Staatsblad van het Koninkrijk der Nederlanden
| Datum publicatie | Organisatie | Jaargang en nummer | Rubriek | Datum ondertekening |
|---|---|---|---|---|
| Ministerie van Volksgezondheid, Welzijn en Sport | Staatsblad 2025, 32 | Wet |
Zoals vergunningen, bouwplannen en lokale regelgeving.
Adressen en contactpersonen van overheidsorganisaties.
U bent hier:
| Datum publicatie | Organisatie | Jaargang en nummer | Rubriek | Datum ondertekening |
|---|---|---|---|---|
| Ministerie van Volksgezondheid, Welzijn en Sport | Staatsblad 2025, 32 | Wet |
Wij Willem-Alexander, bij de gratie Gods, Koning der Nederlanden, Prins van Oranje-Nassau, enz. enz. enz.
Allen, die deze zullen zien of horen lezen, saluut! doen te weten:
Alzo, Wij in overweging genomen hebben, dat het wenselijk is de Opiumwet te wijzigen om een derde lijst toe te voegen met als doel de productie van en de handel in nieuwe psychoactieve stoffen tegen te gaan, en daarmee de volksgezondheid en de openbare orde te beschermen en dat het wenselijk is een extra grondslag op te nemen voor het verlenen van een ontheffing op grond van de Opiumwet voor industriële doeleinden waarbij het eindproduct voldoet aan de eisen gesteld bij of krachtens de Opiumwet;
Zo is het, dat Wij, de Afdeling advisering van de Raad van State gehoord, en met gemeen overleg der Staten-Generaal, hebben goedgevonden en verstaan, gelijk Wij goedvinden en verstaan bij deze:
De Opiumwet wordt als volgt gewijzigd:
A
Artikel 1 wordt als volgt gewijzigd:
1. In het eerste lid wordt, onder vervanging van de punt aan het slot van onderdeel j door een puntkomma, een onderdeel toegevoegd, luidende:
groep van substanties die afgeleid is van eenzelfde structuur.
2. In het vierde en vijfde lid wordt «bedoeld in de artikelen 2 en 3» telkens vervangen door «bedoeld in de artikelen 2, 2a, eerste lid, en 3».
B
In artikel 2, onder B, wordt «te telen te bereiden» vervangen door «te telen, te bereiden».
C
Na artikel 2 wordt een artikel ingevoegd, luidende:
1. Het is verboden een substantie die deel uitmaakt van een stofgroep als bedoeld in de bij deze wet behorende lijst IA of een preparaat daarvan:
A. binnen of buiten het grondgebied van Nederland te brengen;
B. te bereiden, te bewerken, te verwerken, te verkopen, af te leveren, te verstrekken of te vervoeren;
C. aanwezig te hebben;
D. te vervaardigen.
2. Het verbod in het eerste lid is niet van toepassing op:
a. een geneesmiddel waarvoor een handelsvergunning is verleend als bedoeld in artikel 40, eerste lid, van de Geneesmiddelenwet, of een geneesmiddel als bedoeld in artikel 40, derde lid, van die wet;
b. een fabrikant als bedoeld in artikel 1, eerste lid, onderdeel mm, van de Geneesmiddelenwet of een groothandelaar als bedoeld in artikel 1, eerste lid, onderdeel nn, van die wet;
c. een fabrikant of groothandelaar van werkzame stoffen die is geregistreerd als bedoeld in artikel 38 van de Geneesmiddelenwet;
d. een apotheker of huisarts die geneesmiddelen bereidt als bedoeld in artikel 40, derde lid, onder a, van de Geneesmiddelenwet;
e. een diergeneesmiddel waarvoor een vergunning is verleend voor het in de handel brengen krachtens artikel 2.19 van de Wet dieren;
f. een fabrikant aan wie krachtens artikel 2.19 van de Wet dieren een vergunning is verleend voor het vervaardigen van diergeneesmiddelen;
g. een groothandel aan wie krachtens artikel 2.19 van de Wet dieren een vergunning is verleend voor de handel van diergeneesmiddelen;
h. een geregistreerde stof genoemd in Bijlage I bij Verordening (EG) nr. 273/2004 van het Europees Parlement en de Raad van 11 februari 2004 inzake drugsprecursoren (PbEU 2004, L 47);
i. een geregistreerde stof genoemd in de Bijlage bij Verordening (EG) nr. 111/2005 van de Raad van 22 december 2004 houdende voorschriften voor het toezicht op de handel tussen de Gemeenschap en derde landen in drugsprecursoren (PbEU 2005, L 22); of
j. een middel als bedoeld in de artikelen 2 en 3.
