Staatscourant van het Koninkrijk der Nederlanden
| Datum publicatie | Organisatie | Jaargang en nummer | Rubriek | Datum ondertekening |
|---|---|---|---|---|
| Ministerie van Veiligheid en Justitie | Staatscourant 2015, 41295 | Circulaires |
Zoals vergunningen, bouwplannen en lokale regelgeving.
Adressen en contactpersonen van overheidsorganisaties.
U bent hier:
| Datum publicatie | Organisatie | Jaargang en nummer | Rubriek | Datum ondertekening |
|---|---|---|---|---|
| Ministerie van Veiligheid en Justitie | Staatscourant 2015, 41295 | Circulaires |
Deze nieuwe Circulaire bevat kleine wijzigingen ten opzichte van de Circulaire wapens en munitie 2015 (hierna Cwm 2015). Wijziging van de Circulaire is noodzakelijk omdat de Minister van Veiligheid en Justitie heeft besloten om op basis van artikel 43a, eerste lid van de Regeling wapens en munitie (hierna Rwm) de Koepel Nederlandse Traditionele Schutters (hierna KNTS) aan te wijzen als organisatie die traditionele schietverenigingen kan certificeren.
De wijzigingen hebben concreet plaatsgevonden door middel van tekstwijzigingen in de Onderdelen 1.4.4.1, 1.4.4.7, 2.1, 2.2, 2.2.1, 2.2.2, 2.2.3, 2.2.5, 2.4.1, 2.4.2?, 2.4.4, 2.4.5, 2.4.6, 2.4.8, 2.6, 2.8 (verwijderd 2.8.2 en 2.8.3.veranderd naar 2.8.2.), 2.8.2.,9.2, Bijlagen C4,C5, C6 en Bijlage C7 van de circulaire. Verder zijn kleine tekstuele wijzigingen aangebracht (taal).
Tevens zijn een aantal samenvattingen verwijderd uit de Cwm.
De Circulaire Wapens en Munitie 2015/2 treedt daags na publicatie in werking en vervangt de Circulaire Wapens en Munitie 2015 (Stcrt. 2015, 3517).
|
A. ALGEMEEN DEEL |
||||
|
1. |
Hoofdlijnen van de wapenwetgeving |
|||
|
1.1 |
Inleiding |
|||
|
1.2 |
Categorieën wapens en munitie |
|||
|
1.2.1 |
Wapens |
|||
|
1.2.2 |
Munitie |
|||
|
1.2.3 |
Onderdelen en hulpstukken van wapens |
|||
|
1.2.4 |
Onderdelen van munitie |
|||
|
1.2.5 |
Beperkingen bevoegdheid munitie |
|||
|
1.2.6 |
Samenhang tussen Wwm en Wecg |
|||
|
1.3 |
Verboden, vrijstellingen en uitzonderingen |
|||
|
1.3.1 |
Verboden |
|||
|
1.3.2 |
Vrijstellingen |
|||
|
1.3.3 |
Uitzonderingen |
|||
|
1.3.4 |
Overheidsfunctionarissen |
|||
|
1.3.4.1 |
Krijgsmacht |
|||
|
1.3.4.2 |
Politie |
|||
|
1.3.4.3 |
Buitengewoon opsporingsambtenaren |
|||
|
1.3.4.4 |
Overige overheidsfunctionarissen |
|||
|
1.4 |
Vergunningen |
|||
|
1.4.1 |
Algemeen |
|||
|
1.4.2 |
Ontheffingen |
|||
|
1.4.2.1 |
Verlening en verlenging |
|||
|
1.4.2.2 |
Weigering en intrekking |
|||
|
1.4.3 |
Erkenningen |
|||
|
1.4.3.1 |
Verlening en verlenging |
|||
|
1.4.3.2 |
Weigering en intrekking |
|||
|
1.4.3.3 |
Register |
|||
|
1.4.3.4 |
Vervoer door of namens de erkenninghouder |
|||
|
1.4.4 |
Verloven |
|||
|
1.4.4.1 |
Verlening en verlenging |
|||
|
1.4.4.2 |
Verlof tot voorhanden hebben van wapens en munitie |
|||
|
1.4.4.3 |
Verlof tot dragen van wapens en munitie |
|||
|
1.4.4.4 |
Verlof tot vervoer van wapens en munitie |
|||
|
1.4.4.5 |
Verlof tot verkrijging van wapens en munitie |
|||
|
1.4.4.6 |
Weigering en intrekking |
|||
|
1.4.4.7 |
Melding aan verenigingsbestuur bij intrekking of weigering |
|||
|
1.4.5 |
In- en uitvoer van wapens en munitie |
|||
|
1.4.5.1 |
In- en uitvoer op grond van de Wet wapens en munitie |
|||
|
1.4.5.2 |
In- en uitvoer op grond van de In- en Uitvoerwet |
|||
|
1.4.5.3 |
Europese vuurwapenpas |
|||
|
1.4.5.4 |
Gevolgen inwerkingtreding EU verordening 258/2012 |
|||
|
2. |
Uitvoering en Toezicht |
|||
|
2.1 |
Uitvoering van de Wet wapens en munitie |
|||
|
2.1.1 |
Algemeen |
|||
|
2.1.2 |
Administratieve verplichtingen |
|||
|
2.1.3 |
Administratieve voorschriften inzake registervoering |
|||
|
2.2 |
Toezicht op de naleving van de Wet wapens en munitie |
|||
|
B. BIJZONDER DEEL |
||||
|
1. |
Geen vrees voor misbruik |
|||
|
1.1 |
Algemeen |
|||
|
1.2 |
Invulling van het ‘vrees voor misbruik’ criterium |
|||
|
2. |
Schietsport |
|||
|
2.1 |
Algemeen |
|||
|
2.2 |
Schietverenigingen |
|||
|
2.2.2 |
Gebruik van verenigingswapens binnen de schietvereniging |
|||
|
2.2.3 |
Gebruik van verenigingswapens buiten de schietvereniging |
|||
|
2.2.4 |
Door de krijgsmacht ter beschikking gestelde wapens |
|||
|
2.2.5 |
Promotieactiviteiten en introducés |
|||
|
2.3 |
Schietcentra |
|||
|
2.4 |
Privé-wapens |
|||
|
2.4.1 |
Voorwaarden privé-verlof schietsport |
|||
|
2.4.2 |
Schietbeurten |
|||
|
2.4.3 |
Buitenlandse schietverenigingen |
|||
|
2.4.4 |
Maximum aantal wapens |
|||
|
2.4.5 |
Schieten met vrijgestelde wapens |
|||
|
2.4.6 |
Tijdelijk en incidenteel in gebruik afstaan van een privé-wapen |
|||
|
2.4.7 |
Schieten op overheidsbanen |
|||
|
2.4.8 |
Voorschriften en beperkingen |
|||
|
2.5 |
Onderdelen, hulpstukken en munitie |
|||
|
2.5.1 |
Wissellopen en andere essentiële onderdelen |
|||
|
2.5.2 |
Munitie |
|||
|
2.6 |
Schietsportdisciplines |
|||
|
2.7 |
Verboden en ongewenste wapens |
|||
|
2.7.1 |
Verboden wapens |
|||
|
2.7.2 |
Ongewenste wapens |
|||
|
2.8 |
Overgangsmaatregelen |
|||
|
2.8.1 |
Ongewenste wapens |
|||
|
2.8.2 |
Herintredende verlofhouders |
|||
|
2.9 |
Airsoftsport |
|||
|
2.9.1 |
Regels ten aanzien van de airsoftsportvereniging |
|||
|
2.9.2 |
Regels voor niet-ingezetenen van Nederland |
|||
|
2.9.3 |
Regels voor de handel in airsoftapparaten |
|||
|
2.9.4 |
Overige regels |
|||
|
2.9.5 |
Richtlijnen voor handhavers |
|||
|
3. |
Verzamelaars |
|||
|
3.1 |
Verzamelaars van vuurwapens |
|||
|
3.1.1 |
Categorie III vuurwapens |
|||
|
3.1.2 |
Categorie II vuurwapens |
|||
|
3.1.3 |
Verzamelplan |
|||
|
3.1.4 |
Verlenging van verloven en ontheffingen |
|||
|
3.1.5 |
Voorschriften en beperkingen |
|||
|
3.2 |
Verzamelaars van munitie |
|||
|
3.2.1 |
Categorie III munitie |
|||
|
3.2.2 |
Categorie II munitie |
|||
|
3.2.3 |
Explosieven en nabootsingen van explosieven |
|||
|
3.2.4 |
Voorschriften en beperkingen |
|||
|
3.3 |
Verzamelaars van patroonmagazijnen |
|||
|
3.4 |
Verzamelaars van messen |
|||
|
3.4.1 |
Voorschriften en beperkingen |
|||
|
3.5 |
Retentie |
|||
|
3.6 |
Musea |
|||
|
3.6.1 |
Verlofaanvraag musea |
|||
|
3.6.2 |
Uitleen van wapens aan musea |
|||
|
3.7 |
Erkenning van wapenverzamelaar verenigingen |
|||
|
3.7.1 |
Wapenverzamelaar verenigingen |
|||
|
3.8 |
Overgangsmaatregel |
|||
|
4. |
Re-enactment en historisch militair materieel |
|||
|
4.1 |
Re-enactment |
|||
|
4.1.1 |
Categorie III vuurwapens |
|||
|
4.1.2 |
Categorie II vuurwapens |
|||
|
4.1.3 |
Het dragen van wapens tijdens re-enactment uitvoeringen |
|||
|
4.1.4 |
Buitenlandse deelnemers aan re-enactment uitvoeringen |
|||
|
4.1.5 |
Voorwaarden voor de verlening van een verlof/ ontheffing |
|||
|
4.1.6 |
Voorschriften en beperkingen |
|||
|
4.1.7 |
Verenigingsverloven en het gebruik van verenigingswapens |
|||
|
4.2 |
Historisch militair materieel |
|||
|
4.2.1 |
Categorie III vuurwapens |
|||
|
4.2.2 |
Categorie II vuurwapens |
|||
|
4.2.3 |
Voorwaarden voor de verlening van een verlof/ontheffing |
|||
|
4.2.4 |
Voorschriften en beperkingen |
|||
|
4.2.5 |
Tijdelijk en incidenteel in gebruik afstaan van historisch militair materieel |
|||
|
5. |
Alarmwapens, noodsignaalmiddelen en toestellen voor beroepsdoeleinden |
|||
|
5.1 |
Startschoten bij sportwedstrijden |
|||
|
5.2 |
Trainen van honden op schotvastheid |
|||
|
5.3 |
Noodsignaalmiddelen |
|||
|
5.4 |
Dummy launchers en lijnwerptoestellen |
|||
|
5.5 |
Schiethamers en Schietmaskers |
|||
|
5.6 |
Verdovingsgeweren |
|||
|
5.7 |
Doden van losgebroken en/of gewond vee/wild |
|||
|
5.8 |
Doden van gekweekt grofwild |
|||
|
5.9 |
Jagen/beheer en bestrijding van schade |
|||
|
6. |
Zelfverdediging |
|||
|
6.1 |
Algemeen |
|||
|
6.2 |
Wapens aan boord van schepen |
|||
|
6.2.1 |
Piraterij |
|||
|
6.2.2 |
Voorschriften en beperkingen |
|||
|
7. |
Tijdelijk verhuur van wapens |
|||
|
8. |
Opbergen en het gemeenschappelijk gebruik van wapens |
|||
|
8.1 |
Deugdelijke bergplaats |
|||
|
8.2 |
Opslag van wapens en munitie bij schietverenigingen |
|||
|
8.3 |
Vuurwapens op een tijdelijk adres |
|||
|
8.4 |
Gemeenschappelijk gebruik van wapens |
|||
|
9. |
Toezicht op de naleving |
|||
|
9.1 |
Toezicht op verlofhouders en jachtaktehouders |
|||
|
9.2 |
Toezicht op schietverenigingen |
|||
|
9.3 |
Toezicht op ontheffinghouders |
|||
|
9.4 |
Toezicht op erkenninghouders |
|||
|
9.5 |
Toezicht op consenten |
|||
|
C. BIJLAGEN |
||||
|
C1 |
Beslissingsschema: vrijstelling o.g.v. artikel 18 van de Regeling wapens en munitie |
|||
|
C2 |
Omgebouwde stormgeweren die zijn toegestaan voor de schietsport |
|||
|
C3 |
Invulinstructie Europese vuurwapenpas |
|||
|
C4 |
Inlichtingenformulier eerste verlofaanvraag |
|||
|
C5 |
Inlichtingenformulier verlenging verlofaanvraag |
|||
|
C6 |
Model wapenuitgifteregister |
|||
|
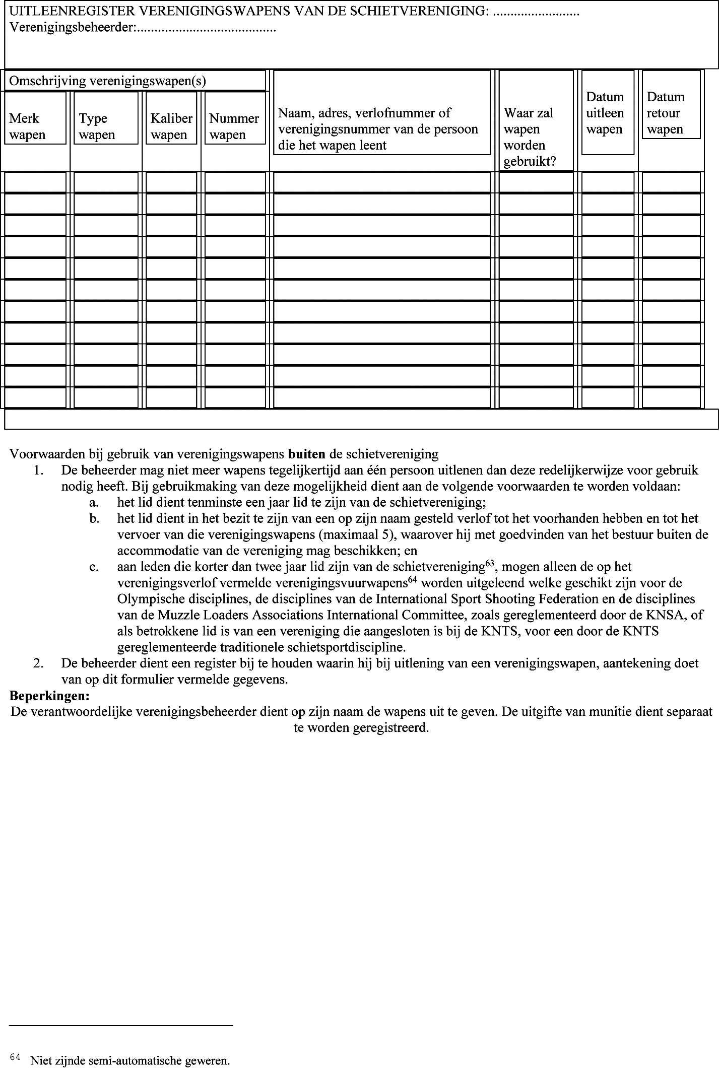
C7 |
Model wapenuitleenregister |
|||
|
C8 |
Model munitie-uitgifteregister |
|||
|
C9 |
Model introducéregister |
|||
De nationale regelgeving met betrekking tot wapens en munitie wordt gevormd door:
a. de Wet wapens en munitie (Stb. 1997, 292), hierna: WWM, en
b. de Regeling wapens en munitie (Stcrt. 1997, nr. 129), hierna: RWM.
Voor de thans geldende teksten van deze regelgeving wordt verwezen naar: www.overheid.nl
Naast dit formele kader is voor de uitvoering van de wapenwetgeving van belang de Circulaire wapens en munitie. De circulaire heeft een tweetal functies:
• algemene informatie over de uitvoering van de WWM en de RWM (Algemeen deel ‘A’)
• aanwijzingen van de Minister van Veiligheid en Justitie1 aan de korpschef en de Centrale Dienst voor In- en Uitvoer over het te voeren beleid bij de uitvoering van de WWM en RWM (Bijzonder deel ‘B’)
In onderdeel ‘C’ is een aantal bijlagen opgenomen.
De wapenwet- en regelgeving houdt het volgende in:
• Wapens en munitie zijn ingedeeld in verschillende categorieën (1.2);
• Per categorie gelden verschillende verboden. Deze verboden gelden in principe voor iedereen, maar voor bepaalde (beroeps-)groepen bestaan daarop uitzonderingen. Daarnaast gelden er vrijstellingen (algemene uitzonderingen) voor bepaalde wapen- en munitiecategorieën (1.3.2);
• Voor bepaalde wapen- en munitiecategorieën en handelingen, die in beginsel verboden zijn, kunnen vergunningen worden aangevraagd (1.4). Afhankelijk van het doel waarvoor de vergunning wordt verleend, wordt deze vergunning aangeduid met: ontheffing (1.4.2), erkenning (1.4.3), verlof (1.4.4) en consent (1.4.5.1).
Genoemde aspecten van de regelgeving met betrekking tot wapens en munitie worden hieronder bij de aangegeven paragrafen nader uitgewerkt.
De WWM heeft ten doel de openbare orde en veiligheid te waarborgen door het illegale bezit van wapens en munitie te bestrijden en legaal bezit zoveel mogelijk te beheersen. In de wapenwetgeving is omschreven welke voorwerpen als wapen worden aangemerkt en wat onder munitie moet worden verstaan.
Wapens en munitie zijn ingedeeld in verschillende categorieën. Voor elke categorie is in de WWM aangegeven welke handelingen met betrekking tot de wapens en munitie uit die categorie verboden zijn en op wie en wanneer dit van toepassing is. Ook is vastgelegd wanneer daarop een uitzondering van toepassing is. De bepalingen van de WWM zijn niet alleen van toepassing op wapens en munitie, maar tevens op bepaalde (essentiële) onderdelen van wapens en munitie.
In artikel 2, eerste lid, van de WWM is de categoriale indeling voor wapens te vinden. In artikel 2 van de RWM is een aantal wapens nader gedefinieerd. In het onderstaande overzicht is in het kort aangegeven welke wapens onder de verschillende categorieën vallen en welke soorten vergunningen daarvoor kunnen worden onderscheiden.
|
Categorieën |
Wapens |
Soort vergunning |
|---|---|---|
|
I |
Ongewenste niet-vuurwapens zoals stiletto’s, valmessen, werpsterren of werppennen, vlindermessen, boksbeugels, katapulten, pijlen en nepwapens. sommige messen die niet door metaaldetectoren kunnen worden herkend vallen onder deze categorie. |
Ontheffing. Relevante artikelen WWM: Artikel 4 en 13 |
|
II |
Militaire (vuur)wapens, zoals automatische vuurwapens en handgranaten en mijnen. Ook voorwerpen met giftige, verstikkende, weerloos makende en traan verwekkende stoffen zoals traangas en pepperspray, vallen binnen deze categorie. |
Ontheffing Relevante artikelen WWM: 4, 14, 22, 26, 27, 31 |
|
III |
Pistolen, revolvers, geweren, alarm- en start pistolen/revolvers, werpmessen en toestellen voor beroepsdoeleinden die geschikt zijn om projectielen af te schieten. |
Verlof (Ontheffing2) Relevante artikelen WWM: 4, 14, 22, 24, 26,27,28, 29, 31, 32 |
|
IV |
Blanke wapens (messen), zwaarden, degens, sabels, bajonetten, wapenstokken, lucht-, gas- en veerdrukwapens, harpoenen en kruisbogen. Ook voorwerpen die op zich niet als wapen bedoeld zijn, maar wel op die manier gebruikt kunnen worden (bijvoorbeeld een honkbalknuppel tijdens voetbalrellen of een keukenmes tijdens een gevecht) vallen onder bepaalde omstandigheden binnen deze categorie. |
Verlof (Ontheffing) (alleen voor het ‘dragen’) Relevante artikelen WWM: 4, 26, 27, 29, 31 |
Een vergunning voor wapens van categorie III en/of IV dient de aanvrager aan te vragen bij de Korpschef. Hiertoe kan de aanvrager zich in principe wenden tot de regionale eenheid van de politie van zijn woon- of verblijfplaats. Bij wijze van uitzondering verleent de Minister van Veiligheid en Justitie uit praktisch oogpunt ook ontheffingen voor categorie III en/of IV wapens indien de aanvraag bijvoorbeeld betrekking heeft op een evenement waarbij zowel wapens van categorie II als wapens van categorie III voorhanden worden gehouden.
De indeling van munitie volgt in grote lijnen de categorie-indeling voor vuurwapens. Categorie II heeft betrekking op munitie die specifiek bestemd is voor wapens van categorie II en zogenoemde ‘oorlogsmunitie’. Categorie III omvat alle overige munitie. Omdat de categorieën I en IV geen vuurwapens bevatten bestaat er geen categorie I noch categorie IV munitie. Munitie voor lucht- gas of veerdrukwapens is geen munitie in de zin van artikel 1, onder 4, van de WWM omdat het projectiel niet door middel van een vuurwapen wordt afgeschoten.
Artikel 3, eerste lid, van de WWM stelt dat de bepalingen betreffende wapens mede van toepassing zijn op onderdelen en hulpstukken die specifiek bestemd zijn voor die wapens en van wezenlijke aard zijn.
Uitgaande van deze bepaling kunnen met betrekking tot vuurwapens de hierna genoemde onderdelen worden aangemerkt als onderdelen waarop de WWM van toepassing is, omdat deze onontbeerlijk zijn voor het functioneren als vuurwapen, in sterke mate de werking van het vuurwapen mede bepalen, de werking van het vuurwapen kunnen wijzigen, dan wel het vuurwapen identificeren, hetzij door ingeslagen nummers hetzij door bij het afvuren sporen achter te laten op de patroonhuls of de kogel.
Onderdelen die onder de werking van de WWM vallen zijn:
De loop en de onderdelen die bestemd zijn om een vuurwapen (vol)automatisch te doen schieten en daarnaast de hieronder – niet limitatief – opgesomde onderdelen:
Specifiek voor de revolvers: de kast (frame), de loop en de cilinder.
Specifiek voor geweren: de kast (het frame), het magazijn, de bascule, het staartstuk, de loop en de grendel of afsluiter.
Specifiek voor pistolen de kast (het frame), het magazijn, de loop en de slede.
Voor een goed begrip wordt opgemerkt dat géén onderdeel van een wapen zijn: patroonschakels, patroonbanden, patroonhouders en laadstrips. Hieronder volgt een uitleg van deze begrippen.
Met ‘patroonschakel’ wordt gedoeld op een voorwerp geschikt om één patroon te omvatten en te worden gekoppeld aan een andere schakel, ofwel een patroon voorzien van een schakel zodanig dat een patroonband kan worden gevormd.
Met ‘patroonband’ op een (meestal) metalen voorwerp geschikt om meerdere patronen zijdelings te bundelen en bedoeld om de toe- of aanvoer van munitie in automatische wapens mogelijk te maken. Het bevat geen eigen aanbreng- of toevoermechanisme, maar beïnvloedt het functioneren van het wapen wel degelijk.
Met ‘patroonhouder’ wordt gedoeld op een voorwerp (bijvoorbeeld de Garand clip) bedoeld om meerdere patronen te bundelen teneinde het vervoer en/of het laden te vergemakkelijken en waarbij het invloed uitoefent op het functioneren van het wapen doordat het in het wapen wordt gebracht en daar ook de functie van patroon ‘houder’ vervult. Een patroonhouder bevat slechts patronen en is in tegenstelling tot een patroonmagazijn niet voorzien van enig aanbreng- of toevoermechanisme.
Met ‘laadstrip’ wordt gedoeld op een voorwerp bedoeld om meerdere patronen te bundelen met als enig doel om het vervoer en/of het laden te vergemakkelijken, terwijl het geen invloed heeft op het technisch functioneren van het wapen. Het heeft nadat het wapen is geladen geen enkel nut meer.
Artikel 3, tweede lid, van de WWM stelt dat de bepalingen betreffende munitie mede van toepassing zijn op onderdelen van munitie, voor zover die geschikt zijn om daarvan munitie te maken. Voor wat betreft munitie voor geweren, pistolen en revolvers worden daarvoor geschikt geacht: kogels, hulzen en slaghoedjes voor gebruik in hulzen. Percussiekapjes maken geen deel uit van een patroon of van een ander voorwerp dat bestemd of geschikt is om een projectiel door middel van een vuurwapen af te schieten en worden dan ook niet aangemerkt als onderdelen van munitie. Percussiekapjes mogen dan ook vrij voorhanden worden gehouden.
Los kruit is geen onderdeel van munitie en het voorhanden hebben van los zwart buskruit of rookzwak buskruit valt dan ook niet onder de werking van de WWM.
De bevoegdheid om munitie voorhanden te mogen hebben, vindt zijn grondslag in artikel 26, tweede lid, aanhef en onder a en b, van de WWM, alwaar is bepaald dat het voorhanden hebben uitsluitend is toegestaan voor houders van een verlof of jachtakte, voor zover dat verlof of jachtakte reikt.
Voor wat betreft hulzen dient nog opgemerkt te worden dat op grond van artikel 18, eerste lid, onder f, van de RWM het doen binnenkomen of uitgaan, vervoeren, voorhanden hebben en overdragen van kennelijk gebruikte lege patroon- en kardoeshulzen bestemd voor dan wel deel uitmakend van een verzameling, is vrijgesteld.
Artikel 17, aanhef en onder a, van de Rwm stelt verlofhouders en jachtaktehouders die munitie (met los kruit) herladen voor eigen gebruik, vrij van de verplichting om een erkenning als bedoeld in artikel 9, eerste lid, van de Wwm aan te vragen.
Op het bezit van los zwart buskruit of rookzwak buskruit is de Wet explosieven civiel gebruik (Wecg) van toepassing. In artikel 17 van de Wecg staat dat het verboden is om zonder erkenning explosieven – i.c. los kruit – te vervaardigen, op te slaan, te gebruiken, over te brengen of te verhandelen.
Houders van een verlof tot het voorhanden hebben van (wapens en) munitie of jachtaktehouders die vallen onder de vrijstelling van artikel 17 van de Rwm dienen er derhalve rekening mee te houden dat krachtens de Wet explosieven civiel gebruik (Wecg) los kruit niet zonder erkenning in de zin van de Wecg voorhanden mag worden gehouden.
In de wapenwetgeving zijn de diverse vormen van omgang met wapens en munitie in beginsel verboden. Zie bijvoorbeeld de artikelen 9, eerste lid, 13, eerste lid, 14, eerste lid, 22, eerste lid, 26, eerste en vijfde lid, 27, eerste lid, en 31, eerste en vierde lid, WWM. De verboden hebben betrekking op de specifiek in de betreffende artikelen genoemde categorieën van wapens en munitie.
De volgende soorten handelingen kunnen worden onderscheiden:
• Het dragen, dat wil zeggen: het onverpakt bij zich hebben van een wapen op de openbare weg of ander voor het publiek toegankelijke plaatsen. Onder dragen wordt niet alleen het aan/op het lichaam dragen van een wapen bedoeld (bijvoorbeeld door middel van een holster), maar ook het onmiddellijk binnen bereik hebben van een wapen. Als bijvoorbeeld de bestuurder van een auto een wapen onverpakt in zijn afgesloten achterbak meevoert dan valt dit ook onder de definitie van ‘dragen’3;
• Het voorhanden hebben, dat wil zeggen: op een bepaalde (privé)plaats over de wapens kunnen beschikken. Als bijvoorbeeld een vergunninghouder thuis een wapen in een kluis bewaart en hij zich vijftig kilometer van zijn huis bevindt, dan heeft hij dat wapen nog steeds voorhanden. Hij kan immers wanneer hij maar wil teruggaan naar zijn huis om het te pakken. Voorhanden hebben betekent dus niet dat men een wapen letterlijk binnen handbereik moet hebben;
• Het overdragen, dat wil zeggen: het aan een ander doen overgaan van de feitelijke macht. Hieronder valt zowel het doen toekomen (laten bezorgen) als het feitelijk ter hand stellen daarvan. Ook het tijdelijk afstaan van een wapen is volgens de memorie van toelichting overdragen in de zin van artikel 1 van de WWM. Niet elk tijdelijk afstaan wordt echter aangemerkt als ‘overdragen’. Zo zijn er in de regeling c.q. deze circulaire een aantal uitzonderingen opgenomen voor het schieten met (verenigings)vuurwapens en het schieten binnen het kader van de schietsportcentra. Zolang dit schieten gebeurt onder het directe toezicht van een daartoe bevoegd persoon is er geen sprake van ‘overdragen’ in de zin van de WWM;
• Het vervoeren, dat wil zeggen: het deugdelijk verpakt (bijvoorbeeld in een foedraal, tas of koffer) transporteren van wapens en munitie;
• Het doen binnenkomen en uitgaan, dat wil zeggen: het binnen het grondgebied van Nederland komen, respectievelijk het verlaten van het grondgebied van Nederland;
• Het doorvoeren, dat wil zeggen: binnenkomen gevolgd door uitgaan;
• Het vervaardigen, het transformeren, of in de uitoefening van een bedrijf uitwisselen of anderszins ter beschikking stellen, herstellen, beproeven of verhandelen van wapens.
Opgemerkt wordt dat sprake is van transformeren van vuurwapens indien een handeling wordt uitgevoerd zoals beschreven in bijlage II van de RWM of voor zover de werking of de uitwerking van het wapen of de munitie wordt gewijzigd of de omvang van de onderdelen van wezenlijke aard worden gewijzigd. Daarbij kan het om zowel machinale als niet-machinale bewerking gaan. Het wisselen van onderdelen of het aanbrengen van optische hulpmiddelen valt niet onder het begrip transformeren.
Van sommige van de genoemde verboden handelingen is door de Minister van Veiligheid en Justitie vrijstelling verleend. Een vrijstelling is een algemene uitzondering op een wettelijk verbod. Een vrijstelling hoeft niet te worden aangevraagd (in tegenstelling tot een vergunning; zie onderdeel A 1.4) en geldt voor bepaalde groepen van personen of wapens en munitie. Deze vrijstellingen zijn te vinden in de paragrafen 9 tot en met 15 en 17 van de RWM. Een vrijstelling kan alleen worden verleend indien de WWM daarvoor een wettelijke basis biedt. In de vrijstellingsbepalingen is omschreven in welke gevallen en onder welke voorwaarden een bepaald verbod niet geldt.
Voorbeelden van vrijstellingen zijn:
• vrijstelling erkenningsplicht (artikel 14 e.v. RWM);
• vrijstelling airsoft apparaten voor gebruik in sportverenigingsverband (artikel 17a tot en met g RWM);
• vrijstelling voor wapens die het karakter dragen van oudheden (artikel 18 RWM);
• vrijstelling voor stroomstootwapens en noodsignaalmiddelen (artikel 21 e.v. RWM);
• vrijstelling voor wapens van categorie IV (artikel 26 e.v. RWM);
• vrijstelling voor ceremoniële wapens, optochten en studentenweerbaarheidsverenigingen (artikel 30 e.v. RWM);
• Vrijstelling voor schepen en luchtvaartuigen (artikel 33 e.v. RWM);
• Vrijstellingen voor sportschutters en jagers voor buitenlandse activiteiten (artikel 39 e.v. RWM);
• Vrijstellingen voor vervoer (artikel 44 e.v. RWM).
In de wet zijn uitzonderingen opgenomen met betrekking tot een aantal van de genoemde verboden handelingen. Sommige uitzonderingen betreffen (nagenoeg) alle verboden handelingen, andere hebben slechts betrekking op een enkele nader aangegeven handeling. In het artikel van de WWM waarin de uitzondering is opgenomen, is bepaald op welke verboden handeling de uitzondering betrekking heeft. Genoemd worden:
• Uitzondering op het verbod wapens of munitie van de categorie III voorhanden te hebben voor personen die houder zijn van een verlof of een jachtakte (artikel 26, tweede lid WWM);
• Uitzondering op het verbod een wapen van categorie III te dragen voor personen die houder zijn van een daartoe strekkend verlof of een jachtakte (artikel 27, tweede lid, WWM);
• Uitzondering op het verbod een wapen of munitie van categorieën II en III over te dragen voor personen die gerechtigd zijn het wapen of de munitie voorhanden te hebben (artikel 31, tweede lid, WWM).
Een belangrijke uitzondering heeft de wetgever daarnaast gemaakt voor de krijgsmacht, de politie, de buitengewone opsporingsambtenaren en de ‘overige openbare dienst’. Deze uitzonderingen zijn neergelegd in artikel 3a van de WWM, en worden hieronder nader toegelicht in onderdeel A 1.3.4.
In artikel 3a van de WWM is bepaald welke verbodsbepalingen uit de WWM niet van toepassing zijn op de krijgsmacht, de politie, de buitengewoon opsporingsambtenaren en ander openbare diensten. In alle gevallen geldt dat de uitzonderingsbepaling alleen van toepassing is voor zover de desbetreffende Minister(s) dit bij regeling heeft/hebben bepaald. Op grond van het vierde lid van artikel 3a van de WWM kan in een dergelijke regeling worden bepaald dat de uitzonderingsbepaling ook van toepassing is op niet-Nederlandse krijgsmacht, politie of openbare dienst. In de hieronder volgende onderdelen zal per groep een korte toelichting worden gegeven.
Krachtens artikel 3a, eerste lid, van de WWM zijn de artikelen 9, eerste lid, 13, eerste lid, 14, eerste lid, 22, eerste lid, 26 eerste lid, en 27 eerste lid, niet van toepassing op de krijgsmacht. Zij zijn evenmin van toepassing op personen die daarvan deel uitmaken of daarvoor werkzaam zijn, voor zover Onze Minister van Defensie dit bij regeling heeft bepaald.
In de ‘Regeling wapens en munitie krijgsmacht personeel’ (Stcrt. 1996, 250) heeft de Minister van Defensie deze uitzonderingsbepaling nader uitgewerkt. Naast Nederlands en niet-Nederlands krijgsmacht personeel in werkelijke dienst ziet deze regeling ook toe op burgerambtenaren in dienst van de Minister van Defensie die belast zijn met de uitoefening van een beveiligings- of bewakingstaak, werkzaam zijn bij een materieel beproevings- of onderhoudsafdeling dan wel werkzaam zijn bij een schietinrichting of vervoersdienst van wapens en munitie.
Ook civiele contractspartijen, voor zover deze door de Minister van Defensie zijn belast met het vervoer van wapens en munitie, vallen onder de werking van deze regeling. Zo mogen transportbedrijven wapens en munitie van de categorie II en III vervoeren, voorhanden hebben, doen binnenkomen of uitgaan voor zover de opdracht daartoe, door de Minister van Defensie, blijkt uit door hen mee te voeren documenten.
Krachtens artikel 3a, tweede lid, van de WWM zijn de artikelen 9, eerste lid, 14, eerste lid, 22, eerste lid, 26 eerste lid, en 27 eerste lid, niet van toepassing op de politie. Deze artikelen zijn evenmin van toepassing op personen die daarvan deel uitmaken of daarvoor werkzaam zijn, voor zover de Minister van Veiligheid en Justitie en de Minister van Binnenlandse Zaken en Koninkrijksrelaties dit bij regeling hebben bepaald.
Het Besluit bewapening en uitrusting politie werkt deze uitzonderingsbepaling uit en geeft de politie uitsluitend de bevoegdheid tot het voorhanden hebben en dragen van wapens en munitie die zijn opgenomen in de officiële bewapening van de politie. Het voorhanden hebben van niet in het besluit genoemde wapens – bijvoorbeeld ten behoeve van onderwijs en instructiedoeleinden – is op grond van deze regeling niet toegestaan. Wel bestaat de mogelijkheid om (voor individuele gevallen), op grond van de artikelen 4 en 13 van de WWM, een ontheffing aan te vragen bij de Minister van Veiligheid en Justitie. Tevens kan de Minister van Veiligheid en Justitie besluiten om hiervoor een vrijstelling te verlenen.
Krachtens artikel 3a, derde lid, WWM, zijn de verboden van de artikelen 14, eerste lid, 22, eerste lid, 26, eerste lid, en 27, eerste lid, niet van toepassing op de overige openbare dienst en personen die daarvan deel uitmaken of daarvoor werkzaam zijn, daaronder begrepen buitengewoon opsporingsambtenaren, voor zover de Minister van Veiligheid en Justitie dit bij regeling heeft bepaald.
In de artikelen 4 en 5 van de RWM heeft de Minister van Veiligheid en Justitie het bepaalde in artikel 22, eerste lid, 26, eerste lid en 27, eerste lid WWM, niet van toepassing verklaard op buitengewoon opsporingsambtenaren, voor zover hen door de Minister van Veiligheid en Justitie het voorschrift is gegeven om gedurende hun dienstuitoefening een wapen of munitie voorhanden te hebben. Het voorschrift is slechts van kracht gedurende de periode dat de buitengewoon opsporingsambtenaar (boa) beschikt over een titel van opsporingsbevoegdheid (al dan niet voor het gehele land). De Minister van Veiligheid en Justitie kan aan een voorschrift voorwaarden en beperkingen verbinden met betrekking tot de veiligheid, de opslag, de bekwaamheid in de omgang met wapens en munitie en het vervoer van wapens of munitie (zie artikel 5, tweede lid, RWM).
Voor wat betreft de bewapening van de buitengewoon opsporingsambtenaar is er aansluiting gezocht bij de bewapening van de politie. De bewapening kan echter ook bestaan uit andere wapens voor zover de Minister van Veiligheid en Justitie dit noodzakelijk acht voor een goede en verantwoorde uitoefening van de aan de boa opgedragen taak. Vuurwapens en munitie van buitengewoon opsporingsambtenaren worden aangeschaft en afgevoerd via het Politie Dienstencentrum nationale politie(PDC).
Meer informatie (waaronder de relevante wet- en regelgeving) over buitengewoon opsporingsambtenaren kunt u vinden op de website van het Ministerie van Veiligheid en Justitie: http://www.rijksoverheid.nl/ministeries/venj
Krachtens artikel 3a, derde lid, van de WWM zijn de artikelen 14, eerste lid, 22, eerste lid, 26, eerste lid, en 27, eerste lid, WWM, niet van toepassing op de overige openbare dienst en op personen die daarvan deel uitmaken of daarvoor werkzaam zijn, voor zover de Minister van Veiligheid en Justitie dit bij regeling heeft bepaald.
Een dergelijke regeling wordt door de Minister van Veiligheid en Justitie slechts vastgesteld, indien de noodzaak tot bewapening voor het desbetreffende onderdeel van de openbare dienst of voor de desbetreffende groep personen die daarvan deel uitmaken of daarvoor werkzaam zijn, aannemelijk is gemaakt en hun bekwaamheid in de omgang met wapens is gebleken. Bij de beoordeling van de noodzaak gelden de criteria zoals die hiervoor zijn gegeven voor de buitengewoon opsporingsambtenaren.
In artikel 7 RWM wordt vrijstelling verleend van het verbod van artikel 14, eerste lid, 22, eerste lid en artikel 26, eerste lid WWM, aan personen die werkzaam zijn bij het Nederlands Forensisch Instituut of de afdeling Logistiek van het PDC van de nationale politie, voor zover het doen binnenkomen of uitgaan, het vervoeren of het voorhanden hebben geschiedt uit hoofde van de dienstuitoefening.
Overheidsfunctionarissen die op basis van de RWM niet in aanmerking komen voor de uitrusting met een wapen, ten aanzien waarvan de noodzaak daartoe vaststaat, hebben een redelijk belang bij het voorhanden hebben en kunnen zich tot de korpschef wenden met het verzoek om een verlof op grond van artikel 28 WWM. Gedacht kan worden aan leden van het Openbaar Ministerie of de zittende magistratuur die te maken hebben met een serieuze en concrete bedreiging van hun veiligheid, terwijl niet op andere wijze in hun veiligheid kan worden voorzien. Verlening van een verlof op deze grondslag is zo mogelijk van tijdelijke aard. Overleg met het ministerie is voorgeschreven.
Naast de algemene vrijstellingen, genoemd in onderdeel A 1.3.2, kunnen er op grond van de WWM individuele vergunningen worden verleend voor het verrichten van specifieke verboden handelingen met wapens en/of munitie. Dergelijke vergunningen moeten worden aangevraagd bij de Minister van Veiligheid en Justitie, de korpschef of de Centrale Dienst voor In- en Uitvoer (CDIU).
Korpschef van de nationale politie.
De korpschef van de nationale politie is ingevolge de Wet wapens en munitie bevoegd tot het nemen van beslissingen op aanvragen van verloven, het wijzigen hiervan of het intrekken hiervan. De korpschef is hiermee formeel het bestuursorgaan dat beslissingen ter zake kan nemen. In het mandaatbesluit politie, heeft de korpschef de uitoefening van deze taken gemandateerd aan de politiechefs van de regionale eenheden. Krachtens dat mandaat dienen aanvragers zich te wenden tot de politiechef van de eenheid waarbinnen hun woon- of verblijfplaats is gelegen. In de Circulaire zal voor de uitvoering van bepaalde taken dan ook verwezen worden naar de politiechef van de regionale eenheid.
Soorten vergunningen
• Een ontheffing is een individuele uitzondering op een wettelijk verbod.
De Minister van Veiligheid en Justitie kan voor wapens of munitie, behorend tot een van de in artikel 4 WWM genoemde groepen van wapens en munitie dan wel voor één van de in artikel 13, tweede lid, WWM genoemde situaties, op daartoe strekkend verzoek, ontheffing verlenen van bij of krachtens de WWM vastgestelde voorschriften of verboden. Deze ontheffingsmogelijkheid wordt door de Minister van Veiligheid en Justitie terughoudend toegepast.
• Een verlof is een vergunning voor een bepaalde handeling.
Een verlof moet worden aangevraagd bij de regionale eenheid van politie van de woon- of verblijfplaats van de aanvrager. Een verlof is geldig voor een periode van maximaal één jaar. Deze termijn kan worden verlengd, indien aan de vereisten voor de verlening daarvan wordt voldaan.
• Een erkenning is een vergunning voor het bedrijfsmatig hanteren van wapens (verkoop, verhuur, reparatie, enz.). Een erkenning moet worden aangevraagd bij de regionale eenheid van politie in de plaats waar de aanvrager is gevestigd. Een erkenning is geldig voor maximaal vijf jaar en kan telkens met vijf jaar worden verlengd.
• Een consent is een vergunning tot invoer, uitvoer of doorvoer. Een consent moet worden aangevraagd bij de CDIU en wordt ook afgegeven door de CDIU. Een consent is geldig voor eenmalige invoer of uitvoer en als het gaat om doorvoer, dan is het consent geldig voor zowel de in- als de uitvoer.
Verlenen, weigeren en intrekken van vergunningen
Wanneer de aanvraag van een vergunning in behandeling is genomen zal moeten worden beoordeeld of het gevraagde document kan worden verleend. De WWM kent een aantal algemene weigeringsgronden in artikel 7, eerste lid, WWM. Is voldaan aan één van deze gronden dan moet de vergunning worden geweigerd. Er is dus geen beleidsvrijheid voor het behandelend bestuursorgaan. Daarnaast kent de WWM de bijzondere weigeringsgronden die alleen gelden voor een bepaalde vergunning. Deze zijn niet opgenomen in één artikel maar zijn verspreid in de tekst van de WWM, afhankelijk van het soort vergunning, in verschillende artikelen te vinden.
Vergunningen kunnen onder beperkingen en nadere voorschriften worden verleend. Dit is geregeld in artikel 6 van de WWM.
Eenmaal verleende vergunningen kunnen worden ingetrokken. Intrekking geschiedt door het bestuursorgaan dat de vergunning heeft verleend of door de Minister van Veiligheid en Justitie. De WWM kent zowel algemene intrekkingsgronden die van toepassing zijn op alle soorten vergunningen, als bijzondere intrekkingsgronden die alleen van toepassing zijn op erkenningen. De algemene intrekkingsgronden, neergelegd in artikel 7, tweede lid, WWM, zijn facultatief. Dat wil zeggen dat er beleidsvrijheid bestaat ter zake van de te nemen beslissing. Dit geeft het bestuursorgaan de mogelijkheid de reeds verstrekte vergunning niet in te trekken maar te wijzigen. Dit kan op dezelfde gronden – genoemd in artikel 7, tweede lid – die voor intrekking gelden. De bijzondere intrekkingsgronden voor erkenningen, neergelegd in artikel 12 WWM, zijn eveneens facultatief.
Indien een verlof is ingetrokken dient het verlofdocument te worden ingeleverd bij de korpschef.
