrete omstandigheden van de cliënt worden gekeken.

5) Mantelzorgwoning

Als sprake is van een aanvraag van een mantelzorgwoning gaat het college ook daarbij uit van de eigen verantwoordelijkheid voor het hebben van een woning. Dit kan door zelf een woning te bouwen of te huren en te plaatsen op het terrein nabij de woning van de mantelzorger(s). Daarbij is uitgangspunt dat de huisvestingslasten (voor huur of hypotheek, energie, etc.) die de verzorgde(n) had(den) voor de verhuizing naar de mantelzorgwoning, besteed kunnen worden aan de kosten voor de mantelzorgwoning.

 

2.2.4 Huiselijke relaties

a) Behoeften, persoonskenmerken en voorkeuren van de cliënt

Samenstelling gezin, verdeling van taken, onderlinge relatie, eventuele kinderwens, opvoeding en ontwikkeling kinderen, naar welke school gaan de kinderen en gaat dit goed, seksualiteit, eerder hulp betrokken geweest bij huishouden of gezin, is er sprake van huiselijk geweld, verwaarlozing, seksueel misbruik of ouderenmishandeling?

b) Gewenst resultaat

Bijvoorbeeld: verbetering van bijvoorbeeld de huiselijke sfeer, onderlinge huiselijke relaties en het opvoedklimaat.

c) Eigen kracht, gebruikelijke hulp of algemeen gebruikelijke voorzieningen

Bijvoorbeeld: vaardigheden meegeven om onderling binnen het gezin problemen en vragen beter bespreekbaar te maken.

d) Rol mantelzorger(s) en sociaal netwerk

Bijvoorbeeld: mantelzorger(s) en netwerkleden kunnen een rol hebben bij het aanleren van nieuwe (opvoed)vaardigheden (bijvoorbeeld meekijken en meedenken).

e) Mantelzorgondersteuning

Bijvoorbeeld: mantelzorger(s) kunnen ontlast worden door meer mensen uit het netwerk te betrekken bij de situatie (zie d).

f)en g) Algemene voorzieningen

Er zijn diverse algemene voorzieningen die ondersteuning kunnen bieden bij relationele problemen, zoals kortdurende ondersteuning van het buurtteam, inschakeling maatschappelijk werk en opvoedondersteuning (bijvoorbeeld videohometraining) van de GGD.

h) Maatwerkvoorziening

Begeleiding bij de verbetering van onderlinge relaties of van het opvoedklimaat kan onderdeel zijn van een individueel begeleidingstraject als specifieke expertise van een beperking noodzakelijk is.

 

2.2.5 Geestelijke gezondheid

a) Behoeften, persoonskenmerken en voorkeuren van de cliënt

Is er sprake van stressvolle gebeurtenissen (onlangs), hoe gaat het slapen (van de evt. kinderen), is er sprake van psychisch welbevinden (bijvoorbeeld gelukkig, angstig, somber of ongeïnteresseerd), omgaan met stress, wat zijn positieve of negatieve punten in het karakter, zelfvertrouwen, problemen met denken, geheugen, de weg vinden, bediening van apparaten?

b) Gewenst resultaat

Vermindering van de ervaren stress, verbetering van het slaapritme, vermindering angst waardoor kind weer naar school gaat, etc.

c) Eigen kracht, gebruikelijke hulp of algemeen gebruikelijke voorzieningen

De cliënt past vaardigheden en tips toe om de psychische gesteldheid te verbeteren met behulp van familie en vrienden.

d) Rol mantelzorger(s) en sociaal netwerk

Bijvoorbeeld: familie en vrienden stimuleren de cliënt om de vaardigheden en tips toe te passen. Hoe is draaglast bij overige gezinsleden, inclusief kinderen?

e) Mantelzorgondersteuning

Bijvoorbeeld: kennisoverdracht over GGZ-problematiek, lotgenotencontact en mantelzorger(s) kunnen ontlast worden door meer mensen uit het netwerk te betrekken bij de situatie.

f)en g) Algemene voorzieningen

Algemene voorzieningen in dit verband betreffen vrijwilligersorganisaties (luisterend oor, o.a. telefonische hulpdienst Sensoor (Luisterlijn), COiL, maatjesprojecten) kortdurende ondersteuning van het buurtteam en maatschappelijk werk en specifiek voor kinderen opvoedhulp (via bijv. Sterker, jeugdgezondheidszorg van de GGD of Indigo) en Integrale Vroeghulp bij kinderen. Daarnaast is behandeling, zoals (peuter/kinder-)revalidatie en fysio- of ergotherapie (kinderen en volwassenen), behandeling door een psychiater of psycho-educatie (alleen bij volwassenen) via de Zorgverzekeringswet in principe voorliggend als verbetering van het functioneren mogelijk is.

h) Maatwerkvoorziening

Begeleiding bij de verbetering van onderlinge relaties of van het opvoedklimaat kan onderdeel zijn van een individueel begeleidingstraject als specifieke expertise van een beperking noodzakelijk is. Het kan zinvol zijn om begeleiding te combineren tijdens een behandeltraject om de vaardigheden in de praktijk te oefenen middels nauwe samenwerking tussen behandelaar en begeleider.

 

2.2.6. Lichamelijke gezondheid

a) Behoeften, persoonskenmerken en voorkeuren van de cliënt

Lichamelijke aandoening (lichamelijke beperking, chronische ziekte, hoe redt men zich), behandeling voor de lichamelijke aandoening, medicijngebruik, leefstijl (hoeveel beweging, roken, alcoholgebruik), conditie, gewicht (schommelingen?), pijn, incontinentie?

b) Gewenst resultaat

Bijvoorbeeld: cliënt voelt zich beter (minder pijn), de gezondheid verbetert of cliënt heeft een gezondere leefstijl.

c) Eigen kracht, gebruikelijke hulp of algemeen gebruikelijke voorzieningen

Bijvoorbeeld: cliënt neemt zelf initiatief om lid te worden van een sportvereniging.

d) Rol mantelzorger(s) en sociaal netwerk

Bijvoorbeeld: cliënt gaat samen met vrienden een keer in de week wandelen of de partner houdt in de gaten of de medicijnen worden in genomen. Bij kinderen dragen de ouders in beginsel verantwoordelijkheid voor de dagelijkse zorg. Wanneer ouders overbelast (dreigen te) raken als gevolg van beperkingen, kunnen zij jeugdhulp ontvangen ter ontlasting van de zorg.

e) Mantelzorgondersteuning

Zie leefgebied Activiteiten dagelijks leven.

f) en g) Algemene voorzieningen

Afstemming eventuele acties met behandeling door huisarts of betrokken specialisten.

Vrijwilligersorganisatie of wijkactiviteiten: via de Hulpdienst een beweegmaatje koppelen aan de cliënt (wandelen met een vrijwilliger), lid worden van een sportvoorziening, aansluiten bij een wandelgroep in de wijk opstarten wandelgroep in de wijk, jeugdgezondheidszorg (GGD), cursussen Indigo en Integrale Vroeghulp (MEE); aanmelding cursus ‘stoppen met roken’ (doorverwijzing via huisarts: Zorgverzekeringswet). Via de zorgverzekeringswet (indicatie door wijkverpleegkundige of huisarts is (peuter/kinder-)revalidatie en fysio- of ergotherapie en inzet van verpleging en verzorging thuis mogelijk voor mensen (18+) met (risico op) behoefte aan geneeskundige zorg.

h) Maatwerkvoorziening Indien sprake is van een maatwerkvoorziening voor een begeleidingstraject of voor dagbesteding, dan dient in deze trajecten rekening gehouden te worden met de lichamelijke aandoening en aandacht te zijn voor bevordering van een gezonde leefstijl. Persoonlijke verzorging voor mensen met een verstandelijke, zintuiglijke en/of psychiatrische beperking (geen behoefte aan geneeskundige zorg) valt onder de Wmo en hiervoor kan een Wmo-maatwerkvoorziening worden aangevraagd.

Voor persoonlijke verzorging aan jeugdigen geldt dat:

  • a.

    Persoonlijke verzorging die gericht is op het versterken van de zelfredzaamheid van de jeugdige valt onder de Jeugdwet.

  • b.

    Persoonlijke verzorging voor jeugdigen die verband houdt met de behoefte aan geneeskundige zorg of een hoog risico daarop valt vanaf 2018 onder de Zorgverzekeringswet.

 

2.2.7. Verslaving

a) Behoeften, persoonskenmerken en voorkeuren van de cliënt

Rookt de cliënt, alcoholgebruik, druggebruik (hard- of softdrugs), gebruik verslavende medicijnen (zoals slaapmiddelen), sexverslaving of veel bezig met gokken of gamen?

b) Gewenst resultaat

Beëindiging of beheersing verslaving.

c) Eigen kracht, gebruikelijke hulp of algemeen gebruikelijke voorzieningen

Bij matige verslaving is het afhankelijk van de situatie mogelijk om op eigen kracht de verslaving te beëindigen, al dan niet met behulp van lichte professionele ondersteuning (eventueel digitale ondersteuning) en het netwerk.

d) Rol mantelzorger(s) en sociaal netwerk

Zie c)

e) Mantelzorgondersteuning

Bij ernstige verslaving is expliciet aandacht nodig voor ondersteuning van het netwerk.

f)en g) Algemene voorzieningen

- Behandeling van de verslaving valt bij volwassenen onder de Zorgverzekeringswet (voor jongeren valt behandeling van de verslaving onder de Jeugdwet, zie maatwerkvoorziening).

- Afhankelijk van de problemen die voortvloeien uit de verslaving kunnen de algemene voorzieningen van toepassing zijn die zijn genoemd bij de andere leefgebieden, met name de leefgebieden financiën en dagbesteding.

- Verslavingspreventie-activiteiten via GGD, IrisZorg, jongerenwerk en op scholen.

h) Maatwerkvoorziening

Afhankelijk van de ernst van de verslaving en de daaruit voortkomende problematiek kan individuele begeleiding of dagbesteding deel uitmaken van het afgesproken plan.

Voor jongeren tot 18 jaar is er behandeling van de verslaving mogelijk binnen de Jeugdwet in een Verslavingskliniek in Tiel van Iriszorg (detoxing).

 

2.2.8 Activiteiten dagelijks leven

a) Behoeften, persoonskenmerken en voorkeuren van de cliënt

In staat tot zelfstandig aankleden, wassen/douchen, naar het toilet gaan, verzorging tanden/huid/nagels, eten, drinken, hulpmiddelen (prothese, steunkousen, etc.) aanbrengen; zelfstandig eten bereiden, boodschappen doen, de was doen klussen in/rond huis, licht of zwaar huishoudelijk werk (schoonmaken o.a.), het huishouden organiseren en de tuin onderhouden.

b) Gewenst resultaat

(Langer) zelfstandig functioneren en (blijven) wonen.

c) Eigen kracht, gebruikelijke hulp of algemeen gebruikelijke voorzieningen

Bepalen wat mensen zelf kunnen (bijvoorbeeld hulpmiddel om steunkousen aan te trekken). Als mensen voorheen op eigen kosten iemand inhuurden voor het verrichten van huishoudelijke taken en er geen inkomenswijziging of aantoonbare meerkosten ontstaan in relatie tot de beperking, is geen compensatie nodig.

Voor gebruikelijke hulp (wat mag verwacht worden van huisgenoten in het huishouden), zie bijlage 1 protocol gebruikelijke hulp voor Hulp bij het Huishouden.

d) Rol mantelzorger(s) en sociaal netwerk

Mantelzorger(s) en mensen uit het netwerk geven zelf aan wat ze naast de gebruikelijke hulp kunnen en willen betekenen in het huishouden (bijvoorbeeld boodschappen doen), rondom huis, het brengen en/of halen van kinderen bij opvang of wat betreft de zorg voor de cliënt. Wanneer ouders overbelast (dreigen te) raken als gevolg van beperkingen, kunnen zij Jeugdhulp of Wmo-ondersteuning ontvangen ter ontlasting van de zorg, zie maatwerkvoorziening.

e) Mantelzorgondersteuning

Bespreken met mantelzorger(s), aan welke ondersteuning ze behoefte hebben en of ontlasting nodig is door de inzet van respijtzorg (bijvoorbeeld dagbesteding) of gedeeltelijke vervanging van de mantelzorg door professionele hulp (zoals verzorging via de Zorgverzekeringswet). Specifiek ter ontlasting van mantelzorgers is het mogelijk om gebruik te maken van de Toelage Hulp bij het Huishouden (HHT), zie bijlage 3.

f)en g) Algemene voorzieningen

Bij algemene voorzieningen kan gedacht worden aan: technische hulpmiddelen (o.a. wasdroger of afwasmachine), boodschappenbezorgdienst (supermarkt, vrijwilligersorganisaties), kant-en-klaarmaaltijden, maaltijdservice of klusservice van Swon, boodschappenhulp van Swon of de Hulpdienst en kinderopvang (in relatie tot verzorging van kinderen/Hulp bij het Huishouden 2).

Persoonlijke verzorging en verpleging zijn vanaf 2015 grotendeels onderdeel van de Zorgverzekeringswet die wordt geïndiceerd door de wijkverpleegkundige of de huisarts, waarmee afgestemd wordt: verpleging en verzorging thuis (wijkverpleging) voor volwassenen (18+) met (risico op) behoefte aan geneeskundige zorg valt onder de Zorgverzekeringswet.

h) Maatwerkvoorziening

Persoonlijke verzorging

Persoonlijke verzorging voor mensen met een verstandelijke, zintuiglijke en/of psychiatrische beperking (geen behoefte aan geneeskundige zorg) valt onder de Wmo en hiervoor kan een Wmo-maatwerkvoorziening worden aangevraagd.

Voor persoonlijke verzorging aan jeugdigen geldt dat:

  • a.

    Persoonlijke verzorging die gericht is op het versterken van de zelfredzaamheid van de jeugdige valt onder de Jeugdwet.

  • b.

    Persoonlijke verzorging voor jeugdigen die verband houdt met de behoefte aan geneeskundige zorg of een hoog risico daarop valt vanaf 2018 onder de Zorgverzekeringswet

Hulp bij het Huishouden

1. Voor de resterende taken kan via de Wmo Hulp bij het Huishouden 1 (licht en zwaar huishoudelijk werk, maaltijdvoorziening en wassen en strijken) of Hulp bij het Huishouden 2 (HH1 plus regie op het huishouden en de verzorging van kinderen) worden aangevraagd. Het buurtteam bepaalt vervolgens tijdens het gesprek of de inzet van de maatwerkvoorziening noodzakelijk is en of het gaat om HH1 of HH2. De cliënt wordt vervolgens ‘een schoon en leefbaar huis’ toegekend. De cliënt stelt dan samen met de zorgaanbieder het plan van aanpak op, waarin de samenstelling, frequentie en omvang van de werkzaamheden wordt vastgelegd. Zie voor de uitwerking van het resultaat bijlage 2.

2. Voor zover op dit leefgebied maatwerkvoorzieningen in de vorm van woningaanpassingen worden verstrekt geldt het volgende. Aanpassingen worden slechts verricht in de woning waar de cliënt zijn hoofdverblijf heeft of zal hebben. Dit geldt ten aanzien van de woonruimtes die de cliënt daadwerkelijk in gebruik heeft of gaat nemen voor de elementaire woonfuncties. Een verder strekkende behoefte dient door de cliënt te worden aangetoond.

3. Voor woonvoorzieningen en -aanpassingen zie paragraaf 2.2.3.

 

2.2.9 Sociaal netwerk

a) Behoeften, persoonskenmerken en voorkeuren van de cliënt

Hoe ziet het sociale netwerk er uit, tevreden over het sociale netwerk, wat is de betekenis van het netwerk voor de cliënt (praktische hulp, emotionele steun, etc.) en op welke manier is de cliënt van betekenis voor het netwerk, eenzaamheidsgevoelens (nooit, soms, vaak), behoefte aan meer contact met mensen van uw eigen of een andere cultuur levensbeschouwing/godsdienst, LHBTIQ+ gemeenschap, netwerk van mensen met een beperking. Bij kinderen: hoe is het contact met de ouders en de rest van de familie, heeft het kind vriendschappen, speelt het regelmatig met andere kinderen, heeft het kind vertrouwenspersonen?

b) Gewenst resultaat

Bijvoorbeeld: voldoende steun van familie en vrienden, geen/weinig contact met 'foute' vrienden.

c) Eigen kracht, gebruikelijke hulp of algemeen gebruikelijke voorzieningen

Onderzoeken in hoeverre het gewenst is dat de cliënt ondersteund wordt bij het versterken of uitbreiden van het sociale netwerk.

d) Rol mantelzorger(s) en sociaal netwerk

Bij alle andere leefgebieden komt aan de orde hoe het sociale netwerk is samengesteld en hoe de relaties zijn, wat men van elkaar verwacht en zou wensen, wat mantelzorger(s) en andere mensen uit het sociale netwerk willen en kunnen betekenen voor de cliënt. Daarnaast ook bespreken wat de cliënt voor het sociale netwerk betekent of kan betekenen.

e) Mantelzorgondersteuning

Bij alle leefgebieden is het van belang om oog te hebben voor eventuele overbelasting van mantelzorger(s) en te bezien in hoeverre het mogelijk is om de ondersteuning met meer mensen uit het sociale netwerk te delen.

f)en g) Algemene voorzieningen

Er zijn diverse methodes om het sociale netwerk te vergroten (zoals Brugproject Humanitas, Cirkelmethode Hulpdienst, Informele netwerkondersteuning MEE en Gewoon meedoen van Bindkracht/MEE) en diverse maatjesprojecten bij welzijn- en zorgorganisaties. Voor kinderen: in contact komen met andere kinderen via maatjesprojecten, wijkactiviteiten, sportverenigingen, muziekverenigingen, dansactiviteiten, scouting, Activiteitenpleinen Brede Scholen, etc, zie www.wegwijzer024.nl. Daarnaast bieden veel scholen sociale vaardigheids- en weerbaarheidstrainingen aan.

h) Maatwerkvoorziening

Onderdeel van een Wmo-begeleidingstraject kan zijn het versterken of uitbreiden van het sociale netwerk als er specifieke expertise nodig is van een beperking.

Jeugdhulpvoorzieningen zijn mogelijk bij isolement in de vorm van sociale vaardigheidstrainingen ( in combinatie met) therapie voor de aanpak van sociale angst of trainingen in groepen op (speciaal) onderwijs, weerbaarheidstrainingen e.d. van jeugd- en opvoedhulpen Jeugd-GGZ.

 

2.2.10 Maatschappelijke participatie

a) Behoeften, persoonskenmerken en voorkeuren van de cliënt

Deelnemer van een maatschappelijke groep (bijvoorbeeld kerk of adviesraad), doen van vrijwilligerswerk, deelname aan georganiseerde activiteiten (sport, hobby's, cursus, etc.), op de hoogte van voorzieningen/activiteiten in de buurt, betrokken bij activiteiten in de buurt?

b) Gewenst resultaat

Vergroting van maatschappelijke participatie indien de cliënt dat wenst.

c) Eigen kracht, gebruikelijke hulp of algemeen gebruikelijke voorzieningen

Bijvoorbeeld: de cliënt kan zelf met beperkte aansporing initiatief nemen om activiteiten te ondernemen, lid te worden van een vereniging, jongere kan vrijwilligerswerk gaan doen, etc.

d) Rol mantelzorger(s) en sociaal netwerk

Bijvoorbeeld: (tijdelijke) begeleiding door mantelzorger(s) of anderen uit het netwerk bij de (eerste stappen richting) deelname aan activiteiten.

e) Mantelzorgondersteuning

Uitbreiding van de maatschappelijke participatie kan mantelzorger(s) ontlasten.

f)en g) Algemene voorzieningen

Er is een breed aanbod van vrijetijdsbesteding: van sportverenigingen, scouting, fitnesscentra, hobbycentra, cursussen (bijvoorbeeld cursusaanbod van Sterker en de Lindenberg), activiteiten ouderenbonden, amateurkunst (theater- en muziekverenigingen, koren) tot buurtactiviteiten, Trias en het GVO. Zie www.wegwijzer024.nl.

h) Maatwerkvoorziening

- In principe kan het buurtteam toeleiden naar de algemene voorzieningen, maar soms kan (tijdelijk) een begeleidingstraject nodig zijn om de deelname aan algemene voorzieningen te begeleiden en expertise over te dragen aan de organisatie van de algemene voorziening.

- Specifiek voor sportdeelname is het mogelijk om eenmalige tegemoetkoming voor meerkosten te ontvangen voor een sportvoorziening voor recreatief sportgebruik.

- Ondersteuning vindt slechts plaats waar het betreft een aanvaardbare mate van participatie in de directe woon- en leefomgeving. Hiervoor wordt de grens van 25 kilometer die ook onder de Wmo (uit 2007) gebruikelijk was, gehandhaafd.

- Mensen met een beperking willen ook graag op vakantie en kunnen daar beperkingen hebben in de zelfredzaamheid of participatie. Denk dan bijvoorbeeld aan begeleiding van kinderen, jongeren of volwassenen met een autistische beperking of hulp bij algemeen dagelijkse levensverrichtingen (adl), zoals wassen, aan-/uitkleden en eten/drinken (verzorging, met name bij kinderen; bij volwassenen komt verzorging in de meeste gevallen uit de Zvw).

Ook hier is maatwerk de oplossing met de volgende aandachtspunten:

  • 1.

    In principe worden alleen de (extra) begeleiding en/of verzorging vergoed uit de Wmo of Jeugdwet, niet de vakantiekosten zelf. Een indicatie voor de vraag of extra begeleiding/verzorging op vakantie nodig is, is of mensen thuis ook professionele begeleiding of verzorging hebben. In dat geval kunnen ze de begeleiding/verzorging ‘meenemen’ op vakantie, via PGB (afsluiten van zorgovereenkomst met de vakantieorganisatie) of bij Zorg in Natura via onderaannemerschap (de vakantieorganisatie regelt e.e.a. dan met de zorgorganisatie die de begeleiding/verzorging thuis biedt). In dit geval is er dus geen extra indicatie nodig voor vakantie.

  • 2.

    Als de vakantie is bedoeld om ouders/gezinnen/mantelzorgers te ontlasten, dan is er sprake van respijtzorg. Dan kan de vakantie onder de noemer ‘kortdurend verblijf’ toegekend worden, althans, als de begeleiding/verzorging niet ‘meegenomen’ kan worden (punt 1).

  • 3.

    Kijk in alle gevallen (ook in het geval van respijtzorg) of er voorliggende voorzieningen zijn, zoals de Speelweek van het Gespecialiceerd Vormings- en Ontspanningswerk (GVO), een vrijwilligersorganisatie die vrijetijdsbesteding organiseert voor mensen met een verstandelijke beperking.

  • 4.

    In alle gevallen moet de vakantie (ook) bijdragen aan de doelen uit het begeleidingsplan die gericht zijn op vergroting van de zelf- en samenredzaamheid en participatie.

  • 5.

    Zie voor een overzicht met mogelijkheden voor vakanties voor kinderen en volwassenen met een beperking de blauwe gids: http://www.deblauwegids.nl/

 

2.2.11 Justitie

a) Behoeften, persoonskenmerken en voorkeuren van de cliënt

Is de cliënt wel eens in aanraking geweest met politie, Jeugdreclassering, Bureau Halt , leerplicht of justitie (regelmatig/maandelijks, incidenteel/eens per jaar of zelfden tot nooit)?

b) Gewenst resultaat

Bijvoorbeeld: voorkomen van recidive.

c) Eigen kracht, gebruikelijke hulp of algemeen gebruikelijke voorzieningen

Zie andere leefgebieden, is afhankelijk van de situatie.

d) Rol mantelzorger(s) en sociaal netwerk

Zie andere leefgebieden, is afhankelijk van de situatie.

e) Mantelzorgondersteuning

Zie andere leefgebieden, is afhankelijk van de situatie.

f)en g) Algemene of algemene voorzieningen

Zie andere leefgebieden, is afhankelijk van de situatie.

h) Maatwerkvoorziening

In het kader van het nazorgtraject van gedetineerden kan een begeleidingstraject nodig zijn met het oog op de re-integratie in de samenleving. Op het onderscheid tussen Wmo 2015 en de forensische zorg (geestelijke gezondheidszorg, verslavingszorg of VG-zorg die verleend wordt in een strafrechtelijk kader) is het volgende van toepassing:

  • a.

    De indicatie van een verzekerde die al een Wmo-indicatie heeft, blijft van kracht als deze verzekerde forensische zorg opgelegd krijgt.

  • b.

    Het college indiceert niet voor Wmo-ondersteuning bij wie forensische zorg is opgelegd en die tijdens de tenuitvoerlegging van de forensische zorg een aanvraag doet voor Wmo-ondersteuning. De forensische zorg voorziet in de zorgbehoefte.

Bij een jeugdreclasseringmaatregel kan ook jeugdhulp (bijvoorbeeld jeugd-ggz) worden ingezet. In een aantal gevallen vloeit de jeugdhulp direct voort uit de strafrechtelijke beslissing. Ook kan de gecertificeerde instelling bepalen dat (aanvullende) jeugdhulp nodig is. De gemeente en de gecertificeerde instelling hebben hierover overleg

 

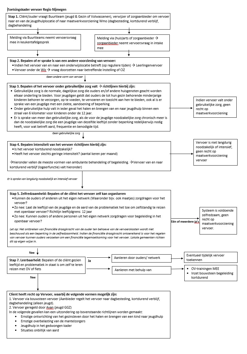
2.2.12 Verplaatsen en vervoer

a) Behoeften, persoonskenmerken en voorkeuren van de cliënt

Zelfstandig verplaatsen binnenshuis: in/uit bed komen, opstaan uit stoel, lopen, traplopen, in/uit huis gaan, frequentie vallen, gebruik loophulpmiddel? Buitenshuis lokaal verplaatsen: buiten wandelen, fietsen, reizen met openbaar vervoer, naar school, instanties of familie gaan, parkeren bij huis of winkels, frequentie vallen, gebruik loophulpmiddel, zelfstandig autorijden, gebruik vervoersregelingen?

b) Gewenst resultaat

Afhankelijk van de vervoersbehoefte in relatie tot de activiteiten die de cliënt wil ondernemen, zo zelfstandig mogelijk verplaatsen binnens- en buitenshuis.

c) Eigen kracht, gebruikelijke hulp of algemeen gebruikelijke voorzieningen

Afhankelijk van de cliëntsituatie zelf zorgdragen voor het vervoer al dan niet met behulp van het sociale netwerk. Specifiek bij kinderen verwachten we van ouders dat ze zelf hun kind brengen en ophalen:

  • 1.

