Verlegregeling Epe 2015

Burgemeester en wethouders van Epe;

gelezen de beslisnota d.d. 15 oktober 2014, nr. 2014-40346;

gelet op artikel 3.7 van de Algemene Verordening Ondergrondse Infrastructuur;

 

BESLUITEN:

vast te stellen de Verlegregeling Epe 2015

Hoofdstuk 1 Inleidende bepalingen

Artikel 1.1. Begripsbepalingen

De begripsbepalingen van de AVOI zijn op deze verlegregeling van toepassing tenzij in deze verlegregeling daarvan uitdrukkelijk wordt afgeweken. In deze regeling wordt verstaan onder:

  • a.

    aanpassing: verlegging, verplaatsing, (tijdelijke) bescherming, of verwijdering van een leiding

  • b.

    aanvraag: een aanvraag om nadeelcompensatie als bedoeld in artikel 3.6 van de AVOI;

  • c.

    AVOI: Algemene verordening ondergrondse infrastructuur;

  • d.

    belanghebbende: netbeheerder die schade lijdt als gevolg van een verzoek tot aanpassing;

  • e.

    liggingsduur: de tijd die verstreken is tussen de datum waarop de vergunning van kracht is geworden en de datum waarop de vergunning wordt ingetrokken of gewijzigd. Voor leidingen die zijn aangelegd met een melding conform artikel 2.1 tweede lid van de AVOI geldt als liggingsduur de tijd die is verstreken tussen de datum van ontvangst van de melding en de datum waarop een verzoek tot aanpassing is verstuurd;

  • f.

    nadeelcompensatie: de vergoeding van schade als bedoeld in artikel 4:126 Algemene wet bestuursrecht;

  • g.

    plangebied: het gebied dat wordt aangegeven op een tekening, waarbinnen het plan van de gemeente gerealiseerd moet worden en diverse werkzaamheden moeten worden uitgevoerd om een goede aansluiting c.q. overgang te krijgen met het bestaande omliggende gebied;

  • h.

    schade: de werkelijke kosten van verlegging, verplaatsing, (tijdelijke) bescherming, of verwijdering van een leiding, voor zover deze kosten genoemd zijn in hoofdstuk 4;

  • i.

    vergunning: een vergunning als bedoeld in artikel 2.1 van de AVOI;

  • j.

    verzoek tot aanpassing: de intrekking of wijziging van een vergunning op grond van artikel 2.6, eerste lid onderdeel g of h van de AVOI, dan wel de rechtmatige uitoefening door het college van zijn publiekrechtelijke bevoegdheid of taak, met de daaraan verbonden verplichting tot het aanpassen van een leiding.

 

Artikel 1.2. Toepasselijkheid

  • 1.

    Deze verlegregeling is een concrete invulling van Titel 4.5 van de Algemene wet bestuursrecht betreffende nadeelcompensatie en bevat de regels voor nadeelcompensatie wanneer een netbeheerder als gevolg van een besluit van het college, inhoudende een intrekking of wijziging van een vergunning op grond van artikel 2.6, eerste lid onderdeel g of h, dan wel vanwege de rechtmatige uitoefening door het college van zijn publiekrechtelijke bevoegdheid of taak schade lijdt, die uitgaat boven het normale maatschappelijke risico en die hem in vergelijking met anderen onevenredig zwaar treft.

     

  • 2. Deze regeling is niet van toepassing op:
    • a.

      netten die in het beheer zijn bij de gemeente;

    • b.

      netten die niet vallen onder één van de categorieën openbare werken als bedoeld in artikel 1 van de Belemmeringenwet Privaatrecht;

    • c.

      netten die vallen onder de Telecommunicatiewet.

     

     

Hoofdstuk 2. Nadeelcompensatie

Artikel 2.1. Algemeen

  • 1.

    Indien een belanghebbende als gevolg van een verzoek tot aanpassing in aanmerking komt voor nadeelcompensatie, kent het college dit op aanvraag toe, met inachtneming van de hierna volgende bepalingen.

  • 2.

    Het schadebedrag wordt berekend aan de hand van de bepalingen in hoofdstuk 4 van deze regeling.

  • 3.

    De juridische grondslag(en) waarmee een leiding ligt dient te worden aangetoond door de belanghebbende.