3. Een wijziging van Bijlage I bij Verordening (EG) nr. 273/2004 van het Europees Parlement en de Raad van 11 februari 2004 inzake drugsprecursoren (PbEU 2004, L 47) of de Bijlage bij Verordening (EG) nr. 111/2005 van de Raad van 22 december 2004 houdende voorschriften voor het toezicht op de handel tussen de Gemeenschap en derde landen in drugsprecursoren (PbEU 2005, L 22) gaat voor toepassing van dit artikel gelden met ingang van de dag waarop aan de betrokken wijziging uitvoering moet zijn gegeven.
D
Na artikel 3a wordt een artikel ingevoegd, luidende:
1. Bij algemene maatregel van bestuur kan aan de bij deze wet behorende lijst IA een stofgroep worden toegevoegd indien twee of meer substanties die deel uitmaken van die stofgroep zijn of worden toegevoegd aan de bij deze wet behorende lijst I.
2. Bij algemene maatregel van bestuur kunnen stofgroepen die bij of krachtens deze wet zijn toegevoegd, van lijst IA worden geschrapt indien substanties die deel uitmaken van die stofgroep zijn of worden geschrapt van lijst I.
3. Bij algemene maatregel van bestuur wordt een stofgroep die bij of krachtens deze wet is toegevoegd, van lijst IA geschrapt indien substanties die deel uitmaken van die stofgroep zijn of worden geschrapt van lijst I en daardoor niet langer twee of meer substanties die deel uitmaken van die stofgroep zijn of worden toegevoegd aan lijst I.
4. De voordracht voor een krachtens het eerste lid vast te stellen algemene maatregel van bestuur wordt niet eerder gedaan dan vier weken nadat het ontwerp aan de beide Kamers der Staten-Generaal is overgelegd.
E
In artikel 3b, eerste lid, wordt «als bedoeld in artikel 2 of artikel 3» vervangen door «als bedoeld in de artikelen 2, 2a, eerste lid, of 3,».
F
In artikel 3c wordt in het eerste lid «een in artikel 2 of 3 omschreven verbod» vervangen door «een in de artikelen 2, 2a, eerste lid, of 3 omschreven verbod».
G
In artikel 6, eerste lid wordt «als bedoeld in artikel 2 of 3» vervangen door «als bedoeld in de artikelen 2, 2a, eerste lid, of 3».
H
Artikel 8 wordt als volgt gewijzigd:
1. In het eerste lid, aanhef, wordt «Een ontheffing kan slechts worden verleend» vervangen door «Een ontheffing van een verbod als bedoeld in de artikelen 2 of 3 kan slechts worden verleend».
2. In het eerste lid, onder a, wordt «de gezondheid van dieren» vervangen door «de diergezondheid».
3. Aan het eerste lid wordt, onder vervanging van de punt aan het slot van onderdeel c door een puntkomma, een onderdeel toegevoegd, luidende:
d. deze nodig hebben voor industriële doeleinden teneinde een product te realiseren dat voldoet aan de eisen gesteld bij of krachtens deze wet.
4. Er wordt een lid toegevoegd, luidende:
3. Een ontheffing van een verbod als bedoeld in artikel 2a, eerste lid, kan slechts worden verleend indien de aanvrager ten genoegen van Onze Minister heeft aangetoond:
a. dat daarmee het belang van de volksgezondheid of dat van de diergezondheid wordt gediend;
b. deze nodig te hebben voor het verrichten van wetenschappelijk of analytisch-chemisch onderzoek dan wel voor instructieve doeleinden, voor zover het belang van de volksgezondheid zich hier niet tegen verzet; of
c. deze nodig te hebben voor het verrichten van een handeling als bedoeld in artikel 2a, eerste lid, krachtens een overeenkomst met:
1. een ander aan wie krachtens artikel 6, eerste lid, een ontheffing is verleend;
2. een ander die in een ander land is gevestigd en die gerechtigd is de middelen in dat land in te voeren, voor zover het belang van de volksgezondheid zich hier niet tegen verzet;
d. deze nodig te hebben voor industriële doeleinden teneinde een product te realiseren dat voldoet aan de eisen gesteld bij of krachtens deze wet.