    Wanneer het vervoer niet langdurig noodzakelijk is of het vervoer slechts een geringe intensiteit heeft (beperkt aantal keren per maand). Hieronder vallen de meeste vormen van ambulante behandeling of begeleiding.

  • 2.

    Wanneer er een eigen oplossing is voor vervoer of een oplossing vanuit het eigen netwerk, met vrijwilligers of maatjes.

  • 3.

    Bij vervoer van en naar kortdurend verblijf of bij inzet logeerfunctie.

  • 4.

    De locatie binnen 4 tot 6 kilometer (afhankelijk van het type onderwijs) van huis ligt. Hiermee trekken we één lijn met leerlingenvervoer, waarvoor dezelfde richtlijn geldt.

d) Rol mantelzorger(s) en sociaal netwerk

Bijvoorbeeld: bespreken in hoeverre mantelzorger(s) of mensen uit het sociale netwerk de cliënt wil wegbrengen en/of ophalen.

e) Mantelzorgondersteuning

Bijvoorbeeld: mantelzorger(s) ontlasten door meer mensen uit het netwerk te vragen om te helpen bij het vervoer.

f)en g) Algemene/voorliggende voorzieningen

  • Bij kinderen en jongeren: leerlingenvervoer van en naar school inclusief kinderopvang.

  • Vrijwilligersorganisaties, zoals de Hulpdienst, die mensen kunnen begeleiden bij gebruik van het openbaar vervoer.

  • Op een beperkt aantal plekken in de stad is een scootmobielpool ingericht (o.a. bij het Oud Burgeren Gasthuis).

  • Het openbaar vervoer is in de regio Nijmegen in principe rolstoel- en rollatortoegankelijk voor mensen met een fysieke beperking: gemeente Nijmegen heeft geïnvesteerd in het toegankelijk maken van bushaltes en bussen, zodat deze voor een zo groot mogelijk publiek bereikbaar zijn. Daardoor wordt verwacht dat het grootste deel van de inwoners van Nijmegen in staat is om gebruik te maken van het openbaar vervoer, ook wanneer iemand rolstoelafhankelijk is. Het openbaar vervoer geldt dan ook expliciet als algemene voorziening (primaat openbaar vervoer) op een aanspraak op vervoersvoorzieningen op grond van de Wmo 2015. Dat is ook wenselijk omdat het openbaar vervoer mensen een relatief grote vorm van verplaatsingsvrijheid biedt.

  • Daarnaast is er de mogelijkheid van collectief vervoer via de Regiotaxi met een Wmo-vervoerspas. Mocht het openbaar vervoer niet adequaat zijn, dan wordt gekeken naar de Regiotaxi. De Regiotaxi is een collectief vervoerssysteem. Voor de bepaling of de Regiotaxi geschikt is voor de cliënt, zie bijlage 6.

h) Maatwerkvoorziening

Wmo sociaal vervoer

Mensen die voor het “vervoer van alledag” (boodschappen, familiebezoek etc.) als gevolg van hun beperking geen gebruik kunnen maken van de het openbaar vervoer of de Regiotaxi, komen in aanmerking voor een individuele vervoersvoorziening (maatwerkvoorziening) in de vorm van een persoonsgebonden budget voor het gebruik van de eigen auto of een (reguliere) taxi of rolstoeltaxi. Voor nadere criteria, zie bijlage 6.

Vervoer van/naar Wmo-dagbesteding en Jeugdhulpvoorzieningen

Indien vervoer van en naar dagbestedingsvoorzieningen op eigen kracht, met behulp van het netwerk of met het openbaar of collectief vervoer niet mogelijk is, is een maatwerkvoorziening op grond van de Wmo 2015 of de Jeugdwet aangewezen. Hiervoor dient in aanvulling op de bouwsteen voor dagbesteding of jeugdhulp, de bouwsteen vervoer aangevraagd te worden. Nadere criteria en het werkproces hiervoor zijn specifiek uitgewerkt in bijlage 7.

 

2.2.13 Communicatie

a) Behoeften, persoonskenmerken en voorkeuren van de cliënt

Hoe gaat het lezen, spreken en schrijven, gebruik computer en telefoon, Nederlands of andere taal, problemen met zien of horen, iets duidelijk maken, problemen om andere mensen te begrijpen?

b) Gewenst resultaat

Afhankelijk van de wensen van de cliënt verbetering van de communicatie op bepaalde gebieden.

c) Eigen kracht, gebruikelijke hulp of algemeen gebruikelijke voorzieningen

Afhankelijk van de cliëntsituatie.

d) Rol mantelzorger(s) en sociaal netwerk

Afhankelijk van de cliëntsituatie en de mogelijkheden en wensen van het sociale netwerk.

e) Mantelzorgondersteuning

Afhankelijk van de situatie.

f) en g) Algemene voorzieningen

- Hulpmiddelen (bril, gehoorapparaat, etc.) via Zorgverzekeringswet, hulpmiddelen ten behoeve van opleiding of werk (via UWV en Participatiewet).

- Doventolk: landelijke voorziening.

- Bij LVG- en Jeugd-GGZ (autisme e.d.)- aanbieders is veel kennis m.b.t. pictogrammen etc.

h) Maatwerkvoorziening

Het oefenen van vaardigheden om de communicatie te verbeteren kan onderdeel zijn van een begeleidingstraject.

 

Hoofdstuk 3 Beschermd wonen Wmo

3.1 Inleiding

Vanaf 1 januari 2015 is beschermd wonen van de Algemene Wet Bijzondere Ziektekosten (AWBZ) overgeheveld naar de Wet maatschappelijke ondersteuning (Wmo 2015). De centrumgemeente is verantwoordelijk voor een deel van beschermd wonen voor mensen met psychische problemen. Het ging destijds om beschermd wonen met het zorgzwaartepakket GGZ-C dat gericht is op begeleiding. Zorgzwaartepakket B dat gericht is op behandeling, is niet naar de gemeente gegaan, maar valt nu onder de Wet langdurige zorg (Wlz). Er zijn ook jeugdigen met een GGZ-C indicatie onder de 18 jaar. Deze jeugdigen vallen onder de Jeugdwet.

Beschermd wonen is in de Wmo 2015 als volgt gedefinieerd: ‘wonen in een accommodatie van een instelling met daarbij behorend toezicht en begeleiding, gericht op het bevorderen van zelfredzaamheid en participatie, het psychisch en psychosociaal functioneren, stabilisatie van een psychiatrisch ziektebeeld, het voorkomen van verwaarlozing of maatschappelijke overlast of het afwenden van gevaar voor de cliënt of anderen, bestemd voor personen met psychische of psychosociale problemen, die niet in staat zijn zich op eigen kracht te handhaven in de samenleving’ (artikel 1.1.1 Wmo).

Daarnaast is iedere gemeente verantwoordelijk voor tijdelijk beschermd wonen voor volwassenen met een licht verstandelijke beperking (lvb 18+) die niet in aanmerking komen voor beschermd/intramuraal wonen vanuit de Wlz, omdat er vooralsnog geen sprake lijkt van levenslange behoefte aan beschermd wonen.

Beschermd wonen is een passende maatwerkvoorziening voor mensen die als gevolg van ernstige psychische problemen niet in staat zijn zich op eigen kracht te handhaven in de samenleving. De ondersteuning vanuit een beschermde woonvorm is de aller zwaarste vorm van ondersteuning welke ingezet kan worden als maatwerkvoorziening door de gemeente. Het is de enige vorm van intramurale ondersteuning die binnen de Wmo valt. Beschermd wonen wordt alleen ingezet als alle voorliggende mogelijkheden ontoereikend zijn, waaronder:

  • 1.

    oplossingen vanuit eigen kracht en/of eigen netwerk;

  • 2.

    algemene voorzieningen;

  • 3.

    maatwerkvoorzieningen in de vorm van ambulante begeleiding en/of dagbesteding;

  • 4.

    behandeling (tenzij behandeling ontoereikend is gebleken).

Deze beleidsregels vormen een nadere uitwerking van wet- en regelgeving en vormen het juridische afwegingskader voor de toekenning van maatwerkvoorzieningen beschermd wonen. Binnen het afwegingskader van deze beleidsregels is er ruimte voor maatwerk.

 

3.1.1 Overgangsrecht beschermd wonen

Voor iedereen die voorafgaand aan 1 januari 2015 een indicatie had voor beschermd wonen (ZZP GGZ, categorie C), geldt een overgangsrecht van vijf jaar of korter als de indicatie eerder eindigt. Cliënten behouden tijdens dit overgangsrecht het recht op beschermd wonen tenzij betrokkene instemt met een ander passend Wmo-aanbod. Het overgangsrecht geldt voor de aanspraak op zorg, niet voor de leveringsvorm van die zorg.

 

3.2 Centrumgemeente Nijmegen

Beschermd wonen is een taak die (voorlopig) bij centrumgemeenten is ondergebracht. Op grond van de Wmo 2015 is de gemeente Nijmegen als centrumgemeente verantwoordelijk voor het bieden van beschermd wonen GGZ in de regio Rijk van Nijmegen en Rivierenland. De gemeente Nijmegen koopt beschermd wonen in en draagt zorg voor de toegang voor de inwoners van de regiogemeenten. Hierbij is het uitgangspunt dat alle samenwerkende gemeenten, en niet alleen de centrumgemeente, de verantwoordelijkheid dragen en met elkaar samenwerken.

Voor (tijdelijk) beschermd wonen lvb 18+ zijn de individuele gemeenten verantwoordelijk.

 

3.2.1 Landelijke toegankelijkheid

In de wet is bepaald dat voor beschermd wonen en voor maatschappelijke opvang geldt dat mensen zich in alle gemeenten in Nederland kunnen melden als zij aanspraak willen maken op beschermd wonen of maatschappelijke opvang. Zij moeten de mogelijkheid krijgen om hun eigen woonplaats te kiezen: beschermd wonen is landelijk toegankelijk. Dit houdt in dat (potentiele) cliënten zich tot elke gemeente kunnen wenden voor beschermd wonen. De centrumgemeente van aanmelding behandelt deze aanmelding conform de handreiking Landelijke toegang beschermd wonen. Deze handreiking bevat model-beleidsregels die de centrumgemeente dienen te hanteren bij het bepalen van de plaats waar een cliënt het meest aangewezen is op beschermd wonen. Landelijke toegankelijkheid betekent niet dat iemand ook altijd beschermd kan wonen waar hij wil wonen. Dat kan om te beginnen alleen als en wanneer er een passende plek beschikbaar is. Ook is het niet de bedoeling dat verhuizen beschermd wonen juist noodzakelijk maakt. Bijvoorbeeld wanneer een cliënt vanwege een sterk sociaal steunsysteem nog zelfstandig kon wonen met ondersteuning.

Centrumgemeenten nemen kennis van de wens van een bewoner en beoordelen vervolgens op basis van zorginhoudelijke en participatiecriteria waar de aanvrager de beste ondersteuning kan vinden, voor de korte en langere termijn. Idealiter komt de gemeente aan de keuze van de cliënt voor een plek/instelling tegemoet. Het is echter de beoordelende gemeente die in overleg met de cliënt de eindverantwoordelijkheid draagt en een besluit neemt, op basis van onderstaande punten, genoemde zorginhoudelijke en participatiecriteria (criteria die betrekking hebben op de voorwaarden voor een succesvol traject):

a. wat is de beste omgeving waarin aan participatie gewerkt kan worden? Hierbij is de aanwezigheid van een positief sociaal netwerk (familie en vrienden) van belang om:

- beschermd wonen te voorkomen (inzet van andere vormen van beschermende woonvormen);

- uitstroom naar vormen van zelfstandig wonen te bevorderen.

b. voorwaarden voor succesvolle trajecten, zoals:

- (reeds ingezette) actieve schuldhulpverlening,

- een bestaande relatie met GGZ of andere vormen van hulpverlening

- reeds ingezette scholing, (vrijwilligers) werk, of passende dagbesteding,

- eventueel aanwezige (veiligheids)risico’s op de huidige woonplek,

- de behoefte aan een specifieke aanpak of een specifieke voorziening

c. gegronde redenen om tegemoet te komen aan de wens van een cliënt, anders dan de hierboven genoemde voorwaarden.

d. wachtlijst: indien er niet direct toegang is tot de geschikte plek, dan komt de aanvrager op een wachtlijst.

De wenscentrumgemeente, waar de persoon zich meldt voor een beschermde woonvoorziening, overleg met de centrumgemeente van herkomst, om een goed beeld van de cliënt te krijgen en zo tot een passend besluit te komen. Dit contact vindt plaats vanuit de ‘’toegang’’. Dit onderzoek naar beste plaatsing wordt binnen zes weken afgerond.

 

3.3 Type voorzieningen

Beschermd wonen GGZ betreft een totaalpakket bestaand uit: verblijf, begeleiding en eventueel dagbesteding. Dit pakket is vanaf 2020 verdeeld in verschillende producten Beschermd Thuis en Beschermd Wonen. Bij Beschermd Thuis(BT) woont de inwoner in zijn eigen (al of niet gedeelde) woning, eveneens met de benodigde begeleiding en een vorm van toezicht of bereikbaarheid. Er kan sprake zijn van het wonen in een groep (waarin men voorzieningen deelt) of (zelfstandig) geclusterd wonen (waarbij men zodanig geclusterd woont dat inzet van groepsbegeleiding mogelijk is). In deze gevallen is er ook een component groepsbegeleiding die door de zorginstelling geleverd wordt. De inwoner woont zelfstandig en is dus zelf verantwoordelijk voor de huur, vaste lasten en alle kosten van het levensonderhoud.

 

Voor Beschermd Wonen (BW) hanteren we zoals in artikel 3.1 staat de definitie zoals deze in de Wmo 2015 omschreven staat. Dit betekent dat de inwoner in een accommodatie van een instelling woont met daarbij behorend toezicht en begeleiding, gericht op het bevorderen van diens zelfredzaamheid en participatie. Beschermd Wonen en Beschermd Thuis is bestemd voor inwoners van de regio Nijmegen en Rivierenland die (zeer) beperkt zelfredzaam zijn. Daarbij is sprake van zodanig meervoudige complexe psychische of psychosociale problematiek dat intensieve en/of veelvuldig ongepland begeleiding noodzakelijk is. De inwoner is daardoor aangewezen op het verblijf in een voorziening met 24 uurs zorg nabij of bereikbaar. Veelal is er overname nodig op één of meerder leefgebieden.

Naargelang de zorgbehoefte van de cliënt, bieden de BW en BT-pakketten steeds intensievere zorg. Er zijn een zevental pakketten die differentiëren naar zorgzwaarte:

 

  • 1.

    Beschermd Thuis: bereikbaarheid en beschikbaarheid

Doel: Mogelijk maken van uitstroom vanuit beschermd wonen richting een lokale Wmo voorziening zoals ambulante begeleiding.

Voor wie: Kwetsbare inwoners die vanwege ernstige psychische of psychosociale problematiek behoefte hebben aan beschikbaarheid en bereikbaarheid van de zorgaanbieder buiten reguliere kantooruren. De inwoner moet met behulp van ambulante begeleiding (lokaal georganiseerd), eventueel dagbesteding en de bereikbaarheidsvoorziening in staat zijn om zelfstandig te wonen en zelfstandig hulp in te roepen. Het gaat om mensen die uitstromen uit een beschermde woonvorm en waar een lokaal georganiseerd zorgaanbod gaat worden geboden waarbij de (voormalig) BW aanbieder een vinger aan de pols blijft houden en bereikbaar en beschikbaar blijft omdat de lokale zorgaanbieder dit niet kan bieden.

Wonen: Cliënt bezit of huurt zelfstandig een kamer of woning en kan hier blijven wonen, ook als de zorg stopt.

Bescherming: De bescherming (bovenop de overige cq. lokaal georganiseerde ondersteuning) is georganiseerd via de 24/7 beschikbaarheids- en bereikbaarheidsdienst.

 

  • 2.

    Beschermd Thuis: licht

Doel: De inwoner zo zelfstandig mogelijk thuis laten wonen, waarbij hij een zo groot mogelijke mate van zelfredzaamheid bereikt en behoudt, niet in een crisissituatie raakt, meedoet, een sociaal netwerk opbouwt en behoudt, een zinvolle daginvulling heeft of aan activiteiten deelneemt gericht op zijn persoonlijk herstel. Wanneer de cliënt in staat is om zonder de 24-uurs bereikbaarheid en beschikbaarheid van ondersteuning zelfstandig te kunnen wonen kan er lichtere begeleiding vanuit de Wmo worden ingezet.

Voor wie: Kwetsbare inwoners die vanwege ernstige psychische of psychosociale problematiek behoefte hebben aan begeleiding thuis en 24/7 beschikbaarheid en bereikbaarheid en die hiermee in staat zijn om zelfstandig te wonen en zelfstandig hulp in te roepen. Cliënt heeft geen behoefte (meer) aan het wonen in een groepssetting cq. met groepsbegeleiding.

Wonen: Cliënt bezit of huurt zelfstandig een kamer of woning en kan hier blijven wonen, ook als de zorg stopt.

Bescherming: De bescherming (naast de individuele begeleiding) is georganiseerd via de 24/7 beschikbaarheids- en bereikbaarheidsdienst.

Begeleiding: de begeleiding wordt geleverd vanuit een individueel begeleider beschermd thuis op basis van 130 uur op jaarbasis. Deze IB-er fungeert als trajectregisseur/casemanager en zorgt voor het behalen van de hersteldoelen die opgenomen zijn in het herstelplan en voldoet aan alle gestelde kwaliteitseisen. Zorgaanbieder heeft de vrijheid om de beschikbare uren in variabele intensiteit (conform het herstelplan) in te zetten. De individuele begeleidingsmomenten zijn in principe planbaar.

 

  • 3.

    Beschermd Thuis: groep licht

Doel: De inwoner zo zelfstandig mogelijk laten wonen in een thuissituatie waarbij er wel sprake is van een geclusterde of groepsgerichte setting. Het vergroten en behouden van de zelfstandigheid en zelfredzaamheid zodat hij niet in een crisissituatie raakt, meedoet, een sociaal netwerk opbouwt en behoudt, een zinvolle daginvulling heeft of aan activiteiten deelneemt gericht op zijn persoonlijk herstel. Wanneer de cliënt in staat is om zonder de 24-uurs bereikbaarheid en beschikbaarheid van ondersteuning zelfstandig te kunnen wonen kan er lichtere begeleiding vanuit de Wmo worden ingezet.

Voor wie: Kwetsbare inwoners die vanwege ernstige psychische of psychosociale problematiek behoefte hebben aan begeleiding thuis, 24/7 beschikbaarheid en bereikbaarheid en de steun van een groep en/of medebewoners nodig hebben om zelfstandig te wonen. Cliënt is (grotendeels) in staat om zelfstandig hulp in te roepen.

Wonen: Cliënt bezit of huurt zelfstandig een kamer of woning. De kamer of woning is geclusterd met andere kamers of woningen van medecliënten/medebewoners waarbij eventueel voorzieningen gedeeld worden. De cliënt kan hier niet in alle gevallen blijven wonen als de ondersteuning stopt. Cliënt en zorginstelling zijn gezamenlijk verantwoordelijk voor passende vervolghuisvesting en dit is dan ook een belangrijk onderdeel van het herstelplan.

Bescherming: De bescherming (naast de individuele begeleiding en de groepsbegeleiding) is georganiseerd via de 24/7 beschikbaarheids- en bereikbaarheidsdienst.

Begeleiding: de begeleiding wordt geleverd vanuit een individueel begeleider beschermd thuis op basis van 130 uur op jaarbasis. Deze IB-er fungeert als trajectregisseur/casemanager en zorgt voor het behalen van de hersteldoelen die opgenomen zijn in het herstelplan en voldoet aan alle gestelde kwaliteitseisen. Zorgaanbieder heeft de vrijheid om de beschikbare uren in variabele intensiteit (conform het herstelplan) in te zetten. De individuele begeleidingsmomenten zijn planbaar en worden zoveel mogelijk op de gebruikelijke (kantoor) tijden geleverd. Daarnaast is er een lichte intensiteit van groepsbegeleiding, die ondersteunend is voor het behalen van de hersteldoelen van de cliënt, maar ook voor de dagelijkse gang van zaken in de groep. Deze groepsbegeleiding bedraagt per dag per cliënt 0,5 uur.

 

  • 4.

    Beschermd Thuis: groep middelzwaar

Doel: De inwoner zo zelfstandig mogelijk laten wonen in een thuissituatie waarbij er wel sprake is van een geclusterde of groepsgerichte setting. Het vergroten en behouden van de zelfstandigheid en zelfredzaamheid zodat hij niet in een crisissituatie raakt, meedoet, een sociaal netwerk opbouwt en behoudt, een zinvolle daginvulling heeft of aan activiteiten deelneemt gericht op zijn persoonlijk herstel. Wanneer de cliënt in staat is om zonder de 24-uurs bereikbaarheid en beschikbaarheid van ondersteuning zelfstandig te kunnen wonen kan er lichtere begeleiding vanuit de Wmo worden ingezet.

Voor wie: Kwetsbare inwoners die vanwege ernstige psychische of psychosociale problematiek en regieproblemen behoefte hebben aan begeleiding thuis, 24/7 beschikbaarheid en bereikbaarheid en de steun van een groep en/of medebewoners nodig hebben om zelfstandig te wonen. Cliënt is (beperkt) in staat om zelfstandig hulp in te roepen.

Wonen: Cliënt bezit of huurt zelfstandig een kamer of woning. De kamer of woning is geclusterd met andere kamers of woningen van medecliënten/medebewoners waarbij eventueel voorzieningen gedeeld worden. De cliënt kan hier niet in alle gevallen blijven wonen als de ondersteuning stopt. Cliënt en zorginstelling zijn gezamenlijk verantwoordelijk voor passende vervolghuisvesting en dit is dan ook een belangrijk onderdeel van het herstelplan.

Bescherming: De bescherming (naast de individuele begeleiding en de groepsbegeleiding) is georganiseerd via de 24/7 beschikbaarheids- en bereikbaarheidsdienst.

Begeleiding: de begeleiding wordt geleverd vanuit een individueel begeleider beschermd thuis op basis van 130 uur op jaarbasis. Deze IB-er fungeert als trajectregisseur/casemanager en zorgt voor het behalen van de hersteldoelen die opgenomen zijn in het herstelplan en voldoet aan alle gestelde kwaliteitseisen. Zorgaanbieder heeft de vrijheid om de beschikbare uren in variabele intensiteit (conform het herstelplan) in te zetten. De individuele begeleidingsmomenten zijn veelal planbaar en worden zoveel mogelijk op de gebruikelijke (kantoor) tijden geleverd. Daarnaast is er een middelzware intensiteit van groepsbegeleiding, die ondersteunend is voor het behalen van de hersteldoelen van de cliënt, maar ook voor de dagelijkse gang van zaken in de groep. Deze groepsbegeleiding bedraagt per dag per cliënt 1 uur.

 

  • 5.

    Beschermd wonen licht

Doel: De inwoner in staat stellen om zo zelfstandig mogelijk te wonen. Het voorkomen van crisis en decompensatie, het bevorderen van maatschappelijk en persoonlijk herstel en het vergroten van de eigen regie. Waar mogelijk wordt toegewerkt naar uitstroom richting meer zelfstandige vormen van wonen, maar ook stabilisatie van de zelfredzaamheid kan voorop staan.

Voor wie: Inwoners met complexe psychische of psychosociale problematiek en (zware) regieproblemen, die niet of onvoldoende in staat zijn om zelfstandig hulp in te roepen en daardoor niet zelfstandig kunnen wonen. Inwoners hebben behoefte aan steun van hun medebewoners via een groep en aan een lichte intensiteit aan groepsleiding (van 1 uur per cliënt per dag).

Wonen: cliënt woont in verblijf bij een instelling en kan niet blijven wonen als de zorg stopt. Het verblijf lijkt zo veel mogelijk op zelfstandig wonen. Dagelijkse huishoudelijke taken worden zo veel mogelijk zelfstandig uitgevoerd. Schoonhouden van de woning is inbegrepen en valt onder de verantwoordelijkheid van de aanbieder, maar de woning wordt in principe samen met de inwoner schoongehouden. Dit geldt ook voor het bereiden van maaltijden.

Onderdeel van het verblijf zijn ook (groeps)activiteiten die in het kader van welzijn worden geboden.

In het geval van een PGB wordt de wooncomponent niet vergoed vanuit het PGB en dient de bewoner zelf huur te betalen aan de instelling.

Bescherming: de bescherming is, naast de individuele begeleiding en groepsbegeleiding, georganiseerd via een bereikbaarheids-, slaap- en/of waakdienst.

Welke vorm van begeleiding krijgt men: de begeleiding wordt geleverd vanuit een individueel begeleider beschermd wonen op basis van 130 uur op jaarbasis. Deze IB-er fungeert als trajectregisseur/casemanager en zorgt voor het behalen van de hersteldoelen die opgenomen zijn in het herstelplan en voldoet aan alle gestelde kwaliteitseisen.

Daarnaast is er een lichte intensiteit van groepsleiding, die ondersteunend is voor het behalen van de hersteldoelen van de cliënt en per cliënt 1u per dag bedraagt.

 

  • 6.

    Beschermd wonen middelzwaar

Doel: De inwoner in staat stellen om zo zelfstandig mogelijk te wonen. Het voorkomen van crisis en decompensatie, het bevorderen van maatschappelijk en persoonlijk herstel en het vergroten van de eigen regie. Waar mogelijk wordt toegewerkt naar uitstroom richting meer zelfstandige vormen van wonen, maar ook stabilisatie van de zelfredzaamheid kan voorop staan.

Voor wie: Inwoners met complexe psychische of psychosociale problematiek en (zware) regieproblemen, die niet in staat zijn om zelfstandig hulp in te roepen en daardoor niet zelfstandig kunnen wonen. Inwoners hebben behoefte aan steun van hun medebewoners via een groep en aan een middelzware intensiteit aan groepsleiding (van 1,4 uur per cliënt per dag).