 

Artikel 2.2. Leidingen in of op openbare gronden

Nadeelcompensatie wordt vastgesteld aan de hand van de liggingsduur van de aan te passen leiding. Indien de liggingsduur niet door de belanghebbende kan worden aangetoond, wordt uitgegaan van een liggingsduur langer dan 15 jaar.

  • a.

    Bij een liggingsduur tot 5 jaar bedraagt de nadeelcompensatie in beginsel 100% van de schade.

  • b.

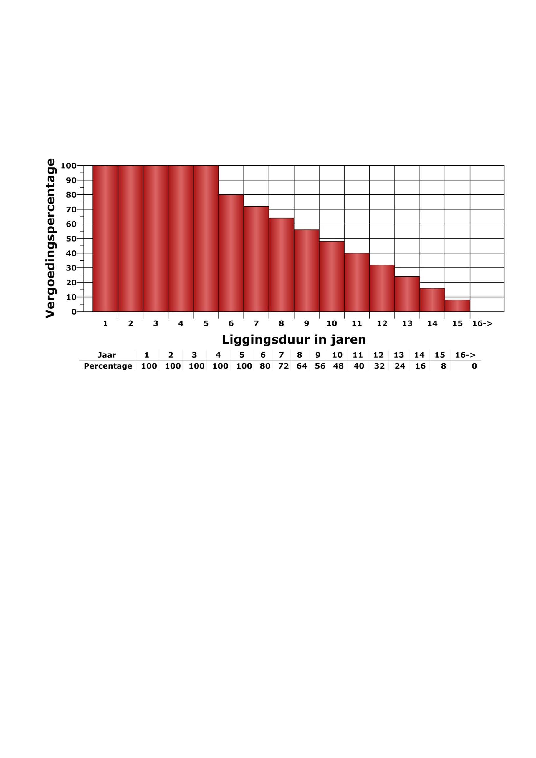
    Bij een liggingsduur vanaf 5 jaar tot en met 15 jaar bedraagt de nadeelcompensatie 80% van de schade vanaf het 6e jaar tot 0% vanaf het 16e jaar, zoals weergegeven in het schema in bijlage 1.

  • c.

    Bij een liggingsduur langer dan 15 jaar, wordt geen nadeelcompensatie toegekend.

 

Artikel 2.3. Leidingen in of op niet-openbare gronden

Indien een leiding is gelegen in of op niet-openbare gronden die in eigendom of beheer toebehoren aan derden en deze moet worden aangepast vanwege de rechtmatige uitoefening door het college van zijn publiekrechtelijke bevoegdheid of taak, dan bestaat de nadeelcompensatie, ongeacht de liggingsduur, in beginsel uit de kosten van ontwerp en begeleiding en uitvoeringskosten. De materiaalkosten en kosten van uit en in bedrijf stellen komen niet voor vergoeding in aanmerking.

 

Artikel 2.4. Leidingen die liggen met een zakelijk recht of gedoogplicht

Indien een leiding is gelegen in gronden die in eigendom zijn van belanghebbende, of indien ten behoeve van de leiding een zakelijk recht of een gedoogplicht op grond van de Belemmeringenwet Privaatrecht is gevestigd, bedraagt de nadeelcompensatie in beginsel 100% van het schadebedrag.

 

Artikel 2.5. Schadebeperking, voordeeltoerekening en hardheidsclausule

  • 1.

    Zowel het college als belanghebbende dienen zo veel als redelijkerwijs mogelijk is schadebeperkend op te treden bij de aanpassing van de leiding van de belanghebbende.

     

  • 2.

    Schade blijft in elk geval voor rekening van de belanghebbende voor zover:

    • a.

      hij het risico van het ontstaan van de schade heeft aanvaard;

    • b.

      hij de schade had kunnen beperken door binnen redelijke grenzen maatregelen te nemen, die tot voorkoming of vermindering van de schade hadden kunnen leiden;

    • c.

      de schade anderszins het gevolg is van een omstandigheid die aan de belanghebbende kan worden toegerekend;

    • d.

      de vergoeding van de schade anderszins is verzekerd, of;

    • e.

      de aan te passen leiding niet conform de vergunning is aangelegd.

