Beleidsnotitie Agressie inclusief agressieprotocol

Tekstplaatsing

 

Voorwoord

Agressie heeft voor een medewerker vaak een grote impact en de gemeente Waddinxveen wil haar medewerkers dan ook zoveel mogelijk beschermen tegen agressie en de gevolgen hiervan. De gemeente vindt het belangrijk dat de medewerkers veilig en integer hun werk kunnen doen. Agressie door burgers kan deze veiligheid en integriteit in het geding brengen.

 

Gelukkig is het zo dat ernstige vormen van agressief gedrag binnen de gemeente Waddinxveen een incidenteel karakter hebben. Ondanks dit incidentele karakter is het noodzakelijk om beleid op te stellen met betrekking tot agressie, waarbij oplossingen worden aangedragen om de veiligheid van medewerkers te waarborgen en te verbeteren.

 

Dit begint bij de medewerker; door als medewerker op een juiste manier hun dienstverlening te verrichten en een correcte communicatie naar de burger toe neemt de kans op boosheid (wat kan escaleren in agressie) af. Door vervolgens op een professionele manier om te gaan met burgers die boos of agressief gedrag vertonen kan worden voorkomen dat situaties uit de hand lopen. De medewerker is op de hoogte hoe te handelen indien de situatie escaleert.

 

Daar waar incidenten plaatsvinden, moet er aandacht worden besteed aan de gevolgen van het agressief gedrag en dient er actie richting de burger te worden ondernomen. Deze actie heeft als doel de burger te laten merken dat onze norm geen loze kreet is. Voor de getroffen medewerker(s) moet opvang en nazorg worden geregeld en tegen de dader moeten passende maatregelen worden getroffen.

 

Deze beleidsnotitie, waarin bovenstaande zaken zijn beschreven, bestaat uit 3 onderdelen:

  • -

    Het beleid zelf, dat onder andere de doelstelling en uitgangspunten van het agressiebeleid uiteen zet en inzicht geeft in ieders taken en verantwoordelijkheden.

  • -

    Het agressieprotocol, waarin wordt aangegeven hoe in voorkomende situaties te handelen.

  • -

    De bijlagen, waarin de uitwerkingen zijn opgenomen, zoals de procedure bij gebouwontzegging en diverse voorbeeldbrieven.

Deze beleidsnotitie is een levend document dat door ervaring jaarlijks bijgesteld kan worden als blijkt dat onderdelen niet functioneren in de praktijk. Niet alle situaties laten zich vangen in een protocol.

Belangrijk is dat, daar waar nodig, nadere werkafspraken gemaakt worden.

1. Agressiebeleid

 

1.1 Doelstelling agressiebeleid

De doelstelling van het agressiebeleid is:

Ervoor zorgen dat medewerkers met een publieke taak deze op een veilige, respectvolle en integere wijze kunnen uitvoeren.

 

1.2 Uitgangspunten agressiebeleid

  • -

    Agressie tegen onze ambtenaren en bestuurders wordt niet getolereerd en dit moet iedereen, burger en ambtenaar, maar vooral ook de dader, duidelijk zijn;

  • -

    Op normoverschrijdend gedrag volgt een reactie;

  • -

    Van een strafbaar feit wordt altijd aangifte gedaan;

  • -

    Ambtenaren die slachtoffer zijn van agressie kunnen rekenen op de volledige ondersteuning van de gemeente;

  • -

    Materiële en/of immateriële schade door agressie wordt altijd door de gemeente verhaald op de veroorzaker;

  • -

    Agressie wordt ook niet geaccepteerd bij contacten tussen medewerkers en burgers buiten het gemeentehuis.

1.3 Definitie van agressie

Nog niet zo lang geleden stond agressie synoniem voor fysiek geweld. Tegenwoordig wordt een veel bredere definitie gehanteerd. Het gaat om fysieke en psychische vormen van agressie zoals: verbaal en non-verbaal geweld, beledigen, bedreigingen en discriminatie.

 

De definitie voor agressie luidt. “Het welbewust of onbewust, verbaal of non verbaal uiten, gebruiken van fysieke kracht of macht, dan wel het dreigen daarmee, gericht tegen een werknemer, onder omstandigheden die rechtstreeks verband houden met het verrichten van de publieke taak, wat

 

resulteert of waarschijnlijk zal resulteren in een gevoel van bedreiging, psychische schade, materiële schade, letsel of de dood tengevolge hebbende.” (Ministerie van Binnenlandse Zaken en Koninkrijksrelaties, BZK).

 

In bijlage 2 zijn de vormen van agressie verder uitgewerkt. Ze zijn in drie categorieën verdeeld en worden gebruikt bij de registratie van agressie-incidenten en het bepalen van een sanctie.

 

1.4 Organisatienorm

Medewerkers hebben een zekere professionele ruimte waarin ze kunnen omgaan en inspelen op de emotie van de burger, die geïrriteerd, gefrustreerd of boos kan zijn. Omgaan met deze emotie is onderdeel van het professioneel handelen.

 

Maar wanneer wordt boosheid dan agressie? Wanneer is iets normoverschrijdend dat niet wordt getolereerd? Dat is iets dat de gemeente dient vast te stellen.

Deze norm dient zo concreet mogelijk te worden gemaakt. Want zolang deze grens niet duidelijk is weten medewerkers niet waar ze deze moeten trekken en heeft de burger ook geen duidelijkheid. Een duidelijke norm geeft een gevoel van veiligheid en houvast in een team. Men weet waar men aan toe is en de kans op normvervaging wordt kleiner. Belangrijk is dat elke medewerker bij agressief gedrag de organisatienorm als grens aangeeft, ongeacht zijn persoonlijke grens.

 

Daarnaast kan de burger door zijn gedrag of uitingen de orde verstoren of huisregels overschrijden. Ook dan is er sprake van normoverschrijdend gedrag en is er reden om in te grijpen.

 

Als leidraad voor de herkenning van agressief gedrag geldt:

dat er emotie ontstaat bij de burger, deze emotie in de loop van het gesprek verergert, persoonsgericht, aanvallend of kwetsend wordt en na waarschuwen niet wordt gestaakt. Incidenten van persoonlijke bedreiging en fysiek geweld zijn per definitie normoverschrijdend.

 

Wanneer er sprake is van normoverschrijdend gedrag door ordeverstoring, overtreding van de huisregels of agressie, moet er altijd een reactie volgen (zie hoofdstuk 2).

 

Door middel van het bespreken van de organisatienorm in teamoverleggen, waarin deze norm wordt vertaald naar de praktijk dient zich er uiteindelijk een algemeen overeengekomen normen- en waardenstelstel te ontwikkelen die alle medewerkers uitdragen.

 

1.5 Openbare orde en huisregels

Gedurende het verblijf in gebouwen van de gemeente dienen bezoekers zich in overeenstemming met de openbare orde, de goede zeden en regels van fatsoen te gedragen. Bezoekers zijn gehouden aanwijzingen met betrekking tot de orde van medewerkers van de gemeente op te volgen. Indien ze zich niet houden aan de huisregels of als de openbare orde in het geding is wordt dit gezien als normoverschrijdend gedrag waar de burger op aangesproken dient te worden.

 

Kort gezegd:

  • -

    Bezoekers moeten de medewerkers in staat stellen hun werk te doen.

  • -

    Bezoekers mogen de orde niet verstoren.

  • -

    Aanwijzingen van medewerkers dienen opgevolgd te worden.

Deze normen zijn opgenomen in de huisregels en worden aan de burger bekend gemaakt door deze duidelijk zichtbaar bij de receptie en spreekkamers neer te hangen en via de website van de gemeente. De huisregels zijn terug te vinden in bijlage 3.

 

1.6 Preventie

Waar mogelijk dient het voorkomen te worden dat er incidenten ontstaan. Dit kan door:

  • -

    Goede kwaliteit van dienstverlening

    Hoe sneller, correcter en duidelijker de burgers geholpen worden, hoe kleiner de kans op agressie. De gemeente Waddinxveen heeft daarom een aantal gedragsvoorschriften voor de medewerkers opgesteld die moeten voorkomen dat agressie ontstaat. Daarmee zeggen wij niet dat agressief gedrag ‘ok’ is indien de medewerker zich niet conform de gedragsvoorschriften handelt. Een nadere uitwerking van deze gedragsvoorschriften zijn opgenomen in hoofdstuk 2.