Wonen: cliënt woont in verblijf bij een instelling en kan niet blijven wonen als de zorg stopt. Het verblijf lijkt zo veel mogelijk op zelfstandig wonen. Dagelijkse huishoudelijke taken worden zo veel mogelijk zelfstandig uitgevoerd. Schoonhouden van de woning is inbegrepen en valt onder de verantwoordelijkheid van de aanbieder, maar de woning wordt in principe samen met de inwoner schoongehouden. Dit geldt ook voor het bereiden van maaltijden.

Onderdeel van het verblijf zijn ook (groeps)activiteiten die in het kader van welzijn worden geboden.

In het geval van een PGB wordt de wooncomponent niet vergoed vanuit het PGB en dient de bewoner zelf huur te betalen aan de instelling.

Bescherming: de bescherming is, naast de individuele begeleiding en groepsbegeleiding, georganiseerd via een bereikbaarheids-, slaap- en/of waakdienst.

Welke vorm van begeleiding krijgt men: de begeleiding wordt geleverd vanuit een individueel begeleider beschermd wonen op basis van 130 uur op jaarbasis. Deze IB-er fungeert als trajectregisseur/casemanager en zorgt voor het behalen van de hersteldoelen die opgenomen zijn in het herstelplan en voldoet aan alle gestelde kwaliteitseisen.

Daarnaast is er een middelzware intensiteit van groepsleiding, die ondersteunend is voor het behalen van de hersteldoelen van de cliënt en per cliënt 1,4u per dag bedraagt.

 

  • 7.

    Beschermd Wonen intensief

Doel: De inwoner in staat stellen om zo zelfstandig mogelijk te wonen. Het voorkomen van crisis en decompensatie, het bevorderen van maatschappelijk en persoonlijk herstel en het vergroten van de eigen regie. Waar mogelijk wordt toegewerkt naar uitstroom richting meer zelfstandige vormen van wonen, maar ook stabilisatie van de zelfredzaamheid kan voorop staan.

Voor wie: Inwoners met zeer complexe psychische of psychosociale problematiek en (zware) regieproblemen, die niet in staat zijn om zelfstandig hulp in te roepen en daardoor niet zelfstandig kunnen wonen. Inwoners hebben behoefte aan steun van hun medebewoners via een groep en aan een zware intensiteit aan groepsleiding (van 1,8 uur per cliënt per dag). Er is behoefte aan een wakende of slapende wacht ’s nachts.

Wonen: cliënt woont in verblijf bij een instelling en kan niet blijven wonen als de zorg stopt. Het verblijf lijkt zo veel mogelijk op zelfstandig wonen. Dagelijkse huishoudelijke taken worden zo veel mogelijk zelfstandig uitgevoerd. Schoonhouden van de woning is inbegrepen en valt onder de verantwoordelijkheid van de aanbieder, maar de woning wordt in principe samen met de inwoner schoongehouden. Dit geldt ook voor het bereiden van maaltijden.

Onderdeel van het verblijf zijn ook (groeps)activiteiten die in het kader van welzijn worden geboden.

In het geval van een PGB wordt de wooncomponent niet vergoed vanuit het PGB en dient de bewoner zelf huur te betalen aan de instelling.

Bescherming: de bescherming is, naast de individuele begeleiding en groepsbegeleiding, georganiseerd via een bereikbaarheids-, slaap- en/of waakdienst. Er is 24 uur per dag agogisch personeel op de woonvorm aanwezig.

Welke vorm van begeleiding krijgt men: de begeleiding wordt geleverd vanuit een individueel begeleider beschermd wonen op basis van 130 uur op jaarbasis. Deze IB-er fungeert als trajectregisseur/casemanager en zorgt voor het behalen van de hersteldoelen die opgenomen zijn in het herstelplan en voldoet aan alle gestelde kwaliteitseisen.

Daarnaast is er een zware intensiteit van groepsleiding, die ondersteunend is voor het behalen van de hersteldoelen van de cliënt en per cliënt 1,8u per dag bedraagt.

 

Overbruggingszorg

Wanneer intramuraal verblijf niet (direct) nodig of  beschikbaar is, dan is de centrumgemeente verantwoordelijk voor het bieden van een passend alternatief in de vorm van individuele ambulante begeleiding. Voor cliënten waarvoor de meest passende plek wonen in een accommodatie van een instelling is, noemen we dat overbruggingszorg.

 

Tijdelijk beschermd wonen lvb 18+: 2 bouwstenen

We onderscheiden 2 vormen van tijdelijk beschermd wonen lvb 18+:

  • 1.

    Beschermd wonen met begeleiding en evt. verzorging – gemiddeld aantal uren per week: 5-15;

  • 2.

    Beschermd wonen met intensieve begeleiding en verzorging en/of gedragsregulering: gemiddeld aantal uren per week: 15-25;

Beide vormen kunnen met en zonder huisvestingscomponent worden geleverd.

Dagbesteding betreft een aparte bouwsteen die separaat van de 2 bouwstenen voor tijdelijk beschermd wonen lvb 18+ kan worden geleverd.

 

3.4 Doelgroep

Binnen de Wmo is beschermd wonen/beschermd Thuis GGZ bedoeld voor volwassenen met een ernstige psychische beperkingen die ten gevolge hiervan tijdelijk niet zelfstandig kunnen wonen en die 24 uur per dag in de nabijheid toezicht of begeleiding nodig hebben. Deze mensen zijn (nog) niet in staat of hebben (nog) onvoldoende regie om alle organisatorische en financiële aspecten rondom het bewonen van een eigen woning te verzorgen. De ondersteuning is gericht op het leren functioneren met deze (blijvende) beperking, met als doelstelling om zo veel mogelijk zelfredzaamheid en participatie in de maatschappij te bereiken. Voor een deel van de cliënten is doorstroom naar een zelfstandig bestaan mogelijk, voor een ander deel van de cliënten (vaak met meervoudige beperkingen) is de begeleiding in combinatie met de beschermende woonomgeving langdurig nodig om hun situatie stabiel te houden. Er moet sprake zijn van een diagnose en/of een advies van een specialist op het gebied van GGZ *2). Er kan sprake zijn van meerdere diagnoses tegelijkertijd zoals psychiatrische diagnose en daarnaast verslaving, verstandelijke beperking en/of somatische problematiek. Bij beschermd wonen gaat het om mensen bij wie psychiatrie de 'dominante grondslag' is.

De doelgroep voor tijdelijk beschermd wonen lvb betreft (jong)volwassenen met een (licht) verstandelijke beperking (lvb) die op termijn (naar verwachting) zelfstandig kunnen wonen, maar in de aanloop naar deze zelfstandigheid nog een aantal jaren na het 18e levensjaar een beschermde woonomgeving nodig hebben. Het gaat met name om (jong)volwassenen met een licht verstandelijke beperking in combinatie met (ernstig) probleemgedrag en om ouders met een licht verstandelijke beperking die om moeten leren gaan met de opvoeding van hun kind(eren) *3).

*2) Hiermee wordt één van de beroepen bedoeld: Psychiater, Klinisch psycholoog, Klinisch neuropsycholoog, Psychotherapeut, Specialist ouderengeneeskunde, verslavingsarts in profielregister KNMG, Klinisch geriater, GZ-psycholoog.

*3) Crisisopvang (tijdelijke opvang) voor volwassenen met een licht verstandelijke beperking is opgenomen in het contract met de Combinatie (ook voor opvang met lvb-cliënten van andere aanbieders).Hiervoor is € 50.000 toegevoegd aan het contract met de Combinatie (5 miljoen euro landelijk).

 

Zeer kwetsbaar

Beschermd wonen en Beschermd Thuis is bedoeld voor ‘zeer kwetsbare burgers’ die onvoldoende hulpbronnen hebben om op eigen kracht bepaalde moeilijkheden en tegenslagen te overwinnen en om hun leven op de door hen gewenste manier vorm te geven. Burgers kunnen worden ingedeeld in de groep zeer kwetsbaar als er sprake is van samenhang in of risico’s op de volgende aspecten:

  • 1.

    een beperkte sociale steunstructuur (weinig betekenisvolle sociale relaties).

  • 2.

    weinig veerkracht (de draaglast is groter dan de draagkracht).

  • 3.

    gering vermogen tot eigen regie voeren (in beperkte mate eigen wensen en behoeften duidelijk kunnen maken).

Deze definitie betekent dat de mate van kwetsbaarheid sterk afhangt van de persoonlijke omstandigheden van een cliënt en zijn huishouden. Het legt daardoor de nadruk op een individuele beoordeling. Het bepalen of een cliënt in de categorie ‘zeer kwetsbaar’ valt, wordt door de GGD beoordeeld in het onderzoek.

 

3.5 Beoogd resultaat

Beschermd wonen en Beschermd Thuis moet leiden tot een situatie waarin de cliënt weer in staat is zich op eigen kracht te handhaven in de samenleving of wanneer dit niet mogelijk is, een situatie waarin de cliënt zoveel mogelijk zelfredzaam is en kan participeren in de samenleving. Daarbij wordt onderscheid gemaakt tussen twee hoofddoelen:

  • a.

    herstel en stabiliteit;

  • b.

    herstel en uitstroom.

Onder deze twee hoofddoelen vallen verschillende subdoelen:

  • a.

    het bevorderen en herstel van zelfredzaamheid en participatie;

  • b.

    het bevorderen van het psychisch functioneren;

  • c.

    stabilisatie van het psychiatrisch ziektebeeld;

  • d.

    voorkomen van opname;

  • e.

    het bieden van een veilige woonomgeving;

  • f.

    voorkomen van terugval in de problematiek;

  • g.

    voorkomen van verwaarlozing, maatschappelijke overlast en het afwenden van gevaar voor de cliënt of voor anderen.

 

3.6 Procedure: Melding, onderzoek en aanvraag

Melding

De melding is het startpunt van het onderzoek naar de behoefte aan maatwerkvoorziening beschermd wonen. Een melding kan door of namens de cliënt worden gedaan. Een melding kan worden gedaan bij de GGD (beschermd wonen GGZ) of het buurtteam (Tijdelijk Verblijf LVB lvb). Dit kan in principe schriftelijk, via het meldingsformulier. Nadat iemand zich heeft gemeld wordt in eerste instantie door de medewerker van de GGD of het buurtteam bezien of er echt sprake is van een melding. Een informatie- of adviesvraag wordt niet als een melding aangemerkt. Een ontvangstbevestiging wordt maximaal binnen een week na de formele melding verstuurd.

Informatieplicht over cliëntondersteuning

De GGD of het buurtteam wijst voor de start van het onderzoek de inwoner en zijn mantelzorger(s) op de mogelijkheid om gebruik te maken van cliëntondersteuning via het Zelfregiecentrum of MEE. Cliëntondersteuning houdt in dat cliënten recht hebben op ondersteuning met informatie, advies en algemene ondersteuning.

Persoonlijk plan en pgb-plan

Na de melding en voordat het onderzoek van start gaat, kan de aanvrager een persoonlijk plan indienen bij de GGD of het buurtteam waarin hij de omstandigheden beschrijft zoals genoemd in artikel 2.3.2 lid 4 van de Wet en aangeeft waarom beschermd wonen naar zijn mening het meest is aangewezen. De GGD moet dit plan betrekken bij het onderzoek. Indien cliënt wenst gebruik te maken van het pgb moet hij/zij in aanvulling van het aanmeldingsformulier een pgb-plan opstellen waaruit onder andere moet blijken waarvoor het pgb wordt gebruikt, waarom de aanvrager een pgb wil, wie de pgb gaat beheren, bij wie de zorg ingekocht zal worden en hoe de kwaliteit en veiligheid is gewaarborgd.

 

Onderzoek (gesprek)

Het onderzoek vindt plaats aan de hand van de elementen uit artikel 5 van de geldende Verordening maatschappelijke ondersteuning en Jeugdhulp Nijmegen.

T oelatingscriteria beschermd wonen GGZ

De GGD stelt allereerst vast of de cliënt tot de doelgroep behoort waarvoor de maatwerkvoorziening Beschermd Wonen of Beschermd Thuis is. Dit vindt plaats op basis van de navolgende criteria (aan te halen als toelatingscriteria beschermd wonen). De toekenning tot beschermd wonen is aan de orde wanneer alle volgende criteria van toepassing zijn:

  • a.

    leeftijd: cliënt is 18 jaar of ouder en heeft de Nederlandse nationaliteit of verblijft legaal in Nederland;

  • b.

    aantoonbare psychische problematiek: psychische problematiek is vastgesteld door een ter zake kundige *4). Daarbij kan sprake zijn van verstandelijke -, lichamelijke - of zintuiglijke problematiek, echter de psychische problemen staan op de voorgrond. Voorgaande betekent dat er geen beschermd wonen plaatsen bezet kunnen worden door personen waarbij andere problemen op de voorgrond staan;

  • c.

    als gevolg van psychische problematiek onder b niet in staat is om zelfstandig te wonen;

  • d.

    geen behandeling: intramurale behandeling voor de psychiatrische aandoening/beperking is afgerond of staat niet (meer) op de voorgrond. Gebaseerd op de mogelijkheden van de cliënt staat de op participatie gerichte ondersteuning vanuit de beschermende woonomgeving op de voorgrond;

  • e.

    acute situatie: Er is geen sprake van een acute (crisis)situatie in de geestelijke gezondheid en/of op andere levensdomeinen en als gevolg hiervan mogelijkheden zijn voor crisisopvang/opname in de Zvw;

  • f.

    noodzaak tot verblijf in een 24-uurs setting: noodzakelijk voor de cliënt is verblijf in een instelling met de daarbij behorende zorg door middel van 24-uurs toezicht;

  • g.

    ongeplande zorgmomenten: er doen zich dagelijks meerdere ongeplande zorgmomenten voor omdat er sprake is van hoge mate van onvoorspelbaarheid en/of hoge intensiteit van zorg;

  • h.

    cliënt accepteert een begeleiding/ontwikkelingstraject dat met inachtneming van zijn mogelijkheden gericht is op het realiseren van een situatie waarin hij in staat wordt gesteld zich zo snel mogelijk weer op eigen kracht te handhaven in de samenleving;

  • i.

    veiligheid: de veiligheid van de cliënt of zijn omgeving is in het geding. Onder cliëntveiligheid wordt verstaan afwezigheid van onaanvaardbare risico’s voor de cliënt op lichamelijke en/of psychisch he en/of sociale schade. Hierbij valt te denken aan ernstige gedragsproblematiek die voortdurend moet worden gereguleerd, verbale en/of lichamelijke agressie of sterk manipulatief gedrag.

De cliënt, die in aanmerking komt voor beschermd wonen in natura, komt niet in aanmerking voor een aparte maatwerkvoorziening gericht op ondersteuning bij het huishouden. Bij Beschermd Thuis is er overigens geen noodzaak tot verblijf in een 24-uurs setting. Er is wel noodzaak voor 24/7 beschikbaarheid en bereikbaarheid om zelfstandig hulp in te roepen. Hierdoor kan de cliënt zelfstandig blijven wonen.

 

*4) Hiermee wordt één van de beroepen bedoeld: Psychiater, Klinisch psycholoog, Klinisch neuropsycholoog, Psychotherapeut, Specialist ouderengeneeskunde, verslavingsarts in profielregister KNMG, Klinisch geriater, Verpleegkundig specialist GGZ, GZ-psycholoog, sociaal psychiatrisch verpleegkundige.

 

Toelatingscriteria Tijdelijk Verblijf licht verstandelijke beperking (LVB) 18+

I. Zelfredzaamheidmatrix (ZRM)

Voor een integrale analyse worden de leefgebieden van de ZRM gebruikt om een analyse te maken van de situatie van de cliënt (zie hoofdstuk 2).

 

II. Algemene criteria

Tijdelijk Verblijf LVB 18+ wordt alleen ingezet als alle voorliggende mogelijkheden ontoereikend zijn, die per ZRM-leefgebied (voor zover nodig) in kaart worden gebracht:

1. oplossingen vanuit eigen kracht en/of eigen netwerk;

2. algemene voorzieningen;

3. maatwerkvoorzieningen in de vorm van begeleiding en/of dagbesteding;

4. behandeling (tenzij behandeling ontoereikend is gebleken); als behandeling nodig is, kan deze geregeld worden via de verlengde Jeugdwet of de Wlz. Begeleiding en het leren omgaan met de beperkingen staat voorop bij het verbeteren van het functioneren. Intramurale behandeling voor de psychiatrische aandoening/beperking is afgerond of staat niet (meer) op de voorgrond. Gebaseerd op de mogelijkheden van de cliënt staat de op participatie gerichte ondersteuning vanuit de beschermende woonomgeving op de voorgrond.

 

III. Specifieke criteria

De toekenning tot Tijdelijk Verblijf lvb 18+ is aan de orde wanneer alle volgende criteria van toepassing zijn:

- Cliënt heeft een IQ tussen 50 en 85 in combinatie met (ernstige) gedragsproblematiek.

- Leeftijd: cliënt is 18 jaar of ouder en heeft de Nederlandse nationaliteit of verblijft legaal in Nederland.

- Noodzaak tot verblijf in een 24-uurs setting: noodzakelijk voor de cliënt is verblijf in een instelling met de daarbij behorende zorg door middel van 24-uurs toezicht. Zorg in de nabijheid is noodzakelijk, iemand kan zelf niet risico’s inschatten en adequaat en op tijd om hulp vragen met als gevolg risico op (zelf)verwaarlozing of overlast.

- De inschatting is dat cliënt op termijn in staat is tot zelfstandig (begeleid) wonen met behulp van zelfstandigheidstraining; onderlegger hiervoor is een afwijzing op een Wlz-aanvraag.

- Aanvrager heeft intensieve ondersteuning nodig bij het dagelijks functioneren op verschillende leefgebieden, gericht op de ontwikkeling en zelfstandigheid (zelfstandig wonen) van de cliënt.

- Het toezicht en de intensieve ondersteuning kan niet geleverd worden door ambulante ondersteuners.

- Cliënt accepteert een begeleidings-/ontwikkelingstraject dat met inachtneming van zijn mogelijkheden gericht is op het zo snel mogelijk zelfstandig gaan wonen, al dan niet met behulp van ambulante begeleiding.

- Acute situatie: er is geen sprake van een acute (crisis)situatie in de geestelijke gezondheid; in dat geval is crisisopvang meer voor de hand liggend.

- Het (feitelijk) dakloos zijn of slachtoffer zijn van huiselijk geweld is op zichzelf geen grond voor de toegang tot Tijdelijk Verblijf.

 

IV. Trajectplan – intensiteit begeleiding

Het trajectplan/Zorgplan van in principe maximaal 3 jaar is gericht op zelfstandig wonen en bevat doelen per leefgebied en de daaraan gekoppelde activiteiten die halfjaarlijks worden geëvalueerd. In elk traject/Zorgplan zijn in ieder geval doelen opgenomen gericht op opleiding, werk en/of zinvolle dagbesteding. Op basis van het trajectplan/Zorgplan wordt bepaald hoeveel uren begeleiding en daaraan gekoppeld welke bouwsteen (Tijdelijk verblijf met reguliere of intensieve begeleiding) nodig (zie par. 3.3).

 

Geen Tijdelijk Verblijf

Bij de afweging of er een maatwerkvoorziening Tijdelijk Verblijf noodzakelijk is moet er rekening mee gehouden worden dat er veel algemeen beschikbare en redelijke oplossingen voorhanden zijn die algemeen gebruikelijk kunnen zijn en die een inwoner zelf kan aanschaffen of inzetten. Tijdelijk Verblijf wordt niet toegekend wanneer de problemen die de cliënt ondervindt in het zich zelfstandig handhaven in de samenleving op te lossen zijn door:

  • 1.

    eigen kracht of de inzet van algemene voorzieningen: in eerste instantie wordt gekeken of de problematiek opgelost/verminderd kan worden binnen de eigen mogelijkheden en eigen kracht van de cliënt en/of door inzet van algemene voorzieningen. Een algemene voorziening is voorliggend op een maatwerkvoorziening. Het betreft voorzieningen waar iedereen, zonder indicatie of andere vorm van toegang, gebruik van kan maken.

  • 2.

    gebruikelijke hulp: ook bij Tijdelijk Verblijf wordt het begrip gebruikelijke hulp gehanteerd. Gebruikelijke hulp is de normale, dagelijkse zorg, die partners, ouders en inwonende kinderen geacht worden elkaar onderling te bieden, omdat ze als leefeenheid een gezamenlijk huishouden. Alleen wanneer sprake is van een situatie waarbij de begeleiding de gebruikelijke hulp substantieel overschrijdt is Tijdelijk Verblijf van toepassing.

  • 3.

    andere of algemene voorzieningen: het is mogelijk dat andere voorzieningen meer passend zijn. Er is een afbakening met zowel lichtere als zwaardere vormen:

  • a.

    de ambulante maatwerkvoorzieningen in de Wmo 2105, m.n. begeleiding;

  • b.

    de maatschappelijke opvang (Wmo);

  • c.

    extramurale GGZ-behandeling of persoonlijke verzorging (Zvw);

  • d.

    intramurale GGZ-behandeling (Zvw);

  • e.

    langdurige intramurale zorg (Wlz);

  • f.

    beschermd wonen op forensische titel (Wet forensische zorg).

  • 4.

    dakloos: het (feitelijk) dakloos zijn of slachtoffer zijn van huiselijk geweld is op zichzelf geen grond voor de toegang tot beschermd wonen.

 

Onderzoeksverslag

Het college verstrekt de cliënt of diens vertegenwoordiger een schriftelijke weergave van de uitkomsten van het gesprek en het onderzoek. Feitelijk is dit het verslag van het gesprek met de cliënt. In het verslag staat een ondersteuningsadvies dat passend is bij de zorgvraag. Als uit het onderzoek blijkt dat beschermd wonen niet de juiste vorm van ondersteuning is, wordt een passend advies gegeven en zorgt de GGD of het buurtteam voor een goede overdracht. Voor beschermd wonen wordt aangegeven voor hoelang de bewoner welke vorm van ondersteuning en (indien bekend) bij welke zorgaanbieder ontvangt.

 

Aanvraag

Indien na het gesprek blijkt dat een maatwerkvoorziening beschermd wonen nodig is, dient deze officieel te worden aangevraagd. De aanvraag voor beschermd wonen wordt door de GGD gedaan namens de bewoner (of gemachtigde/wettelijk vertegenwoordiger). Pas na verstrekking van een verslag kan een aanvraag voor de maatwerkvoorziening beschermd wonen worden gedaan (artikel 2.3.2. lid 9 Wmo), tenzij:

  • 1.

    het onderzoek niet is uitgevoerd binnen 6 weken;

  • 2.

    er naar het oordeel van de GGD sprake is van een spoedeisende situatie (bijv. na klinische opname/ziekenhuisopname).

De aanvraag moet schriftelijk ingediend worden bij het college van Nijmegen. De afhandelingstermijn voor de aanvraag bedraagt 2 weken.

 

Verstrekkingsvorm

Als ondersteuning via de maatwerkvoorziening beschermd wonen noodzakelijk is kan deze worden verstrekt in de vorm van zorg in natura door een van de gecontracteerde zorgaanbieders waarmee de centrumgemeente afspraken heeft gemaakt. Beschermd wonen kan ook in pgb worden verstrekt. Hier zijn wel voorwaarden aan verbonden (zie hoofdstuk 5). Tijdens het onderzoek wordt aan de cliënt of diens vertegenwoordiger medegedeeld welke mogelijkheden bestaan om te kiezen voor de verstrekking van een persoonsgebonden budget.

 

Duur toekenning

De decentralisatie van beschermd wonen, GGZ-cliëntgroep, heeft onder andere tot doel mensen niet langer dan nodig institutioneel en beschermd te laten wonen. Door het stimuleren van de eigen kracht en het uitgaan van de eigen mogelijkheden van de cliënt kan de huidige gemiddelde verblijfsduur mogelijk worden bekort. Het stellen van een geldigheidsduur van de toekenning op beschermd wonen voor maximaal 3 jaar ligt in de rede. Dit om sturing te geven aan het structureel begeleiden van mensen in beschermd wonen en daar waar het kan mensen daadwerkelijk de kans te geven door te stromen. Daarnaast is een geldigheidsduur die te overzien is van belang in verband met de Wlz die op termijn toegankelijk wordt voor de ZZP GGZ C-groep. Voor de zorgverstrekking in pgb hanteren we een duur van maximaal 2 jaar.

 

Hoofdstuk 4 Beleidsregels maatschappelijke opvang en vrouwenopvang

4.1 Inleiding

De maatschappelijke opvang en vrouwenopvang hebben als taak het bieden van tijdelijk en veilig verblijf aan mensen zonder dak boven hun hoofd. De kerntaak van de opvang richt zich op het bieden van een vangnet en een stuk nazorg. Nijmegen is als centrumgemeente verantwoordelijk voor de maatschappelijke- en vrouwenopvang in de regio Rijk van Nijmegen en Rivierenland. Opvang kan bestaan uit verschillende fasen: preventie, opvang en herstel. In de fasen van preventie en herstel wordt meestal intensieve, maar wel extramurale ambulante begeleiding geboden aan mensen die zelfstandig wonen. Het gaat hierbij om een kwetsbare groep mensen. Het zijn vaak mensen die bijvoorbeeld dreigen dakloos te worden of sterk afglijden. Het kunnen ook mensen zijn die dakloos geweest zijn of in de opvang hebben gezeten, en nu weer de stap maken naar zelfstandig wonen met begeleiding. Bij de vrouwenopvang gaat het om mensen die opvang nodig hebben omdat er sprake is van huiselijk geweld en/of geweld in afhankelijkheidsrelatie en er een veilig onderdak nodig is.

 

4.2  

-Vervallen-

 

4.3 Doelgroep

Maatschappelijke opvang is bij uitstek de voorziening voor mensen met complexe psychische of psychosociale en/of verslavingsproblemen die zo ernstig zijn dat zij geen dak (meer) boven hun hoofd hebben en niet in staat zijn zelf, of met hulp vanuit hun netwerk of lichtere vormen van voorzieningen, hun situatie weer zo ver op orde te brengen dat zij zich weer kunnen redden in de samenleving. Het kan gaan om mensen met ernstige psychosociale problemen, die naast een dak boven hun hoofd, vooral behoefte hebben aan intensieve vormen van begeleiding. Daarbij gaat het om verschillende leefgebieden zoals financiën, wonen, sociale relaties, justitie e.d. en om de weg terug te vinden naar een meer zelfstandig bestaan.