I
Artikel 8a wordt als volgt gewijzigd:
1. In het eerste lid wordt na «als bedoeld in lijst I of II» ingevoegd «of van een substantie die deel uitmaakt van een stofgroep als bedoeld in lijst IA of een preparaat daarvan».
2. In het tweede lid, onder a, wordt «bedoeld in artikel 2 of 3» vervangen door «als bedoeld in de artikelen 2, 2a, eerste lid, of 3».
J
In artikel 8f, eerste lid, wordt «als bedoeld in artikel 2 of 3» vervangen door «als bedoeld in de artikelen 2, 2a, eerste lid, of 3».
K
Artikel 9 wordt als volgt gewijzigd:
1. Het eerste lid wordt als volgt gewijzigd:
a. In de aanhef wordt «De opsporingsambtenaren» vervangen door «De opsporingsambtenaren, bedoeld in artikel 8k,».
b. In onderdeel a wordt na «als bedoeld in lijst I of II» ingevoegd «of substanties die deel uitmaken van een stofgroep als bedoeld in lijst IA of de preparaten daarvan, met uitzondering van de middelen bedoeld in artikel 2a, tweede lid».
2. In het vierde lid wordt na «als bedoeld in lijst I of II» ingevoegd «of substanties die deel uitmaken van een stofgroep als bedoeld in lijst IA of de preparaten daarvan, met uitzondering van de middelen bedoeld in artikel 2a, tweede lid».
3. Er wordt een lid toegevoegd, luidende:
5. Onze Minister van Landbouw, Natuur en Voedselkwaliteit is bevoegd desgevraagd met gebruikmaking van de door landbouwers op grond van de artikelen 24 en 25 van de Landbouwwet verstrekte informatie over de toestand van de door hen beteelde percelen en de naam van het gewas waarmee het perceel zal worden beteeld, gegevens waaronder persoonsgegevens te verstrekken met betrekking tot hennepteelt welke is aangewezen krachtens artikel 3c aan de opsporingsambtenaren, bedoeld in de artikelen 141 en 142, eerste lid, aanhef en onder a en b, van het Wetboek van Strafvordering, ten behoeve van de opsporing van de bij of krachtens deze wet strafbaar gestelde feiten.
L
Na artikel 10a worden twee artikelen ingevoegd, luidende:
1. Hij die handelt in strijd met een in artikel 2a, eerste lid, gegeven verbod wordt gestraft met hechtenis van ten hoogste drie maanden of geldboete van de derde categorie.
2. Hij die opzettelijk handelt in strijd met een in artikel 2a, eerste lid, gegeven verbod wordt gestraft met gevangenisstraf van ten hoogste zes jaren of geldboete van de vijfde categorie.
3. Indien het opzettelijk handelen in strijd met het in de artikelen 2a, eerste lid, onderdelen A of C, en 3b, eerste lid, gegeven verbod betrekking heeft op een geringe hoeveelheid, bestemd voor eigen gebruik, wordt gevangenisstraf van ten hoogste zes maanden of geldboete van de derde categorie opgelegd.
1. Hij die om het opzettelijk binnen of buiten het grondgebied van Nederland brengen, bereiden, bewerken, verwerken, verkopen, afleveren, verstrekken, vervoeren of vervaardigen van een substantie die deel uitmaakt van een stofgroep als bedoeld in de bij deze wet behorende lijst IA of een preparaat daarvan voor te bereiden of te bevorderen:
1°. een ander tracht te bewegen om dat feit te plegen, te doen plegen, mede te plegen of uit te lokken, om daarbij behulpzaam te zijn of om daartoe gelegenheid, middelen of inlichtingen te verschaffen,
2°. zich of een ander gelegenheid, middelen of inlichtingen tot het plegen van dat feit tracht te verschaffen,
3°. voorwerpen, vervoermiddelen, stoffen, gelden of andere betaalmiddelen voorhanden heeft, waarvan hij weet of ernstige reden heeft om te vermoeden dat zij bestemd zijn tot het plegen van dat feit, wordt gestraft met gevangenisstraf van ten hoogste drie jaren of geldboete van de vijfde categorie.
2. Niet strafbaar is hij die de in het eerste lid omschreven feiten begaat met betrekking tot het binnen of buiten het grondgebied van Nederland brengen van een geringe hoeveelheid, bestemd voor eigen gebruik.
M
In artikel 11b wordt in het eerste lid «10a, eerste lid,» vervangen door «10a, eerste lid, 10b, tweede lid, 10c,».
N
In artikel 12 wordt «10a, eerste lid,» vervangen door «10a eerste lid, 10b, 10c,».