  • -

    Juist handelen van medewerkers bij agressie

    Naast duidelijkheid over de dienstverlening kan door herkenning van situaties die agressie kunnen oproepen en weten hoe te kunnen handelen agressie voorkomen worden. Hierin dient de medewerker getraind te worden.

  • -

    Aandacht voor inrichting werkruimtes

    De inrichting van de werkruimtes dienen ervoor te zorgen dat medewerkers zo goed mogelijk beschermd zijn tegen agressie.

  • -

    Onderzoek naar achtergronden agressie

    Door de achtergrond van incidenten in kaart te brengen kan onderzocht worden of bepaalde agressie-uitingen in het vervolg kunnen worden voorkomen.

1.7 Opleiden en trainen

Omgaan met agressie en boosheid dient een regulier onderdeel te zijn van de opleiding van alle medewerkers die burgercontacten hebben. De leidinggevenden en leden van het agressie interventieteam worden getraind in zowel het omgaan met agressie als het opvangen van een medewerker na een agressie-incident. Daarnaast zal elke nieuwe medewerker waarvan burgercontact een zeer belangrijk deel van de functie is (zoals consulenten van het cluster sociale zaken, medewerkers van het publieksplein en bodes) en die in het verleden nog geen agressietraining hebben gevolgd zo spoedig mogelijk, maar in ieder geval binnen 12 maanden een training volgen.

Daarnaast geldt voor de medewerkers die reeds in dienst zijn dat deze eens in de drie jaar een herhalingstraining volgen.

 

1.8 Het Agressie interventieteam

Binnen de gemeente is een agressie interventieteam actief. Bij agressie-incidenten of als er problemen voorzien worden dient dit team te worden ingeschakeld. De werkwijze van dit team vindt u terug in bijlage 6.

 

1.9 Taken en verantwoordelijkheden

Het is belangrijk dat iedereen weet waar zijn verantwoordelijkheid ligt. Daarom is er een overzicht gemaakt van de taken en verantwoordelijkheden van de diverse betrokken partijen.

 

  • -

    Directie

    • -

      Vaststellen van het agressiebeleid.

    • -

      Ter beschikking stellen van financiële middelen, een veilige werkplek en opleidingsfaciliteiten aan de medewerkers.

    • -

      Als zich ergens een ernstig incident heeft voorgedaan, zich persoonlijk op de hoogte stellen en praten met de medewerkers.

  • -

    Leidinggevende

    • -

      Opvang van medewerkers die in aanraking zijn gekomen met agressie.

    • -

      Melding met medewerker bespreken en waar wenselijk opleggen van een sanctie.

    • -

      Inleveren van het meldingsformulier bij het cluster HR.

    • -

      Het ondersteunen van de medewerker bij het doen van aangifte of namens de gemeente doen van aangifte.

    • -

      Periodiek onder de aandacht brengen van agressiebeleid en protocol bij medewerkers.

    • -

      Input geven voor de evaluatie van het agressiebeleid.

  • -

    Medewerker

    • -

      Agressie proberen te voorkomen door houding en gedrag.

    • -

      Aanspreken van burger bij normoverschrijdend gedrag.

    • -

      Bij agressie handelen conform het protocol.

    • -

      Situatie en achtergronden met leidinggevende bespreken zodat deze een juiste sanctie kan opleggen.

    • -

      Signaleren van werkprocessen/procedures die agressie in de hand kunnen werken.

    • -

      Ondersteunen van collega’s die agressie zijn tegengekomen.

    • -

      Invullen van het meldingsformulier.

  • -

    Agressie interventieteam

    • -

      Direct gehoor geven bij gebruik van de noodknop door collega’s.

    • -

      Betreffende collega ondersteunen bij agressieve burger.

    • -

      Waar nodig anderen op afstand houden / in veiligheid brengen.

    • -

      Input geven voor de evaluatie van het agressiebeleid.

  • -

    Cluster HRM

    • -

      Verzorgen managementrapportage inzake agressie (1x per jaar).

    • -

      Periodiek trainingen nieuwe medewerkers en zittend personeel regelen.

    • -

      Zorgen voor verhalen schade op dader.

    • -

      Evalueren en bijstellen van het beleid (1 x per jaar).

  • -

    OR

    • -

      Meedenken en evalueren van het agressiebeleid en protocol.

  • -

    Politie

    • -

      Het verwijderen van burgers die zich niet aan de huisregels van de gemeente houden / bij dreigend gevaar voor het personeel of andere burgers.

    • -

      Indien gevraagd, het fungeren als achtervang bij risicogesprekken.

    • -

      Het opnemen van aangiftes en meldingen.

1.10 Melden en registreren

Om te kunnen reageren op normoverschrijdend gedrag is het belangrijk dat de medewerker melding hiervan doet. De medewerker bespreekt de melding met zijn leidinggevende en de leidinggevende bepaalt de sanctie. Het meldingsformulier gaat vervolgens naar het cluster HR. Daar vindt verdere registratie plaats.

 

1.11 Sancties

Op elke vorm van agressie volgt een sanctie.

De volgende sancties staan de gemeente Waddinxveen tot beschikking:

  • -

    mondelinge waarschuwing

  • -

    toezenden huisregels

  • -

    schriftelijke waarschuwing

  • -

    ordegesprek

  • -

    korting op de uitkering1

  • -

    gebouwontzegging

  • -

    aangifte of melding bij de politie

  • -

    een combinatie van maatregelen

Wanneer welke sancties moet worden opgelegd is terug te vinden in hoofdstuk 2.

 

1.12 Opvang medewerker

De leidinggevende zorgt voor de opvang en verleent nazorg aan het slachtoffer. De opvang kan daarnaast (afhankelijk van de situatie en de wens van het slachtoffer) bestaan uit:

  • -

    Collegiale opvang; het voorval bespreken met één of meerdere collega’s.

  • -

    Professionele opvang; het inschakelen van deskundige hulpverlening, bijvoorbeeld een bedrijfsmaatschappelijk werker of Bureau Slachtofferhulp.

NB: De leidinggevende is en blijft verantwoordelijk voor een juiste opvang van de medewerker.

 

Aan de medewerker zal door de leidinggevende na 6 weken worden gevraagd een formulier ‘nazorg’ in te vullen. Op basis hiervan hebben leidinggevende en medewerker een gesprek. De leidinggevende kan hierdoor zaken die niet goed gaan bijsturen en nagaan of de medewerker nog nazorg nodig heeft. De bevindingen en het formulier wordt gedeeld met het cluster HR ten behoeve van de evaluatie van het bestaande beleid.

 

1.13 Verhalen schade

Materiële en immateriële schade wordt altijd verhaald op de dader. De veroorzaakte schade aan medewerkers wordt door het cluster HR afgehandeld. De schade (gescheurde jas, kapotte bril) wordt, in principe, direct vergoed aan de medewerker. Het schadebedrag wordt op de dader verhaald, wat in eerste instantie minnelijk wordt geprobeerd. Wil de dader geen regeling treffen dan kan een civiele procedure worden opgestart. De procedure hiervoor is terug te vinden in bijlage 9 ‘Procedure verhalen schade’.

 

1.14 Aangifte en/of melding bij politie

Bij strafbare feiten wordt altijd aangifte bij de politie wordt gedaan. Het is belangrijk dat de medewerker zelf aangifte doet. Alleen als dit tot grote bezwaren leidt zal de gemeente aangifte doen. De medewerker kan uiteraard aangifte doen onder opgave van het adres van de gemeente.

De leidinggevende ondersteunt de medewerker bij het doen van de aangifte.

 

Indien er geen sprake is van een strafbaar feit maar wel van agressie dan kan ervoor gekozen worden om een melding te doen aan de politie. Er volgt nog geen strafvervolging, maar de politie legt de informatie wel vast. De procedure voor het doen van een aangifte of melding is terug te vinden in bijlage 8 ’Procedure aangifte of melding bij de politie’. In deze bijlage staat ook wanneer iets een strafbaar feit betreft.