Vrouwenopvang is bij uitstek een voorziening voor mensen waarbij sprake is van een onveilige thuissituatie en/of er sprake is van machtsmisbruik in een afhankelijkheidsrelatie, waardoor enkel door opvang veiligheid kan worden geboden.

 

Zorgmijders

Een specifieke groep binnen de maatschappelijke opvang zijn ‘zorgmijders.’ Hierbij gaat het om mensen met ernstige psychosociale problemen en/of ernstige verslaving en/of een (licht) verstandelijke beperking die niet om zorg vragen, geen zorg accepteren en zorginstellingen mijden. Naast het voorzien in de eerste levensbehoeften en in kaart brengen van de problematiek heeft opvang ook als functie om vertrouwen te winnen en op basis van een diagnose de persoon toe te leiden naar passende zorg.

 

Beoogd resultaat

Maatschappelijke opvang is altijd gericht op een tijdelijk verblijf, met als doelstelling om iemand weer in staat te stellen zich zelfstandig of met lichte ondersteuning te redden in de samenleving:

  • a.

    De maatwerkvoorziening opvang gaat om een 24-uursverblijf.

  • b.

    Tijdelijk verblijf voor personen die dakloos of thuisloos zijn en omvat onderdak, slaapgelegenheid, begeleiding op diverse aspecten en eventueel voeding.

  • c.

    De begeleiding is gericht op het bevorderen van zelfredzaamheid en participatie binnen de kaders van de ondersteuningsbehoefte voor zover haalbaar voor de doelgroep. In het kader van opvang in verband met huiselijk geweld kan dit bijvoorbeeld betekenen dat de participatie laag is vanwege het gebruik van een geheim adres en (dreigend) gevaar voor de eigen veiligheid.

  • d.

    Bij de Vrouwenopvang is de begeleiding gericht op het stopzetten van geweld, ook na opvang.

Wanneer de cliënt een zorgondersteuning heeft waarbij opvang wordt aangemerkt als een passende maatwerkvoorziening dan heeft het verblijf de volgende doelstellingen:

  • a.

    Het bevordert de zelfredzaamheid en participatie.

  • b.

    Het voorkomt verwaarlozing of maatschappelijke overlast.

  • c.

    Het wendt gevaar af voor de cliënt en/of anderen.

In het geval van opvang in verband met huiselijk geweld staat de veiligheid van de cliënt voorop.

 

4.4 Toegang

De opvangvoorzieningen in de regio zijn van belang voor cliënten die in een (dreigende) situatie van dak- of thuisloosheid verkeren. Het college heeft het onderzoek voor opvang gemandateerd aan de (opvang)instellingen. Cliënten kunnen zich rechtstreeks tot de opvanginstellingen wenden waarmee Nijmegen als centrumgemeente afspraken heeft. In de regio rijk van Nijmegen en Rivierenland werken we conform de regels zoals benoemd in de model-beleidsregels landelijke toegankelijkheid van de maatschappelijke opvang voor ingezetenen van Nederland 2019’. De algemene principes van de Wmo, zoals gebruik maken van eigen kracht, het sociale netwerk, rekening houden met voorzienbare omstandigheden e.d. zijn ook hier van toepassing. Als iemand bijvoorbeeld zijn woning verloren heeft, maar bij familie of vrienden kan overnachten, is opvang niet nodig. Opvang is tevens geen hostel voor mensen die bijvoorbeeld op reis zijn en een goedkope overnachtingsplek zoeken.

 

4.4.1 Algemene voorzieningen en maatwerkvoorzieningen

Binnen de opvang kan onderscheid worden gemaakt naar algemene en maatwerkvoorzieningen. Onder algemene voorzieningen vallen de dag- en nachtopvang en bemoeizorg. Onder maatwerkvoorzieningen vallen alle vormen van voltijdopvang, de crisisopvang en vrouwenopvang en begeleidingstrajecten tijdens (bijv. budgetbeheer) of na opvang (bijv. woonbegeleiding). De algemene voorzieningen in de gemeente zijn in principe toegankelijk voor iedereen met (dreigende) dak- of thuisloosheid, een lichte toegangstoets wordt door de zorgaanbieders uitgevoerd. De toets bestaat uit het nagaan of de cliënt tot de doelgroep, namelijk (dreigend) dak- of thuisloos, behoort. De algemene voorzieningen zijn voorliggend op maatwerkvoorzieningen.

 

4.4.2 Beoordeling – melding en (eerste) opvang

In de kern is de maatschappelijke opvang bedoeld voor mensen die nergens anders terecht kunnen en die gebaat zijn bij tijdelijke ondersteuning voor het zoeken naar een duurzame oplossing op alle leefgebieden (ZRM-domeinen). Het is de taak om mogelijke uitval/terugval vroegtijdig te signaleren (preventie) en om gevonden oplossingen te helpen waarborgen (nazorg). Eerst wordt beoordeeld of iemand in aanmerking komt voor maatschappelijke opvang. Die beoordeling vindt plaats op basis van toelatingscriteria:

  • 1.

    De persoon heeft de Nederlandse nationaliteit, of houdt als vreemdeling rechtmatig verblijf in de zin van artikel 8, onder a tot en met e en l, van de Vreemdelingenwet 2000;

  •  

  • Toelichting: In uitzonderlijke situaties wordt ook aan ‘niet rechthebbenden’ tijdelijk toegang verleend tot de maatschappelijke opvang. Het gaat om situaties die mensonterend zijn, of waarbij zonder opvang kinderen (jonger dan 18 jaar) op straat zouden moeten verblijven. Grondslag hiervoor is de werking van de internationale mensenrechtenverdragen, met name artikel 8 Europees Verdrag tot bescherming van de rechten van de mens en de fundamentele vrijheden (EVRM);

  • 2.

    De persoon is feitelijk of residentieel dakloos, al dan niet voorafgaand aan opname in (psychiatrisch) kliniek, of aan detentie;

  • 3.

    De persoon is beperkt zelfredzaam op meerdere door het college aan te wijzen leefgebieden, en

  • 4.

    De persoon beschikt niet over alternatieven die de situatie van feitelijke of residentiele dakloosheid op kunnen heffen;

  • 5.

    In die situaties waarin terstond maatschappelijke opvang noodzakelijk is, beslist het college onverwijld tot verstrekking van een voorziening maatschappelijke opvang in afwachting van de uitkomst van het onderzoek en de aanvraag van de cliënt;

  • 6.

    Indien het college niet onverwijld maatschappelijke opvang kan bieden waar dit wel terstond noodzakelijk is, treft het college maatregelen om onverwijld op een andere wijze of in een andere gemeente of regio tijdig te voorzien in de behoefte van de cliënt aan maatschappelijke opvang.

  •  

Toelichting: Om vast te kunnen stellen of iemand feitelijk dan wel residentieel dakloos is wordt de woongeschiedenis van de persoon in beeld gebracht met behulp van de zogenoemde Zelfredzaamheidsmatrix (ZRM). Met de ZRM kan een triagist een gestandaardiseerde beoordeling geven van de zelfredzaamheid van een persoon. Onder zelfredzaamheid wordt daarbij verstaan: het vermogen om zich te kunnen redden in de huidige situatie op het gespecificeerde levensdomein. Het betreft daarbij de volgende levensdomeinen: inkomen, dagbesteding, huisvesting, gezinsrelaties, geestelijke gezondheid, fysieke gezondheid, verslaving, ADL vaardigheden, sociaal netwerk, maatschappelijke participatie en justitie.

 

Als een persoon voldoet aan bovenstaande criteria, wordt vervolgens beoordeeld in welke gemeente of regio een traject in de maatschappelijke opvang de grootste kans van slagen heeft, dat wil zeggen het meeste kan bijdragen aan de zelfredzaamheid en participatie (en daarmee het duurzaam herstel) van de cliënt. Als de regio Nijmegen de aangewezen plek voor opvang is, wordt vervolgens bij de plaatsing altijd voor de lichtst mogelijke oplossing gekozen, passend bij de mogelijkheden van de persoon. Om te bepalen in welke regio de kans op een succesvol traject voor de persoon het grootst is, wordt gekeken naar de volgende feiten en omstandigheden:

  • 1.

    De aanwezigheid van een positief sociaal netwerk (familie en vrienden). Er kunnen ook redenen zijn om de persoon uit zijn oude sociale netwerk te halen;

  • 2.

    Woonplaatsbeginsel: primair wordt gekeken wat de woonplaats was van de cliënt voor het ontstaan van dakloosheid. De woonplaats is hierbij de gemeente waarvan de cliënt ingezetene is in de zin van de Wet basisregistratie personen dan wel de woonplaats waarvan de cliënt onmiddellijk voorafgaande aan de melding ingezetene was in de zin van de Wet basisregistratie personen. Ingeval de woonplaats niet op grond van de onderdelen wet basisregistratie personen kan worden vastgesteld wordt de plaats van het werkelijke verblijf van de cliënt op het moment van de melding gehanteerd als ‘woonplaats’. De plaats waar de cliënt eerder gebruikt heeft gemaakt van ondersteuning;

  • 3.

    Indien wordt vastgesteld wat de woonplaats was van de cliënt vóór het ontstaan van dakloosheid, wordt de uitvoering van het onderzoek in beginsel overgedragen aan deze gemeente van herkomst (dan wel het regionaal samenwerkingsverband maatschappelijke opvang waartoe de gemeente van herkomst behoort). Tot aan het moment van daadwerkelijke overdracht van de client blijft het college maatschappelijke opvang bieden, dan wel blijft het college andere maatregelen treffen om op een andere wijze te voorzien in de behoefte van de cliënt aan maatschappelijke opvang;

  • 4.

    Bekendheid bij de hulpverlening, zorginstellingen, en/of maatschappelijke opvang-instellingen;

  • 5.

    De voorkeur van de burger: gegronde redenen om tegemoet te komen aan de wens van de burger om in een bepaalde gemeente/regio te worden opgevangen.

Deze criteria zijn niet sluitend, noch limitatief. Ze zijn richtinggevend.

 

Toelichting: Indien gedurende het onderzoek, blijkt dat een traject in de maatschappelijke opvang mogelijk of waarschijnlijk in een andere gemeente of regio de grootse kans van slagen heeft, dan betrekt het college deze gemeente bij het onderzoek. Het college maakt met de andere gemeente of regio en de cliënt voorts concrete afspraken over: de datum van overdracht; welke aanbieder de cliënt maatschappelijke opvang, dan wel andere ondersteuning die in de behoefte van de cliënt aan maatschappelijke opvang voorziet, zal bieden in de andere gemeente of regio; hoe het vervoer van de cliënt en eventuele reisbegeleiding plaatsvindt. Indien de cliënt weigert medewerking te verlenen aan de bedoelde overdracht, kan het college overgaan tot weigering van de aanvraag tot een voorziening maatschappelijke opvang

 

Bij verschil van mening tussen het college en de andere gemeente of regio over de vraag welke gemeente of regio verantwoordelijk is voor het bieden van maatschappelijke opvang aan de cliënt spant het college zich maximaal in om tot een oplossing te komen. Indien het college én de andere gemeente of regio niet tot een oplossing komen, kan het college het geschil voorleggen aan de commissie geschillen landelijke toegankelijkheid. In afwachting van het oordeel van de commissie blijft het college een voorziening maatschappelijke opvang bieden, dan wel op andere wijze voorzien in de behoefte van de cliënt aan maatschappelijke opvang. Het college volgt in het geschil het oordeel van de in het tweede lid genoemde commissie

 

4.4.3 Weigeringsgronden

Toegang tot een opvangvoorziening kan worden geweigerd wanneer:

  • a.

    Een cliënt zich (na toegang tot de opvangvoorziening) niet houdt aan de huisregels (bijv. bij vertoon van geweld en agressief gedrag);

  • b.

    Een cliënt onveiligheid en overlast veroorzaakt;

  • c.

    Een cliënt niet bereid is om mee te werken aan een passend ondersteuningstraject;

  • d.

    Er sprake is van tegenstellende indicaties waardoor een opvangtraject geen geschikte vorm van maatschappelijke ondersteuning voor belanghebbende is (bijv. vanwege ernstige verslaving of acute psychische problematiek, waarvoor behandeling met opname in een instelling of kliniek noodzakelijk is);

  • e.

    De cliënt zich ernstig misdraagt jegens andere cliënten in de opvang of richting medewerkers van de opvanginstelling;

  • f.

    De eigen bijdrage (na veelvuldige waarschuwingen) niet betaald wordt;

  • g.

    Bij vrouwenopvang geldt daarnaast een weigeringsgrond als er geen sprake is van huiselijk geweld en/of geweld in een afhankelijkheidsrelatie.

 

4.4.4 Aanbod

Het aanbod maatschappelijke opvang is gericht op het (weer) zelfstandig kunnen wonen. Indien burgers toch in de opvangvoorziening geplaatst worden, is het van belang de verblijfsduur zo kort mogelijk te laten zijn. Daarom wordt er bij plaatsing niet alleen ‘bed, bad en brood’ geboden, maar ook een trajectplan opgesteld. Hierin worden afspraken gemaakt over zorg en ondersteuning door betrokken professionals en de verantwoordelijkheid van de cliënt gedurende het traject en daarna. Dit trajectplan is erop gericht de cliënt zo snel als mogelijk weer de regie over zijn of haar eigen leven te laten krijgen. Bij de uitplaatsing is het belangrijk om te komen tot een soepele overname van zorg en ondersteuning door het lokale netwerk.

 

4.4.5 Verstrekking

Opvang betreft een voorziening (deels algemeen en deels maatwerk) voor dak- en thuisloze burgers in nood. De voorziening is voor iedereen in natura toegankelijk die voldoet aan de genoemde criteria. Een persoonsgebonden budget is niet mogelijk voor opvang. In de eerste plaats is er bij opvang veelal sprake van een crisissituatie waarbij directe opvang noodzakelijk is. Daarnaast zijn er uit oogpunt van doelmatigheid bezwaren tegen het verstrekken van een pgb voor opvang vanwege de lage zelfredzaamheid van de doelgroep.

 

4.4.6 Eigen bijdrage

Cliënten betalen voor het gebruik van algemene voorzieningen in 2019 geen inkomensafhankelijke eigen bijdrage. Voor de algemene voorzieningen kan in 2019 door de instelling een bijdrage geheven worden die niet hoger is dan de kostprijs (bijvoorbeeld bijdrage voor maaltijden, beddengoed, douchen, wasmachine etc.).

Voor de maatwerkvoorzieningen geldt dat burgers wel een inkomensafhankelijke eigen bijdrage betalen. De eigen bijdrage is inkomensafhankelijk. Daarbij dient de burger altijd minimaal de zak- en kleedgeldnorm uit de Participatiewet te ontvangen.

De bijdrage wordt geïnd door de gemeente waar de burger in een voorziening verblijft indien de betreffende burger gebruik maakt van een uitkering in het kader van de Participatiewet. De eigen bijdragen worden overgemaakt naar de instellingen. Indien de burger een andere vorm van inkomsten heeft wordt de bijdrage door de instelling voor maatwerkvoorzieningen, namens de gemeente, voor opvang geïnd.

 

Hoofdstuk 5 Criteria persoonsgebonden budget (pgb)

 

In de Verordening Wmo en Jeugd 2018 van de gemeente Nijmegen zijn de hoofdlijnen voor het verstrekken van een pgb vastgelegd. Ook is hierin bepaald dat het college nadere regels kan stellen onder welke voorwaarden een pgb wordt verstrekt en over de wijze waarop de hoogte van een pgb wordt vastgesteld. In deze regels is dit verder uitgewerkt.

Op grond van de Wmo 2015 en de Jeugdwet kunnen cliënten onder voorwaarden kiezen voor een pgb in plaats van zorg in natura. Een pgb kan een geschikt instrument zijn voor de cliënt om zijn leven naar eigen wensen en behoeften in te vullen. Het is een verstrekkingsvorm die bij uitstek geschikt is voor mensen die zelf en/of met behulp van een vertegenwoordiger de regie over hun leven kunnen voeren.

Voor de doelgroep van maatwerkvoorzieningen Wmo en individuele voorzieningen Jeugdhulp geldt in een aantal gevallen, en bij beschermd wonen vaak, dat zij voor het adequaat beheren en correct besteden van een pgb niet altijd zelf over de daarvoor benodigde kennis en vaardigheden beschikken. Het gaat immers om een zeer kwetsbare groep burgers, die (vaak) onvoldoende in staat zijn om de regie te voeren over de inkoop van passende ondersteund en doorgaans niet vertrouwd zijn met de details van de regelgeving. Daarom verstrekken we alleen een maatwerkvoorziening in de vorm van pgb, als uit het onderzoek blijkt dat cliënt (evt. met ondersteuning van een vertegenwoordiger) bewust voor een pgb kiest en voldoende bekwaam is om de aan de pgb verbonden taken op een verantwoorde wijze uit te voeren.

 

5.1 Eigen regie

Binnen het pgb geldt als voorwaarde dat de cliënt in staat moet zijn regie te voeren over de situatie (inclusief beheer pgb). Het ‘regie voeren’ houdt in dat mensen een plan moeten kunnen opstellen, kunnen motiveren waarom zij een pgb willen en dat zij in staat zijn om opdrachtgever/werkgever te zijn. In het plan zal dan ook moeten worden aangegeven wie de regie voert en hoe dit wordt vormgegeven.

Of iemand in staat is tot regievoering hangt af van de aard en mate van de beperking. Het is aan de professional om deze beoordeling te doen. De GGD of het sociaal wijk- of regieteam zal in haar onderzoek moeten beoordelen of het verantwoord is om een pgb te verstrekken. Dit hangt af van de mogelijkheden van de cliënt om (zelf of met behulp van anderen) de daaraan verbonden taken goed uit te voeren. Oftewel, als een cliënt aangeeft dat hij zorg wil inkopen via een pgb dan vindt er een toets plaats op de regie van cliënt en of er het vertrouwen is dat de door cliënt voorgestelde invulling van voldoende kwaliteit is en tot de beoogde resultaten leidt.

Dit kan ertoe leiden dat in sommige situaties toch geen ondersteuning in de vorm een pgb wordt verstrekt. De uitkomst van de weging kan van persoon tot persoon verschillen, het is altijd een individuele weging. Waarbij het in essentie draait om de vraag of geborgd is dat het budget ten goede komt aan de gewenste ondersteuning en aan de kwetsbare persoon die ondersteuning nodig heeft.

 

Informatieplicht aanvragers

Het is van belang dat burgers vooraf goed weten wat het pgb inhoudt en welke verantwoordelijkheden ze daarbij hebben. Naast dat burgers worden ingelicht over de mogelijkheid van een pgb, wordt de burger vooraf volledig ingelicht over de gevolgen van de keuze voor een pgb en de voorwaarden die hieraan verbonden zijn.

 

5.2 Voorwaarden

Het kiezen voor een pgb dient altijd een bewuste en vrijwillige keuze van de aanvrager te zijn. Uitgangspunt is dat een pgb alleen wordt verstrekt, indien de cliënt voldoet aan de volgende voorwaarden:

  • 1.

    cliënt kan zelf of met hulp van zijn netwerk/vertegenwoordiger (niet zijnde zorgverlener) zijn pgb beheren;

  • 2.

    cliënt kan zelf of met hulp van zijn netwerk/vertegenwoordiger (niet zijnde zorgverlener) zijn belangen behartigen;

  • 3.

    cliënt kan zelf of met hulp van zijn netwerk/vertegenwoordiger (niet zijnde zorgverlener) passende zorg inkopen;

  • 4.

    cliënt kan zelf of met hulp van zijn netwerk/vertegenwoordiger (niet zijnde zorgverlener) een zorg- en budgetplan opstellen ter ondersteuning van de aanvraag voor een pgb;

  • 5.

    de zorg die wordt ingekocht met het pgb voldoet aan de kwaliteitseisen zoals die ook voor de gecontracteerde aanbieders geldt.

Voor de beoordeling van deze voorwaarden hanteert het college de volgende richtlijnen, die worden getoetst in het gesprek. De GGD (beschermd wonen Wmo) of het sociaal wijk- of regieteam (overige Wmo-maatwerkvoorzieningen en jeugdhulp) voert de beoordeling uit op basis van het pgb-plan.

Ad 1: Bekwaamheid van de aanvrager

Om na te gaan of cliënt, op eigen kracht of met hulp van een vertegenwoordiger, op een verantwoorde wijze kan omgaan met een pgb wordt de bekwaamheid vooraf beoordeeld door de GGD of het sociaal wijk- of regieteam. De beoordelingscriteria zijn:

  • a.

    aanvrager is voldoende in staat zijn tot een redelijke waardering van zijn belangen ten aanzien van de ondersteuningsvraag: een persoon moet duidelijk kunnen maken welke problemen hij heeft, hoe deze zijn ontstaan en bij welke ondersteuning hij gebaat zou zijn;

  • b.

    aanvrager moet goed op de hoogte zijn van de rechten en plichten die horen bij het beheer;

  • c.

    aanvrager moet in staat zijn om de opdrachtgevers-/werkgeverstaak op zich te nemen: bijvoorbeeld het kiezen van de juiste zorgverlener, het aangaan van een zorgovereenkomst, het in de praktijk aansturen van de zorgverlener en het bijhouden van een correcte administratie.

De bekwaamheid voor het hebben van een pgb wordt in samenspraak met de aanvrager getoetst, maar het oordeel van de GGD of het sociaal wijk-/regieteam is leidend. Mocht de professional van oordeel zijn dat de aanvrager niet (voldoende) bekwaam is voor het houden van een pgb, dan wordt het pgb geweigerd. Bij twijfel rondom de bekwaamheid van de pgb-houder om zelf zorg in te kopen of indien er sprake is van een niet-stabiel ziektebeeld, kan door het gebruik van een korte looptijd van de indicatie op korte termijn worden bekeken of de pgb-houder over de vaardigheden beschikt om een pgb te beheren en of dat het pgb nog voldoende voorziet in de ondersteuningsbehoefte van de cliënt.

Ad 2 Vaardigheden en kwaliteiten van de aanvrager

De pgb-houder is zowel opdrachtgever, werkgever als ontvanger van zorg. Het beheren van een pgb doet een groter beroep op de zelfredzaamheid en eigen kracht (regie) van de cliënt. De cliënt of zijn/haar vertegenwoordiger moet op verschillende terreinen over een aantal vaardigheden en kwaliteiten beschikken wil er sprake zijn van adequate zelfregie:

  • 1.

    Een bewuste keuze:

    • a.

      voldoende ziekte-inzicht;

    • b.

      kan hulpvraag goed verwoorden;

    • c.

      weet wat hij/zij nodig heeft;

  • 2.

    overeenkomsten af kunnen sluiten met zorgverleners op basis van een pgb-plan;

    • a.

      kan hulpverleners aansturen;

    • b.

      kan hulpverleners aanspreken op hun functioneren;

  • 3.

    zelf zorgverleners kunnen selecteren;

  • 4.

    administratie bij kunnen houden;

  • 5.

    een begroting op kunnen stellen;

  • 6.

    een budgetplan kunnen maken.

Hierbij kan gebruik worden gemaakt van de vragenlijst ‘bekwaamheid pgb’ (bijlage 5). Daarnaast heeft Per Saldo een pgb-test voor cliënten ontwikkeld. Cliënten kunnen de zelftest op internet invullen en krijgen aan de hand van een aantal vragen inzicht in de vaardigheden die nodig zijn voor het beheren van een pgb en de mate waarin zij zelf reeds over deze vaardigheden beschikkingen. Aanvullend op de eigen informatievoorziening van de gemeente, worden mensen op deze zelftest gewezen. Zie ook de website van Per Saldo, www.pgb-test.nl.

Ad 3 Gemotiveerde keuze pgb

Wmo

De keuze voor pgb kan blijken uit de wijze waarop aanvrager zijn verzoek om pgb motiveert. Het gaat om de keuze van aanvrager en niet van de in te huren ondersteuner of aanbieder. Wel kan iemand uit het eigen sociale netwerk of een onafhankelijke cliëntondersteuner ondersteunen bij het motiveren van de aanvraag.

Jeugdwet

Volgens de Jeugdwet dient de aanvrager te motiveren dat het bestaande aanbod van zorg in natura niet passend is en hij daarom een pgb wenst. Hierbij gaat het om de argumenten van een persoon (de jeugdige of zijn (wettelijk) vertegenwoordiger) om aan te geven dat de voorziening in natura die door de gemeente is voorgesteld niet passend is, waardoor de aanvrager gebruik wenst te maken van een pgb.

Met deze argumentatie moet duidelijk worden dat de aanvrager zich voldoende heeft georiënteerd op de voorziening in natura. Wanneer de aanvrager de onderbouwing in redelijkheid heeft beargumenteerd mag de gemeente de aanvraag niet weigeren. Er zijn enkele concrete voorbeelden te noemen die de aanvrager redelijkerwijs kan aanvoeren om te motiveren dat pgb passend is:

  • 1.

    de benodigde ondersteuning is niet goed vooraf in te plannen;

  • 2.

    de benodigde ondersteuning moet op ongebruikelijke tijd geleverd worden;

  • 3.

    de benodigde ondersteuning moet op veel korte momenten per dag geboden worden;

  • 4.

    de benodigde ondersteuning moet op verschillende locaties geleverd worden;

  • 5.

    als het noodzakelijk is om 24 uur ondersteuning op afroep te organiseren;

  • 6.

    als de ondersteuning door de aard van de beperking (bijvoorbeeld autisme) door een vaste hulpverlener moet worden geboden.