O
Artikel 13 wordt als volgt gewijzigd:
1. In het eerste lid wordt «10, eerste lid,» vervangen door «10, eerste lid, 10b, eerste lid,».
2. In het tweede lid wordt «10a, eerste lid,» vervangen door «10a, eerste lid, 10b, tweede lid, 10c,».
3. In het vierde lid wordt «10a, eerste lid,» vervangen door «10a eerste lid, 10b, tweede lid, 10c,».
P
In artikel 13a wordt na «de in lijst I of II bedoelde middelen» ingevoegd «of substanties die deel uitmaken van een stofgroep als bedoeld in lijst IA of de preparaten daarvan, met uitzondering van de middelen bedoeld in artikel 2a, tweede lid,».
Q
In artikel 13b, eerste lid, onder a, wordt na «krachtens artikel 3a, vijfde lid,» ingevoegd «of een substantie die deel uitmaakt van een stofgroep als bedoeld in lijst IA of een preparaat daarvan, met uitzondering van de middelen bedoeld in artikel 2a, tweede lid,».
R
Na Lijst I van de Opiumwet wordt de bijlage bij deze wet als Lijst IA ingevoegd.
In artikel 67, eerste lid, onder c, van het Wetboek van Strafvordering wordt «de artikelen 11, tweede lid, en 11a van de Opiumwet» vervangen door «de artikelen 10c, 11, tweede lid, en 11a van de Opiumwet».
Lasten en bevelen dat deze in het Staatsblad zal worden geplaatst en dat alle ministeries, autoriteiten, colleges en ambtenaren die zulks aangaat, aan de nauwkeurige uitvoering de hand zullen houden.histnoot
Gegeven te ’s-Gravenhage, 29 januari 2025
Willem-Alexander
De Staatssecretaris van Volksgezondheid, Welzijn en Sport, V. Maeijer
De Minister van Justitie en Veiligheid, D.M. van Weel
Uitgegeven de tiende februari 2025
De Minister van Justitie en Veiligheid, D.M. van Weel
Lijst IA
Een substantie afgeleid van 2-fenethylamine is elke chemische substantie die afgeleid kan worden uit de basisstructuur van 2-fenylethaan-1-amine en die overeenkomt met de modulaire opbouw van structuurelement A en structuurelement B, zo als hieronder weergegeven, met uitzondering van 2-fenethylamine zelf.
Figuur 1

Dit omvat eveneens chemische substanties die de basisstructuur van cathinon (2-amino-1-fenyl-1-propanon) hebben:
Figuur 2

Voor structuurelement A zijn de volgende ringsystemen opgenomen, waarbij structuurelement B op elke positie van structuurelement A kan zitten:
fenyl-, naftyl-, tetralinyl-, methyleendioxyfenyl-, ethyleendioxyfenyl-, furyl-, pyrrolyl-, thiënyl-, pyridyl-, benzofuranyl-, dihydrobenzofuranyl-, indanyl-, indenyl-, tetrahydrobenzodifuranyl-, benzodifuranyl-, tetrahydrobenzodipyranyl-, cyclopentyl-, cyclohexyl-

Deze ringsystemen kunnen op elke positie gesubstitueerd zijn met de volgende atomen of atoomgroepen (Rn):
waterstof, fluor, chloor, broom, jood, alkyl- (tot en met C6), alkenyl- (tot en met C6), alkinyl- (tot en met C6), alkoxy- (tot en met C6), carboxy-, alkylsulfanyl- (tot en met C6) en nitro-groepen.
De boven beschreven atoomgroepen kunnen ook nog gesubstitueerd zijn met elke chemisch mogelijke combinatie van koolstof, waterstof, stikstof, zuurstof, zwavel, fluor, chloor, broom of jood. De op deze wijze verkregen substituenten kunnen een ononderbroken keten hebben van niet meer dan 8 atomen (de waterstofatomen niet meegerekend). Atomen uit de ringstructuur tellen niet mee.
De 2-amino-ethyl zijketen van structuurelement B kan gesubstitueerd worden met de volgende atomen, atoomgroepen of ringsystemen:
a) R1 en R2 aan het stikstofatoom:
waterstof, alkyl- (tot en met C6), cycloalkyl- (tot en met C6), benzyl-, alkenyl- (tot en met C6), alkylcarbonyl- (tot en met C6), hydroxy- en amino- groepen.