Documenten
In bijlage III bij de RWM zijn de bij die regeling vastgestelde modellen van erkenningen, verloven en consenten opgenomen. De ontheffing valt daar niet onder. Naast de modellen met voorgedrukte tekst, is er een blanco model WM 26, bruikbaar voor alle soorten verloven en geschikt voor geautomatiseerde verwerking. Het model WM 26 dient alle – voor het toepasselijke verlof geldende beperkingen en voorschriften alsmede de voor dat verlof geldende (overige) standaard teksten – te bevatten. Het model WM 27 dient als bijlage bij model WM 26 te worden gebruikt indien de ruimte op het model WM 26 ontoereikend is voor de vermelding van het aantal vuurwapens of de munitie waarop het verlof betrekking heeft.
Aangezien op een groot aantal plaatsen in de WWM staat aangegeven dat een aanvrager van een van de hiervoor genoemde documenten de door de Minister van Veiligheid en Justitie vastgestelde gegevens moet overleggen, zijn er tevens modellen vastgesteld voor de aanvraagformulieren. In deze formulieren zijn de vragen opgenomen die leiden tot de verstrekking van de vereiste gegevens.
Teneinde te bereiken dat er niet alleen ten aanzien van de inhoud maar ook ten aanzien van de uitvoering eenvormigheid ontstaat, wordt hierbij de aanwijzing gegeven dat de documenten op grond waarvan een bevoegdheid ontstaat (erkenningen en verloven) dienen te worden besteld bij de:
SDU Klantenservice
Postbus 20014
2500 EA Den Haag
(de bestelnummers staan op het model vermeld).
De aanvraagformulieren kunnen eveneens bij de SDU worden besteld, maar mogen ook, mits zij voldoen aan het voorgeschreven model, worden besteld bij andere uitgeverijen of in eigen beheer worden vervaardigd.
Bij de aanvraag van de verschillende documenten is de aanvrager een vergoeding verschuldigd. De bedragen van deze vergoedingen zijn vastgesteld in artikel 50 van de RWM.
Een ontheffing is een individuele uitzondering op het wettelijke verbod om (onderdelen van) wapens of munitie te bezitten, en wordt toegekend aan personen die voldoen aan de in de WWM gestelde, en in deze circulaire uitgewerkte voorwaarden. In principe gaat het hierbij om categorie I en II wapens of categorie II munitie, maar in bepaalde uitzonderlijke gevallen kan ook voor categorie III en IV wapens of categorie III munitie ontheffing worden verleend. Een ontheffing moet worden aangevraagd bij de Minister van Veiligheid en Justitie. De Minister kan een ontheffing verlenen op grond van artikel 4 van de WWM, bijvoorbeeld ten behoeve van re-enactment (het nabootsen van historische veldslagen), voor wapens die deel uitmaken van zogenaamd historisch rollend materieel (bijvoorbeeld legervoertuigen die deelnemen aan militaire parades, herdenkingen en optochten) en voor wapens ten behoeve van musea.
Voor categorie I wapens bevat artikel 13, tweede lid, van de WWM een aantal specifieke ontheffingsgronden. Hierbij gaat het om gebruik van wapens door de krijgsmacht, onderwijs ten behoeve van de politie en de overige openbare dienst en de doorvoer van wapens.
Voor het aanvragen van een ontheffing bestaat een speciaal formulier: ‘Verzoek om ontheffing ex artikel 4 van de Wet wapens en munitie’. Dit formulier is te downloaden van de website van het Ministerie van Veiligheid en Justitie of aan te vragen bij het werkproces Wet wapens en munitie van de Dienst Justis, waar de aanvraag overigens ook ingediend moet worden. Daarnaast dient de aanvrager van een ontheffing het inlichtingenformulier dat als bijlage C4 (of bij een verlenging in bijlage C5) is opgenomen, in te vullen. Ook een verlenging, uitbreiding of wijziging van een ontheffing dient schriftelijk aangevraagd te worden en wordt behandeld als een (nieuwe) aanvraag.
Nadat het aanvraagformulier met alle bijlagen (in tweevoud) is ontvangen, wordt een uittreksel uit het Justitieel Documentatieregister opgevraagd. Daarna wordt de korpschef van de nationale politie om inlichtingen en advies gevraagd. Voor dit advies bestaat een formulier: ‘Advies van de korpschef inzake een verzoek om een ontheffing op grond van de Wet wapens en munitie’. Dit formulier is als Word document aan alle regio's gestuurd, maar het is ook te downloaden van de website van het Ministerie van Veiligheid en Justitie.
Na ontvangst van het advies van de korpschef vindt de beoordeling van het verzoek plaats. De aanvraag wordt in principe binnen een termijn van dertien weken afgehandeld. Indien nodig kan deze termijn met zes weken worden verlengd.
Zoals dat ook geldt bij de aanvraag van een verlof dient de aanvrager van een ontheffing een ‘redelijk belang’ te hebben en mag er ten aanzien van de aanvrager geen ‘vrees voor misbruik’ bestaan.
Enkele voorbeelden van bezigheden waarvoor ontheffingen kunnen worden verleend zijn: Het houden van een verzameling vuurwapens of munitie van categorie II, het werken als gerechtelijk deskundige op een relevant vakgebied, het deelnemen aan re-enactment uitvoeringen, het completeren van historisch materieel, het beoefenen van de schietsportdiscipline 'miniatuur kanon' of het geven van saluutschoten met een kanon bij ceremoniële gelegenheden en herdenkingstochten.
Wanneer de aanvrager aan alle eisen voldoet en de onkostenvergoeding voor de behandeling van de aanvraag is betaald, wordt een ontheffing verleend, die vervolgens door tussenkomst van de korpschef wordt uitgereikt. De korpschef registreert deze ontheffingen. Indien in de ontheffing als voorwaarde is opgenomen dat de ontheffing alleen geldig is in combinatie met een verlof, dan dient de korpschef aan de ontheffing houder een verlof te verstrekken waarop de individuele wapens dienen te worden vermeld. Deze voorwaarde wordt vaak gesteld vanwege het feit dat er op die manier beter toezicht mogelijk is op de ontheffing houder Een ontheffing is in principe maximaal vijf jaren geldig.
Indien de aanvrager niet aan alle eisen voldoet (bijvoorbeeld géén redelijk belang heeft, of als er vrees voor misbruik bestaat) dan wordt de aanvrager meegedeeld dat de Minister voornemens is zijn aanvraag af te wijzen. De aanvrager krijgt vervolgens de gelegenheid om zijn zienswijze op dit voornemen kenbaar te maken. Pas hierna wordt een definitieve beslissing genomen op de aanvraag.
Een reeds verleende ontheffing kan ook weer worden ingetrokken door de Minister wanneer daar aanleiding voor is. Dit gebeurt meestal op advies van de korpschef, bijvoorbeeld nadat er onregelmatigheden zijn geconstateerd. Indien het verlof van de betrokkene wordt ingetrokken door de korpschef dan zal de (bijbehorende) ontheffing ook worden ingetrokken door de Minister.
Bij zowel een weigering als een intrekking van een ontheffing bestaat er de mogelijkheid om tegen die beslissing een bezwaarschrift in te dienen. Een dergelijk bezwaar wordt ingediend bij de instantie die het besluit heeft genomen, in dit geval de Minister van Veiligheid en Justitie.
Degene die wapens of munitie wil vervaardigen, transformeren of in de uitoefening van een bedrijf wil uitwisselen, verhuren of anderszins ter beschikking stellen, herstellen, beproeven of verhandelen mag dat alleen wanneer hij over een erkenning beschikt.
De belangrijkste bepalingen omtrent de verlening van erkenningen zijn te vinden in de artikelen 9 tot en met 12 van de WWM en de artikelen 8 tot en met 17 van de RWM.
Naast de eisen van zedelijk gedrag, gesteld aan de aanvrager of, indien deze een bedrijf uitoefent, de beheerder in artikel 10, eerste lid, aanhef en onder a, van de WWM, geldt ingevolge de artikelen 7 en 10, eerste lid, onder c, WWM dat er geen vrees voor misbruik mag bestaan, dan wel er geen aanwijzingen mogen zijn dat aan de aanvrager of de beheerder het onder zich hebben van wapens of munitie niet (langer) kan worden toevertrouwd. Beide aspecten worden nader toegelicht en uitgewerkt in onderdeel B 1.
Voor een aantal specifieke gevallen is vrijstelling verleend van het verbod van artikel 9, eerste lid, van de WWM. In die gevallen behoeft derhalve niet over een erkenning te worden beschikt. Deze gevallen zijn omschreven in paragraaf 9 van de RWM. Daarnaast wordt in de artikelen 10, 11, tweede lid en 12, eerste en tiende lid, van de RWM, ook nog een aantal vrijstellingen gegeven van enkele specifieke eisen.
Voor de erkenninghouder of beheerder die (slechts) handelt in lucht-, gas-, of veerdrukwapens van categorie IV, patroonmagazijnen als bedoeld in artikel 18, onder g, RWM, stroomstootwapens als bedoeld in artikel 21 van de RWM (de zogenaamde ‘vee prikkers’) of de in artikel 22 RWM vrijgestelde noodsignaalmiddelen met bijbehorende munitie, gelden tenslotte afwijkende registereisen.
Wapens van categorie I
Artikel 13, eerste lid, van de WWM, verbiedt het vervaardigen, transformeren, voor derden herstellen, overdragen, voorhanden hebben, dragen, vervoeren, doen binnenkomen of doen uitgaan van wapens van categorie I.
De wet maakt, in artikel 3a, eerste lid, WWM, een uitzondering op dit verbod, namelijk voor de krijgsmacht en voor personen die daarvan deel uitmaken of daarvoor werkzaam zijn. Die uitzonderingsbepaling ziet echter niet op derden – bijvoorbeeld wapenhandelaren – die de in artikel 13, eerste lid, genoemde handelingen verrichten met wapens van categorie I met het oog op gebruik door de krijgsmacht.
Om aan deze behoefte tegemoet te kunnen komen wordt de Minister van Veiligheid en Justitie in het tweede lid van artikel 13 de mogelijkheid gegeven om, onverminderd het bepaalde in artikel 9 WWM, bij wijze van uitzondering ontheffing te verlenen van een of meer verboden genoemd in het eerste lid van artikel 13, met het oog op gebruik door de krijgsmacht. Zodoende kan – bijvoorbeeld – ontheffing worden verleend aan een wapenhandelaar om wapens van categorie I te doen binnenkomen teneinde deze over te dragen aan de krijgsmacht.
Voorts wordt op basis van artikel 4, eerste lid, onder e, WWM een uitzondering voor airsoft apparaten gecreëerd, op het algemene verbod dat voor Categorie I wapens geldt. Zie in dit kader ook onderdeel B2.9. van deze Circulaire.
Behoudens deze bijzondere situaties is het door derden verrichten van erkenning plichtige handelingen met betrekking tot wapens van categorie I niet toegestaan. Naast de – door de Minister van Veiligheid en Justitie te verlenen – ontheffing is ook een erkenning van de korpschef nodig.
Wapens en munitie van categorie II
Als regel zal de erkenning slechts gelden voor wapens en munitie van categorie III. De erkenning zal eerst tevens betrekking kunnen hebben op vuurwapens en munitie van categorie II, indien de aanvrager (erkenninghouder) gedurende een onafgebroken periode van drie jaar – zonder wanklank – heeft gehandeld in vuurwapens van categorie III. In de tweede plaats zal de aanvrager aan de hand van verifieerbaar schriftelijk bewijsmateriaal onomstotelijk aan moeten kunnen tonen dat hij beschikt over concrete en structurele afzetmogelijkheden van dergelijke wapens of munitie aan bevoegden zoals de overheid, verzamelaars, re-enacters, bezitters van historisch militair materieel en rekwisietenbedrijven. Tenslotte dient de bedrijfsruimte van de erkende in dat geval te voldoen aan de gekwalificeerde veiligheidseisen, opgenomen in bijlage IV bij de RWM.
De Tweede Kamer heeft in het vergaderjaar 1996-1997 een motie (de motie Houda) aangenomen. Hierin wordt de regering verzocht een uitdrukkelijk verbod uit te vaardigen voor de productie van anti-personeel mijnen. Hoewel de Wet wapens en munitie niet de mogelijkheid biedt voor een uitdrukkelijk formeel verbod, biedt het wel de mogelijkheid tot een feitelijk verbod op de productie van anti-personeel mijnen, namelijk door uitdrukkelijk het vervaardigen van deze mijnen uit te sluiten van erkenningen ter zake van categorie II wapens.
Aan de kamer is toegezegd dat alle nieuwe erkenningen voor de categorie II uitdrukkelijk de uitsluiting van het vervaardigen van anti-personeel mijnen zullen bevatten. Hierbij zijn voor de duidelijkheid inbegrepen de erkenningen die (thans) tot bepaalde wapens of explosieven zijn beperkt.
Vervoer
Ingevolge het bepaalde in het vierde lid van artikel 9 WWM, kan de korpschef, indien een redelijk belang dit vordert, bepalen dat de erkenning tevens inhoudt vergunning tot het vervoer van wapens en munitie. Er behoeft derhalve geen afzonderlijk document met het oog op het vervoer te worden verleend. De toestemming van de korpschef om wapens en munitie te vervoeren, kan op verzoek en indien een redelijk belang daartoe aanleiding geeft, worden opgenomen op het erkenningsdocument (model WM 16 in bijlage III bij de RWM).
Bovendien wordt in artikel 46, eerste lid RWM, aan personen in dienst van houders van een erkenning, vrijstelling verleend van het verbod om wapens en munitie te vervoeren.
Erkenningen worden verleend door de korpschef. De erkenningen hebben een geldigheidsduur van ten hoogste vijf jaar. De geldigheidsduur van een erkenning kan telkens met ten hoogste vijf jaar worden verlengd.
Erkenningen kunnen onder beperkingen worden verleend, terwijl daaraan tevens voorschriften kunnen worden verbonden (zie artikel 6 van de WWM).
Voor de beperkingen en voorschriften, die aan een erkenning zullen worden verbonden, wordt verwezen naar het model van de erkenning, zoals opgenomen in bijlage III bij de RWM (model WM 16).
De aanvraag voor verlening en verlenging van een erkenning dient te worden ingediend bij de korpschef. Ze moeten feitelijk worden aangevraagd bij de regionale eenheid van de nationale politie, waar het bedrijf – waar de activiteiten worden uitgeoefend – is gevestigd. Een verzoek tot verlenging kan mondeling worden gedaan onder gelijktijdige overlegging van de noodzakelijke documenten. Bij een aanvraag voor een nieuwe erkenning dient gebruik te worden gemaakt van het voorgeschreven aanvraagformulier.
De korpschef verifieert de gegevens op het aanvraagformulier en onderzoekt (artikel 7, 10 en 12 WWM):
• of er reden is om te vrezen dat van de erkenning dan wel van de wapens of de munitie misbruik zal worden gemaakt;
• of de aanvrager of de beheerder het onder zich hebben van wapens en munitie kan worden toevertrouwd;
• of de aanvrager of de beheerder voldoet aan de door de Minister van Veiligheid en Justitie vastgestelde eisen met betrekking tot leeftijd, zedelijk gedrag en vakbekwaamheid;
• of de handelingen en de soorten en aantallen wapens en munitie, die op het aanvraagformulier zijn vermeld, naar het oordeel van de korpschef verenigbaar zijn met de activiteiten welke gewoonlijk in de vestiging (zullen) worden verricht;
• of en op welke wijze wordt voldaan aan de in artikel 11 RWM gestelde veiligheidseisen;
• of er (overige) feiten of omstandigheden zijn die op de beslissing omtrent de verlening, dan wel op de aan de erkenning te verbinden voorschriften of beperkingen, van invloed kunnen zijn;
• of er sprake is van dringende, aan het algemeen belang ontleende, redenen die verlening in de weg staan.
Het verdient daarbij aandacht dat de erkenning slechts betrekking heeft op het daarin genoemde onderdeel van de onderneming. Iedere vestiging dient te beschikken over een afzonderlijke beheerder. Derhalve is het niet mogelijk dat twee of meer erkenningen worden verleend op naam van dezelfde beheerder.
Bij verlenging onderzoekt de korpschef tevens:
• of de erkenninghouder de juiste gegevens heeft verstrekt;
• of er aanwijzingen zijn dat aan de erkenninghouder of de beheerder het onder zich hebben van wapens of munitie niet langer kan worden toevertrouwd;
• of er sprake is van misbruik van de erkenning dan wel van wapens of munitie;
• of nog altijd wordt voldaan aan de vereisten voor verlening;
• of de aan de erkenning verbonden beperkingen of voorschriften in acht zijn genomen;
• of de erkenninghouder het register heeft bijgehouden op de wijze als in artikel 12 RWM is voorgeschreven;
• of de erkenninghouder, dan wel de beheerder bij verkrijging van wapens van categorie III van verlofhouders respectievelijk jachtaktehouders, consequent aan hen ontvangstbewijzen, zoals bedoeld in artikel 13 RWM (voor model zie bijlage III bij de RWM), heeft verstrekt;
• of in de eerder bestaande situatie wijzigingen zijn opgetreden die van invloed kunnen zijn op de verlenging van de erkenning respectievelijk de daaraan verbonden voorschriften en/of beperkingen;
• of de houder van een erkenning gedurende een periode van tenminste één jaar de handelingen waarop de erkenning betrekking heeft, niet heeft verricht;
• of er sprake is van dringende, aan het algemeen belang ontleende, redenen die verlenging in de weg staan.
De regionale eenheden van de politie stellen elkaar onverwijld onderling in kennis van de verlening, verlenging, wijziging of intrekking van een erkenning. Deze kennisgeving geschiedt door het toezenden van een kopie van de verleende erkenning, respectievelijk het intrekkingsbesluit. Tegen beslissingen van de korpschef staat administratief beroep open bij de Minister van Veiligheid en Justitie (artikel 34 WWM).
Van de verlenging van de geldigheidsduur van een erkenning wordt aantekening gemaakt in het eerder aan de betrokkene uitgereikte document. Zo nodig, bijvoorbeeld indien het document is beschadigd of onleesbaar is geworden, kan bij de verlenging van de geldigheidsduur ook een nieuw document worden uitgereikt.
Een erkenning kan door de korpschef (zie artikel 7, tweede lid en artikel 12 WWM) of door de Minister van Veiligheid en Justitie (zie artikel 7, tweede lid, WWM) worden ingetrokken.
Naast de algemene weigerings- en intrekkingsgronden van artikel 7 WWM zijn specifiek voor erkenningen in de artikelen 10 en 12 van de WWM respectievelijk de imperatieve (dwingende) weigeringsgronden en de facultatieve intrekkingsgronden opgesomd.
Op grond van deze bepalingen kan een erkenning worden ingetrokken indien:
• de erkende bij de aanvraag onjuiste gegevens heeft verstrekt;
• er aanwijzingen zijn dat aan de erkenninghouder of de beheerder het onder zich hebben van wapens of munitie niet langer kan worden toevertrouwd (zie hiervoor onder ‘vrees voor misbruik’);
• er sprake is van misbruik van de erkenning dan wel van wapens of munitie;
• niet meer wordt voldaan aan de vereisten voor verlening;
• een aan de erkenning verbonden beperking of voorschrift niet in acht is genomen;
• er sprake is van dringende, aan het algemeen belang ontleende, redenen die aan verlenging in de weg staan;
• de erkende het register niet heeft bijgehouden op de wijze als in artikel 12 RWM is voorgeschreven;
• de houder van een erkenning gedurende een periode van tenminste één jaar de handelingen waarop de erkenning betrekking heeft, niet heeft verricht.
De wijze waarop door de in het bewijs van erkenning genoemde beheerder een register moet worden bijgehouden is beschreven in artikel 12 van de RWM. Het in dit artikel genoemde register kan zowel handmatig als langs geautomatiseerde weg worden bijgehouden. Waar in het achtste lid van dit artikel wordt gesproken over het maandelijks inzenden van een kopie van het register, zal dat bij een handmatig bijgehouden register kunnen bestaan uit een fotokopie en bij een geautomatiseerd register kan dit gebeuren middels het inzenden van (een uitdraai van) de desbetreffende registers.
Er behoeft, tenzij de korpschef zulks nodig acht, geen kopie te worden ingezonden van de registratie betreffende in bewaring genomen of ter reparatie ingenomen wapens en munitie.
Immers, de in bewaring genomen of ter reparatie ingenomen wapens en munitie komen doorgaans na kortere of langere tijd weer in handen van degene van wie de voorwerpen afkomstig zijn. Zo dit in bijzondere gevallen niet gebeurt, bij voorbeeld omdat de eigenaar na verloop van tijd tot verkoop aan de wapenhandelaar besluit, dan zal het wapen naar de inkomende registratie moeten worden overgeboekt.
In het geval waarin de bewaargever evenwel het wapen vanuit de bewaring aan een andere wapenhandelaar of aan een particulier verkoopt, dan zullen in de laatste kolom van deze registratie alle gegevens betreffende de koper, inclusief diens bevoegdheid om voorhanden te hebben en om te verkrijgen, door de wapenhandelaar moeten worden vermeld.
Indien de korpschef een bewijs van erkenning afgeeft of heeft afgegeven (zie model WM 16 in bijlage III bij de RWM), kan de korpschef, indien een redelijk belang daartoe aanleiding geeft, bepalen dat de erkenning tevens inhoudt een vergunning tot vervoer van wapens en munitie. Indien daartoe in bijzondere gevallen naar het oordeel van de korpschef aanleiding bestaat, kan de vergunning tot vervoer onder beperkingen worden verleend. Deze beperkingen dienen op het bewijs van erkenning te worden vermeld.
Indien de in het bewijs van erkenning genoemde beheerder zijn wapens zelf vervoert, heeft hij uiteraard de op het bewijs van erkenning vermelde vergunning tot vervoer bij zich. Indien hij echter, zoals regelmatig zal voorkomen, deze wapens wil doen vervoeren door anderen, bijvoorbeeld ondergeschikten of beroepsvervoerders, dan dienen ook zij door het overleggen van een (geleide-)document hun bevoegdheid om die wapens op dat moment voorhanden te mogen houden, te kunnen aantonen. Als (geleide-)document dient dan een verlof tot vervoer te worden gebruikt (zie hieromtrent de vrijstellingen in de artikelen 45 en 46 RWM en hetgeen onder B 3.3, c en d is vermeld).
Door de erkende af te geven verloven tot vervoer
Als (geleide-)document dient een verlof tot vervoer te worden gebruikt. Het zou echter ondoenlijk zijn indien de beheerder voor genoemde gevallen telkens een verlof tot vervoer zou moeten aanvragen bij de korpschef. Om die reden kan de korpschef aan een in het bewijs van erkenning genoemde beheerder, op wiens naleving van de wapen wettelijke voorschriften niets valt aan te merken, een aantal verloven tot vervoer verstrekken, waarop slechts de volgende gegevens zijn ingevuld:
• het registratienummer;
• de gegevens van de beheerder aan wie het document is afgegeven (deze kan een bedrijfsstempel gebruiken), alsmede diens handtekening;
• de datum van afgifte en de handtekening en het stempel van de korpschef.
De indiening van een schriftelijk aanvraagformulier is hiervoor niet nodig.
De beheerder dient telkens wanneer hij een verlof uitschrijft, een kopie van het door hem ingevulde en afgegeven verlof te zenden aan de korpschef, die hierdoor kan controleren of alle door hem afgegeven (blanco) verloven op juiste wijze zijn gebruikt. Voor een nadere controle op het juiste gebruik kan zo nodig ook het register van de beheerder worden bekeken, waarin de uitschrijving van de wapens moet zijn vermeld.
Formulieren
Aanvraagformulier: in mondeling overleg met de korpschef (het overleg vindt feitelijk in de betrokken regionale eenheid plaats).
Verlofdocument: model WM 12 in bijlage III bij de RWM.
Doorlopend verlof tot vervoer ten behoeve van werknemers van erkenninghouders
Indien sprake is van een werknemer in vaste dienst bij een erkenninghouder die regelmatig wapens vervoert ten behoeve van zijn werkgever, kan de politiechef, indien ten aanzien van de betrokken persoon geen vrees voor misbruik (zie B 1) bestaat, overgaan tot het afgeven van een doorlopend verlof tot vervoer. Het verlof wordt afgegeven aan de in het bewijs van erkenning genoemde beheerder, terwijl onder ‘daadwerkelijk vervoer’ de gegevens van de werknemer worden vermeld. In plaats van een exacte omschrijving van de wapens, wordt op het document vermeld dat het geldig is ten aanzien van de wapens en/of munitie die behoren tot de handelsvoorraad van de persoon aan wie het verlof is afgegeven, terwijl tevens het tijdvak waarbinnen het verlof geldig is (maximaal een jaar), wordt vermeld. Tenslotte wordt het document in de rechterbovenhoek voorzien van de pasfoto van de persoon die als vervoerder optreedt, welke pasfoto door de politie wordt afgestempeld.
Formulieren
Aanvraagformulier: in mondeling overleg met de politiechef van de regionale eenheid (die namens de korpschef optreedt).4
Verlofdocument: model WM 12 in bijlage III bij de RWM.
Een verlof is een individuele uitzondering op het wettelijke verbod om wapens van (meestal) categorie III voorhanden te hebben, te vervoeren en/of te dragen. In artikel 28, tweede lid, van de WWM is bepaald dat een verlof wordt verleend indien:
a. een redelijk belang de verlening van het verlof vordert;
b. de aanvrager geen gevaar voor zichzelf, de openbare orde of veiligheid kan vormen;
c. de aanvrager tenminste de leeftijd van achttien jaar heeft bereikt, behoudens de afwijking voor leden van een schietvereniging.
Ad. a.
In de onderdelen B 2 t/m B 6 van deze Circulaire is geregeld in welke gevallen en onder welke voorwaarden er sprake is van een ‘redelijk belang’ als bedoeld in artikel 28 van de WWM. Daarnaast kan het voorkomen dat een verlof wordt gevraagd terwijl er geen sprake is van één van de genoemde gevallen. De beoordeling van dergelijke aanvragen is zo zeer afhankelijk van de omstandigheden van het geval dat hiervoor geen algemene regels zijn te geven. Deze aanvragen staan ter beoordeling van de korpschef die – met name als de aanvraag betrekking heeft op vuurwapens – ter zake een restrictief beleid zal moeten voeren. Zo nodig kan met het Ministerie van Veiligheid en Justitie overlegd worden.
Ad. b.
De verlening van een verlof dient te worden geweigerd indien de aanvrager een gevaar voor zichzelf, de openbare orde of veiligheid kan vormen. In de WWM wordt een dergelijke situatie meestal aangeduid met de termen ‘vrees voor misbruik’ en ‘het niet (langer) kunnen toevertrouwen van wapens of munitie’. In onderdeel B 1 van deze Circulaire worden deze begrippen nader uitgewerkt.
Ad. c.
De aanvrager van een verlof dient tenminste 18 jaar te zijn. Van de minimumleeftijdsgrens kan door de korpschef slechts worden afgeweken ten aanzien van serieuze, veelbelovende wedstrijdschutters. Dat sprake is van een serieuze, veelbelovende wedstrijdschutter dient te blijken uit een schriftelijke verklaring van het bestuur van de Koninklijke Nederlandse Schietsport Associatie (KNSA).
In artikel 28, eerste lid, van de WWM is bepaald dat een verlof – uitsluitend voor wapens en munitie behorende tot categorie III – wordt verleend door de korpschef. De korpschef kan dus nooit een verlof verlenen voor wapens van categorie I of II. Indien er bij de korpschef een aanvraag wordt ingediend voor het verkrijgen van een verlof voor een wapen van categorie I of II dan dient de korpschef deze aanvraag onverwijld door te sturen naar het Ministerie van Veiligheid en Justitie, onder gelijktijdige mededeling daarvan aan de afzender5.
Indien de Minister van Veiligheid en Justitie overgaat tot de verlening van de gevraagde ontheffing dan wordt in veel gevallen in de ontheffing opgenomen dat de ontheffing slechts geldig is voor zover de wapens en/of munitie staan vermeld op een verlof tot het voorhanden hebben. Deze voorwaarde wordt vaak gesteld vanwege het feit, dat er op die manier beter toezicht mogelijk is op de ontheffing houder en het aantal wapens beter in de hand gehouden kan worden. Omdat de bevoegdheid tot het voorhanden hebben wordt ontleend aan de verleende ontheffing is geen sprake van strijdigheid met het bepaalde in het eerste lid van artikel 28 van de WWM. De bijschrijving van de ontheffing plichtige wapens op een verlof is een combinatie van documenten zoals bedoeld in artikel 40 van de WWM. Omwille van de duidelijkheid dient voor deze wapens op het verlof een verwijzing te worden opgenomen waaruit blijkt dat de bevoegdheid tot het voorhanden hebben wordt ontleend aan de bijbehorende ontheffing.
Aanvraagformulieren
Voor het aanvragen van een verlof wordt gebruik gemaakt van de daartoe bestemde formulieren zoals die zijn opgenomen in Bijlage III bij de RWM en het in deze circulaire onder C4 en C5 opgenomen inlichtingenformulier.
Juridische status gebruikte formulieren
Het invullen van het aanvraagformulier is verplicht op basis van artikel 7, eerste lid, onderdeel a van de WWM. Het niet (volledig) invullen van het aanvraagformulier leidt tot een afwijzing van de aanvraag op basis van ditzelfde artikel.
Het inlichtingenformulier vindt zijn grondslag in art. 4:2 van de Algemene wet bestuursrecht (Awb). De aanvrager is, naast de documenten bedoeld in artikel 7 van de WWM, ook gehouden om, zover de documenten niet hierop zien, op grond van artikel 4:2 van de Awb de (aanvullende) gegevens en bescheiden te verschaffen die voor de beslissing op de aanvraag nodig zijn.6
Om de vraag of er sprake is van vrees voor misbruik op basis van de in deel B, onderdeel 1, van deze circulaire vastgelegde risicofactoren, landelijk te kunnen toetsen, dient het inlichtingenformulier te worden ingevuld7. Wanneer de aanvrager niet de gegevens verschaft die nodig zijn voor de beoordeling, maar waarover hij wel kan beschikken, kan de aanvraag worden afgewezen. Zie in dit kader artikel 7, eerste lid, van de Wwm juncto artikel 4:5, eerste lid, onderdeel c, van de Awb. Wanneer op enig moment blijkt dat een aanvrager het formulier onjuist heeft ingevuld, kan worden besloten tot een intrekking van het verlof of afwijzing van het verzoek op basis van twijfel omtrent de betrouwbaarheid.
Beoordeling van de aanvraag
Na ontvangst van het aanvraagformulier en het inlichtingenformulier worden de volgende stappen doorlopen om te bepalen of de aanvrager in aanmerking komt voor de verlening van het gevraagde verlof:
1. De aanvrager doet zijn aanvraag in persoon en legitimeert zich daarbij. Controleer de identiteit en leeftijd van de aanvrager;
2. Controleer of de aanvrager daadwerkelijk woonachtig is en ingeschreven staat op het opgegeven adres;
3. Controleer in het bijzijn van de aanvrager of het aanvraagformulier en het inlichtingenformulier volledig zijn ingevuld en of de aanvraag compleet is. Indien dit niet het geval is dan wordt de aanvrager in de gelegenheid gesteld om zijn aanvraag aan te vullen;8
4. Ga na of de aanvrager een redelijk belang heeft bij de verlening van een verlof (zie hiervoor de in onderdeel B 2 tot en met B 6 opgenomen criteria);
5. Controleer of het voorhanden hebben van (vuur)wapens en/of munitie aan de aanvrager kan worden toevertrouwd (zie onderdeel B 1). Hiertoe dienen minimaal de volgende bronnen geraadpleegd te worden:
• Justitieel Documentatieregister;
• De interne politieregisters;
• CIE – registers (voor zover mogelijk);
• Open bronnen.
De volgende bronnen kunnen worden geraadpleegd indien daartoe aanleiding bestaat (deze opsomming is niet limitatief): de wijkagent, de referenten, de aanvrager zelf in een nader gesprek.
6. Bespreek met de aanvrager of de vragen op het inlichtingenformulier goed door de aanvrager konden worden ingevuld. Kondig aan dat, als daar aanleiding toe is, een vervolggesprek onderdeel kan uitmaken van de procedure en dat, los daarvan, referenten kunnen worden geraadpleegd;
7. Controleer – middels een bezoek aan de locatie waar het wapen en/of de munitie opgeslagen zal gaan worden – of de aanvrager beschikt over een opbergplaats die voldoet aan de eisen voor het opbergen van wapens en/of munitie (zie B 8). Het verdient aanbeveling om deze controle – in verband met de mogelijk daaruit voor de aanvrager voortvloeiende consequenties, zoals de aanschaf van een wapenkluis of de aanpassing van een bergplaats – pas uit te voeren als vast staat dat het verlof kan worden verleend.
Formulieren ten behoeve van de schietvereniging
Krachtens artikel 43a van de Rwm zijn schietsportverengingen, die een verlof tot het voorhanden hebben van wapens en munitie hebben, verplicht om een wapenuitgifte-, een munitie-uitgifte en een introducé register bij te houden, overeenkomstig een door de Minister van Justitie vastgesteld model. De modellen heb ik in bijlage C6 tot en met C9 bij deze circulaire vastgesteld. De bij de KNSA aangesloten schietverenigingen of bij de KNTS aangesloten verenigingen mogen in plaats daarvan ook gebruik maken van de door de KNSA respectievelijk KNTS vastgestelde modellen.
Verlenging van een verlof
Voor de verlenging van een verlof hoeft geen aanvraagformulier te worden ingevuld tenzij ten aanzien van de persoon van de aanvrager of ten aanzien van zijn omstandigheden zodanige wijzigingen hebben plaatsgevonden dat het indienen van een nieuw aanvraagformulier onontbeerlijk is. De aanvraag van de verlenging van een verlof kan derhalve eventueel ook mondeling worden gedaan onder gelijktijdige overlegging van alle gegevens die noodzakelijk zijn voor het beoordelen van de verlengingsaanvraag. Bij die beoordeling wordt bezien of de aanvrager nog steeds een redelijk belang heeft bij de verlening van een verlof en of er ten aanzien van de aanvrager geen sprake is van een situatie van ‘vrees voor misbruik’. Daartoe is het invullen van het inlichtingenformulier verlenging, in deze circulaire opgenomen onder C5, wel noodzakelijk.
Overeenkomstige toepassing beoordeling jachtaktes
Op basis van het bepaalde in paragraaf 1.2 van het Bijzonder deel (B) van de circulaire, onder ‘relatie met Flora- en fauna wet’, vindt de beoordeling van het vrees voor misbruik-criterium ten behoeve van de verstrekking en verlenging van jachtaktes ook plaats conform het hierboven omschreven beoordelingsproces.
Verstrekking jachtaktes aan in het buitenland woonachtige aanvragers
Ten aanzien van jachtaktehouders met een woonplaats buiten Nederland, gelden de volgende afwijkende voorwaarden. Punt 7. van het hierboven uiteengezette aanvraagproces geldt niet.
Voor zover het betreft de aanvraag van een akte op basis van art. 45 van de Flora en Faunawet, geldt eveneens het bepaalde onder 1, 2 en 3 niet. Bij punt 6 geldt als ‘aanvrager’ de Nederlandse aktehouder die de buitenlander uitnodigt.
Voor zover het de aanvraag van een akte op basis van art. 38 van de Flora- en Faunawet betreft, geschied het aanvragen van de akte bij de politiechef van de regionale eenheid Den Haag. Deze behandelt de aanvraag namens de korpschef. De korpschef kan tevens het bepaalde onder 1, 2, 3 en 6 achterwegen laten, indien hij ook zonder het doorlopen van deze stappen het vrees voor misbruikcriterium op andere wijze afdoende kan toetsen. Zo kan het verifiëren dat de aanvrager in het land waarin hij woonachtig is op betrouwbaarheid is getoetst aanleiding zijn genoemde stappen in de procedure achterwege te laten. Ook kan de korpschef bepalen dat de uitvoering van deze stappen in de procedure door politiechefs van andere regionale eenheden kan geschieden.
Voor alle van de in het bijzondere deel genoemde gevallen waarin mogelijk een verlof tot het voorhanden hebben van wapens en munitie kan worden verleend, is bepaald welk aanvraagformulier dient te worden gebruikt en welk verlofdocument dient te worden uitgereikt. Dit is aangegeven bij de desbetreffende paragraaf. In bepaalde gevallen is voor de feitelijke verkrijging van een wapen, waarvoor een verlof tot het voorhanden hebben is verleend, een verlof tot verkrijging noodzakelijk (zie onderdeel A 1.4.4.5).
Een verlof tot het voorhanden hebben van wapens en/of munitie kan onder beperkingen worden verleend, terwijl daaraan tevens voorschriften kunnen worden verbonden. Indien gebruik wordt gemaakt van de modellen WM 26 en WM 27 van de bijlage III van de RWM bevat het verlof de standaardtekst, beperkingen en voorschriften daaronder begrepen, zoals vermeld op het toepasselijke model van bedoelde bijlage en wordt die tekst aangevuld met de conform de inhoud van deze circulaire te vermelden beperkingen en voorschriften. Indien de bijzondere omstandigheden van het geval daartoe aanleiding geven kan de korpschef gemotiveerd extra beperkingen of voorschriften aan het verlof verbinden.
Op bepaalde modellen van het verlof tot het voorhanden hebben zijn ruimtes opengelaten waaruit, indien deze zijn afgestempeld en geparafeerd door de korpschef, blijkt dat tevens een verlof tot voorhanden hebben van de bijbehorende munitie is verleend of dat een (doorlopend) verlof tot vervoer is verleend. Voor zover nodig is steeds vermeld in welke gevallen deze verloven in de regel kunnen worden verleend.
Op grond van artikel 27, eerste lid, van de WWM is het verboden om een wapen van de categorieën II, III en IV te dragen. In het tweede lid van dit artikel is bepaald dat dit verbod niet van toepassing is op personen die:
a. houder zijn van een verlof als bedoeld in artikel 29, voor zover dit verlof reikt; of
b. op grond van artikel 26, tweede lid, voor de jacht9 bestemde wapens voorhanden mogen hebben, voor wat betreft het terrein waar zij tot de jacht gerechtigd zijn.
In het derde en vierde lid van artikel 27 is tenslotte bepaald dat de minister bij regeling vrijstelling kan verlenen van het verbod van het eerste lid voor optochten, studenten-weerbaarheidsverenigingen (categorieën III en IV), ceremoniële wapens, kermissen en sportbeoefening (categorie IV). De minister heeft van deze mogelijkheid gebruik gemaakt en heeft in de paragrafen 12 en 13 van de RWM een aantal vrijstellingen opgenomen voor het dragen van wapens van de categorie III of IV.
In artikel 29 van de WWM is bepaald dat de korpschef kan bepalen dat – indien een redelijk belang dit vordert – het verlof tot het voorhanden hebben van een wapen van categorie III tevens betrekking heeft op het dragen van dit wapen.
Een redelijk belang voor het dragen van een wapen zal echter niet gauw aanwezig zijn. In uitzonderlijke gevallen kan bijvoorbeeld een draagverlof worden verleend ten behoeve van zelfverdediging (zie de voorwaarden in onderdeel B 6).
De belangrijkste bepalingen omtrent vergunningen tot vervoer en de verlening van verloven tot vervoer van wapens en munitie van de categorieën II en III zijn te vinden in de artikelen 22 en 24 WWM.
Verloven tot vervoer worden verstrekt door de korpschef. Op grond van artikel 9, vierde lid, WWM, kan de korpschef bepalen dat de erkenning tevens een vergunning tot vervoer van wapens en munitie van de categorieën II en III inhoudt.
Vergunningen en verloven tot vervoer kunnen onder beperkingen worden verleend, terwijl daaraan tevens voorschriften kunnen worden verbonden. Indien gebruik wordt gemaakt van de modellen WM 26 en WM 27 bevat het verlof tot vervoer de voorschriften en de overige tekst van het in bijlage III bij de RWM opgenomen model WM 12 (Verlof tot vervoer).
De vergunning en het verlof tot vervoer moeten onder bepaalde omstandigheden worden gewijzigd of ingetrokken door de Minister van Veiligheid en Justitie of het orgaan dat de vergunning of verlof heeft verleend (zie artikel 7, tweede lid, WWM).
De Minister van Veiligheid en Justitie heeft voor een aantal gevallen vrijstellingen van het verbod om een wapen of munitie te vervoeren verleend. Deze gevallen zijn omschreven in de paragrafen 5, 10, en 17 en de artikelen 4, 21, 22, 24, 39, 40 en 41, tweede lid, van de RWM.
De personen die in opdracht van de houder van de vergunning of het verlof tot vervoer zijn belast met het feitelijk transport van de wapens of munitie, worden altijd in de vergunning of het verlof vermeld. Zie ook de vrijstellingen op dit punt in de artikelen 45 en 46 van de RWM.
Personen die bevoegd zijn vuurwapens en munitie te dragen, is het ook toegestaan die wapens en munitie te vervoeren. Bevoegd tot het dragen van vuurwapens en munitie zijn onder meer personen die een jachtakte als bedoeld in de Flora- en fauna wet bezitten, wat betreft de voor de jacht bestemde wapens en munitie van categorie III, die in de jachtakte zijn omschreven (artikel 27, tweede lid, aanhef en onder b, WWM). De wet beperkt deze bevoegdheid tot dragen tot het jachtveld, het terrein waar de jachtaktehouders tot de jacht dan wel beheer en schadebestrijding gerechtigd zijn. Voor het overige dienen de wapens te worden vervoerd in de zin van de WWM (derhalve zodanig verpakt dat ze niet voor onmiddellijk gebruik kunnen worden aangewend). Zie hieromtrent de vrijstelling in artikel 44 RWM.
Incidenteel verlof tot vervoer ten behoeve van particulieren
De aanvrager dient zelf bevoegd te zijn om het wapen waarop de aanvraag betrekking heeft, voorhanden te hebben. Ook de ontvanger moet uiteraard bevoegd zijn tot het voorhanden hebben van dit wapen. Het kan echter voorkomen dat degene die daadwerkelijk het vervoer verricht, in beginsel die bevoegdheid niet bezit. Deze persoon of dit bedrijf (b.v. een vervoersbedrijf) verkrijgt de bevoegdheid om het wapen of de munitie te vervoeren via de vrijstellingen in artikel 45 en 46 RWM, respectievelijk door het aan de aanvrager verleende verlof tot vervoer bij zich te dragen. Dit verlof vermeldt de naam van de vervoerder (indien het een particulier betreft) of de naam van het bedrijf waarvoor hij werkzaam is (indien het beroepsvervoer betreft). Na afloop van het vervoer dient de vervoerder het verlof toe te zenden aan de politiechef van de regionale eenheid waar het verlof is afgegeven. Indien het verlof niet wordt gebruikt, dient de aanvrager het verlof terug te zenden aan de politiechef van de regionale eenheid (waar het verlof is afgegeven.
Formulieren
Aanvraagformulier: model WM 11 in bijlage III bij de RWM.
Verlofdocument: model WM 12 in bijlage III bij de RWM.
Doorlopend verlof tot vervoer gekoppeld aan het verlof tot voorhanden hebben
Indien de korpschef een verlof tot het voorhanden hebben afgeeft, zal de betrokkene soms ook over een doorlopend verlof tot vervoer moeten beschikken. Dit doorlopend verlof tot vervoer kan worden verleend door op het verlof tot het voorhanden hebben de daartoe opengelaten ruimte af te stempelen en te paraferen. Zo nodig kunnen de op het vervoer betrekking hebbende beperkingen en voorschriften, die standaard op het document staan vermeld, worden aangepast aan de omstandigheden van het geval.
De bepalingen betreffende de verlening van verloven tot verkrijging van wapens en munitie van categorie III zijn te vinden in de artikelen 31 en 32 WWM.
Verloven tot verkrijging van wapens en munitie worden verstrekt door de korpschef en feitelijk aangevraagd, in overeenstemming met het mandaatbesluit politie, in de regionale eenheid waar de aanvrager zijn woon of verblijfplaats heeft. Een verlof tot verkrijging van een verenigingsvuurwapen wordt feitelijk aangevraagd in de regionale eenheid waar de aanvrager, te weten de schietvereniging, haar vaste accommodatie dan wel haar statutaire zetel heeft, ook al woont de feitelijke beheerder van de verenigingswapens elders.