 

Pgb-plan

De maatwerkvoorziening in de vorm van een pgb wordt alleen verstrekt indien de cliënt dit motiveert, aan de hand van een onderbouwd pgb-plan. Het SWT/de GGD beoordeelt of dit plan voldoet. Door het opstellen van een gemotiveerd pgb-plan wordt de cliënt gestimuleerd na te denken over zijn zorgvraag, deze uit te werken en te concretiseren, en tevens het doelbereik en daarmee de kwaliteit van de zorg te evalueren. Uit het plan moet ten minste blijken:

  • a.

    wat de motivatie is om een aanvraag voor een pgb in te dienen;

  • b.

    waarom de zorg van deze specifieke aanbieder de meest geschikte vorm van zorg is;

  • c.

    wat het beoogde resultaat van de ondersteuning is;

  • d.

    hoe de kwaliteit van de ondersteuning is gewaarborgd (o.a. kwalificatie van de zorgverlener(s));

  • e.

    hoe de veiligheid is gewaarborgd;

  • f.

    wat de verwachte duur en omvang van de ondersteuning is; hoe hij/zij de achtervang bij vakantie en ziekte regelt (bij inzet sociaal netwerk)

  • g.

    hoe de ondersteuning is afgestemd op de cliënt;

  • h.

    hoe en wanneer wordt geëvalueerd;

  • i.

    Een begroting (o.a. wat de zorg kost en hoe deze kosten zijn berekend)

Wanneer de aanvrager bij het opstellen van een plan, hulp ontvangt van een curator of mentor dient deze persoon het pgb-plan mede te ondertekenen. Bij zowel Wmo-maatwerkvoorzieningen als Jeugdhulp dient een pgb-plan opgesteld te worden. Echter, enkel de motivatie voor een pgb vormt bij de Wmo geen afwijzingsgrond, bij Jeugdhulp kan dat wel het geval zijn.

Ad 4 Kwaliteitseisen

De kwaliteit van de zorg die ingezet wordt met een pgb moet van vergelijkbare kwaliteit zijn als de dienstverlening in zorg in natura. In het pgb-plan dient aangetoond te worden op welke wijze deze kwaliteit geborgd is.

Een pgb-houder is in eerste instantie zelf, of samen met diens vertegenwoordiger, verantwoordelijk voor de kwaliteit van de zorg die hij inkoopt. Immers, niet de gemeente, maar de pgb-houder zelf kiest de aanbieder en maakt de afspraken. De pgb-houder zelf is hiermee opdrachtgever of werkgever voor de door hem ingehuurde ondersteuning. Het buurtteam/GGD moet formeel toetsen of de kwaliteit voldoende geborgd is en beoordelen of de ingekochte hulp veilig, doeltreffend en cliëntgericht is. Hierbij weegt mee of de diensten, hulpmiddelen en andere maatregelen in redelijkheid geschikt zijn voor het doel waarvoor het pgb wordt verstrekt. Deze eisen worden vooraf aan de cliënt kenbaar gemaakt. Wanneer de ingekochte hulp niet voldoet aan de gestelde kwaliteitseisen kan het buurtteam/GGD het college adviseren geen pgb te verstrekken of het pgb te beëindigen en eventueel terug te vorderen. De kwaliteit en effectiviteit van de ondersteuning zal gemonitord worden. Denk hierbij aan periodieke gesprekken met cliënten, steekproefsgewijze controles en het reageren op signalen van de SVB of anderen binnen of buiten de gemeente. De controle op de kwaliteit van de hulp en ondersteuning blijft primair liggen bij de pgb-houder.

 

5.3 Pgb beheer door vertegenwoordiger

Ten aanzien van begeleiding, dagbesteding, Beschermd Thuis en Beschermd Wonen Wmo geldt dat uitgangspunt van een pgb is dat de cliënt zelf in staat is om regie te voeren op de ingekochte ondersteuning. De pgb beheerder kan de cliënt ondersteunen in het pgb-beheer, maar kan niet volledig in de plaats treden van de cliënt tenzij de pgb-beheerder ouder van de cliënt is of familie in de eerste graad of tweede graad. Als de cliënt onvoldoende in staat is tot regievoering, zal het college niet overgaan tot het toekennen van een pgb, tenzij de pgb-beheerder ouder van de cliënt is of familie in de eerste graad of tweede graad.

Ondersteuning van de cliënt bij onderdelen van pgb-beheer kan plaatsvinden door iemand die tot het sociaal netwerk behoort of door een professional. Een professional levert zijn diensten tegen marktconform tarief. Het college of de andere organisatie kan vragen om een bewijs van betaling.

De pgb-beheerder moet in staat zijn tot een redelijke waardering van de belangen van zijn cliënten en stelt het belang van de cliënt centraal. Er mag daarom geen sprake zijn van belangenverstrengeling, de pgb-beheerder is in ieder geval niet tevens de zorgaanbieder/zorgverlener, diens vast/flexibel personeel, diens organisatie adviseur of op andere wijze aan de zorgaanbieder verbonden persoon (de combinatie van zorgverlener en pgb-beheerder in één persoon of instantie is gezien de belangenverstrengeling onwenselijk en niet toegestaan), met uitzondering van situaties waarin familieleden in de eerste of tweede graad (een deel van) de zorg verlenen.

 

5.4 Criteria pgb en sociaal netwerk

Wettelijk bestaat de mogelijkheid om een pgb ook te besteden binnen het eigen netwerk. Er zijn voorwaarden voor het inzetten van een pgb voor hulp door een persoon uit het sociale netwerk. Tot het sociale netwerk worden personen gerekend uit de huiselijke kring en andere personen met wie iemand een sociale relatie onderhoudt, zoals familieleden, buren, vrienden, kennissen, etc. Uit het onderzoek moet blijken wat het sociale netwerk kan en wil doen (inclusief toepassing van het protocol gebruikelijke hulp bij hulp in het huishouden) en voor welk onderdeel een maatwerkvoorziening nodig is. Aan de hand van een aantal aspecten (zie Artikel 13 lid 4 van de Verordening WMO en Jeugd) wordt beoordeeld of sprake is van hulp die het sociale netwerk zonder betaling kan bieden en of bij wijze van uitzondering de inzet van het sociale netwerk met een pgb betaald kan worden.

 

Voorafgaand aan de vraag of er een maatwerkvoorziening nodig is, is al besproken wat het netwerk zelf kan en wil doen. Ook bij bestaande klanten is het de bedoeling om in principe eerst (opnieuw) te bespreken wat mensen uit het netwerk kunnen en willen oppakken en hoe het zit met de belastbaarheid van het netwerk. Als er sprake is van overbelasting van het eigen netwerk is het van belang om de opties voor respijtzorg te bezien ter ontlasting van de mantelzorger(s) (bijv. m.b.v. een iemand uit de buurt, een vrijwilliger van de Hulpdienst of welzijnswerk, dagbesteding of kortdurend verblijf).

Verstrekking in de vorm van persoonsgebonden budget vindt niet of niet langer plaats als:

  • a.

    op grond van aanwijzingen die tijdens het onderzoek duidelijk zijn geworden het ernstige vermoeden bestaat dat de aanvrager problemen zal hebben bij het omgaan met een persoonsgebonden budget;

  • b.

    er sprake is van vastgesteld oneigenlijk gebruik of misbruik van een persoonsgebonden budget in het verleden;

  • c.

    er naar het oordeel van het college andere, zwaarwegende, bezwaren bestaan tegen de verstrekking.

In de Verordening Wmo en Jeugd van de gemeente Nijmegen staan nog drie aanvullende punten waarmee rekening gehouden moet worden bij het aanvragen of toewijzen/afwijzen van een pgb voor hulp uit het sociale netwerk (Artikel 13 lid 5).

 

5.5 Redenen om geen pgb toe te kennen

In de volgende gevallen wordt geen pgb toegekend :

  • 1.

    Indien blijkt dat de cliënt onjuiste of onvolledige gegevens heeft verstrekt en de verstrekking van juiste of volledige gegevens tot een andere beslissing zou hebben geleid.

  • 2.

    Indien de cliënt niet (meer) voldoet aan de aan het toekennen van een pgb verbonden voorwaarden.

  • 3.

    Als de maatwerkvoorziening in zorg in natura of het pgb niet meer toereikend is te achten.

  • 4.

    Als de cliënt de maatwerkvoorziening of het pgb niet of voor een ander doel gebruikt.

  • 5.

    Als er sprake is van ondersteuning in een spoedeisende situatie, zolang het onderzoek voor een maatwerkvoorziening nog niet is afgerond en er op basis hiervan nog geen besluit is genomen over de noodzaak, aard en omvang van de maatwerkvoorziening.

  • 6.

    Als de kosten van het pgb hoger zijn dan ondersteuning in natura, tenzij cliënt het mogelijke surplus zelf bijbetaalt.

  • 7.

    Als een cliënt in de schuldsanering zit en/of onder bewindvoering is gesteld. Van bewindvoering is vaak sprake, evenals van mentorschap, juist om de cliënt te behoeden voor (financiële) problemen. In sommige gevallen is dat een al jaren bestaande situatie. Voor deze groep geldt dit uitsluitingscriterium niet.

  • 8.

    Indien er sprake is van spoedeisende zorg is het niet mogelijk om een pgb te ontvangen, aangezien er geen tijd is om een plan op te stellen en een (arbeids)overeenkomst te sluiten met een hulpverlener/zorgaanbieder. Bovendien moet de ondersteuning voldoen aan kwaliteitseisen.

  • 9.

    Als op grond van aanwijzingen die tijdens het onderzoek duidelijk zijn geworden het ernstige vermoeden bestaat dat de aanvrager problemen zal hebben bij het omgaan met een pgb. De situaties waarbij het risico groot is dat het pgb niet besteedt wordt aan het daarvoor bestemde doel zijn onder andere:

    • a.

      De belanghebbende is handelingsonbekwaam.

    • b.

      De belanghebbende heeft als gevolg van een verstandelijke handicap of ernstige

  • psychische problemen onvoldoende inzicht in de eigen situatie.

    • c.

      Er is sprake van verslavingsproblematiek.

    • d.

      Er is sprake van schuldenproblematiek.

    • e.

      Er is eerder misbruik gemaakt van een pgb.

    • f.

      Er is eerder sprake geweest van fraude.

Bovenstaande opsomming is niet limitatief. Er kunnen anders situaties denkbaar zijn waarin het verstrekken van een pgb niet gewenst is. Deze situaties vereisen altijd een individuele afweging. In deze situaties kan een pgb worden geweigerd.

 

5.6 Duur pgb-indicatie

Een pgb wordt voor maximaal 2 jaar afgegeven. De gemeente kan een pgb met een kortere looptijd afgeven:

  • a.

    als de beoogde resultaten eerder kunnen worden behaald;

  • b.

    bij twijfel rondom bekwaamheid van de pgb-houder om zelf zorg in te kopen, maar Waarbij die twijfel onvoldoende is om het pgb gelijk af te wijzen;

  • c.

    indien er sprake is van een niet-stabiel ziektebeeld of een verwachte wisselende ondersteuningsbehoefte;

  • d.

    in andere gevallen die aanleiding geven tot het afgeven van een pgb voor een kortere periode.

 

5.7 Besteding pgb

Pgb budgethouders mogen vanuit het budget de volgende uitgaven wel doen:

  • a.

    alle bijkomende kosten voor de zorgverleners, zoals de werkgeverslasten voor zorgverleners met een arbeidsovereenkomst en wettelijk toegestane vergoedingen, zoals reiskosten, vervanging tijdens vakantie en verzekeringen;

  • b.

    vervoerskosten, maar alleen als er een beschikking is voor begeleiding in dagdelen (dagopvang), samen met een indicatie voor vervoer van en naar de plek waar die begeleiding geboden wordt.

In de Verordening WMO en Jeugd is een lijst te vinden van uitgaven die pgb budgethouders vanuit het budget in ieder geval niet mogen doen (Artikel 11 lid 4).

 

5.8 Betaling – trekkingsrecht

In de Wmo 2015 en Jeugdwet is de verplichting opgenomen dat gemeenten pgb’s uitbetalen in de vorm van trekkingsrecht. Dit houdt in dat de gemeente het pgb niet op de bankrekening van de pgb-houder stort, maar op rekening van het servicecentrum pgb van de SVB. De SVB verricht de betalingen namens de pgb-houder aan de zorgverleners. De pgb-houder moet de SVB opdracht geven voor betaling van hun zorgverleners. De pgb-houder laat via declaraties of facturen aan de SVB weten hoeveel uren hulp zijn geleverd en de SVB zorgt vervolgens, na controle van de factuur of declaratie, voor uitbetaling van de zorgverlener. De niet bestede pgb bedragen worden door de SVB na afloop van de verantwoordingsperiode terugbetaald aan de gemeente.

 

Rol van de SVB

Om pgb via trekkingsrecht te kunnen uitvoeren, moet de pgb-houder een zorgovereenkomst hebben met de zorgverlener. Deze moet hij indienen bij de SVB, waarna de SVB deze overeenkomst arbeidsrechtelijk toetst en de gemeente deze zorginhoudelijk moet goedkeuren. Als de SVB geen zorgovereenkomst heeft, kan de zorgverlener niet worden betaald. Bij elke betaalopdracht controleert de SVB of de betaling klopt met deze zorgovereenkomst. De pgb-houder is verantwoordelijk voor het in de gaten houden van de betalingen uit het pgb. De pgb-houder ontvangt elke maand een budgetoverzicht van de SVB, welke ook digitaal te raadplegen is.

De aanvrager is verplicht zich te houden aan de door de SVB gestelde bepalingen rondom het trekkingsrecht. Niet voldoen aan de bepalingen van de SVB t.a.v. het trekkingsrecht kan tot gevolg hebben dat het pgb wordt ingetrokken.

 

Verantwoording en controle pgb

Ter aanvulling op het trekkingsrecht zal de gemeente gedurende het jaar via steekproeven bij de pgb-beheerder door een huisbezoek en/of een administratieve controle nagaan of het pgb besteed is aan het doel waarvoor het verstrekt is (rechtmatigheid) en de inhoudelijke zorgverlening en ondersteuningsvraag met de pgb-beheerder bespreken (doelmatigheid).

Als tijdens de huisbezoeken onrechtmatigheden of ondoelmatig gebruik van het pgb wordt geconstateerd kan het college besluiten om voorwaarden te stellen aan voortzetting van het pgb of het verstrekken van de pgb te heroverwegen en eventueel te beëindigen.

In een steekproef kunnen daarnaast jaarlijks een aantal dossiers worden onderworpen aan een intensieve controle. De budgethouder moet hieraan meewerken en alle gevraagde stukken indienen bij de gemeente. Het niet of niet volledig indienen van gevraagde stukken kan leiden tot geheel of gedeeltelijke terugvordering.

 

5.9 Periodieke evaluatie

Op grond van artikel 2.3.9 van de Wmo 2015 moet periodiek worden onderzocht of er aanleiding is de beslissing tot een maatwerkvoorziening, waaronder pgb’s, te heroverwegen. Deze evaluatiemomenten worden in het pgb-plan vastgelegd (ten minste een keer per jaar bij beschermd wonen Wmo). Samen kijken de GGD of het wijk- of regieteam en de pgb-houder aan de hand van het pgb-plan of de pgb-houder tevreden is over de geleverde ondersteuning en of de ondersteuning bijdraagt aan de beoogde doelen (zelfredzaamheid en participatie). Bij de heroverweging wordt een duidelijk onderscheid gemaakt tussen twee aspecten:

  • a.

    passendheid: de beschikking wordt inhoudelijk opnieuw bekeken om te bepalen of de gegeven ondersteuning (nog steeds) goed aansluit bij de behoefte van de cliënt, en of deze ondersteuning efficiënt is. De GGD doet dit voor beschermd wonen Wmo door geen langlopende indicaties af te geven maar voor een periode van maximaal 2 jaar. Hiermee wordt periodiek bezien of de indicatie die iemand heeft – en daarmee zijn pgb- nog past bij zijn individuele situatie.

  • b.

    handhaving: het periodiek heroverwegen van de beschikking is ook een middel om fraude en oneigenlijk gebruik tegen te gaan. Zo kan het zijn dat een cliënt bewust of onbewust het budget heeft gebruikt voor een ander doel dan waarvoor het pgb is afgegeven.

Waar noodzakelijk wordt het plan bijgesteld aan de nieuwe situatie en/of opnieuw vastgesteld welke zorg/ondersteuning nodig is om de actuele zorgbehoefte te beantwoorden. Bij signalen van oneigenlijk gebruik heeft de gemeente de mogelijk om een pgb terug te vorderen.

 

5.10 Verantwoording pgb

De pgb-houder dient het college te allen tijde op de hoogte te stellen van gewijzigde feiten en omstandigheden die van invloed kunnen zijn op het recht op maatschappelijke ondersteuning. Het kan bijvoorbeeld gaan om een verbetering of verslechtering van de gezondheidssituatie, gezinsuitbreiding of bijvoorbeeld een verhuizing.

Artikel 2.3.10 lid 1 van de Wmo en artikel 19 van de Verordening WMO en Jeugd van de gemeente Nijmegen bepalen wanneer een reeds toegekende voorziening kan worden herzien of ingetrokken. Het college heeft als gevolg hiervan ook bevoegdheden tot terugvordering, zie artikel 2.4.1 van de Wmo en artikel 19 van de Verordening WMO en Jeugd van de gemeente Nijmegen.

 

Hoofdstuk 6 Citeertitel en Inwerkingtreding

 

1. Deze beleidsregels worden aangehaald als: “beleidsregels maatschappelijke ondersteuning en jeugdhulp 2022”

2. De beleidsregels treden in werking op 1 januari 2022 onder gelijktijdige intrekking van de beleidsregels maatschappelijke ondersteuning en jeugdhulp 2020 Gemeente Nijmegen.

 

Aldus vastgesteld in de vergadering van 14 december 2021,

 

 

De Gemeentesecretaris,

mr. drs. A.H. van Hout

De Burgemeester,

drs. H.M.F. Bruls

BIJLAGE 1: Protocol gebruikelijke hulp en ondersteuning bij jeugdhulp en maatschappelijke ondersteuning

 

Inleiding

 

Het college verstrekt alleen een maatwerkvoorziening wanneer de cliënt naar het oordeel van het college niet op eigen kracht, met gebruikelijke hulp, met mantelzorg of met hulp van andere personen uit zijn sociale netwerk dan wel met gebruikmaking van algemene voorzieningen in staat is tot zelfredzaamheid en participatie of wordt voorzien in de behoefte aan beschermd wonen of opvang (artikel 2.3.5 lid 3 en 4 Wmo 2015).

 

Het college kan weigeren om een maatwerkvoorziening te verstrekken vanwege de aanwezigheid van gebruikelijke hulp wanneer degene die geacht wordt de gebruikelijke hulp te verlenen een huisgenoot is op wie een onderhoudsplicht (de partners, ouders, inwonende kinderen, etc.) rust.

 

De aanwezigheid van gebruikelijke hulp en de omvang daarvan, moet op basis van objectieve criteria worden gemotiveerd en geconcretiseerd. Deze criteria worden in dit protocol uitgewerkt.

 

1. Verhouding gebruikelijk hulp en ondersteuning t.o.v. de Verordening en de Beleidsregels

 

In artikel 5 lid 2 van de Verordening staat dat het college onderzoekt:

a. de behoeften, persoonskenmerken en voorkeuren van de cliënt;

b. het gewenste resultaat van de hulpvraag;

c. de behoefte aan maatregelen ter ondersteuning van de mantelzorger van de cliënt;

d. de mogelijkheden om op eigen kracht, met gebruikelijke hulp, een algemene voorziening of algemeen gebruikelijke voorzieningen een oplossing voor de hulpvraag te vinden;

e. de mogelijkheden om met mantelzorg, het verrichten van maatschappelijk nuttige activiteiten of hulp van andere personen uit zijn sociaal netwerk een oplossing voor de hulpvraag te vinden;

f. de mogelijkheden om door middel van voorliggende voorzieningen of door samen met zorgverzekeraars en zorgaanbieders als bedoeld in de Zorgverzekeringswet en andere partijen op het gebied van publieke gezondheid, maatschappelijke ondersteuning, jeugdhulp, onderwijs, welzijn, wonen, werk en inkomen, een oplossing voor de hulpvraag te vinden en de wijze waarop een mogelijk toe te kennen maatwerkvoorziening wordt afgestemd op andere voorzieningen op deze domeinen;

g. de mogelijkheden om met een maatwerkvoorziening een oplossing voor de hulpvraag te vinden.

 

Gebruikelijke hulp is hulp waarvan we minimaal verwachten dat mensen die “normaal” aan elkaar geven. Gebruikelijke hulp wordt daarom niet gecompenseerd vanuit de Wmo 2015 of Jeugdwet. Mantelzorg of ondersteuning door het sociaal netwerk kunnen we niet eisen en bieden mensen vrijwillig.

 

Afhankelijk van de situatie zijn mensen meer of minder in staat om iets te betekenen voor een ander: het is maatwerk in hoeverre mantelzorg en steun vanuit het eigen netwerk, bovenop gebruikelijke hulp, meeweegt in het besluit om al dan niet een maatwerkvoorziening te verstrekken. Na de beoordeling van gebruikelijke hulp, wordt met de cliënt en het netwerk besproken wat zij voor elkaar kunnen betekenen en in hoeverre aanvullende ondersteuning nodig is, bijvoorbeeld om de mantelzorger te ontlasten. Dit protocol betekent dus niet dat alle bovengebruikelijke hulp wordt gehonoreerd met een maatwerkvoorziening in de vorm van zorg in natura of in de vorm van een pgb als iemand hierom vraagt (zoals onder de AWBZ het geval was).

 

Als er sprake is van bovengebruikelijke hulp dan wordt niet gelijk een maatwerkvoorziening toegekend, maar wordt eerst gekeken naar eigen kracht, algemene voorzieningen, het sociale netwerk, mantelzorg, etc. Maatwerk staat dus voorop.

 

Het hangt af van de sociale relatie welke hulp en ondersteuning mensen elkaar moeten bieden of van elkaar mogen verwachten. Hoe intiemer de relatie, des te meer hulp en ondersteuning mensen elkaar horen te geven. Als het gebruikelijk is dat mensen in een bepaalde relatie elkaar hulp en ondersteuning bieden, is dat niet vrijblijvend met betrekking tot het mogelijke beroep op een maatwerkvoorziening op basis van Wmo 2015 en Jeugdwet.

 

De criteria voor pgb genoemd in artikel 11 t/m 14 van de Verordening en hoofdstuk 5 van de Beleidsregels zijn (dan ook) voorliggend op dit protocol.

 

Dit protocol heeft naast de inleiding vier onderdelen, namelijk:

1. Hulp bij het Huishouden

2. Begeleiding en verzorging (Wmo 2015 en Jeugdwet)

3. Bijlage

 

2. Hulp bij het huishouden

Het principe van 'gebruikelijke hulp' heeft een verplichtend karakter en hierbij wordt geen onderscheid gemaakt op basis van bijvoorbeeld sekse, religie, cultuur, gezinssamenstelling en de wijze van inkomensverwerving.

 

1. Gebruikelijke hulp door (jonge) huisgenoten

Gebruikelijke hulp heeft een verplichtend karakter. Dit houdt in dat er zowel van volwassen als jonge huisgenoten een bijdrage wordt verlangd in het huishouden. Hierbij dient echter wel rekening te worden gehouden met de ontwikkelingsfase van kinderen.

Voor gezonde jonge huisgenoten geldt:

1) Huisgenoten tot 5 jaar leveren geen bijdrage aan het huishouden

2) Huisgenoten van 5 tot en met 12 jaar worden naar eigen mogelijkheden betrokken bij lichte huishoudelijke werkzaamheden (bv. opruimen, tafel dekken/afruimen, afwassen/afdrogen, een boodschap doen en kleding in de wasmand gooien)

3) Huisgenoten van 13 tot en met 17 jaar kunnen helpen bij lichte huishoudelijke werkzaamheden (bv. opruimen, tafel dekken/afruimen, afwassen/afdrogen, een boodschap doen, kleding in de wasmand gooien) en hun eigen kamer op orde houden (rommel opruimen, stofzuigen en bed verschonen)

4) Huisgenoten van 18 tot en met 22 jaar kunnen een eenpersoonshuishouden voeren. Dit wil zeggen; schoonhouden van sanitaire ruimte, keuken en een kamer, de was doen, boodschappen doen, maaltijd verzorgen, afwassen en opruimen. Indien nodig kan ook de opvang en/of verzorging van jongere gezinsleden tot hun taken behoren. In het protocol 'Gebruikelijke hulp' (CIZ, 2005) wordt dit benoemd als: 2 uur uitstelbare taken en 3 uur niet uitstelbare taken per week. Onder uitstelbare taken wordt verstaan; boodschappen doen, zwaar huishoudelijk werk en wasverzorging. Onder niet-uitstelbare taken wordt verstaan: maaltijden verzorgen, licht huishoudelijk werk, gezonde kinderen opvangen/verzorgen en dagelijkse organisatie van het huishouden voeren.

In een uitspraak van de rechtbank Rotterdam wordt echter niet gesproken over uren maar over het kunnen voeren van een eenpersoonshuishouden.

5) Huisgenoten vanaf 23 jaar kunnen de huishoudelijke taken volledig overnemen wanneer de cliënt uitvalt.

 

Niet gewend zijn of de vaardigheid missen

Redenen als 'niet gewend zijn om' of 'geen huishoudelijke werk willen en/of kunnen verrichten' leiden niet tot een aanspraak. In die situaties kan een tijdelijke indicatie afgegeven worden voor het aanleren hiervan. De taak wordt dan niet overgenomen maar via instructies gestuurd.

 

2. Uitzonderingen bij bijzondere typen leefsituaties

Bij een aantal typen leefsituaties wordt anders omgegaan met het begrip 'duurzaam huishouden' waardoor er mogelijk geen/beperkt sprake zal zijn van 'gebruikelijke hulp'.

 

  • Kamer huren bij cliënt

Als een cliënt een kamer verhuurt aan een derde wordt de huurder niet tot de leefeenheid gerekend. De huurder wordt in staat geacht de gehuurde ruimte(n) schoon te houden en een evenredige bijdrage te leveren aan gezamenlijke ruimten. In de berekening van de omvang van de hulp wordt het schoonmaken van gehuurde ruimte(n) dus niet meegerekend.

 

  • Geclusterd wonen

Een cliënt woont zelfstandig, met meerdere mensen in een huis zonder hiermee een leefeenheid te vormen. Met andere woorden; de cliënt vormt geen duurzaam huishouden met de huisgenoten. In dergelijke situaties heeft men in ieder geval wel een eigen woon/slaapkamer en de overige ruimten worden in meer of mindere mate gemeenschappelijk gebruikt. In de berekening van de omvang van hulp wordt het schoonmaken van de eigen woonruimte(n) en slecht een evenredig deel van de gemeenschappelijke ruimten meegerekend.