 

1.15 Evaluatie

Om het agressiebeleid niet te laten wegzakken evalueren de afdelingshoofden het agressiebeleid periodiek in het werkoverleg c.q. het afdelingsoverleg.

 

Het agressiebeleid zal jaarlijks door het cluster HR worden geëvalueerd en besproken met de OR en het MT. Het doel hiervan is vast te stellen dat de maatregelen actueel en inhoudelijk correct zijn, goed werken en worden nageleefd.

2. Agressieprotocol

 

2.1 Inleiding

Als de burger normoverschrijdend gedrag vertoont moet er worden opgetreden. In dit protocol wordt aangegeven hoe in voorkomende situaties te handelen. Dit laat onverlet dat medewerkers in staat zijn situaties zelf in te schatten en in gegeven situaties kunnen improviseren. Daarnaast is het belangrijk dat de gemeente een reactie geeft naar de burger om te laten zien dat de gestelde norm geen loze kreet is. De leidinggevende kan de sancties, zoals beschreven in paragraaf 2.5, gebruiken voor het vaststellen van een passende vervolgreactie.

 

2.2 Preventie door middel van gedrag

Belangrijk is om agressief gedrag waar mogelijk te voorkomen. Dit kan onder andere door helder en duidelijk met de burger te communiceren.

Klantgericht werken dient een basiscompetentie te zijn voor de medewerkers van de gemeente Waddinxveen. Met een professionele, klantgerichte houding, goede gesprekstechnieken en een goede presentatie zorgen we voor zo goed mogelijke dienstverlening naar de burgers. Op die manier kunnen agressieve situaties worden voorkomen.

De gemeente Waddinxveen enkele gedragsvoorschriften voor de medewerker in dit protocol opgenomen. Dit is geen onuitputtende lijst. Wij gaan ervan uit dat de medewerkers goed in staat zijn om hun eigen gedrag en de uitwerking hiervan op de burger te kunnen beoordelen.

Voorschriften algemeen

Algemeen

  • -

    Van de medewerkers wordt verwacht, dat zij de burgers met respect behandelen.

  • -

    Stel je servicegericht op: beantwoord vragen zo goed mogelijk en los eventuele problemen zo goed en snel mogelijk op (als dat tot de mogelijkheden behoort).

  • -

    Zorg voor rust achter de publieksbalie.

  • -

    Voer geen luidruchtige gesprekken met elkaar, geef het goede voorbeeld door zelf correct gedrag te vertonen.

  • -

    Kom beloftes na.

Verder

  • -

    Voorstellen: Een medewerker stelt zich altijd voor met zijn/haar naam.

  • -

    Beëindiging gesprek: Bij het beëindigen van een gesprek wordt de burger duidelijk gemaakt hoe, bij wie en op welk moment hij terecht kan met eventuele vragen.

  • -

    Afspraken: Wanneer een burger op een bepaald tijdstip is opgeroepen mag er geen sprake zijn van een lange wachttijd. Indien hiervan toch sprake is zal hij van de reden op de hoogte worden gesteld en worden er verontschuldigingen aangeboden.

  • -

    Nakomen van regels: De medewerker ziet er op toe dat de huisregels worden nagekomen. Het is bijvoorbeeld verboden om huisdieren mee naar binnen te nemen. Medewerkers dienen burgers hier dus op te wijzen.

  • -

    Toezeggingen: Een medewerker moet er alert op zijn dat geen verwachtingen worden gewekt of toezeggingen worden gedaan waarvan de mogelijkheid tot nakoming nog niet vaststaat.

  • -

    Fouten: Een medewerker geeft gemaakte fouten toe, biedt (waar nodig) zijn excuses aan en maakt duidelijk hoe en wanneer één en ander hersteld zal worden. Hij wijst (waar nodig) de persoon ook op de mogelijkheid tot het indienen van een klacht.

Voorschriften bij afleggen huisbezoek 2

Bij het afleggen van een huisbezoek staat de veiligheid van de medewerker voorop. Als de situatie dreigt te escaleren en pogingen om de situatie te normaliseren blijken niet te helpen, dient de medewerker de woning zo snel mogelijk te verlaten.

 

Een huisbezoek kan met 1 of 2 personen worden uitgevoerd. Hierbij dient rekening gehouden te worden met de volgende uitgangspunten:

  • -

    Huisbezoeken in het kader van eerste aanvragen dienen altijd door 2 medewerkers te worden afgelegd, aangezien de burger nog niet bekend is bij de gemeente en hier risico’s aan verbonden zijn (uitgezonderd aanvragen van in verband met de WMO).

  • -

    Huisbezoeken in het kader van bijzondere rechtmatigheidsonderzoeken dienen altijd met 2 medewerkers te worden afgelegd, dit zowel voor de bewijslast en wederzijdse beschuldigingen als voor de veiligheid van de medewerkers.

  • -

    Bij situaties waarbij van te voren aanwijzingen zijn dat de mogelijkheid van escalatie bestaat, dient het huisbezoek door 2 medewerkers te worden afgelegd.

Hieronder volgt een aantal tips om de veiligheid tijdens een huisbezoek te vergroten:

  • -

    Het is wenselijk dat een huisbezoek door 2 personen wordt uitgevoerd, zeker indien van tevoren bekend is dat de situatie zou kunnen escaleren en/of als er sprake is van vermeende fraude.

  • -

    Laat aan collega’s weten dat je op huisbezoek gaat en geef de gegevens aan in outlook (gegevens burger, begin- en eindtijd).

  • -

    Neem een mobiele telefoon mee en laat je telefoonnummer achter bij collega’s.

  • -

    Indien bekent, geef dan ook het telefoonnummer van de burger op.

  • -

    Laat een collega bellen als je op het afgesproken tijdstip niet terug bent op de afdeling.

  • -

    Mocht men geen contact met je krijgen, dan dient het afdelingshoofd de politie te waarschuwen.

  • -

    Parkeer de auto of ander vervoermiddel uit het zicht van het adres waar je op huisbezoek gaat.

  • -

    Blijf tijdens het huisbezoek voortdurend bij elkaar.

  • -

    Vraag bij het naar binnen gaan wie er nog meer in de woning zijn en waar deze personen zich bevinden.

  • -

    Laat de burger zelf als eerste een bepaalde ruimte betreden.

  • -

    Laat de burger voorgaan bij het op- en aflopen van een trap.

  • -

    Blijf steeds goed om je heen kijken. Let op voorwerpen die eventueel als wapen gebruikt zouden kunnen worden (bijv. een mes, een schroevendraaier, een schaar etc).

  • -

    Open zelf geen laden of kasten, vraag aan de burger of hij dat wil doen.

  • -

    Pak geen voorwerpen/papieren op zonder dit te vragen. Vraag ook toestemming om in papieren te kijken.

  • -

    Voer het gesprek het liefst in de woonkamer en bijv. niet in de keuken (in verband met messen op het aanrecht en in laden).

  • -

    Let op waar je gaat zitten, let op vluchtwegen.

  • -

    Geef de burger wel de gelegenheid tot het stellen van vragen, maar ga geen discussie aan.

  • -

    Bespreek de bevindingen van het huisbezoek niet op het moment van het huisbezoek, maar later op de dag of de volgende dag tijdens het gesprek op kantoor. Vertel dit ook aan de burger.

  • -

    Blijf beleefd en kalm.

  • -

    Ga zelf niet over tot het aanwenden van geweld.

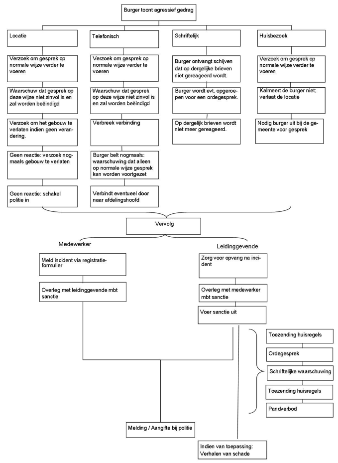
2.3 Handelingsleidraad bij agressie / normoverschrijdend gedrag

 

 

Soort gedrag

Wat te doen?