Heeft de aanvrager evenwel geen vaste woon- of verblijfplaats in Nederland dan wordt het verlof feitelijk aangevraagd in de regionale eenheid waar de aanvrager (tijdelijk) verblijft. Aan de aanvrager die geen vaste woon- of verblijfplaats in Nederland heeft, maar die wel ingezetene is van één van de andere lidstaten van de Europese Unie, kan slechts een verlof tot verkrijging van wapens, ten aanzien waarvan het voorhanden hebben in de betrokken lidstaat aan een vergunning is onderworpen, worden verleend, wanneer aan de aanvrager een consent is verleend tot het doen uitgaan van de wapens (zie onderdeel A 1.4.5.1).
Bij een overdracht van wapens en munitie met het oogmerk om deze onmiddellijk Nederland te doen uitgaan, zijn de artikelen 31 en 32 WWM niet van toepassing. Voor deze gevallen geldt de in artikel 20, tweede lid, WWM vermelde consentregeling.
Verloven tot verkrijging kunnen onder beperkingen worden verleend, terwijl daaraan tevens voorschriften kunnen worden verbonden. Indien gebruik wordt gemaakt van het model WM25 bevat het verlof tot verkrijging de gegevens zoals vermeld op het in bijlage III bij de RWM opgenomen model WM 2 (Verlof tot verkrijging van een (vuur)wapen/onderdeel/hulpstuk).
De Minister van Veiligheid en Justitie heeft in artikel 27 RWM vrijstelling verleend van het verbod van artikel 31, vierde lid WWM, voor het overdragen aan personen die de leeftijd van achttien jaar nog niet hebben bereikt van degens, lucht-, gas- en veerdrukwapens en kruisbogen, één en ander met het oog op in verenigingsverband beoefende sporten.
Ingevolge het bepaalde in artikel 13 van de RWM dient de beheerder, als bedoeld in artikel 10 WWM, bij de verkrijging van wapens van categorie III van personen die een verlof tot het voorhanden hebben als bedoeld in artikel 28 van de wet bezitten, dan wel op grond van artikel 26, tweede lid, van de wet voor de jacht bestemde wapens voorhanden mogen hebben, een ontvangstbewijs, overeenkomstig het in bijlage III bij deze wet opgenomen model, te verstrekken.
Een verlof tot verkrijging is, zo volgt uit artikel 32, eerste lid, van de WWM, alleen nodig voor houders van een verlof tot het voorhanden hebben alsmede voor houders van een jachtakte (zie de laatste alinea van dit onderdeel voor de verkrijging van wapens door personen die op andere gronden bevoegd zijn om een wapen van categorie III voorhanden te hebben).
Personen die een aanvraag indienen voor een verlof tot het voorhanden hebben van een vuurwapen, zullen op het aanvraagformulier dienen aan te geven welk specifiek wapen (met vermelding van het nummer) zij wensen aan te schaffen, alsmede uit handen van wie zij het wapen zullen ontvangen. Dit brengt met zich mee dat, indien positief op de aanvraag wordt beslist, de korpschef voor het desbetreffende wapen een verlof tot het voorhanden hebben afgeeft of dit wapen bijschrijft op een reeds eerder aan betrokkene verleend verlof, terwijl hij tevens aan betrokkene een verlof tot verkrijging verstrekt. Een kopie van dit verlof tot verkrijging (waarop vermeld: KOPIE) zenden aan de regionale eenheid van de politie waar het wapen tot het moment van de overdracht staat geregistreerd.
De persoon die het wapen overdraagt, dient het verlof tot verkrijging in ontvangst te nemen. Teneinde zeker te zijn dat het wapen aan de rechthebbende wordt overgedragen zal hij ook de identiteit van de verkrijger moeten vaststellen en het soort en nummer van diens identiteitsbewijs alsmede de datum van afgifte daarvan en de afgevende instantie, op het verlof tot verkrijging moeten noteren. Daarnaast zal hij zich ervan moeten vergewissen dat het desbetreffende wapen op een aan betrokkene verleend verlof of verleende jachtakte staat bijgeschreven. Eerst na deze handelingen en controles te hebben uitgevoerd, mag hij het wapen overdragen. Vervolgens moet hij het ingenomen verlof tot verkrijging toezenden aan de regionale eenheid van de politie, waar het wapen tot het moment van de overdracht stond geregistreerd. De verkrijger dient binnen twee weken na de verkrijging het wapen ter controle aan te bieden aan de korpschef die hem het verlof of de jachtakte heeft verleend, zodat deze kan verifiëren of de op het verlof of de jachtakte vermelde gegevens overeenstemmen met de gegevens van het wapen.
Aan personen die geen houder zijn van een verlof tot het voorhanden hebben of een jachtakte, maar die uit anderen hoofde gerechtigd zijn wapens of munitie voorhanden te hebben, behoeft, alvorens zij tot de aanschaf van dat wapen over mogen gaan, geen verlof tot verkrijging als bedoeld in artikel 31, derde lid, van de WWM, te worden verleend. Het kan hier bijvoorbeeld gaan om personen die over een erkenning beschikken, als ook om – bij ministeriële regeling aangewezen – personen in overheidsdienst zoals genoemd in artikel 3a van de WWM. Alvorens aan één van de hier bedoelde personen een wapen over te dragen, zal diens bevoegdheid tot voorhanden hebben van dat wapen wel deugdelijk moeten worden vastgesteld. Die bevoegdheid kan bijvoorbeeld blijken uit een bewijs van erkenning of uit het bezit van een ‘voorschrift’ dat is afgegeven door het boven de persoon in overheidsdienst gestelde gezag.
Formulier
Verlofdocument: model WM 2 in bijlage III bij de RWM.
Een verlof wordt geweigerd indien niet wordt voldaan aan de voorwaarden zoals genoemd in artikel 28, tweede lid, van de WWM (zie onderdeel A 1.4.4.1) of indien er sprake is van één van de weigeringsgronden zoals genoemd in artikel 7, eerste lid, van de WWM. De meest frequent toegepaste weigeringsgronden zijn de onder sub b en c genoemde situaties van ‘het niet kunnen toevertrouwen ‘ en ‘vrees voor misbruik’ (zie onderdeel B 1 voor de nadere invulling van deze begrippen).
Een verlof kan worden ingetrokken indien er sprake is van één van de in artikel 7, tweede lid, van de WWM genoemde situaties. Hetgeen hierboven is opgemerkt met betrekking tot het verschil tussen sub b en sub c is eveneens van toepassing op de intrekkingsgronden in het voornoemde artikel.
Een besluit tot intrekking of weigering dient zorgvuldig tot stand te komen en dient te voldoen aan de eisen die de Algemene wet bestuursrecht aan een besluit stelt. Tegen beslissingen tot weigering of intrekking van een verlof staat, op grond van artikel 34 van de WWM, (administratief) beroep open bij de Minister van Veiligheid en Justitie. Tegen beslissingen van de minister die in (administratief) beroep zijn genomen staat beroep open bij de sector bestuursrecht van de rechtbank en tegen de beslissingen van de rechtbank staat vervolgens (hoger) beroep open bij de Afdeling Bestuursrechtspraak van de Raad van State. In dit kader heeft de Raad van State geoordeeld dat de korpschef geen beroep kan instellen tegen een besluit van de Minister van Veiligheid en Justitie10. De door de korpschef op grond van de WWM uitgeoefende bevoegdheden worden immers uitgeoefend onder de verantwoordelijkheid van de Minister van Veiligheid en Justitie.
Voor zover het redelijk belang voor de verlening van een verlof wordt ontleend aan het beoefenen van de schietsport, dient de korpschef de besturen van de KNSA en de KNTS, en indien de betrokkene lid is van een vereniging die niet is aangesloten bij de KNSA of de KNTS, het bestuur van die schietvereniging, terstond in kennis te stellen van het feit dat een verlof is geweigerd, niet is verlengd of is ingetrokken. Deze melding dient te bestaan uit:
a. De naam, het adres en de geboortedatum van de betrokkene;
b. Het KNSA of KNTS licentienummer of lidmaatschapsnummer van de betreffende vereniging;
c. datum van het besluit en of er sprake is van een intrekking of weigering van een verlof.
Indien het redelijk belang voor de verlening van een verlof wordt ontleend aan het lidmaatschap van een ander soort vereniging11, dient de korpschef het bestuur van de desbetreffende vereniging terstond in kennis te stellen van het feit dat een verlof is geweigerd of ingetrokken. In verband met de privacy van betrokkene dient in de melding te worden volstaan met het vermelden van:
a. De naam, het adres en de geboortedatum van de betrokkene;
b. lidmaatschapsnummer van de desbetreffende vereniging;
c. datum van het besluit en of er sprake is van een intrekking of weigering van een verlof.
Van de verenigingen wordt verwacht dat zij controleren of de gegevens juist en nauwkeurig zijn en het lid in de gelegenheid stelt om tegen hetgeen de vereniging onderneemt en hetgeen op de lijst staat, te ageren. De gegevens mogen door de vereniging niet aan derden worden door verstrekt.
De in- en uitvoer van wapens en munitie is in Nederland onder meer geregeld in de WWM en in de Algemene Douanewet (ADW) en het daarbij behorende Besluit strategische goederen. Het kan dan ook voorkomen dat voor de uitvoer van wapens en/of munitie zowel een vergunning op grond van de WWM (consent) als een vergunning op grond van de ADW benodigd is. Omgekeerd kan het in bepaalde gevallen ook voorkomen dat voor de uitvoer van een bepaald wapen geen consent en geen uitvoervergunning nodig is. In de onderdelen A 1.4.5.1 en 1.4.5.2 is kort weergegeven hoe bepaald kan worden of er op grond van de WWM en/of de ADW een vergunning nodig is voor de in-, uit- of doorvoer van wapens en/of munitie. In onderdeel A 1.4.5.3 wordt tot slot nader ingegaan op het systeem van de Europese vuurwapenpas.
Met betrekking tot in- en uitvoer onderscheidt de WWM drie soorten handelingen, namelijk: ‘doen binnenkomen’, ‘doen uitgaan’ en ‘doorvoer’. In artikel 1, onder 7 en 8, van de WWM zijn deze begrippen als volgt gedefinieerd:
Binnenkomen en uitgaan: ‘het binnen het grondgebied van Nederland komen, respectievelijk het verlaten van het grondgebied van Nederland ’
Doorvoer: ‘binnenkomen gevolgd door uitgaan’
Wapens van categorie I
Op grond van de WWM is het onder meer verboden om een wapen van categorie I voorhanden te hebben, te vervoeren, te doen binnenkomen of te doen uitgaan. De verlening van een consent voor categorie I wapens is niet mogelijk12. Voor de in- uit- of doorvoer van categorie I wapens kan de Ministerie van Veiligheid en Justitie ontheffing verlenen op grond van artikel 4 respectievelijk artikel 13, tweede lid van de WWM.
Een ontheffing voor de in-, uit- of doorvoer van wapens van categorie I dient te worden aangevraagd bij het Ministerie van Veiligheid en Justitie. Meer informatie over de aanvraag van een ontheffing kunt u vinden op de website van het Ministerie van Veiligheid en Justitie: http://www.rijksoverheid.nl/ministeries/venj
of u kunt telefonisch contact opnemen met het werkproces wet wapens en munitie, telefoonnummer:
(070) 370 90 70.
Wapens en munitie van categorie II en III
Op grond van artikel 14 van de Wet wapens en munitie (WWM) is het verboden om zonder consent een wapen of munitie van de categorieën II en III te doen binnenkomen (invoer) of te doen uitgaan (uitvoer), alsmede om de bij binnenkomst aangegeven bestemming van zulke wapens of munitie zonder consent te wijzigen.
Voor het doen binnenkomen en doen uitgaan van wapens en munitie van categorie II en III is dus in principe altijd een consent vereist. Geen consent is vereist indien één van de vrijstellingen zoals opgenomen in de RWM op de wapens en/of munitie van toepassing is.
De verlening van consenten vindt plaats door de Centrale Dienst voor In- en Uitvoer te Groningen (CDIU). Voor het aanvragen van een consent wordt gebruik gemaakt van een speciaal aanvraagformulier. Deze aanvraagformulieren zijn verkrijgbaar bij de CDIU of de politiechef bij de regionale eenheid. Voor vragen en informatie over de consentverlening kunt u contact opnemen met de CDIU:
Belastingdienst/Douane Groningen/CDIU
Postbus 30003
9700 RD Groningen
Tel: (088) 151 21 22
Fax: (088) 151 31 82
E-mail: drn-cdiu.groningen@belastingdienst.nl
Wapens van categorie IV
Voor de in- uit- of doorvoer van wapens van categorie IV is geen vergunning benodigd op grond van de WWM.
Invoer van vrijgestelde wapens
Voor het invoeren van wapens die in het land van verzending vergunningsplichtig zijn maar in Nederland niet kan bij de CDIU een verklaring worden verkregen dat het desbetreffende wapen in Nederland niet vergunningsplichtig is. Met deze verklaring kan dan meestal in het land van verzending een uitvoervergunning worden verkregen.
In het kader van het Nederlandse wapenexportbeleid mogen strategische goederen slechts worden uit- of doorgevoerd indien voor deze goederen een uitvoervergunning is verleend. Onder strategische goederen worden verstaan militaire goederen en goederen voor tweeërlei gebruik (goederen die zowel een civiele als militaire toepassing hebben, ook wel 'dual use' goederen genoemd). In het Uitvoerbesluit strategische goederen staat in een bijlage nauwkeurig omschreven welke goederen als strategisch moeten worden aangemerkt. Een groot deel van de (vuur)wapens waarop de Wet wapens en munitie van toepassing is, is tevens aangemerkt als militaire goederen.
De uitvoer van strategische goederen – zonder vergunning van de Minister van Buitenlandse Zaken – is verboden. Een persoon of een bedrijf dat voornemens is goederen uit of door te voeren die worden genoemd in het Besluit strategische goederen, dient bij de CDIU een uitvoervergunning aan te vragen (voor het adres zie onderdeel B 1.4.5.1).
Om inzicht te verschaffen op welke wijze het Nederlandse export- en doorvoersysteem van strategische goederen is geregeld en welke goederen onder controle staan, heeft de CDIU in samenwerking met het Ministerie van Buitenlandse Zaken het Handboek Strategische Goederen opgesteld. Dit handboek is aan te vragen bij de CDIU. Het handboek is ook te raadplegen via de internetsite: http://www.rijksoverheid.nl/documenten-en-publicaties/rapporten/2006/10/23/handboek-strategische-goederen.html
Ingevolge het bepaalde in artikel 28a van de WWM wordt aan personen die gerechtigd zijn tot het voorhanden hebben van een vuurwapen op hun verzoek een Europese vuurwapenpas uitgereikt, waarop de door de aanvrager voorhanden gehouden wapens kunnen worden aangetekend.
De invoering van de Europese vuurwapenpas is een gevolg van de toepassing van de Richtlijn van de Raad van de Europese Gemeenschappen van 18 juni 1991 inzake de controle op de verwerving en het voorhanden hebben van wapens (91/477EEG). Met de invoering van de pas werd beoogd van legale wapenbezitters, waaronder jagers en sportschutters door de EU-landen met hun wapens te vergemakkelijken en anderzijds de binnenlandse controle op die legale wapenbezitters zoals jagers en sportschutters, die afkomstig zijn uit één van de andere bij de EU aangesloten landen, te vergroten.
In verband met dit laatste wordt aan de tamelijk ruime vrijstelling13 van de consent- en verlofplicht voor (EU)jagers en sportschutters thans de voorwaarde van het bezit van de Europese vuurwapenpas verbonden. Het opnemen in de pas van een visum door de Nederlandse autoriteiten – in het geval van niet in Nederland ingezetenen – wordt uitdrukkelijk niet verlangd; het enkele bezit van een door een land van de EU afgegeven vuurwapenpas is voldoende. Voor jagers en sportschutters die niet in het bezit van een dergelijke pas zijn, geldt de vrijstelling dan ook niet; zij zullen in voorkomende gevallen een consent dienen aan te vragen. Als bijlage C3 is bij deze circulaire de invulinstructie voor de Europese vuurwapenpas opgenomen.
Zowel artikel 28a van de WWM Wet wapens en munitie (WWM) als voornoemde de Europese richtlijn van 18 juni 1991 waar dit wetsartikel op gebaseerd is spreken alléén van vuurwapens. Het is dus op grond van artikel 28a, eerste lid, van de WWM niet mogelijk een Europese vuurwapenpas af te geven voor een luchtdrukwapen. Het gaat immers om een vuurwapenpas.
Sinds 30 september 2013 geldt EU verordening 258/2012 van het Europees Parlement en de Raad van 14 maart 2012 tot uitvoering van artikel 10 van het Protocol van de Verenigde Naties tegen de illegale vervaardiging van en handel in vuurwapens, hun onderdelen, componenten en munitie, tot aanvulling van het Verdrag van de Verenigde Naties ter bestrijding van grensoverschrijdende georganiseerde misdaad (VN-protocol inzake vuurwapens), en tot vaststelling van uitvoervergunningen voor vuurwapens, hun onderdelen, componenten en munitie en maatregelen betreffende de invoer en doorvoer ervan (PbEU 2012, L 94) (hierna: de verordening). De verordening is door het Europees Parlement en de Raad gezamenlijk op 14 maart 2012 vastgesteld. Ter uitvoering van de verordening wordt de WWM gewijzigd, teneinde een wettelijke grondslag te creëren voor de op grond van de verordening voor de lidstaten verplicht in te voeren sanctiemogelijkheden bij inbreuk op de verordening. Hierom wordt een specifieke verplichting tot het hebben van een uitvoervergunning voor de uitvoer van de in bijlage 1 van de verordening opgesomde vuurwapens, hun onderdelen, essentiële componenten en munitie, in de Wwm opgenomen en wordt overtreding van dit voorschrift strafbaar gesteld. Het wetgevingstraject is op het moment van vaststellen van deze CWM nog niet afgerond. Maar omdat de verordening wel sinds 30 september 2013 geldt dient – voor zover mogelijk – conform de verordening gehandeld te worden. Bij constatering van een overtreding van een bepaling van de verordening handelen Douane en CDIU, en in voorkomende gevallen andere handhavingsdiensten op eenzelfde wijze als ware de verordening volledig geïmplementeerd.
Met de uitvoering van de wapenwetgeving zijn belast de Minister van Veiligheid en Justitie, de korpschef van de Nationale Politie en de Centrale Dienst voor In- en Uitvoer (CDIU).
Minister van Veiligheid en Justitie
De minister is belast met de uitvoering van de wapenwetgeving. Bepalingen over de uitvoering zijn neergelegd in paragraaf 10 van de wet. Een belangrijk voorschrift is artikel 38 dat stelt dat de minister bevoegd is aanwijzingen te geven aan de korpschef, die verplicht is deze op te volgen. Naast de bedoelde algemene aanwijzingen, die zijn opgenomen in de onderhavige circulaire, is de minister bevoegd om in individuele zaken aanwijzingen te geven.
Korpschef/Regio Eenheidschefs en andere gemandateerden
Bij de uitvoering van de wet dient de korpschef de aanwijzingen van de Minister van Veiligheid en Justitie te volgen (artikel 38, tweede lid, WWM). Hieronder dienen zowel algemene als bijzondere aanwijzingen te worden begrepen Voor wat betreft de positie van de korpschef (voorheen ‘de hoofden van plaatselijke politie’ en de korpschefs) wordt in de memorie van antwoord14 het volgende opgemerkt: ‘...de hoofden van plaatselijke politie [korpschef] geen eigen beleid voeren doch ingevolge artikel 38, tweede lid, de aanwijzingen van de Minister van Veiligheid en Justitie dienen te volgen (...). Over de uitvoering van de wet is slechts de Minister van Veiligheid en Justitie tegenover de nationale volksvertegenwoordiging verantwoording schuldig’. In dit kader heeft de Raad van State geoordeeld dat de korpschef geen beroep in kan stellen tegen een besluit van de Minister van Veiligheid en Justitie15. De door de korpschef op grond van de WWM uitgeoefende bevoegdheden worden immers uitgeoefend onder de verantwoordelijkheid van de Minister van Veiligheid en Justitie.
De korpschef heeft de mogelijkheid de uitvoering van zijn taken en bevoegdheden ingevolge de WWM te mandateren aan één of meer ondergeschikten binnen de politie. Daarvoor is een mandaatbesluit van de korpschef noodzakelijk. De korpschef blijft ook na mandatering verantwoordelijk voor de (immers namens hem) genomen beslissingen. Indien het gaat om een formeel besluit, dient in het besluit tot uitdrukking te komen dat de desbetreffende beschikking (zoals de intrekking van een verlof) namens de korpschef is genomen. In het mandaatbesluit politie, zijn de uitvoerende taken door de korpschef gemandateerd aan de politiechefs van de regionale eenheden van politie.
Het ligt voor de hand dat naarmate het besluit ingrijpender is voor de burger, de verantwoordelijkheid daarvoor hoger in de organisatie wordt gelegd. Zo verdient het aanbeveling om de intrekking van een erkenning tenminste op het niveau van de Sectorhoofd van de nationale politie of op vergelijkbaar niveau te doen plaatsvinden.
De wetgever heeft de uitvoering van de WWM uitdrukkelijk binnen de politieorganisatie gepositioneerd.
Zo is het voor de korpschef niet mogelijk zijn taken en bevoegdheden te mandateren aan een niet-ondergeschikte, bijvoorbeeld aan de burgemeester van een binnen de politieeenheid gelegen gemeente. Dat de WWM zich tegen een dergelijk mandaat verzet kan worden afgeleid uit de totstandkomingsgeschiedenis van de Invoeringswet Politiewet 1993, waarbij de taken en bevoegdheden van het hoofd van plaatselijke politie zijn overgeheveld naar de korpschef. Voorts is ook delegatie van taken en bevoegdheden (overdracht van de formele verantwoordelijkheid) niet mogelijk; de vereiste wettelijke basis in de WWM ontbreekt daarvoor dan ook.
Belastingdienst/Douane centrale dienst voor in- en uitvoer
Op grond van artikel 16, tweede lid, van de WWM is de Belastingdienst/Douane centrale dienst voor in- en uitvoer (CDIU) belast met de verlening van consenten zoals bedoeld in artikel 14 van de WWM16. Uitzondering hierop vormen de consenten tot binnenkomen ten behoeve van de krijgsmacht en de overige openbare diensten (bijvoorbeeld de politie). Deze consenten worden – op grond van artikel 16, eerste lid, van de WWM – verleend door de Minister van Defensie respectievelijk de Minister van Veiligheid en Justitie. Consenten tot uitgaan worden gewoon verleend door de CDIU. In de praktijk komt de verlening van consenten door beide ministers echter niet of nauwelijks voor. Dit is het gevolg van het feit dat de krijgsmacht en de politie (als instituut) op grond van artikel 3a, eerste en tweede lid, van de WWM zijn uitgezonderd van de consentverplichting. De uitzondering is eveneens van toepassing op personen die van de krijgsmacht of de politie deel uitmaken of daarvoor werkzaam zijn, voor zover dit door de desbetreffende ministers bij regeling is bepaald17.
De voor de politie geldende administratieve voorschriften met betrekking tot de registratie van wapenbezitters vinden hun basis in artikel 38 van de WWM en zijn neergelegd in artikel 47 van de RWM.
Uit artikel 47, eerste lid, RWM blijkt dat de korpschef twee registraties moet bijhouden van in zijn ambtsgebied woonachtige personen die in het bezit zijn van wapens of munitie.
De eerste registratie bevat de personen die bevoegd zijn een wapen of munitie voorhanden te hebben op grond van een door hem verleend verlof, jachtakte of erkenning.
De tweede registratie bevat de personen in zijn ambtsgebied die een wapen of munitie voorhanden mogen hebben op grond van een door een andere autoriteit verleende bevoegdheid.
Voorbeelden hiervan zijn:
• personen in het bezit van een door de Minister van Veiligheid en Justitie verleende ontheffing;
• beheerders van verenigingsvuurwapens, indien de beheerder in een andere gemeente woonachtig is dan die waar de schietvereniging zijn zetel heeft en waar derhalve het verlof is afgegeven (zie onderdeel B 2.2.1);
• Ingevolge artikel 4 van de Europese richtlijn 2008/51, dient Iedere lidstaat er zorg voor te dragen dat er een, hetzij gecentraliseerd hetzij gedecentraliseerd, geautomatiseerd systeem van gegevensbestanden wordt ingevoerd en bijgehouden, dat waarborgt dat de bevoegde instanties toegang hebben tot de gegevensbestanden waarin elk vuurwapen dat onder de bepalingen van deze richtlijn valt, is geregistreerd. In dit systeem van gegevensbestanden wordt gedurende een periode van ten minste twintig jaar van elk vuurwapen type, merk, model, kaliber en serienummer geregistreerd en bijgehouden, alsmede de namen en adressen van de leverancier en de persoon die het wapen verwerft of voorhanden heeft. Het Verona-systeem van de politie voorziet hierin;
• Wapenhandelaren zijn gedurende de gehele periode van hun activiteit verplicht een register bij te houden waarin alle bij hen inkomende of uitgaande onder de bepalingen van deze richtlijn vallende vuurwapens worden geregistreerd, zulks onder vermelding van bijzonderheden aan de hand waarvan een vuurwapen kan worden geïdentificeerd en getraceerd, met name type, merk, model, kaliber en serienummer en de namen en adressen van de personen die het vuurwapen hebben geleverd of verworven. Bij beëindiging van zijn activiteiten levert de wapenhandelaar het register in bij de nationale instantie die bevoegd is voor het bestandensysteem waarin de eerste alinea voorziet.
Het uitoefenen van bevoegdheden die krachtens een in deze wet genoemde vergunning aan (rechts)personen zijn verleend, kunnen per vergunning soort bepaalde registratieverplichtingen gelden. Voorbeelden hiervan zijn de registers van erkenninghouders of de presentieregisters van schietverenigingen, wapenuitgifteregisters, munitie-uitgifteregisters en introduceeregisters.
Onder toezicht moet worden verstaan de werkzaamheden die door of namens een bestuursorgaan worden verricht om na te gaan of voorschriften worden nageleefd. Toezicht op de naleving heeft onder meer als kenmerk dat er controles worden uitgevoerd op de naleving van de regelgeving zonder dat er sprake hoeft te zijn van een (vermoedelijke) overtreding van een wettelijk voorschrift. Het toezicht en de handhaving is geregeld in paragraaf 11 van de WWM en in hoofdstuk 5 van de Algemene wet bestuursrecht (Awb).
Met het toezicht op de naleving van de wapenwetgeving zijn ingevolge artikel 45 WWM belast:
• de bij of krachtens artikel 141 van het Wetboek van Strafvordering aangewezen ambtenaren;
• de bij of krachtens artikel 142, eerste lid, van het Wetboek van Strafvordering aangewezen buitengewone opsporingsambtenaren;
• de bij besluit van Onze Minister, in overeenstemming met Onze Minister van Verkeer en Waterstaat, aangewezen ambtenaren van het Ministerie van Verkeer en Waterstaat.
Aan de toezichthoudende ambtenaren komt een aantal bevoegdheden toe. Deze bevoegdheden zijn te vinden in afdeling 5.2 van de Algemene wet bestuursrecht. Dit is een overkoepelende wet die geldt voor zover er in de bijzondere wet geen afwijkende bepalingen zijn opgenomen. De WWM kent in artikel 45, derde en vierde lid, een tweetal beperkingen op de artikelen 5:18, tweede lid, en 5:19 Awb. Hieronder wordt een kort overzicht gegeven van de aan de toezichthoudende ambtenaren toekomende bevoegdheden:
• het betreden van plaatsen met uitzondering van een woning zonder toestemming van de bewoner (artikel 5:15)
• het vorderen van inlichtingen (artikel 5:16)
• het vorderen van inzage van zakelijke gegevens en bescheiden (artikel 5:17)
• het onderzoeken, opnemen en monsters nemen van zaken (5:18), evenwel alleen voor zover het betreft het openen van verpakkingen in het kader van het onderzoek van ladingen (zie artikel 45, derde lid, WWM)
Let op:
De bevoegdheid tot het onderzoeken van vervoermiddelen (artikel 5:19) komt niet toe aan de toezichthouders in het kader van de WWM (zie artikel 45, vierde lid, WWM). In het kader van de opsporing mag deze bevoegdheid wel worden toegepast. Het controleren (fouilleren) van personen en het doorzoeken van tassen behoort niet tot de bevoegdheden bij deze bestuursrechtelijke controle.
Voor al de genoemde bevoegdheden geldt dat de toezichthouder hiervan slechts gebruik mag maken voor zover dat redelijkerwijs voor de vervulling van zijn taak nodig is (artikel 5:13 Awb). Dit artikel waarborgt onder meer dat de toezichthouder slechts die plaatsen kan betreden waar, naar redelijk vermoeden, in verband met de uitoefening van een bedrijf, wapens of munitie aanwezig zijn.
In onderdeel B 9 worden aanwijzingen aan de korpschef gegeven voor de uitoefening van het toezicht op de naleving van de WWM.
Artikel 7, eerste lid, van de Wet wapens en munitie (WWM), stelt dat de in de WWM genoemde vergunningen (erkenningen, consenten, verloven en ontheffingen), onverminderd de bijzondere gronden tot weigering daarvan, worden geweigerd indien (onder meer) er reden is om te vrezen dat aan de aanvrager het onder zich hebben van wapens of munitie niet kan worden toevertrouwd of er reden is om te vrezen dat daarvan dan wel van wapens of munitie misbruik zal worden gemaakt.
Het tweede lid van artikel 7 stelt dat de in de WWM genoemde vergunningen, onverminderd de bijzondere gronden tot wijziging of intrekking daarvan, door het bestuursorgaan of de Minister van Veiligheid en Justitie kunnen worden gewijzigd of ingetrokken indien (onder meer) er aanwijzingen zijn dat aan de houder daarvan het onder zich hebben van wapens of munitie niet langer kan worden toevertrouwd of in geval van misbruik daarvan dan wel van wapens of munitie.
Voor verloven tot het voorhanden hebben van wapens en munitie van categorie III bepaalt artikel 28, tweede lid, aanhef en onder b, van de WWM, dat een verlof slechts wordt verleend indien de aanvrager geen gevaar voor zichzelf, de openbare orde of veiligheid kan vormen. Omdat het begrip ‘vrees voor misbruik’ reeds een ruime uitleg kent worden die gevallen waarin iemand anderszins een gevaar voor zichzelf, de openbare orde of veiligheid kan vormen, niet in dit hoofdstuk nader uitgewerkt.
‘Vrees voor misbruik’ en ‘het niet langer kunnen toevertrouwen’ zijn twee verschillende omschrijvingen voor in feite dezelfde situatie. Hetgeen hierna wordt opgemerkt met betrekking tot de invulling van het ‘vrees voor misbruik-criterium’ kan daarom analoog worden toegepast indien het de intrekking of weigering van een vergunning betreft om reden dat het voorhanden hebben van wapens of munitie niet (langer) kan worden toevertrouwd.
Wapens en munitie vormen een potentieel ernstige bedreiging voor de veiligheid in de samenleving indien zij in handen komen van personen die onvoldoende betrouwbaar zijn om wapens en munitie voorhanden te hebben. Derhalve wordt er een restrictief beleid gevoerd waar het de toepassing van het criterium ‘geen vrees voor misbruik’ betreft.
Degene aan wie een vergunning wordt verleend voor het voorhanden hebben van wapens en/of munitie komt in een bijzondere positie te verkeren ten opzichte van zijn medeburgers, voor wie immers het algemene wettelijke verbod geldt om wapens of munitie voorhanden te hebben. Die positie brengt met zich mee dat van de vergunninghouder stipte naleving van de (wapen)wettelijke voorschriften moet kunnen worden verlangd en dat van hem tevens wordt verwacht dat hij zich onthoudt van overtredingen die kunnen worden beschouwd als een (ernstige) aantasting van de rechtsorde.
Het weigeren dan wel intrekken van een verlof is uitdrukkelijk geen strafrechtelijke sanctie, maar is een maatregel ter bescherming van de veiligheid in de samenleving. Tegen de achtergrond van het eerdergenoemde maatschappelijke belang, is daarom reeds geringe twijfel aan het verantwoord zijn van de te maken (of gemaakte) uitzondering – ook naar de vaste jurisprudentie van de afdeling Bestuursrechtspraak van de Raad van State – voldoende reden om een verlof niet te verlenen respectievelijk in te trekken. Het spreekt voor zich dat die twijfel gebaseerd moet zijn op een objectief toetsbare motivering (zie hierna).
Voor de beoordeling van de vraag of in een bepaald geval vrees voor misbruik bestaat worden in dit onderdeel een aantal concrete criteria gegeven. De korpschef zal aan de hand van deze criteria in elk geval afzonderlijk moeten bezien of er sprake is van ‘vrees voor misbruik’.
Bij het onderzoek in verband met de vraag of er vrees voor misbruik bestaat kan gebruik worden gemaakt van informatie afkomstig uit de registers van de justitiële documentatie en van andere, politiële informatie, die afkomstig kan zijn uit verschillende bronnen.
Bij dergelijk onderzoek kan blijken van:
a. veroordelingen en andere rechterlijke uitspraken;
b. andere omtrent de aanvrager bekende feiten.
Ad a. (veroordelingen en andere rechterlijke uitspraken)
Strafbare feiten
De aanvrager of houder van een in de Wet wapens en munitie genoemde vergunning mag op het moment van de aanvraag en tijdens het houderschap niet:
a. met toepassing van artikel 37 respectievelijk artikel 37a van het Wetboek van Strafrecht binnen de afgelopen acht jaren in een psychiatrisch ziekenhuis zijn geplaatst dan wel ter beschikking zijn gesteld;
b. binnen de laatste acht jaren bij onherroepelijk geworden rechterlijke uitspraak zijn veroordeeld wegens:
1. het plegen van een misdrijf waarbij een (on)voorwaardelijke gevangenisstraf is opgelegd;
2. het plegen van een misdrijf waarbij geweld of bedreiging met geweld heeft plaatsgevonden;
3. het plegen van een misdrijf of overtreding op grond van de Wet wapens en munitie;
4. het plegen van een misdrijf of overtreding op grond van de Opiumwet.
c. binnen de laatste vier jaren bij onherroepelijk geworden rechterlijke uitspraak zijn veroordeeld wegens het plegen van een misdrijf waarbij een geldboete of een taakstraf is opgelegd.
Ad b.
De in detentie doorgebrachte tijd telt niet mee voor de periode van acht jaar. De periode van acht jaar gaat dus pas in nadat betrokkene is vrijgelaten uit de gevangenis.
Ad. c
Indien op een veroordeling zowel de criteria genoemd onder ‘b’ alsmede de criteria genoemd onder ‘c’ van toepassing zijn (bijvoorbeeld een geweldsmisdrijf waarbij aan de dader een geldboete is opgelegd), dan is de onder ‘b’ genoemde termijn van acht jaar het uitgangspunt voor de beoordeling van de vraag of het voorhanden hebben van wapens en munitie (nog langer) aan betrokkene kan worden toevertrouwd.
Transacties en strafbeschikkingen
Vrijwillige betaling van een geldsom, als bedoeld in artikel 74 van het Wetboek van Strafrecht (een transactie met het Openbaar Ministerie), of als bedoeld in artikel 257a, 257b en 257ba van het Wetboek van Strafvordering (een strafbeschikking, opgelegd door het Openbaar Ministerie of door een opsporingsambtenaar) wordt gelijk gesteld met een onherroepelijk geworden rechterlijke uitspraak.
Hoger beroep
Wanneer sprake is van hoger beroep of cassatie wordt – voor het bepalen van de termijn van weigering c.q. intrekking – de datum van uitspraak in eerste aanleg als uitgangspunt genomen.
Tot dat een uitspraak onherroepelijk is geworden wordt een uitspraak waar nog hoger beroep dan wel cassatie tegen openstaat of waar hoger beroep dan wel cassatie tegen is ingesteld, gelijk gesteld met een onherroepelijk geworden rechterlijke uitspraak.
Buitenlandse veroordelingen
Een veroordeling in het buitenland, wegens overtreding van een aldaar geldende strafbepaling, wordt gelijk gesteld met een veroordeling in Nederland voor zover het feit ook in Nederland strafbaar is gesteld.
Afwijking termijnen
Er is ruimte om (gemotiveerd) van bovengenoemde leidraad af te wijken. De korpschef kan indien het gaat om een (toekomstig) vergunninghouder een kortere periode hanteren als de aard of de ernst van de verweten gedragingen, de kans op recidive, de recente persoonlijke ontwikkelingen van de betrokkene, de pleegdatum of eventuele disculperende omstandigheden dat toelaten. Zo hoeft bijvoorbeeld een incidentele veroordeling wegens rijden onder invloed, of een lichte onregelmatigheid met betrekking tot de naleving van de aan een vergunning verbonden voorschriften en beperkingen, niet zonder meer te leiden tot intrekking of weigering van een vergunning maar kan dit, afhankelijk van de omstandigheden, worden afgedaan met het geven van een schriftelijke waarschuwing.
Omgekeerd kan de korpschef ook een langere termijn aanhouden indien diezelfde factoren daartoe aanleiding geven, in het bijzonder als de aanvrager (vergunninghouder), op basis van zijn strafrechtelijk verleden, moet worden gekenschetst als een recidivist of een gewoontecrimineel.
Daar zal aanleiding toe zijn wanneer de veroordelingen buiten de termijn aansluiten op enkele of een reeks veroordelingen binnen de termijn. Een incidentele veroordeling buiten de termijn of meerdere van die veroordelingen, maar dan in een geïsoleerde periode die verder in het verleden ligt, worden niet in de beoordeling betrokken, tenzij het om een zeer ernstig feit gaat waaraan bij de vergunningaanvraag niet kan worden voorbij gegaan.
Bij gebleken illegaal wapenbezit, ongeoorloofd wapengebruik, ernstige geweldsdelicten, drugsdelicten of een lange reeks van strafbare feiten is er alle reden zware maatstaven aan te leggen ten aanzien van de periode waarover de aanvrager zal moeten aantonen zich aan de wettelijke normen te kunnen houden. Afwijking (naar beneden) van bovengenoemde leidraad zal in die gevallen zwaar moeten worden gemotiveerd.
Andere rechterlijke uitspraken dan veroordelingen
Met betrekking tot rechterlijke uitspraken die niet tot een veroordeling hebben geleid, kan onderscheid worden gemaakt tussen zaken waarbij het tot een vrijspraak is gekomen wegens het ontbreken van wettig en overtuigend bewijs en zaken waarbij de rechtbank de verdachte heeft ontslagen van alle rechtsvervolging.
Eerstgenoemde situatie zal in het algemeen minder snel aanknopingspunten bieden om een verlof te weigeren of in te trekken dan laatstgenoemde situatie. Een vrijspraak wil echter niet zonder meer zeggen dat de verdachte het feit niet heeft gepleegd, maar dat de rechter niet voldoende bewezen acht dat de verdachte het feit gepleegd heeft. De korpschef kan in bepaalde gevallen ook na een vrijspraak nog altijd reden hebben om te vrezen dat misbruik zal worden gemaakt van het verlof dan wel van wapens of munitie. In het algemeen is het wel zo dat een vrijspraak extra zware eisen zal stellen aan de motivering van de beslissing tot weigering of intrekking van het verlof.
Bij ‘ontslag van rechtsvervolging’ heeft de rechtbank geoordeeld dat het feit bewezen is maar dat of het feit of de dader niet strafbaar is. Indien het feit niet strafbaar is dan kan het plegen van dit feit in principe ook niet leiden tot intrekking of weigering van een vergunning.
Ontslag van rechtsvervolging wegens het niet strafbaar zijn van de dader kan in sommige gevallen wel leiden tot intrekking of weigering van een vergunning. Indien bijvoorbeeld het ontslag van rechtsvervolging het gevolg is van de ontoerekeningsvatbaarheid van de dader dan kan in vrijwel alle gevallen tevens geconcludeerd worden dat het voorhanden hebben van wapens en munitie aan die persoon niet kan worden toevertrouwd. Ontslag van rechtsvervolging omdat er sprake is van noodweer(exces) zal daarentegen niet zonder meer leiden tot de conclusie dat het voorhanden hebben van wapens en munitie niet langer aan betrokkene kan worden toevertrouwd. Afhankelijk van de omstandigheden van het geval zal moeten worden bekeken in hoeverre uit het gedrag van betrokkene geconcludeerd moet worden dat het voorhanden hebben van wapens en munitie niet langer kan worden toevertrouwd.
Ad b. (andere omtrent de aanvrager bekende feiten)
Algemeen
Vrees voor misbruik kan ook worden aangenomen op basis van andere, niet uit veroordelingen of transacties gebleken, omtrent betrokkene bekende feiten.
In zijn algemeenheid geldt dat tegen een aanvrager (houder) bestaande bezwaren, voor zover daarvan niet reeds blijkt uit veroordelingen of opgemaakte processen-verbaal, alsnog in een rapport dienen te worden vastgelegd.
Sepots en processen-verbaal
Te denken valt aan door het openbaar ministerie geseponeerde zaken. Indien er sprake is van sepot wegens procedurele fouten in de opsporingsfase, of omdat de zaak te lang is blijven liggen, wegens gering feit of wegens geringe strafwaardigheid van het feit, kan er een duidelijker grond voor weigering of intrekking van een verlof zijn dan bij een sepot wegens gebrek aan bewijs. Een sepot omdat betrokkene ten onrechte als verdachte is aangemerkt zal uiteraard geen rol bij de beoordeling kunnen spelen.
De vrees voor misbruik kan eveneens worden gebaseerd op een door de politie opgemaakt proces-verbaal dat (nog) niet tot een veroordeling heeft geleid of in het geval dat de persoon in kwestie in hechtenis heeft gezeten, zonder dat daar een onherroepelijke rechterlijke uitspraak aan ten grondslag ligt. Een geval waarin een proces-verbaal (nog) niet tot een veroordeling heeft geleid, doet zich voor wanneer de zaak zo recent is dat van een beslissing door de rechter of de officier van justitie nog geen sprake is (kan zijn) geweest.
Niet de veroordeling van de aanvrager of de vergunninghouder is immers de reden de vergunning te weigeren of in te trekken, maar de vrees voor misbruik. Die vrees kan er uiteraard ook al zonder veroordeling zijn. Uit het feit dat – in afwachting van een eventuele veroordeling – door de korpschef positief op de aanvraag wordt beslist, zou de betrokkene kunnen (en wellicht ook mogen) afleiden dat de korpschef de zaak niet zo ernstig neemt. Deze omstandigheid zal in bestuursrechtelijk opzicht op een later moment een hindernis kunnen vormen bij een beslissing tot intrekking, namelijk op het moment dat de veroordeling (alsnog) een feit is geworden. De bevoegdheid van de korpschef om vergunningen te weigeren en in te trekken is dan ook een eigen bestuursrechtelijke verantwoordelijkheid, die los staat van het strafrechtelijke traject.
Psychische gesteldheid
In beginsel is het niet verantwoord om aan iemand die – door oorzaken van zowel interne, als externe aard – onder sterke psychische druk staat, wat tot uitdrukking komt in een onvoorspelbaar gedragspatroon of (bijvoorbeeld) alcohol- en drugsmisbruik en waarbij de indruk bestaat dat de vergunninghouder zichzelf niet in de hand heeft, het voorhanden hebben van vuurwapens en munitie toe te vertrouwen. In het bezit van een vuurwapen zou de vergunninghouder een gevaar zijn voor zichzelf en voor de openbare orde en veiligheid. Indien de aanvrager of vergunninghouder – in tegenstelling tot de korpschef – van mening is dat het voorhanden hebben van wapens en munitie wel aan hem kan worden toevertrouwd dan dient hij dit aan te tonen middels een schriftelijke verklaring van een arts/psychiater. Uit deze verklaring moet duidelijk blijken dat de arts/psychiater bekend is met de problemen van betrokkene en dat deze niet (langer) een belemmering vormen om aan betrokkene een vergunning te verlenen voor het voorhanden hebben van (vuur)wapens. Een dergelijke verklaring wordt dan in de beoordeling betrokken, maar daaraan hoeft niet altijd doorslaggevende betekenis te worden toegekend. Dat is afhankelijk van de omstandigheden van het geval. Zo mag van iemand die recent nog onder behandeling was in verband met zijn psychische gesteldheid, worden verwacht dat hij over een langere periode aantoont dat zijn psychische gesteldheid niet meer aan het bezit van wapens en munitie in de weg staat.