 

  • Leef- en woongemeenschappen

Een cliënt woont zelfstandig met meerdere mensen in een gebouw en vormt hiermee wel een leefeenheid. Met andere woorden; cliënt vormt een duurzaam huishouden met de huisgenoten. Vrijwel alle leefgemeenschappen kennen een of meer gezamenlijke bindende factoren, meestal met een religieuze of spirituele inhoud. Een voorbeeld hier van zijn kloostergemeenschappen waarbij er sprake is van een leefeenheid, maar de taakverdeling zich niet leent voor overname. In die situaties kan een cliënt hulp krijgen voor het schoonmaken van de eigen kamer en een evenredig deel van het schoonmaken van de gemeenschappelijke ruimten die vallen binnen het niveau van de sociale woningbouw. Bibliotheken, gebedsruimten etc. vallen buiten het niveau van de sociale woningbouw en behoren daardoor tot de eigen verantwoordelijkheid van de gemeenschap.

 

3. Uitzonderingen voor gebruikelijke hulp

In een aantal situaties waarbij er sprake is van een 'duurzaam huishouden' mag er worden afgeweken van het principe van 'gebruikelijke hulp':

 

  • Medisch geobjectiveerde aandoening

Als uit objectief onderzoek blijkt dat een huisgenoot aantoonbare beperkingen heeft op grond van een aandoening, beperking, handicap of probleem, waardoor redelijkerwijs de taken niet overgenomen kunnen worden, is 'gebruikelijke hulp' niet van toepassing.

 

  • Symptomen die zouden kunnen wijzen op overbelasting

Overbelasting kan worden veroorzaakt door een combinatie van symptomen van lichamelijke en/of psychische aard en wordt bepaald door in- en uitwendige factoren. Met andere woorden; in exact dezelfde situatie zaI de ene huisgenoot wel overbelast kunnen raken, terwijl een andere huisgenoot hier geen of minder last van heeft. Het is daarom van belang zorgvuldig onderzoek te plegen naar de verhouding tussen draagkracht (belastbaarheid) en draaglast (belasting) en symptomen die kunnen wijzen op overbelasting. In veel gevallen wordt een medisch adviseur daarbij Ingeschakeld ter beoordeling. In principe zaI overname van huishoudelijke taken voor een korte duur zijn, te denken valt aan 3-6 maanden. In deze periode wordt de leefeenheid de gelegenheid gegeven de onderlinge taakverdeling aan de ontstane situatie aan te passen. Factoren die van invloed zijn op de draagkracht zijn onder meer:

1) lichamelijke conditie

2) geestelijke conditie

3) wijze van omgaan met problemen (coping)

4) motivatie voor de zorgtaak

5) sociaal netwerk

Factoren die van invloed zijn op de draaglast zijn onder meer:

1) omvang en mate van (on)planbaarheid van zorgtaken

2) ziektebeeld en prognose

3) inzicht van huisgenoot in ziektebeeld van cliënt

4) woonsituatie

5) bijkomende sociale problemen

6) bijkomende emotionele problemen

7) bijkomende relationele problemen

 

Mogelijke symptomen van overbelasting zijn:

1) gespannen spieren, vaak in schoudergordel en rug

2) hoge bloeddruk

3) gewrichtspijn

4) gevoelens van slapte

5) slapeloosheid

6) migraine, duizeligheid

7) spierkrampen

8) verminderde weerstand, ziektegevoeligheid

9) opvliegingen

10) ademnood en gevoelens van beklemming op de borst

11) plotseling hevig zweten

12) gevoelens van beklemming in de hals

13) spiertrekkingen in het gezicht

14) verhoogde algemene prikkelbaarheid, boosheid, (verbale) agressie, zwijgen

15) ongeduld

16) vaak huilen

17) neerslachtigheid

18) isolering

19) verbittering

20) concentratieproblemen

21) dwangmatig denken, niet meer kunnen stoppen

22) rusteloosheid

23) perfectionisme

24) geen beslissingen kunnen nemen

25) denkblokkades

 

  • Dreigende overbelasting

Uit jurisprudentie blijkt dat in die situaties de aanvraag voor huishoudelijke hulp niet per definitie afgewezen kan worden. Binnen de Wmo 2015 moet de situatie van een mantelzorger nadrukkelijk meegewogen worden. (Dreigende) overbelasting van een mantelzorger, dat wil zeggen iemand die zorgt voor een zieke huisgenoot, kan een reden zijn om de Hulp bij het Huishouden toch toe te kennen. Elementen die daarbij een rol spelen zijn:

1) Hoe zwaar is de medische problematiek van de cliënt?

2) Is er sprake van onplanbare zorg?

3) Hoeveel uren (intensiteit) mantelzorg biedt de huisgenoot en hoe verhoudt de draaglast zich tot de draagkracht?

4) heeft huisgenoot mogelijk een (deel van) betaalbare baan opgezegd om AWBZ zorg te verlenen?

 

  • (Dreigende) overbelasting bij korte levensverwachting cliënt

In terminale situaties is overleg met de huisgenoten over wat draagbaar is zeer belangrijk. In deze situaties mag er soepeler worden omgegaan met het principe 'gebruikelijke hulp'.

 

  • (Dreigende) overbelasting na overlijden

Indien een cliënt aangeeft overbelast te zijn door de combinatie van werk en de verzorging van de inwonende kinderen, vanwege het plotseling overlijden van de andere (inwonende) ouder, kan kortdurend huishoudelijke taken worden overgenomen. Te denken valt aan een periode van 3-6 maanden zodat de leefeenheid de gelegenheid gegeven de taakverdeling aan de ontstane situatie aan te passen.

Doorzetten van begeleiding na overlijden kan ook mogelijk zijn (via ZIN of pgb) in gevallen dat er nazorg nodig is, zoals regelen vd uitvaart, leeghalen vh huis, etc als er niemand anders is die dit kan doen.

 

  • Voorkomen van crisis en ontwrichting bij verzorging en opvang van gezonde kinderen

Indien opvang van gezonde kinderen noodzakelijk is heeft de inzet van algemene voorzieningen en/of mantelzorg een verplichtend karakter. Gebruik van algemene voorzieningen zoals kinderopvang en crèche is gangbaar tot en met 5 dagen per week.

Als deze niet aanwezig, niet toepasbaar of uitgeput zijn, is inzet van hulp voor oppas en opvang van kinderen voor een korte periode mogelijk. Te denken valt aan een periode van 3-6 maanden zodat de ouder(s) de gelegenheid krijgt een eigen oplossing te vinden.

 

  • Ouderen met een hoge leeftijd

Als een huisgenoot een dusdanig hoge leeftijd heeft bereikt (75 jaar en ouder) kan dit leiden tot overname van de zware huishoudelijke taken die anders tot de 'gebruikelijke hulp' zouden worden gerekend. Het aanleren van nieuwe taken kan redelijkerwijs niet meer worden verwacht.

 

  • Fysieke afwezigheid in verband met werk

Er wordt geen rekening gehouden met drukke werkzaamheden, lange werkweken of veel reistijd. Over het algemeen kan alleen rekening worden gehouden met personen die vanwege hun werkzaamheden langdurig van huis zijn. Dit is bijvoorbeeld bij internationaal vrachtwagenchauffeurs, medewerkers in de off-shore of mariniers. Het gaat namelijk te ver deze mensen te dwingen een andere baan of functie te zoeken. De afwezigheid dient echter wel te voldoen aan de volgende kenmerken:

1) het is inherent aan het werk;

2) heeft een verplichtend karakter;

3) en is voor een aaneengesloten periode van tenminste 7 etmalen.

 

Let op:

Jurisprudentie is genuanceerder en gaat niet per definitie uit van de zeven etmalen. De CRvB noemt dat hierdoor ten onrechte wordt voorbij gegaan aan de vraag of de huisgenoot feitelijk kan voorzien in het verlenen van deze zorg. Hierbij dient altijd de individuele situatie nauwkeurig onderzocht te worden.

In de periode van afwezigheid is de huisgenoot niet in staat 'gebruikelijke hulp' te leveren. In de berekening van de omvang van de hulp dient deze huisgenoot niet te worden meegerekend.

 

3. Begeleiding en verzorging

3.1 Algemene uitgangspunten

  • De redelijkheid bepaalt wat als gebruikelijke hulp kan worden geduid.

  • Wat redelijk is hangt af van de specifieke situatie van een cliënt en zijn huisgenoten. Iedere situatie is anders: maatwerk (zie ook paragraaf 1a). Kan de last (naar algemeen aanvaarde opvattingen) in redelijkheid gedragen worden door de huisgenoot?

  • Bovengebruikelijke hulp wordt alleen vergoed als iemand hierom vraagt. Let op! Als er sprake is van bovengebruikelijke hulp dan wordt niet gelijk een maatwerkvoorziening toegekend, maar wordt eerst gekeken naar eigen kracht, algemene voorzieningen, het sociale netwerk, mantelzorg, etc.

 

Afwegingselementen zijn:

  • persoonskenmerken van de ondersteuningsbehoevende;

  • de benodigde ondersteuningsintensiteit (aard en frequentie zorghandelingen, planbaarheid, uitstelbaarheid, toezicht, tijd);

  • woonsituatie / samenstelling gezin;

  • (verplichte) activiteiten van huisgenoot (werk, school, hoeveel uur). Hierbij geldt overigens als uitgangspunt dat het hebben van een baan, het volgen van een opleiding of vrijwilligerswerk het leveren van gebruikelijke hulp niet per definitie in de weg staat;

  • kennis en vaardigheden (waaronder begrepen de leerbaarheid) van huisgenoot om de benodigde ondersteuning te leveren;

  • gezondheidssituatie van huisgenoot waaronder zijn draagkracht/belastbaarheid;

  • leeftijd van huisgenoot;

  • sociaal netwerk (inzet/ondersteuning van anderen uit netwerk).

  • een beroep op gezindheid/levensovertuiging en/of culturele achtergrond betekent niet dat iedere specifieke zienswijze van een aanvrager moet worden gehonoreerd. Het argument dat het in een cultuur niet gebruikelijk is dat de man bepaalde taken overneemt, leidt niet tot het afwijken van dit protocol.

 

Opmerking 1: Bovengebruikelijke hulp betekent niet dat een vergelijk wordt gemaakt tussen de zorgbehoevende persoon en een vergelijkbaar persoon zonder zorgbehoefte. Er moet worden gekeken naar wat voor een bepaalde persoon, gezien alle omstandigheden, boven de voor hem gebruikelijk te achten zorg uit gaat. Concretisering en motivering zijn dan ook noodzakelijk.

 

Opmerking 2: In het kader van het onderzoek inzake de inzet van gebruikelijke hulp door huisgenoten is meestal het horen/spreken van de betreffende huisgenoten aan de orde. Huisgenoten horen hiertoe hun medewerking te verlenen, omdat een gezamenlijk plan nodig is.

 

3.2 Beoordelingskader bij partners onderling, ouders en volwassen inwonende kinderen en/of andere volwassen huisgenoten onderling

Het algemeen beoordelingskader onder A tot en met C is slechts richtinggevend. In alle gevallen zal een individuele afweging moeten plaatsvinden of en in hoeverre het protocol van toepassing is.

 

A. Partners onderling, ouders en volwassen inwonende kinderen en/of andere volwassen huisgenoten onderling, kortdurende situaties

Alle begeleiding van de cliënt door de partner, ouder, volwassen kind en/of elke andere volwassen huisgenoot is gebruikelijke hulp en ondersteuning als er sprake is van een kortdurende zorgsituatie (denk hierbij aan ongeveer drie maanden), met uitzicht op een dusdanig herstel van het gezondheidsprobleem en de daarmee samenhangende zelfredzaamheid van de cliënt, dat een maatwerkvoorziening daarna niet langer is aangewezen.

Bij een aantal typen leefsituaties kan er geen sprake zijn van gebruikelijke hulp en ondersteuning:

  • Kamer huren bij cliënt

Als een cliënt een kamer verhuurt aan een derde

  • Geclusterd wonen

Een cliënt woont zelfstandig met meerdere mensen in een huis en vormt geen duurzaam huishouden met de huisgenoten.

  • Leef- en woongemeenschappen

Een cliënt woont zelfstandig met meerdere mensen in een gebouw en vormt met deze huisgenoten een duurzaam huishouden. Vrijwel alle leefgemeenschappen kennen een of meer gezamenlijke bindende factoren, meestal met een religieuze of spirituele inhoud.

 

B. Partners onderling, ouders en volwassen inwonende kinderen en/of andere volwassen huisgenoten onderling, langdurende situaties

Als het gaat om een langdurige situatie is de begeleiding van een volwassen cliënt gebruikelijke hulp en ondersteuning wanneer die begeleiding naar algemeen aanvaarde maatstaven door partner, ouder, inwonend kind en/of andere huisgenoot in de persoonlijke levenssfeer onderling aan elkaar moet worden geboden. Het gaat hierbij in ieder geval om de volgende vormen van begeleiding aan een cliënt:

  • Het geven van begeleiding aan een cliënt op het terrein van de maatschappelijke participatie, bijvoorbeeld deelnemen aan activiteiten, samen naar de film gaan.

  • Het begeleiden van de cliënt bij het normaal maatschappelijk verkeer binnen de persoonlijke levenssfeer, bijvoorbeeld het bezoeken van familie/vrienden of huisarts.

  • Het bieden van hulp en ondersteuning bij of het overnemen van taken die bij een gezamenlijk huishouden horen, zoals het doen van de administratie, regie voeren over het huishouden of het uitvoeren van schoonmaaktaken.

 

C. Aanleren

Het door een gezinslid of huisgenoot aan derden (familie/vrienden) aanleren om te gaan met de cliënt is gebruikelijke hulp en ondersteuning.

 

D. Uitzonderingen (geen gebruikelijke hulp en ondersteuning aan de orde)

  • 1.

    Voor zover een partner, ouder, volwassen kind en/of elke andere volwassen huisgenot(en) geobjectiveerde beperkingen heeft en/of kennis/vaardigheden mist om gebruikelijke hulp en ondersteuning ten behoeve van cliënt uit te voeren en deze vaardigheden niet kan aanleren wordt van hen geen bijdrage verwacht. Hiervoor schakelt de beoordelende professional die niet SKJ/BIG geregistreerd is altijd een professional die wel SKJ/BIG geregistreerd is, of een arts in.

 

  • 2.

    Voor zover een partner, ouder, volwassen kind en/of andere volwassen huisgenoot overbelast is of dreigt te raken wordt van hem of haar geen gebruikelijke begeleiding verwacht, totdat deze dreigende overbelasting is opgeheven. Dit kan bijvoorbeeld doordat een andere huisgenoot gebruikelijke begeleiding verleent. Hiervoor schakelt de beoordelende professional die niet SKJ/BIG geregistreerd is altijd een professional die wel SKJ/BIG geregistreerd is, of een arts in. In geval van overbelasting dienen zorgtaken juist weggenomen worden en dient de zorg door (andere) zorgverlener(s) uitgevoerd te worden.

  •  

  • 3.

    Voor zover de cliënt zich in de terminale levensfase bevindt, wordt geen bijdrage verwacht van een partner, ouder, kind en/of andere huisgenoot.

 

3.3 Beoordelingskader bij ouders en jeugdige(n)

Als eerste wordt de benodigde hulp en ondersteuning bepaald, vervolgens wordt beoordeeld:

  • Welk deel van deze hulp en ondersteuning onder de gebruikelijke hulp van ouders aan kinderen valt.

  •  

  • Ouders aan kinderen, in kortdurende situaties

Alle begeleiding door de ouder aan het kind is gebruikelijke hulp en ondersteuning als er sprake is van een kortdurende zorgsituatie met uitzicht op een dusdanig herstel van het gezondheidsprobleem en de daarmee samenhangende zelfredzaamheid van de cliënt, dat een maatwerkvoorziening daarna niet langer is aangewezen.

 

  • Ouders aan kinderen, in langdurige situaties

Een kind is aangewezen op een maatwerkvoorziening als het gaat om een chronische situatie, waarbij de gebruikelijke begeleiding in vergelijking tot een gezond kind c.q. een kind zonder beperkingen van dezelfde leeftijdscategorie volgens de in de bijlage aangegeven richtlijnen per levensfase wordt overschreden en daarmee bovengebruikelijk wordt.

 

  • Welk deel van de benodigde hulp en ondersteuning als aanvullend kan worden gezien.

  •  

  • In hoeverre de eigen mogelijkheden en het probleemoplossend vermogen van de ouder(s) en van het sociale netwerk toereikend zijn om zelf de nodige hulp en ondersteuning te kunnen bieden.

 

Om vast te stellen op welke hulp en ondersteuning het kind redelijkerwijs is aangewezen, wordt, gelet op de omstandigheden van het betrokken kind, beoordeeld welke hulp en ondersteuning op het gebied van persoonlijke verzorging en hulpverlening uitgaat boven de hulp en ondersteuning die een kind van dezelfde leeftijd zonder beperkingen redelijkerwijs nodig heeft.

 

3.3.1 Leeftijd Bij de beoordeling wordt rekening gehouden met verschillen die tussen jeugdigen in dezelfde leeftijdscategorie bestaan. Ook bij gezonde jeugdigen van dezelfde leeftijd kan de hulp en ondersteuning die het ene kind nodig heeft namelijk meer of minder zijn dan de hulp en ondersteuning die een ander kind nodig heeft.

 

3.3.2 Aard van de (zorg)handelingen Gebruikelijke hulp en ondersteuning bij jeugdigen kunnen ook handelingen omvatten die niet standaard bij alle jeugdigen voorkomen, zoals het geven van sondevoeding in plaats van eten, of het geven van medicijnen. Voorbeelden van handelingen die gebruikelijke hulphandelingen vervangen kunnen zijn: het legen van een katheterzakje in plaats van verschonen; bij een kind met een verstandelijke beperking oefenen met het gebruik van pictogrammen in plaats van oefenen met topografie.

3.3.3 Frequentie en patroon van de (zorg)handelingen (samenloop) Zorghandelingen die meelopen in het normale patroon van dagelijkse hulp en ondersteuning aan een kind, zoals drie keer eten per dag, kunnen als gebruikelijke hulp en ondersteuning worden aangemerkt. Hetzelfde geldt voor het aanreiken van spullen of speelgoed na afloop van de maaltijd of na een drinkmoment, bij jeugdigen met een lichamelijke beperking.

Een voorbeeld van zorghandelingen die niet meelopen in het normale patroon van dagelijkse hulp en ondersteuning van ouders aan een kind, is het meerdere malen per nacht bieden van hulp van ouders aan een ouder kind.

 

3.3.4 Omvang van de met de (zorg)handelingen gemoeide tijd De tijd die met de zorghandelingen is gemoeid, kan (bijvoorbeeld wassen en kleden bij spasticiteit) meebrengen dat niet langer van gebruikelijke hulp en ondersteuning sprake is.

 

3.3.5 Beschermende woonomgeving en jeugdigen Het door de ouders aan het kind bieden van een beschermende woonomgeving moet afhankelijk van de levensfase van het kind als gebruikelijke hulp en ondersteuning worden aangemerkt, ook als er sprake is van een kind met een ziekte, aandoening of beperking. In de bijlage zijn per levensfase richtlijnen ten aanzien van de gebruikelijke hulp en ondersteuning van ouders voor jeugdigen met een normaal ontwikkelingsprofiel opgenomen.

 

3.3.6. Aandachtspunten

Ouderlijk toezicht aan kinderen is gebruikelijke hulp en ondersteuning. Kinderen (met of zonder ziekte of handicap) hebben ouderlijk toezicht nodig. Dit toezicht wordt anders van aard naarmate een kind ouder wordt en zich ontwikkelt. In de bijlage zijn per levensfase richtlijnen ten aanzien van de gebruikelijke hulp en ondersteuning van ouders voor jeugdigen met een normaal ontwikkelingsprofiel opgenomen. Dit zijn uitgangspunten bij de beoordeling of sprake is van gebruikelijke hulp en ondersteuning, maar per casus moet worden gemotiveerd waarom dit protocol van toepassing is.

 

4. Bijlage

Wat is gebruikelijke hulp van ouders aan jeugdigen met een normaal ontwikkelingsprofiel (ter vergelijking bij aanvragen van maatwerkvoorzieningen op grond van de Wmo 2015 en de Jeugdwet)? Deze bijlage geeft slechts een richtlijn/indicatie. Maatwerk staat voorop, dus in elk geval moet een zorgvuldige individuele afweging maken over de vraag of en in hoeverre deze tabel van toepassing is in een specifieke situatie.

 

1. Jeugdigen van 0 tot 3 jaar

  • hebben bij alle activiteiten verzorging van een ouder nodig;

  • ouderlijk toezicht is zeer nabij nodig;

  • zijn in toenemende mate zelfstandig in bewegen en verplaatsen;

  • hebben begeleiding en stimulans nodig bij hun psychomotorische ontwikkeling;

  • hebben begeleiding en stimulans nodig bij de ontwikkeling naar zelfstandigheid en zelfredzaamheid;

  • hebben een beschermende woonomgeving nodig waarin de fysieke en sociale veiligheid is gewaarborgd en een passend pedagogisch klimaat wordt geboden.

 

2. Jeugdigen van 3 tot 5 jaar

  • kunnen niet zonder toezicht van volwassenen. Dit toezicht kan binnenshuis korte tijd op gehoorafstand (bijv. ouder kan was ophangen in andere kamer);

  • hebben begeleiding en stimulans nodig bij hun psychomotorische ontwikkeling;

  • hebben begeleiding en stimulans nodig bij de ontwikkeling naar zelfstandigheid en zelfredzaamheid;

  • kunnen zelf zitten, en op gelijkvloerse plaatsen zelf staan en lopen;

  • hebben hulp, toezicht, stimulans, zindelijkheidstraining en controle nodig bij de toiletgang;

  • hebben hulp, toezicht, stimulans en controle nodig bij aan- en uitkleden, eten en wassen, in- en uit bed komen, dag- en nachtritme en dagindeling bepalen;

  • hebben begeleiding nodig bij hun spel en vrijetijdsbesteding;

  • zijn niet in staat zich zonder begeleiding in het verkeer te begeven;

  • hebben een beschermende woonomgeving nodig waarin de fysieke en sociale veiligheid is gewaarborgd en een passend pedagogisch klimaat wordt geboden.

 

3. Jeugdigen van 5 tot 12 jaar

  • jeugdigen vanaf 5 jaar hebben een reguliere dagbesteding op school, oplopend van 22 tot 25 uur/week;

  • kunnen niet zonder toezicht van volwassenen. Dit toezicht kan op enige afstand (bijv. jeugdige kan buitenspelen in directe omgeving van de woning als ouder thuis is);

  • hebben toezicht, stimulans en controle nodig en vanaf 6 jaar tot 12 jaar geleidelijk aan steeds minder hulp nodig bij hun persoonlijke verzorging zoals het zich wassen en tanden poetsen;

  • hebben hulp nodig bij het gebruik van medicatie;

  • zijn overdag zindelijk, en ‘s nachts merendeels ook; ontvangen zo nodig zindelijkheidstraining van de ouders/verzorgers;

  • hebben begeleiding en stimulans nodig bij hun psychomotorische ontwikkeling;

  • hebben begeleiding en stimulans nodig bij de ontwikkeling naar zelfstandigheid en zelfredzaamheid;

  • hebben begeleiding van een volwassene nodig in het verkeer wanneer zij van en naar school, activiteiten ter vervanging van school of vrije tijdsbesteding gaan;

  • hebben een beschermende woonomgeving nodig waarin de fysieke en sociale veiligheid is gewaarborgd en een passend pedagogisch klimaat wordt geboden.

 

4. Jeugdigen van 12 tot 18 jaar

  • hebben geen voortdurend toezicht nodig van volwassenen;

  • kunnen vanaf 12 jaar enkele uren alleen gelaten worden;

  • kunnen vanaf 16 jaar een dag en/of een nacht alleen gelaten worden;

  • kunnen vanaf 18 jaar zelfstandig wonen;

  • hebben bij hun persoonlijke verzorging geen hulp en maar weinig toezicht nodig;

  • hebben bij gebruik van medicatie tot hun 18e jaar toezicht, stimulans en controle nodig;

  • hebben tot 18 jaar een reguliere dagbesteding op school/opleiding;

  • hebben begeleiding en stimulans nodig bij ontplooiing en ontwikkeling (bv. huiswerk of het zelfstandig gaan wonen);

  • hebben begeleiding en stimulans nodig bij de ontwikkeling naar zelfstandigheid en zelfredzaamheid;

  • hebben tot 18 jaar een beschermende woonomgeving nodig waarin de fysieke en sociale veiligheid is gewaarborgd en een passend pedagogisch klimaat wordt geboden.

 

BIJLAGE 2: Hulp bij het Huishouden

 

NORMERING HULP BIJ HET HUISHOUDEN

 

1. Normering huishoudelijke taken

 

Voor de hulp bij het huishouden zijn normtijden ontwikkeld waarin voor elke huishoudelijke taak een bepaald aantal minuten staat per week. Van deze normtijden mag afgeweken worden, mits dit wordt gemotiveerd.

 

1.1 Jurisprudentie en normtijden

Veel gemeenten hanteren in hun gemeentelijke beleid standaard normtijden waarbij rekening gehouden wordt met verschillende types huishoudens: bijvoorbeeld eenpersoonshuishoudens in een seniorenwoning of flat, eenpersoonshuishoudens in een eengezinswoning en meerpersoonshuishouden.

Uit jurisprudentie blijkt dat het gebruik van standaard normtijden niet zondermeer gehanteerd kan worden omdat altijd een zorgvuldige afweging gemaakt moet worden waarbij persoonlijke kenmerken worden meegenomen.

 

1.2 Algemene uitgangspunten

De volgende uitgangspunten gelden bij normtijden:

  • Alleen de kamers die in gebruik zijn, worden schoongehouden

  • Met ‘kamers’ wordt de hoeveelheid ruimtes in een woning bedoeld exclusief de keuken, badkamer en toilet. Bijvoorbeeld: 2 kamerwoning = woonkamer en 1 slaapkamer, 4 kamerwoning = woonkamer en 3 slaapkamers.