Telefonische agressie

- probeer de burger te kalmeren

- geef aan dat het gedrag niet acceptabel is en verzoek om gesprek op normale wijze verder te voeren

- geen verandering; aangeven dat gesprek op deze manier niet zinvol is en gesprek beëindigen

- burger belt opnieuw, mededelen dat gesprek alleen gevoerd wordt wanneer burger tot rede is gekomen

- helpt dit niet dan kan eventueel, na overleg, doorverbonden worden met het afdelingshoofd. Deze deelt nogmaals mede en dat gesprek alleen gevoerd wordt wanneer burger tot rede is gekomen

Schriftelijke agressie (brief / email)

- op een agressief opgestelde brief ontvangt burger een schrijven waarin medegedeeld wordt dat op dergelijke brieven niet gereageerd zal worden en dat correspondentie als afgehandeld beschouwd wordt

- eventueel voert de leidinggevende een ordegesprek met burger naar aanleiding van agressief gestelde brief, waarbij bovenstaande wordt besproken

- daarna wordt op dergelijke brieven van burger niet meer gereageerd

Verbale agressie / Hinderlijk/ongepast gedrag

- probeer de burger te kalmeren

- geef aan dat het gedrag niet acceptabel is en verzoek om gesprek op normale wijze verder te voeren

- geen verandering; aangeven dat gesprek op deze manier niet zinvol is en gesprek beëindigen

- eventueel afdelingshoofd / agressie interventieteam erbij roepen; deze probeert verbale agressie te beëindigen

- geen verandering; burger sommeren het gebouw te verlaten (2x)

- geen verandering; politie inschakelen

Fysieke agressie of dreiging ervan

- rustig blijven en proberen op burger in te praten

- agressie interventieteam inschakelen door middel van alarmknop

- eventueel weglopen

- indien nodig jezelf verweren

- agressie interventieteam sommeert burger gebouw te verlaten (2x)

- geen verandering: politie inschakelen

Agressie bij huisbezoek

- probeer de burger te kalmeren

- geef aan dat het gedrag niet acceptabel is en verzoek om gesprek op normale wijze verder te voeren

- geen verandering; aangeven dat gesprek op deze manier niet zinvol is en gesprek beëindigen

- indien de burger niet kalmeert en de situatie dreigt te escaleren; verlaat de locatie

- de burger wordt bij de gemeente Waddinxveen opgeroepen zodat uitgelegd kan worden waarom huisbezoek nodig is

- indien nodig vindt er een tweede huisbezoek plaats

Agressie buiten gebouw (bv. buitendienst)

- probeer de burger te kalmeren

- geef aan dat het gedrag niet acceptabel is en verzoek om gesprek op normale wijze verder te voeren

- geen verandering; aangeven dat gesprek op deze manier niet zinvol is en gesprek beëindigen

- indien de burger niet kalmeert en de situatie dreigt te escaleren verlaat de locatie of schakel de politie in

Verder

  • -

    Indien je een burger bij de receptie te woord moet staan en je vertrouwt het niet, zorg ervoor dat je achter de receptiebalie staat.

  • -

    In de situatie waarin geldt dat van personen agressief of gewelddadig gedrag kan worden verwacht wordt het agressie interventieteam en directe collega’s van te voren ingelicht In alle situaties geldt dat de receptiemedewerkers worden ingelicht over personen waar agressief of gewelddadig gedrag van wordt verwacht. Als er aanleiding voor is kan ook de politie op de hoogte worden gebracht, zodat ze kunnen dienen als achtervang. Dit kan door direct contact met de wijkagenten (telefoonnummer 088-96 47705 / 6), via de veiligheidsregisseur of via 0900-8844.

  • -

    Hou elkaar op de hoogte, bespreek je ervaringen ten aanzien van een agressieve burger in het werkoverleg en met betrokken collega’s.

  • -

    In geval van een gebouwontzegging dient men een kopie van het ID-bewijs, samen met de belangrijkste gegevens naar de receptie te mailen.

  • -

    Indien een burger met een gebouwontzegging toch naar de gemeente komt, verzoekt de receptie hem weg te gaan. Indien de burger dit weigert wordt 112 gebeld.

2.4 Na afloop

  • -

    Nabespreking gebeurtenis met betrokken personen en afdelingshoofd.

  • -

    Invullen van het meldingsformulier door medewerker en met afdelingshoofd bespreken welke sanctie en acties genomen moeten worden.

  • -

    Eventuele schade opnemen, die zal worden verhaald op burger.

  • -

    Eventueel aangifte doen bij politie.

  • -

    Nazorg organiseren voor betrokken medewerker(s).

2.5 Sancties

Als leidraad voor de leidinggevende ten aanzien van een sanctie naar de dader is de onderstaande leidraad ontwikkeld. In het geval van een sanctie, dient deze binnen 48 uur te worden opgelegd.

De leidinggevende bepaald de sanctie. Het cluster Juridische Advies kan advies geven of er bijvoorbeeld gekozen moet worden voor een waarschuwingsbrief, een ordegesprek of een gebouwontzegging. In bijlage 2 zijn de vormen van agressie in zwaarte ingedeeld zodat deze gebruikt kunnen worden bij het inschatten van de benodigde sanctie.

 

Aard van overtreding

Sanctie

CAT 1: Verbale agressie (1e keer)

Mondelinge waarschuwing Toezenden / Meegeven huisregels

 

Schriftelijke waarschuwing (optioneel)

Ordegesprek (optioneel)

CAT 1: Verbale agressie (recidive)

Schriftelijke waarschuwing

of

Ordegesprek (al dan niet gevolgd door waarschuwingsbrief)

Melding bij politie

 

Gebouwontzegging (optioneel)

Korting op de uitkering* (optioneel)

CAT 2: Persoonsgerichte bedreiging (1e keer)

Ordegesprek (al dan niet gevolgd door waarschuwingsbrief)

Aangifte politie

 

Gebouwontzegging (optioneel)

Korting op de uitkering* (optioneel)

CAT 2: Persoonsgerichte bedreiging (recidive)

Gebouwontzegging

Aangifte politie

Terugkeergesprek na gebouwontzegging

 

Korting op uitkering* (optioneel)

CAT 3: Gebruik fysiek geweld tegen persoon en/of goederen (1e keer/recidive)

Gebouwontzegging

Aangifte politie

Verhalen schade (indien van toepassing)

Terugkeergesprek na gebouwontzegging

 

Korting op uitkering* (optioneel)

Zonder afspraak betreden pand bij gebouwontzegging

Verlenging gebouwontzegging

* alleen van toepassing bij agressie van bijstandsklanten ten tijden van dienstverlening op dit gebied. Zie voor nadere informatie de verordening WWB.

 

2.6 Werkwijze sancties

 

Sanctie

Werkwijze

Schriftelijke waarschuwing

1. Medewerker vult het meldingsformulier in en bespreekt dit met zijn leidinggevende.

2. Leidinggevende stelt brief samen en stuurt deze (al dan niet met de huisregels als bijlage) naar de klant.

Ordegesprek*

1. Medewerker vult het meldingsformulier in en bespreekt dit met zijn leidinggevende.

2. De leidinggevende roept de klant op voor een ordegesprek.

3. Medewerker en leidinggevende stemmen af of medewerker bij dit gesprek aanwezig is.

Gebouwontzegging / terugkeer na gebouwontzegging

1. Medewerker vult het meldingsformulier in en bespreekt dit met zijn leidinggevende.

2. Leidinggevende bespreekt de mogelijkheid t.a.v. een gebouwontzegging met het cluster Juridische Adveis die de gebouwontzegging verder afhandelen.

3. Het cluster Juridisch Advies stelt een gebouwontzegging op volgens bijgevoegd standaardmodel.

4. De ontzegging wordt getekend door de burgemeester.

5. De politie ontvangt een kopie van de gebouwontzegging.

6. De receptie, de bodes en de overige betrokken medewerkers ontvangen een kopie van de gebouwontzegging. Indien mogelijk wordt een kopie van het identiteitsbewijs van de betreffende persoon door de leidinggevende bijgeleverd.