Ook substanties waarbij het stikstofatoom een integraal onderdeel uitmaakt van een ringsysteem vallen onder de definitie (bijvoorbeeld, pyrrolidinyl-, piperidinyl-).
Een ringsluiting waarbij het stikstofatoom deel uitmaakt van structuurelement B is ook mogelijk.
Substanties waarbij het stikstofatoom direct geïntegreerd is in een ringsysteem dat gefuseerd is met structuurelement A vallen niet onder de stofgroep van substanties afgeleid van 2-fenethylamine.
De substituenten R1 en R2 kunnen ook nog gesubstitueerd zijn met elke chemisch mogelijke combinatie van koolstof, waterstof, stikstof, zuurstof, zwavel, fluor, chloor, broom of jood.
De op deze wijze verkregen substituenten kunnen een ononderbroken keten hebben van niet meer dan 6 atomen (de waterstofatomen niet meegerekend). Atomen uit de ringstructuur tellen niet mee.
b) R3 en R4 op het C1 atoom en R5 en R6 op het C2 atoom:
waterstof, fluor, chloor, broom, jood, alkyl- (tot en met C10), cycloalkyl- (tot en met C10), benzyl-, fenyl-, alkenyl- (tot en met C10), alkinyl- (tot en met C10), hydroxy-, alkoxy- (tot en met C10), alkylsulfanyl- (tot en met C10), alkyloxycarbonyl- groepen (tot en met C10), waaronder begrepen chemische substanties waarvan een substitutie kan leiden tot een ringsluiting met structuurelement A.
De boven beschreven atoomgroepen en ringstructuren kunnen ook nog gesubstitueerd zijn met elke chemisch mogelijke combinatie van koolstof, waterstof, stikstof, zuurstof, zwavel, fluor, chloor, broom of jood.
De op deze wijze verkregen substituenten kunnen een ononderbroken keten hebben van niet meer dan 10 atomen (de waterstofatomen niet meegerekend). Atomen uit de ringstructuur tellen niet mee.
c) Een carbonyl groep op de betapositie ten opzichte van het stikstofatoom (ook bekend als beta-keto afgeleiden, zie figuur 2 met de basisstructuur van cathinon onder punt 1: waarbij R5 en R6 aan het C2 atoom vervangen zijn door een carbonyl groep (C=O)).
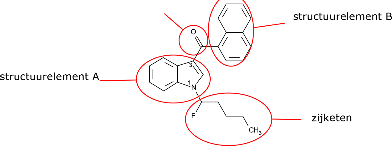
Een cannabimimeticum of synthetisch cannabinoid is elke chemische verbinding die overeenkomt met de volgende modulaire opbouw:
– een structuurelement A, dat op een gedefinieerde positie verbonden is met
– een brug
– aan een structuurelement B
– en een zijketen heeft op een gedefinieerde positie.
Figuur 3 geeft de modulaire opbouw van 1-fluor-JWH-018 weer.
Figuur 3

1-fluor-JWH-018 heeft als structuurelement A indol-1,3-diyl, als brug een carbonylgroep op de 3 positie, als structuurelement B een 1-naftyl groep en als zijketen een 1-fluorpentyl groep op de 1 positie.
Structuurelement A, brug, structuurelement B en zijketen zijn als volgt gedefinieerd:
Structuurelement A omvat de ringsystemen a tot en met e zo als hieronder beschreven.
Deze ringsystemen kunnen op de posities 5, 6 en 7 gesubstitueerd zijn met de volgende atomen of atoomgroepen: waterstof, fluor, chloor, broom, jood, methyl-, methoxy- en nitro- groepen.
Deze substituenten worden in de figuren a tot en met e aangeduid als R1, R2 en R3. De kronkellijn geeft de bindingsplaats voor de brug aan en de stippellijn geeft de bindingsplaats voor de zijketen aan.
|
a) Indol-1,3-diyl (bindingsplaats voor de brug op positie 3, bindingsplaats voor de zijketen op positie 1) |
![]() |
|
b) 2-methylindol-1,3-diyl (bindingsplaats voor de brug op positie 3, bindingsplaats voor de zijketen op positie 1) |
![]() |
|
c) Indazol-1,3-diyl (bindingsplaats voor de brug op positie 3, bindingsplaats voor de zijketen op positie 1) |
![]() |
|
d) Benzimidazol-1,2-diyl-isomeer I (bindingsplaats voor de brug op positie 2, bindingsplaats voor de zijketen op positie 1) |
![]() |
|
e) Benzimidazol-1,2-diyl-isomeer II (bindingsplaats voor de brug op positie 1, bindingsplaats voor de zijketen op positie 2) |
![]() |
De brug kan uit de volgende molecuulgroepen bestaan die via de bindingsplaats aan structuurelement A onder 2.1 verbonden zijn:
a) carbonyl- en azacarbonyl groepen;
b) carboxamide groep (de carbonylgroep zit vast aan structuurelement A);
c) carboxylgroep (de carbonyl groep zit vast aan structuurelement A); en
d) een heterocyclische ringstructuur van maximaal 5 atomen die direct aan de bindingsplaats van structuurelement A verbonden is.