  • Het verzorgen van huisdieren en planten valt binnen de marges van de normtijden.

 

1.3 Normtijden

Per huishoudelijke taak geldt onderstaande normtijd (per week).

 

Boodschappen voor het dagelijkse leven doen

Omschrijving

  • Boodschappenlijst samenstellen

  • Boodschappen inkopen

  • Boodschappen opslaan

Normtijd: 60 minuten per week

 

Factoren meer hulp

  • Leefeenheid > 4 personen: 60 minuten

  • Kind(eren) < 12 jaar: 60 minuten

  • Afstand tot dichtstbijzijnde winkel is > 2 kilometer: 30 minuten

 

Bijzonderheden

  • Eigen keuzes, zoals de keuze voor speciaal voedsel dat maar beperkt te koop wordt aangeboden, waardoor extra reizen nodig is of het doen van boodschappen in een groot aantal winkels, resulteert niet in extra tijd voor boodschappen doen.

  • Alleen wanneer bovenstaande medisch noodzakelijk is, kan men extra tijd krijgen.

 

Broodmaaltijd

Omschrijving

  • Broodmaaltijd klaarzetten; tafel dekken

  • Broodmaaltijd bereiden (smeren)

  • Koffie/thee zetten

  • Afwassen of in/uitruimen vaatwasmachine

Normtijd: 15 minuten per keer, maximaal 2x per dag

 

Factoren meer hulp

  • Kind(eren) < 12 jaar: 20 minuten

 

Warme maaltijd

Omschrijving

  • Warme maaltijd klaar zetten, tafel dekken

  • Warme maaltijd opwarmen

  • Koffie/thee zetten

  • Afwassen of in/uitruimen vaatwasmachine

Normtijd voor opwarmen: 15 minuten per dag

Normtijd voor koken: 30 minuten per dag

 

Factoren meer hulp

  • Kind(eren) < 12 jaar: 20 minuten per maaltijd

 

Bijzonderheden

  • Het bereiden van warme maaltijden (koken) is in principe geen taak voor de thuiszorg als gebruik van de maaltijdservice en/of kant en klaar maaltijden mogelijk is (voorliggende voorzieningen).

  • In uitzonderingssituaties blijft het bereiden van warme maaltijden via de Hh mogelijk. Verwacht wordt dat er per keer voor 2 dagen wordt gekookt en dat de Hh (indien mogelijk) een aanvulling is op het gebruik van de maaltijdservice, kant en klaarmaaltijden, eten bij derden, etc.

 

Voorbeelden uitzonderingssituaties:

  • Jonggehandicapten (vaak cliënten van Fokus) die levenslang afhankelijk zijn van bereiding van warme maaltijden door derden. Richtlijn omvang hulp: maximaal 90 min. per week HH voor bereiding warme maaltijden (bijv. 3 x 30 min. of 2 x 45 min).

  • Gezinnen met jonge kinderen in een crisissituatie waarbij kortdurend HH voor de bereiding van warme maaltijden wordt ingezet. Omvang hulp is maatwerk.

  • Cliënten met speciaal dieet, wat niet geleverd kan worden via maaltijdservice of supermarkt. Een dieetvoorschrift (medisch noodzakelijk) moet overlegd worden. Omvang hulp is maatwerk.

 

Licht huishoudelijk werk

Omschrijving

  • Stof afnemen/raggen

  • Opruimen

  • Afwassen (indien er géén maaltijdbereiding is geadviseerd) Bed opmaken

Normtijd voor eenpersoonshuishouden: 60 minuten

Normtijd voor meerpersoonshuishouden: 90 minuten

 

Factoren meer hulp

  • Kind(eren) < 12 jaar: 30 minuten

  • Psychogeriatrische problematiek/Gedragsproblematiek: 30 minuten

  • Allergie of aandoening aan de luchtwegen in een gesaneerde woning (mits medisch

  • geobjectiveerd): 30 minuten

Bijzonderheden

  • Indien licht huishoudelijke werk én maaltijdvoorziening wordt geïndiceerd. Dan tijd in mindering brengen (bij licht huishoudelijk werk), omdat afwassen (handmatig of afwasmachine in/uitruimen) ook opgenomen is bij maaltijdverzorging.

  • Indien cliënt wel in staat is licht huishoudelijk werk te verrichten, maar niet de maaltijdverzorging, dan wordt verwacht dat cliënt zelf de afwas kan voorspoelen.

 

Zwaar huishoudelijk werk

Omschrijving

  • Stofzuigen

  • Schrobben, dweilen, soppen van sanitair en keuken

  • Bedden verschonen

  • Ramen lappen

 

Normtijd voor eenpersoonshuishouden, maximaal 2 kamers: 90 minuten

Normtijd voor eenpersoonshuishouden, 3 of meer kamers:180 minuten

Normtijd voor meerpersoonshuishouden: 180 minuten

 

Factoren meer hulp

  • Kind(eren) < 12 jaar: 30 minuten extra (maximaal 90 min)

  • Psychogeriatrische problematiek /Gedragsproblematiek: 30 minuten

  • Allergie of aandoening aan de luchtwegen in een gesaneerde woning: 60 minuten

  • Grote woning met een hoge bezettingsgraad: 60 minuten

  • Hoge vervuilingsgraad, als gevolg van beperkingen, niet door de bestaande leefwijze: 60 minuten

 

Bijzonderheden

  • Voor de verzorging van dieren wordt geen extra tijd berekend. Dit is al verdisconteerd in de marge van de normtijden.

 

Wasverzorging

Omschrijving

  • Wasgoed sorteren en wassen in de wasmachine

  • Wasgoed ophangen en afhalen

  • Wasgoed drogen in de droger

  • Wasgoed vouwen en opbergen

  • Wasgoed strijken (alleen zichtbare bovenkleding)

Normtijd voor eenpersoonshuishouden: 60 minuten

Normtijd voor meerpersoonshuishouden: 90 minuten

 

Factoren meer hulp

  • Kind(eren) < 16 jaar: 30 minuten per kind

  • Bedlegerige cliënten: 30 minuten

  • Extra bewassing indien medisch geobjectiveerd i.v.m. overmatige transpiratie, incontinentie, speekselverlies, etc.: 30 minuten

 

Bijzonderheden

  • Strijken van de bovenkleding is opgenomen in de normtijd. Extra tijd voor strijken van onderkleding en/of beddengoed is alleen mogelijk indien dit medisch noodzakelijk is.

 

Verzorging en/of tijdelijke opvang van kinderen

Omschrijving

Het gaat hierbij om een ouder die ten gevolge van beperkingen tijdelijk niet in staat is de verzorging en/of opvang van gezonde kinderen uit te voeren. Denk daarbij aan de persoonlijke verzorging, begeleiding en opvoedingsactiviteiten.

Normtijd naar bed brengen / uit bed halen: 10 minuten per keer per kind

Normtijd wassen en kleden: 30 minuten per dag per kind

Normtijd eten en/of drinken geven: 20 minuten per broodmaaltijd / 25 minuten per warme maaltijd

Normtijd babyvoeding flesje / borstvoeding: 20 minuten per keer

Normtijd luier verschonen: 10 minuten per keer

Normtijd naar school / crèche brengen / halen: 15 minuten per keer per gezin

 

Factoren meer hulp

  • Indien opvang noodzakelijk is tot 40 uur per week

 

Bijzonderheden

  • Maximale duur voor opvang is 3 maanden

  • Specifieke voorliggende voorzieningen voor opvang; zorgverlof, crèche, kinderopvang, buitenschoolse/tussenschoolse opvang, gastouder, etc

 

Dagelijkse organisatie van het huishouden

Omschrijving

  • Organisatie van huishoudelijke activiteiten

  • Plannen en beheren van middelen m.b.t. het huishouden

Normtijd:30 minuten

 

Factoren meer hulp

  • Kind(eren) < 16 jaar: 30 minuten

  • Psychogeriatrische problematiek / gedragsproblematiek: 30 minuten

  • Communicatieproblemen als gevolg van beperkingen, niet door een taalbarrière: 30 minuten

 

Advies, instructie en voorlichting (gericht op het huishouden)

Omschrijving

  • Instructie omgaan met (technische) hulpmiddelen

  • Instructie huishoudelijke taken; boodschappen doen, maaltijd bereiden, het licht huishoudelijk werk, het zwaar huishoudelijk werk, de wasverzorging en de dagelijkse organisatie van het huishouden

 

Normtijd 30 minuten per activiteit, maximaal 90 minuten per week. Dit komt bovenop de normtijd die geldt voor het overnemen van de activiteit

 

Bijzonderheden

  • Maximale duur is 6 weken

 

Overig

 

Huishoudelijke taken: uitstelbaar en niet uitstelbaar

Onder huishoudelijke taken vallen zowel de uitstelbare als de niet-uitstelbare taken. Het

verzorgen van –overigens gezonde- kinderen valt ook onder de Hulp bij het huishouden.

  • Niet-uitstelbare taken zijn maaltijd verzorgen, de kinderen verzorgen, afwassen en

  • opruimen;

  • Wel-uitstelbare taken zijn boodschappen doen, wasverzorging, zwaar huishoudelijk werk:

  • stofzuigen, sanitair, keuken, bedden verschonen.

 

Bijdrage van kinderen aan het huishouden

In geval de leefeenheid van de zorgvrager mede bestaat uit kinderen, dan gaat de

indicatiesteller ervan uit, dat de kinderen, afhankelijk van hun leeftijd en psychosociaal

functioneren, een bijdrage kunnen leveren aan de huishoudelijke taken.

  • Kinderen tot 5 jaar leveren geen bijdrage aan de huishouding.

  • Kinderen tussen 5-12 jaar worden naar hun eigen mogelijkheden betrokken bij lichte huishoudelijke werkzaamheden als opruimen, tafel dekken/afruimen, afwassen/afdrogen, boodschap doen, kleding in de wasmand gooien.

  • Kinderen vanaf 13 jaar kunnen, naast bovengenoemde taken hun eigen kamer op orde houden, d.w.z. rommel opruimen, stofzuigen, bed verschonen.

 

Taken van een 18-23 jarige

  • Van een meerderjarige gezonde huisgenoot wordt verwacht dat deze alle huishoudelijke taken overneemt wanneer de primaire verzorger uitvalt.

  • Een 18-23 jarige wordt verondersteld een eenpersoonshuishouden te kunnen voeren.

 

De huishoudelijke taken voor een éénpersoonshuishouden zijn:

  • schoonhouden van sanitaire ruimte

  • keuken en een kamer

  • de was doen

  • boodschappen doen

  • maaltijd verzorgen

  • afwassen en opruimen

 

De huishoudelijke taken voor een éénpersoonshuishouden zijn te normeren naar 2 uur uitstelbare, zware huishoudelijke taken en 3 uur lichte, niet uitstelbare huishoudelijke taken per week. Daarnaast kunnen zij eventuele jongere gezinsleden verzorgen en begeleiden.

 

Dagelijkse organisatie van het huishouden

Omschrijving

Organisatie van huishoudelijke activiteiten. Plannen en beheren van middelen m.b.t. het huishouden

Normtijd: 30 minuten

 

Factoren meer hulp

Kind(eren) < 16 jaar: 30 minuten

Psychogeriatrische problematiek / gedragsproblematiek: 30 minuten

Communicatieproblemen als gevolg van beperkingen, niet door een taalbarrière: 30 minuten

 

Huishoudelijke taken: uitstelbaar en niet uitstelbaar

Onder huishoudelijke taken vallen zowel de uitstelbare als de niet-uitstelbare taken. Het

verzorgen van –overigens gezonde- kinderen valt ook onder de Hulp bij het huishouden.

  • Niet-uitstelbare taken zijn maaltijd verzorgen, de kinderen verzorgen, afwassen en

  • opruimen;

  • Wel-uitstelbare taken zijn boodschappen doen, wasverzorging, zwaar huishoudelijk werk:

  • stofzuigen, sanitair, keuken, bedden verschonen.

 

Bijdrage van kinderen aan het huishouden

In geval de leefeenheid van de zorgvrager mede bestaat uit kinderen, dan gaat de

indicatiesteller ervan uit, dat de kinderen, afhankelijk van hun leeftijd en psychosociaal

functioneren, een bijdrage kunnen leveren aan de huishoudelijke taken.

  • Kinderen tot 5 jaar leveren geen bijdrage aan de huishouding.

  • Kinderen tussen 5-12 jaar worden naar hun eigen mogelijkheden betrokken bij lichte

  • huishoudelijke werkzaamheden als opruimen, tafel dekken/afruimen, afwassen/afdrogen,

  • boodschap doen, kleding in de wasmand gooien.

  • kinderen vanaf 13 jaar kunnen, naast bovengenoemde taken hun eigen kamer op orde

  • houden, d.w.z. rommel opruimen, stofzuigen, bed verschonen.

 

Taken van een 18-23 jarige

Van een meerderjarige gezonde huisgenoot wordt verwacht dat deze de huishoudelijke taken

overneemt wanneer de primaire verzorger uitvalt. Een 18-23 jarige wordt verondersteld een eenpersoonshuishouden te kunnen voeren. De huishoudelijke taken voor een éénpersoonshuishouden zijn:

  • schoonhouden van sanitaire ruimte,

  • keuken en een kamer,

  • de was doen,

  • boodschappen doen,

  • maaltijd verzorgen,

  • afwassen en opruimen.

 

Te normeren naar 2 uur uitstelbare, zware huishoudelijke taken en 3 uur lichte, niet uitstelbare huishoudelijke taken per week. Daarnaast kunnen zij eventuele jongere gezinsleden verzorgen en begeleiden.

 

Advies, instructie en voorlichting (gericht op het huishouden)

Omschrijving van activiteiten

  • Instructie omgaan met (technische) hulpmiddelen

  • Instructie huishoudelijke taken; boodschappen doen, maaltijd bereiden, het licht huishoudelijk werk, het zwaar huishoudelijk werk, de wasverzorging en de dagelijkse organisatie van het huishouden

Normtijd: 30 minuten per activiteit, maximaal 90 minuten per week

Dit komt bovenop de normtijd die geldt voor het overnemen van de activiteit

 

Bijzonderheden

  • Maximale duur is 6 weken

 

BIJLAGE 3: Uitvoering Toelage Hulp bij het Huishouden

 

Inleiding

De toelage Hulp bij het huishouden is een tijdelijke regeling die door de regering in het leven is geroepen ter behoud van werkgelegenheid in de thuiszorgsector. Het college van B&W heeft ervoor gekozen om specifieke doelgroepen te benoemen die gebruik kunnen maken van deze toelage. Die kunnen zij verzilveren in de vorm van dienstenvouchers, waar de gemeente een financiële bijdrage aan levert. De overige bijdrage is ter betaling door de cliënt. Met de vouchers kunnen uren hulp bij het huishouden worden aangeschaft, die vervolgens naar eigen inzicht besteed kunnen worden. Aanschaf, verzilvering en administratieve verwerking van de dienstenvouchers gaat via een digitaal systeem.

 

1. Begrippen

 

HHT: Huishoudelijke Hulp Toelage;

Mantelzorger: persoon die ten minste acht uur per week mantelzorg verricht als bedoeld in artikel 1.1.1 van de wet;

Daarnaast geldt voor de uitvoering van de HHT dat:

a) Het gaat om langdurige zorg (minimaal een jaar)

b) Mantelzorg is boven-gebruikelijke zorg

Wat géén mantelzorg is: de normale/dagelijkse zorg die partners, ouders, inwonende kinderen of andere huisgenoten elkaar onderling horen te bieden (bijlage 1 beleidsregels). Onder normale zorg valt bijvoorbeeld het doen van boodschappen, huishoudelijk werk, administratie en het vervoeren van de zorgvrager.

 

Voor minderjarige kinderen geldt dat ouders ze behoren te verzorgen en op te voeden, ook als een kind een ziekte, aandoening of beperking heeft. Er is sprake van bovengebruikelijke zorg, als een kind op het gebied van Persoonlijke Verzorging, Verpleging en Begeleiding in chronische situaties redelijkerwijs meer zorg nodig heeft dan een kind van dezelfde leeftijd zonder beperkingen.

 

c) Mantelzorg is geen vrijwillige keuze

Vrijwilligers die zorg leveren via een vrijwilligersactiviteit zoals een maatjesproject, sociaal bezoek zijn geen mantelzorgers.

 

Mantelzorgers hebben een directe relatie met de zorgvrager. Zij zorgen bijvoorbeeld voor hun partner, kind, familie, buur of vriend.

Wet: de Wet maatschappelijke ondersteuning 2015 of zijn opvolger(s);

(Diensten-)voucher: digitale eenheid die per eenheid één uur hulp bij het huishouden vertegenwoordigt;

LPD: Landelijk Platform Dienstenvouchers. Digitaal systeem waarmee aankoop, inzet en administratieve verwerking van de vouchers gefaciliteerd wordt.

 

2. Vouchers

Wanneer men tot de doelgroep behoort, genoemd in onderdeel 4 van deze beleidsregels, is het mogelijk om via het LPD dienstenvouchers aan te schaffen. Met deze vouchers kunnen uren hulp bij het huishouden worden aangeschaft. Aankoop van de vouchers geschiedt uitsluitend via het LPD. Vouchers worden dus uitsluitend digitaal verstrekt.

 

3. Zorgaanbieders

Personen die behoren tot de doelgroep, genoemd in onderdeel 4 van deze beleidsregels, kunnen hulp bij het huishouden inkopen bij de reguliere aanbieders van hulp bij het huishouden in Nijmegen.

 

  • Doelgroepen doel van de regeling

De regeling is bestemd voor (overbelaste) mantelzorgers volgens artikel 1 van deze beleidsregel. Mantelzorg kan leiden tot overbelasting van tijdelijke of langdurige aard. De dienstenvouchers kunnen door de mantelzorger worden aangeschaft om hulp in te kopen voor het eigen huishouden, met als doel om de mantelzorger te ontlasten.

Daarnaast geldt:

a) De mantelzorger moet meerderjarig zijn.

b) Er wordt geen HHT verstrekt op adressen waar huishoudelijke hulp vanuit de Wmo wordt geleverd.

c) Per huishouden wordt er maar één keer HHT verstrekt.

d) Het is geen open-einde-regeling. Wanneer het budget op is, worden er geen vouchers huishoudelijke hulp meer verkocht.

 

  • Limiet en geldigheid dienstenvouchers

a) Minimale afname via het LPD is 1 voucher per aankoop.

b) Maximaal aan te kopen hoeveelheid vouchers is: maximaal 18 per 3 maanden; Maximaal te

verzilveren hoeveelheid vouchers is maximaal 6 per 4 weken;

c) De vouchers zijn geldig tot en met 31 december van het kalenderjaar van aankoop.

 

3. Bijdrage

Een mantelzorger is per voucher een eigen bijdrage verschuldigd van € 8,00. Deze bijdrage moet de mantelzorger voldoen via het LPD bij de aanschaf van vouchers.

 

4. Uitsluiting

Als een mantelzorger de eigen bijdrage voldoet middels automatische incasso, en deze incasso ongedaan maakt, ontstaat een betalingsachterstand. Op dat moment wordt de mantelzorger uitgesloten van verdere dienstverlening via het LPD.

 

5. Proces

Het proces van aanmelding tot verzilveren van vouchers kent de volgende stappen:

a) Gemeente en zorgaanbieders wijzen de (mogelijke) doelgroep op het bestaan van deze regeling;

b) mantelzorgers melden zich aan via de website van het LPD;

c) cliënt verklaart dat de mantelzorger daadwerkelijk tot de doelgroep behoort;

d) mantelzorger ontvangt instructies per e-mail;

e) mantelzorger logt in op het portaal;

f) mantelzorger schaft dienstenvouchers aan via het systeem en betaalt de bijdrage via iDeal of

automatische incasso;

g) mantelzorger krijgt gelimiteerd aantal dienstenvouchers toegewezen via systeem;

h) bericht naar zorgaanbieder voor aanmelding mantelzorger;

i) zorgaanbieder stemt ondersteuning af met mantelzorger;

j) zorgaanbieder levert ondersteuning bij mantelzorger;

k) zorgaanbieder meldt realisatie ondersteuning in systeem;

l) mantelzorger keurt opgevoerde werkzaamheden goed of af;

m) zorgaanbieder ontvangt afrekening;

n) betaling zorgaanbieder.

 

BIJLAGE 4 Werkdocument hulpmiddelenoverzicht

 

Type

Outillage

Roerende

Hulpmiddelen onderdeel zorg

Persoonsgebonden hulpmiddelen

 

hulpmiddelen

(mobiele)

 

 

 

 

Woonvoorzieningen

 

 

Omschrijving

Waar meerdere mensen gebruik van kunnen maken (inventaris)

Verrijdbare transferhulp-

Individueel persoonlijke hulpmiddelen verbonden aan zorg (niet-aangepast)

Aan persoon aangepaste hulpmiddelen

 

 

middelen en hulpmiddelen bij de douche- en toiletgang

 

 

Voorbeelden

Hoog/laag-bed, tillift, standaardrolstoel.

Hoog/laag-bed, tillift, standaardrolstoel, douchestoel, postoel

Verband

Orthopedische schoenen, protheses

 

 

 

middelen

 

 

Situaties (uitgangspunt: persoon heeft een zzp-indicatie en kan die op verschillende manier verzilveren)

In instelling (verblijf met behandeling)

 

 

 

 

 

Wlz

Wlz

Wlz

Wlz

Niet in instelling (verblijf zonder behandeling

 

 

 

 

 

 

 

 

 

 

Wlz

n.v.t.

ZVW

ZVW

 

 

 

 

 

VPT

Wlz

n.v.t.

ZVW

ZVW

 

 

 

 

 

 

 

Type

Individueel aangepaste rolstoel

Overige hulpmiddelen

Vervoer onderdeel zorg

Vervoer (mobiliteit)

Woon-

 

 

 

 

 

voorzieningen

 

 

 

 

 

 

Omschrijving

Aan persoon aangepaste rolstoel (geen standaard)

Compensatie stoornis

Van en naar dagbesteding

Verplaatsen in en om woning / instelling en onderhouden sociale contacten

Voorzieningen/ aanpassingen om zelfstandig thuis te kunnen blijven wonen.

 

 

 

 

 

 

Voorbeelden

 

Hoortoestel

Georganiseerd vervoer (busje)

Mobiliteitshulp-middelen (nog nader te af te bakenen)

Bouwkundige aanpassing, tillift

 

 

 

 

 

 

 

Situaties (uitgangspunt: persoon heeft een zzp-indicatie en kan

 

 

die op verschillende manier verzilveren)

 

 

In instelling (verblijf met behandeling)

 

 

 

 

 

 

Wlz

ZVW

Wlz

Wlz

n.v.t.

Niet in instelling (verblijf zonder behandeling

 

 

 

 

 

 

 

 

 

 

 

Wmo

ZVW

Wlz

Wmo

n.v.t.

 

 

 

 

 

 

VPT

Wmo

ZVW

Wlz

Wmo

Wmo

 

 

 

 

 

 

In aanvulling hierop, sociaal vervoer= algemene vervoersvoorziening (bijv. busje) om sociale contacten te onderhouden, zowel binnen (Wmo) als buiten de regio (Valys).

 

BIJLAGE 5: Protocol bekwaamheid pgb

 

Het is van groot belang dat de cliënt een goed beeld heeft van wat er allemaal komt kijken bij een pgb en de GGD zich een beeld vormt van de bekwaamheid van de aanvrager. Per Saldo heeft een vragenlijst ontwikkeld met vragen die een lid van het sociale team met een cliënt kan bespreken. Hiermee wordt enerzijds voor de cliënt duidelijk wat er allemaal bij het beheren van een pgb komt kijken en krijgt het lid van het sociale team een beeld van de bekwaamheid van de cliënt.

De vragen die in een gesprek aan bod kunnen komen zijn als volgt:

 

Wat maakt u een goede budgethouder?

a. Wat weet u van het pgb?

b. Weet u wat rechten en plichten zijn?

c. Als het voor u nieuw is, bent u bereid om u hierover verder te laten informeren?

d. En welke rol kan de gemeente daar in vervullen?

e. Vindt u het lastig of prettig om zelf een zorgverlener uit te kiezen?

f. Vraagt u makkelijk om ondersteuning als u er zelf niet uit komt?

g. Kunt u hulp inschakelen van iemand uit uw omgeving?

 

Weet u welke hulp nodig is?

a) Heeft u inzicht in het soort hulp en ondersteuning dat nodig is in relatie tot uw beperking(en)?

b) Kunt u begroten, plannen en vooruitdenken?

c) Bent u in staat om een planning, een takenlijst en een functieomschrijving te maken?

d) Kunt u een profielschets voor de hulp opstellen?

e) Kunt u vooraf een plan maken en een begroting?

 

Weet u wie u als zorgverlener wilt hebben?

a) Heeft u inzicht in het hulpaanbod: weet u waar u de hulpverlening kunt vinden?

b) Heeft u inzicht in de wegen om hulp te vinden in het formele en in het informele circuit?

c) Kunt u selecteren op kwaliteit van de hulpverlening?

 

Bent u een goede werkgever of opdrachtgever?

a) Kunt u de juiste hulp selecteren, door bijvoorbeeld een sollicitatiegesprek te voeren?

b) Kunt u afspraken, planning en/of werk-instructies maken?

c) Kunt u zorg dragen voor het regelen van vervanging bij ziekte en voor het maken van roosters?

d) Kunt u zorgen voor waardering van uw zorgverlener? Denk aan salaris en secundaire arbeidsvoorwaarde en in de menselijke verhoudingen - attentie, functioneringsgesprek, en dergelijken.

 

Bent u in staat de financiën te beheren en overige zaken te regelen?

a) Kunt u overleg voeren met instanties zoals de gemeente of het CAK?

b) Kunt u de financiën bewaken om uit te komen met uw pgb?