7. Het cluster Juridisch Advies informeert de betrokken medewerkers, receptie en leidinggevende.

8. De leidinggevende draagt zorg voor foto id-bewijs (indien mogelijk) voor receptiemedewerker.

Korting uitkering

1. Medewerker vult het meldingsformulier in en bespreekt dit met zijn leidinggevende.

2. Medewerker overlegt met leidinggevende of klant een korting op de uitkering dient te krijgen (zie de gemeentelijke verordening WWB).

3. Medewerker schrijft een rapportage m.b.t. het incident met daarin opgenomen de maatregel tot korting van de uitkering.

4. Dit wordt collegiaal getoetst en de senior neemt het definitieve besluit tot de maatregel.

Aangifte/Melding politie

Medewerker doet aangifte of melding bij politie.

Zie uitgebreide procedure aangifte politie in bijlage 8.

Verhalen schade

Materieel

1. Leidinggevende doet aangifte bij de politie.

2. Leidinggevende inventariseert de schade.

3. Leidinggevende geeft schadebedrag door aan het cluster HR.

4. HR documenteert deze en geeft via het formulier ‘debiteurenadministratie’ opdracht aan de debiteurenadministratie de schade te verhalen.

5. De debiteurenadministratie maakt een factuur en stuurt deze terug naar HR.

6. HR stuurt de factuur op naar de dader inclusief een begeleidende brief.

7. De debiteurenadministratie bewaakt de betalingstermijn en voert waar nodig de aanmaanprocedure uit.

 

Immaterieel

1. Medewerker doet zelf aangifte bij de politie. Leidinggevende ondersteunt.

2. Medewerker dient rekening van medische kosten in bij zorgverzekeraar.

3. De kosten die niet vergoed worden verhaald op de dader Zie uitgebreide procedure verhalen schade in bijlage 9.

* Ordegesprek

Het doel van een ordegesprek is: bespreekbaar maken van probleem, herhaling voorkomen en gedrag veranderen. In een ordegesprek wordt de klant gewezen op zijn normoverschrijdend gedrag. Dit gesprek kan een probaat instrument zijn om agressie in te dammen. Tijdens een ordegesprek wordt alléén over het gedrag van de klant gesproken en niet over inhoudelijke kwesties. Aan de orde komen:

  • -

    beschrijving van het normoverschrijdend gedrag

  • -

    beschrijving van eventuele schade

  • -

    sancties en/of verhaal van de schade

  • -

    voorwaarden voor verdere contacten tussen klant en medewerker

Bijlage 1: Stroomschema

 

Bijlage 2: Indeling categorieën ongewenst gedrag

 

Hierbij een indeling in categorieën van de ernst van de agressie. Deze categorieën kunnen gebruikt te worden als leidraad bij het opleggen van een sanctie, voortvloeiend uit het sanctiebeleid.

 

I

(non-) Verbale agressie

Beledigen

Schelden; beledigen; middelvinger geven; dreigende opmerkingen maken (niet op de persoon gericht); kwetsen; aanhoudend kleineren; zwart maken; aanhoudend pesten of sarren; discrimineren naar herkomst, seksuele geaardheid, religie of fysieke kenmerken; ongewenste seksuele aandacht. Ook uitingen via telefoon, blog, brief of email vallen hieronder.

Vernederen

Smaad

Treiteren

Discrimineren

Seksuele intimidatie

II

Persoonsgerichte bedreiging

Dreigen door houding, gebaar, of andersoortig gedrag

Op de persoon (of directe naasten) gerichte bedreiging waarbij het aannemelijk is dat de dreiging zal worden uitgevoerd; het openlijk dragen van een wapen (pistool, mes, e.d.); dwingen tot uitvoeren of juist nalaten van ambtstaken; opzettelijk bemoeilijken en / of onmogelijk maken van uitvoeren van taken, Huisvredebreuk gepleegd aan een voor openbare dienst bestemd gebouw (toegang verschaffen, zonder toestemming), dreigen met schoppen/slaan, stelselmatig hinderen, stelselmatig volgen, stelselmatig bedreigen. Ook schriftelijke dreigingen, via brief, telefoon, blog, brief en email vallen onder deze definitie.

Bemoeilijken, onmogelijk maken of juist dwingen

Lokaalvredebreuk

Schennis der eerbaarheid

Pogingen tot schoppen, slaan of verwonden

Stalken

III

Fysieke agressie

Mishandeling

mishandeling, verwonden, schoppen, aanranden, beetpakken, duwen, trekken, slaan, spugen en gericht gooien met voorwerpen, krabben, ongewenst aanklampen, seksuele handtastelijkheden, het vernielen van meubels, het gooien van objecten, het fysiek verhinderen dat iemand een vertrek kan verlaten, het fysiek verhinderen van werkzaamheden.

Verwonden, pijn veroorzaken

Aanranden

Beetpakken, duwen, trekken, slaan, gericht gooien, spugen

Wapengebruik

Vernielen

Bijlage 3: Huisregels gemeente Waddinxveen

 

Wij voeren onze publieke functie professioneel uit en behandelen diegene met wie wij in contact komen met respect. Wij verwachten dat wij met een zelfde mate van respect behandeld worden. Om er voor te zorgen dat we ons werk in veiligheid kunnen doen hanteren we daarom de volgende huisregels:

  • 1.

    Medewerkers van de gemeente Waddinxveen ontvangen bezoekers als goede gastvrouwen en gastheren. Zij gedragen zich correct jegens bezoekers.

  • 2.

    Bezoekers gedragen zich correct jegens medewerkers van de gemeente.

  • 3.

    Bezoekers volgen de aanwijzingen van medewerkers van de gemeente op.

  • 4.

    Hinderlijk gedrag in het gemeentehuis en andere bij de gemeente in gebruik zijnde panden is niet toegestaan.

  • 5.

    Agressief, intimiderend en beledigend gedrag jegens medewerkers en/of andere bezoekers wordt niet getolereerd.

  • 6.

    Het dragen van wapens of gevaarlijke voorwerpen binnen de gebouwen van de organisatie is verboden en wordt niet getolereerd.

  • 7.

    Het meenemen van dieren in de gebouwen worden niet getolereerd (uitgezonderd een blinde- geleidehond).

  • 8.

    Roken, het gebruik of het zichtbaar onder invloed verkeren van alcohol of drugs is verboden.

  • 9.

    Bij strafbare feiten wordt aangifte gedaan bij de politie.

  • 10.

    Wij registreren alle incidenten betreffende agressie en op agressie volgt een passende sanctie. Eventuele schade wordt verhaald op de dader.

  • 11.

    Personen die zich in het verleden jegens medewerkers van de gemeente hebben misdragen, kunnen bij een bezoek alleen een gesprek voeren in het bijzijn van derden (zoals beveiligingspersoneel). Deze personen kunnen de aanwezigheid van die derden niet weigeren met een beroep op vertrouwelijkheid of privacybescherming.

  • 12.

    Bezoekers die zich misdragen kunnen een verbod voor bepaalde tijd krijgen het gemeentehuis en/of andere bij de gemeente in gebruik zijnde panden te bezoeken (gebouwontzegging).

  • 13.

    Personen met een gebouwontzegging kunnen uitsluitend schriftelijk of telefonisch communiceren met de gemeente. Alleen met schriftelijke toestemming van de burgemeester kan tijdens een gebouwontzegging een bezoek aan het gemeentehuis of een ander bij de gemeente in gebruik zijnde pand worden gebracht.

  • 14.

    Tijdens een gebouwontzegging kan persoonlijk contact ook plaatsvinden op een externe locatie.