Structuurelement B kan bestaan uit elke chemisch mogelijke combinatie van koolstof, waterstof, stikstof, zuurstof, zwavel, fluor, chloor, broom of jood met een maximum molecuulgewicht van 400 u en kan de volgende molecuulgroepen bevatten:
a) Elke gesubstitueerde verzadigde, onverzadigde of aromatische ringstructuur, waaronder polycyclische en heterocyclische ringstructuren, waarbij het ook mogelijk is dat deze via een substituent aan de brug gekoppeld zijn;
b) elke mogelijke gesubstitueerde ketengroep met een continue keten van niet meer dan 12 atomen (de waterstofatomen niet meegerekend).
De zijketen omvat de volgende molecuulgroepen die aan structuurelement A vast zitten zoals beschreven onder 2.1:
a) verzadigde en mono-onverzadigde, vertakte en niet-vertakte koolwaterstofketens, die ook zuurstof en/of zwavelatomen in de keten kunnen bevatten. Deze ketens kunnen ook fluor, chloor, broom, jood, trifluormethyl en/of cyano-substituenten bevatten.
Ook substituenten die zuurstof en/of zwavel bevatten met een continue keten, waaronder hetero-atomen, van 3 tot 7 atomen (de waterstofatomen niet meegerekend) horen hier toe.
b) verzadigde, onverzadigde en aromatische ringstructuren, of direct verbonden of via een methyleen-, ethyleen- of 2-oxoethyleengoep gekoppeld, waaronder heterocyclische ringstructuren. Alsmede afgeleide verbindingen die fluor, chloor, broom, jood, trifluormethyl, methoxy of cyano substituenten aan de ring hebben zitten. En tevens de afgeleide verbindingen waar de ringstikstof een methyl- of ethylgroep heeft.
Een substantie afgeleid van 4-aminopiperidine is elke chemische substantie die afgeleid kan worden uit de basisstructuur van 4-aminopiperidine, zie figuur 4.
Figuur 4

1.
Hierbij gelden de volgende voorwaarden:
R1 is een alkylgroep, die op elke positie gesubstitueerd kan zijn met de volgende atomen of atoomgroepen: fluor, chloor, broom, jood, hydroxy, aryl, alkoxy, alkoxycarbonyl of heterocyclische ringstructuur.
R2 is een arylalkyl- of cycloalkylgroep of een heterocyclische ringstructuur. Ook kan deze op elke positie gesubstitueerd zijn met de volgende atomen of atoomgroepen: fluor, chloor, broom, jood, hydroxy, alkyl, alkoxy.
R3 is een carbonylgroep gesubstitueerd met een (cyclo)alkyl-, (cyclo)alkenyl-, aryl-, methoxymethyl-, ethoxygroep of heterocyclische ringstructuur.
Daarnaast kan de piperidinering op elke positie gesubstitueerd zijn met de volgende atomen of atoomgroepen (Rn): fluor, chloor, broom, jood, hydroxy, alkyl, aryl, alkoxy, alkoxycarbonyl of heterocyclische ringstructuur.
Preparaten die één of meer substanties van de bovengenoemde stofgroepen bevatten.
Kopieer de link naar uw clipboard
https://zoek.officielebekendmakingen.nl/stb-2025-32.html
De hier aangeboden pdf-bestanden van het Staatsblad, Staatscourant, Tractatenblad, provinciaal blad, gemeenteblad, waterschapsblad en blad gemeenschappelijke regeling vormen de formele bekendmakingen in de zin van de Bekendmakingswet en de Rijkswet goedkeuring en bekendmaking verdragen voor zover ze na 1 juli 2009 zijn uitgegeven. Voor pdf-publicaties van vóór deze datum geldt dat alleen de in papieren vorm uitgegeven bladen formele status hebben; de hier aangeboden elektronische versies daarvan worden bij wijze van service aangeboden.