     

  • 3.

    Indien aanpassing van een leiding tevens voordeel voor de belanghebbende oplevert, wordt dit bij de vaststelling van de nadeelcompensatie in aanmerking genomen.

     

  • 4.

    Indien in bijzondere omstandigheden gronden aanwezig zijn om te concluderen dat redelijkerwijs een kleiner of groter gedeelte van het schadebedrag ten laste van de belanghebbende moet blijven dan uit de toepassing van de voorgaande artikelen voortvloeit, kan het college gemotiveerd van het gestelde in deze artikelen afwijken.

     

Hoofdstuk 3. Bepalingen van procedurele aard

Artikel 3.1. Vooroverleg en verzoek tot aanpassing

  • 1.

    Indien de aanpassing van een leiding naar het oordeel van het college redelijkerwijs nodig is vanwege de rechtmatige uitoefening van zijn publiekrechtelijke bevoegdheid of taak, neemt hij het initiatief tot vooroverleg waarin partijen gezamenlijk de bestaande situatie inventariseren en oplossingsrichtingen voor de eventuele aanpassing van de leiding verkennen.

     

  • 2.

    Aanpassingen dienen te worden gerealiseerd op basis van een technisch adequaat alternatief dat tegen de maatschappelijk laagste kosten gerealiseerd kan worden.

     

  • 3.

    Het college streeft naar overeenstemming met de belanghebbende over de aanpassing, technische oplossing, kosten, uitvoering en planning.

     

  • 4.

    Indien het college de aanpassing van een leiding noodzakelijk acht, verzendt hij een schriftelijk verzoek tot aanpassing aan de belanghebbende. Dit verzoek bevat ten minste:

    • a.

      een omschrijving van de werkzaamheden inclusief planning;

    • b.

      een vermelding van de noodzakelijk aan te passen leiding;

    • c.

      een tekening van het plangebied met daarop aangegeven de plangrenzen (schaal 1:500);

    • d.

      een tekening met daarop aangegeven de bestaande situatie;

    • e.

      een tekening met daarop aangegeven de nieuwe situatie;

    • f.

      indien van toepassing: een tekening met daarop aangegeven het nieuwe tracé voor de aan te passen leiding (schaal 1:500).

     

  • 5.

    Belanghebbende vraagt tijdig een vergunning aan voor de aan te passen leiding.

 

Artikel 3.2. Gegevensverstrekking door belanghebbende

  • 1.

    Belanghebbende dient zo spoedig mogelijk, doch uiterlijk binnen een termijn van 6 weken na ontvangst van het verzoek zoals bedoeld in artikel 3.1 lid 4, gegevens betreffende de aanpassing te verstrekken aan het college.

     

  • 2.

    Deze termijn kan door het college worden verlengd met maximaal 6 weken.

     

  • 3.

    De gegevens zoals bedoeld in lid 1 bevatten tenminste:

    • a.

      een verwijzing naar het verzoek tot aanpassing;

    • b.

      een omschrijving van de aard en omvang van het schadebedrag op grond van een voorcalculatie, gespecificeerd aan de hand van het model als bedoeld in bijlage 2;

    • c.

      een voorstel voor de hoogte van de nadeelcompensatie;

    • d.

      het definitief ontwerp van de aanpassing;

    • e.

      een planning van de werkzaamheden, inclusief datum van definitieve oplevering.

       

  • 4.

    Indien het voorstel voor de hoogte van de nadeelcompensatie als bedoeld in het vorige lid minder dan € 10.000,- bedraagt, kan de nadeelcompensatie op basis van een vaste prijs worden afgehandeld, mits partijen dit uitdrukkelijk overeenkomen. Bij afhandeling op basis van een vaste prijs blijven de leden 5 en 6 van dit artikel buiten toepassing.

     

  • 5.

    Bij indiening van bovengenoemde gegevens kan belanghebbende het college verzoeken om een voorschot te verstrekken op de vast te stellen nadeelcompensatie. Dit voorschot bedraagt maximaal 80 % van de te verwachten nadeelcompensatie.

     

  • 6.