Bijlage 4: Meldingsformulier

 

Naam medewerker:

Afdeling:

Naam burger:

Woonplaats:

Datum:

Tijdstip:

 

categorie

Plaats

Soort contact

○ categorie 1

(verbale agressie)

○ categorie 2

(persoonsgerichte bedreiging)

○ categorie 3

(fysieke agressie)

○ gemeentehuis

○ directe omgeving van het gemeentehuis

○ het huisadres van de betrokken cliënt

○ het huisadres van de betrokken medewerker

○ bij de gemeentewerf

○ zwembad

○ Algemene Begraafplaats

○ elders, nl:

○ Telefonisch

○ Schriftelijk

○ Persoonlijk

○ Post

○ E-mail / fax

 

1. (mogelijke) aanleiding

2. Door cliënt gebruikte middelen

3. Doelwit van de agressie

4. Consequentie voor slachtoffer

5. Maatregelen

○ niet duidelijk

○ lijdzaam verzet (‘ik ga niet weg, totdat’)

○ niemand

○ geen

○ geen

○ communicatie- probleem/ taalbarrière

○ schelden / vloeken

○ medewerker

objecten:

○ cliënt aangesproken op gedrag

○ afspraken niet duidelijk

○ dreigementen

○ object, nl:

○ beschadigd, vervanging niet noodzakelijk

○ agressie interventieteam ingeschakeld

○ te lang wachten in wachtkamer

○ telefonische bedreiging

○ andere cliënt(en)

○ beschadigd, vervanging noodzakelijk

○ contact beëindigd/ weggegaan

○ niet gewenste persoon kunnen spreken

○ dreigende lichaamstaal

○ receptie

persoon:

○ burger gesommeerd het pand te verlaten

○ zaken niet binnen gestelde termijn afgehandeld

○ objecten, nl:

○ overig personeel

○ voelde zich bedreigd / geschrokken

○ politie ingeschakeld

○ eerdere foutieve voorlichting

○ lichaam, nl:

○ cliënt zelf

○ voelde zich vernederd

○ schriftelijke waarschuwing

○ uitkering geblokkeerd drank en/of drugs

○ anders, nl:

○ anders, nl:

○ lichamelijk letsel.

○ ordegesprek

○ andere psychiatrische problematiek

○ behandeling noodzakelijk

○ gebouwontzegging

○ genomen besluit gemeente

○ behandeling door arts noodzakelijk

○ korting uitkering

○ anders nl:

○ anders, nl:

○ aangifte / melding politie

○ verhalen schade

○ anders nl:

Korte omschrijving incident en evt. bijzonderheden:

(wat is er gebeurd, hoe is er gereageerd, wat zei/deed de burger, wat zei/deed jij toen, waren er nog meer mensen betrokken?)

 

 

 

 

 

 

Bijlage 5: Evaluatieformulier nazorg

 

(in te vullen door betrokken medewerker)

 

Naam medewerker:

Afdeling:

Naam burger:

Woonplaats:

Datum:

Tijdstip:

 

Werd er snel actie ondernomen toen u uw collega’s om hulp vroeg?

 

○ Direct

○ Het duurde even, voordat er collega’s in actie kwamen

○ Er werd helemaal niet gereageerd

○ Anders, namelijk............................................................................................

 

Is er voldoende nazorg verleend?

 

○ Ja

○ Nee, ik had het graag anders gezien, namelijk..................................................................

...................................................................................................................................

 

Zijn de opgelegde sancties naar uw idee voldoende om u in de toekomst veiliger te laten voelen?

 

○ Ja, want....................................................................................................................

○ Nee, want...................................................................................................................

 

Als u op het incident terugkijkt, wat had volgens u anders / beter gekund (procedureel)?

................................................................................................................................

................................................................................................................................

.................................................................................................................................

 

Als u op de nazorg terugkijkt, wat had volgens u anders / beter gekund?

...................................................................................................................................

...................................................................................................................................

...................................................................................................................................

 

Heeft u aanbevelingen voor de organisatie?

 

○ Nee

○ Ja, namelijk................................................................................................................

 

Eventueel aanvullende opmerkingen

...................................................................................................................................

...................................................................................................................................

...................................................................................................................................

...................................................................................................................................

 

Bijlage 6: Agressie interventieteam

 

De gemeente Waddinxveen heeft een team in het leven geroepen die voor collega’s als achterwacht beschikbaar zijn in situaties van dreiging en agressie: het zogenaamde agressie interventieteam.

 

Dit team heeft de volgende functies:

  • -

    Zekerheid bieden door direct optreden zodra er alarm wordt geslagen.

  • -

    Steun bieden en veiligheid bevorderen door aanwezigheid in dreigende situaties.

  • -

    Proberen de situatie te normaliseren door de-escalerend optreden.

  • -

    Waar nodig anderen op afstand te houden en inschakelen van de politie.

Samenstelling

  • -

    Leden van het agressie interventieteam zijn aangewezen afdelingshoofden en een aantal medewerkers die zich vrijwillig hiervoor hebben aangemeld.

  • -

    Teamleden moeten stressbestendig zijn, over goede communicatieve vaardigheden beschikken, het vermogen hebben om situaties snel in te schatten en hun kalmte goed kunnen bewaren.

  • -

    Teamleden zijn ervoor verantwoordelijk dat zij, op de dag dat zij de pieper bij zich dragen, hun werkplek hierop aan te passen zodat zij de receptie en spreekkamers snel kunnen bereiken.

Opleiding en training

Alle teamleden krijgen een basistraining in het omgaan met heftige situaties. Van de teamleden wordt verwacht dat zij periodiek oefenen met praktijksituaties. Zij dienen dit zelf te verzorgen.

Interventie werkwijze

  • -

    Aan het begin van iedere werkdag worden de piepers opgehaald door de leden. Bij afwezigheid wordt er onderling voor een vervanger zorg gedragen. De receptionist dient te controleren of alle piepers na 9.00 uur zijn opgehaald. Indien dit niet het geval is neemt ze contact op met het betreffende teamlid.

  • -

    In geval van alarmering spoeden de dienstdoende teamleden zich naar de plaats van het alarm.

  • -

    De eerst aangekomene beoordeelt hoe er moet worden ingegrepen en of de politie meteen moet worden ingeschakeld. De teamleden stemmen met elkaar af wat ieders rol zal zijn. Uitgangspunt is dat 1 teamlid de klant aanspreekt en de overige teamleden als achtervang fungeren.

  • -

    Indien de veiligheid van de collega in het geding is is het de prioriteit om deze in veiligheid te brengen.

  • -

    Indien nodig houden de overige teamleden anderen die niets met het conflict te maken hebben op afstand en treffen maatregelen voor de veiligheid van andere bezoekers.

  • -

    Het teamlid grijpt (bij voorkeur) uitsluitend verbaal communicatief in. Men gaat niet op de inhoud van het conflict in en vermijdt zoveel mogelijk fysiek contact met de burger.

  • -

    Indien de rust weerkeert, overlegt het team met de collega die de assistentie nodig had of voortgang van het contact mogelijk en wenselijk is, eventueel in het bijzijn van een lid van het agressie interventieteam.

  • -

    Indien voortgang van het contact niet wenselijk is sommeert het lid van het agressie interventieteam de burger het pand te verlaten en begeleidt de burger naar de uitgang.

  • -

    Als de burger niet wenst weg te gaan (na twee keer sommeren) wordt alsnog de politie ingeschakeld.

Alarmeringssysteem

Bestaat uit zenders (bevestigd onder bureaubladen) en 3 piepers. Op de display van de piepers staat waar de problemen zijn.

Overzicht zenders

Nr

Plek

Kamer

1

Spreekkamer 1

0.11 PB

2

Spreekkamer 2

0.12 PB

3

Spreekkamer 3

0.38 WIV

4

Spreekkamer 4

0.39 WIV

5

Balie 1

 

6

Balie 2

 

7

Balie 3

 

8

Balie 4

 

9

Receptie

 

10

Balie 5

 

11

Balie 6

 

Bijlage 7: Procedure gebouwontzegging

Hoe wordt een gebouwontzegging opgelegd?

Bij ernstig verbaal geweld, bedreiging met geweld of fysiek geweld wordt altijd direct een ontzegging opgelegd. Ernstig verbaal geweld is bijvoorbeeld een scheldpartij.

  • 1.

    Het incident wordt z.s.m. door de leidinggevende besproken met het cluster Juridisch Advies, al dan niet in samenspraak met de betreffende medewerker en eventuele getuige(n).

  • 2.

    Het cluster Juridisch Advies stelt een gebouwontzegging op volgens bijgevoegd voorbeeldbrief.

  • 3.

    De ontzegging wordt getekend door de burgemeester.

  • 4.

    De politie ontvangt een kopie van de gebouwontzegging.