Risicofactoren betreffende de psychische gesteldheid van aanvragers of houders van een wapenverlof met het oog op potentieel misbruik van een (legaal) vuurwapen zijn:
• Klinische factoren (psychische stoornis, verslaving, gedwongen opname, forensische zorg en suïcidale gedachten);
• Stressvolle omstandigheden (problemen in relationele sfeer, problemen in de arbeidssfeer of opleiding, gebrekkig sociaal steunsysteem en stressvolle levensomstandigheden);
• Specifieke kenmerken van de aanvrager (agressie, crimineel gedrag, impulsiviteit en zelfregulatie, zelfstandige handelingsbekwaamheid, fascinatie voor geweld, extreme uitingen en/of uitingen van radicalisering).
Verkeren in criminele kringen
In geval van aanwijzingen – bijvoorbeeld verkregen uit informatie van de Criminele Inlichtingen Eenheid (CIE) – dat de aanvrager (vergunninghouder) verkeert in kringen waarbinnen geweld met gebruikmaking van (vuur)wapens niet wordt geschuwd, dan wel indicaties die wijzen in de richting van betrokkenheid van aanvrager (vergunninghouder) bij enige vorm van drugshandel of zware (georganiseerde) criminaliteit dan wel het verkeren door hem in (zware) criminele kringen, is het eveneens onverantwoord om de betrokkene in het bezit te stellen c.q. te laten van een vuurwapen. Er zijn hierdoor immers (op zijn minst geringe) twijfels gerezen over de aanvaardbaarheid van de uitzonderingspositie waarin de aanvrager (vergunninghouder) komt te verkeren (verkeert) ten opzichte van zijn medeburgers. Daarbij moet wel worden bedacht dat betrokkene zoveel mogelijk de gelegenheid moet krijgen zich te verweren tegen de tegen hem bestaande bedenkingen.
Wanneer de (CIE-)informatie niet mag worden prijsgegeven zijn de desbetreffende feiten dus niet bruikbaar in een bestuursrechtelijke procedure. Vastlegging in een rapport of proces-verbaal is dus noodzakelijk maar ter bescherming van de identiteit van de informant kan worden volstaan met het beknopt vermelden van de (strafbare) feiten waarmee de aanvrager in verband wordt gebracht en wat de betrouwbaarheid is van deze informatie. In het kader van een eventuele beroepsprocedure kan de rechtbank zo nodig vertrouwelijk kennis nemen van de onderliggende informatie om zich zodoende een oordeel te kunnen vormen over de juistheid van het bestreden besluit18.
Betrokken derden
De vergunning kan ook worden geweigerd wanneer de vrees voor misbruik zich niet concentreert op de aanvrager (de houder) van de vergunning zelf, maar op bijvoorbeeld de kennelijke onbetrouwbaarheid van een huisgenoot, waarvan niet uitgesloten is dat hij het wapen zou kunnen bemachtigen. In dergelijke gevallen hoeft de vergunning niet altijd geweigerd te worden, maar kan de oplossing ook worden gezocht in aanvullende beperkingen en voorschriften op het verlof. Bijvoorbeeld door het opnemen van een voorschrift dat het wapen uitsluitend in de kluis van de schietvereniging of bij een erkenninghouder mag worden opgeslagen. Daarbij zullen echter specifieke eisen moeten worden gesteld aan de motivering van de korpschef, omdat de vrees voor misbruik niet de persoon van de aanvrager (de houder) van het verlof zelf betreft, maar een huisgenoot. Afhankelijk van onder meer de ernst van die feiten en de datum waarop zij zijn gepleegd kan een door de huisgenoot van de aanvrager (de houder) van een vergunning begaan strafbaar feit of anderszins verwijtbaar gedrag vrees voor misbruik van de vergunning, dan wel van wapens of munitie opleveren.
Relatie met de Flora- en Fauna wet
Indien er grond is om aan te nemen dat van de bevoegdheid om wapens of munitie voorhanden te hebben misbruik zal worden gemaakt dan wel dat de aanvrager hierdoor een gevaar voor zichzelf, de openbare orde of de veiligheid kan gaan vormen, dan dient een gevraagde jachtakte te worden geweigerd (zie artikel 39, eerste lid, aanhef en onder e, van de Flora- en fauna wet). De jachtakte wordt ingetrokken indien de houder misbruik heeft gemaakt van wapens of munitie dan wel van de bevoegdheid om wapens of munitie voorhanden te hebben, of indien er anderszins aanwijzingen zijn dat aan hem het voorhanden hebben van wapens en munitie niet langer kan worden toevertrouwd (zie artikel 41, eerste lid, aanhef en onder c, van de Flora- en fauna wet). De termen ‘vrees voor misbruik’ en ‘het niet langer kunnen toevertrouwen’ in de WWM en de hierboven weergegeven termen in de Flora- en fauna wet vallen inhoudelijk samen.
Hetgeen hierboven omtrent ‘vrees voor misbruik’ en ‘het niet langer kunnen toevertrouwen’ is aangegeven, geldt derhalve ook bij de toepassing van de Flora- en fauna wet.
Dit hoofdstuk bevat bijzondere regels voor sportschutters en traditionele schutters, zoals leden van Gilden en de Schutterijen, schietverenigingen, schietcentra en in B 2.9 de airsoftsport. Deze regels hebben onder meer betrekking op het gebruik van verenigingswapens (zie B 2.2), het exploiteren van een schietcentrum (zie B 2.3) en het bezit en gebruik van privé-wapens (zie B 2.4). In onderdeel B 2.5 is een toelichting opgenomen over onderdelen, hulpstukken en munitie. Voor de verschillende takken van schietsport alsmede voor verboden/ongewenste wapens bevatten de onderdelen B 2.6 respectievelijk B 2.7 nadere regels. In onderdeel 2.8 is tenslotte een drietal overgangsregelingen opgenomen met betrekking tot voor de schietsport ongewenste wapens, met betrekking tot de certificering van verenigingen en met betrekking tot herintredende verlofhouders.
Onderdeel B 2.9 heeft louter betrekking op airsoft apparaten, zoals gedefinieerd in artikel 1, onder h, van de RWM.
Wettelijk kader schietsport
In dit hoofdstuk wordt onder meer uiteengezet binnen welke kaders een schietvereniging of een individu een verlof kan krijgen ten einde de schietsport te kunnen beoefenen. In artikel 28, tweede lid, van de WWM is bepaald dat een verlof wordt verleend indien:
a. een redelijk belang de verlening van het verlof vordert;
b. de aanvrager geen gevaar voor zichzelf, de openbare orde of veiligheid kan vormen;
c. de aanvrager tenminste de leeftijd van achttien jaren heeft bereikt, behoudens de afwijking voor leden van een schietvereniging.
In artikel 7 WWM staan de algemene gronden genoemd die leiden tot afwijzing van de verlofaanvraag. Dit is het geval wanneer:
a. de aanvrager niet de door Onze Minister bij regeling vastgestelde gegevens en bescheiden heeft overgelegd;
b. er reden is om te vrezen dat aan de aanvrager het onder zich hebben van wapens of munitie niet kan worden toevertrouwd;
c. er reden is om te vrezen dat daarvan dan wel van wapens of munitie misbruik zal worden gemaakt; of
d. wanneer daartoe dringende, aan het algemeen belang ontleende, redenen bestaan.
In artikel 26, vierde lid van de WWM is opgenomen dat Onze Minister ten aanzien van de personen die houder zijn van een verlof als bedoeld in 28, tweede lid, van de WWM regels kan vaststellen met betrekking tot:
a. de medische geschiktheid en vaardigheid in het omgaan met wapens;
b. de vereiste kennis op het terrein van wapens; en
c. het aantal wapens dat zij ten hoogste voorhanden mogen hebben.
Deze regels zijn, zover voor de schietsport van belang, in artikel 43 en 43 a van de RWM uitgewerkt.
Wanneer een schietvereniging of een individueel persoon een verlofaanvraag doet in het kader van het beoefenen van de schietsport, is bovenstaande wettelijke kader van belang. Binnen dit kader wordt afgewogen of iemand in aanmerking komt voor een verlof. Hieronder wordt uiteengezet hoe aan dit kader in de praktijk invulling dient te worden gegeven.
Geen gevaar voor zichzelf, openbare orde en veiligheid
Gelet op de grote gevaarzetting van vuurwapens is er een noodzaak het voorhanden daarvan streng te reguleren. Daarom kan er alleen sprake zijn van het legaal beoefenen van de schietsport, wanneer iemand dit in Nederland op een veilige en gecontroleerde wijze doet. Hiervoor moet sprake zijn van een zogenoemd redelijk belang om wapens en munitie voorhanden te hebben. Dit is verder uitgewerkt onder het kopje redelijk belang en onder het kopje erkende en gereglementeerde takken van schietsport.
Daarnaast mag er tegen de aanvrager van een verlof tot het voorhanden hebben van wapens en munitie geen vrees voor misbruik bestaan. Dit is uitgewerkt in paragraaf B/1.2. In het geval de aanvrager een schietvereniging is mag er behalve jegens de vereniging, ook jegens de bestuurders van die vereniging en jegens de beheerders geen vrees voor misbruik bestaan. Van een wapenverlofhouder en een schietvereniging wordt verwacht dat hij op de hoogte is van de geldende (wapen)wettelijke regels en deze stipt volgt.
De wapens waarmee en de schietbaan of schietterrein waarop geschoten wordt, moeten geschikt zijn om op een veilige wijze de schietsport te beoefenen. Ook het systeem van de opbouw in wapentypes (zie onder 2.2.2, 2.2.3, 2.2.5 en 2.4.6) is een uitwerking van het wettelijk criterium dat de aanvrager geen gevaar voor zichzelf, openbare orde en veiligheid mag vormen: voorkomen moet worden dat de relatief ongeoefende schutter de beschikking krijgt over ‘zwaardere’ vuurwapens.
Bepaalde wapens zijn voor iedere discipline te gevaarlijk om te schieten. Dit is nader uitgewerkt in paragraaf B2.7.
De wapens moeten zowel door een schutter met een privé verlof als een schietvereniging op een veilige wijze worden opgeborgen. Dit is nader uitgewerkt in hoofdstuk B 8.
Een schietsport vereniging respectievelijk een vereniging waar traditioneel schieten wordt beoefend moet gelet op de voorgaande veiligheidsvereisten door de KNSA respectievelijk de KNTS zijn gecertificeerd. Deze certificering draagt er toe bij dat het schieten op een veilige en gecontroleerde wijze wordt beoefend en een sportschutter c.q. traditioneel schutter geen gevaar voor zichzelf, de openbare orde en veiligheid kan vormen. De certificering wordt hierna nog nader toegelicht. Schieten buiten een door de KNSA of KNTS gecertificeerde schietvereniging is in het kader van de openbare orde en veiligheid ongewenst.
Certificering
Krachtens artikel 43a, eerste lid, van de Rwm dient een ieder die de schietsport wenst te beoefenen en daartoe een wapenverlof aanvraagt, aangesloten te zijn bij een schietvereniging, die door de Minister van veiligheid en Justitie aangewezen organisatie is gecertificeerd. De KNSA en de KNTS zijn als organisaties door de Minister van Veiligheid en Justitie, met inachtneming van onderstaande voorwaarden, aangewezen om schietsportverenigingen c.q. verenigingen waar de traditionele schietsport wordt beoefend te certificeren. De KNSA is aangewezen omdat deze organisatie in internationaal verband het vertegenwoordigend orgaan van de schietsport en is aangesloten bij onder meer NOC*NSF, ISSF (International Shooting Sport Federation) en de ESC (European Shooting Confederation). De KNSA is daarmee de koepelorganisatie op het gebied van de schietsport in Nederland en heeft de afgelopen jaren samen met de Minister van Veiligheid en Justitie kaders ontwikkeld om te toetsen dat een schietvereniging de schietsport op een veilige en gecontroleerde wijze door haar leden laat beoefenen.
De KNTS is opgericht door de Noord Brabantse Federatie van Schuttersgilden en de Vereniging Brabantse Gildenschutters en vertegenwoordigt een belangrijk deel van de Gilden en daarmee van het traditioneel schieten in Nederland. De KNTS staat als koepel dicht bij de overige activiteiten die naast het schieten plaatsvinden bij de Gilden
De KNSA of de KNTS toetst een vereniging ter certificering in ieder geval aan de volgende voorwaarden:
1. De vereniging heeft volledige rechtsbevoegdheid.
2. Het doel (of in voorkomende gevallen een doel) van de vereniging is om haar leden in staat te stellen de schietsport of het traditioneel schieten, zoals omschreven in hoofdstuk B/2 van deze circulaire, te laten beoefenen.
3. De vereniging ziet er op toe dat alvorens een lidmaatschap aan een toekomstig lid van de vereniging wordt verleend:
a. een recente verklaring omtrent het gedrag is door het lid overgelegd;
b. de motieven voor het lidmaatschap van het lid zijn getoetst;
c. er zijn, voor zover de toetsing hiervan binnen de mogelijkheden van de vereniging ligt, van het lid geen psychische omstandigheden bekend die het adequaat beoefenen van de schietsport in de weg kunnen staan en het lid verkeert niet in criminele kringen.
4. De vereniging heeft regels gesteld waarin wordt gewaarborgd dat, voor zover dat in de mogelijkheden van de verenging ligt, leden, waarvan bij het bestuur van de vereniging bekend is dat er tegen hen vrees voor misbruik bestaat dan wel waarvan het bestuur van de vereniging vermoedt dat zij door psychische omstandigheden of andere omstandigheden niet langer de schietsport adequaat kunnen beoefenen, niet in staat worden gesteld de schietsport binnen de vereniging te beoefenen.
5. Binnen de vereniging geschiedt, met het oog op de benodigde sociale controle, de uitoefening van de schietsport exclusief in collectief verband tezamen met andere leden. Er worden regels gesteld ter waarborging van het sociale aspect van de vereniging.
6. De vereniging draagt er zorg voor dat het gebruik van wapens waarvoor een verlof is verleend, alleen is toegestaan voor zover dit conform de wedstrijdreglementen van de door de KNSA erkende of gereglementeerde schietsportdisciplines gebeurt, ofwel voor het oefenen van die disciplines, of in het geval de vereniging lid is van de KNTS de door de KNTS gereglementeerde traditionele schietsportdisciplines. Wanneer het voor oefendoeleinden noodzakelijk is, kan worden afgeweken van wedstrijdreglementen (zoals de schietafstand, toegestane tijd, grootte van de kaart waarop wordt geschoten).
7. Het gebruik van hulpmiddelen en speciale kleding is binnen de reglementen van de vereniging alleen toegestaan voor zover dit conform de wedstrijdreglementen van de door de KNSA erkende of gereglementeerde schietsportdisciplines is, ofwel dit noodzakelijk is voor de beoefening van die disciplines. Voor de verenigingen die zijn aangesloten bij de KNTS, zijn de binnen de Gilden of Schutterijen gebruikelijke traditionele uniformen en hulpmiddelen toegestaan.
8. De vereniging organiseert voor de verlof houdende leden die niet reeds aantoonbaar op hoger wedstrijdniveau de schietsport beoefenen, een verplichte interne competitie.
9. Binnen de vereniging is geen sprake van vermenging van commerciële belangen direct gelieerd aan de schietsport en de vereniging.
10. De vereniging houdt zich stipt aan alle op haar van toepassing zijnde wettelijke bepalingen en draagt er zorg voor dat de schietlocatie waar zij schiet aan alle wettelijke vereisten voldoet.
Redelijk belang
Om een verlof tot het voorhanden hebben van wapens en munitie als bedoeld in artikel 28, eerste lid, van de Wwm te verkrijgen moet er sprake zijn van een redelijk belang tot het voorhanden hebben van wapens en munitie. De schietsport of het traditioneel schieten kan een redelijk belang opleveren tot het voorhanden hebben van wapens en munitie. Dit is alleen het geval, indien er geen gevaar is voor de openbare orde en veiligheid, de schietsport of het traditioneel schieten op een veilige en gecontroleerde wijze wordt beoefend, en het gaat om het (in wedstrijdverband) beoefenen van een erkende of gereglementeerde tak van schietsport of het traditioneel schieten (hierna ook wel schietsportdisciplines genaamd) in het verband van een gecertificeerde schietvereniging. Een schietsportvereniging of een vereniging aangesloten bij de KNTS dient om een verlof tot het voorhanden hebben van wapens en munitie te verkrijgen, haar leden in staat te stellen een erkende of gereglementeerde schietsportdiscipline binnen haar vereniging te beoefenen.
Erkende en gereglementeerde takken van schietsport
Schietsportdisciplines vormen een indeling van vormen van schietsport (binnen een wapengroep), die kunnen worden onderscheiden op grond van houding en positie, aantal schoten, soort wapen, soort kaliber en schietafstand. Er kan alleen een verlof worden verleend, wanneer sprake is van beoefening van een door de KNSA erkende of gereglementeerde tak van schietsport. Voor de verenigingen die lid zijn van de KNTS gelden de door de KNTS gereglementeerde traditionele schietsportdisciplines. Het erkennen van de takken van de schietsport laat ik aan deze verenigingen over, omdat het bepalen in hoeverre een activiteit tot een tak van sport of traditioneel schieten wordt gerekend bij uitstek, ook volgens de Vaste Kamercommissie voor Veiligheid en Justitie, een taak van de landelijke schietsportbond of de landelijke bond van traditionele schutters is. In 2.6 zijn de regels omtrent schietsportdisciplines nader uitgelegd.
Schietvereniging
Onder een schietvereniging, wordt verstaan de vereniging die blijkens de in een notariële akte opgenomen statuten tot doel heeft haar leden in de gelegenheid te stellen de schietsport te beoefenen (artikel 1, eerste lid, aanhef en onder g, RWM). Een schietsportvereniging of een vereniging aangesloten bij de KNTS kan een verenigingsverlof krijgen indien zij hierbij een redelijk belang heeft en zij met dit verlof geen gevaar voor zichzelf, de openbare orde of de veiligheid vormt. Voor verenigingen die in aanmerking wensen te komen voor een zogenaamd verenigingsverlof, geldt dat zij door de KNSA of KNTS gecertificeerd dienen te worden en dat binnen die vereniging de schietsport wordt beoefend overeenkomstig een door de KNSA erkende of gereglementeerde tak van schietsport. Voor de verenigingen die lid zijn van de KNTS gelden de door de KNTS gereglementeerde traditionele schietsportdisciplines.
Aan een door de KNSA of KNTS gecertificeerde schietsportvereniging c.q. vereniging waar de traditionele schietsport wordt beoefend, kan een verlof worden verleend tot het voorhanden hebben van vuurwapens, die aan die vereniging toebehoren en die bestemd zijn voor gebruik door de leden van die vereniging. Een verenigingsverlof wordt alleen verleend indien de schietvereniging en haar leden met de verlening van dit verlof geen gevaar voor zichzelf, de openbare orde of veiligheid kunnen vormen en er een redelijk belang is voor het verlenen van het verlof. Het verlof tot het voorhanden hebben van verenigingswapens en munitie wordt feitelijk gesteld op naam van de beheerder(s) van de vereniging. De vereniging dient zich bezig te houden met het beoefenen van de (traditionele) schietsport en alle geldende wetten en regelgeving na te leven.
Geen gevaar voor zichzelf, de openbare orde en veiligheid
Gelet op de grote gevaarzetting van vuurwapens is er een noodzaak het voorhanden daarvan streng te reguleren. Daarom kan er alleen sprake zijn van het legaal beoefenen van de schietsport, wanneer iemand dit in Nederland op een veilige en gecontroleerde wijze doet. Er kan alleen sprake zijn van een veilige en gecontroleerde wijze, wanneer de persoon die wapens en munitie voorhanden heeft, dit op legale gronden heeft.
Jegens de vereniging en ook jegens de bestuurders van die vereniging en jegens de beheerders van die vereniging mag geen vrees voor misbruik bestaan. Van de schietvereniging en haar bestuurders en beheerders wordt verwacht dat zij op de hoogte zijn van de geldende (wapen)wettelijke bepalingen en deze stipt volgen.
Wanneer een vereniging een verenigingsverlof voor de schietsport aanvraagt, moet in ieder geval blijken dat de beheerders, al langere tijd conform de geldende regels de schietsport beoefenen en gedurende die periode voldoende oefening hebben gehad. Ook het systeem van de opbouw in wapentypes (zie onder 2.2.2, 2.2.3, 2.2.5 en 2.4.6) is met dit doel in het leven geroepen: voorkomen moet worden dat de relatief ongeoefende schutter de beschikking krijgt over ‘zwaardere’ vuurwapens.
Redelijk belang
Om een verlof tot het voorhanden hebben van wapens en munitie als bedoeld in artikel 28, eerste lid, van de Wwm te verkrijgen moet er sprake zijn van een redelijk belang tot het voorhanden hebben van wapens en munitie. De schietsport kan een redelijk belang opleveren tot het voorhanden hebben van wapens en munitie. Dit is alleen het geval, indien de schietvereniging door de KNSA of vereniging waar de traditionele schietsport wordt beoefend door de KNTS is gecertificeerd en met de wapens die zij aanvraagt door haar leden binnen de vereniging op een veilige en gecontroleerde wijze, in wedstrijdverband, een door de KNSA erkende of gereglementeerde tak van de schietsport wordt beoefend. Voor de verenigingen die lid zijn van de KNTS gelden de door de KNTS gereglementeerde traditionele schietsportdisciplines. Het aantal vuurwapens, waarvoor het verenigingsverlof geldt, dient voorts in een redelijke verhouding te staan tot het aantal leden dat regelmatig van die wapens gebruik maakt. Een eenmaal bevoegd voorhanden gehouden vuurwapen mag alleen gebruikt worden binnen de doelen waarvoor de bevoegdheid is verkregen. Misbruik maken van deze bevoegdheid door het vuurwapen voor andere doeleinden dan de schietsport te gebruiken, geldt als intrekkingsgrond, zoals bepaald in artikel 7, tweede lid, onder c van de Wet wapens en munitie.
Aanvraagformulieren
De vereniging dient bij de aanvraag tot een verlof gebruik te maken van de door de Minister van Veiligheid en Justitie in de Rwm vastgestelde aanvraagformulieren.
In het verenigingsverlof wordt vermeld wie als beheerder van de verenigingswapens optreedt, voor zover het betreft het beheren van de vuurwapens. Het verlof wordt aan de beheerder verstrekt. Indien meer (bestuurs-)leden als beheerder optreden, dan verkrijgt ieder van die (bestuurs-)leden een verlof tot het voorhanden hebben van verenigingswapens, met daarop zijn naam. Het verlof bevat tevens zijn pasfoto.
Indien er ten aanzien van de vereniging, het bestuur van de vereniging en de beheerder geen vrees voor misbruik bestaat, kan het gevraagde verlof, met een geldigheidsduur van één jaar, worden verleend. Op het verlofdocument kan, indien hiervoor een redelijk belang bestaat, worden aangegeven dat tevens verlof tot vervoer en verlof tot het voorhanden hebben van de bijbehorende munitie wordt verleend.
Bij verlening en verlenging van het verlof behoeft de beheerder niet te voldoen aan het minimum aantal schietbeurten dat met betrekking tot het voorhanden hebben van privé-wapens geldt.
Bij een eerste verlofaanvraag dient (de vertegenwoordiger van) de korpschef – middels een bezoek aan de locatie waar het wapen en/of de munitie opgeslagen zal gaan worden – te controleren of de aanvragende vereniging beschikt over een opbergplaats die voldoet aan de eisen voor het opbergen van wapens en munitie (zie B/8). Deze controle wordt, in verband met de mogelijk daaruit voor de aanvrager voortvloeiende consequenties, zoals de aanschaf van een wapenkluis of de aanpassing van een bergplaats, pas gedaan als vaststaat dat het verlof kan worden verleend. Er zijn tenminste 3 persoonlijke contactmomenten tussen het bestuur, de beheerder van de vereniging en politie. Het is van groot belang dat de politie iedere beheerder van het verenigingsverlof bij een eerste verlofaanvraag in persoon ontmoet. De beheerder(s) word(t)(en) daarom uitgenodigd zelf het aanvraagformulier in persoon op het politiebureau af te geven. Een ander moment van persoonlijk contact tussen de vertegenwoordiging van de vereniging en politie in het aanvraagproces betreft de controle van de wapenkluis of wapenkamer. De eis dat de beheerder(s) de documenten dien(t)(en) af te halen op het politiebureau staat garant voor een derde moment van persoonlijk contact.
Verenigingswapens zijn ervoor bestemd om de leden van de vereniging, die niet over een (geschikt) eigen vuurwapen beschikken, in staat te stellen de desbetreffende tak van schietsport te beoefenen. De op het verenigingsverlof vermelde beheerders mogen daartoe de verenigingswapens ter hand stellen aan andere leden, die onder toezicht van die beheerders en binnen de eigen verenigingsaccommodatie, de schietsport beoefenen.
Voor het gebruik van verenigings- en privéwapens mag de vereniging munitie aan haar leden ter beschikking stellen. De vereniging mag alleen die munitie aan haar leden ter beschikking stellen die de vereniging zelf krachtens het verenigingsverlof voorhanden mag hebben.
Bij de uitgifte en het gebruik van verenigingswapens en munitie dienen, met het oog op het voorkomen van gevaar voor de openbare orde of veiligheid, de volgende voorschriften in acht genomen. Deze voorschriften worden ook in het verenigingsverlof opgenomen:
a. Het gebruik van de op het verenigingsverlof vermelde verenigingsvuurwapens is uitsluitend toegestaan aan:
• (aspirant) leden van een schietvereniging met een KNSA-licentie, (aspirant) leden van een schietvereniging met KNTS-licentie of leden van een door de KNSA gecertificeerde schietvereniging of introducés, conform de regeling voor promotieactiviteiten en introducés (zie B 2.2.5.).
• leden van de traditionele schietverenigingen zonder wapen die geen KNTS-licentie hebben. Deze leden mogen ten hoogste drie keer per jaar gebruik maken van de verenigingswapens of de wapens van leden van de vereniging, voor het schieten tijdens het koning/keizerschieten, het gemeentelijk koningschieten en het koning/keizerschieten tijdens gildendagen en landjuwelen. In alle andere gevallen, bijvoorbeeld bij het schieten tijdens oefenavonden, in wedstrijdverband en bij schietwedstrijden tijdens gildedagen, dient men in het bezit te zijn van een licentie van de KNTS of KNSA om gebruik te mogen maken van de verenigingswapens.
b. De schietvereniging dient een wapenuitgifteregister bij te houden conform het model van de KNSA; of -voor verenigingen die niet zijn aangesloten bij de KNSA het model opgenomen in bijlage C6. De bij de KNTS aangesloten verenigingen dienen gebruik te maken van het door de KNTS vastgestelde model.
c. De schietvereniging dient een munitie-uitgifteregister bij te houden conform het model van de KNSA; of -voor verenigingen die niet zijn aangesloten bij de KNSA- het model opgenomen in bijlage C8. De bij de KNTS aangesloten verenigingen dienen gebruik te maken van het door de KNTS vastgestelde model.
d. De beheerder dient er op toe te zien dat het verenigingswapen door het (aspirant) lid, na afloop van diens oefening of wedstrijd, zo spoedig mogelijk aan hem wordt teruggegeven.
e. Het gebruik van de aan leden verstrekte munitie geschiedt, voor zover het gaat om leden die geen privé- verlof hebben tot het voorhanden hebben van die munitie, onder toezicht van de beheerder. Dit toezicht is zodanig georganiseerd dat het niet mogelijk is dat het lid de eventueel niet verschoten munitie meeneemt buiten de schietaccommodatie. De eventueel niet verschoten munitie dient na afloop van de oefening of wedstrijd bij de beheerder in bewaring te worden gegeven die het opbergt in de daarvoor bestemde bergplaats.
f. Aan leden die korter dan één jaar volwaardig lid zijn van een schietvereniging, mogen alleen de op het verenigingsverlof vermelde verenigingsvuurwapens19 worden uitgeleend die geschikt zijn voor de Olympische disciplines. Aan leden van de bij de KNTS aangesloten vereniging die korter dan één jaar volwaardig lid zijn mogen de bij die vereniging voor het traditioneel schieten in gebruik zijnde verenigingswapens of bij die vereniging in gebruik zijnde privé vuurwapens worden uitgeleend.
Het beoefenen van de (traditionele) schietsport met verenigingswapens, door leden van die vereniging, buiten de accommodatie van de eigen schietvereniging (bijvoorbeeld het deelnemen aan een schietwedstrijd elders) kan op de volgende wijzen plaatsvinden:
a. De beheerder van de verenigingswapens begeleidt het desbetreffende lid naar die andere schietvereniging of schietplaats, alwaar hij hem het wapen ter beschikking stelt. Het lid schiet dan onder toezicht van de beheerder. Na afloop van de wedstrijd of de schietoefening neemt de beheerder het wapen weer in ontvangst.
b. Eén of meerdere verenigingswapens worden door de beheerder uitgeleend aan een lid van de vereniging ter medeneming naar elders. De duur van de uitlening dient in een redelijke verhouding te staan tot het gebruik dat het betrokken lid van dat vuurwapen buiten de vereniging maakt. Met andere woorden, hij mag het wapen niet voor langere perioden onder zich houden of thuis voorhanden hebben maar dient het steeds binnen redelijke termijn na gebruik weer aan de beheerder terug te geven. De beheerder mag niet meer wapens tegelijkertijd aan één persoon uitlenen dan deze redelijkerwijze voor gebruik buiten de eigen vereniging nodig heeft. Bij gebruikmaking van deze mogelijkheid dient aan de volgende voorwaarden te worden voldaan:
1. het lid dient tenminste een jaar lid te zijn van de schietvereniging;
2. het lid dient in het bezit te zijn van een op zijn naam gesteld verlof tot het voorhanden hebben en tot het vervoer van die verenigingswapens (maximaal 5), waarover hij met goedvinden van het bestuur buiten de accommodatie van de vereniging mag beschikken; en
3. de beheerder dient een register bij te houden, conform het model van de KNSA of -voor verenigingen die niet zijn aangesloten bij de KNSA-het model opgenomen in bijlage C7, waarin hij aantekening doet van de uitlening van een verenigingswapen. De bij de KNTS aangesloten verenigingen dienen gebruik te maken van het door de KNTS vastgestelde model.
4. aan leden die korter dan twee jaar lid zijn van de schietvereniging20, mogen alleen de op het verenigingsverlof vermelde verenigingsvuurwapens21 worden uitgeleend die geschikt zijn voor de Olympische disciplines, de disciplines van de International Sport Shooting Federation en de disciplines van de Muzzle Loaders Associations International Committee, zoals gereglementeerd door de KNSA.
Bij verlening en verlenging van het verlof behoeft betrokkene niet te voldoen aan het minimum aantal schietbeurten dat met betrekking tot het voorhanden hebben van privé-wapens geldt.
Er zijn studentenweerbaarheidsverenigingen waaraan door de krijgsmacht vuurwapens ter beschikking worden gesteld om te worden gedragen bij het uitoefenen van eerbetoon en soortgelijke manifestaties. De aanvraag voor een verlof tot het voorhanden hebben en vervoeren van deze wapens en de bijbehorende munitie, wordt door het bestuur van de betrokken vereniging ingediend bij de korpschef. De aanvraag wordt eerst in behandeling genomen nadat de bereidheid om de wapens ter beschikking te stellen schriftelijk is bevestigd van de zijde van de verantwoordelijke militaire autoriteit, die daarbij dient aan te geven om welke wapens het gaat, met vermelding van typen en nummer.
In het verenigingsverlof wordt vermeld wie als vertegenwoordiger van de vereniging optreedt, voor zover het betreft het beheren van de vuurwapens. Het verlof bevat tevens zijn pasfoto. Indien meer (bestuurs-)leden als beheerder optreden, dan verkrijgt ieder van die (bestuurs-)leden een verenigingsverlof.
Op het verlof tot het voorhanden hebben dient hetgeen onder ‘BEPERKINGEN’ is gesteld met betrekking tot het vervoer, te worden aangepast aan de feitelijke situatie.
Verenigingsverloven en verloven tot het voorhanden hebben van privé-vuurwapens strekken er niet toe om personen die geen lid zijn van een schietvereniging in staat te stellen de schietsport te beoefenen.
Niettemin bestaat er zoals ook gesteld in artikel 43a van de Rwm geen bezwaar tegen indien een schietvereniging incidenteel – in het kader van promotie van de vereniging en de schietsport – geïnteresseerden (introducés) in de gelegenheid stelt met de schietsport kennis te maken. Deze promotieactiviteiten mogen zowel georganiseerd (door het bestuur van de vereniging) als ad hoc (bijvoorbeeld een door een lid van de vereniging meegebrachte introducé) plaatsvinden. Het organiseren van bedrijfsfeesten of andere evenementen – waarbij met vuurwapens kan worden geschoten – is echter niet toegestaan. Uitsluitend erkende schietcentra mogen op commerciële basis vuurwapens ter beschikking stellen aan derden (zie onderdeel B/2.3 voor de voorwaarden).
Bij het ter beschikking stellen van verenigings- of privé-wapens aan introducés dienen de volgende voorschriften in acht te worden genomen. Hierbij geldt dat de voorschriften voor zover het gaat om het ter beschikking stellen van luchtdrukwapens, slechts gelden voor het ter beschikking stellen aan minderjarigen.
a. De schietvereniging dient een introducéregister22 bij te houden conform het model van de KNSA; of – voor verenigingen die niet zijn aangesloten bij de KNSA – het model dat onder bijlage C9 bij deze Circulaire is gevoegd De bij de KNTS aangesloten verenigingen dienen gebruik te maken van het door de KNTS vastgestelde model.
b. het vuurwapen of luchtdrukwapen alsmede de daarbij behorende munitie mag pas op het schietpunt van de schietbaan – door de persoon die bevoegd is het betrokken vuurwapen voorhanden te hebben – aan de schutter worden afgegeven23;
c. de persoon die bevoegd is het betrokken vuurwapen of luchtdrukwapen voorhanden te hebben blijft tijdens het schieten in de onmiddellijke nabijheid van de schutter op het schietpunt;
d. het vuurwapen en de niet verschoten patronen of het luchtdrukwapen dienen onmiddellijk na de schietoefening op het schietpunt te worden teruggegeven aan de persoon die bevoegd is het betrokken vuurwapen voorhanden te hebben;
e. door de persoon die bevoegd is het betrokken vuurwapen voorhanden te hebben dient gecontroleerd te worden of het aantal verschoten patronen plus het aantal overgebleven patronen overeenkomt met het aantal uitgereikte patronen;
f. dezelfde persoon mag – binnen een periode van 12 maanden – maximaal drie keer worden geïntroduceerd;
g. de introducé bij een door de KNSA gecertificeerde vereniging mag alleen de op het verenigingsverlof vermelde verenigingsvuurwapens24 gebruiken welke geschikt zijn voor de Olympische disciplines.25
h. de introducé bij een door de KNTS gecertificeerde vereniging mag schieten met de op het verenigingsverlof vermelde verenigingsvuurwapens die normaliter door de vereniging tijdens wedstrijden worden gebruikt.
De onder f genoemde beperking geldt niet ten aanzien van personen die aantoonbaar in het kader van de door de Stichting Jachtopleidingen Nederland (SJN) georganiseerde jachtcursussen ten behoeve van het behalen van een erkend jachtexamen, gebruik maken van de faciliteiten van een schietvereniging.
Het is niet ongebruikelijk dat een houder van een erkenning bij wijze van nevenactiviteit een schietcentrum exploiteert. Hierbij wordt ook aan personen die niet beschikken over een eigen vuurwapen de gelegenheid gegeven buiten verenigingsverband recreatief te schieten. Er bestaat geen bezwaar tegen deze activiteit mits er wordt voldaan aan de onderstaande voorwaarden. De houders van een erkenning kunnen derhalve, naast het verrichten van de activiteiten genoemd in artikel 9, eerste lid, WWM, een schietcentrum exploiteren. Op het bewijs van erkenning wordt aantekening gedaan van het verrichten van deze activiteiten. Bij de exploitatie van een schietcentrum dient het volgende in acht te worden genomen.
1. Met de feitelijke leiding van het schietcentrum is de in het bewijs van erkenning genoemde beheerder belast. Door de beheerder en zijn schietinstructeurs wordt toezicht gehouden op de naleving van de veiligheidsvoorschriften inzake het omgaan met vuurwapens.
2. De erkenninghouder dient een bezoekersregister26 bij te houden waarin alle personen dienen te worden vermeld die gebruik maken van het schietcentrum. Van deze personen dienen minimaal de volgende gegevens te worden geregistreerd:
a. Datum;
b. Naam en voorletters van de schutter;
c. Woonplaats;
d. Soort legitimatiebewijs (paspoort, rijbewijs of ID-kaart);
e. Nummer legitimatiebewijs;
f. Nummer van de wapenvergunning (verlof of jachtakte) waarop het wapen staat vermeldt waarmee wordt geschoten.
3. Voor zover de gelegenheid tot schieten wordt gegeven aan personen die niet beschikken over een eigen vuurwapen gelden in aanvulling hierop nog de volgende voorschriften:
a. bij het schieten mogen geen andere vuurwapens worden gebruikt dan de hageljachtgeweren of kogelgeweren van het kaliber .22 long rifle, welke door de beheerder op grond van zijn erkenning voorhanden mogen worden gehouden. Het gebruik van voor de schietsport verboden of ongewenste wapens (zie onderdeel B 2.7) is niet toegestaan;
b. het schieten met hagelgeweren is uitsluitend toegestaan ten behoeve van het kleiduivenschieten in de door de KNSA erkende kleiduivendisciplines;
c. het vuurwapen alsmede de daarbij behorende munitie mag pas op het schietpunt van de schietbaan door de beheerder of door een van zijn schietinstructeurs aan de schutter worden afgegeven27;
d. de beheerder of de betrokken schietinstructeur blijft tijdens het schieten bij de schutter op het schietpunt;
e. het vuurwapen en de overgebleven patronen dienen onmiddellijk na het schieten op het schietpunt weer aan de beheerder of de betrokken schietinstructeur te worden terug gegeven;
f. gecontroleerd wordt of het aantal verschoten patronen plus het aantal overgebleven patronen overeenkomt met het aantal uitgereikte patronen.
4. De erkenning houder, de beheerder en het voor de erkenning houder werkzame personeel mogen geen schietbeurten aftekenen.
5. Jachtaktehouders, al dan niet door deelname aan wedstrijden, en personen die aantoonbaar in het kader van de door de Stichting Jachtopleidingen Nederland (SJN) georganiseerde jachtcursussen ten behoeve van het behalen van een erkend jachtexamen, gebruik maken van de faciliteiten van een schietcentrum, mogen, indien het schietcentrum over de nodige faciliteiten beschikt, ook schieten met hageljachtgeweren of kogelgeweren van een ander kaliber, welke zijn toegestaan voor jacht, beheer en schadebestrijding. Hierbij geldt als vanzelfsprekend dat het gebruik van voor de schietsport verboden of ongewenste wapens (zie onderdeel B 2.7) behoudens semi-automatische en repeterende (pomp-mechanisme, hendel- en grendel repeteer) hagelgeweren28, niet is toegestaan.
Een sportschutter kan een verlof tot het voorhanden hebben van wapens en munitie ten behoeve van de schietsport verkrijgen. Onder schietsport wordt hier verstaan: het in wedstrijdverband beoefenen van een door de KNSA erkende of gereglementeerde tak van schietsport. Voor de schutters van de verenigingen die lid zijn van de KNTS gelden de door de KNTS gereglementeerde takken van het traditioneel schieten. Om een dergelijk privé verlof te verkrijgen, dient er jegens de sportschutter of traditioneel schutter geen vrees voor misbruik te bestaan en dient er door verlening van het verlof geen gevaar te bestaan voor de openbare orde of veiligheid en dient de sportschutter een redelijk belang te hebben tot het voorhanden hebben van wapens en munitie.
Geen gevaar voor zichzelf voor de openbare orde en veiligheid.
In dit hoofdstuk zijn ook een aantal nadere specifieke eisen voor sportschutters met een privé verlof gesteld, welke zijn terug te voeren op het wettelijke criterium dat de aanvrager geen gevaar voor zichzelf, de openbare orde of veiligheid mag vormen. Met het stellen van deze voorwaarden wordt tevens voorkomen dat een ieder die stelt de schietsport te willen beoefenen, een verlof kan krijgen voor een vuurwapen. Wanneer een persoon een privéverlof voor de schietsport aanvraagt, moet in ieder geval blijken dat de betrokkene minimaal twaalf maanden voorafgaande de aanvraag conform de geldende regels de schietsport beoefent en gedurende die periode voldoende oefening heeft gehad. Ook het systeem van de opbouw in disciplines en wapentypes (zie 2.4.4) is met dit doel in het leven geroepen: voorkomen moet worden dat de relatief ongeoefende schutter de beschikking krijgt over ‘zwaardere’ vuurwapens.
Bij een eerste verlofaanvraag dient de vertegenwoordiger van de politiechef – middels een bezoek aan de locatie waar het wapen en/of de munitie opgeslagen zal gaan worden – te controleren of de aanvrager beschikt over een opbergplaats die voldoet aan de eisen voor het opbergen van wapens en munitie (zie B 8). Deze controle wordt, in verband met de mogelijk daaruit voor de aanvrager voortvloeiende consequenties, zoals de aanschaf van een wapenkluis of de aanpassing van een bergplaats, pas gedaan als vaststaat dat het verlof kan worden verleend. Er zijn tenminste 3 persoonlijke contactmomenten tussen aanvrager en politie.
Het is van groot belang dat de politie iedere aanvrager van een verlof bij een eerste verlofaanvraag in persoon ontmoet. De aanvrager wordt daarom uitgenodigd zelf het aanvraagformulier in persoon op het politiebureau af te geven. Een ander moment van persoonlijk contact tussen de verlofaanvrager en de politie betreft de controle van de wapenkluis thuis. De eis dat de verlofaanvrager het document zelf dient af te halen op het politiebureau staat garant voor een derde moment van persoonlijk contact.
Redelijk belang
Om een verlof tot het voorhanden hebben van wapens en munitie als bedoeld in artikel 28, eerste lid, van de Wet wapens en munitie te verkrijgen moet er sprake zijn van een redelijk belang tot het voorhanden hebben van wapens en munitie. De (traditionele) schietsport kan een redelijk belang opleveren tot het voorhanden hebben van wapens en munitie. Dit is alleen het geval, indien de aanvrager op een veilige en gecontroleerde wijze (in wedstrijdverband), gedurende een periode van twaalf maanden voorafgaande de aanvraag, een erkende of gereglementeerde tak van schietsport binnen zijn gecertificeerde schietvereniging beoefent. De aanvrager dient regulier lid te zijn, en gedurende minimaal 1 jaar voorafgaande de aanvraag regulier lid te zijn geweest, van zijn gecertificeerde schietvereniging. Een eenmaal bevoegd voorhanden gehouden vuurwapen mag alleen gebruikt worden binnen de doelen van die waarvoor de bevoegdheid is verkregen. Misbruik maken van deze bevoegdheid door het vuurwapen voor andere doeleinden dan de schietsport te gebruiken, geldt als intrekkingsgrond, zoals bepaald in artikel 7, tweede lid, onder c, van de Wet wapens en munitie.
Bij het aanvragen van een nieuw verlof dan wel bij de aanvraag tot verlenging van een bestaand verlof dient de aanvrager, aan te tonen dat hij in de 12 maanden voorafgaande aan de aanvraag minimaal 18 schietbeurten bij een gecertificeerde schietsportvereniging met een vuurwapen heeft verricht. De verlofhouder toont hiermee aan dat hij de schietsport beoefent (redelijk belang) en zijn vaardigheid in de omgang met wapens op peil tracht te houden.
Hierbij gaat het om het totaal aantal door de verlofhouder in de voorafgaande 12 maanden verrichte schietbeurten. Hoe de schietbeurten over deze periode zijn verdeeld, en met welk vuurwapen waarvoor het verlof geldt is geschoten, is hierbij niet van belang.
De aanvrager dient hiertoe een op naam gesteld en door het bestuur van de schietvereniging gewaarmerkt schietregister te overleggen, waarin aantekening is gedaan van de schietoefeningen waaraan de aanvrager heeft deel genomen. De aantekening dient te vermelden:
a. de datum;
b. het naamstempel van de vereniging/schietbaan waar de oefening of wedstrijd is geschoten;
c. de naam en de handtekening of paraaf van een bestuurslid of een namens het bestuur optredende baancommandant, veiligheidsfunctionaris of organisator van de schietwedstrijd.
