Tarieven en prognose uitvoeren subsidiabele activiteiten 2021

In deze versie voor 2021 zijn de kolommen tarief en prognose per tabel gewijzigd ten opzichte van 2020 in het kader van verlenging van de subsidieregeling voor 2021.

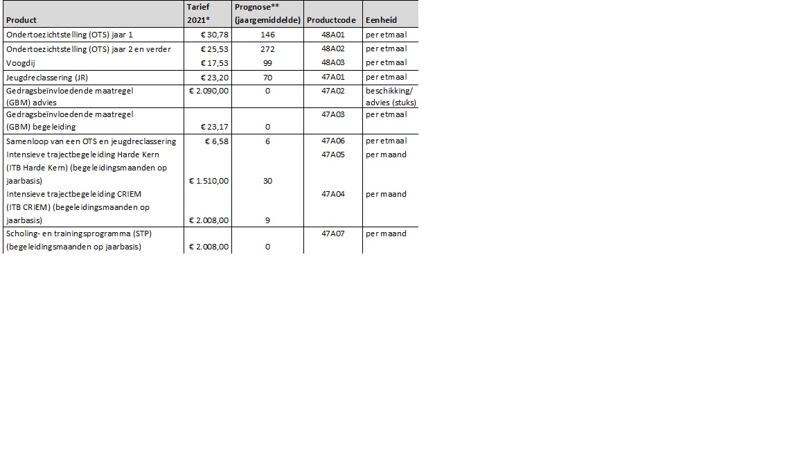
Tabel 1. Tarieven en prognose uitvoering subsidiabele activiteiten doelgroep generale JB/FR (art. 6)

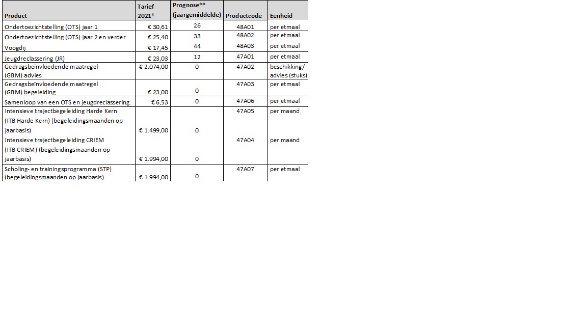
Tabel 2. Tarieven en prognose uitvoering subsidiabele activiteiten JB/JR doelgroep ((L)VB (art. 7)

Tabel 3. Tarieven en prognose uitvoering subsidiabele activiteiten JB/JR doelgroep jeugdigen zonder vaste woon- of verblijfplaats, met een bepaalde culturele en/of godsdienstige achtergrond en complexe gezinssystemen (art. 8)

* Tarief is op basis van de berekening bijzondere kosten voor 2020. Indien op tijd blijkt dat de realisatie afwijkt, dan zal in het kader van de subsidieverlening 2021 een nieuwe afweging plaats vinden.

** De prognose heeft betrekking op het jaar 2021.

Burgemeester en wethouders van Venlo,

TwanBeurskens

de secretaris

Antoin Scholten

de burgemeester

Naar boven