  • 5.

    De receptie, de bodes en de overige betrokken medewerkers ontvangen een kopie van de gebouwontzegging. Indien mogelijk wordt een kopie van het identiteitsbewijs van de betreffende persoon door de leidinggevende bijgeleverd.

  • 6.

    Indien het een klant van sociale zaken betreft wordt een kopie voorop opgeborgen in het dossier.

Voor hoelang wordt een gebouwontzegging opgelegd?

  • -

    In geval van verbaal geweld: voor 3 maanden.

  • -

    In geval van dreigen met geweld: voor 6 maanden

  • -

    In geval van fysiek geweld: voor 12 maanden.

  • -

    Bij overtreding van een gebouwontzegging: verlenging van de ontzegging met ten hoogste 6 maanden.

Door wie wordt een gebouwontzegging opgelegd?

De gebouwontzegging wordt opgelegd door de burgemeester. Het gaat hier immers om serieuze zaken en de bemoeienis van de burgemeester toont dat de gemeente Waddinxveen deze gebeurtenissen ernstig neemt.

Correspondentie over de ontzegging loopt via het cluster Juridisch Advies.

Contact met de gemeente tijdens een gebouwontzegging

  • 1.

    Alleen schriftelijk of telefonisch op tevoren vastgestelde tijden en met tevoren aangewezen medewerkers.

  • 2.

    Telefonisch contact op andere tijdstippen wordt geweigerd.

  • 3.

    Is een persoonlijk gesprek nodig, dan kan worden uitgeweken naar het politiebureau (via de wijkagenten direct (088-96 47705 / 6) of via het nummer 0900-8844 kan er een ruimte worden gereserveerd).

  • 4.

    Is persoonlijke aanwezigheid op het gemeentehuis noodzakelijk, dan kan de burgemeester schriftelijk daarvoor toestemming verlenen op verzoek van betrokkene. Dit kan bijvoorbeeld zijn om een paspoort aan te vragen, een raadsvergadering bij te wonen en dergelijke.

  • 5.

    Een verzoek om toestemming wordt behandeld door het cluster Juridisch Advies en verleent door de burgemeester.

  • 6.

    Wordt de toestemming verleend, dan worden betrokken medewerkers, hun afdelingshoofden, de receptie en de bodes hierover geïnformeerd. Indien noodzakelijk wordt ook de politie gewaarschuwd.

Overtreding van de gebouwontzegging

  • 1.

    Betrokkene wordt gesommeerd het gebouw te verlaten (2x).

  • 2.

    De politie wordt gewaarschuwd als betrokkene niet vertrekt.

  • 3.

    Bij overtreding van een gebouwontzegging is sprake van een strafbaar feit: lokaalvredebreuk. Hiervan wordt aangifte gedaan door het cluster Juridisch Advies.

  • 4.

    Bij overtreding van de gebouwontzegging kan de ontzegging worden verlengd met ten hoogste 6 maanden.

Bijlage 8: Procedure aangifte / melding bij de politie

Bepaal of er sprake is van een strafbaar feit (aangifte) of niet (melding)

Wanneer is de vorm van agressie strafbaar?

  • -

    Burger uit een persoonsgerichte bedreiging met geweld tegen de medewerker.

  • -

    Burger gebruikt fysiek geweld tegen medewerker.

  • -

    Burger probeert de ambtenaar te dwingen een handeling te doen of juist na te laten (ambtsdwang).

  • -

    Burger heeft vernielingen aangericht of dreigt hiermee.

  • -

    Burger beledigt ambtenaar in functie.

  • -

    Burger weigert na 2 maal sommeren het pand te verlaten (lokaalvredebreuk).

Het doen van aangifte

  • 1.

    Maak een afspraak voor het doen van aangifte.

    Dit kan via het algemene nummer van de politie: 0900-8844. Is er sprake van een ernstig incident, dan is het van belang om zo spoedig mogelijk aangifte te doen. Overleg dit met de politie.

    Indien medewerker aangifte doet: Kies domicilie op het adres van uw werkgever.

    Bij domiciliekeuze geeft u de politie een ander adres dan uw woonadres op. Dat betekent dat uw adres niet in de processtukken komt te staan. Als u aangifte doet op uw eigen adres, is uw identiteit voor de dader gemakkelijk te achterhalen. Verdachte en diens raadsman immers hebben recht op alle processtukken. Uw naam komt wel in de processtukken te staan.

    Indien werkgever aangifte doet: Doe aangifte onder opgave van het adres van de organisatie (domiciliekeuze). U zult wel de naam van de werknemer moeten opgeven.

  • 2.

    Wijs de politie erop dat het gaat om de uitoefening van een publieke taak.

    Met de politie en het Openbaar Ministerie (OM) zijn afspraken gemaakt over de afhandeling van agressie tegen functionarissen met een publieke taak. Zo wordt er hoge prioriteit gegeven aan de opsporing en vervolging van daders. Ook worden er hogere straffen geëist. Het is dus van belang dat de politie weet dat u een publieke taak uitoefent.

    Indien werkgever aangifte doet: Vertel de politie dat u als werkgever aangifte doet omdat het gepleegde feit is gericht tegen de functie en/of het werk van het slachtoffer.

  • 3.

    Doe aangifte op basis van alle verzamelde informatie.

    Politie, officier van justitie en rechter moeten zich een goed beeld kunnen vormen van wat er precies is gebeurd. Bij deze informatie gaat het om de 7 W’s:

    • -

      Wie kan in verband worden gebracht met het misdrijf (aangever, slachtoffer, getuige, verdachte)?

    • -

      Wat is er precies gebeurd?

    • -

      Waar is het misdrijf gepleegd en waar zijn eventuele sporen achtergebleven?

    • -

      Waarmee is het misdrijf gepleegd (welke voorwerpen/middelen zijn gebruikt)?

    • -

      Op welke wijze heeft het misdrijf plaatsgevonden?

    • -

      Wanneer heeft het misdrijf plaatsgevonden en wanneer hebben andere relevante feiten plaatsgevonden?

    • -

      Waarom is het misdrijf gepleegd?

  • Denk ook aan andere informatie zoals foto’s (van de situatie, personen, verwondingen), camerabeelden, de verklaring van een arts of van een getuige.

  • 4.

    Is er sprake van schade? Zorg ervoor dat de schade die al bekend is op het moment van het doen van aangifte, in de aangifte wordt opgenomen. Dit geldt zowel voor de schade van de gemeente als die van de werknemer. Voor het verhalen van de schade kunt u zich voegen in het strafproces. De politie kan u hierover informeren. Ook kan het expertisecentrum Veilige Publieke Taak kan hierover advies geven.

  • 5.

    Spreek duidelijk met de politie af hoe u wordt geïnformeerd over de voortgang van een eventueel strafproces tot en met de zitting.

    Indien werkgever aangifte doet: informeer de medewerker dat hij door de politie of door de rechter kan worden gehoord als getuige. De oproeping gaat altijd via het adres van de werkgever.

Het doen van een melding

  • 1.

    Maak een afspraak voor het doen van een melding.

    Het doen van een melding kan direct bij de wijkagenten van de gemeente. Dit kan telefonisch via het nummer 088-96 47705 / 6 of via de mail: wijkagentenwaddinxveen@hollands-midden.politie.nl. Zij zullen de melding opnemen in het registratiesysteem. Meldingen zijn belangrijk voor de dossiervorming. Het kan zijn dat een dader zich ook bij andere instanties heeft misdragen, of dat een dader zich bij uw organisatie al meerdere keren (niet strafbaar) heeft misdragen.

Bijlage 9: Procedure verhalen schade

 

Bij het aanrichten van materiële schade aan gebouwen en/of eigendommen van de organisatie, dan wel van medewerkers van de organisatie, krijgt de dader altijd een ontzegging. In de ontzeggingsbrief wordt, als dat van toepassing is, opgenomen dat de schade verhaald wordt op de dader.

  • 1.

    De leidinggevende doet bij de politie aangifte van vernieling. Als er sprake is van een strafbaar feit, is het van belang bij de aangifte te vermelden dat er sprake is van materiële schade. Vermeld ook dat we de schade willen verhalen. Neem daarom nadrukkelijk de zinsnede op dat wij ons ‘willen voegen in de strafzaak’.