Als de schutter op een schietbaan een schietbeurt in zijn register doet aantekenen, dient zijn aanwezigheid op die schietbaan te blijken uit het aldaar aanwezige presentieregister, tenzij hij heeft deelgenomen aan een wedstrijd en zijn naam voorkomt op de lijst van deelnemers. Het presentieregister dient per dag te worden afgesloten en afgetekend. Het blad of de bladen worden na afloop van de schietoefening afgesloten en opgeborgen in het archief van de vereniging Zij worden desgevraagd aan de politie getoond indien er twijfel is over de juistheid van de in een schietregister geregistreerde schietbeurten.
In het buitenland verrichte schietbeurten
Schietbeurten die zijn verricht in een land dat deel uitmaakt van de Europese Unie tellen mee voor de bepaling van het aantal verrichte schietbeurten voor zover de desbetreffende sportschutter dit kan aantonen middels het overleggen van originele wedstrijdbriefjes of een originele gewaarmerkte verklaring van een, te goeder naam en faam bekend staande, schietvereniging waar de schietbeurten zijn verricht. Voor informatie over buitenlandse schietverenigingen kan zo nodig contact worden opgenomen met de KNSA.
Telling van schietbeurten
Als uitgangspunt geldt dat niet meer dan één schietbeurt per dag kan worden aangetekend, ongeacht het aantal wapens waarmee is geschoten.
Hierop bestaan echter twee uitzonderingen:
• Voor geweren van de wapengroepen ‘Groot Kaliber Geweer’ en ‘Historische wapens’ geldt dat, voor zover is geschoten op een door de overheid ter beschikking gestelde schietaccommodatie, per dag één schietbeurt kan worden aangetekend voor ieder wapen waarmee daadwerkelijk is geschoten. Deze uitzondering geldt alleen voor zover uit het stempel in het schietregister blijkt dat er geschoten is op een overheidsbaan. Voorbeeld: drie stempels van het Infanterie Schietkamp Harskamp betekent dat er is geschoten met drie geweren.
• Voor alle wapens geldt dat iedere deelname aan een officieel erkend (inter-)nationaal, districts- of afdelingskampioenschap als aparte schietbeurt kan worden aangetekend (ongeacht het wapen waarmee is geschoten). Desgevraagd moeten wedstrijdbriefjes worden overgelegd.
Onvoldoende schietbeurten
Wanneer de aanvrager bij verlenging van de geldigheidsduur van een bestaand verlof niet kan aantonen voldoende schietbeurten te hebben behaald maar wel ten genoegen van de korpschef kan onderbouwen, dat het tekort aan schietbeurten het gevolg is van een oorzaak die hem redelijkerwijs niet kan worden aangerekend – bijvoorbeeld langdurige ziekte, langdurig verblijf in het buitenland, andere persoonlijke omstandigheden – dan kan de verlenging van de geldigheidsduur van het verlof hem niettemin worden toegestaan.
Het kunnen beoefenen van de schietsport in buitenlands verenigingsverband levert voor de betrokkene weliswaar een belang op bij het voorhanden mogen hebben van vuurwapens, maar dit enkele belang is geen ‘redelijk belang’ in de zin van artikel 28 van de WWM. Gelet op de restrictieve wetgeving en het dienovereenkomstige beleid, wordt geen verlof verleend indien de aanvrager slechts de bedoeling heeft buiten Nederland de schietsport te beoefenen. De betrokkene zal zich, om in het desbetreffende land de bevoegdheid te krijgen om over een wapen te beschikken, tot de autoriteiten van dat land moeten wenden. Hij zal er voorts voor moeten zorgen dat het wapen in dat land – ten behoeve van het doel waarvoor hij het voorhanden wil houden – kan worden bewaard.
Uitgangspunt ingevolge het bepaalde in artikel 43, eerste lid RWM, is – zoals hiervoor reeds uiteengezet – een maximum aantal van vijf vuurwapens, bij te schrijven op een verlof tot het voorhanden hebben. Dit criterium houdt verband met de doelstelling van de WWM om het legale wapenbezit binnen redelijke grenzen te houden. Het staat de sportschutter echter vrij om, binnen de grenzen van het maximum aantal van vijf vuurwapens (zie B 2.4.1, onder g), meer wapens van een zelfde type of kaliber voorhanden te hebben.
In het derde lid van artikel 43 van de RWM is echter bepaald dat het maximum van vijf wapens niet van toepassing is op houders van een verlof tot het voorhanden hebben die aantonen dat zes of meer wapens voor hen onontbeerlijk zijn voor de beoefening van de schietsport. Deze verklaring dient te worden afgegeven door de KNSA en te worden ondersteund door het bestuur van de vereniging waar de betrokkene de schietsport beoefent. Het moet gaan om een uitzonderingssituatie.
Beginnende sportschutters
Ten aanzien van beginnende sportschutters geldt een stringenter wapenregime.
De sportschutter die voor de eerste maal een vuurwapenverlof aanvraagt, komt slechts in aanmerking voor een verlof voor één vuurwapen, niet zijnde een semi-automatisch geweer, welke geschikt is voor de Olympische disciplines, zoals door de KNSA gereglementeerd. (Zie B/2.6). Gedurende het eerste verlofjaar geldt het verlof voor niet meer dan één vuurwapen.
De sportschutter die, nadat hem bij zijn eerste verlofaanvraag een wapenverlof is verleend, voor de eerste maal een verlenging van een vuurwapenverlof aanvraagt, komt slechts in aanmerking voor een verlof voor vuurwapens, niet zijnde semi-automatische geweren, welke geschikt zijn voor de Olympische disciplines, de disciplines van de International Sport Shooting Federation en de disciplines van de Muzzle Loaders Associations International Committee, zoals gereglementeerd door de KNSA, tijdelijk worden afgestaan. Voor de traditionele schutter die voor de eerste maal een vuurwapenverlof aanvraagt en die lid is van een door de KNTS gecertificeerde vereniging zijn er verschillende mogelijkheden. Indien bij zijn vereniging geschoten wordt met wapens met .22 munitie komt de aanvrager in aanmerking voor een verlof voor één vuurwapen zoals dat bij zijn vereniging in gebruik is. Als er sprake is van een zwaarder kaliber dan .22 dient betrokkene tenminste twee jaar lid te zijn van een door de KNTS gecertificeerde vereniging.
Het komt regelmatig voor dat sportschutters de schietsport willen beoefenen met vrijgestelde (antieke) wapens waarvan het voorhanden hebben – op grond van artikel 18 van de RWM – is vrijgesteld29. Voor het schieten met een vrijgesteld wapen is een verlof tot het voorhanden hebben nodig.
De munitie voor deze vrijgestelde (antieke) wapens is – met uitzondering van ronde loden kogels (zie artikel 20 van de RWM) – echter niet vrijgesteld. Voor het beoefenen van de schietsport met een op grond van artikel 18 van de RWM vrijgesteld wapen, is dus voor zowel het wapen als de munitie een verlof tot voorhanden hebben vereist. Het vrijgestelde wapen dat op het verlof wordt vermeld, telt niet mee voor het maximum aantal toegestane wapens op het verlof en is eveneens vrijgesteld van het in deze circulaire onder 2.4.1.2 opgenomen systeem van opbouw van wapentypes.
Het bestuur van de schietvereniging waarvan de schutter lid is verklaart op het formulier dat het vuurwapen waarvoor het verlof tot voorhanden hebben van munitie wordt gevraagd, zal worden aangewend voor een door de KNSA erkende of gereglementeerde tak van schietsport die in het verband van de vereniging kan worden beoefend. Voor de schutters van de verenigingen die lid zijn van de KNTS gelden de door de KNTS gereglementeerde traditionele schietsportdisciplines die in het verband van de vereniging kunnen worden beoefend.
Elk kaliber waarvan de verlofhouder munitie voorhanden wenst te houden dient apart op het verlof vermeld te worden. Voor het schieten met vrijgestelde wapens behoeven geen schietbeurten te worden geregistreerd. Het op het verlof bijschrijven van de munitie heeft geen invloed op het maximaal aantal wapens als bedoeld in artikel 43, eerste lid, van de RWM. Wel dient de aanvrager te voldoen aan de algemene voorwaarden voor de verlening van een verlof ten behoeve van de schietsport.
De eerste aanvraag van een verlof voor een vrijgesteld wapen, kan betrekking hebben op alle daarbij gebruikelijke kalibers, toegelaten bij de KNSA. Op deze eerste verlofaanvraag is de beperking die binnen het systeem van opbouw in wapentypes wordt gehanteerd, zoals uiteengezet in deze Circulaire, niet van toepassing. Derhalve is het bij de eerste aanvraag van een verlof voor een vrijgesteld wapen, niet vereist dat het wapen geschikt is voor de Olympische Disciplines.
Het tijdelijk en incidenteel in gebruik afstaan van privé-wapens tijdens een schietoefening of wedstrijd aan een medeschutter – die in het bezit is van een geldige KNSA-licentie of van een lidmaatschapsbewijs van een niet bij de KNSA aangesloten, maar wel door de KNSA gecertificeerde schietvereniging, of die in het bezit is van een wapenverlof of jachtakte – is toegestaan als dat geschiedt onder de volgende voorwaarden
a. het vuurwapen alsmede de daarbij behorende munitie mag pas op de schietbaan aan de schutter worden afgegeven30;
b. de persoon die bevoegd is het betrokken vuurwapen voorhanden te hebben blijft tijdens het schieten in de onmiddellijke nabijheid van de schutter;
c. het vuurwapen en – voor zover de schutter niet zelf bevoegd is de munitie van het desbetreffende kaliber voorhanden te hebben – de overgebleven patronen dienen onmiddellijk na het schieten op het schietpunt weer te worden teruggegeven;
d. Aan leden die korter dan één jaar in het bezit van een KNSA-licentie of die korter dan één jaar lid zijn van een niet bij de KNSA aangesloten, maar wel door de KNSA gecertificeerde schietvereniging, mogen alleen de vuurwapens31 welke geschikt zijn voor de Olympische disciplines zoals erkend of gereglementeerd door de KNSA, tijdelijk worden afgestaan;
e. Aan leden korter dan twee jaar in het bezit van een KNSA-licentie of die korter dan twee jaar lid zijn van een niet bij de KNSA aangesloten, maar wel door de KNSA gecertificeerde schietvereniging, mogen alleen de vuurwapens32 welke geschikt zijn voor de Olympische disciplines, de disciplines van de International Sport Shooting Federation en de disciplines van de Muzzle Loaders Associations International Committee, zoals gereglementeerd door de KNSA, tijdelijk worden afgestaan.
Het tijdelijk en incidenteel in gebruik afstaan van privé-wapens tijdens een traditionele schietoefening of wedstrijd aan een medeschutter – die in het bezit is van een geldige KNTS-licentie is toegestaan als dat geschiedt onder de volgende voorwaarden:
a. het vuurwapen alsmede de daarbij behorende munitie mag pas op de schietbaan aan de schutter worden afgegeven;
b. de persoon die bevoegd is het betrokken vuurwapen voorhanden te hebben blijft tijdens het schieten in de onmiddellijke nabijheid van de schutter;
c. het vuurwapen en – voor zover de schutter niet zelf bevoegd is de munitie van het desbetreffende kaliber voorhanden te hebben – de overgebleven patronen dienen onmiddellijk na het schieten op het schietpunt weer te worden teruggegeven;
d. aan leden die korter dan één jaar in het bezit zijn van een KNTS-licentie, mogen alleen de vuurwapens die op de vereniging worden gebruikt voor het traditioneel schieten tijdelijk worden afgestaan.
Het tijdelijk en incidenteel in gebruik afstaan van privé-wapens tijdens het konings/keizerschieten, het gemeentelijk koningschieten en het koning/keizerschieten tijdens Gildedagen en Landjuwelen. Leden van de traditionele schietverenigingen zonder wapen die geen KNTS-licentie hebben zoals omschreven onder 2.2.2,. is toegestaan onder de volgende voorwaarden:
a. het vuurwapen alsmede de daarbij behorende munitie mag pas op de schietbaan aan de schutter worden afgegeven;
b. de persoon die bevoegd is het betrokken vuurwapen voorhanden te hebben blijft tijdens het schieten in de onmiddellijke nabijheid van de schutter;
c. het vuurwapen en de overgebleven patronen dienen onmiddellijk na het schieten op het schietpunt weer te worden teruggegeven.
Incidenteel dient hierbij te worden opgevat als tegenstelling tot het zogenaamd ‘parkeren’. ‘Parkeren’ is de situatie waarin een verlofhouder een vuurwapen op zijn verlof doet bijschrijven ten behoeve van een andere sportschutter, omdat laatstgenoemde niet of nog niet in aanmerking komt voor een verlof tot het voorhanden hebben van dat vuurwapen. Deze handelwijze, het ‘parkeren’ dus, is uitdrukkelijk niet toegestaan.
Ten behoeve van schutters wier bij de KNSA aangesloten schietvereniging niet over een schietbaan beschikt voor het schieten met grootkaliber vuurwapens, heeft de Koninklijke Nederlandse Schietsport Associatie een aantal overheidsschietbanen in gebruik, waar onder toezicht van KNSA-functionarissen schietoefeningen en wedstrijden worden gehouden.
Aan de KNSA-licentiehouders die van deze faciliteiten gebruik maken, kan op verzoek een verlof tot het voorhanden hebben van een groot kaliber vuurwapen worden verstrekt.
De bevestiging dat een schutter of een vereniging toegang heeft tot een overheidsbaan kan worden verkregen bij het bondsbureau van de KNSA te Leusden. In sommige gevallen (bijvoorbeeld bij het Infanterieschietkamp ‘De Harskamp’), kan de bevoegdheid ook blijken uit een toegangspasje.
Tenzij de schutter zijn bevoegdheid om op een overheidsbaan te schieten kan aantonen met een toegangspasje, dient de achterzijde van het aanvraagformulier WM-3, zowel door het bestuur van de eigen vereniging als door de KNSA te zijn ondertekend.
Aan het verlof dienen de volgende beperkingen en voorschriften te worden verbonden:
BEPERKINGEN:
1. Het verlof tot vervoer is beperkt tot het vervoer tussen de woning en de schietbaan, de erkende wapenhandelaar of (na daaraan voorafgaand verzoek of toestemming van politiezijde) het bureau van politie, langs de weg en binnen het tijdsbestek welke daar redelijkerwijze voor zijn geboden.
VOORSCHRIFTEN:
Met betrekking tot vervoer
1. Tijdens het vervoer dient het wapen (alsmede de munitie) zodanig te zijn ingepakt dat het niet voor onmiddellijk gebruik kan worden aangewend. Het wapen dient ontladen en ontspannen te zijn. In een eventueel aanwezig patroonmagazijn mogen zich geen patronen bevinden;
2. Het wapen en de munitie worden tijdens het vervoer niet onbeheerd in een vervoermiddel achtergelaten;
Met betrekking tot opbergen
3. Het wapen en de munitie worden bewaard in afzonderlijke deugdelijk afgesloten en voor onbevoegden niet gemakkelijk bereikbare bergplaatsen;
4. De verlofhouder dient bij verhuizing binnen de politieregio dit verlof onverwijld ter wijziging aan te bieden aan de korpschef van politie. Bij verhuizing naar elders dient hij het verlof in te leveren onder opgave van zijn nieuwe adres. Hij dient tijdig in zijn nieuwe politieregio een verlof aan te vragen;
5. De verlofhouder dient uiterlijk twee weken voor de datum waarop de geldigheid van het verlof afloopt, het verlof ter verlenging aan te bieden aan de korpschef van politie, onder bijvoeging van de voor de verlenging benodigde KNSA-licentie of KNTS-licentie of lidmaatschapsbewijs van een niet bij de KNSA aangesloten maar wel door de KNSA gecertificeerde schietvereniging en zijn schietbeurtenregister;
6. De houder van het verlof houdt zich strikt aan de bepalingen, gesteld bij of krachtens de Wet wapens en munitie, alsmede aan de in het verlof vermelde voorschriften en beperkingen.
Indien ten behoeve van de schietsport een verlof tot het voorhanden hebben van een of meer vuurwapens is verleend, kunnen op dat verlof ook onder de WWM vallende onderdelen en hulpstukken (zie artikel 3 van de WWM) – bestemd voor deze vuurwapens – worden bijgeschreven. Hierbij kan onder meer worden gedacht aan (reserve)onderdelen of aan wissellopen/wisselsets van een ander kaliber die het mogelijk maken om met een ander (goedkoper) kaliber munitie te schieten. Wisselsets en (reserve) onderdelen zoals lopen of sledes tellen niet mee bij het bepalen van het (maximum) aantal wapens op het verlof. Bij een eerste verlofaanvraag wordt geen verlof verleend voor een vuurwapen in een groter kaliber dan .22, ook al wordt daarbij een wisselset om te schieten in een groter kaliber meegeleverd. In voorkomende gevallen is een verlof voor het voorhanden hebben van een pistool met uitsluitend de wisselset .22 toegestaan, waarbij de wisselset in het grotere kaliber in bewaring blijft of wordt gegeven bij een erkenninghouder.+
Voor de bijschrijving van een wisselloop/wisselset op het verlof dient de aanvrager een volledig ingevuld WM-3 formulier in te dienen waaruit blijkt voor welke erkende of gereglementeerde tak(ken) van schietsport de wisselloop/wisselset aangewend zal worden33.
In artikel 18, aanhef en onder g van de RWM, is een vrijstelling voor patroonmagazijnen opgenomen. Deze vrijstelling geldt slechts voor personen die bevoegd zijn de daarbij behorende wapens of munitie voorhanden te hebben. Buiten de in deze vrijstelling bedoelde groep is voor het voorhanden hebben van patroonmagazijnen een verlof vereist. Patroonschakels, patroonbanden, patroonhouders en laadstrips zijn geen onderdelen en/of hulpstukken die specifiek bestemd zijn voor die wapens en van wezenlijke aard zijn en zijn derhalve niet verlofplichtig.
Aan de houder van een verlof tot het voorhanden hebben van een vuurwapen ten behoeve van de schietsport wordt in principe tevens een verlof verleend tot het voorhanden hebben van de bijbehorende categorie III munitie. De verlofhouder mag dus uitsluitend categorie III munitie voorhanden hebben die bestemd is om met het desbetreffende wapen te worden verschoten. Het voorhanden hebben van categorie II munitie is dus – met uitzondering van expanderende projectielen (zie hieronder) – niet toegestaan.
Maximum hoeveelheid munitie
Het aantal stuks munitie dat een verlofhouder (en een jachtaktehouder) voorhanden mag hebben wordt in beginsel beheerst door de milieuwetgeving. Ingevolge het Activiteitenbesluit op de Wet algemene bepalingen omgevingsrecht, mag de verlofhouder (jachtaktehouder) – zonder vergunning op grond van deze wet – 10.000 stuks eenheidspatronen voorhanden hebben. Indien bijzondere omstandigheden naar het oordeel van de korpschef daartoe nopen, kan op grond van de Wet wapens en munitie het aantal stuks munitie dat de verlofhouder voorhanden mag hebben, (gemotiveerd) worden beperkt.
Expanderende projectielen
De houder van een verlof tot het voorhanden hebben van wapens en munitie ten behoeve van de schietsport mag de bij die wapens behorende categorie III munitie voorhanden hebben alsmede munitie voorzien van expanderende projectielen. In artikel 2, tweede lid, categorie II, onder 4 is namelijk bepaald dat munitie voorzien van expanderende projectielen in principe categorie II munitie is tenzij deze munitie bestemd is voor de jacht of de schietsport. In dat geval dient deze munitie te worden aangemerkt als categorie III munitie.
Losse flodders
Ook zogenoemde ‘losse flodders’ zijn munitie in de zin van artikel 1, onder 4, van de WWM34. Het bezit van deze categorie III munitie – die onder meer gebruikt wordt voor instructie doeleinden en bij re-enactment – is dus onder meer toegestaan voor houders van een verlof tot het voorhanden hebben van vuurwapens ten behoeve van de schietsport of ten behoeve van re-enactment.
Loodhagel & Zinkhagel
Een ieder – aan wie een verlof of jachtakte is verleend voor het voorhanden hebben van een hagelgeweer en de bijbehorende (categorie III) munitie – mag op grond van deze vergunning (zonder extra aantekening) lood- en zinkhagelmunitie voorhanden hebben (bijvoorbeeld ter uitoefening van de jacht of de beoefening van de schietsport in het buitenland).
Op deze hoofdregel zijn echter twee belangrijke beperkingen van toepassing, namelijk:
1. Het gebruik van lood- en zinkhagel is – op grond van het Besluit kleiduivenschieten Wet milieugevaarlijke stoffen35 – bij het schieten op kleiduiven in Nederland niet toegestaan. Ook het voorhanden hebben van deze patronen tijdens het schieten op kleiduiven is verboden36 Het opzettelijk in strijd handelen met het Besluit kleiduivenschieten Wms is op grond van artikel 1a juncto artikel 2 van de Wet op de Economische Delicten (WED) aangemerkt als een ‘misdrijf’ en kan derhalve leiden tot intrekking van het verlof of de jachtakte;
2. Het voorhanden hebben en het gebruik van loodhagel is, op grond van de Flora- en Faunawet, niet toegestaan bij de uitoefening van de jacht of bij beheer- en/of schadebestrijding.
Zoals in onderdeel B 2.1 en B2.4.1 is vermeld is het in wedstrijdverband beoefenen van een door de KNSA erkende of gereglementeerde schietsportdiscipline, of als betrokkene lid is van een vereniging die lid is van de KNTS, de door de KNTS gereglementeerde traditionele schietsportdisciplines, ook wel tak(ken) van schietsport genoemd, één van de voorwaarden voor het verkrijgen van een verlof tot het voorhanden hebben van vuurwapens ten behoeve van de (traditionele) schietsport. Het erkennen van de takken van schietsport laat ik aan de KNSA of de KNTS over, omdat het bepalen in hoeverre een activiteit tot een tak van sport wordt gerekend bij uitstek, ook volgens de Vaste Kamercommissie voor Veiligheid en Justitie, een taak van de landelijke schietsportbond is. Door voor de invulling van het criterium van het redelijk belang bij het beoefenen van de schietsport aan te haken bij de bestaande kaders voor die sport, wordt daarbij zo veel mogelijk gewaarborgd dat er ook daadwerkelijk sprake is van beoefening van de schietsport en wordt zoveel mogelijk de veiligheid gewaarborgd. Een vrije interpretatie van het begrip schietsport zou kunnen leiden tot een wildgroei aan schietsportdisciplines. Hierdoor zou de korpschef niet of nauwelijks meer kunnen controleren of er sprake is van een schietsportdiscipline en of de wapens en munitie geschikt zijn voor de te beoefenen discipline. Gezien het voorgaande zou het dan niet of nauwelijks te bepalen zijn of de schutter een redelijk belang heeft bij het voorhanden hebben van het door hem gewenste wapens en munitie ten behoeve van het beoefenen van de schietsport.
Voor de nadere regels met betrekking tot de beoefening van deze disciplines, verwijs ik naar de door de KNSA of KNTS opgestelde of de door de KNSA of KNTS erkende (wedstrijd)reglementen. Het op andere wijze of met andere wapens beoefenen van een erkende of gereglementeerde discipline, levert geen redelijk belang op bij het voorhanden hebben van wapens en munitie.
Hierbij zij aangetekend dat er – doordat de Nederlandse sportschutter onder meer door het deelnemen aan buitenlandse schietwedstrijden kennis neemt van nieuwe wedstrijdvormen – ook in Nederland een aantal nieuwe schietsportdisciplines zijn ontstaan. Deze disciplines – die niet door de KNSA gereglementeerd of erkend zijn of door de KNTS zijn gereglementeerd – worden door de Minister bij de toepassing van het redelijk belang criterium niet erkend. Zij dienen te worden beschouwd als zijnde facultatief en leveren geen redelijk belang op bij het voorhanden hebben van vuurwapens die uitsluitend voor die disciplines zijn bestemd. Het staat de verlofhouder echter vrij om deze schietsportdisciplines te beoefenen met de vuurwapens die hij ten behoeve van het beoefenen van andere, wel erkende, schietsportdisciplines reeds bevoegd voorhanden heeft. Voor de verlofhouders die een KNTS-licentie hebben is alleen het beoefenen van de door de KNTS gereglementeerde traditionele schietsportdisciplines toegestaan.
Op het aanvraagformulier tot het voorhanden hebben van een vuurwapen voor de schietsport, wordt door de schietvereniging waarvan de aanvrager lid is een verklaring afgegeven dat het vuurwapen waarvoor de aanvrager verlof aanvraagt, is toegelaten bij een door de KNSA erkende of gereglementeerde schietsportdiscipline, of als betrokkenen lid is van een vereniging die aangesloten is bij de KNTS, de door de KNTS gereglementeerde traditionele schietsportdiscipline, die op het formulier door de aanvrager is vermeld.
Er zijn bepaalde wapens die niet – ten behoeve van de schietsport – op een verlof mogen worden bijgeschreven. Een en ander hierover is opgenomen in de hierna volgende opsomming (zie ook de overgangsmaatregelen in B 2.8.1).
Het is verboden vuurwapens die beantwoorden aan de navolgende algemene kenmerken voorhanden te hebben.
• Wapens met klapkolven, schuifkolven of telescopische kolven, tenzij deze kolven zodanig duurzaam zijn vastgezet dat ze als vaste kolven kunnen worden beschouwd; of het wapen – ongeacht de stand van de kolf – een minimale lengte van 60 centimeter heeft en de loop een minimale lengte van 30 centimeter;
• Wapens waarmee (vol)automatisch kan worden geschoten en wapens waaraan het (vol)automatische karakter onvoldoende duurzaam is ontnomen;
• Wapens waarvan de loop of de kolf is afgezaagd of op andere wijze ingekort, anders dan ter verbetering van de schietprestaties.
Deze opsomming van kenmerken is niet uitputtend en is slechts bedoeld als hulpmiddel. Aan de hand van de omschrijving van de categorieën in artikel 2 van de WWM moet worden nagegaan onder welke categorie het betrokken wapen valt en of het al dan niet is verboden. Het aanbrengen van aanpassingen aan wapens met als doel verbetering van de resultaten in de schietsport (gedacht kan worden aan het aanbrengen van speciale richtmiddelen, terugstoot- en opslagcompensatoren e.d.) leidt er niet toe dat een wapen als verboden moet worden aangemerkt.
Wapens die voldoen aan onderstaande criteria zijn ongewenst ten behoeve van de schietsport. Een verlofaanvraag voor een dergelijk wapen dient dan ook te worden afgewezen tenzij op de aanvraag de overgangsregeling (zie onderdeel B 2.8.1.) van toepassing is.
1. Vuurwapens die door de fabriek zijn vervaardigd om volautomatisch37 mee te schieten maar waarin een duurzame blokkering is aangebracht of waarvan onderdelen duurzaam zijn aangepast zodat volautomatisch schieten onmogelijk is, tenzij dit is geschied voor 1 augustus 2005. Dit kan worden aangetoond door middel van:
a. Een door een erkenninghouder afgegeven en ondertekende verklaring waarin vermeld wordt dat de blokkering voor 1 augustus 2005 is aangebracht en dat de blokkering voldoet aan de eisen zoals opgenomen in bijlage C2 bij deze circulaire; of
b. Een kopie van een verlof ten behoeve van de schietsport waaruit blijkt dat het wapen voor 1 augustus 2005 op een verlof was bijgeschreven; of
c. Een verklaring van de korpschef van een politieregio waaruit blijkt dat het wapen voor 1 augustus 2005 op een verlof was bijgeschreven.
2. Schoudervuurwapens met een totale lengte van 60 cm (23,6 inch) of minder of een looplengte38 van 30 cm (11,8 inch) of minder;
3. Schoudervuurwapens zonder schoudersteun;
4. Semi-automatische- en repeterende (pomp mechanisme, hendel- en grendelrepeteer) hagelgeweren39;
5. Vuurwapens voorzien van een geïntegreerde geluiddemper, met uitzondering van schutterijbuksen die specifiek gemaakt zijn voor gebruik bij de door regionale schutterijen en schuttersgilden georganiseerde historische geweerwedstrijden;
6. Meerloops pistolen;
7. Vuistvuurwapens in het kaliber 6.35 (.25 ACP) of met een looplengte van 2,5 inch (6,35 cm) of minder;
8. Vuurwapens welke uitsluitend waren toegestaan in de door de KNSA gereglementeerde discipline Gebruiksgeweer.
De in onderdeel B 2.7.2. genoemde (en dus in principe ongewenste) vuurwapens waarvan door de houder c.q. aanvrager van het verlof – kan worden aangetoond:
• Dat deze ten aanzien van de onder 1 tot en met 7 genoemde wapens voor 1 augustus 2005 in Nederland op een verlof ten behoeve van de schietsport stonden geregistreerd of dat deze zich in de voorraad van een in Nederland gevestigde erkenninghouder bevonden en op grond van de Circulaire wapens en munitie 1997 (CWM 1997) niet reeds als ‘ongewenst wapen’ waren aangemerkt;
• Dat deze ten aanzien van de onder 8 genoemde wapens voor 1 januari 2013, ten behoeve van de discipline Gebruiksgeweer in het kader van de schietsport, op een verlof stonden geregistreerd;
worden niet aangemerkt als zijnde voor de schietsport ongewenste vuurwapens. Deze overgangsregeling beoogt zoveel mogelijk te voorkomen dat verlof- en erkenninghouders financieel worden gedupeerd, als gevolg van het feit dat een als ‘ongewenst’ aangemerkt vuurwapen een deel (althans in Nederland) van zijn commerciële waarde verliest. De wapens die voldoen aan bovenstaande voorwaarden mogen op het verlof vermeld blijven dan wel zonder beperking worden verkocht aan de wapenhandel of aan een andere binnen- of buitenlandse vergunninghouder.
Let op: Bij een verlofaanvraag voor een dergelijk wapen is het aan de aanvrager om te bewijzen dat aan bovenstaande voorwaarden is voldaan. De aanvrager kan dit bijvoorbeeld aantonen door middel van het tonen (van een kopie) van het (oude) verlof van de vorige eigenaar of middels een schriftelijke verklaring van de erkenninghouder waaruit blijkt dat het wapen voor 1 augustus 2005 (voor zover het de onder B/2.7.2 onder 8 genoemde wapens betreft voor 1 januari 2013) in zijn voorraad aanwezig was. Middels een vergelijking met de registers van de erkenninghouder kan deze verklaring op juistheid worden gecontroleerd.
Voor wapens die reeds op grond van de CWM 1997 zijn aangemerkt als ‘ongewenst wapen’, en die ook op grond van de huidige CWM aangemerkt dienen te worden als ‘ongewenst wapen’, blijft de regeling van kracht dat op het verlof in de kolom ‘Discipline’ de afkorting ‘O.W.’ (ongewenst wapen) dient te zijn ingevuld. Hiermee wordt het ongewenste karakter van het wapen blijvend vastgelegd. Indien de betrokken verlofhouder dit wapen op enig moment van het verlof wil afvoeren, dan mag hij het slechts verkopen of afstaan aan de wapenhandel, aan gespecialiseerde verzamelaars of aan personen in het buitenland en niet aan (Nederlandse) collega-sportschutters. Er mogen derhalve geen nieuwe verloven (ten behoeve van de schietsport) voor deze wapens worden afgegeven. Hiermee wordt een uitsterfsysteem gehanteerd.
Met de aanscherping van het verlofbeleid, kan zich de situatie voordoen, dat een voormalige verlofhouder, die in het verleden in het bezit was van een verlof, door omstandigheden gedurende een aantal jaren, niet in het bezit was van een verlof. Deze voormalige verlofhouders hebben in het verleden aangetoond dat aan hen het voorhanden hebben van vuurwapens kon worden toevertrouwd. Niet limitatief hierbij zijn de volgende voorbeelden: personen die vanwege hun werk gedurende langere tijd in het buitenland zijn geweest, personen die hersteld zijn van een langdurig ziekbed, of personen die andere redenen hadden om tijdelijk met de schietsport te stoppen. Indien zo’n persoon een aanvraag indient voor een nieuw verlof, kan deze verzoeken om te bezien of een verlof kan worden verleend voor een ander vuurwapen dan voor een reguliere aanvrager zou gelden. Deze overgangsmaatregel beoogt om de herintredende verlofhouder in de gelegenheid te stellen om zijn ‘oude’ schietsportdiscipline te beoefenen. Hierbij gelden nog de volgende uitgangspunten:
• Voor de aanvrager geldt de bewijslast om het bestaan van de oude rechten aan te tonen.
• Het bestuur van de schietvereniging dient, evenals reguliere aanvragen, zich er van te overtuigen dat de aanvrager beschikt over voldoende vaardigheid in de veilige omgang met vuurwapens en geeft daarover advies aan de korpschef.
• Het beroep op de oude rechten moet toetsbaar zijn voor de korpschef.
• Voor het doen van een beroep op oude rechten, moet de aanvrager voldoen aan het vereiste dat hij minimaal 1 jaar lid is van een schietsportvereniging en minimaal 18 schietbeurten in de afgelopen twaalf maanden bij een door de KNSA gecertificeerde schietsportvereniging of door de KNTS gecertificeerde vereniging hebben verricht.
• Het verlof kan voor het eerste jaar slechts geldig zijn voor één vuurwapen, zij het dat daar geen beperkingen aan gesteld worden, zoals dit wel geldt voor de reguliere nieuwe aanvragers.
• Het beroep op oude rechten kan niet gedaan worden in die gevallen waarin het voormalige verlof werd ingetrokken door de korpschef, voor een van de intrekkingsgronden zoals genoemd in artikel 7, tweede lid, van de Wet wapens en munitie of een eerdere tussentijdse aanvraag voor een verlof werd geweigerd door de korpschef op basis van artikel 7, eerste lid van de Wet wapens en munitie.
Airsoft apparaten zijn wapens die vallen onder categorie I, onderdeel 7, van de WWM (‘voorwerpen die een ernstige bedreiging van personen kunnen vormen of die zodanig op een wapen lijken, dat voor bedreiging of afdreiging geschikt zijn’). Dergelijke wapens zijn in principe verboden. Met de wijziging van de Wet wapens en munitie per 1 mei 2012 is het op grond van artikel 4, eerste lid, van de wet mogelijk geworden om vrijstelling te geven dan wel ontheffing te verlenen voor wapens (en munitie) indien zij aangewend worden voor (onder andere) sportdoeleinden. Er is voor gekozen om airsoft apparaten vrij te stellen voor leden van door de Minister van Veiligheid en Justitie erkende verenigingen die zich toeleggen op de uitoefening van de airsoft sport. Ook aspirant-leden en introducés van leden bedoelde verenigingen worden vrijgesteld van enkele in de WWM genoemde verboden handelingen. De vrijstelling geldt niet voor airsoft apparaten in de vorm van onder meer explosieven en soortgelijk andere verschijningsvormen.
Airsoft apparaten zijn veer-, gas- of luchtdrukwapens met een maximum schotkracht van 3.5 joules. Airsoft apparaten onderscheiden zich in die zin van veelal krachtiger categorie I, sub 7 en categorie IV veer-, gas- of luchtdrukwapens. Om te bepalen of sprake is van een airsoft apparaat zal echter primair gekeken moeten worden naar het voorkomen van het voorwerp: gelijkt het op een vuurwapen dat voor afschrikking geschikt is en beschikt het apparaat over een mechanisme (gas-, veer- of luchtdruk) waarmee projectielen (de ‘munitie’) kan worden uitgestoten Ook kan de bezitter van het voorwerp gevraagd worden naar zijn/haar bewijs van lidmaatschap (voorlopige lidmaatschapskaart voor aspirant-leden en een introducé-bewijs voor introducés) van een door de Minister erkende airsoftsportvereniging. Indien deze getoond kan worden, is dat een extra aanwijzing dat het een airsoft apparaat betreft. Pas in laatste instantie, als onduidelijkheid blijft bestaan over de aard van het voorwerp, zal onderzoek moeten worden gedaan naar de schotkracht van het voorwerp.
Projectielen, verschoten met een lucht- gas- of veerdrukwapen vormen geen munitie in de zin van de Wet wapens en munitie. Airsoftapparaten maken derhalve geen gebruik van munitie in de zin van de Wet wapens en munitie. Omtrent de ‘munitie’ van airsoftapparaten worden dan ook geen (aanvullende) regels gesteld.
Onder een airsoft sportvereniging wordt verstaan: de vereniging die blijkens de in een notariële akte opgenomen statuten tot doel heeft haar leden in de gelegenheid te stellen om sportactiviteiten met behulp van een of meer airsoftapparaten te beoefenen (artikel 1, eerste lid, aanhef en onder h en i, RWM). Alleen leden van de op grond van artikel 17a, eerste lid, RWM aangewezen vereniging(en) komen in aanmerking voor de in dit lid genoemde vrijstelling.
Een vereniging kan door het Ministerie van Veiligheid en Justitie aangewezen worden indien voldaan is aan de volgende, niet limitatieve, randvoorwaarden:
1. Er moet sprake zijn van een redelijk belang tot het erkennen van een vereniging. Het redelijk belang kan er uit bestaan dat de aan te wijzen vereniging de enige is die zich toelegt op de airsoft sport of een specifiek aspect van de airsoft sport.
2. Van belang is dat de vereniging en haar bestuur betrouwbaar zijn. De vereniging moet zich ook ten doel stellen om de betrouwbaarheid van airsoft sportbeoefenaren te bevorderen. Uit bijvoorbeeld statuten of huisregels van de vereniging moet blijken dat bestuursleden en leden getoetst worden aan dit criterium. Naast de verplichting voor bezitters van airsoft apparaten tot het overleggen van een VOG (zie hieronder), kan gedacht worden aan het instellen van een ballotagecommissie en de beëindiging van het lidmaatschap bij gebleken twijfel aan betrouwbaarheid. Afhankelijk van de situatie kunnen meer eisen van dergelijke strekking worden gesteld, alvorens een vereniging in aanmerking komt voor een aanwijzing door de Minister. Teneinde deze afspraken vast te leggen, kan er bijvoorbeeld voor gekozen worden met de vereniging een convenant te sluiten.
3. De verenigingsstatuten bevatten in ieder geval de volgende bepalingen:
a) een bepaling die de term airsoft sport omschrijft;
b) een bepaling die de minimumleeftijd voor bestuursleden leden en introducés op ten minste 18 jaar stelt;
c) een bepaling die bepaalt dat ten aanzien van het bestuurslid en lid geen ‘vrees voor misbruik’ mag bestaan (zie B 1.);
d) een bepaling die stelt dat bestuursleden en aspirant-leden een verklaring omtrent gedrag overleggen;
e) een bepaling voor introducés die ten minste stelt dat bedoelde personen maximaal zes keer per jaar als introducé aan evenementen mogen deelnemen en verder bepaalt dat de introducé steeds in het gezelschap is van een volwaardig lid;
f) een bepaling die leden verplicht de vereniging eenmaal per jaar een stuk te overleggen waaruit blijkt welke activiteiten het lid in het voorgaande jaar heeft ontplooid met betrekking tot de airsoft sport. In de bepaling wordt voorts opgenomen dat op basis van bedoeld stuk het bestuur van de vereniging beoordeelt of het lid nog steeds kan worden beschouwd als een actief en serieus airsoft sportbeoefenaar;
g) een bepaling die eisen ten aanzien van de leden stelt voor plaatsen waar airsoft apparaten zowel bij het lid thuis, als ook elders opgeborgen dienen te worden. Uitgangspunt van de bepaling is dat de bergplaats(en) voor airsoft apparaten voldoende garanties biedt/bieden om te voorkomen dat airsoft apparaten, behoudens in huis uit (inpandig) te voeren test-, (oefen-) en onderhoudsmomenten, terstond voor bedreiging en afdreiging aangewend kunnen worden;
4. De vereniging dient haar leden de faciliteiten te bieden om de airsoft sport serieus te beoefenen. Hiertoe kan de vereniging wedstrijden/evenementen en overige relevante bijeenkomsten te organiseren.
5. De vereniging is verantwoordelijk voor het afgeven van introducé-bewijzen, waaruit blijkt dat bedoelde persoon conform de reglementen van de vereniging, erkend wordt als introducé. Voorts dient de vereniging een introducéregister bij te houden dat ten minste zeven jaar bewaard wordt.
6. De vereniging moet representatief zijn voor haar leden en dient zich in de openbaarheid te presenteren als belangenvereniging. Bij het oordeel over de vraag hoe representatief een verenging is, kunnen verschillende aspecten een rol spelen. Hierbij kan worden gedacht aan het aantal leden van de vereniging, de exclusiviteit en specialiteit van een vereniging, de aanwezige gebundelde kennis in een vereniging, de manier waarop de belangen van de achterban worden aangekaart in de politiek en bij de beleidsmakers, de wijze waarop de belangen van de vereniging worden behartigd, enzovoorts.
Indien de situatie ontstaat waarin een nieuwe vereniging aangewezen zou kunnen worden, wordt aan de hand van de WWM, RWM en deze beleidsregels beoordeeld of het een vereniging betreft die voor aanwijzing in aanmerking komt. Aan de hand van deze beoordeling en nader te maken afspraken met de aan te wijzen vereniging (bijvoorbeeld door middel van een convenant), kan uiteindelijk tot erkenning van de vereniging worden overgegaan.
De vereniging kan de status van aangewezen vereniging verliezen als ze aantoonbaar handelt in strijd met onder meer het convenant, de voorwaarden waaronder de aanwijzing heeft plaatsgevonden, of indien er zich in een situatie als omschreven artikel 7, tweede lid, van de WWM voordoet. Ook kan de vereniging de status van aangewezen vereniging verliezen indien de vereniging ophoudt te bestaan, dan wel in een andere rechtspersoon overvloeit of gedurende een tijdsbestek van meer dan een jaar geen leden met een verlof of een ontheffing meer heeft.
Gebleken is dat de airsoft sport veelal in internationaal verband beoefend wordt. Het is dan ook noodzakelijk om enkele regels te stellen ten aanzien van het voorhanden hebben en houden van airsoft apparaten door niet-ingezetenen van Nederland, die aan een door een airsoftvereniging georganiseerde activiteit deel te nemen. De in artikel 17e van de RWM omschreven vrijstelling geldt voor niet-ingezetenen van Nederland die aan een dergelijke activiteit deelnemen.
De handel in airsoft apparaten is voorbehouden aan erkenninghouders. Zie hiervoor de artikelen 8a en 10, sub d, van de RWM. Zie verder 1.4.3 van deze circulaire alsook de relevante artikelen uit de WWM en RWM.
Airsoft apparaten:
1. mogen tussen woning en een door een erkende airsoft vereniging georganiseerd(e) bijeenkomst/evenement/wedstrijd, de erkende wapenhandelaar of de schietvereniging langs de weg en het tijdsbestek vervoerd worden welke redelijkerwijs voor het vervoer geboden zijn;
2. dienen tijdens het vervoer op een zodanig deugdelijke wijze te zijn verpakt dat zij niet terstond voor bedreiging of afdreiging aangewend kunnen worden;
3. worden voorhanden gehouden op het adres van het lid van de erkende airsoft vereniging die de eigenaar is van het airsoft apparaat;
4. worden uitsluitend gedragen op plaatsen waar de door de een door een erkende airsoft vereniging georganiseerd(e) wedstrijd/evenement/bijeenkomsten plaatsvindt;
5. mogen niet voorhanden worden gehouden/gebruikt bij film- of theaterproducties.
Het dragen van airsoftapparaten op voor het publiek toegankelijk plaatsen, is slechts toegestaan indien de verantwoordelijke korpschef schriftelijk toestemming heeft verleend aan betreffende vereniging om de wedstrijd/het evenement/de bijeenkomst te houden, met uitzondering van de openbare weg.
Airsoft sport wordt meestal in de openbare ruimte (publiek toegankelijke plaatsen) beoefend. Om dat te kunnen doen is voorafgaande schriftelijke toestemming van de korpschef benodigd (artikel 17c, tweede lid, onder b, RWM). Die toestemming wordt in ieder geval onthouden of ingetrokken indien er geen redelijke maatregelen ter voorkoming van bedreiging en afdreiging door de airsoft apparaten zijn getroffen, dan wel indien misbruik is te vrezen. Het is dus mogelijk dat er zich andere situaties kunnen voordoen die voor de korpschef aanleiding kunnen vormen om toestemming te onthouden of weer in te trekken. Deze moeten echter wel verband houden met de veiligheid of het veiligheidsgevoel van personen die zich in de nabijheid van het georganiseerde evenement bevinden. Als door omwonenden bezwaar wordt gemaakt tegen een (te organiseren) evenement, is dit een indicatie om te bepalen of het veiligheidsgevoel in het geding is. In het uiterste geval is als concrete situatie te denken aan een evenement dat op 4 mei (Dodenherdenking) zou moeten plaatsvinden in de nabijheid van een herdenkingsplaats. Het kan zijn dat omwonenden op een deze specifieke dag in het jaar niet geconfronteerd willen worden met (gesimuleerde) gevechtshandelingen en bewaar tegen een dergelijk voornemen maken.