    Tijdens de uitvoering van de aanpassing brengt belanghebbende gemotiveerd schriftelijk verslag uit aan het college, indien het werkelijke schadebedrag naar verwachting meer dan 10% afwijkt van de kostenraming als bedoeld in lid 1. Deze afwijkingen maken deel uit van de kosten van de aanpassing, tenzij partijen anders beslissen.

 

Artikel 3.3 Gereedmelding en aanvraag nadeelcompensatie

  • 1.

    Het aanpassen van de leiding is gereed op het moment dat het plangebied, voor wat betreft de leiding, functievrij is en de leiding op de definitieve plek ligt. Belanghebbende doet hiervan binnen 5 werkdagen schriftelijk melding aan het college.

     

  • 2.

    Binnen 6 maanden na de melding als bedoeld in lid 1 kan belanghebbende een aanvraag tot nadeelcompensatie bij het college indienen. Indien belanghebbende een voorschot heeft ontvangen op grond van artikel 3.2 lid 4, is hij hiertoe verplicht. De aanvraag bevat tenminste:

    • a.

      as built gegevens en tekeningen van de aanpassing

    • b.

      een weergave van de verstrekte informatie conform artikel 3.2;

    • c.

      een per kostensoort gespecificeerde opgave van de werkelijk gemaakte kosten aan de hand van het model als bedoeld in bijlage 2;

    • d.

      facturen van ingekochte goederen en diensten;

    • e.

      onderbouwing van interne kosten;

    • f.

      een kopie van de ingetrokken of gewijzigde vergunning;

    • g.

      het rekeningnummer van belanghebbende ten behoeve van de betaling na vaststelling van de nadeelcompensatie;

    • h.

      een accountantsverklaring indien het college hiertoe een verzoek heeft gedaan.

     

  • 3.

    In afwijking van het bepaalde in lid 2 wordt een aanvraag tot nadeelcompensatie op basis van een vaste prijs door belanghebbende bij het college ingediend binnen 6 weken na de melding als bedoeld in lid 1. Deze aanvraag bevat tenminste de gegevens bedoeld in het vorige lid, sub b, f en g.

 

Artikel 3.4. Toekenning nadeelcompensatie

  • 1.

    Het college kan binnen acht weken na indiening van de aanvraag tot nadeelcompensatie besluiten:

    • a.

      de aanvraag niet te behandelen indien deze naar het oordeel van het college onvoldoende is onderbouwd en nadat de belanghebbende in de gelegenheid is gesteld de aanvraag aan te vullen binnen een termijn van vier weken;

    • b.

      de aanvraag, met inachtneming van afdeling 3.3 van de Algemene wet bestuursrecht, in handen te stellen van een adviseur;

    • c.

      de aangevraagde nadeelcompensatie geheel of gedeeltelijk toe te kennen;

    • d.

      de aanvraag af te wijzen.

     

  • 2.

    Het college kan deze beslistermijn eenmalig met acht weken verlengen.

     

  • 3.

    Het college kan het verstrekken van nadere informatie of documenten door belanghebbende verlangen als het college oordeelt dat dit noodzakelijk is voor de beoordeling van de aanvraag.

     

  • 4.

    Het college kan de aanvraag afwijzen indien op het tijdstip van de aanvraag vijf jaren zijn verstreken na aanvang van de dag na die waarop belanghebbende bekend is geworden met de schade die het gevolg is van een verzoek tot aanpassing.

     

Artikel 3.5. Advisering

  • 1.

    Binnen twee weken nadat toepassing is gegeven aan het bepaalde in artikel 3.4 lid 1 sub b, wijst de gemeente een adviseur aan, die niet werkzaam is onder de verantwoordelijkheid van de gemeente.

 

  • 2.

    De adviseur geeft binnen 12 weken een definitief advies over de aanvraag, met daarin tenminste antwoord op de vraag wat de omvang van het schadebedrag is en welk gedeelte hiervan voor vergoeding op basis van deze regeling in aanmerking komt. De adviseur kan partijen horen indien hij dit nodig acht.

     

  • 3.

    Naar aanleiding van het advies zoals bedoeld in het tweede lid neemt het college een besluit op de aanvraag binnen 4 weken nadat de adviseur een definitief advies heeft geleverd.

     

Artikel 3.6. Betaling nadeelcompensatie

  • 1.