 

BIJLAGE 6: Nadere criteria sociaal recreatief vervoer Wmo en Jeugdhulp

Het kunnen verplaatsen is van belang bij zelfstandige maatschappelijke participatie. Vandaar dat Nijmegen bijdraagt aan een openbaar vervoer in de regio welke in principe rolstoel- en rollatortoegankelijk is voor mensen met een fysieke beperking: gemeente Nijmegen heeft geïnvesteerd in het toegankelijk maken van bushaltes en bussen, zodat deze voor een zo groot mogelijk publiek bereikbaar zijn. Daardoor wordt verwacht dat het grootste deel van de inwoners in staat is om gebruik te maken van het openbaar vervoer, ook wanneer iemand rolstoelafhankelijk is. Het openbaar vervoer geldt als algemene voorziening dan ook expliciet als voorliggend op een aanspraak op vervoersvoorzieningen op grond van de Wmo 2015. Dat is ook wenselijk omdat het openbaar vervoer mensen een relatief grote vorm van verplaatsingsvrijheid biedt.

 

Indien gebruik maken van het reguliere openbaar vervoer door beperkingen niet mogelijk is, dan kan de inwoner mogelijk in aanmerking komen voor een vervoersvoorziening op grond van de Wmo 2015. Als eerste wordt gekeken of een inwoner beperkingen heeft bij het buitenshuis verplaatsen die opgelost kunnen worden door zelfstandig gebruik te maken van het openbaar vervoer. En of hij/zij met beschikbare hulp van personen uit zijn sociale netwerk en/of van vrijwilligers kan reizen. Tot slot wordt ook gekeken of hij/zij niet in zijn vervoersbehoefte kan voorzien door gebruikmaking van een in het huishouden beschikbare auto en/of voorliggende voorzieningen zoals bijvoorbeeld Automaatje of de Zonnebloemauto.

Als bovenstaande opties niet mogelijk zijn kan de inwoner mogelijk in aanmerking komen voor een vervoersvoorziening.

Afwegingskader

In de volgende gevallen wordt geen vervoersvoorziening verstrekt:

  • Als het gaat om woon-werkverkeer

    De vervoersvoorziening is niet bedoeld om te reizen naar bijvoorbeeld een sociale werkplaats of verplaatsingen in het kader van een betaalde baan Het woon-werkverkeer valt niet onder de Wmo 2015, daarvoor blijven werkgever en werknemer gezamenlijk verantwoordelijk (aanvraag via UWV).

  • Als het gaat om zittend ziekenvervoer

    De vervoersvoorziening is niet bedoeld voor reizen naar medische behandelingen waarvoor vervoer via de Zvw mogelijk is.

  • Dubbele of overlappende voorzieningen

    In principe worden er niet meerdere vervoersvoorzieningen en/of rolstoelvoorzieningen gecombineerd verstrekt. Zo is een combinatie van scootmobiel en elektrische rolstoel niet mogelijk. Uitzondering hierop zou enkel de Avan-pas kunnen zijn; deze kan, indien de individuele vervoersbehoefte daartoe noodzaakt, worden gecombineerd met een hulpmiddel voor vervoer

  • Bovenregionaal vervoer (Valys)

    Alle bovenregionale vervoersdoelen (meer dan 25 kilometer) vallen buiten de reikwijdte van de Wmo 2015. Daarvoor wordt door het Ministerie van VWS Valys beschikbaar gesteld. Valys is een vervoerssysteem voor bovenregionaal vervoer en valt buiten de verantwoordelijkheid van de gemeente.

  • Boodschappen doen

    Voor enkel het doen van boodschappen wordt geen vervoersvoorziening ingezet, hiervoor wordt verwezen naar boodschappenservices die o.a. vanuit verschillende supermarkten worden aangeboden of (indien van toepassing) de huishoudelijke hulp voorziening.

 

Bepaling geschiktheid Collectief vraagafhankelijk vervoer (Wmo)

Als is onderzocht dat het openbaar vervoer en/of het netwerk geen mogelijkheden biedt om het vervoersprobleem op te lossen en het vervoer valt buiten het hierboven genoemde afwegingskader wordt allereerst gekeken of de beperkingen gecompenseerd kunnen worden met het sociaal recreatief vervoer via het collectief vraagafhankelijk vervoer (voorheen Regiotaxi).

Voor het collectief vraagafhankelijk vervoer via Avan kennen we een WMO-vervoerspas. Met de pas kan de inwoner tegen gereduceerd tarief reizen met Avan. Aan de hand van de vervoersbehoefte wordt bepaald hoeveel kilometer de inwoner op jaarbasis tegen gereduceerd tarief gebruik kan maken van Avan. Of de vervoersbeperking gecompenseerd kan worden doormiddel van het collectief vraagafhankelijk verover kan worden onderzocht aan de hand van o.a. onderstaande vragen en kaders:

a) Wat zijn de beperkingen? Het gaat hierbij niet alleen om medische beperkingen om deel te nemen aan het collectief vraagafhankelijk vervoer (CVV).

b) Kan de inwoner zelfstandig of met behulp van een begeleider gebruik maken van het collectief vraagafhankelijk vervoer? Is deze begeleider aanwezig?

c) Wat is de (lokale) vervoersbehoefte van een inwoner?

d) Kan met het collectief vraagafhankelijk vervoer in deze vervoersbehoefte worden voorzien?

e) Zijn er specifieke persoonskenmerken van de klant waar rekening mee gehouden moet worden?

f) Collectief vraagafhankelijk vervoer is van deur tot deur vervoer. De chauffeur helpt bij het in- en uitstappen, bij het dragen van bagage en begeleiden tot aan de deur als dat nodig is.

g) Het is geen kamer tot kamer vervoer.

 

 

Voor het collectief vraagafhankelijk vervoer (Wmo vervoer en voorheen Regiotaxi) via Avan gelden verder de volgende kaders:

  • 1.

    Het vraagafhankelijk vervoer is een voor iedereen toegankelijk vervoersysteem, mits men zelfstandig of onder begeleiding kan reizen (begin tot einde van de reis). Als dit niet mogelijk is kan de inwoner niet mee met Avan.

  • 2.

    Het vraagafhankelijk vervoer is van deur tot deur. De chauffeur helpt bij het in- en uitstappen en begeleidt (inclusief bagage), indien nodig en mogelijk, tot aan de deur.

  • 3.

    De deur als bedoeld in 1 is bij bijvoorbeeld een flat, appartementencomplex of verzorgingshuis de centrale toegangsdeur.

  • 4.

    Hulpmiddelen zoals rolstoel, rollator en scootmobiel mogen worden meegenomen in het collectief vraagafhankelijk vervoer.

  • 5.

    De bijdrage van de gemeente beperkt zich tot het verplaatsen per vervoermiddel in de eigen woon- en leefomgeving. Het gaat om lokaal verplaatsen, dat wil zeggen verplaatsingen in een straal van 25 kilometer rond de woning.

  • 6.

    Indien een inwoner herhaaldelijk zonder afzegging geen gebruik maakt van ritten die hij heeft aangevraagd (zgn. loosmeldingen) kan (al dan niet tijdelijk) zijn Wmo-vervoerspas geblokkeerd worden, waardoor gebruik van Avan niet meer mogelijk is.

  • 7.

    Als er sprake is van structurele begeleiding voor en na de rit en dezelfde begeleider de inwoner ook tijdens de rit begeleidt, dan dient onderzocht te worden of het niet mogelijk is om gebruik te maken van het OV als voorliggende voorziening.

  • 8.

    De minimale afstand waarover een inwoner vervoerd kan worden is 500 meter voor een enkele rit, maatwerk mogelijk wanneer een inwoner deze afstand niet op een andere manier kan afleggen.

  • 9.

    Voor het aantal kilometers dat tegen gereduceerd (WMO) tarief gereisd kan worden met het vraagafhankelijk vervoer geldt:

  • Maximaal 2000 kilometer per jaar, aangezien dit voldoende is om binnen de stadse omgeving te voorzien in sociaal recreatief vervoer.

  • Maximaal 750 kilometer per jaar voor inwoners die naast de Wmo-vervoerspas tevens een andere op grond van de WMO verstrekte vervoersvoorziening hebben, bijvoorbeeld een scootmobiel.

Als de reiziger aan het maximaal aantal kilometers zit kan AVAN er nog steeds gereisd worden met AVAN maar tegen het reguliere tarief. Kijk voor een actueel overzicht van ritprijzen, vervoerregelement en tarieven op: HYPERLINK "https://www.avan-vervoer.nl/avan-wmo-ov/wat-kost-het/"www.avan-vervoer.nl/wat-kost-het

  • 1.

    Mocht na toewijzing van de voorziening vraagafhankelijk vervoer uit de managementinformatie van Avan blijken dat de inwoner minimaal 1 jaar geen of incidenteel gebruik maakt van Avan, kan het college de voorziening stopzetten. Als de inwoner daarna alsnog gebruik wenst te maken van de voorziening dient er opnieuw een keukentafelgesprek met de inwoner gevoerd te worden om de noodzaak van de voorziening vast te stellen.

 

Bijzondere indicatie s:

Bijzondere indicaties kunnen worden toegekend indien de aanvrager al is geïndiceerd voor collectief vraagafhankelijk vervoer Van bijzondere indicaties wordt terughoudend gebruik gemaakt en voor alle bijzondere indicaties geldt dat ze vermeld worden in de toekenningsbeschikking.

Kamer tot kamer en individueel vervoer

Voor de extra indicaties kamer-tot-kamer vervoer en individueel vervoer kan men in aanmerking komen mits er sprake is van een medische verklaring afgegeven door een medisch specialist waarin is geformuleerd waarom de indicatie noodzakelijk is.

Collectief aanvullend vervoer per rolstoelbus

Indien een inwoner een rolstoel moet meenemen die niet opvouwbaar is, dan wel gezeten in de rolstoel vervoerd moet worden, kan een indicatie rolstoelbus aangevinkt worden. De rolstoel moet voldoen aan de daarvoor gestelde eisen van zittend rolstoel vervoer.

Collectief aanvullend vervoer per personenauto

Indien het vervoer per taxibus om medische redenen niet mogelijk is, kan als oplossing voor het vervoersprobleem gekozen worden voor vervoer per personenauto.

Voorinzitgarantie

Bij vervoer met Avan bestaat de mogelijkheid van de voorinzitgarantie. Dit is een bijzonder indicatie waarbij de inwoner te allen tijde voorin (naast de bestuurder) kan zitten tijdens de rit. Deze voorinzitgarantie kan bijvoorbeeld ingezet worden als er problemen zijn met de beschikbare beenruimte achterin.

Medisch begeleider

Indien het tijdens de rit (medisch) noodzakelijk is dat er een begeleider aanwezig is kan er een indicatie medisch begeleider worden afgegeven. Het kan hierbij bijvoorbeeld gaan om het uitvoeren van medisch noodzakelijke handelingen tijdens de rit of zeer ernstig gedragsmatige redenen. Voor de begeleider wordt geen ritbijdrage gevraagd. Voor deze extra indicatie kan men in aanmerking komen mits er sprake is van een medische verklaring afgegeven door een medisch specialist waarin is geformuleerd waarom de indicatie noodzakelijk is.

 

 

Wmo sociaal vervoer

Mensen die voor het “vervoer van alledag” (bijvoorbeeld familiebezoek) als gevolg van hun beperking geen gebruik kunnen maken van de het openbaar vervoer of het collectief aanvullend vervoer, komen in aanmerking voor een individuele vervoersvoorziening (maatwerkvoorziening) in de vorm van een persoonsgebonden budget voor het gebruik van de eigen auto of een (reguliere) taxi of rolstoeltaxi. De vergoeding hiervoor bedraagt maximaal: € 540,- per jaar. Dit compenseert de belanghebbende over een afstand van 2000 kilometer (€ 0,27 per kilometer), wat de maximale grens uit de jurisprudentie is. Deze vergoeding wordt eenmaal per jaar uitgekeerd. In individuele gevallen kan besloten worden het recht voor een kortere periode vast te stellen en het budget naar rato voor de kortere periode uit te keren. Met het bedrag wordt iemand geacht deel te kunnen nemen aan het leven van alledag. Daarmee is sprake van een aanvaardbare mate van maatschappelijke participatie.

Hierbij dient te worden meegewogen dat iemand met de vervoersvoorziening in de directe woon- en leefomgeving in aanvaardbare mate sociale contacten kan onderhouden en deel kan nemen aan het leven van alledag, aan de hand van de volgende criteria:

  • Het zorgplichtgebied voor vervoersvoorzieningen gaat verder dan alleen het gebied binnen de gemeentegrenzen. Het gaat ook om sociaal vervoer binnen de regio.

  • Onder regionaal vervoer wordt een afstand van 25 kilometer vanaf het woonadres verstaan.

  • Wil een vervoersvoorziening of combinatie van vervoersvoorzieningen compenserend zijn dan moet met de toegekende voorziening(en) circa 1500 tot 2000 kilometer (afhankelijk van de lokale omstandigheden) per jaar gereisd kunnen worden.

Zaken die bij de beoordeling extra aandacht vragen zijn:

  • de gezinssituatie: Indien er sprake is van een gezinssituatie waarbij een ouder of een kind met beperkingen een indicatie heeft voor collectief vervoer maar de rest van het gezin reist met de eigen auto. Als dit gescheiden reizen niet wenselijk is en tot grote praktische problemen leidt, kan er in deze situatie aanleiding zijn voor een maatwerkoplossing.

Het gaat dan om:

a. echtparen of alleenstaande ouders met kinderen tot en met 12 jaar of

b. een kind met beperkingen dat nog geen 12 jaar is op het moment van de aanvraag.

  • beperkingen door temperatuurschommelingen.

  • meenemen van kind(eren) bij verplaatsingen op (zeer) korte afstanden.

  • het kunnen verrichten van organisatie- en planningsactiviteiten.

  • bezwaren van praktische aard.

  • incontinentie: met goed incontinentiemateriaal blijft collectief vervoer binnen 25 kilometer adequaat; in uitzonderlijke situaties is mogelijk maatwerk nodig.

  • fobie/angsten/gedragsstoornissen: een officiële diagnose en een (afgerond) behandelplan zijn de onderleggers voor de maatwerkbeoordeling.

  • minderjarigheid: er geldt een minimumleeftijd van 12 jaar bij zelfstandig reizen

Reis- en wachttijden en de voorkeur voor een andere vervoersvoorziening (eigen auto) vormen op zich geen contra-indicatie voor het collectief vervoer.

Voor de beoordeling of er medische beperkingen aanwezig zijn die gebruik van het collectief vraagafhankelijk vervoer (voorheen Regiotaxi) verhinderen kan medisch advies worden opgevraagd.

 

Afwijkende hoogtes van het budget

1. Wanneer echtgenoten beiden op grond van beperkingen vanwege ziekte of gebrek een individuele vervoersvoorziening behoeven, kan als de behoeften van de echtgenoten samenvallen, volstaan worden met een enkele voorziening. Vallen de behoeften niet samen of slechts ten dele, wordt niet meer dan 1,5 maal het normbedrag van € 540,- verstrekt. Heeft één van hen tevens een vervoermiddel voor de korte afstand, wordt 60% in plaats van 75% van het normbedrag verstrekt, dus 75% + 60% = 135% van het normbedrag.

 

2. Voor jongeren gelden de volgende percentages:

  • kinderen tot 2 jaar ontvangen geen persoonsgebonden budget, tenzij deze kinderen vanwege de speciale wandelwagen/rolstoel niet met het openbaar vervoer mee kunnen: dan 50% van het normbedrag;

  • kinderen van 2 tot 12 jaar: 50% van het normbedrag;

  • kinderen ouder dan 12 jaar: 100% van het normbedrag;

  • indien meerdere kinderen uit één gezin in aanmerking komen voor een persoonsgebonden budget voor vervoerskosten kan maximaal 75% van het normbedrag per kind worden verstrekt. Een grotere vervoersbehoefte moet worden aangetoond.

 

3. Wanneer de aanvrager tevens een voorziening heeft voor de korte afstand, wordt 60% van het normbedrag verstrekt.

 

4. Bewoners van een Wlz-instelling met een zelfstandige vervoersbehoefte ontvangen in de regel 60% van het normbedrag als forfaitaire vergoeding. Indien het merendeel van de contacten buiten de Wlz-instelling ligt, kan een hogere vergoeding tot 100% van het normbedrag worden verstrekt. Deze hogere vervoersbehoefte moet worden aangetoond. De vervoersbehoefte is mede afhankelijk van het soort Wlz-instelling; de mate van zelfstandig wonen.

Uitzondering: bewoners uit de gezinsvervangende tehuizen en regionale instellingen voor beschermd wonen; zij ontvangen 100% van het normbedrag.

 

Auto-aanpassing

Cliënten kunnen alleen in aanmerking komen voor het aanpassen van de eigen auto als zij geen gebruik kunnen maken van het openbaar vervoer en verstrekking van een individuele vervoersvoorziening niet adequaat is of niet de goedkoopst adequate oplossing vormt. Aanpassingen die voor vergoeding in aanmerking komen dienen medisch en ergonomisch noodzakelijk te zijn bijvoorbeeld:

  • Aanpassingen aan de besturing van de auto (ter beoordeling van het CBR).

  • Aanpassingen aan de stoel van de chauffeur / bijrijder .

  • Aanpassingen voor het meenemen van een rolstoel in de auto (maar niet voor het meenemen van andere vervoersvoorzieningen zoals een scootermobiel).

  • Aanpassingen voor het vervoer van een rolstoelgebruiker.

  • Voor het aanpassen van de auto gelden de volgende vergoedingen. Het betreft een richtlijn waarvan gemotiveerd kan worden afgeweken.

  • de gemeente vraagt een gesplitste offerte bij de garage op:

  • de dagwaarde van de auto zonder aanpassingen

  • de dagwaarde van de autoaanpassingen.

De dagwaarde van de autoaanpassingen zal dan worden vergoed. Op het moment dat de auto ouder is dan 7 jaar, wordt er geen vergoeding verstrekt voor de autoaanpassing.

 

Een autoaanpassing komt slechts eens in de zeven jaar voor vergoeding in aanmerking. Hierop is een uitzondering mogelijk als het een progressieve handicap betreft waardoor vaker aanpassen noodzakelijk is of wanneer het een opgroeiend kind betreft

 

BIJLAGE 7: Toetsingskader Vervoer naar dagbesteding, dagbehandeling en verblijf Jeugdhulp en Wmo

 

Dit toetsingskader heeft betrekking op:

  • het vervoer van en naar een (jeugd)hulplocatie.

  • het vervoer van en naar een maatwerkvoorziening in het kader van de Wmo, betreffende dagbesteding of kortdurend verblijf.

  • Zowel lokaal, regionaal als bovenregionaal vervoer

 

Criteria

1. We verstrekken de goedkoopst adequate voorziening

Dit betekent dat wanneer er een maatwerkvoorziening of individuele voorziening voor vervoer wordt ingezet we uitgaan van de dichtstbijzijnde adequate (jeugdhulp)voorziening. Wanneer een cliënt kiest voor een aanbieder verder weg dan de dichtstbijzijnde aanbieder met een kwalitatief goed/voldoende aanbod, kan dit consequenties hebben voor het te verstrekken vervoer.

2. We verstrekken geen vervoersvoorziening wanneer:

a) er een andere regeling is op grond waarvan een cliënt gebruik kan maken van vervoer;

b) er een eigen oplossing is voor vervoer of een oplossing vanuit het eigen netwerk, met vrijwilligers of maatjes.

c) Eigen oplossing: Bij het bepalen van de mate van zelf organiseren van het vervoer geldt de eis van redelijkheid en billijkheid, daarbij wordt gekeken naar de financiële situatie (eventuele bijstandsuitkering of Wajong). Bij jongeren wordt waar mogelijk gebruik gemaakt van voorliggende voorzieningen die jongeren in staat stellen om zelfstandig met het openbaar vervoer te reizen.

d) het vervoer valt onder de gebruikelijke hulp of algemeen gebruikelijk is.

e) Het betreft hier hulp die naar algemeen aanvaarde opvattingen in redelijkheid mag worden verwacht van de echtgenoot, ouders, inwonende kinderen of andere huisgenoten. In geval van jeugdhulp is dit ook gerelateerd aan de leeftijd van het kind.

i. Onder gebruikelijke hulp valt in ieder geval het halen en brengen van en naar jeugdhulp binnen een straal van 6 kilometer voor kinderen onder de 12 jaar.

f) het vervoer niet langdurig noodzakelijk is of het vervoer slechts een geringe intensiteit heeft (beperkt aantal keren per maand).

i. Hieronder vallen de meeste vormen van ambulante behandeling of begeleiding.

ii. Vervoer van en naar kortdurend verblijf (logeerfunctie) valt hieronder.

Afwijken van de beleidsregels

Een uitzondering op de beleidsregels kan gemaakt worden wanneer het volgen van de beleidsregels voor een of meer belanghebbenden gevolgen zou hebben die wegens bijzondere omstandigheden onevenredig zijn in verhouding tot de met de beleidsregels te dienen doelen (Artikel 4:84 Awb). Hierbij kan gedacht worden aan:

a) Ernstige ontwrichting van het gezinsleven door het halen en brengen van een kind naar jeugdhulp;

b) Ernstig overbelaste mantelzorgers;

c) Bij jeugdhulp in het gedwongen kader;

d) Situaties onbillijk van aard.

Er kan een vangnet worden toegepast waarbij cliënten wel zelf vervoer kunnen regelen, maar waarbij de financiële draagkracht onvoldoende is:

• Taxi-vergoeding: Vergoeding van kosten van een taxirit.

• Vergoeding OV vervoer: Vergoeding van de kosten op basis van 2e klas van de snelste route van woonadres naar locatie van (jeugd)hulp.

Toetsingskader vervoer Regio Nijmegen

 

 

Bijlage 8 Nadere criteria onderscheid tussen regulier en specialistische begeleiding

Sinds 2017 hebben 2 bouwstenen voor begeleiding: reguliere en specialistische begeleiding zonder onderscheid tussen waakvlam-, kortdurende, middellange of langdurige begeleiding.

Onderstaand schema geeft inzicht wanneer welke soort begeleiding nodig is bij een cliënt vanuit de doelgroep GGZ- en NAH-cliënten, al dan niet in combinatie met een verstandelijke beperking (specialistische begeleiding is niet bedoeld voor mensen met alleen een verstandelijke, lichamelijke/somatische of geriatrische beperking). Om te bepalen of specialistische begeleiding aan de orde is moet aan alle criteria uit de kolom Specialistische begeleiding zijn voldaan.

 

Reguliere begeleiding

Specialistische begeleiding

- Bij beperkt regieverlies en/of beperkte gevolgen voor het dagelijks leven.

- (Redelijk) voorspelbare situatie.

- Bij ernstig regieverlies op meerdere leefgebieden als gevolg van een Ernstige Psychische Aandoening (EPA) of Niet Aangeboren Hersenletsel (NAH) al dan niet in combinatie met een verstandelijke beperking; cliënt is passief/zeer beperkt actief.

- De situatie is onvoorspelbaar; instabiele psychische situatie: de cliënt of het kind is zeer snel psychisch uit balans (met bijvoorbeeld psychoses tot gevolg).

Het opstellen van het begeleidingsplan is overzichtelijk en wordt in nauwe samenwerking met de cliënt en zijn gezin/systeem/netwerk opgesteld, bij voorkeur met behulp van Sociale Netwerkstrategieën.

Het gezamenlijk opstellen van het begeleidingsplan is complex vanwege de instabiele cliënt- of gezinssituatie, wat Sociale Netwerkstrategieën niet uitsluit.

- Bij volwassenen: (redelijk) ziekte-inzicht is aanwezig en cliënt en/of zijn begeleider herkennen signalen die duiden op dreigend terugval (zoals isolatie/terugtrekken).

- Er zijn afspraken over wanneer en hoe men eventueel aanvullende hulp zal inschakelen en de cliënt is in staat om zich aan deze afspraken te houden.

Geen/zeer beperkt ziekte-inzicht: begeleiding nodig bij het verbeteren van het ziekte-inzicht.

Accent begeleiding is gericht op stabiliseren (op orde brengen) of handhaven van de situatie.

Accent begeleiding is gericht op:

- het beoordelen of behandeling nodig is, ter overbrugging tot de behandeling of ter motivatie tot behandeling of;

- het methodisch trainen van vaardigheden die geleerd moeten worden vanuit de behandeling.

Accent van de begeleiding ligt op:

Oefenen van vaardigheden; samen met cliënt uitvoeren van dagelijkse taken (met name huishoudelijke en gezinstaken)

Ondersteunen bij het regelen/overnemen van dagelijkse/praktische bezigheden (financiën, dagstructuur, zelfstandig wonen, participatie, sociale contacten, gezondheid, etc.)

Ondersteuning mantelzorg

Activering

Ontwikkelingsgericht trainen van vaardigheden met behulp van methodische interventies.

Stabiel medicatiegebruik.

Leren omgaan met veranderingen in medicatiegebruik.

Hier volstaat een professional op (minimaal) MBO-niveau.

Door de complexiteit en hoge mate van instabiliteit van de situatie is een professional nodig op minimaal HBO-niveau.

 

In het algemeen is begeleiding (regulier en specialistisch) gericht op ondersteuning in de dagelijkse redzaamheid op alle leefgebieden voor zover nodig: zelfstandig wonen, werk, participatie, sociale contacten, financiën, gezondheid, etc. Het kan bijvoorbeeld gaan om sociaal-emotionele begeleiding, aanleren en oefenen van (sociale en/of praktische) vaardigheden in het dagelijks leven, het aanbrengen van dagstructuur of activering. Er moet altijd een begeleidingsplan zijn met concrete doelen en daaraan gekoppelde activiteiten/acties die periodiek geëvalueerd worden. Uit het begeleidingsplan moet bij specialistische begeleiding tevens blijken dat de genoemde criteria vertaald zijn in doelen en methodische interventies.

 

In de praktijk zien we casuïstiek waarbij een deel van de begeleiding door een specialistische begeleider wordt gedelegeerd naar de reguliere begeleider. Er zal dan op dit moment gewerkt worden met ‘het stapelen van bouwstenen’: een combinatiebeschikking van bijvoorbeeld de bouwsteen specialistische waakvlambegeleiding (voor toezicht en coördinatie) en begeleiding regulier voor het stabiliseren en toepassen van vaardigheden in de dagelijkse praktijk. De specialistische begeleider raakt hiermee niet uit beeld en kan bij vragen of evaluaties betrokken blijven in de casus. Hierbij zal rekening worden gehouden met de continuïteit van de hulpverlening (zoveel mogelijk dezelfde professionals) maar ook met doelmatige inzet van middelen.

 

 

Naar boven