In de RWM wordt in artikel 17, lid 2, onder b bepaald dat het vervoeren van airsoft apparaten onder meer is toegestaan als er sprake is van vervoer van en naar door de airsoft vereniging aangewezen bijeenkomsten en beurzen in het kader van de airsoft sport of voor de airsoft sport te gebruiken wedstrijdterreinen. Een bijeenkomst kan als zodanig worden aangemerkt, indien er een verwijzing naar de bijeenkomst op de website van de erkende airsoft vereniging staat. Hetzelfde geldt voor bijeenkomsten in de openbare ruimte, waarvoor in artikel 17c, lid 2 onder c bepaald is dat deze door de erkende airsoft vereniging georganiseerd zijn. Ook deze dienen op de website van de airsoft vereniging als zodanig vermeld te worden. In het geval een handhaver iemand staande houdt voor het vervoeren van een airsoft apparaat, kan de handhaver verifiëren of het door de aangehouden persoon genoemde evenement inderdaad op de website van de erkende vereniging vermeld wordt als aangewezen dan wel door de erkende airsoft vereniging georganiseerde bijeenkomst of beurs in het kader van de airsoft sport. Daarnaast moet uiteraard vastgesteld worden of de persoon in kwestie ook anderszins bevoegd is tot het vervoeren van een airsoft apparaat (lidmaatschap van een erkende airsoft vereniging).
Voor het doen binnenkomen van een airsoft apparaat in Nederland gelden de volgende principes: als een reiziger een airsoft apparaat bij zich heeft, moet hij een origineel lidmaatschapsbewijs van een erkende airsoft vereniging kunnen tonen. Als airsoft apparaten via cargo of als post-, pakket- en koerierszending binnenkomen en in Nederland in het vrije verkeer worden gebracht, kunnen deze apparaten worden vrijgegeven als bij de aangifte(behandeling) een origineel lidmaatschapsbewijs of een kopie hiervan wordt overgelegd.
In artikel 1, onder 3, van de Wet wapens en munitie is een ‘vuurwapen’ gedefinieerd als: ‘een voorwerp bestemd of geschikt om projectielen of stoffen door een loop af te schieten, waarvan de werking berust op het teweegbrengen van een scheikundige ontploffing of een andere scheikundige reactie’.
In artikel 3, eerste lid, van de Wet wapens en munitie is bepaald dat de bepalingen betreffende wapens mede van toepassing zijn op onderdelen en hulpstukken die specifiek bestemd zijn voor die wapens en van wezenlijke aard zijn. Derhalve zijn de wettelijke bepalingen die gelden voor wapens ook van toepassing op essentiële onderdelen van vuurwapens zoals onder meer de loop, de kast, de slede, alsmede de cilinder van een revolver, de grendel, het staartstuk en de afsluiter van een geweer, de bascule van basculerende geweren en patroonmagazijnen.
Ingevolge artikel 18 van de Regeling wapens en munitie (RWM), geldt er een vrijstelling voor het voorhanden hebben, vervoeren, overdragen, doen binnenkomen en doen uitgaan van wapens die het karakter hebben van oudheden dan wel vuurwapens die voor gebruik als zodanig ongeschikt zijn gemaakt op de wijze, beschreven in bijlage II bij de regeling. Om te bepalen of een bepaald type vuurwapen onder deze vrijstellingen valt of dat het wapen vergunning plichtig is (afhankelijk van de categorie een verlof of een ontheffing) kan er (als hulpmiddel) gebruik worden gemaakt van het beslissingsschema dat is opgenomen als bijlage C1 bij deze circulaire. Voor deze categorieën wapens geldt dat door de korpschef geen maximum mag worden gesteld aan het aantal wapens dat verzameld mag worden.
Daarnaast is in artikel 18, eerste lid, onder g, van de RWM een vrijstelling opgenomen voor het voorhanden hebben, vervoeren, overdragen, doen binnenkomen en doen uitgaan van patroonmagazijnen (uitsluitend) ten behoeve van personen die bevoegd zijn de wapens of de munitie waarvoor deze voorwerpen bestemd zijn voorhanden te hebben.
Met betrekking tot het verzamelen van vuurwapens die niet onder de vrijstellingsregeling van artikel 18 van de Regeling wapens en munitie vallen, geldt het volgende: Het houden van een verzameling vuurwapens kan worden aangemerkt als een redelijk belang dat de verlening van een verzamelverlof rechtvaardigt, indien het gaat om:
a. verzamelingen van algemeen wetenschappelijk of historisch belang, zoals die worden gehouden door musea en soortgelijke instellingen (voor de inhoud van het begrip museum wordt verwezen naar onderdeel B 3.6.); en
b. verzamelingen gehouden door individuele wapenverzamelaars, die in georganiseerd verband een serieuze studie maken van de historische, culturele of technische ontwikkeling van vuurwapens. Slechts personen die lid zijn van een door de Minister van Veiligheid en Justitie erkende vereniging van wapenverzamelaars, zoals de ‘Nederlandse Vereniging ter Bevordering en Instandhouding van Wapenverzamelingen, Edouard de Beaumont’, komen hiervoor in aanmerking.
Ad. a.
In het geval het verlof wordt verleend ten behoeve van een door een museum of dergelijke instelling te houden verzameling, wordt in het verlof achter ‘Naam’ de naam van deze instelling vermeld, waarachter opgenomen de tekst: ‘ten deze vertegenwoordigd door...’; vervolgens wordt de naam van de persoon vermeld die voor de genoemde instelling als beheerder van de wapens zal optreden.
Ad. b.
Om als individuele wapenverzamelaar in aanmerking te komen voor de verlening van een verlof tot het voorhanden hebben van vuurwapens van categorie III voor verzameldoeleinden dient aan de volgende voorwaarden te zijn voldaan:
a. de leeftijd van de aanvrager is tenminste 18 jaar;
b. ten aanzien van de aanvrager mag geen ‘vrees voor misbruik’ bestaan (zie B 1.);
c. de aanvrager dient lid te zijn van een door de Minister van Veiligheid en Justitie erkende vereniging van wapenverzamelaars, zoals de ‘Nederlandse Vereniging ter Bevordering en Instandhouding van Wapenverzamelingen, Edouard de Beaumont’;
d. de aanvrager dient een positief luidend (schriftelijk en ondertekend) advies te overleggen van het bestuur van de erkende vereniging van wapenverzamelaars waarvan de aanvrager lid is;
e. de aanvrager dient, bij een eerste aanvraag dan wel bij een wijziging in het verzamelgebied, een verzamelplan te overleggen dat voldoet aan de in onderdeel B 3.1.3 gestelde eisen en waarop het bij ‘d’ genoemde advies is gebaseerd.
Om als individuele wapenverzamelaar in aanmerking te komen voor de verlening van een ontheffing tot het voorhanden hebben van vuurwapens van categorie II voor verzameldoeleinden dient aan de volgende voorwaarden te zijn voldaan:
a. de leeftijd van de aanvrager is tenminste 18 jaar;
b. ten aanzien van de aanvrager mag geen ‘vrees voor misbruik’ bestaan (zie B 1.);
c. de aanvrager dient minimaal drie jaar lid te zijn van een door de Minister van Veiligheid en Justitie erkende vereniging van wapenverzamelaars, zoals de ‘Nederlandse Vereniging ter Bevordering en Instandhouding van Wapenverzamelingen, Edouard de Beaumont’;
d. de aanvrager dient een positief luidend (schriftelijk en ondertekend) advies te overleggen van het bestuur van de erkende vereniging van wapenverzamelaars waarvan de aanvrager lid is;
e. de aanvrager dient, bij een eerste aanvraag dan wel bij een wijziging in het verzamelgebied, een verzamelplan te overleggen dat voldoet aan de in onderdeel B 3.1.3 gestelde eisen en waarop het bij ‘d’ genoemde advies is gebaseerd.
Het houden van een verzameling van vuurwapens wordt slechts toegestaan aan individuele wapenverzamelaars indien zij in georganiseerd verband een serieuze studie maken van de historische, culturele of technische ontwikkeling van vuurwapens, die gericht is op het verkrijgen en vastleggen van informatie die relevant is voor een bredere kring van personen (zoals andere wapendeskundigen, overheidsfunctionarissen, wetenschappers, historici e.d.). Daarnaast kan ook het behouden (conserveren) van bijzondere wapen(s) (collecties) voor het nageslacht bijdragen aan de conclusie dat een individuele verzamelaar een redelijk belang heeft voor de verkrijging van een daartoe strekkend verlof en/of ontheffing.
Omdat in de praktijk gebleken is dat het erg lastig is om te beoordelen of er sprake is van een redelijk belang voor de verlening van een verlof en/of ontheffing ten behoeve van verzameldoeleinden is in overleg met de ‘Nederlandse Vereniging ter Bevordering en Instandhouding van Wapenverzamelingen, Edouard de Beaumont’ besloten om op dit punt een belangrijker rol en verantwoordelijkheid, toe te kennen aan het bestuur van deze vereniging. Dit heeft onder meer geleid tot de oprichting van een adviescommissie die aan de hand van een door het aspirant-lid in te dienen verzamelplan het bestuur adviseert over het al dan niet uitbrengen van een positief advies.
Om aan te kunnen tonen dat er sprake is van een redelijk belang dient de aanvrager een verzamelplan te overleggen waarin minimaal aan de volgende elementen (uitvoerig) aandacht moet zijn besteed:
a. Het onderwerp, het verzamelgebied c.q. de specialisatie van de verzameling40;
b. Het belang van de beoogde verzameling;
c. In hoeverre de beoogde verzameling bijdraagt aan de vermeerdering van de totale kennis in Nederland op het gebied van wapens;
d. Hoe de verzameling opgebouwd zal worden;
e. Of binnen de specialisatie ook wapens van categorie II vallen en zo ja, bij benadering hoeveel;
f. Welke activiteiten de aanvrager op het gebied van zijn specialisatie heeft ontplooid (indien mogelijk met bijgevoegde kopieën van eventueel geschreven tekstmateriaal);
g. Drie referenties, waarvan tenminste één van binnen en één van buiten de vereniging;
h. Een verklaring van de mentor die de aanvrager heeft begeleid;
i. De wijze waarop de wapens opgeslagen zullen worden en hoe de beveiliging is geregeld. De bergplaats of bergruimte dient te voldoen aan hetgeen gesteld is in onderdeel B 9 of aan de specifieke beveiligingseisen die eventueel zijn overeengekomen met de korpschef41.
Om in aanmerking te komen voor de verlenging van een verlof of een ontheffing tot het voorhanden hebben van vuurwapens van categorie III respectievelijk categorie II voor verzameldoeleinden dient aan de volgende voorwaarden te zijn voldaan:
a. ten aanzien van de aanvrager mag geen ‘vrees voor misbruik’ bestaan (zie B 1.);
b. de aanvrager dient lid te zijn van een door de Minister van Veiligheid en Justitie erkende vereniging van wapenverzamelaars, zoals de ‘Nederlandse Vereniging ter Bevordering en Instandhouding van Wapenverzamelingen, Edouard de Beaumont’;
c. de aanvrager dient éénmaal per vijf jaar een schriftelijke verklaring van het bestuur van de vereniging te overleggen waaruit blijkt welke activiteiten de aanvrager de afgelopen vijf jaar heeft ontplooid met betrekking tot zijn verzameling en op basis waarvan door het bestuur wordt geconcludeerd dat de aanvrager nog steeds kan worden beschouwd als een actief en serieus verzamelaar. De op de verklaring vermelde activiteiten hoeven niet verder door de korpschef getoetst te worden, dit is de taak van het bestuur van de vereniging. Indien er echter serieuze twijfels zijn over de vraag of de aanvrager nog langer aangemerkt kan worden als een serieus verzamelaar dan kan er contact worden opgenomen met het bestuur van de vereniging en/of het Ministerie van Veiligheid en Justitie.
De onder c genoemde voorwaarde dat een aanvrager actief verzamelaar is, vervalt bij personen die de leeftijd van 70 jaar of ouder bereikt hebben. In de praktijk blijkt dat bij verzamelaars van deze leeftijdscategorie het aantal verzamelactiviteiten afneemt, terwijl nog wel sprake is van het passieve beheer van een verzameling. De overige onder c, alsook onder a en b genoemde voorwaarden gelden voor verzamelaars van deze leeftijdscategorie, onverkort.
Aan het verlof c.q. de ontheffing dienen de volgende beperkingen en voorschriften te worden verbonden, die hieronder worden opgesomd. Er kunnen door de korpschef geen beperkingen worden gesteld aan het aantal wapens dat de verzameling omvat, Overige beperkingen vloeien vooruit uit het in 3.1.3 genoemde verzamelplan, zoals vastgesteld door de erkende vereniging van wapenverzamelaars.
BEPERKINGEN:
1. De verzameling mag uitsluitend voor studiedoeleinden worden aangelegd en onderhouden (geldt niet voor musea e.d.);
2. De verlof- c.q. ontheffinghouder dient zich in zijn verzameling te specialiseren (geldt niet voor musea e.d.). De specialisatie wordt verwoord in het verzamelplan waarbij de specialisatie van de verzameling aan minimaal twee van de hieronder genoemde criteria moet voldoen. Hiervan kan slechts met nadrukkelijke schriftelijke instemming van het bestuur van de erkende vereniging van wapenverzamelaars, worden afgeweken. De volgende criteria zijn van toepassing:
– het land of de regio van herkomst van de wapens;
– de periode waarin de wapens werden ontworpen, vervaardigd of gebruikt;
– het soort wapen;
– het merk wapen.
3. Het verlof c.q. de ontheffing tot vervoer, voor zover verleend, is beperkt tot het vervoeren van de vuurwapens tussen de plaats waar de wapens normaliter voorhanden worden gehouden en de plaats waar het gebruik ingevolge de bestemming is toegestaan. Dit is bijvoorbeeld een plaats waar een bijeenkomst van vuurwapenverzamelaars wordt gehouden, een politiebureau, het museum waar de wapens van de verzamelaar blijkens de goedkeuring van de korpschef als genoemd onder 3.5.2 tentoon zullen worden gesteld en de erkende wapenhandelaar. Het vervoer dient plaats te vinden langs de weg en binnen het tijdsbestek welke daar redelijkerwijze voor zijn geboden. De verlofhouder dient te kunnen aantonen naar een dergelijke bestemming op weg te zijn dan wel daar vandaan te komen.
VOORSCHRIFTEN:
1. De verlof- c.q. ontheffing houder dient de bepalingen, bij of krachtens de Wet wapens en munitie en de Wet milieubeheer gesteld, stipt na te leven;
2. Bij een bezoek aan buitenlandse beurzen e.d. dient het vervoer van de verzameling gedekt te zijn door een consent;
3. Geen munitie, vuurwapens en wezenlijke onderdelen daarvan mogen worden afgeleverd-, of afgestaan aan-, of geruild met onbevoegden;
4. De verzameling dient nauwkeurig en op overzichtelijke wijze te worden gecatalogiseerd en beschreven;
5. De verlof- c.q. ontheffing houder dient bij het omgaan met vuurwapens zodanige voorzichtigheid en zorg te betrachten, dat gevaar voor hemzelf en derden uitgesloten moet worden geacht.
In artikel 1, onder 4, van de Wet wapens en munitie is ‘munitie’ gedefinieerd als: ‘patronen en andere voorwerpen, bestemd of geschikt om een projectiel of een giftige, verstikkende, weerloos makende, traan verwekkende of soortgelijke stof door middel van een vuurwapen af te schieten of te verspreiden, alsmede projectielen bestemd om afgeschoten te worden door middel van een vuurwapen’.
Volgens deze definitie moet munitie dus bestemd of geschikt zijn om door middel van een vuurwapen projectielen of stoffen af te schieten of te verspreiden. Ook een zogenoemde losse patroon/losse flodder is munitie in de zin van de Wet wapens en munitie omdat in de praktijk is gebleken dat het mogelijk is om met dergelijke patronen projectielen te verschieten. In de uitspraak van de Raad van State van 18 juli 2001 (zaaknummer: 200005685/1)is, in lijn met de reeds bestaande jurisprudentie hierover, nogmaals bevestigd dat zogenaamde ‘losse patronen’ dienen te worden aangemerkt als munitie in de zin van de Wet wapens en munitie. Voor zogenaamde doorsnedes van patronen geldt dat voor zover deze niet meer bestemd of geschikt zijn om af te schieten, zij geen munitie zijn in de zin van artikel 1, onder 4, van de WWM. Het vervaardigen van dergelijke opengewerkte patronen is wel een erkennings plichtige handeling.
In artikel 3, tweede lid, van de Wet wapens en munitie is bepaald dat de bepalingen betreffende munitie mede van toepassing zijn op onderdelen van die munitie, voor zover deze onderdelen geschikt zijn om munitie van te maken. Derhalve zijn de wettelijke bepalingen die gelden voor munitie ook van toepassing op losse projectielen (kogels) en (niet gebruikte) slaghoedjes en hulzen. Ingevolge artikel 18, aanhef en onder f en i, van de Regeling wapens en munitie, geldt er echter een vrijstelling voor het voorhanden hebben, vervoeren, over dragen, doen binnenkomen en doen uitgaan van kennelijk gebruikte lege patroon- en kardoeshulzen, voor zover die bestemd zijn voor of deel uitmaken van een verzameling of patroonbord.
Met betrekking tot het verzamelen van andere soorten munitie (of onderdelen daarvan) dan kennelijk gebruikte lege patroon- en kardoeshulzen en patronen op patroonborden, geldt het volgende: Het houden van een munitieverzameling kan worden aangemerkt als een redelijk belang dat de verlening van een verlof of een ontheffing rechtvaardigt, indien het gaat om:
a. verzamelingen van algemeen wetenschappelijk of historisch belang, zoals die worden gehouden door musea en soortgelijke instellingen (voor de inhoud van het begrip museum wordt verwezen naar onderdeel B/3.1.); en
b. verzamelingen gehouden door individuele munitieverzamelaars, die in georganiseerd verband een serieuze studie maken van de historische, culturele of technische ontwikkeling van munitie. Slechts personen die lid zijn van een bij de ‘European Cartridge Research Association’ aangesloten vereniging, zoals de ‘Nederlandse Vereniging ter Bestudering van Munitie en Ballistiek’, komen hiervoor in aanmerking.
Ad. a.
In het geval het verlof wordt verleend ten behoeve van een door een museum of dergelijke instelling te houden verzameling, wordt in het verlof achter ‘Naam’, de naam van deze instelling vermeld, waarachter opgenomen de tekst: ‘ten deze vertegenwoordigd door...’; vervolgens wordt de naam van de persoon vermeld die voor de genoemde instelling als beheerder van de munitie zal optreden.
Ad. b.
Om in aanmerking te komen voor de verlening van een verlof tot het voorhanden hebben van munitie voor verzameldoeleinden dient aan de volgende voorwaarden te zijn voldaan:
a. de leeftijd van de aanvrager is tenminste 18 jaar;
b. ten aanzien van de aanvrager mag geen ‘vrees voor misbruik’ bestaan (zie B 1.);
c. de aanvrager dient lid te zijn van een bij de ‘European Cartridge Research Association’ aangesloten vereniging, zoals de ‘Nederlandse Vereniging ter Bestudering van Munitie en Ballistiek’;
d. Bij een eerste aanvraag dient de aanvrager tevens een schriftelijke verklaring van het bestuur van de vereniging te overleggen welke een vermelding bevat van de munitiesoort of aanverwante munitiesoorten waarin de aanvrager zich wil specialiseren en waaruit blijkt dat de aanvrager voldoende kennis van deze munitie heeft om de verzameling op een veilige en verantwoorde wijze aan te leggen en te onderhouden.
In artikel 18a van de Regeling wapens en munitie is bepaald dat houders van een verlof tot het voorhanden hebben van categorie III munitie ten behoeve van verzameldoeleinden tevens categorie II munitie voorhanden mogen hebben voor zover:
a. de bevoegdheden van de houder van het verlof tot voorhanden hebben, onderscheidenlijk het verlof tot vervoer, met betrekking tot de munitie van categorie II niet verder reiken dan die met betrekking tot de munitie van categorie III;
b. de munitie of onderdelen van munitie passen binnen de op het verlof omschreven specialisatie;
c. munitie met een kaliber boven de 12,7 millimeter (.50) niet voorzien is van brisante ladingen; en
d. munitie met een kaliber boven de 19 millimeter niet voorzien is van brisante ladingen en bovendien geen voortdrijvende ladingen bevat.
Indien een verzamelaar categorie II munitie wenst te verzamelen die niet binnen de bovengenoemde vrijstelling valt, of indien hij uitsluitend categorie II munitie wil verzamelen, dan dient hij hiervoor een ontheffing aan te vragen bij de Minister van Veiligheid en Justitie.
Om in aanmerking te komen voor de verlening van een ontheffing tot het voorhanden hebben van munitie van categorie II dient aan de volgende voorwaarden te zijn voldaan:
a. de leeftijd van de aanvrager is tenminste 18 jaar;
b. ten aanzien van de aanvrager mag geen ‘vrees voor misbruik’ bestaan (zie B 1.);
c. de aanvrager dient lid te zijn van een bij de ‘European Cartridge Research Association’ aangesloten vereniging, zoals de ‘Nederlandse Vereniging ter Bestudering van Munitie en Ballistiek’;
d. Bij een eerste aanvraag dient de aanvrager tevens een schriftelijke verklaring van het bestuur van de vereniging te overleggen waarin is aangeven in welke categorie II munitiesoort of aanverwante munitiesoorten de aanvrager zich wil specialiseren en dat de aanvrager voldoende kennis van deze munitie heeft om deze verzameling op een veilige en verantwoorde wijze aan te leggen en te onderhouden.
Indien een verzamelaar inerte42 handgranaten, mijnen en dergelijke (wapens in de zin van artikel 2, categorie II, onder 7, van de WWM) wil verzamelen dan wel nabootsingen (wapens in de zin van artikel 2, categorie I, onder 7, van de WWM) hiervan dan dient hij hiervoor een ontheffing aan te vragen bij de Minister van Veiligheid en Justitie.
Om in aanmerking te komen voor de verlening van een ontheffing tot het voorhanden hebben van categorie I of II wapens zoals (nabootsingen van) inerte (hand)granaten en mijnen voor verzameldoeleinden dient aan de volgende voorwaarden te zijn voldaan:
a. de leeftijd van de aanvrager is tenminste 18 jaar;
b. ten aanzien van de aanvrager mag geen ‘vrees voor misbruik’ bestaan (zie B 1.);
c. de aanvrager dient minimaal drie jaar lid te zijn van een bij de ‘European Cartridge Research Association’ aangesloten vereniging, zoals de ‘Nederlandse Vereniging ter Bestudering van Munitie en Ballistiek’ hetgeen kan worden aangetoond middels een schriftelijke verklaring van het bestuur van de vereniging;
d. Bij een eerste aanvraag dient de aanvrager tevens een schriftelijke verklaring van het bestuur van de vereniging te overleggen waarin is aangeven in welke soort inerte (hand)granaten, mijnen en dergelijke, dan wel nabootsingen hiervan, de aanvrager zich wil specialiseren en waaruit blijkt dat de aanvrager voldoende kennis van deze wapens heeft om deze verzameling op een veilige en verantwoorde wijze aan te leggen en te onderhouden.
Aan het verlof c.q. de ontheffing dienen de volgende beperkingen en voorschriften te worden verbonden:
BEPERKINGEN:
De verzameling mag uitsluitend voor studiedoeleinden worden aangelegd en onderhouden (geldt niet voor musea e.d.);
De verlof- c.q. ontheffing houder dient zich in zijn verzameling te specialiseren (geldt niet voor musea e.d.) en derhalve dient de verzameling beperkt te blijven tot een bepaalde munitiesoort of bepaalde aanverwante munitiesoorten.
Naast de studieverzameling mag een ruilvoorraad van dezelfde kalibers en soorten als binnen de verzameling passen, alsmede van afwijkende kalibers, voorhanden worden gehouden;
De verzameling mag omvatten munitie en/of componenten daarvan in al dan niet geladen toestand, met dien verstande dat het projectiel van munitie met een kaliber boven de 12,7 mm (.50) niet voorzien mag zijn van brisante ladingen of ander energetisch materiaal, en munitie met een kaliber boven de 19 mm bovendien geen voortdrijvende ladingen en geen werkzame ontsteking43 mag bevatten. Hagel- en seinpatronen zijn van deze beperkingen uitgezonderd;
(hand- en geweer)granaten, (land)mijnen alsmede de overige (onderdelen van) wapens zoals bedoeld in artikel 2, eerste lid, categorie II, onder 7º, van de Wet wapens en munitie mogen geen voortdrijvende, brisante, giftige, verstikkende, weerloos makende, traan verwekkende of een soortgelijke lading bevatten44;
Het totale aantal gevulde patronen en/of geladen componenten daarvan, mag het aantal van 10.000 stuks niet te boven gaan, tenzij een vergunning ingevolge de Wet milieubeheer is verleend;
Het verlof c.q. de ontheffing tot vervoer, voor zover verleend, is beperkt tot het vervoeren van de munitie tussen de plaats waar de munitie normaliter voorhanden wordt gehouden, de plaats waar een bijeenkomst van munitieverzamelaars wordt gehouden, een politiebureau, het museum waar de munitie van de verzamelaar blijkens de goedkeuring van de korpschef als genoemd onder 3.5.2 ten toon zullen worden gesteld en de erkende wapenhandelaar, langs de weg en binnen het tijdsbestek welke daar redelijkerwijze voor zijn geboden. De verlofhouder dient te kunnen aantonen naar een dergelijke bijeenkomst op weg te zijn dan wel daarvandaan te komen.
VOORSCHRIFTEN:
De verlof- c.q. ontheffing houder dient de bepalingen, bij of krachtens de Wet wapens en munitie en de Wet milieubeheer gesteld, stipt na te leven;
Bij een bezoek aan buitenlandse beurzen e.d. dient het vervoer van de verzameling gedekt te zijn door een consent;
Geen munitie en/of componenten daarvan mogen worden afgeleverd-, of afgestaan aan-, of geruild met onbevoegden;
Ten bewijze van het feit, dat de verlofhouder het verzamelen serieus beoefent, dient hij lid te zijn van de ‘Nederlandse Vereniging ter Bestudering van Munitie en Ballistiek’ of van één der andere, bij de ‘European Cartridge Research Association’ aangesloten verenigingen (geldt niet voor musea e.d.).
De verzameling dient nauwkeurig en op overzichtelijke wijze te worden gecatalogiseerd en beschreven.
De munitie moet, voor zover het geladen patronen betreft, worden bewaard in een deugdelijk afgesloten, en voor onbevoegden niet gemakkelijk te bereiken bergplaats.
De verlof- c.q. ontheffing houder dient bij het omgaan met munitie zodanige voorzichtigheid en zorg te betrachten, dat gevaar voor hemzelf en derden uitgesloten moet worden geacht.
De Minister van Veiligheid en Justitie heeft – gelet op de geringe gevaarzetting verbonden aan het voorhanden hebben van patroonmagazijnen door personen die bevoegd zijn de wapens en/of de munitie waarvoor deze voorwerpen bestemd zijn voorhanden te hebben – in artikel 18, eerste lid, aanhef en onder g van de RWM, een vrijstelling van het verbod om patroonmagazijnen te doen binnenkomen of uitgaan, te vervoeren, voorhanden hebben en over te dragen, voor deze groep personen verleend.
De vrijstelling is naast voor sportschutters en jagers, ook met name bedoeld voor munitie- en wapenverzamelaars. Personen die niet in enig georganiseerd verband wapens- of munitie verzamelen, maar die wel een gedegen studie van toe- of afvoermechanismen maken en die bevoegd zijn (wapens of) munitie (waarvoor de patroonmagazijnen bestemd zijn) voorhanden te hebben, vallen eveneens onder de werking van deze vrijstellingsregeling. De verzamelaar zal zich moeten specialiseren en de verzameling dient nauwkeurig en op overzichtelijke wijze te worden gecatalogiseerd en beschreven.
Het is niet toegestaan de verzameling te vermelden op een verlof tot het voorhanden hebben van vuurwapens ten behoeve van de schietsport.
Indien een verlof tot het voorhanden hebben van patroonmagazijnen wordt verleend ten behoeve van een door een museum45 of een daarmee vergelijkbare instelling te houden verzameling, wordt in het verlof achter ‘Naam’, de naam van deze instelling vermeld, waarachter opgenomen de tekst: ‘ten deze vertegenwoordigd door...’. Vervolgens wordt de naam van de persoon vermeld die voor de genoemde instelling als beheerder van de wapens zal optreden. De aanvraag moet in dit geval worden ingediend bij de politiechef van de regionale eenheid van politie waarbinnen de gemeente valt waarin de instelling of het museum is gevestigd en waar de wapens voorhanden zullen worden gehouden.
Alle stiletto-, vlinder- en valmessen zijn verboden. Tot de inwerkingtreding van de wijziging van de Wet wapens munitie op 1 mei 2012 (Stb. 2011, 447) waren op grond van artikel 2, eerste lid, aanhef en onder 1, van de Wet wapens en munitie slechts die stiletto’s, valmessen en vlindermessen verboden, waarvan het lemmet:
a. meer dan één snijkant heeft;
b. 7 centimeter of langer en 14 millimeter of smaller is;
c. 9 centimeter of langer is, of
d. Van een stootplaat is voorzien.
Stiletto-, vlinder- en valmessen die buiten deze omschrijving vielen konden door burgers vrij voorhanden worden gehouden en daarmee door wapenverzamelaars zonder verlof of ontheffing worden verzameld. Met de inwerkingtreding van voornoemde wetswijziging is dit niet langer het geval. Wel kan aan een wapenverzamelaar, indien hij of zij voldoet aan de voorwaarden die hieronder genoemd worden, een ontheffing worden verleend voor het verzamelen van g stiletto-, vlinder- en valmessen die tot 1 mei 2012 vrij voorhanden gehouden mochten worden. Het houden van een verzameling stiletto-, vlinder- en valmessen kan worden aangemerkt als een redelijk belang dat de verlening van een ontheffing ten behoeve van het voorhanden hebben van wapens van categorie I voor verzameldoeleinden rechtvaardigt, indien het gaat om stiletto-, vlinder- en valmessen die voor de inwerkingtreding van de hierboven genoemde wetswijziging op 1 mei 2012 legaal waren.
Verder moet de verzameling passen binnen één van de volgende categorieën:
a. verzamelingen van algemeen wetenschappelijk of historisch belang, zoals die worden gehouden door musea en soortgelijke instellingen (voor de inhoud van het begrip museum wordt verwezen naar onderdeel B/3.6. van deze Circulaire);
b. verzamelingen gehouden door individuele wapenverzamelaars, die in georganiseerd verband een serieuze studie maken van de historische of technische ontwikkeling van wapens.
Om als individuele wapenverzamelaar in aanmerking te komen voor de verlening van een ontheffing tot het voorhanden hebben van stiletto-, vlinder- en valmessen voor verzameldoeleinden dient aan de volgende voorwaarden te zijn voldaan:
1. de aanvraag betreft een stiletto-, valmes-, of vlindermes, waarvan het lemmet
a. niet meer dan een snijkant heeft;
b. korter is dan 7 cm en breder is dan 14 mm;
c. korter is dan 9 cm; of
d. niet van een stootplaat is voorzien.
2. de leeftijd van de aanvrager is tenminste 18 jaar;
3. ten aanzien van de aanvrager mag geen ‘vrees voor misbruik’ bestaan (zie paragraaf B/1 van deze circulaire);
4. de aanvrager dient lid te zijn van een door de Minister van Veiligheid en Justitie erkende vereniging van messenverzamelaars;
5. de aanvrager dient bij een eerste aanvraag een positief luidend (schriftelijk en ondertekend) advies te overleggen van het bestuur van de erkende vereniging van wapenverzamelaars, waarvan de aanvrager lid is;
6. de aanvrager dient, bij een eerste aanvraag dan wel bij een wijziging in het verzamelgebied, een verzamelplan te overleggen dat (zover mogelijk) voldoet aan de in paragraaf B/3.1.3 van deze circulaire gestelde eisen en waarop het onder ‘5’ genoemde advies is gebaseerd;
7. de aanvrager dient eenmaal per vijf jaar een schriftelijke verklaring van het bestuur van de vereniging te overleggen waaruit blijkt welke activiteiten de aanvrager de afgelopen vijf jaar heeft ontplooid met betrekking tot zijn verzameling en op basis waarvan door het bestuur wordt geconcludeerd dat de aanvrager nog steeds kan worden beschouwd als een actief en serieus verzamelaar.
Om te voorkomen dat bij het overlijden van de verlof- of ontheffing houder de verzameling (en daarmee het historisch erfgoed) verloren gaat, uiteenvalt of onder grote tijdsdruk verkocht moet worden (met daardoor ontstaan waardeverlies), kan de verlof- of ontheffing houder in overleg met de korpschef een retentiebeheerder aanwijzen. Een kopie van de retentieverklaring dient door de betrokken verlof- of ontheffing houder – ter opneming in zijn dossier – aan de korpschef in zijn regio respectievelijk de Minister van Veiligheid en Justitie te worden gezonden.
Na het overlijden komt de retentiebeheerder, voor een periode van maximaal drie jaar, in aanmerking voor de verlening van een retentieverlof of een retentieontheffing indien aan de volgende voorwaarden is voldaan:
a. de leeftijd van de aanvrager is tenminste 18 jaar;
b. ten aanzien van de aanvrager bestaat geen ‘vrees voor misbruik’ (zie B 1.);
c. de aanvrager is door de verlof- of ontheffing houder aangewezen als retentiebeheerder.
Let op: De retentiebeheerder kan de verzameling niet uitbreiden.
De retentiebeheerder heeft twee mogelijkheden:
a. Hij kan de verzameling in overleg met de wettelijke erfgenamen afstoten;
b. Hij kan een (normaal) verzamelverlof of ontheffing aanvragen, waarbij wel dient te worden aangetekend dat uiteraard aan alle eisen die gelden voor de verlening van een dergelijk verlof of ontheffing zal moeten zijn voldaan. Vanaf het moment dat de aanvrager over een regulier(e) verzamelverlof of ontheffing beschikt, kan hij de verzameling voortzetten en uitbreiden.
Een museum hoeft niet, zoals een particulier, aan te tonen dat degene die daadwerkelijk de wapens tentoon gaat stellen beschikt over deskundigheid op het gebied van die wapens. Uiteraard dienen de wapens wel te passen binnen de collectie/doelstelling van het museum.
Het ‘International Council of Museums’ (ICOM) heeft de volgende definitie van een museum vastgesteld:
‘Een museum is een permanente instelling, in dienst van de gemeenschap en haar ontwikkeling, toegankelijk voor het publiek, niet gericht op het maken van winst, die de materiële getuigenissen van de mens en zijn omgeving verwerft, behoudt, wetenschappelijk onderzoekt, presenteert en hierover informeert voor de doeleinden van studie, educatie en genoegen’.
De aanvrager zal aan deze omschrijving moeten voldoen, wil van een museum of een soortgelijke instelling worden gesproken. Daarbij is met name ook het permanente karakter en de daadwerkelijke toegankelijkheid (vaste openingstijden) voor het publiek van doorslaggevend belang. De ruimte waarin de collectie is ondergebracht dient bovendien geschikt te zijn om te fungeren als museum. Een vertrek in een woonhuis of een collectie die is ondergebracht in een bij een woonhuis behorende garage of schuur kan in principe niet worden aangemerkt als een museum.
De rechtsvorm waarin de collectie is ondergebracht, of ondergebracht gaat worden, doet niet ter zake.
Dit betekent met name dat het bestaan/oprichten van een stichting met een bepaalde doelstelling op zichzelf absoluut onvoldoende is voor honorering van een aanvraag. Een particulier die niet aan de voor particulieren geldende criteria voldoet kan dan ook niet alsnog – door een stichting op te richten – een verzamelverlof bemachtigen. Doorslaggevend is of er sprake is van een museum in vorenbedoelde zin. Indien dit niet kan worden aangetoond dan dient de aanvrager te voldoen aan de voorwaarden die gelden voor particuliere verzamelaars van vuurwapens (zie onderdeel B 3.1).
Verzamelaars van wapens en munitie kunnen beschikken over wapens en munitie van bijzondere, historische waarde. In de praktijk bestaat bij verzamelaars en musea de behoefte om deze bijzondere wapens en munitie in musea ten toon te kunnen stellen. Om dit te kunnen bewerkstelligen, kan de verzamelaar een deel van zijn collectie voor een periode van maximaal 3 maanden ter beschikking stellen aan een museum, zoals gedefinieerd onder 3.5.1.
Voor het tijdelijk uitlenen van wapens en munitie door een verzamelaar aan een museum, gelden de volgende voorwaarden:
a) De uit te lenen wapens en munitie vallen onder het verzamelverlof of de ontheffing van de verzamelaar;
b) Het museum is een instelling als gedefinieerd onder 3.5.1 en beschikt reeds over een verlof tot voorhanden hebben van wapens dan wel munitie;
c) De verzamelaar en het museum doen gezamenlijk een bruikleenaanvraag bij de korpschef. Praktisch wordt de aanvraag gedaan bij de politiechef van de regionale eenheid van politie waar het museum onder valt. De bruikleenaanvraag wordt ondertekend door de verzamelaar en de rechtsgeldige vertegenwoordiger van het museum. De bruikleenaanvraag bevat in ieder geval de volgende informatie:
– De persoonsgegevens en het adres van de verzamelaar;
– De naam en het adres van het museum;
– Het verlofnummer, de wapen- of munitiesoort en het type en nummer per uit te lenen verlofplichtig wapen of munitie;
– De periode waarvoor de wapens of munitie worden uitgeleend;
– Een verlofaanvraag voor het voorhanden hebben en indien noodzakelijk het vervoer van de betreffende wapens en munitie, voor de periode van de bruikleenstelling.
d) Indien aan de hierboven genoemde voorwaarden is voldaan, verleent de korpschef schriftelijk toestemming voor de bruikleenstelling aan het museum en verleent daarbij de benodigde verloven.
Voor het verkrijgen van een verlof of ontheffing voor het verzamelen van (vuur)wapens is veelal het lidmaatschap van een door de Minister van Veiligheid en Justitie erkende wapenverzamelaarsvereniging vereist. Een wapenverzamelaarsvereniging kan door het Ministerie van Veiligheid en Justitie erkend worden indien voldaan is aan de hier onder genoemde, niet limitatieve, randvoorwaarden:
1. Wanneer kan de situatie ontstaan waarin een vereniging erkend kan worden?
Er moet sprake zijn van een redelijk belang voor het erkennen van een wapenverzamelaarsvereniging. Dit redelijk belang kan bijvoorbeeld ontstaan wanneer er een verandering van beleid plaatsvindt. Daarbij kan worden gedacht aan de situatie waarin bepaalde wapens die eerst vrij voorhanden mochten worden gehouden, niet langer toegestaan zijn en slechts onder voorwaarden mogen worden verzameld door verzamelaars die lid zijn van een erkende vereniging. Wanneer deze verzamelaars zich niet bij de bestaande, erkende, verenigingen kunnen aansluiten (bijvoorbeeld omdat die zich specifiek richten op een bepaald type wapens), kan een redelijk belang ontstaan om een nieuwe vereniging te erkennen.
2. Eisen aan de vereniging
Allereerst is van belang dat de wapenverzamelaarsvereniging betrouwbaar is. De vereniging moet zich ook ten doel stellen om de betrouwbaarheid van wapenverzamelaars te bevorderen. Uit bijvoorbeeld statuten of huisregels van de vereniging moet blijken dat bestuursleden en leden getoetst worden aan dit criterium. Gedacht kan worden aan het verplicht overleggen van een VOG-verklaring bij iedere aanmelding voor een lidmaatschap, en een ballotagecommissie en de beëindiging van het lidmaatschap bij gebleken twijfel aan betrouwbaarheid. Afhankelijk van de situatie kunnen meer eisen van dergelijke strekking worden gesteld, alvorens een vereniging in aanmerking komt erkend te worden. Teneinde deze afspraken vast te leggen, kan er bijvoorbeeld voor gekozen worden met de vereniging een convenant te sluiten.
3. Toezicht en controle door de vereniging
De vereniging moet in staat zijn de leden te beoordelen leden op de eis ‘serieuze studie’ en bewaakt deze. Gedacht kan worden aan een controle op het verzamelplan op bijvoorbeeld de consistentie, en het opnemen van een bepaling in de huisregels die stelt dat leden moeten voldoen aan de wet- en regelgeving en aanvullende voorschriften. De vereniging uit dit toezicht formeel door goed- dan wel afkeuring van het verzamelplan en de eventuele afgifte van vijfjaarsverklaringen.
Verder dient de vereniging haar leden de faciliteiten te bieden om serieus te verzamelen. Hiertoe kan de vereniging beurzen organiseren, experts presentaties laten verzorgen, bijeenkomsten organiseren waarin relevante vakliteratuur wordt besproken, publicaties van belangwekkende verzamelstukken bundelen en verspreiden, bezoeken naar musea organiseren waar voorbeeldverzamelingen te zien zijn, enzovoorts.
Kortom: de vereniging moet meer zijn dan een passieve, faciliterende schakel waardoor het mogelijk wordt bepaalde wapens te verzamelen. De vereniging vervult een actieve rol: de vereniging beoordeelt enerzijds of de leden daadwerkelijk serieus met hun verzameling bezig zijn en zorgt anderzijds ook dat zij daartoe in staat worden gesteld.
4. Representatief
De vereniging moet representatief zijn voor haar leden en zich in de openbaarheid presenteren als belangenvereniging. Bij het oordeel over de vraag hoe representatief een verenging is, kunnen verschillende aspecten een rol spelen. Hierbij kan worden gedacht aan het aantal leden van de vereniging, de exclusiviteit en specialiteit van een vereniging, de aanwezige gebundelde kennis in een vereniging, de manier waarop de belangen van de achterban worden aangekaart in de politiek en bij de beleidsmarkers, de wijze waarop de belangen van de vereniging worden behartigd, enzovoorts.
Kort gezegd: niet alleen naar haar eigen leden, maar ook naar de buitenwereld toe moet de vereniging een actieve rol spelen en zich als serieuze belangenbehartiger presenteren.
5. Stappenplan erkenning
Indien de situatie ontstaat waarin een nieuwe wapenverzamelaarsvereniging erkend moet worden, wordt aan de hand van de wet wapens en munitie, regeling wapens en munitie en deze beleidsregels beoordeeld of er een vereniging is die voor erkenning in aanmerking komt. Aan de hand van deze beoordeling en nader te maken afspraken met de te erkennen vereniging (bijvoorbeeld door middel van een convenant), kan uiteindelijk tot erkenning van de vereniging worden overgegaan. Concreet houdt dit in dat de vereniging als zodanig wordt opgenomen in de CWM.
De vereniging kan de status van erkende vereniging verliezen als ze aantoonbaar handelt in strijd met onder meer het convenant, de voorwaarden waaronder de erkenning heeft plaatsgevonden, of indien er zich in een situatie als omschreven artikel 7, tweede lid, van de WWM voordoet. Ook kan de vereniging de status van erkende vereniging verliezen indien de vereniging ophoudt te bestaan, dan wel in een andere rechtspersoon overvloeit of gedurende een tijdsbestek van meer dan een jaar geen leden met een verlof of een ontheffing meer heeft.
Voor personen of instellingen die niet (kunnen) voldoen aan de in dit hoofdstuk genoemde voorwaarden voor het verkrijgen van een vergunning (verlof of ontheffing) voor het voorhanden hebben van wapens ten behoeve van verzameldoeleinden – maar die op het moment van inwerkingtreding van de Circulaire Wapens en Munitie 2005 reeds in het bezit waren van een dergelijke vergunning – geldt dat zij hun verzameling mogen behouden (de vergunning kan dus gewoon worden verlengd) maar de verzameling mag niet worden uitgebreid. Er mogen dus in geen geval wapens worden bijgeschreven op de vergunning, ook niet na afschrijving van een op de vergunning vermeld wapen, tenzij het nieuw bij te schrijven wapen precies hetzelfde model en type is als het afgeschreven wapen en de bedoeling van de vervanging is om de kwaliteit van de verzameling te verhogen. Uitbreiding mag pas plaats vinden nadat aan de in dit hoofdstuk genoemde voorwaarden is voldaan.