  • 2.

    De leidinggevende zorgt binnen een week voor een gespecificeerd opgave van het bedrag van de schade, waar mogelijk met een rekening van de reparateur.

  • 3.

    Bij schade aan persoonlijke eigendommen van een medewerker zorgt de medewerker zelf voor een opgave van de schade. Hij/zij geeft de schade door aan het cluster HR.

  • 4.

    HR stuurt de brief met een specificatie van de schade door naar financiën. Deze verzorgt het uitgaan van de rekening en bewaakt ook de betalingstermijn (in beginsel 14 dagen).

  • 5.

    De leidinggevende zorgt voor het aanleveren van eventuele bewijsstukken zoals bijvoorbeeld:

    • a.

      kopieën van eventuele rapportages

    • b.

      een kopie van de ontzegging

    • c.

      de rekening

    • d.

      de aangifte

  • 6.

    De gemeente Waddinxveen start (indien er niet wordt betaald) een juridische procedure.

  • 7.

    Bij schade aan persoonlijke eigendommen van een medewerker wordt dezelfde procedure gevolgd. In afwachting daarvan vergoedt de werkgever de schade.

Immateriële schade veroorzaakt door persoonsgericht geweld

  • 1.

    Medische kosten worden meestal voor een groot gedeelte door de ziektekostenverzekeraar vergoed. De medewerker dient de rekening(en) zo spoedig mogelijk bij de ziektekostenverzekeraar in.

  • 2.

    De ziektekostenverzekeraar zal, als wordt aangegeven dat de kosten het gevolg zijn van een ‘ongeval’ door derden, zelf ook actie ondernemen om de kosten te verhalen.

  • 3.

    Voor de meerkosten, het gedeelte dat voor eigen rekening van de medewerker komt, geldt dezelfde procedure als bij schade aan (persoonlijke) eigendommen. De aangifte moet echter nu – voor de medische kosten die voor eigen rekening komt – worden gedaan door de medewerker zelf en deze verzoekt om voeging in de strafzaak.

  • 4.

    Het verzoek om voeging in de strafzaak is bij immateriële schade nu extra belangrijk, omdat de stappen niet kort achter elkaar genomen kunnen worden. De volgende stap (opgave van de schade) kan pas op langere termijn worden gezet, omdat de kosten vaak pas op de langere termijn bekend zijn.

Bijlage 10: Voorbeeldbrieven

Onderwerp: Waarschuwingsbrief (al dan niet met waarschuwing gebouwontzegging)

 

Medewerkers van de gemeente Waddinxveen willen een goede gastheer of gastvrouw zijn en u op een goede manier van dienst zijn. Van u wordt verwacht dat u zich als gast gedraagt.

Ik besef dat er soms beslissingen moeten worden genomen die voor u vervelend kunnen zijn. Maar ook in dat geval wordt een correcte houding van u verwacht.

 

De gemeente Waddinxveen heeft daarom een aantal huisregels geformuleerd om de contacten tussen medewerkers van de gemeente en bezoekers van het gemeentehuis goed, plezierig en veilig te laten verlopen.

 

Op ..... heeft u zich niet gehouden aan deze huisregels. U heeft namelijk ..... .

Deze gebeurtenis (of: dit gedrag) is voor de gemeente Waddinxveen onacceptabel.

 

Wij verwachten van u dat bij een volgend contact u zich gedraagt conform de huisregels.

 

of

 

Als u in de toekomst nogmaals de huisregels overtreedt, dan zal ik u een gebouwontzegging opleggen voor het gemeentehuis en andere bij de gemeente in gebruik zijnde panden. De politie wordt dan ook op de hoogte gesteld van deze gebouwontzegging en de reden daarvoor.

 

Als u op deze brief wilt reageren dan kan dat uitsluitend schriftelijk. U kunt uw brief sturen, ter attentie van ondergetekende.

 

Hoogachtend,

Onderwerp: Gebouwontzegging

 

Bij brief van ..... heeft u een waarschuwing ontvangen naar aanleiding van schending van de huisregels van de gemeente Waddinxveen.

 

Op ..... heeft u zich wederom niet gehouden aan deze huisregels.

U heeft namelijk .....

Deze gebeurtenis (of: dit gedrag) is voor de gemeente Waddinxveen onacceptabel (indien van toepassing >) en hiervan is aangifte gedaan bij de politie.

 

Ik leg u daarom een gebouwontzegging op voor alle bij de gemeente in gebruik zijnde panden, waaronder het gemeentehuis.

Deze gebouwontzegging gaat in op ..... en eindigt op .....

 

In de periode gedurende welke de gebouwontzegging geldt, kunt u over lopende zaken (bijv.: uw uitkering / vergunning / ander onderwerp) uitsluitend schriftelijk of telefonisch met de gemeente communiceren.

Schriftelijk kunt u zich wenden tot .....

Telefonisch kunt u zich wenden tot ..... van de afdeling ..... via telefoonnummer ..... op ..... dagen tussen ..... uur en ..... uur.

 

(indien van toepassing >) Als in deze periode uw persoonlijke aanwezigheid op het gemeentehuis noodzakelijk is, dan kan dat uitsluitend met mijn schriftelijke toestemming.

 

Als u op deze gebouwontzegging wilt reageren dan kan dat uitsluitend schriftelijk. U kunt mij uw brief sturen, ter attentie van de cluster Juridisch Advies.

 

(indien van toepassing >) Met betrekking tot de door u veroorzaakte schade deel ik u mede dat de gemeente u aansprakelijk stelt voor alle kosten die daarvan het gevolg zijn. U ontvangt daarover binnenkort een afzonderlijke brief.

 

De politie ontvangt een kopie van deze brief.

 

Hoogachtend,

de burgemeester van Waddinxveen,

Onderwerp: Oproep ordegesprek

 

Naar ik heb vernomen zijn er problemen geweest tussen u en .....

Uw gedrag is door onze medewerker(s) als ..... (bv. uitermate agressief) en daarom als niet acceptabel ervaren.

 

Om herhaling van een dergelijke escalatie in de toekomst te voorkomen roep ik u op voor een gesprek in met het afdelingshoofd ..... op ..... dag om ..... uur.

Tot slot wijs ik u op het belang van deze afspraak. Het gesprek dient eerst plaats te vinden alvorens de medewerkers opnieuw met u in contact mogen treden. Indien u desondanks toch mocht besluiten af te zien van dit gesprek en u zich opnieuw meldt bij onze gemeente, hebben de medewerkers de opdracht onmiddellijk de politie te waarschuwen. U zult dan verwijderd worden uit het gebouw.

 

Ik vertrouw op uw medewerking.

Onderwerp: Herhaling oproep ordegesprek

 

Ik kan uw gedrag naar onze ambtenaren niet accepteren. Om onder andere over dit gedrag met u van gedachten te wisselen werd u opgeroepen voor een gesprek op .....

U hebt geen gehoor gegeven aan deze oproep en hebt deze afspraak ook niet verzet.

Derhalve stel ik u alsnog in de gelegenheid dit gesprek aan te gaan. Ik roep u hiervoor nogmaals op voor een gesprek op ....., ..... om ..... uur. Het gesprek zal plaatsvinden met het afdelingshoofd van de afdeling ....., ..... .

Het is voor u van wezenlijk belang dat dit gesprek plaatsvindt. Als u ook deze uitnodiging negeert kan uw dossier niet verder in behandeling genomen worden.

Onderwerp: Bevestiging afspraken ordegesprek

 

In het gesprek met ..... is een aantal afspraken gemaakt om de verstoorde relatie tussen u en de ambtenaren van het werkveld ..... te verbeteren.

Deze afspraken zijn:

  • -

    u kondigt elk bezoek vooraf telefonisch aan en maakt een afspraak met ....., alleen zij is bevoegd u te woord te staan.

  • -

    zodra u opnieuw onacceptabel gedrag vertoont wordt de dienstverlening op dat moment gestopt en dient u het gebouw direct te verlaten. Mocht u dit niet doen dan wordt de politie ingeschakeld.

Naar boven