    Na toekenning van de nadeelcompensatie vindt uitbetaling plaats binnen zes weken.

  • 2.

    De op grond van artikel 3.2 lid 4 verstrekte voorschotten worden verrekend met de toegekende nadeelcompensatie. Indien de toegekende nadeelcompensatie lager is dan een verstrekt voorschot, wordt het teveel betaalde voorschot door het college teruggevorderd.

  • 3.

    Indien de aanvraag om nadeelcompensatie wordt afgewezen worden eventueel verstrekte voorschotten door het college teruggevorderd.

 

Hoofdstuk 4. Kostentechnische bepalingen

Artikel 4.1 Algemeen

  • 1.

    De hoogte van de kosten voor het aanpassen van een leiding wordt vastgesteld op basis van de hierna volgende bepalingen. De kosten worden vastgesteld aan de hand van de werkelijke kosten van verlegging, verplaatsing, (tijdelijke) bescherming, of verwijdering.

    De kosten worden onderscheiden in:

    • a.

      materiaalkosten;

    • b.

      kosten van uit en in bedrijf stellen;

    • c.

      kosten van ontwerp en begeleiding;

    • d.

      uitvoeringskosten;

 

  • 2.

    Ingeval er sprake is van gecombineerde werkzaamheden dient elke belanghebbende zijn deel van de geraamde kosten weer te geven in de kostenraming. De onderbouwing (verdeelsleutel tussen belanghebbenden en het totaal geraamde bedrag voor de gecombineerde werkzaamheden) van het geraamde bedrag dient bijgevoegd te worden bij de kostenraming.

     

Artikel 4.2. Materiaalkosten

Onder materiaalkosten worden verstaan de kosten van materialen die noodzakelijk zijn voor de instandhouding van de functie van de te verleggen leiding en daarvoor noodzakelijke beschermingsconstructies, waaronder mantelbuizen.

 

Artikel 4.3. Kosten van uit en in bedrijf stellen

Onder de kosten van het uit en in bedrijf stellen worden verstaan:

  • a.

    kosten van het spanning- of productloos maken van de leiding evenals de kosten van het weer in bedrijf stellen van de leiding;

  • b.

    kosten samenhangend met tijdelijke voorzieningen van operationele aard.

 

Artikel 4.4. Kosten van ontwerp en begeleiding

 

  • 1.

    Onder de kosten van ontwerp en begeleiding vallen kosten die samenhangen met:

    • a.

      onderzoek;

    • b.

      voorontwerp;

    • c.

      definitief ontwerp;

    • d.

      bestek;

    • e.

      prijs- en contractvorming;

    • f.

      detaillering;

    • g.

      directievoering en toezicht.

     

Artikel 4.5. Uitvoeringskosten

Onder uitvoeringskosten worden verstaan:

  • a.

    kosten van civieltechnische, bouwkundige en installatietechnische werkzaamheden;

  • b.

    kosten samenhangend met het verwijderen van buiten bedrijf gestelde leidingen, met uitzondering van de kosten van het afvoeren en storten van vrijgekomen leidingmaterialen;

  • c.

    kosten van constructieve en bijzondere voorzieningen die nodig zijn in verband met de aanraking van het infrastructuurwerk;

  • d.

    kosten van tijdelijke voorzieningen van fysieke aard;

  • e.

    kosten samenhangend met het aanvragen van voor de aanpassing benodigde vergunningen of het eenmalig vestigen van een zakelijk recht.

 

 

Hoofdstuk 5. Overgangs- en slotbepalingen

Artikel 5.1. Overgangsbepaling

Voor zover er sprake is van privaatrechtelijke overeenkomsten tussen de gemeente en belanghebbende en tot het moment waarop deze zijn beëindigd, zijn de bepalingen in deze regeling, voor zover strijdig met de bepalingen in deze overeenkomsten, niet van toepassing.

 

Artikel 5.2. Inwerkingtreding

Deze regeling treedt in werking met ingang van de dag waarop de AVOI in werking treedt.

 

Artikel 5.3. Citeertitel

Deze regeling wordt aangehaald als: Verlegregeling Epe 2015.

Epe, 11 november 2014

Burgemeester en wethouders van Epe

Bijlage 1  

Bijlage 2  

Naar boven