In het kader van een re-enactment worden op een zo historisch verantwoord mogelijke wijze eenheden, slagen en gebeurtenissen uit de militaire geschiedenis nagespeeld door grote groepen historisch geïnteresseerden, uitgedost in originele dan wel nagemaakte kostuums en uitgerust met overige – binnen het specifieke tijdsbeeld passende, met de historische eenheid, slag of gebeurtenis verband houdende – uitrustingsstukken. Voor zover de ‘re-enactment’ zich toespitst op het naspelen van historische legereenheden, veldslagen en andere militaire gebeurtenissen, zijn onder de overige uitrustingsstukken, wenselijk voor een historisch verantwoorde uitvoering, mede te begrijpen wapens.
De originele vuurwapens uit vroeger tijden, zoals zwartkruit achterlaadwapens en voorlaadwapens, kunnen vrij voorhanden worden gehouden, voor zover zij – omdat deze voor 1 januari 1870 (dan wel voor 1 januari 1945) gefabriceerd zijn – vallen onder de vrijstelling van artikel 18 van de Regeling wapens en munitie. Omdat deze authentieke vuurwapens echter steeds schaarser en duurder worden zullen steeds vaker replica's van dergelijke wapens (categorie III), die eenvoudiger verkrijgbaar zijn, voor bovenstaande doeleinden worden gebruikt. Deze wapens mogen echter, nu zij niet onder de vrijstelling van artikel 18 van de Regeling wapens en munitie vallen, eerst voorhanden gehouden worden indien daarvoor een verlof is verleend.
Voor het voorhanden hebben van moderne wapens (wapens die zijn ingericht voor het verschieten van eenheidspatronen) geldt eveneens dat het voorhanden hebben slechts is toegestaan nadat hiervoor verlof c.q. ontheffing is verleend conform de hieronder nader uitgewerkte voorwaarden. Deelname aan activiteiten in het kader van historisch militair materieel is daarbij, mits hiervoor een aantoonbaar belang vanuit het oogpunt van re-enactment bestaat, niet uitgesloten.
Aan personen die lid zijn van een vereniging, welke (middels een lidmaatschap) is aangesloten bij een door de Minister van Veiligheid en Justitie erkende koepelorganisatie, zoals het ‘Landelijk Platform Levende Geschiedenis’, en die wensen te beschikken over (een) wapen(s), teneinde deel te kunnen nemen aan een door hun re-enactment-groepering georganiseerde uitvoering, kan een verlof worden verleend tot het voorhanden hebben van maximaal vijf wapens van de categorie III.
‘Moderne’ vuurwapens van categorie III – hiermee wordt bedoeld vuurwapens gemaakt voor het verschieten van patronen met gebruikmaking van rookzwak (nitro) kruit – mogen slechts voorhanden worden gehouden indien zij voor het schieten met scherpe munitie duurzaam ongeschikt zijn gemaakt. Dit dient te blijken uit een schriftelijke verklaring van een erkende wapenhandelaar.
Het voorhanden hebben van categorie II wapens ten behoeve van re-enactment is uitsluitend toegestaan nadat hiervoor door de Minister van Veiligheid en Justitie een ontheffing is verleend. Hierbij wordt door de minister een overeenkomstig beleid gevoerd als hiervoor vermeld ten aanzien van vuurwapens van categorie III met dien verstande dat voor de zware wapens (vuurwapens in het kaliber .50 of groter, kanonnen, tanks, houwitsers, raketlanceerinstallatie, bewapende pantservoertuigen etc.) slechts ontheffing kan worden verleend indien het wapen is gedemilitariseerd en daarmee definitief voor gebruik ongeschikt is gemaakt. Van demilitariseren is sprake als tenminste:
– de afsluiter duurzaam elektrisch is vast gelast;
– de loopmonding duurzaam elektrisch is dichtgelast;
– in de kamer en de loopmonding opvulstukken zijn ingebracht en dat deze duurzaam elektrisch zijn vast gelast.
Dat sprake is van een gedemilitariseerd wapen dient te blijken uit een schriftelijke verklaring van de Koninklijke Marechaussee, Bureau Wapens, Munitie en Explosieven. Deze regel geldt niet voor replica’s van zwartkruit voorlaadkanonnen. Deze kunnen, mits vermeld op een ontheffing, in ongewijzigde staat voorhanden worden gehouden.
Artikel 31 van de Regeling wapens en munitie is mede van toepassing op re-enactment-uitvoeringen. Leden van een vereniging welke (middels het lidmaatschap) is aangesloten bij een door de Minister van Veiligheid en Justitie erkende koepelorganisatie, zoals het ‘Landelijk Platform Levende Geschiedenis’, kunnen derhalve eerst replica's of ‘moderne’ vuurwapens bij een re-enactment-uitvoering meevoeren (dragen) nadat hen voor het voorhanden hebben daarvan een verlof/ontheffing is verleend en de burgemeester en de korpschef schriftelijk toestemming hebben verleend voor de re-enactment-uitvoering. Daarbij mogen zij slechts die wapens dragen die passen binnen het tijdsbeeld en deel uitmaken van hun uniformen. Voor zover het gaat om optochten is slechts toestemming van de van de burgemeester vereist.
Voor het verkrijgen van toestemming voor de re-enactment-uitvoering is het noodzakelijk dat het bestuur van de re-enactment vereniging aan de korpschef kopieën verstrekt van de wapenvergunningen waarop de wapens staan vermeld waarmee aan de re-enactment-uitvoering zal worden deelgenomen.
Ten behoeve van een re-enactment-uitvoering waaraan niet-ingezetenen deelnemen kan de organiserende vereniging (het platform) bij de Minister van Veiligheid en Justitie een incidentele ontheffing van het verbod op het voorhanden hebben, vervoeren, het doen binnenkomen en het doen uitgaan aanvragen.
Gelet op het door de Minister van Veiligheid en Justitie ter zake gevoerde (restrictieve) beleid zijn aan de verlening van een verlof/ontheffing tot het voorhanden hebben van vuurwapens, de volgende voorwaarden verbonden:
1. De aanvrager dient minimaal 18 jaar oud te zijn, van deze minimumleeftijdsgrens kan niet worden afgeweken;
2. De aanvrager dient minimaal één jaar lid te zijn van een re-enactment vereniging welke is aangesloten bij een door de Minister van Veiligheid en Justitie erkende koepelorganisatie, zoals het ‘Landelijk Platform Levende Geschiedenis’ en die blijkens de in een notariële akte opgenomen statuten tot doel heeft haar leden in de gelegenheid te stellen om op een serieuze en historisch verantwoorde wijze gestalte te geven aan de enscenering van historische legereenheden, veldslagen en andere militaire gebeurtenissen;
3. De aanvrager dient een kopie van het bewijs van lidmaatschap te overleggen alsmede een verklaring van een door de Minister van Veiligheid en Justitie erkende koepelorganisatie, zoals het ‘Landelijk Platform Levende Geschiedenis’, waaruit blijkt dat de desbetreffende vereniging (dan wel een werkgroep binnen die vereniging) zich op serieuze wijze bezig houdt met re-enactment van de historische periode waarvoor het verlof of de ontheffing wordt aangevraagd;
4. De, krachtens verlof of ontheffing, voorhanden te houden wapens zijn uitsluitend (replica’s van) zwartkruit wapens of voor het schieten met scherpe munitie duurzaam ongeschikt gemaakte moderne vuurwapens hetgeen dient te blijken uit een schriftelijke verklaring van een erkende wapenhandelaar.
Aan het verlof dienen de volgende beperkingen en voorschriften te worden verbonden:
BEPERKINGEN:
1. De wapens worden voorhanden gehouden op het op het verlof vermelde adres;
2. De wapens worden uitsluitend gedragen op plaatsen waar de door de vereniging georganiseerde re-enactment-uitvoeringen plaatsvinden;
3. De wapens mogen niet voorhanden worden gehouden/gebruikt bij film- of theaterproducties;
4. Het dragen op de onder 2 genoemde plaatsen is slechts toegestaan indien de verantwoordelijke burgemeester en de korpschef schriftelijk toestemming hebben verleend aan de vereniging om de re-enactment-uitvoering te houden.
VOORSCHRIFTEN:
1. Het vervoer van de wapens vindt plaats langs de weg en binnen het tijdsbestek welke daar redelijkerwijze voor geboden zijn;
2. De wapens dienen tijdens het vervoer op een zodanig deugdelijke wijze te zijn verpakt, dat zij niet voor onmiddellijk gebruik geschikt zijn;
3. Bij intrekking of bij het verlopen van de geldigheid van het verlof (ontheffing) dient het verlof onverwijld ingeleverd te worden bij de korpschef;
4. De houder van het verlof houdt zich strikt aan de bepalingen, gesteld bij of krachtens de Wet wapens en munitie, alsmede aan de in het verlof vermelde voorschriften en beperkingen.
Op het verlofdocument kan worden aangegeven dat tevens verlof tot vervoer en verlof tot het voorhanden hebben van de bijbehorende munitie (eventueel ook als accessoire) wordt verleend.
Aan re-enactment verenigingen kan een verlof worden verleend tot het voorhanden hebben van vuurwapens, die aan die vereniging toebehoren en die bestemd zijn voor gebruik door de leden van die vereniging. In het aanvraagformulier voor het verenigingsverlof (zie hieronder) – dat wordt ingediend door het bestuur van de vereniging bij de korpschef (en feitelijk bij de politiechef in de politieregio waar de vereniging, blijkens de statuten, haar zetel heeft) – moet de naam worden vermeld van het (bestuurs-)lid dat namens de vereniging de vuurwapens gaat beheren. In het verenigingsverlof wordt deze persoon dan genoemd als vertegenwoordiger van het bestuur, voor zover het betreft het beheren van de vuurwapens, terwijl het verlof tevens zijn pasfoto bevat. Om als beheerder te kunnen fungeren moet het (bestuurs-)lid tenminste één jaar lid zijn van de vereniging en mag ten aanzien van hem geen vrees voor misbruik bestaan. Indien meer (bestuurs-)leden als beheerder optreden, verkrijgt ieder van die (bestuurs-)leden een verenigingsverlof.
Van het verlenen van het verenigingsverlof stelt de politiechef van de regionale eenheid waar de vereniging is gevestigd de politiechef(s) van de beheerder(s) op de hoogte, indien deze beheerder(s) in een andere regionale eenheid van politie wonen dan de vereniging is gevestigd. Deze kennisgeving geschiedt door het toezenden van een kopie van het verleende verlof.
Het verenigingsverlof kan slechts worden verleend voor wapens, die passen binnen het met de historische eenheid, slag of gebeurtenis verband houdende specifieke tijdsbeeld, waarop de betrokken vereniging zich richt. Deze verenigingswapens moeten op het verenigingsverlof worden vermeld. Het aantal vuurwapens, waarvoor het verenigingsverlof geldt, dient voorts in een redelijke verhouding te staan tot het aantal leden dat regelmatig van die wapens gebruik maakt.
Verenigingswapens zijn ervoor bestemd om de leden van de vereniging, die niet over een (geschikt) eigen vuurwapen beschikken, in staat te stellen deel te nemen aan re-enactment-uitvoeringen. De op het verenigingsverlof vermelde beheerders mogen daartoe de verenigingswapens ter hand stellen aan andere leden, die onder toezicht van die beheerders deelnemen aan de re-enactment-uitvoering46.
Gebruik van verenigingswapens
Het deelnemen aan re-enactment-uitvoeringen met verenigingswapens, door leden van die vereniging, mag slechts plaatsvinden indien de beheerder van de verenigingswapens het desbetreffende lid begeleidt naar de plaats van de uitvoering, alwaar hij hem het wapen ter hand stelt. Na afloop van de uitvoering neemt de beheerder het wapen weer in ontvangst.
Aan personen die lid zijn van een door de Minister van Veiligheid en Justitie erkende vereniging, welke zich bezig houdt met het conserveren van historisch militair materieel en die een dergelijk voer-, vaar- of vliegtuig wensen te completeren met een wapen, teneinde deel te kunnen nemen aan de door die vereniging georganiseerde herdenkingstochten en/of tentoonstellingen, kan een verlof (voor categorie III wapens) en/of een ontheffing (voor categorie II wapens) worden verleend tot het voorhanden hebben van maximaal vijf vuurwapens en voor het (uitsluitend) tijdens de daadwerkelijke herdenkingstochten en/of tentoonstellingen onverpakt op het voer-, vaar- of vliegtuig meevoeren (‘dragen’) van deze wapens. Deelname aan activiteiten in het kader van re-enactment is daarbij, mits hiervoor een aantoonbaar belang vanuit het oogpunt van historisch militair materieel bestaat, niet uitgesloten.
Door de Minister van Veiligheid en Justitie zijn de volgende verenigingen erkend:
• Army Vehicle Club gevestigd te Hilversum;
• Brabants Mobiel Museum van Historisch Militair Materieel ‘Wheels’ gevestigd te Eindhoven;
• Dads Peace Army gevestigd te Ede;
• Nederlandse Vereniging Instandhouding Historische Militaire voertuigen ‘Keep Them Rolling’ Rijdend Museum gevestigd te Amsterdam;
• Re-enactmentgroup U.S. 113th Cavalry group mechanized ‘Red Horse’ gevestigd te Gronsveld;
• Santa Fe Historical Military Vehicle Conservation Group gevestigd te Venlo;
• Vereniging Military Display gevestigd te Bussum;
• War Horses gevestigd te Tilburg;
• De Vereniging Super Sixth gevestigd te Susteren;
• Stichting Koninklijke Luchtmacht Historische Vlucht gevestigd te Rijen.
Voor het voorhanden hebben van vuurwapens van categorie III mag slechts een verlof worden verleend indien deze vuurwapens op deugdelijke wijze voor gebruik ongeschikt zijn gemaakt. Dit dient te blijken uit een schriftelijke verklaring van een erkende wapenhandelaar.
Het voorhanden hebben van categorie II wapens is uitsluitend toegestaan nadat hiervoor door de Minister van Veiligheid en Justitie een ontheffing is verleend. Hierbij wordt door de minister een overeenkomstig beleid gevoerd als hiervoor vermeld ten aanzien van vuurwapens van categorie III met dien verstande dat voor de zware (vuur)wapens (vuurwapens in het kaliber .50 of groter, kanonnen, tanks, houwitsers, raketlanceerinstallaties, bewapende pantservoertuigen etc.) slechts ontheffing kan worden verleend indien het wapen is gedemilitariseerd en daarmee definitief voor gebruik ongeschikt is gemaakt. Van demilitariseren is sprake als tenminste:
– de afsluiter duurzaam elektrisch is vast gelast;
– de loopmonding duurzaam elektrisch is dichtgelast;
– in de kamer en de loopmonding opvulstukken zijn ingebracht en dat deze duurzaam elektrisch zijn vast gelast.
Dat sprake is van een gedemilitariseerd dient te blijken uit een schriftelijke verklaring van de Koninklijke Marechaussee, Bureau Wapens, Munitie en Explosieven.
Gelet op het door de Minister van Veiligheid en Justitie gevoerde (restrictieve) beleid zijn aan de verlening van een verlof/ontheffing tot het voorhanden hebben van vuurwapens, de volgende voorwaarden verbonden:
1. De aanvrager dient minimaal 18 jaar oud te zijn, van deze minimumleeftijdsgrens kan niet worden afgeweken;
2. De aanvrager dient tenminste één jaar lid te zijn van een door de Minister van Veiligheid en Justitie erkende vereniging welke zich bezig houdt met het conserveren van historisch militair materieel. De aanvrager dient een kopie van het bewijs van lidmaatschap te overleggen;
3. De complete eenheid (voer-, vaar- of vliegtuig met wapen) moet in originele uitvoering in gebruik zijn, dan wel zijn geweest bij de weermacht van een erkende natie of in het verleden erkende natie en moet voor de desbetreffende vereniging, waarvan de aanvrager lid is, een aanwinst zijn. Dit dient te blijken uit een schriftelijke verklaring van het bestuur van de desbetreffende vereniging;
4. Het voorhanden te houden vuurwapen dient voor gebruik definitief ongeschikt te zijn gemaakt. Voor categorie III wapens dient dit te blijken uit een schriftelijke verklaring van een erkende wapenhandelaar. Voor categorie II wapens geldt dat een verklaring van het Bureau Wapens, Munitie en Explosieven (WMEKMar@mindef.nl) van de Koninklijke Marechaussee moet worden overlegd, waaruit blijkt dat het een gedemilitariseerd wapen betreft.
Aan het verlof dienen de volgende beperkingen en voorschriften te worden verbonden:
BEPERKINGEN:
1. Het wapen wordt voorhanden gehouden op het op het verlof vermelde adres;
2. Het wapen mag voorts voorhanden worden gehouden op plaatsen waar de door de erkende verenigingen georganiseerde herdenkingstochten en/of tentoonstellingen plaatsvinden;
3. De wapens mogen niet voorhanden worden gehouden/gebruikt bij film- of theaterproducties;
4. Het verlof tot het voorhanden hebben op de onder 2 genoemde plaatsen is slechts geldig indien de betrokken burgemeester en korpschef toestemming hebben verleend aan de desbetreffende vereniging om de herdenkingstocht en/of tentoonstelling te houden.
VOORSCHRIFTEN:
1. Het op het verlof vermelde wapen is op deugdelijke wijze voor gebruik ongeschikt gemaakt, hetgeen dient te blijken uit een verklaring van een erkende wapenhandelaar;
2. Het vervoer van het wapen vindt plaats langs de weg en binnen het tijdsbestek welke daar redelijkerwijze voor geboden zijn;
3. Het wapen dient tijdens het vervoer, anders dan in de onder beperking nummer 2 bedoelde gevallen, op een deugdelijke wijze te zijn verpakt;
4. Het wapen wordt uitsluitend tijdens de daadwerkelijke herdenkingstochten en tentoonstellingen onverpakt op het voer-, vaar- of vliegtuig meegevoerd;
5. Gedurende de onder 4 genoemde tochten en tentoonstellingen wordt het wapen deugdelijk (indien mogelijk met behulp van een ketting en een slot) aan het voer-, vaar- of vliegtuig bevestigd;
6. Bij opzegging van het verlof wordt dit onverwijld ingeleverd bij de korpschef;
7. De houder van het verlof houdt zich strikt aan de bepalingen, gesteld bij of krachtens de Wet wapens en munitie, alsmede aan de in het verlof vermelde voorschriften en beperkingen.
Het tijdelijk en incidenteel in gebruik afstaan van historisch militair materieel tijdens een evenement aan een andere deelnemer – die eveneens lid is van een vereniging die is aangesloten bij het LPLG – is toegestaan als dat geschiedt onder de volgende voorwaarden:
a. het historisch militair materieel mag slechts tijdens het evenement aan de andere deelnemer worden afgestaan;
b. het historisch militair materieel mag slechts worden afgestaan in situaties waarin het voor de verlofhouder strikt noodzakelijk is zich van een voertuig te verwijderen;
c. het historisch militair materieel wordt slechts afgegeven gedurende de periode waarin de onder b genoemde strikte noodzakelijkheid voor de verlofhouder zich voordoet.
Onder strikt noodzakelijk wordt hier verstaan de situatie waarin de verlofhouder niet anders kan dan het materieel tijdelijk aan een andere deelnemer afstaan. De situatie waarin een verlofhouder met meerdere voertuigen aan een evenement wil deelnemen en daarom zijn materieel wil afstaan aan een andere deelnemer, is niet zo’n situatie. De begrippen tijdelijk, incidenteel en strikt noodzakelijk dienen in deze context dan ook eng te worden geïnterpreteerd.
Aan personen die zich regelmatig bezighouden met het organiseren van sportwedstrijden waarbij gebruik moet worden gemaakt van een startpistool of -revolver, kan (voor zover het gaat om een tot categorie III behorend startwapen), een verlof tot voorhanden hebben van dat wapen alsmede van de bijbehorende munitie worden verleend.
Ten aanzien van de aanvrager mag geen vrees voor misbruik bestaan. Het verlof wordt verleend onder de volgende, op het verlofdocument bij te schrijven beperking: ‘Dit verlof is niet geldig voor hulpstukken die het wapen geschikt maken voor het verspreiden van weerloos makende of traan verwekkende gassen of stoffen, en evenmin voor munitie die dergelijke gassen of stoffen verspreidt.’
Zo nodig kan tevens een doorlopend verlof tot vervoer worden verleend.
Op het verlofdocument dient bij ‘beperkingen’, onder 1, het woord ‘schietbaan’ te worden vervangen door een omschrijving van de plaats waar het wapen pleegt te worden gebruikt.
Aan personen die zich op serieuze wijze bezig houden met het africhten van honden die – na het behalen van een certificaat – kunnen worden ingezet als jacht-, bewakings- of politiehond, kan, voor het trainen op schotvastheid, een verlof worden verleend tot het voorhanden hebben van een tot categorie III behorend alarmpistool (of -revolver), alsmede van de bijbehorende munitie. Een verlof kan tevens worden verleend aan een jachtaktehouder tot het voorhanden hebben voor een op zijn akte omschreven hagelgeweer voor het verschieten van de zogenaamde blanks (knalpatronen) voor het trainen van jachthonden tijdens de door de KNJV georganiseerde trainingen en het mogelijk maken van wedstrijden en proeven volgens de reglementen van ORWEJA.
Ten aanzien van de aanvrager mag geen vrees voor misbruik bestaan.
Het verlof wordt verleend onder de volgende, op het verlofdocument bij te schrijven beperking: ‘Dit verlof is niet geldig voor hulpstukken die het wapen geschikt maken voor het verspreiden van weerloos makende of traan verwekkende gassen of stoffen, en evenmin voor munitie die dergelijke gassen of stoffen verspreidt.’
Zo nodig kan tevens verlof tot vervoer worden verleend.
Op het verlofdocument dient bij ‘beperkingen’, onder 1, het woord ‘schietbaan’ te worden vervangen door een omschrijving van de plaats waar het wapen pleegt te worden gebruikt.
Aan personen van achttien jaar of ouder die redelijkerwijs kunnen aantonen over een vaartuig te beschikken waarmee op ruim water wordt gevaren en die wensen te beschikken over noodsignaalmiddelen die niet onder de vrijstelling van artikel 22, eerste en tweede lid, van de RWM vallen, kan een verlof47 worden verleend tot het voorhanden hebben van een dergelijk noodsignaalmiddel, alsmede van de bijbehorende munitie. Tevens kan een (doorlopend) verlof tot vervoer worden verleend. Het aan boord van het vaartuig tijdelijk doen uitgaan en doen binnenkomen van het noodsignaalmiddel valt onder de vrijstelling ingevolge artikel 33 RWM.
Niet-ingezetenen die met hun vaartuig een vaste ligplaats in een Nederlandse (jacht)haven hebben, kunnen in de gemeente waar deze haven is gevestigd domicilie kiezen en aldaar een verlof aanvragen. Het doen binnenkomen en uitgaan van het noodsignaalmiddel, zowel indien dit aan boord van het vaartuig gebeurt als indien dit op andere wijze gebeurt, valt onder de vrijstelling ingevolge artikel 23, eerste en tweede lid, RWM.
Op het verlofdocument dient bij ‘beperkingen’, onder 1, het woord ‘schietbaan’ te worden vervangen door: ‘het vaartuig’.
Dummy-launchers en lijnwerptoestellen in de vorm van een geweer of pistool dienen te worden aangemerkt als vuurwapens in de zin van artikel 2, eerste lid, categorie III, onder 1, van de WWM. Dummy-launchers en lijnwerptoestellen als handapparaat, die niet de vorm hebben van een vuurwapen, dienen te worden aangemerkt als toestellen voor beroepsdoeleinden die geschikt zijn om projectielen af te schieten zoals bedoel in artikel 2, lid 1, categorie III onder 2 van de WWM. Voor het voorhanden hebben van alle dummy-launchers en lijnwerptoestellen is derhalve een verlof vereist als bedoeld in artikel 28, eerste lid, van de WWM.
Dummy launchers
Het redelijk belang voor de verlening van een (draag)verlof voor een dummy-launcher – ten behoeve van het africhten van honden – kan worden aangetoond door het overleggen van een geldige jachtakte, een lidmaatschapsbewijs van een (jacht)hondenvereniging of een schriftelijke verklaring van het bestuur van een (jacht)hondenvereniging waaruit blijkt dat de aanvrager is aangesteld als hondentrainer. Daarnaast dient de aanvrager aan te tonen dat de eigenaar of beheerder van het terrein waar het africhten van de honden plaatsvindt geen bezwaar heeft tegen het gebruik van een dummy-launcher op zijn terrein. De aanvrager kan dit aantonen middels een schriftelijke verklaring van de eigenaar van het betreffende terrein of door het overleggen van de eigendomspapieren indien de aanvrager zelf de eigenaar van het terrein is.
Lijnwerptoestellen
Het redelijk belang voor de verlening van een (draag)verlof voor een lijnwerptoestel kan blijken uit het feit dat de aanvrager zich beroepsmatig of op anderszins professionele wijze (zoals bijvoorbeeld brandweerkorpsen en reddingsdiensten) bezig houdt met werkzaamheden waarbij het voorhanden hebben van een lijnwerptoestel nodig is voor het uitoefenen van de werkzaamheden.
Schiethamers
Volgens het Besluit schiethamers (Stb. 1967, 142) wordt onder ‘schiethamer’ verstaan:
‘een werktuig, waarmede pennen, stiften, draadeinden en dergelijke in materialen kunnen worden gedreven en waarbij de drijfkracht geheel of gedeeltelijk wordt geleverd door een explosieve lading’.
In principe is een schiethamer dus een toestel voor beroepsdoeleinden geschikt om projectielen te verschieten. Dat wil zeggen enkel de niet goedgekeurde schiethamers. In Nederland mogen namelijk slechts schiethamers worden gehanteerd die volgens artikel 4 van de Wet op de gevaarlijke werktuigen en het Besluit Schiethamers zijn voorzien van een certificaat van goedkeuring. De schiethamer moet dan aan een zestal veiligheidsvoorwaarden doen, waarvan de belangrijkste is dat: ‘het niet mogelijk is hem in de vrije ruimte af te vuren zonder gebruik te maken van bijzondere hulpmiddelen’. Nu het niet mogelijk is om met een goedgekeurde schiethamer uit de vrije hand projectielen af te schieten kan een schiethamer niet worden aangemerkt als een toestel voor beroepsdoeleinden zoals genoemd in artikel 2, eerste lid, categorie III, onder 2 van de WWM. Ook kan hij niet als vuurwapen in de zin van de WWM worden beschouwd. Het verbod tot het voorhanden hebben, vervoeren, doen binnenkomen en doen uitgaan van munitie is op grond van artikel 19 van de RWM niet van toepassing op munitie behorende bij gecertificeerde schiethamers.
Schietmaskers
Voor het doden van vee worden in de praktijk twee soorten schietmaskers ofwel slachtapparaten gebruikt, namelijk het ‘Slagpen- of veiligheidsslachtapparaat’ (a) en het ‘Kogelslachtapparaat’ (b).
a. Bij het ‘slagpen- of veiligheidsslachtapparaat’ wordt er met behulp van een losse patroon een pen uit de monding van het toestel gedreven in de kop van het te doden dier. De pen blijft echter in het slachtapparaat verankerd, zodanig dat er geen sprake is van het verschieten van een projectiel. Er is dan ook geen sprake van een vuurwapen of een toestel voor beroepsdoeleinden als bedoeld in 2, eerste lid, categorie III, onder 2 van de WWM.
b. Met behulp van het ‘Kogelslachtapparaat’ worden de dieren gedood d.m.v. het afschieten van een kogel. Dit apparaat is derhalve wel een toestel voor beroepsdoeleinden, als bedoeld in artikel 2, eerste lid, categorie III, onder 2 van de WWM, omdat het geschikt is om projectielen af te schieten.
Verdovingsgeweren verschieten over het algemeen het verdovingsprojectiel door middel van lucht-, gas-, of veerdruk. Dergelijke wapens zijn dan ook over het algemeen aan te merken als een wapen als bedoeld in artikel 2, eerste lid, categorie IV onder 4 van de WWM. Het voorhanden hebben van een dergelijk wapen is dan ook toegestaan aan een ieder die achttien jaar of ouder is. Uitgezonderd hiervan zijn de door de Minister van Veiligheid en Justitie aangewezen lucht-, gas-, of veerdrukwapens die zodanig gelijken op een vuurwapen dat zij voor bedreiging of afdreiging geschikt zijn en die derhalve verboden wapens zijn in de zin van artikel 2, eerste lid, categorie I, onder 7 van de WWM.
Verlof tot het dragen van een categorie IV wapen
Het dragen van een categorie IV wapen is uitsluitend toegestaan nadat hiervoor door de korpschef een verlof is verleend. Een redelijk belang voor de verlening van een dergelijk verlof kan aanwezig zijn indien de aanvrager aannemelijk maakt dat hij in het kader van zijn beroepsuitoefening te maken krijgt met situaties waarin het noodzakelijk is om door middel van een verdovingsgeweer een dier te verdoven. Het toedienen van verdovingsmiddelen aan dieren is echter – gelet op de artikelen 29, 30 en 31 van de Diergeneesmiddelenwet, artikel 7 van de Wet op de uitoefening van de diergeneeskunde en de artikelen 2 en 3 van de Kanalisatieregeling diergeneesmiddelen en -gemedicineerde voeders – uitsluitend toegestaan door of onder (direct) toezicht van een dierenarts.
Voorschriften en beperkingen
Aan het verlof dienen de volgende beperkingen en voorschriften te worden verbonden:
BEPERKINGEN:
1. Het toedienen van verdovingsmiddelen door middel van het verdovingsgeweer is uitsluitend toegestaan door of onder (direct) toezicht van een dierenarts;
2. Het gebruik van het verdovingsgeweer op de openbare weg of op andere voor het publiek toegankelijke plaatsen is uitsluitend toegestaan na toestemming van de korpschef.
VOORSCHRIFTEN:
1. Het verdovingsgeweer dient tijdens het vervoer op een zodanig deugdelijke wijze te zijn verpakt, dat het niet voor onmiddellijk gebruik geschikt is;
2. Bij intrekking of bij het verlopen van de geldigheid van het verlof dient het verlof onverwijld ingeleverd te worden bij de korpschef;
3. De houder van het verlof houdt zich strikt aan de bepalingen, gesteld bij of krachtens de Wet wapens en munitie, alsmede aan de in het verlof vermelde voorschriften en beperkingen.
Het doden van losgebroken en/of gewond vee/wild met een kogelgeweer kan noodzakelijk zijn indien een dier een gevaar vormt voor de veiligheid van personen en/of goederen en er geen reële mogelijkheid is om het dier op een andere (verantwoorde) wijze onder controle te krijgen dan wel ter beëindiging van ondraaglijk lijden van het dier. Omdat het in principe niet verantwoord is om (groot) vee te doden met een projectiel uit een (politie)pistool (onder meer vanwege de beperkte ballistische eigenschappen van een dergelijk projectiel), kan de korpschef besluiten dat er een redelijk belang is om aan één of meerdere personen een verlof te verlenen voor het voorhanden hebben van een groot kaliber kogelgeweer. Een dergelijk verlof mag alleen verleend worden aan personen die in het bezit zijn van een geldige jachtakte en die aannemelijk hebben gemaakt dat zij met enige regelmaat te maken krijgen met situaties waarin het noodzakelijk is om losgebroken en/of gewond vee/wild te doden. Alvorens een dergelijk verlof wordt verleend dient de korpschef zich er van te vergewissen dat de desbetreffende persoon voldoende vaardig is in de omgang met een groot kaliber geweer en voldoende kennis heeft van de wijze waarop (groot) vee/wild geschoten moet worden.
Het houden van dam- of edelherten voor de vleesproductie is in Nederland een steeds vaker voorkomend verschijnsel. Het doden van deze dieren middels de gebruikelijke methoden (schietmasker) is onwenselijk vanwege het feit dat er eerst een zekere manipulatie van het dier door de mens moet plaatsvinden om het dier in de voor die dodingsmethode vereiste positie te brengen. Een dergelijke manipulatie veroorzaakt bij dit soort niet gedomesticeerde dieren een ongewenste opwinding (stress) met negatieve gevolgen voor de kwaliteit van het vlees. Het doden middels een kogel door een daartoe bevoegd persoon heeft dan ook de voorkeur van de fokkers van deze dieren.
Het op verzoek van de fokker doden van deze dieren kan dan ook een redelijk belang opleveren voor de verlening van een verlof tot het voorhanden hebben van een kogelgeweer. Een algemene voorwaarde voor de verlening van een dergelijk verlof is dat de aanvrager in het bezit moet zijn van een geldige jachtakte. Middels het overleggen van een geldige jachtakte toont de aanvrager aan dat hij geoefend is in het doden van dieren met gebruikmaking van een kogelgeweer. Bovendien wordt door het hanteren van deze voorwaarde onnodige uitbreiding van het wapenbezit veelal voorkomen.
Aan een dergelijk verlof dienen de volgende beperkingen te worden verbonden:
1. De bevoegdheid tot het doden van dieren geldt alleen voor als productiedieren gekweekt grofwild zoals bedoeld in artikel 13 van het Besluit doden van dieren (Stb. 1997, 235);
2. Het doden van het gekweekte grofwild vindt plaats op het terrein waar deze dieren worden gehouden;
3. Het wapen mag worden vervoerd van en naar die plaatsen waar het gekweekte desbetreffende grofwild wordt gehouden;
4. Het doden van gekweekt grofwild met behulp van een geweer mag alleen plaatsvinden tussen zonsopgang en zonsondergang;
5. Het gekweekt grofwild mag slechts worden gedood indien het geweer en de munitie voldoen aan de eisen zoals gesteld in artikel 10 en 11 van het Besluit beheer en schadebestrijding48;
6. Bij het doden van gekweekt grofwild mag geen gebruik worden gemaakt van militaire kogelpatronen, met inbegrip van fosfor- of lichtspoorpatronen, noch van volmantel-kogelpatronen of kogels die niet vervormen bij het treffen van het dier;
7. Bij het doden van het gekweekt grofwild mag de afstand tussen dier en schutter ten hoogste 25 meter bedragen;
8. De houder van het verlof dient er zorg voor te dragen dat zijn burgerrechtelijke aansprakelijkheid, voor schade waartoe het verrichten van die handelingen met gebruikmaking van een geweer aanleiding kan geven, door een verzekering is gedekt.
In de Flora- en Faunawet (Ffw) is geregeld onder welke stringente voorwaarden iemand in aanmerking kan komen voor de verlening van een jachtakte. Met de inwerkingtreding van de Ffw is door het Ministerie van Landbouw, Natuurbeheer en Voedselkwaliteit, in overleg met het Ministerie van Veiligheid en Justitie, besloten om in beginsel geen afwijking meer toe te staan op de algemene regel dat een ieder die met een geweer wil jagen, dan wel zich wil bezig houden met beheer en bestrijding van schade, in het bezit dient te zijn van een geldige jachtakte. Op grond van de Ffw bestaat echter de mogelijkheid dat Gedeputeerde Staten op grond van artikel 68 van deze wet een ontheffing van artikel 7, tweede lid, van het Besluit beheer en schadebestrijding verlenen. In de laatstgenoemde bepaling wordt gesteld dat voor het gebruik van een geweer te bestrijding van schade door dieren een geldige jachtakte is vereist. Gedeputeerde Staten bepalen binnen de toetsingscriteria van de wet of een dergelijk ontheffing noodzakelijk is. In praktijk zal hiertoe slechts bij hoge uitzondering besloten worden. Indien door Gedeputeerde Staten een dergelijke ontheffing wordt verleend dan levert dit een redelijk belang op voor de verlening van een verlof.
Jagen in het buitenland
De houder van een geldige jachtakte mag zijn geweren tevens gebruiken voor het uitoefenen van de jacht in het buitenland49. Gelet op het belang van het beheersen van het legale bezit van wapens en de onmogelijkheid van de politie om de jacht in het buitenland te controleren, levert de uitoefening van de jacht in het buitenland in principe geen redelijk belang op voor de verlening van een verlof tot het voorhanden hebben van vuurwapens. In het licht van de Europese eenwording heeft de Minister van Veiligheid en Justitie – na afstemming met de minister van Landbouw, Natuur en Voedselkwaliteit – besloten om de jacht binnen de Europese Unie wél aan te merken als een redelijk belang voor de verlening van een verlof.
Voor de verlening van een verlof ten behoeve van de jacht elders in de Europese Unie dient de aanvrager te voldoen aan de volgende voorwaarden:
a. de leeftijd van de aanvrager is tenminste 18 jaar;
b. ten aanzien van de aanvrager mag geen ‘vrees voor misbruik’ bestaan (zie B 1.);
c. de aanvrager dient met gunstig gevolg een erkend jachtexamen te hebben afgelegd zoals bedoeld in artikel 39, eerste lid, onder c, van de Ffw;
d. de aanvrager dient aan te tonen dat hij elders in de Europese Unie gerechtigd is om, met het wapen waarvoor hij een verlof aanvraagt, te jagen. De aanvrager kan dit aantonen door het overleggen van een geldige jachtakte van één van de lidstaten van de Europese Unie;
e. door de verlening van het verlof c.q. bijschrijving op de jachtakte wordt het maximum aantal wapens zoals genoemd in artikel 43 van de RWM niet overschreden. Door het uitoefenen van de jacht in het buitenland kan niet worden aangetoond dat het ‘onontbeerlijk’50 is om van dit maximum af te wijken.
Indien de aanvrager reeds in het bezit is van een geldige Nederlandse jachtakte dan dient het wapen te worden bijgeschreven op de jachtakte. Indien de aanvrager niet beschikt over een geldige Nederlandse jachtakte dan kan het wapen worden bijgeschreven op een verlof tot het voorhanden hebben.
Loodhagel & Zinkhagel
Een ieder – aan wie een verlof of jachtakte is verleend voor het voorhanden hebben van een hagelgeweer en de bijbehorende (categorie III) munitie – mag op grond van deze vergunning (zonder extra aantekening) lood- en zinkhagelmunitie voorhanden hebben (bijvoorbeeld ter uitoefening van de jacht of de beoefening van de schietsport in het buitenland).
Op deze hoofdregel zijn echter twee belangrijke beperkingen van toepassing, namelijk:
1. Het gebruik van lood- en zinkhagel is – op grond van het Besluit kleiduivenschieten Wet milieugevaarlijke stoffen51 – bij het schieten op kleiduiven in Nederland niet toegestaan. Ook het voorhanden hebben van deze patronen tijdens het schieten op kleiduiven is verboden52 Het opzettelijk in strijd handelen met het Besluit kleiduivenschieten Wms is op grond van artikel 1a juncto artikel 2 van de Wet op de Economische Delicten (WED) aangemerkt als een ‘misdrijf’ en kan derhalve leiden tot intrekking van het verlof of de jachtakte;
2. Het voorhanden hebben en het gebruik van loodhagel is, op grond van de Ffw, niet toegestaan bij de uitoefening van de jacht of bij beheer- en/of schadebestrijding.
Zelfverdediging kan slechts onder zeer uitzonderlijke omstandigheden worden aangemerkt als een redelijk belang dat het verlenen van een verlof tot het voorhanden hebben van een vuurwapen van categorie III vordert. Van geval tot geval zal moeten worden beoordeeld of van zodanige omstandigheden sprake is. Bij de beoordeling van de aanvraag spelen uiteraard ook de betrouwbaarheid van de aanvrager en diens geoefendheid in de omgang met vuurwapens een rol.
De korpschef verleent een verlof tot het voorhanden hebben of dragen van een vuurwapen van categorie III ten behoeve van zelfverdediging niet dan met schriftelijke instemming van de Minister van Veiligheid en Justitie. Daartoe kan telefonisch contact worden opgenomen met het Ministerie van Veiligheid en Justitie. Van de verlening van het verlof wordt onverwijld schriftelijk mededeling gedaan aan de Minister. Indien een verlof tot het dragen van een vuurwapen van categorie III wordt gevraagd dient tevens een verlof te worden gevraagd tot het voorhanden hebben van dat vuurwapen, tenzij de aanvrager daartoe reeds bevoegd is.
Voor wapens van categorie II kan door de korpschef geen verlof worden verleend. Dergelijke wapens (waaronder de automatische vuurwapens) behoren, gelet op de aard daarvan, in beginsel niet in particuliere handen te komen. Het voorhanden hebben van wapens van categorie II is voor particuliere uitsluitend toegestaan indien daartoe door de Minister van Veiligheid en Justitie, op grond van artikel 4 van de WWM, een ontheffing is verleend. Dit artikel geeft echter geen mogelijkheid om ontheffing te verlenen voor het voorhanden hebben van automatische wapens ten behoeve van zelfverdedigingsdoeleinden. Tenslotte kan bij wijze van uitzondering een verlof tot het dragen van een ander wapen dan een vuurwapen, bijvoorbeeld een wapenstok, worden verleend indien daarvoor naar het oordeel van de korpschef aanleiding bestaat.
Het voorhanden hebben van (vuur)wapens aan boord van Nederlandse schepen is slechts toegestaan indien de wapens krachtens een verlof aan boord voorhanden mogen worden gehouden. Indien een dergelijk verlof is verleend dan is – voor zover de wapens en munitie tot de uitrusting van het schip behoren – de vrijstelling van artikel 33 van de RWM van toepassing, op grond waarvan aan de houder van het verlof vrijstelling wordt verleend voor het tijdelijk doen uitgaan en doen binnenkomen van deze wapens en de bijbehorende munitie.
Wanneer iemand op een zeewaardig Nederlands schip een langdurige zeereis gaat ondernemen waarbij hij zich in wateren zal gaan begeven waarvan bekend is dat piraterij zich daar regelmatig voordoet dan kan dit de verlening van een verlof53 tot het voorhanden hebben van een vuurwapen rechtvaardigen.
Bij het oordeel of een persoon voor een dergelijk verlof in aanmerking komt zal door de korpschef naast het gevarenrisico, ook de betrouwbaarheid van de aanvrager en diens geoefendheid in de omgang met vuurwapens moeten worden betrokken. Op een dergelijk verlof zullen niet zonder meer alle vuurwapens van categorie III mogen worden vermeld. Een verlof tot het voorhanden hebben van vuurwapens ten behoeve van zelfverdediging met het oog op mogelijke piraterij zal in beginsel voor ten hoogste één handvuurwapen (pistool of revolver) en/of één geweer worden verleend. De wapens dienen aan boord van het schip te worden opgeborgen in een voor derden niet gemakkelijk bereikbare en goed afgesloten bergplaats.
Degene aan wie een dergelijk verlof wordt verleend doet er verstandig aan om voor het begin van de reis te informeren naar de eisen die de te bezoeken landen stellen aan het voorhanden hebben van vuurwapens op hun grondgebied c.q. binnen hun territoriale wateren. Het is bovendien raadzaam om een verkregen verlof door een beëdigd vertaler in diverse talen te laten vertalen en direct na aankomst aan de (haven) autoriteiten te tonen.
Aan het verlof dienen de volgende beperkingen en voorschriften te worden verbonden:
BEPERKINGEN:
1. De wapens mogen uitsluitend aan boord van het schip voorhanden worden gehouden;
2. Zolang het schip zich in de Nederlandse territoriale wateren bevindt dienen de wapens aan boord van het schip te worden opgeborgen in een voor onbevoegden niet gemakkelijk bereikbare en afgesloten bergplaats.
VOORSCHRIFTEN:
1. De houder van het verlof dient binnen twee weken na terugkeer in Nederland dit verlof in te leveren bij de korpschef die het verlof heeft verleend;
2. De houder van het verlof houdt zich strikt aan de bepalingen, gesteld bij of krachtens de Wet wapens en munitie, alsmede aan de in het verlof vermelde voorschriften en beperkingen.
In Nederland zijn er een aantal bedrijven die zich beroepsmatig bezig houden met het verhuren van rekwisieten ten behoeve van film-, theaterproducties en re-enactment opvoeringen. Een onderdeel van de verhuur van deze rekwisieten bestaat uit de verhuur van voorwerpen die vallen onder de werking van de Wet wapens en munitie. Gelet op artikel 9, eerste lid, van de Wet wapens en munitie is het in de uitoefening van een bedrijf verhuren van wapens of munitie slechts toegestaan indien aan het desbetreffende bedrijf een erkenning is verleend door de korpschef. Feitelijk wordt de erkenning afgegeven door de politiechef in de regionale eenheid van de politie waar het bedrijf is gevestigd. Naast de algemene regels die van toepassing zijn op een erkenning houder is de tijdelijke overdracht (verhuur) van (vuur)wapens slechts toegestaan indien wordt voldaan aan de volgende voorschriften.
1. De vuurwapens die aan derden worden verhuurd dienen zoveel mogelijk voor het verschieten van scherpe munitie ongeschikt te zijn gemaakt54;
2. Indien er meer dan vijf, voor het verschieten van scherpe munitie onklaar gemaakte vuurwapens, dan wel één of meer, niet voor het verschieten van scherpe munitie onklaar gemaakte vuurwapens, aan één cliënt ter beschikking worden gesteld dan dient de in de erkenning genoemde beheerder tijdens de verhuur in persoon bij de (vuur)wapens aanwezig te zijn. Zo nodig kan, in plaats van de beheerder, een bij hem in dienst zijnde persoon, die in het bezit is van een door de korpschef afgegeven doorlopend verlof tot vervoer, tijdens de verhuur bij de wapens aanwezig zijn;
3. Het dragen (onverpakt voorhanden hebben) van de wapens op de openbare weg of op andere voor het publiek toegankelijke plaatsen is uitsluitend toegestaan indien hiervoor vooraf schriftelijk toestemming is verleend door de desbetreffende burgemeester en de korpschef;
4. Het gebruik van losse flodders (knalpatronen) is uitsluitend toegestaan onder begeleiding van de in de erkenning genoemde beheerder dan wel een bij hem in dienst zijnde persoon, die in het bezit is van een door de korpschef afgegeven doorlopend verlof tot vervoer. Uitzondering hierop vormt de verhuur van wapens ten behoeve van theaterproducties waarbij de desbetreffende gebruiker(s) vooraf door de erkenning houder geïnstrueerd zijn over de in acht te nemen (veiligheids-)voorschriften bij het gebruik van de wapens;
5. Het tijdelijk overdragen (verhuren) van de (vuur)wapens is uitsluitend toegestaan indien de wapens staan vermeld op een volledig ingevuld formulier TVW (Tijdelijk Verhuur van Wapens)55;
6. De huurder wendt zich, minimaal zeven dagen voor het gebruik, met het originele en volledig ingevulde TVW-formulier tot de Eenheidschef in de politieregio waar de wapens voorafgaande aan, of na afloop van het gebruik ervan, zullen worden bewaard. Tevens wendt hij zich tot de Eenheidschef van de politieregio waar de wapens daadwerkelijk zullen worden gebruikt voor het doel waarvoor deze ter beschikking worden gesteld. Eerst na afstempeling en parafering door (of namens) de betrokken Eenheidchef(s) is de verhuurder bevoegd om de (vuur)wapens ter beschikking te stellen en is de huurder bevoegd tot het verkrijgen, voorhanden hebben en vervoeren van die (vuur)wapens;
7. De erkenning houder, het namens hem handelende personeelslid, de huurder en de voor de huurder optredende beheerder dienen zich strikt te houden aan de bepalingen gesteld bij of krachtens de Wet wapens en munitie, alsmede aan de overige beperkingen en voorschriften die zijn vermeld op het formulier TVW.
De persoon aan wie een vergunning is verleend tot het voorhanden hebben van wapens en/of munitie dient – indien de wapens en de bijbehorende munitie thuis voorhanden worden gehouden – er voor te zorgen dat deze worden opgeborgen in afzonderlijke, deugdelijk afgesloten, en voor onbevoegden niet gemakkelijk bereikbare bergplaatsen. De wapens dienen dus gescheiden van de munitie te worden opgeborgen.
De hieronder genoemde bepalingen betreffende het opbergen van wapens en munitie zijn tevens van toepassing op essentiële onderdelen van wapens zoals bedoeld in artikel 3 van de Wet wapens en munitie.
De bepalingen zijn echter niet van toepassing op de (onderdelen van) wapens en (onderdelen van) munitie waarop de vrijstelling van artikel 18 van de Regeling wapens en munitie van toepassing is noch op lege hulzen en projectielen die bestemd zijn voor het herladen. De onderstaande bepalingen zijn wel van toepassing op de opslag van slaghoedjes maar zijn niet van toepassing op de opslag van kruit. Het voorhanden hebben van kruit valt immers niet onder de werking van de WWM.
Als een deugdelijke bergplaats voor wapens en/of munitie wordt uitsluitend aangemerkt een speciaal voor de opslag van wapens vervaardigde wapenkast/wapenkluis of een andere kluis die qua uitvoering en inbraakwerendheid daarmee kan worden gelijkgesteld. Een kluis dient deugdelijk te worden verankerd in de vloer of de muur van het gebouw tenzij de kluis van een dusdanig gewicht is (minimaal 200 kilo) dat het zo goed als uitgesloten is dat de kluis bij een inbraak kan worden meegenomen.
Aan personen of instellingen die bevoegd zijn tot het voorhanden hebben van grote aantallen (meer dan 25) wapens (bijvoorbeeld wapenverzamelaars/musea) en personen of instellingen die bevoegd zijn tot het voorhanden hebben van munitie die in totaal een grote omvang heeft (bijvoorbeeld munitieverzamelaars/musea) is het, naast de berging in (wapen) kluizen, ook toegestaan om wapens en/of munitie op te bergen in een andere deugdelijk afgesloten bergplaats zoals een speciaal beveiligde (wapen)kamer. De omvang van de te treffen beveiligingsmaatregelen is uiteraard afhankelijk van de soort (gevaarzetting) en het aantal wapens of munitie dat in het gebouw ligt opgeslagen alsmede van de ligging en de beveiliging van het gebouw, hetgeen per geval zal moeten worden beoordeeld door een beveiligingsexpert van de politie.
Het opbergen van privé- en verenigingsvuurwapens en munitie bij schietverenigingen is toegestaan mits aan de volgende voorwaarden wordt voldaan:
a. De vereniging dient te beschikken over een deugdelijk afsluitbare ruimte waarin afzonderlijk afsluitbare kluizen zijn geplaatst die voldoen aan de onder B 8.1. genoemde criteria;
b. De (reserve)sleutels van de afzonderlijk afsluitbare kluizen mogen niet in het pand van de vereniging worden opgeslagen.
Indien er bij een vereniging of inrichting (als bedoel in de Wet Milieubeheer) meer dan 25 vuurwapens liggen opgeslagen dan dient de ruimte waarin de kluizen zijn geplaatst alsmede het gebouw waarin deze ruimte is gelegen voorzien te zijn van een goedgekeurde alarminstallatie die is aangesloten op een particuliere alarmcentrale als bedoeld in artikel 3, onder b, van de Wet particuliere beveiligingsorganisaties en recherchebureaus.
In het geval dat een verlof- c.q. jachtaktehouder een gedeelte van het jaar buiten zijn vaste woonplaats verblijft, bijvoorbeeld op een vakantieadres, en hij daar zijn vuurwapens voorhanden wil houden teneinde ter plaatse de jacht of de schietsport te kunnen beoefenen, bestaat er mijnerzijds geen bezwaar tegen dat de korpschef op het verlof c.q. de jachtakte de aantekening doet dat de vuurwapens ook voorhanden mogen worden gehouden op het tijdelijke adres.
Is het tijdelijke adres van de verlof- c.q. jachtaktehouder gelegen buiten de regio waaronder de vaste woonplaats van de verlofhouder ressorteert dan is overleg – met de politiechef in de regio waaronder het tijdelijke adres ressorteert – geboden. Tevens dient aan laatstgenoemde politiechef een kopie van het verlof te worden toegezonden.
Vanzelfsprekend dient de verlof- c.q. jachtaktehouder op zijn tijdelijk adres eveneens over de mogelijkheid te beschikken om zijn vuurwapens conform de in onderdeel B 8.1 van deze circulaire genoemde eisen op te bergen.
Het is niet ongebruikelijk dat verlof- of jachtaktehouders gemeenschappelijk gebruik willen maken van één of meerdere vuurwapen(s). Tegen het gemeenschappelijk gebruik van vuurwapens is geen bezwaar wanneer dit het toezicht en de controle op de naleving van wapen wettelijke voorschriften niet in gevaar brengt. Daarom moet aan de volgende voorwaarden worden voldaan:
1. Slechts één verlof- c.q. jachtaktehouder (A) is bevoegd het wapen thuis te bewaren (voorhanden te hebben). Dit houdt in dat de andere verlof- c.q. jachtaktehouder (B) die het wapen op zijn verlof respectievelijk jachtakte vermeld heeft staan, het wapen – alvorens hij dit gaat gebruiken voor het doel waarvoor hem een verlof respectievelijk een jachtakte is verleend – eerst bij A moet ophalen om het na gebruik terstond weer bij A terug te brengen;
2. De verschillende verloven c.q. jachtakten moeten ten aanzien van het gemeenschappelijk wapen onderling naar elkaar verwijzen en moeten aangeven wie van de verlof- c.q. jachtaktehouders bevoegd is het wapen thuis te bewaren.
Een wapen dat vermeld staat op twee verloven of jachtakten telt bij de A-houder (dit is dus degene die het wapen voorhanden heeft op het moment dat het wapen niet gebruikt wordt voor de beoefening van de schietsport of de uitoefening van de jacht door de B-houder) mee voor het maximum aantal wapens dat hij of zij (op grond van artikel 43 van de RWM) voorhanden mag hebben.
Bij de B-houder (dit is dus degene die het wapen leent van de A-houder en na gebruik terstond weer bij A terug brengt) telt het wapen niet mee voor de bepaling van het maximum aantal wapens dat hij of zij voorhanden mag hebben. Het aantal wapens dat met gebruikmaking van deze constructie op een verlof c.q. jachtakte mag worden vermeld bedraagt maximaal 10 voor een verlof en maximaal 12 vuurwapens voor een jachtakte.
Indien meerdere personen binnen een huishouden op grond van hun respectievelijke wapenverloven, allen bevoegd zijn tot het voorhanden hebben van alle binnen het huishouden aanwezige vuurwapens, mogen deze vuurwapens in dezelfde kluis worden bewaard. Dit geldt uitdrukkelijk niet wanneer de verschillende personen binnen het huishouden op grond van hun wapenverloven bevoegd zijn tot het voorhanden hebben van verschillende wapens.
Indien het wapenverlof is verleend, houdt de politie toezicht op de wapenverlofhouder. De politie controleert onaangekondigd bij wapenverlofhouders of zij hun wapens en munitie correct hebben opgeborgen. Dit betekent dat niet elke verlofhouder jaarlijks wordt gecontroleerd, wel zal elke verlofhouder minimaal één keer per drie jaar een thuiscontrole krijgen. Indien nodig, zullen verlofhouders op basis van een risico-indicatie en op basis van steekproeven, vaker gecontroleerd worden. Voor verlofhouders tot 25 jaar geldt een thuiscontrole van minimaal één keer per jaar.
Het is noodzakelijk dat bij alle verlofhouders en jachtaktehouders, wordt gecontroleerd of:
a. de wapens en munitie welke door de betrokkene voorhanden worden gehouden, beantwoorden aan de omschrijving op het verlof en/of de jachtakte;
b. de verlofhouder of jachtaktehouder aan alle in de wet en regelgeving omschreven eisen voldoet;
c. de wapens en/of de munitie op de juiste wijze zijn opgeborgen (zie B 8).
Gelet op de aard van deze controle, zal deze moeten plaatsvinden door middel van een, bij voorkeur onaangekondigd, huisbezoek. Daarnaast is het mogelijk om, ter controle van bepaalde gegevens, betrokkene te verzoeken zich met zijn wapens op het bureau te vervoegen. Uiteraard geldt dat personen die er blijk van hebben gegeven het met de naleving van de voorschriften niet zo nauw te nemen, aan een intensiever toezicht dienen te worden onderworpen dan personen van wie is gebleken dat zij de wapenwetgeving stipt naleven.
Bij lichtere onregelmatigheden, zoals kleine onjuistheden of slordigheden, dient een schriftelijke waarschuwing aan betrokkene te worden gegeven, waarin hem wordt meegedeeld welke onjuistheden of slordigheden zijn geconstateerd en waarin hij wordt gemaand om die in de toekomst te voorkomen.
Gegeven waarschuwingen en eventueel opgemaakte processen-verbaal kunnen er toe leiden ofwel dat aan het verleende verlof of de verleende jachtakte zwaardere voorschriften of beperkingen worden verbonden ofwel dat tot intrekking wordt overgegaan. Indien, nadat intrekking heeft plaatsgevonden, in een eventueel volgende beroepsprocedure kan worden aangetoond dat betrokkene één of enkele malen schriftelijk is gewezen op de niet correcte naleving van de WWM dan bestaat er een grotere kans dat de intrekking ook in beroep zal worden gehandhaafd. Een schriftelijke waarschuwing is geen besluit in de zin van de Algemene wet bestuursrecht. Er kan geen bezwaar of beroep tegen worden ingesteld. 56
Bij schietverenigingen dient – naast de in onderdeel B 9.1 genoemde punten – bij een controle tevens aandacht te worden besteed aan de volgende punten:
1. worden – indien van toepassing – de wapens en munitie uitgegeven door de beheerder van de vereniging en beschikt deze beheerder over een aan hem uitgegeven verenigingsverlof;
2. Is de vereniging door de KNSA of KNTS gecertificeerd?
3. is – indien van toepassing – de verenigingsbeheerder in de positie om toezicht te houden op de schutter aan wie een verenigingswapen ter is hand gesteld en ziet hij er, eventueel in samenspraak met de baancommandant, op toe dat niet verschoten munitie wordt ingeleverd;
4. is er een presentieregister aanwezig en wordt dit conform de voorschriften (zie onderdeel B 2.4.2) bijgehouden;
5. worden – indien van toepassing – de voorschriften met betrekking tot het gebruik van verenigingswapens en munitie nageleefd (zie onderdeel B 2.2.2 en B 2.2.3);
6. worden de voorschriften met betrekking tot promotieactiviteiten en introducés nageleefd (zie onderdeel B 2.2.5).
Aan de door de Minister van Veiligheid en Justitie verleende ontheffingen is in de meeste gevallen het voorschrift verbonden dat de ontheffing uitsluitend geldt voor zover de wapens staan vermeld op een door de korpschef afgegeven verlof tot het voorhanden hebben van vuurwapens. Hetgeen hiervoor onder B 9.1 staat vermeld geldt derhalve ook onverkort voor de controle op ontheffing houders. Ten aanzien van het opbergen van wapens en munitie kunnen in de ontheffing echter afwijkende bepalingen zijn opgenomen. Dit is met name het geval voor ontheffingen die zijn verleend aan musea.
Indien er bij een controle onregelmatigheden/overtredingen worden geconstateerd dan dient de korpschef zo spoedig mogelijk de Minister van Veiligheid en Justitie hiervan op de hoogte te stellen. De Minister van Veiligheid en Justitie zal vervolgens beoordelen of de geconstateerde onregelmatigheden/overtredingen aanleiding geven om aan betrokkene een schriftelijke waarschuwing te geven dan wel de ontheffing in te trekken.
Indien de korpschef van mening is dat de aanwezigheid van de wapens – die op grond van de ontheffing voorhanden mogen worden gehouden – een direct gevaar oplevert voor betrokkene of voor zijn omgeving dan kan de korpschef middels een besluit – op grond van artikel 8, tweede lid, van de WWM – de ontheffing houder gelasten om de wapens en/of munitie binnen een in dat besluit gestelde termijn bij hem in bewaring te geven. Een afschrift van een dergelijk besluit dient door de korpschef zo spoedig mogelijk aan de Minister van Veiligheid en Justitie te worden toegezonden.
Ingevolge de richtlijn d.d. 18 juni 1991 van de Raad van de Europese Gemeenschappen inzake de controle op de verwerving en het voorhanden hebben van wapens (91/477/EEG) zijn de lidstaten van de Europese Unie gehouden het als wapenhandelaar op hun grondgebied werkzaam zijn afhankelijk te stellen van een erkenning op grond van tenminste een controle van de betrouwbaarheid van de wapenhandelaar in de persoonlijke (zedelijkheid) en beroepensfeer (vakbekwaamheid). De bevoegde instanties in de lidstaten controleren geregeld of wapenhandelaren hun wettelijke verplichtingen nakomen.
Door de afschaffing van de douanecontrole aan de binnengrenzen van de bij de EU aangesloten landen, is het belang van intensivering van het binnenlandse toezicht op het wapenbezit aanmerkelijk toegenomen. Dit rechtvaardigt dat houders van een erkenning, in het bijzonder wapenhandelaren, die immers staan aan het begin van de keten waarlangs de verspreiding van wapens over een groot publiek zich voltrekt, aan regelmatig en grondig toezicht, middels een controle van hun bedrijfsruimte, hun administratie, alsmede hun wapen- en munitievoorraad, worden onderworpen. Een regelmatig toezicht op de activiteiten van erkenning houders is dus noodzakelijk.
In de eerste plaats kan dit gebeuren door het controleren van de kopieën van de registers die de beheerder op grond van artikel 12 van de RWM maandelijks dient toe te zenden aan de korpschef.
In de tweede plaats dient de politie tenminste eenmaal per jaar, de vestiging waar de activiteiten worden uitgeoefend te bezoeken, teneinde de gang van zaken in die vestiging op een juiste naleving te controleren. Hierbij dient ook te worden gelet op de naleving van de veiligheidsvoorschriften (artikel 11 van de RWM). Uiteraard geldt dat beheerders die er blijk van hebben gegeven het met de naleving van de voorschriften niet zo nauw te nemen, aan een intensiever toezicht dienen te worden onderworpen dan beheerders van wie is gebleken dat zij de wapenwetgeving stipt naleven.
In de derde plaats dient tenminste eenmaal per jaar, bij voorkeur aan het begin van het jaar, de werkelijke voorraad in de vestiging te worden opgenomen en te worden gecontroleerd aan de hand van de opgave daaromtrent in de kopieën van de registers die overeenkomstig artikel 12 van de RWM aan de politie zijn verstrekt. Bij deze controle kan zo nodig met het nemen van steekproeven worden volstaan.
Bij lichtere onregelmatigheden, zoals kleine onjuistheden of slordigheden, dient een schriftelijke waarschuwing aan betrokkene te worden gegeven, waarin hem wordt meegedeeld welke onjuistheden of slordigheden zijn geconstateerd en waarin hij wordt gemaand om die in de toekomst te voorkomen. Een schriftelijke waarschuwing is geen besluit in de zin van de Algemene wet bestuursrecht. Er kan geen bezwaar of beroep tegen worden ingesteld. 57
Afhankelijk van de ernst van de geconstateerde feiten, eventueel opgetekend in processen-verbaal, en/of de frequentie van gegeven waarschuwingen, kunnen zwaardere voorschriften of beperkingen aan de erkenning worden verbonden ofwel kan (moet) de erkenning worden ingetrokken. Indien, nadat intrekking heeft plaatsgevonden, in een eventueel volgende beroepsprocedure kan worden aangetoond dat betrokkene één of enkele malen schriftelijk is gewezen op de niet correcte naleving van de WWM, bestaat er een grotere kans dat de intrekking ook in beroep zal worden gehandhaafd.
Indien consenten tot uitgaan of tot doorvoer of tot binnenkomen in verband met overbrenging en opslag onder douaneverband door de verlenende instantie niet van de douane zijn terugontvangen, zal de korpschef (en feitelijk de politiechef in de plaats waar de aanvrager is gevestigd of in het geval het consent op naam van de wapenhandelaar is gesteld, in de plaats waar de wapenhandelaar is gevestigd), een onderzoek instellen. Dit onderzoek dient zo spoedig mogelijk na afloop van de geldigheidsduur van het desbetreffende consent plaats te vinden. De korpschef zal moeten nagaan of het uitgaan of de doorvoer van de in het consent vermelde wapens en munitie al dan niet heeft plaats gehad, alsmede om welke redenen – bij gebruikmaking van het consent – het consent niet aan de douane is afgegeven, dan wel – bij niet-gebruikmaking van het consent – het consent niet aan de verlenende instantie is teruggezonden.

Opsomming van stormgeweren waarvan het voorhanden hebben en overdragen binnen de door de wet gestelde beperkingen en voorschriften is toegestaan, indien de blokkering op de daarbij aangegeven wijze – voor 1 augustus 2005 – is aangebracht . Wapens die identiek zijn aan de onderstaande modellen maar in licentie zijn gemaakt door een andere fabrikant (zoals bijvoorbeeld de door STEYR geproduceerd FAL) worden gelijk gesteld met het wapen van de oorspronkelijke producent.
ARMALITE: type AR 10
• De nok op de achterzijde van de hamer dient te zijn afgeslepen;
• Voor zover de automatische afvuurboom aanwezig is dient de bovenzijde te worden afgeslepen tot de bovenzijde van het huis;
• De uitschakeling automatisch vuren (het zogenoemde blokje) dient te zijn aangebracht.
ARMALITE: type AR 15/M 16
• De nok aan de bovenzijde van de hamer dient te zijn afgeslepen;
• Van de automatische afvuurboom dient, indien deze in het wapen aanwezig is, de bovenste nok te zijn afgeslepen.
FN: type FAL
• De retourstift van de trekker dient te zijn voorzien van een openstaande kraag;
• Het geweer dient te zijn voorzien van een semi-automatische vuurregelaar met uitstekende nok;
• Op het huis dient de aanslagstift voor bovengenoemde nok aanwezig te zijn.
FN: type’s FNC en CAL
• Het uitstekende gedeelte van de linkerzijde van de hamer-opvangnok dient geheel glad te zijn weggeslepen.
HECKLER & KOCH: alle varianten van deze automatische geweren
• De voorste nok van de hamer dient door afslijpen verwijderd te zijn. In combinatie hiermee dient een semi-automatische vuurregelaar te zijn aangebracht.
N.B. Bij een zodanig gewijzigd geweer kan de vuurregelaar toch nog op de stand ‘automatisch’ (F) worden geplaatst, echter zonder dat het wapen automatisch kan vuren.
KALASHNIKOV: type AK 47
• Het achterste uiteinde van de vangtuimelaar dient zodanig ingekort te zijn, dat de vuurregelaar in de stand ‘automatisch’ – de middenstand – deze tuimelaar niet meer raakt.
RUGER: type AC 556 en alle automatische varianten van het type Mini 14
• Het rechter uitstekende deel van de nok van de vangtuimelaar terzijde van de automatische vuurhefboom dient te zijn afgeslepen tot de breedte gelijk is aan de hamerbreedte.
SIG: type 510 (STURMGEWEHR 57)
• De tuimelaar voor automatisch vuren dient te zijn verwijderd.
STURMGEWEHR: type 44 en voorlopers
• Het links boven de kast van het afvuurmechanisme uitstekende draaibare deel van de automatische vuurtuimelaar dient vlak afgeslepen te zijn tot of onder de bovenrand van de kast, of deze vuurtuimelaar dient geheel verwijderd te zijn;
• De vuurregelaar dient in de stand Einzelfeuer (E) te zijn vastgelast.
BERETTA: type BM 59 idem als Ruger
CETME: idem als Heckler & Koch
GALIL: idem als Kalashnikov
M 14: idem als Ruger
VALMET M 62: idem als Kalashikov
De Europese vuurwapenpas wordt op verzoek uitgereikt aan de houder van een verlof tot het voorhanden hebben (artikel 26, tweede lid, aanhef en onder a, van de WWM), de houder van een jachtakte als bedoeld in de Flora- en Faunawet of aan iemand die op andere wijze bevoegd is om vuurwapens voorhanden te hebben. De aanvraag van de pas is vormvrij. Op de pas worden uitsluitend vuurwapens vermeld die de aanvrager reeds bevoegd voorhanden heeft.
De te verwerken gegevens mogen zowel met behulp van een computer als handmatig worden ingevoerd. Voor de meer vanzelfsprekende onderdelen van de vuurwapenpas is een invul-instructie achterwege gelaten.
Deze rubriek is bestemd voor de persoonlijke gegevens van de houder van de pas.
Op de eerste regel wordt de achternaam van de houder vermeld, gevolgd door een komma. De achternaam wordt onderstreept. Op de tweede regel worden – voluit – de voornamen van de houder vermeld. Indien de beschikbare ruimte onvoldoende is, kan met het vermelden van de voornamen al op de eerste regel worden begonnen.
De geboorteplaats wordt op de eerste regel vermeld. De geboortedatum wordt vermeld op de tweede regel.
Op de eerste regel wordt de straatnaam vermeld, gevolgd door het huisnummer. De woonplaats op de tweede regel.
De handtekening moet worden geplaatst in het bijzijn van de ambtenaar die de pas afgeeft.
De pasfoto moet gelijkend zijn en wordt met een zogenaamd seal of met holnieten duurzaam bevestigd.
De instantie die de vuurwapenpas verleent, bepaalt zelfstandig het nummer (kenmerk) van de pas. Het kenmerk moet zijn te herleiden tot de houder van de pas. Op elke pas wordt één uniek nummer vermeld. De verlenende instantie registreert het uitgegeven nummer, tezamen met de persoonsgegevens van de desbetreffende pashouders.
De pas heeft een geldigheidsduur van ten hoogste twaalf maanden. De geldigheidsduur kan vier maal worden verlengd. De pas is dus maximaal vijf jaar als zodanig bruikbaar.
Het stempel dat bij de eerste verlening wordt geplaatst, wordt gedeeltelijk op de pasfoto geplaatst. De datum is die van de dag waarop de pas wordt verleend.
De hier in te vullen datum ligt ten hoogste één jaar na de dag van de eerste verlening, respectievelijk laatste verlenging. De geldigheidsduur van de vuurwapenpas kan vier maal worden verlengd, telkens voor ten hoogste één jaar.
De datum is die van de dag waarop de pas wordt verlengd.
Kolom ‘Wapen’
In de rubrieken 3.1 tot en met 3.10 worden de vuurwapens vermeld waarop de pas betrekking heeft. Het moet gaan om wapens waarvoor reeds een bevoegdheidsdocument (verlof tot het voorhanden hebben, jachtakte of een ministeriële ontheffing) is verleend. Vuurwapens waarvoor (nog) geen bevoegdheid bestaat kunnen niet ingeschreven worden in de pas.
Er is ruimte voor maximaal 10 vuurwapens. Voor het zeldzame geval dat meer vuurwapens op de pas vermeld moeten worden, is de afgifte van een tweede vuurwapenpas mogelijk.
Door plaatsing van een wapen achter één van de op pagina vier genoemde nummers (3.1, 3.2, 3.3...etc) krijgt dat wapen het nummer dat vooraan de desbetreffende regel staat. Dit nummer moet ook op andere plaatsen in de pas worden gebruikt (namelijk in de rubrieken 4, 5, 6.1 en 6.2), zonder dat opnieuw alle gegevens betreffende dat wapen ter plaatse behoeven te worden herhaald.
Kolom ‘ingeschreven op’
Het is mogelijk de pas aanvankelijk betrekking te laten hebben op – bijvoorbeeld – slechts één vuurwapen (al naar gelang de wensen van de aanvrager) en die vervolgens in een later stadium uit te breiden. Wanneer een wapen eerst in een later stadium wordt toegevoegd, moet dat blijken uit de datum die is vermeld in de kolom Ingeschreven op. Per wapen zal de datum moeten worden vermeld waarop het wapen in de pas is ingeschreven.
Kolom ‘Fabricagenummer’
De pas mag uitsluitend betrekking hebben op wapens die zijn voorzien van een fabricagenummer (serienummer). Het fabricagenummer moet dus worden vermeld. Is een dergelijk nummer niet aanwezig, dan zal de eigenaar, alvorens het wapen op de pas wordt ingeschreven, moeten zorgen voor het laten inslaan van een identificerend nummer door een erkende wapenhandelaar.
Kolom ‘Categorie van de Richtlijn’
Onder ‘Categorie van de Richtlijn’ moet telkens, per wapen, één van de letters A, B, C of D worden ingevuld. Deze letters hebben de volgende betekenis:
A: Verboden wapens
B: Vergunningplichtige wapens
C: Aangifteplichtige wapens
D: Andere vuurwapens
Voor de inhoud van de genoemde categorieën wordt hier verwezen naar bijlage 1, onder II, A van de Richtlijn van de Raad van de Europese Gemeenschappen van 18 juni 1991 (91/477/EEG).
Per wapen zal moeten worden beoordeeld in welke categorie van de Richtlijn dat wapen valt. Voor de bepaling van de in te vullen letter (A, B, C of D) is dus noch de Nederlandse wetgeving noch die van enige andere lidstaat van de EU van belang. De categorie moet worden bepaald uitsluitend aan de hand van de door de voornoemde richtlijn gemaakte indeling.
Kolom ‘Opmerkingen’
Wijzigingen in het bezit (voorhanden hebben) van het wapen, door bijvoorbeeld overdracht aan een derde, inbewaringgeving bij de politie, verlies of diefstal moeten in de pas worden aangetekend. In de kolom ‘Opmerkingen’ is daarvoor ruimte gereserveerd. Zodra iemand niet meer bevoegd is een in de pas ingeschreven vuurwapen voorhanden te hebben, moet dat wapen in de pas worden doorgehaald. In de kolom ‘Opmerkingen’ wordt de reden van doorhaling vermeld, met toevoeging van de datum, een paraaf van de behandelend ambtenaar en – zo mogelijk ook hier – een stempel.
Let op: De Pagina’s 6, 7, 8, 9 en 10 zijn identiek. Anders dan in rubriek 3 (identificerende kenmerken van de vuurwapens) loopt de voor een wapen bestemde regel hier dus niet door op de naast gelegen pagina (op pagina 11 begint een nieuwe rubriek)
In rubriek 4 moet worden aangegeven waaraan (aan welke Nederlandse vergunning) de houder van de vuurwapenpas zijn bevoegdheid ontleent om zijn in de pas ingeschreven wapens voorhanden te hebben (de pas zelf roept die bevoegdheid niet in het leven). In de meeste gevallen zal de vuurwapenpas worden verleend aan jagers of sportschutters. In de vuurwapenpas moet in de hier vermelde rubriek (4), een verwijzing worden gemaakt naar het desbetreffende verlof tot het voorhanden hebben, jachtakte of ontheffing waarop het wapen is vermeld.
Kolom ‘Wapen’
De in rubriek 4 vermelde nummers verwijzen naar de nummers, genoemd in rubriek 3. Op de twee puntjes achter het cijfer 3 moet in de kolom ‘Wapen’ het vuurwapen gespecificeerd worden door toevoeging van een cijfer (1 t/m 10), dat verwijst naar één van de in rubriek 3 genoemde nummers.
Dit betekent dat in rubriek 4 geen wapens kunnen (en mogen) voorkomen die niet al in rubriek 3 genoemd zijn. Indien in rubriek 3 slechts twee wapens genoemd zijn (3.1 en 3.2) dan komen ook in rubriek 4 slechts twee wapens voor. Ook deze worden in rubriek 4 uiteraard aangeduid met, respectievelijk, 3.1 en 3.2.
Kolom ‘Datum van de vergunning’ en kolom ‘Geldig tot’
In de kolom ‘Datum van de vergunning’ wordt – per wapen – de datum vermeld waarop het verlof tot het voorhanden hebben of de jachtakte of ontheffing voor dat wapen werd verleend. In de kolom ‘Geldig tot’ wordt de laatste dag vermeld waarop het verlof of de jachtakte van kracht is.
Het verlof tot het voorhanden hebben en de jachtakte zijn vijf jaar geldig. Bij het aanvragen van een verlenging van de vuurwapenpas, na 12 maanden, wordt gecontroleerd of het verlof of de jachtakte nog geldig is. De aanvrager van de verlenging dient het verlofdocument of de jachtakte te tonen.
Let op: rubriek 5 wordt door de Nederlandse overheid niet ingevuld.
Deze rubriek is bestemd voor de aantekening van vergunningen (visa) die worden verleend door de autoriteiten van het land waarnaar de houder van de vuurwapenpas zich met zijn wapens begeeft. De gegevens mogen uitsluitend door de bevoegde autoriteit van de desbetreffende lidstaat worden ingevuld, dus niet door de houder van de vuurwapenpas en evenmin door de Nederlandse autoriteiten.
Voor de verkrijging van een buitenlandse vergunning moet de houder van de pas zelf zorg dragen. Hij dient de pas daarvoor, tezamen met een verzoek om een vergunning, te zenden naar de bevoegde autoriteiten in de desbetreffende EU-lidstaat. Uit het verzoek moet blijken op welke in de pas ingeschreven wapens het verzoek betrekking heeft.
Ingevolge bijlage II bij de Richtlijn is iedere EU-lidstaat verplicht de tekst, zoals die in rubriek 6 van de pas is weergegeven, te vermelden. Volledigheidshalve wordt hier opgemerkt dat de in die (verplichte) tekst gebruikte terminologie op twee punten afwijkt van die in de rest van de pas. Met ‘vak 5’ wordt bedoeld rubriek 5. Met ‘de wapenkaart’ wordt bedoeld: de Europese vuurwapenpas.
De in de tekst aangeduide categorieën (B, C en D) zijn de in bijlage II bij de Richtlijn bedoelde categorieën.
De hoofdregel voor het reizen met een wapen door twee of meer EU-lidstaten is dat telkens een voorafgaande vergunning van de te bezoeken lidstaten vereist is. Deze vergunning kan worden aangetekend in rubriek 5 van de vuurwapenpas. Wordt door de houder van het wapen geen pas aangevraagd dan, dan geldt dat een consent en- of uitvoervergunning moet worden aangevraagd.
Uit de in rubriek 6 vermelde tekst blijkt dat – in afwijking van het vorenstaande – jagers en sportschutters vrij met hun wapens door de EU mogen reizen. Voorwaarde daarvoor is dat zij in het bezit zijn van een Europese vuurwapenpas voor die wapens en de reden van hun reis (d.m.v. een uitnodiging) kunnen aantonen. De faciliteit voor jagers geldt slechts voor wapens van categorie C en D van de richtlijn. Voor sportschutters is de faciliteit beperkt tot wapens van de categorieën B, C, en D.
Het is de EU-lidstaten echter toegestaan de hier beschreven faciliteit niet toe te passen. Zij mogen dus ook voor jagers en sportschutters het strengere regime (de hoofdregel) van voorafgaande vergunning laten gelden. Ook is het mogelijk dat zij het naar hun grondgebied overbrengen van een bepaald soort of type wapen geheel verbieden. Indien dat het geval is, stellen zij de overige lidstaten daarvan in kennis. Die overige lidstaten zijn vervolgens verplicht één en ander in de rubrieken 6.1 en 6.2 te vermelden. De in te vullen gegevens zijn afhankelijk van de wapens die in de pas zijn ingeschreven. Het is om deze reden dat de invulling van die gegevens aan de korpschef is opgedragen.
Rubriek 6.1 bevat een opsomming van de EU-lidstaten. Achter de naam van iedere lidstaat is tienmaal het cijfer 3 (gevolgd door twee puntjes) vermeld. Aan dit cijfer moet – op de puntjes – een ander cijfer (1 t/m 10) worden toegevoegd, zodat een nummer ontstaat dat correspondeert met de in rubriek 3 vermelde nummers.
Indien in rubriek 3 (bijvoorbeeld) slechts twee vuurwapens zijn vermeld, worden ook in rubriek 6 slechts twee vuurwapens aangeduid (met het oog op eventuele latere uitbreiding van de pas vindt geen doorhaling plaats van de niet gebruikte nummers).
Vorenstaande procedure vindt slechts plaats indien bekend is dat de lidstaat de overbrenging van één van de in rubriek 3 vermelde wapens naar zijn grondgebied verbiedt. Indien bijvoorbeeld Spanje de overbrenging van pistolen naar zijn grondgebied zou verbieden en in rubriek 3 van de vuurwapenpas is een pistool vermeld, dan wordt het met dit pistool corresponderende nummer (bijvoorbeeld 3.2) vermeld in rubriek 6.1 (uiteraard alleen achter ‘Spanje’ tenzij ook andere landen pistolen verbieden). Van elk in rubriek 3 ingeschreven wapen moet dus – per lidstaat – worden beoordeeld of dat wapen in dat land verboden is.
De onder 6.1 beschreven procedure voor verboden wapens, dient eveneens te worden toegepast op vergunning plichtige wapens. De indeling en invulling van rubriek 6.2 is verder gelijk aan die van rubriek 6.1. Ook hier geldt dat moet worden uitgegaan van de door de lidstaten verstrekte gegevens. Van elk in rubriek 3 ingeschreven wapen moet dus – per lidstaat, aan de hand van de door die lidstaat verstrekte gegevens -worden beoordeeld of dat wapen in dat land aan een voorafgaande vergunning is onderworpen.












De verwachting is dat dit inlichtingenformulier zal worden vervangen door een onderzoek met behulp van de e-screener. De aanvrager is dan verplicht aan dit onderzoek mee te werken. Op grond van de uitkomsten van de e-screener test wordt een indicatie aan de korpschef gegeven over de psychische gesteldheid van de aanvrager.
Lees: ‘jacht en beheer en schadebestrijding’, dit artikel is in tegenstelling tot artikel 26 van de WWM nog niet aangepast aan de terminologie van de Flora- en Faunawet waarin onderscheid wordt gemaakt tussen ‘jacht’ en ‘beheer en schadebestrijding’.
Afdeling bestuursrechtspraak van de Raad van State, 6 november 2002, LJN-nr: AE9910, Zaaknr: 200103516/1
Bijvoorbeeld een vereniging van wapen- of munitieverzamelaar; een re-enactmentvereniging, een vereniging van personen die zich bezighouden met het conserveren van historisch militair materiaal etc.
Een consent kan alleen worden verleend voor wapens van categorie II en III, zie artikel 14 van de WWM.
Zie de vrijstellingen voor sportschutters en jager voor buitenlandse activiteiten in paragraaf 15 van de Regeling wapens en munitie
Afdeling bestuursrechtspraak van de Raad van State, 6 november 2002, LJN-nr: AE9910, Zaaknr: 200103516/1
Zie onderdeel A 1.4.5.1 voor wat betreft de verlening van consenten op grond van de Wet wapens en munitie.
Zie onderdeel A 1.3.4 voor een nadere toelichting op de uitzonderingen die van toepassing zijn op bepaalde categorieën overheidsfunctionarissen.
De introducéregisters dienen door de vereniging gedurende minimaal drie jaar te worden bewaard.
Omdat het schieten onder direct toezicht wordt beoefend, is er geen sprake van ‘overdragen’ in de zin van artikel 1, aanhef en onder 11°, van de WWM, zodat de schutter niet behoeft te beschikken over een verlof tot het voorhanden hebben van vuurwapens.
Het bezoekersregister dient door de erkenninghouder gedurende minimaal drie jaar te worden bewaard.
Omdat het schieten onder direct toezicht wordt beoefend, is er geen sprake van ‘overdragen’ in de zin van artikel 1, aanhef en onder 11°, van de WWM, zodat de schutter niet behoeft te beschikken over een verlof tot het voorhanden hebben van vuurwapens.
In zoverre deze vuurwapens voldoen aan de vereisten die gesteld zijn in artikel 12 van het Jachtbesluit.
Omdat het schieten onder direct toezicht wordt beoefend, is er geen sprake van ‘overdragen’ in de zin van artikel 1, aanhef en onder 11°, van de WWM, zodat de schutter niet behoeft te beschikken over een verlof tot het voorhanden hebben van vuurwapens.
Zie de uitspraak van de Raad van State van 18 juli 2001 (nr: 200005685/1) en het arrest van de Hoge Raad van 24 november 1987.
Besluit van 19 mei 2004, houdende regels inzake het beperken van het kleiduivenschieten, Staatsblad 2004, 237
Uitzondering op dit verbod is door de minister van Volkshuisvesting, Ruimtelijke Ordening en Milieu (VROM), na overleg met de minister van Volksgezondheid, Welzijn en Sport (VWS), gemaakt voor aangewezen topsporters en gebruikers van geweren die zijn vervaardigd voor 1 januari 1890 en geweren die voor wat betreft model, materiaal en systeem identiek zijn aan geweren die vervaardigd zijn voor 1 januari 1890 (replica’s). Uitsluitend op deze personen is het verbod tot en met 31 december 2008 niet van toepassing.
Vuurwapens die op volautomatische wapens lijken maar die in een speciaal voor de civiele markt (schietsport) ontwikkelde (slechts) semi-automatisch vurende variant worden vervaardigd vallen niet onder deze beperking.
De looplengte wordt bij pistolen en geweren gemeten inclusief de kamer en exclusief eventuele toevoegingen zoals vlamdempers, tenzij deze permanent, door lassen, hardsolderen of nagelen, aan de loop bevestigd zijn. Bij revolvers wordt de lengte van de cilinder niet meegerekend.
Onder een hagelgeweer dient te worden verstaan elk achterlaadgeweer in een hagelkaliber (12, 16, 20 etc.), niet zijnde een schutterijbuks.
Meervoudige specialisatie is in sommige gevallen mogelijk maar vereist wel een nadere motivering.
Om veiligheidsredenen mag de informatie over de beveiliging van de verzameling middels een aparte verklaring worden aangeleverd. Deze verklaring wordt door de vereniging niet gearchiveerd.
(hand)granaten, mijnen en dergelijke mogen dus geen voortdrijvende, brisante, giftige, verstikkende, weerloos makende, traan verwekkende of een soortgelijke lading bevatten.
Omdat slaghoedjes van kalibers boven de 19 millimeter doorgaans een grotere hoeveelheid slagsas bevatten en vaak ook een extra aanvuurlading voor het snel ontsteken van de relatief grote hoeveelheid kruit, kan hier een zekere gevaarzetting van uitgaan. Door deze beperking wordt dit uitgesloten en is alle kogelmunitie van een kaliber boven de 19 millimeter volledig ontdaan van alle chemische lading.
Alleen van toepassing bij de verlening van een ontheffing ex artikel 4 van de Wet wapens en munitie
Omdat de re-enactment onder direct toezicht wordt beoefend, is er geen sprake van ‘overdragen’ in de zin van artikel 1, aanhef en onder 11°, van de WWM, zodat de schutter niet behoeft te beschikken over een verlof tot het voorhanden hebben van vuurwapens.
Indien de aanvrager van het verlof voor een periode langer dan een jaar in het buitenland verblijft, bestaat er geen bezwaar tegen om het verlof op voorhand voor meerdere jaren te verlengen.
Besluit van 28 november 2000, Stb. 521, gewijzigd bij besluit van 23 oktober 2001, Stb. 499
Zie ook artikel 39 van de Regeling wapens en munitie voor de vrijstelling met betrekking tot het tijdelijk doen uitgaan of binnenkomen, alsmede vervoeren van jachtgeweren ter beoefening van de jacht.
Besluit van 19 mei 2004, houdende regels inzake het beperken van de milieugevolgen van het kleiduivenschieten, Staatsblad 2004, 237.
Uitzondering op dit verbod is door de minister van Volkshuisvesting, Ruimtelijke Ordening en Milieu (VROM), na overleg met de minister van Volksgezondheid, Welzijn en Sport (VWS), gemaakt voor aangewezen topsporters en gebruikers van geweren die zijn vervaardigd voor 1 januari 1890 en geweren die voor wat betreft model, materiaal en systeem identiek zijn aan geweren die vervaardigd zijn voor 1 januari 1890 (replica’s). Uitsluitend op deze personen is het verbod tot en met 31 december 2008 niet van toepassing.
Indien de aanvrager van het verlof voor een periode langer dan een jaar in het buitenland verblijft, bestaat er geen bezwaar tegen om het verlof op voorhand voor meerdere jaren te verlengen.
Sommige wapens (zoals bijvoorbeeld hagelgeweren met een pomp mechanisme) kunnen niet op een veilige wijze worden omgebouwd voor het verschieten van uitsluitend losse flodders.
Dit formulier kan worden aangevraagd bij het Ministerie van Veiligheid en Justitie, Dienst Justis: telefoon: 070-370 90 70
Kopieer de link naar uw clipboard
https://zoek.officielebekendmakingen.nl/stcrt-2015-41295.html
De hier aangeboden pdf-bestanden van het Staatsblad, Staatscourant, Tractatenblad, provinciaal blad, gemeenteblad, waterschapsblad en blad gemeenschappelijke regeling vormen de formele bekendmakingen in de zin van de Bekendmakingswet en de Rijkswet goedkeuring en bekendmaking verdragen voor zover ze na 1 juli 2009 zijn uitgegeven. Voor pdf-publicaties van vóór deze datum geldt dat alleen de in papieren vorm uitgegeven bladen formele status hebben; de hier aangeboden elektronische versies daarvan worden bij wijze van service aangeboden.